|
Данные характеристики
|
Общая характеристика предприятия
|
|
1. Тип
|
Столовая
|
|
2. По ассортименту реализуемой продукции
|
Общего типа
|
|
3. По месту нахождения
|
Отдельно стоящее здание
|
|
4. По составу и назначению
|
Стационарное
|
|
5.Методы и формы обслуживания потребителей, формы расчета
|
Самообслуживание
|
|
6. Количество мест
|
80 мест
|
|
7.Форма организации производства
|
Предприятие с полным производственным циклом
|
|
8. По времени функционирования
|
С ограничением по времени
|
|
9. Режим работы
|
08.00- 20.00
|
Внешний вид предприятия - вывеска
обычная. В столовой используют металлическую посуду и приборы только из
алюминия, а так же из полуфарфора, фаянса и прессованного стекла, столы покрыты
гигиеническим покрытием, салфетки индивидуальные бумажные. Мебель и интерьер
должны быть комфортными. Правильно оформленные меню выглядят так: на
специальной бумаге печатается ассортимент блюд на русском языке. Метод
обслуживания потребителей - самообслуживание. Столовая
предлагает разнообразный ассортимент блюд и изделий, покупных товаров, с учетом
специфики обслуживаемых контингентов и рационов питания.
В столовую заходят работники цеха в
утренние часы и обеденный перерыв.
Организационно-правовая форма
"ООО". С момента регистрации ООО приобретает права юридического лица.
ООО имеет следующие основные характеристики:
действует на принципах полного
хозяйственного расчета и самофинансирования;
имеет самостоятельный баланс,
расчетный и иные счета в учреждениях банков Российской Федерации.
имеет фирменное наименование,
регистрируемое в установленном законом порядке, круглую печать со своим
наименованием, угловой штамп, а также фирменные бланки и другие реквизиты.
Плюсы ООО
. Ответственность по
обязательствам общества ограничена суммой вклада, то есть учредитель рискует
лишь в пределах стоимости внесенным им в уставной капитал общества вкладов, не
рискуя при этом своим личным имуществом.
. ООО можно продать или
купить. Такая продажа возможна на основании нотариально заверенного договора и
осуществляется путем покупки долей в уставном капитале общества.
. ООО может покрывать убытки
прошлых лет прибылью текущего гада и таким образом уменьшает налог на прибыль.
. Сумма страховых взносов,
уплачиваемых ООО в пенсионный фонд, зависит от прибыли, полученной в отчетном
периоде.
Минусы ООО
. Размер уставного капитала
должен быть не менее десяти тысяч рублей.
. ООО должно обязательно
иметь расчетный счет в банке и печать.
. Распределение прибыли между
участниками не может совершаться чаче, чем раз в квартал.
. Штрафы за административные
правонарушения в сфере предпринимательской деятельности в разы больше для
юридических лиц, чем для ИП.
Столовая «№3» при промпредприятии,
как организация является обществом с органичной ответственностью (ООО)
Основные функции управленческого
персонала определяются действующим законов РФ, учредительными документами
предприятия, трудовыми договорами и должностными обязательствами и имеют
следующий вид.
Организационная структура столовой
"№3" представлена на рис. 2.
Рис.2. Организационная структура
столовой "№3"
В столовой "№3" представлена в виде линейной
структуры управления. Основные плюсы данной системы:
· Простота
организационной структуры;
· Полная ответственность
линейного руководителя за результаты работы;
· Единство и четкость
распоряжений;
· Согласованность
действий руководителей.
Недостатками линейной
организационной структуры управления являются:
· Предъявление
жестких требований к руководителю, который должен обладать исключительной
компетентностью во всех сферах (бухгалтерия, производство, сбыт и т.д.);
· Концентрация власти
в руках управляющей верхушки.
В принципе такая система очень
проста в управлении, то есть у руководителя имеются все виды полномочий, полная
власть и единоличное осуществление руководства. Но зато начальник и будет нести
ответственность за все результаты корпоративной деятельности. У каждого
подчиненного имеется только один единственный руководитель, а вот у каждого
начальника - несколько подчиненных. Это будет зависеть от утвержденных в
организации норм управляемости. Именно поэтому развитие предприятия приводит к
увеличению количества уровней в управлении компании.
Вывод: Представленная структура
является линейно-функциональной, что полностью отвечает малого предприятия
общественного питания.
.2 Организация и обслуживание
потребителей
В столовой «№3» используется метод
самообслуживания. При данном методе обслуживания предусматривают следующие
варианты:
Самообслуживание - это метод
обслуживания, при котором потребители сами выполняют ряд операций, и в
зависимости от этого применяют следующие формы самообслуживания:
v Полное. Потребитель
выполняет все операции самостоятельно;
v Частичное. Часть
работ выполняется обслуживающим персоналом или механизмами (сбор посуды,
доставка посуды, конвейер для сбора посуды и т.д.).
В зависимости от формы расчета
различают:
. Самообслуживание с
предварительным расчетом:
v потребитель
знакомится с меню, приобретает в кассе чек, с чеком на раздаче получает блюда.
Отрицательные стороны данной формы обслуживания: потребитель не видит выбранные
блюда, имеет дело с деньгами;
v организация
комплексного питания по заранее приобретенным абонементам и чекам:
предварительно сервируются столы, затем осуществляется отпуск скомплектованных
завтраков, обедов и ужинов, что позволяет ускорить процесс обслуживания.
Используется данная форма для организации питания туристов, учащихся,
участников семинаров, конференций;
. Самообслуживание с
последующим расчетом:
v с расчетом после
получения блюд: потребитель знакомится с меню, выбирает блюда на раздаче,
рассчитывается за выбранные блюда, потребляет и, наконец, убирает посуду.
Преимуществом этой формы обслуживания является возможность наглядного выбора
блюд потребителями; отрицательные моменты: потребитель стоит в очереди, имеет
дело с деньгами;
v самообслуживание с
расчетом после приема пищи. Потребитель знакомится с меню, выбирает блюда,
получает чек на блюда, принимает пищу и после этого рассчитывается при выходе
из зала. Положительные стороны: ускоряется процесс обслуживания; отрицательные:
увеличивается количество обслуживающего персонала;
. Самообслуживание с
непосредственным расчетом.
v Потребитель
одновременно выбирает, получает блюда и оплачивает их стоимость. При данной
форме обслуживания отпуск продукции и расчет с потребителем производится одним
работником. Эта форма обслуживания применяется в ПБО, буфетах, закусочных,
через барную стойку в барах.
Предприятия общественного питания
имеет удобные подъездные пути, пандусы при входе и пешеходные доступы к входу,
необходимые справочно-информационные указатели. Территория, прилегающая к
предприятию, благоустроена и освещена в темное время суток.
Столовая предназначены для отдыха посетителей во
время обеденного перерыва, поэтому большое значение имеет оформление обеденного
зала декоративными элементами, под освещение, цветовое решение, а так же
отвечать определённым требованиям, санитарии.
На предприятии общественного питания
обеспечено стилевое единство интерьера зала, мебели.
Мебель в столовой прежде всего, надёжная, не
затратная, простая в уходе и отвечающая общему цветовому решению. В столовой
кроме обеденного зала есть гардероб, система вентиляции, туалетная комната с
раковинной для мытья рук для посетителей.
Основные виды мебели в столовой:
столы шестиместные (прямоугольные, квадратные, круглые или любой другой
конфигурации); цветочницы, журнальные.
Представление схематичного плана
торгового зала
К торговым помещениям столовой «№3»
при промпредприятии относится торговый зал с раздаточными.
В группу торговых помещений столовой
«№3» при промпредприятии входят также касса, подсобные помещения и моечная
столовой посуды.
Вывод: После проведенного анализа
можно сделать вывод, что в данном производственном помещении полностью
соблюдена последовательность технологического процесса.
Глава 2. Особенности производственной
деятельности цеха
.1 Характеристика проектируемого цеха
Холодные цеха предназначены для приготовления,
порционирования и оформления холодных блюд и закусок. Ассортимент холодных блюд
зависит от типа предприятия, его класса. В ассортимент продукции холодного цеха
входят холодные закуски, гастрономические изделия (мясные, рыбные), холодные
блюда (отварные, жареные, фаршированные, заливные и др.), молочнокислая продукция,
а также холодные сладкие блюда (желе, муссы, самбуки, кисели, компоты и др.),
холодные напитки, холодные супы.
Производственная программа холодного цеха
составляется на основании ассортимента блюд, реализуемых через торговый зал,
магазины кулинарии, а также отправляемых в буфеты и другие филиалы.
Холодный цех располагается в одном из наиболее
светлых помещений с окнами, выходящими на север или на северо-запад. При
планировке цеха необходимо предусматривать удобную связь с горячим цехом, где
производится тепловая обработка продуктов, необходимых для приготовления
холодных блюд, а также с раздачей и моечной столовой посуды.
При организации холодного цеха необходимо
учитывать его особенности: продукция цеха после изготовления и порционирования
не подвергается вторично тепловой обработке, поэтому необходимо строго
соблюдать санитарные правила при организации производственного процесса, а
поварам - правила личной гигиены; холодные блюда должны изготовляться в таком
количестве, которое может быть реализовано в короткий срок. Салаты и винегреты
в не заправленном виде хранят в холодильных шкафах при температуре 2-6оС
не более 6 часов. Заправлять салаты и винегреты следует непосредственно перед
отпуском, не допускаются к реализации изделия, оставшиеся от предыдущего дня:
салаты, винегреты, студни, заливные блюда и другие особо скоропортящиеся
холодные блюда, а также компоты и напитки собственного производства.
Холодные блюда отпускаются после охлаждения в
холодильных шкафах и должны иметь температуру 10-14 оС, поэтому в
цехе должно быть предусмотрено достаточное количество холодильного
оборудования.
Учитывая, что в холодном цехе изготовляется
продукция из продуктов, прошедших тепловую обработку, и из продуктов без
дополнительной обработки, необходимо четко разграничивать производство блюд из
сырых и вареных овощей, из рыбы и мяса. В небольших предприятиях организуются
универсальные рабочие места, на которых последовательно готовят холодные блюда
в соответствии с производственной программой, в крупных холодных цехах
организуются специализированные рабочие места.
Работники холодного цеха обязаны строго
соблюдать санитарные правила при изготовлении холодных блюд.
Для приготовления холодных блюд должно быть
выделено отдельное помещение, по возможности наиболее удаленное от горячего
цеха и оборудованное холодильником. В холодном цехе недопустимо устанавливать
какие-либо тепловые аппараты. Варка мясных продуктов должна производиться в
горячем цехе. В идеальной чистоте должно содержаться все оборудование - посуда,
инвентарь. Для этого их ежедневно после работы необходимо мыть горячей водой с
содой, затем ошпаривать кипятком и просушивать.
В холодном цехе так же, как и в заготовительном,
должны быть отдельные деревянные доски для нарезки мяса, рыбы, сельдей и овощей
с соответствующими буквенными обозначениями. Для овощей следует иметь три
доски: для вареных овощей - картофеля, свеклы, моркови; для квашеных и
маринованных овощей, для свежих овощей и зелени.
Особенно тщательно надо следить за обработкой
свежих, вареных, квашеных и маринованных овощей на раздельных досках при
заготовке их в виде полуфабрикатов, которые предполагается некоторое время
хранить.
Эти условия следует соблюдать даже в том случае,
если хранение их будет производиться на холоде, так как микроорганизмы,
особенно попавшие с квашеных овощей на вареные, даже при низких температурах
очень быстро размножаются.
Вместо широко практикуемого в настоящее время
приготовления салатов и винегретов из овощей, предварительно сваренных в коже,
рекомендуется изготавливать их из овощей, сваренных в очищенном и нарезанном
виде.
Предложенная технология имеет и другие
преимущества. При припускании овощей потери водорастворимых питательных веществ
сводятся к минимуму. Небольшое количество получающегося при этом отвара используется
для заправки блюд.
Все продукты должны быть предварительно
охлаждены до температуры 8-10°. Нельзя допускать смешивания охлажденных
продуктов с теплыми.
Соблюдение установленного температурного режима
и сроков хранения готовых блюд и полуфабрикатов - также важная мера для
повышения их санитарного состояния.
.2 Разработка производственной
программы. Расчет количества питающихся
Производственной программой холодного цеха
является ассортимент выпускаемой продукции с указанием количества, разрабатывается
на основании производственной программы предприятия.
Расчет производственной программы столовой «№3»
при промпредприятии начинается с определения планового количества потребителей
за час работы зала за весь день предприятия.
При определении количеств потребителей столовой
«№3» при промпредприятии по графику загрузки зала основными данными для
составления графика являются: режим работы предприятия, продолжительность
приема пищи одним потребителем и процент загрузки зала по часам его работы.
Режим работы столовой «№3» при промпредприятии
устанавливается с учетом типа, месторасположения и контингента потенциальных
потребителей.
Для выполнения расчетов необходимо составить
специальный лист наблюдений по аналогичному предприятию (сколько посетителей и
в какой час посетили данное предприятие за отрезок времени или за день)
Данный расчет необходим для выполнения всех
последующих расчетов и должен быть правильным.
Расчет проводится по формуле:

,
где Р - количество мест в
предприятии, мест (дается по заданию);
С - средний % загрузки зала, % (из
наблюдений или по примерному графику загрузки торгового зала;
n -
оборачиваемость одного места в час (как и С)
Таблица 2 Расчет количества
посетителей за день
|
Часы
работы зала,(Т)
|
Кол-во
мест в зале (Р), мест
|
Кол-во
посадок в час (n)
|
Средний
процент загрузки зала (C),%
|
Кол-во
потребителей за данный час (N
час), чел
|
Коэффициент
пересчета блюд К=
|
|
8-9
|
80
|
1
|
5
|
4
|
0,004
|
|
9-10
|
80
|
1
|
10
|
8
|
0,009
|
|
10-11
|
80
|
1,2
|
10
|
10
|
0,01
|
|
11-12
|
80
|
2
|
20
|
32
|
0,03
|
|
12-13
|
80
|
3
|
100
|
240
|
0,27
|
|
13-14
|
80
|
3
|
90
|
216
|
0,24
|
|
14-15
|
80
|
3
|
60
|
144
|
0,16
|
|
15-16
|
80
|
2
|
30
|
48
|
0,05
|
|
16-17
|
80
|
1
|
30
|
24
|
0,03
|
|
17-18
|
80
|
1
|
30
|
24
|
0,03
|
|
18-19
|
80
|
2
|
40
|
64
|
0,07
|
|
19-20
|
80
|
1
|
20
|
16
|
0,02
|
|
Итого
|
|
|
|
895
|
|
Вывод: По результатам расчётов, представленных в
таблице 1, количество посетителей за день составляет 895 человек.
Расчет блюд, изготовленных за день
Чтобы определить количество изготовленных блюд
по группам необходимо произвести расчет.
Данный расчет необходим для составления
плана-меню предприятия.
Расчет производится по формуле:

,
Где М - количество блюд выпускаемых за день или
период
N - количество
потребителей, обслуживаемых данным предприятием за день (период).
m - коэффициент
потребления блюд одним посетителем (из приложения
Предположим, в столовой на 80 мест обслуживалось
в день 895 человек, а коэффициент потребления для столовой - 3, тогда мощность
предприятия за день:
M=895×3=2685 блюд
Расчеты сводятся в таблицу 3.
Вывод: По результатам расчетов количество
холодных блюд составляет - 447, первых - 895, вторых - 895, сладких - 447.
Таблица 3. Расчет блюд по группам
|
№
гр.
|
Наименование
группы блюд
|
Кол-во
потребителей
|
Коэффициенты
потребления отдельных блюд
|
Кол-во
блюд по группам
|
|
1
|
Холодные
блюда и закуски
|
895
|
0,5
|
447
|
|
2
|
Первые
блюда
|
|
1
|
895
|
|
3
|
Вторые
блюда
|
|
1
|
895
|
|
4
|
Сладкие
блюда
|
|
0,5
|
447
|
Расчет потребного количества холодных, горячих
напитков, хлеба, мучных кондитерских изделий осуществляется аналогично, только
вместо коэффициентов потребления берутся нормы потребления на 1 потребителя.
Например, необходимо рассчитать потребное
количество приготовляемых горячих и холодных напитков в столовой при
промпредприятии.
Пример расчета:
Мгорнап = N*Нп
= 895×0,1 = 89 л.
Далее разделив количество в литрах на норму 1
порции узнаем количество порций.
Т.к. горячие напитки реализуют в стаканах,
чайных парах, то емкость 1 порции составляет 200 мл, соответственно кол-во
порций горячих напитков равно: 89/0,2 = 445 порций напитка
Данные расчета сводятся в таблицу 4
Таблица 4 Расчет горячих, холодных напитков,
хлеба, мучных кондитерских изделий
|
№
п/п
|
Наименование
изделий, напитков, хлеба
|
Кол-во
потребителей N
|
Норма
потребления Нп (г,л)
|
Кол-во
напитков
|
|
|
|
|
В
литрах
|
В
порциях
|
|
Горячие
напитки
|
895
|
0,1
|
89
|
445
|
|
Холодные
напитки
|
|
0,10
|
89
|
445
|
|
Фруктовая
вода
|
|
0,07
|
63
|
13
|
|
Минеральная
вода
|
|
0,02
|
18
|
90
|
|
Натуральный
сок
|
|
0,01
|
9
|
45
|
|
Хлеб
и хлебобулочные изделия
|
|
150
|
|
|
|
В
том числе:
|
|
|
|
|
|
Ржаной
|
|
100
|
|
89500
|
|
Пшеничный
|
|
50
|
|
44750
|
|
Мучные
кондитерские и булочные изделия собственного производства
|
|
1,00
|
|
895
|
|
Конфеты,
печенье
|
|
0,005
|
|
4
|
|
Фрукты
|
|
0,075
|
|
67
|
Вывод: По результатам расчетов горячих, холодных
напитков и кондитерских изделий, выпускаемых за один день, количество горячих
напитков составляет - 445 порций, холодных напитков - 445, кондитерских изделий
- 895.
Составление плана-меню
План-меню проектируемого предприятия - это его
производственная программа на день, где указывается ассортимент выпускаемой
продукции (примерный ассортимент блюд, комплекс), блюдо/№ рецептуры по Сборнику
рецептур, выход одной порции в граммах, количество блюд за день с разбивкой по
часам реализации.
План-меню составляет зав. производством на
основании «Примерного ассортимента блюд» и «Сборнику рецептур блюд и кулинарных
изделий» накануне планируемого для реализации блюд (не позднее 1500) и
утверждается директором предприятия. При составлении плана-меню учитываются
следующие факторы: сырье, сезон, разнообразие блюд (блюдо не должно повторяться
чаще одного раза в неделю), правильное сочетание гарнира и соуса,
квалификационный состав работников, мощность производства и оснащенность его
торгово-технологическим оборудованием, трудоемкость блюд. На данном предприятии
используется комплексное меню. Меню комплексных обедов (завтраков, ужинов)
представляет собой набор блюд, при определенном сочетании которых обеспечивается
комплекс необходимых для организма белков, жиров, углеводов, минеральных солей
и витаминов.
Расчет блюд по часам работы торгового зала
Данный расчет необходим для составления графика
выхода на работу работников цеха, для расчета оборудования. Наименования блюд
берутся в зависимости от расчета цеха.
Расчет производится по формуле:

, блюд,
Где Мчас - количество
блюд данного вида, реализуемого за данный час работы торгового зала, блюд;
М день - количество блюд
данного вида, реализуемых за день (период);
К час - коэффициент
пересчета блюд за данный час работы торгового зала.
.3 Расчет потребного количества сырья «Н», «Б»
Данный расчет необходим для расчета
товарооборота. Расчет количества сырья и продуктов, необходимых для
приготовления блюд, производится на основе плана-меню и Сборника рецептур блюд
и кулинарных изделий.
Расчет производится на основании действующей
нормативно-технической (технологической) документации с учетом выхода блюда,
кондиции сырья, сезона.
Расчет производится по формуле:

,
где G -
количество потребного сырья, необходимое для приготовления блюд данного вида,
кг
M -
количество блюд данного вида за день
q - норма
закладки сырья в граммах на 1 порцию
.4 Расчет численности работников
Расчет производится с учетом всего ассортимента
изготавливаемой продукции, блюд, напитков, изделий предприятия за день, а так
же с использованием норм времени для приготовления данного ассортимента
Расчет производится по формуле:
Нвр =К×100;
К - коэффициент трудоемкости
Таблица 5. Расчет работников холодного цеха
Вывод: Количество поваров холодного цеха
составила 5 поваров.
.5 Проектирование рациональных режимов труда и
отдыха
Режим работы в холодном цехе столовой «№3» при
промпредприятии устанавливается с режимом работы предприятий, где изделия
реализуются, с учетом сроков реализации выпускаемых изделий.
При проектировании необходимо учитывать
следующие требования:
. Рациональное чередование работы и
отдыха должно осуществляться на всех работах и для всех категорий работников;
. Продолжительность и форма отдыха должны
определяться с учетом условий труда, трудовых нагрузок;
Тэфф = Тсм×Кс,
час,
Где Тэфф - эффективный фонд рабочего
времени 1 работника за месяц, час;
Тсм - продолжительность рабочей смены
(без учета обеденного перерыва), час;
Самый оптимальным графиком выхода на работу в
столовой «№3» при промпредприятии является график два через два, когда
работники бригадами, посменно, приходят на работу в разное время, установленное
работодателем.
Глава 3. Проектирование технологических
участков, рабочих мест в цехе
.1 Расчет и подбор механического оборудования
При разработке проекта холодного цеха студентам
необходимо рассчитать холодильное оборудование
В холодном цехе предприятия емкость холодильной
камеры необходимо определить для хранения полуфабрикатов на 1/2 смену и для
хранения готовой продукции с учетом 1-2 часовой реализации продукции
Расчет емкости холодильного шкафа для хранения
полуфабрикатов.
где G
- масса продукта (изделия), кг;
ρ - объемная
плотность продукта (изделия), кг/м3;
ν -
коэффициент, учитывающий массу тары (ν
= 0,7...0,8).
Для осуществления расчета следует заполнить
таблицу:
Таблица 6. Расчет объема холодильного шкафа
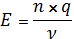
Расчет холодильной емкости для хранения готовой
продукции на 1-2 часа реализации. Данные для расчета берутся из таблицы
плана-меню за определенный период работы (1 или 2 смену). Из плана-меню берутся
холодные блюда, закуски, напитки, сладкие блюда (мороженое, желе, кремы и т.
д.), которые после приготовления хранят с охлаждением.
Расчет производится по формуле:

,
где Е - потребная загрузочная емкость
холодильника для хранения готовой продукции, кг
n - количество блюд
данного вида на 1час реализации (по максимальному часу)
q - масса одной
порции данного блюда, кг
n- коэффициент, учитывающий массу тары (0,7-0,8)
После определения суммы Е по справочнику
торгово-технологического оборудования подбирается холодильный шкаф необходимой
грузовместимости.
Таблица 7. Расчет емкости холодильной камеры для
хранения готовых блюд
|
№
п/п
|
Наименование
блюд
|
Кол-во
блюд на 1-2 часа
|
Масса
1 пор. q, кг
|
Коэффициент,
учит. тару
|
Загрузочная
емкость х-ка Е, кг
|
|
1
|
Салат
зеленый с огурцами и помидорами
|
23
|
0,1
|
0,8
|
2,875
|
|
2
|
Салат
мясной
|
30
|
0,15
|
0,8
|
5,625
|
|
4
|
Яйца
под майонезом с гарниром
|
17
|
0,15
|
0,8
|
3,1875
|
|
4
|
Салат
из квашеной капусты
|
13
|
0,1
|
0,8
|
1,625
|
|
5
|
Редис
с огурцами и яйцом
|
18
|
0,1
|
0,8
|
2,25
|
|
6
|
Салат
из моркови
|
18
|
0,1
|
0,8
|
2,25
|
|
7
|
Винегрет
овощной
|
17
|
0,1
|
0,8
|
2,125
|
|
8
|
Салат
"Летний"
|
13
|
0,1
|
0,8
|
1,625
|
|
9
|
Салат
яичный
|
20
|
0,1
|
0,8
|
2,5
|
|
10
|
Салат
столичный
|
18
|
0,15
|
0,8
|
3,375
|
|
11
|
Салат
из свеклы с сыром и чесноком
|
17
|
0,1
|
0,8
|
2,125
|
|
12
|
Суфле
ванильное
|
16
|
0,06
|
0,8
|
1,2
|
|
13
|
Яблоки
в желе
|
17
|
0,1
|
0,8
|
2,125
|
|
Итого
|
32,8875
|
После расчета холодильного оборудования
необходимо составить таблицу подбора необходимых видов оборудования на
основании расчетов, и норм оснащения, а также производственной необходимости.
Таблица должна включать холодильное, механическое, весоизмерительное
оборудование.
Таблица 8.. Потребное количество и виды
оборудования
|
Наименование
оборудования
|
Тип,
марка оборудования
|
Кол-во
оборудования, шт.
|
|
|
|
|
Шкаф
холодильный
|
ШХ-0,7
S
|
1
|
|
Камера
холодильная
|
КХ-2,9
|
1
|
|
Стол
производственный
|
СП-1050
|
1
|
|
Ванна-
раковина
|
066/10
|
1
|
|
Стеллаж
передвижной
|
СП-125
|
1
|
|
Ванна
моечная
|
ВНЦ-10
|
1
|
|
Весы
настольные
|
|
2
|
|
Картофелечистка
|
МОК-300М
|
1
|
|
Машина
резательная
|
МПР-350М-02
|
1
|
|
ХЛЕБОРЕЗКА
|
АХМ-300Т
|
1
|
.2 Расчет немеханического оборудования, подбор
инвентаря, инструментов, приспособлений
Соответственно приказу Министерства торговли
«Нормы оснащения предприятий общественного питания посудой, столовыми
приборами, мебелью и кухонным инвентарем» подбираем следующее немеханическое
оборудование:
Таблица 9
|
№
|
Наименование
|
Кол-во
Шт.
|
|
1
|
Нож
филейный
|
2
|
|
2
|
Нож
гастрономический (колбасный)
|
2
|
|
3
|
Нож
для нарезки ветчины
|
1
|
|
4
|
Нож
с двумя ручками для нарезки масла и сыра
|
1
|
|
5
|
Нож
кухонный
|
5
|
|
6
|
Нож
с одной ручкой для нарезки сыра и масла
|
1
|
|
7
|
Нож
для фигурной нарезки масла
|
1
|
|
8
|
Нож-
вилка
|
1
|
|
9
|
Томаторезка
ручная
|
1
|
|
10
|
Яйцерезка
|
1
|
|
11
|
Скребок
для сливочного масла
|
1
|
|
12
|
Доска
разделочная
|
6
|
|
13
|
Соковыжималка
ручная
|
1
|
|
14
|
Лопатка-
нож для заливных блюд
|
1
|
|
15
|
Горка
для гарниров
|
2
|
|
16
|
Лотки
для заливных блюд
|
10
|
|
17
|
Формы
для паштетов, заливных и сладких блюд
|
80
|
|
18
|
Лопатки
для раскладывания порционных блюд
|
3
|
|
19
|
Лопатки-ножи
для раскладывания заливных блюд
|
3
|
|
Приборы
для раскладывания блюд:
|
|
|
20
|
Приборы
салатные
|
3
|
|
21
|
Прибор
для консервированных фруктов
|
3
|
|
22
|
Щипцы
для раскладывания порционных блюд
|
3
|
|
23
|
Тарелки
|
600
|
|
24
|
Кастрюли
разных объемов
|
9
|
|
25
|
Салатницы
|
600
|
.3 Составление таблицы основных технологических
линий, участков в цехе
Необходимо составить таблицу основных
технологических линий, участков, рабочих мест. Данные свести в таблицу.
Таблица 10. Основные технологические линии,
участки, рабочие места горячего цеха
|
Наименование
технологических линий, участков, рабочих мест
|
Проводимые
операции
|
Необходимые
виды оборудования
|
|
Линия
по приготовлению холодных блюд и закусок
|
-помывка
овощей - нарезка сырых и варёных овощей - приготовление заливных блюд
|
-
ванны - ножи - доски с маркировкой - производственный стол - лотки -
металлические лопатки
|
|
Линия
приготовлению холодных сладких блюд.
|
-
приготовление фруктов, ягод - взбивание муссов - взбивание кремов - самбуки
|
-
производственный стол, со встроенной моечной ванной - весы - посуда -
инвентарь - морозильные прилавки - слайсеры - холодильные камеры
|
3.3 Расчет площади цеха
При расчете площади цеха необходимо составить
таблицу оборудования цеха.
В данную таблицу следует включить холодильное,
механическое, немеханическое оборудование с учетом расчетов, подбора по
примерным нормам оснащения.
Таблица 11
|
№
|
Наименование
|
Марка
|
Кол
- во
|
Длина,
мм
|
Ширина,
мм
|
Высота,
мм
|
S пол (м2)
|
|
1
|
Шкаф
холодильный
|
ШХ
- 0,4 М
|
1
|
750
|
750
|
1820
|
0.6
|
|
2
|
Шкаф
холодильный
|
ШХ
- 0,6 М
|
1
|
1120
|
786
|
1726
|
0.9
|
|
3
|
Стол
производственный секционный модулированный
|
СПСМ
- 1
|
1
|
1050
|
840
|
860
|
0.9
|
|
4
|
Стол
производственный секционный модулированный с охлаждаемым шкафом.
|
СОЭСМ
- 2
|
1
|
1680
|
840
|
860
|
1.4
|
|
5
|
Универсальный
привод
|
МУ
- 1000
|
1
|
470
|
400
|
440
|
0.2
|
|
6
|
Ванна
моечная на 2 отделения
|
ВМ-
2СМ
|
1
|
1680
|
840
|
860
|
1.4
|
|
7
|
Хлеборезательная
машина
|
ХРМ
- 300М
|
1
|
1220
|
525
|
625
|
0.6
|
|
8
|
Машина
для нарезки вареных овощей
|
МРОВ
- 160
|
1
|
470
|
370
|
500
|
0.2
|
|
9
|
Привод
для холодного цеха
|
ПХ
- 0,6
|
1
|
530
|
280
|
310
|
0.2
|
|
Итого
|
|
|
|
|
|
6.7
|
Таким образом, полезная площадь составит 6,7 м.
Расчет общей площади цеха рассчитываем с помощью
формулы:
, м2
где: k -
коэффициент использования площади помещения, принимается 0,4.
Sобщ= 6,7/0,4 =
16,75м2
.4 Составление схемы взаимосвязи цеха с другими
помещениями, требования к компоновке и размещению
На основе принятого состава помещений
составляется схема их взаимосвязи для проектируемого предприятия и предлагается
планировочное решение. Принятая схема взаимосвязи помещений представлена на
рис. 3.
Рис. 3 - Схема взаимосвязи помещений
Рисунок 4. Планировка цеха
-холодильный шкаф ШХ-0.4;
- холодильный шкаф ШХ -0.6
- стол производственный.
- секция-стол с охлаждаемым шкафом и горкой
СОЭСМ-3
- низкотемпературный прилавок СН-0,15.
- секция-стол с охлаждаемым шкафом СОЭСМ-2;
- передвижной стеллаж.
- моечная ванна ВМ-2СМ
- машина для нарезки вареных овощей
- маслоделитель ручной
Заключение
столовая холодный цех правовой
С каждым годом массовое питание все
больше проникает в быт широких масс населения, способствует решению многих
социально-экономических проблем, помогает лучше использовать продовольственные
ресурсы страны, своевременно предоставляет населению качественное питание,
имеющего решающее значение для сохранения здоровья, роста производительности
труда, повышению качества учебы, позволяет более эффективно использовать
свободное время, что в наши дни является не мало важным фактором для населения;
высвобождает из домашнего хозяйства.
Вначале была разработана
производственная программа холодного цеха, затем произведен расчет и подбор
оборудования (холодильного, механического), расчет количества производственных
работников цеха, расчет и подбор вспомогательного оборудования и расчет площади
холодного цеха.
Площадь цеха получилась 16,75
м2
Цех размещен таким образом, что
исключены встречность и перекрещивание потоков сырья с потоками готовой
продукции, использованной и чистой посуды, а также с потоками потребителями и
персонала.
Столовая оснащено
высокопроизводительным оборудованием: холодильным, механическим,
вспомогательным отечественных и зарубежных производителей, которое
соответствует стандартам и отвечает нормам техники безопасности.
Список используемой литературы
1. Аграновский Е.Д., Дмитриев
В.В. Основы проектирования и интерьер предприятий общественного питания. - М.:
Экономика, 2009. - 278 с.
2. Богушева В.И. Организация
производства и обслуживания на предприятиях общественного питания: Феникс,
Серия: Среднее профессиональное образование, 2008, 256 с.
. Васюкова А.Т., Пивоваров
В.И., Пивоваров К.В. Opганизация производства и управление качеством продукции
В общественном питании: Учебное пособие. - М.: Издательско-торговая корпорация
«Дашков И», 2009. 296 с.
. Золин В.П. Технологическое
оборудование предприятий общественного питания. 11-е изд. - М.: «Академия»,
2012. - 320с
. Ковалев Н.И., Куткина М.Н.,
Кравцова В.А. Технология приготовления пищи. - М.: Омега -
М., 2008.
. Кондратьев К.П. Организация
производства на предприятиях общественного
. Артемова Е.Н. Основы
технологии продукции общественного питания. - М.: КноРус, 2010.
. Ботов М.И., Елхина В.Д.,
О.М. Голованов. Тепловоео и механическое оборудование предприятий торговли и
общественного питания: учебник для нач. проф. Образ / 4-е изд. стер. - М.: Изд.
Центр «Академия», 2011. - 496 с
. Золин В.П. Технологическое
оборудование предприятий общественного питания.11-е изд.-М.: «Академия»,2012.-
320с
. Радченко Л.А. Организация
производства на предприятии общественного питания: Учебник. Изд. 4-е, доп. и
перераб. - Ростов н/Д: Издательство «Феникс», 2012. - 352с. (Серия «СПО»)
. Райс В. Контроль издержек в
ресторанном бизнесе. - М.: Креатив Холдинг, 2011. - 96 с.
. Смагина И.Н., Смагин Д.А.
Организация коммерческой деятельности в общественном питании.- М.: Изд-во
Эксмо, 2009. - 336 с.
. Торопова Н.Д. Организация
производства на предприятии общественного питания. Феникс, Серия: Среднее
профессиональное образование, 2010. - 328 с.
. Усов В.В. Организация
производства и обслуживания в предприятиях общественного питания: учебное
пособие для образовательных учреждений начального профессионального
образования. - 5-е изд., стер. - М.: АКАДЕМИЯ, 2012. - 416 с.
. ГОСТ Р 50762-2009 “Услуги
общественного питания. Классификация предприятий общественного питания” Введ.
15.12.09. - М.: Изд-во стандартов, 2010. - 34 с.
. ГОСТ Р 50763-2007
"Услуги общественного питания. Продукция общественного питания,
реализуемая населению. Общие технические условия" Введ. 15.12.09. - М.:
Изд-во стандартов, 2010. - 19 с.
Приложение
Сырьевая ведомость