Уголовная ответственность за таможенные правоотношения

  • Вид работы:
    Курсовая работа (т)
  • Предмет:
    Основы права
  • Язык:
    Русский
    ,
    Формат файла:
    MS Word
    783,59 Кб
  • Опубликовано:
    2015-07-02
Вы можете узнать стоимость помощи в написании студенческой работы.
Помощь в написании работы, которую точно примут!

Уголовная ответственность за таможенные правоотношения

ОГЛАВЛЕНИЕ

ВВЕДЕНИЕ

. ТЕОРЕТИЧЕСКИЕ АСПЕКТЫ ТАМОЖЕННОГО ПРАВОНАРУШЕНИЯ КАК ЮРИДИЧЕСКОЙ КАТЕГОРИИ

.1 Понятие уголовной ответственности в таможенном праве

.2 Понятие и виды таможенных правонарушений

. АКТУАЛЬНЫЕ ВОПРОСЫ ПРИМЕНЕНИЯ УГОЛОВНОЙ ОТВЕТСТВЕННОСТИ ЗА ТАМОЖЕННЫЕ ПРАВОНАРУШЕНИЯ

.1 Особенности преступлений в сфере таможенного дела

.2 Проблемы уголовной ответственности за таможенные правонарушения в России

ЗАКЛЮЧЕНИЕ

СПИСОК ИСПОЛЬЗОВАННОЙ ЛИТЕРАТУРЫ

ПРИЛОЖЕНИЯ

ВВЕДЕНИЕ

уголовный ответственность преступление таможенный

Одно из центральных мест в деятельности любого государства и его органов занимает решение задач по обеспечению правопорядка и законности, защите прав и свобод человека, охрана прав и законных интересов государственных и негосударственных организаций, борьбе с преступлениями.

На современном этапе характерной чертой развития криминологической ситуации в стране стал рост масштабов экономической преступности.

При этом одним из наиболее опасных видов экономических преступлений - как по размерам наносимого государству ущерба, распространенности, так и по разнообразию входящих в него правонарушений - это преступления в сфере таможенного дела.

Кроме того неоспоримым фактом в настоящее время является развитие контрабанды: за прошедшие несколько лет сложились крупные мафиозные структуры с хорошо отлаженными зарубежными связями.

В связи с их активной деятельностью динамика незаконных импортно-экспортных операций с сырьевыми ресурсами России имеет устойчивую тенденцию к дальнейшему повышению. Из страны, к примеру, незаконно вывозятся цветные и редкоземельные металлы, нефть и нефтепродукты; хлопок, лес и лесоматериалы, культурные ценности, а незаконно ввозятся радиоэлектронная и компьютерная техника, подакцизные товары.

Также, несомненно, большую опасность представляют собой и контрабанда наркотиков, оружия, незаконный экспорт технологий, научно-технической информации и услуг, используемых при создании оружия массового поражения, вооружения и военной техники. А при расследовании уголовных дел выявляются уклонения от уплаты таможенных платежей.

В связи с этим тема курсовой работы "Уголовная ответственность за таможенные правонарушения" приобретает особую актуальность.

Цель данной курсовой работы заключается в изучении уголовной ответственности за таможенные правонарушения.

Для достижения поставленной цели в курсовой работе решаются следующие задачи:

1.      Рассмотреть теоретические аспекты уголовной ответственности за таможенные правонарушения;

2.      Проанализировать актуальные вопросы применения уголовной ответственности за таможенные правонарушения на территории России;

.        Сделать выводы по проведённому исследованию.

Объектом исследования являются таможенные правонарушения в России.

Предметом исследования является особенности уголовной ответственности за таможенные правонарушения на территории России.

В курсовой работе использовались научные труды по таможенному и уголовному праву в России и зарубежных странах.

Методы исследования, используемые в курсовой работе: теоретическое исследование и анализ научной и специальной литературы по выбранной теме курсовой работы.

Теоретико-методологической основой исследования послужили разработки отечественных и зарубежных ученых, в которых освещаются теоретические аспекты уголовной ответственности за таможенные правонарушения, а также актуальные вопросы применения уголовной ответственности за таможенные преступления на территории России.

Курсовая работа состоит из введения, двух глав, включающих четыре подпункта, заключения, списка использованной литературы и приложений.

 

1. ТЕОРЕТИЧЕСКИЕ АСПЕКТЫ ТАМОЖЕННОГО ПРАВОНАРУШЕНИЯ КАК ЮРИДИЧЕСКОЙ КАТЕГОРИИ

 

.1 Понятие уголовной ответственности в таможенном праве


Под ответственностью следует понимать обязанность, необходимость давать отчет о своих действиях и поступках, а также отвечать за их возможные последствия.

Профессор А.А. Пионтковский охарактеризовал уголовную ответственность как правовую ответственность, определяемую в своей основе нормами материального уголовного права.

Анализ действующего законодательства позволяет сделать вывод, что уголовная ответственность является правовой реакцией на совершение преступления.

Уголовная ответственность может возникать только в связи с совершением преступления и наступать для лиц, обладающих соответствующими признаками (возраст, вменяемость) и потому способных нести уголовную ответственность за свои действия (бездействие), то есть держать ответ перед государством.

Уголовная ответственность реализуется в определенных видах правоотношений. С точки зрения содержания уголовная ответственность представляет собой реализацию определенных общественных отношений, которые регулируются правовыми нормами трех отраслей права: уголовного, уголовно-процессуального и исправительно-трудового, иначе говоря, уголовную ответственность образует реализация уголовных, уголовно-процессуальных и исправительно-трудовых правоотношений.

При рассмотрении уголовной ответственности в контексте правоотношений, возникающих между нарушителем закона и органами государственной власти, следует помнить: государство вправе применить меру принуждения к правонарушителю с момента возникновения уголовного правоотношения, а на нарушителя возлагается обязанность претерпевать неблагоприятные последствия, возникшие в результате применения такого наказания.

Следует разграничивать понятия наказание и ответственность. Привлечение виновного в совершении преступления лица к уголовной ответственности возможно и без реального отбывания последним наказания (например, в случае условного осуждения или отсрочке отбывания наказания). Между тем наличие уголовного правоотношения не вызывает сомнения, и такое лицо считается привлеченным к уголовной ответственности.

Юридическое основание уголовной ответственности - Уголовный кодекс Российской Федерации.

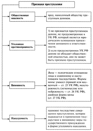
Фактическое основание - состав преступления в совокупности его признаков. Согласно части 1 ст. 14 УК РФ преступлением признается виновно совершенное общественно опасное деяние, запрещенное Кодексом (см рис. 1 и рис. 2).

Рис. 1 Состав преступления

Рис. 2 Признаки преступления

Понятие ответственности за правонарушения в сфере таможенного дела носит сложный комплексный характер, обусловленный комплексным характером самого таможенного дела.

В связи с этим некоторые авторы высказывают мнение о наличии самостоятельного института таможенно-правовой ответственности, который представляет собой внутренне взаимосвязанную совокупность юридических норм.

По нашему мнению такая точка зрения, безусловно, имеет право на существование, но она является весьма спорной. Поэтому следует все же говорить не о таможенно-правовой ответственности как самостоятельном правовом институте, а об ответственности за таможенные правонарушения в сфере таможенного дела.

При привлечении лица к ответственности за совершение правонарушения в сфере таможенного дела правоприменитель должен учесть все обстоятельства совершенного правонарушения (время, место, способ совершения правонарушения, наличие или отсутствие в деле обстоятельств, смягчающих или отягчающих ответственность) и с учетом всех этих обстоятельств определить меру ответственности в пределах санкции соответствующей правовой нормы.

Индивидуализация наказания - непременное условие его результативности. Индивидуализация ответственности является частью принципа ее справедливости и означает, что каждый правонарушитель должен быть подвергнут принудительному воздействию со стороны государства лишь за те противоправные деяния, которые он непосредственно совершил.

Иными словами, если правонарушение в сфере таможенного дела совершено в соучастии, то при назначении наказания правоприменителем должны быть учтены степень и характер каждого из соучастников в совершении правонарушения.

Целесообразность как принцип ответственности ~ это соответствие избираемой в отношении правонарушителя меры государственного принуждения его социальным качествам.

Так, исходя из личности правонарушителя, его осознанного отношения к совершенному им противоправному деянию, ряда иных обстоятельств, органы дознания и предварительного следствия имеют право применять в отношении лиц, подозреваемых или обвиняемых в совершении преступлений в сфере таможенного дела, такие меры, как содержание под стражей, подписка о невыезде, залог и ряд других.

Применительно к лицам, привлекаемым к ответственности за нарушения таможенных правил, таможенными органами могут быть использованы такие меры обеспечения производства по делу, как доставление, административное задержание, в ряде случаев - изъятие товаров и транспортных средств для обеспечения уплаты возможных штрафных санкций. Выбор правоприменителем соответствующей меры принуждения должен быть обоснован исходя из целесообразности её применения.

Неотвратимость как принцип юридической ответственности за правонарушения в сфере таможенного дела означает, что априори ни одно таможенное правонарушение не должно оставаться безнаказанным.

Таким образом, четкое и неуклонное стремление таможенных органов и их должностных лиц к соблюдению этого принципа должно способствовать повышению эффективности их правоохранительной деятельности, укреплению правопорядка в стране и в конечном итоге её экономической безопасности.

 

.2 Понятие и виды таможенных правонарушений


Под преступлением в сфере таможенного дела (или по другому таможенным преступлением) понимается предусмотренное уголовным законом общественно опасное виновное деяние (действие или бездействие).

Данное преступление посягает на установленный порядок перемещения товаров и транспортных средств через таможенную границу Российской Федерации, на порядок их таможенного оформления и таможенного контроля, а также на порядок взимания и уплаты таможенных платежей.

Уголовный кодекс Российской Федерации предусматривает такие виды таможенных преступлений как:

.        контрабанда (ст. 188 УК РФ);

.        незаконный экспорт технологий, научно-технической информации, услуг, сырья, материалов и оборудования, используемых при создании оружия массового поражения, вооружения и военной техники (ст. 189 УК РФ);

.        невозвращение на территорию Российской Федерации предметов художественного, исторического и археологического достояния народов Российской Федерации и зарубежных стран (ст. 190 УК РФ);

.        невозвращение из-за границы средств в иностранной валюте (ст. 193 УК РФ);

.        уклонение от уплаты таможенных платежей (ст. 194 УК РФ).

Дадим краткую характеристику преступлений в сфере таможенного дела.

Наиболее распространенным и общественно опасным преступлением в сфере таможенного дела является контрабанда. Контрабандой практически во всех странах принято считать незаконное перемещение через таможенную границу государства товаров или иных предметов, признаваемое преступлением.

Согласно ст. 188 УК РФ под контрабандой понимается перемещение в крупном размере через таможенную границу РФ товаров или иных предметов, совершенное помимо или с сокрытием от таможенного контроля либо с обманным использованием документов или средств таможенной идентификации либо сопряженное с недекларированием или недостоверным декларированием. Указанное преступное деяние наказывается лишением свободы на срок до пяти лет.

Контрабандой признается противоправное перемещение через таможенную границу товаров и иных предметов в крупных размерах. Здесь на наш взгляд весьма уместно вернуться к вопросу о вреде как одном из основных критериев разграничения преступлений и административных правонарушений.

Более опасным видом контрабанды является аналогичное противоправное перемещение через таможенную границу товаров, в отношении которых установлены специальные правила их ввоза в Российскую Федерацию и вывоза из нее.

К примеру, лишением свободы на срок от трех до семи лет с конфискацией имущества наказывается контрабанда., предметом которой являются: наркотические средства, психотропные, сильнодействующие, ядовитые, отравляющие, взрывчатые, радиоактивные вещества, радиационные источники, ядерные материалы, огнестрельное оружие, взрывные устройства, боеприпасы, оружие массового поражения, средства его доставки, иное вооружение, военная техника, а также материалы и оборудование, которые могут быть использованы для создания оружия массового поражения, средств его доставки и стратегически важных сырьевых товаров или культурных ценностей.

При наличии обстоятельств, отягчающих ответственность, а именно: совершение контрабанды неоднократно либо совершение контрабанды должностным лицом с использованием своего служебного положения либо - с применением насилия к лицу, осуществляющему таможенный контроль, контрабанда наказывается лишением свободы на срок от пяти до десяти лет с конфискацией имущества.

Неоднократность означает совершение лицом единолично или совместно с другими лицами противоправных действий два раза или более, если за ранее совершенное преступление это лицо не было в установленном законом порядке освобождено от уголовной ответственности, либо судимость за ранее совершенное этим лицом аналогичное преступление не была погашена или снята.

Прежде всего, к ним относятся должностные лица таможенных органов, контрольно-пропускных пунктов пограничной службы; должностные лица, деятельность которых связана с постоянным перемещением товаров и транспортных средств и иных предметов через таможенную границу (капитаны морских судов, начальники железнодорожных поездов, командиры экипажей самолетов, директора международных выставок), а также должностные лица - представители высших органов государственной власти (федеральных и субъектов Федерации) и Правительства РФ, пересекающие границу в связи с исполнением служебных обязанностей.

Использование своего служебного положения при контрабанде означает, что какое-либо должностное лицо из числа названных вопреки интересам службы совершает вытекающие из его полномочий действия по незаконному перемещению через таможенную границу предметов контрабанды либо по устранению препятствий на пути совершения данного преступления другими лицами.

Насилие как отягчающее обстоятельство при совершении контрабанды проявляется в виде применения физического или психического насилия к лицу, осуществляющему таможенный контроль.

Физическое насилие различается по степени его проявления и может заключаться в причинении легкого, средней тяжести или тяжкого вреда здоровью лица, осуществляющего таможенный контроль, путем нанесения ему побоев или иным образом.

Психическое же насилие заключается в угрозе причинения физического насилия независимо от степени его тяжести.

И наконец, наиболее опасной формой контрабанды считается контрабанда, совершенная организованной группой лиц, то есть устойчивой группой лиц, заранее объединившихся для совершения одного или нескольких преступлений и распределивших между собой преступные функции (ст. 35 УК РФ). Такая форма контрабанды наказывается лишением свободы на срок от семи до двенадцати лет с конфискацией имущества (см. приложение 1).

Ежегодно в Москве проводится коллегия ФТС, на которой непременно обсуждаются методы борьбы с контрабандой, и приводится ежегодная статистика по объемам незаконно ввозимой и вывозимой продукции за предыдущий год.

По некоторым данным, в частности, СЗТУ, самыми распространенными объектами контрабанды в северных районах России являются средства наземного транспорта, товары народного потребления (одежда и обувь), наркотические средства, психотропные и сильнодействующие вещества, иностранная валюта и валюта РФ, лес и лесоматериалы, культурные ценности, продукты питания, морепродукты.

Незаконный экспорт - это экспорт, осуществляемый с нарушением установленного государством порядка контроля (экспортного контроля) за вывозом из России товаров (в том числе технологий, научно-технической информации и услуг), которые применяются или могут быть при создании оружия массового уничтожения, ракетных средств его доставки и иных наиболее опасных видов оружия.

Номенклатура таких товаров (технологий, информации и услуг) определяется списками и перечнями, устанавливаемыми указами Президента РФ по представлению Правительства РФ. За незаконный экспорт предусмотрена уголовная ответственность по ст. 189 УК РФ.

Наличие уголовно-правовой охраны порядка осуществления экспорта отдельных видов товаров, технологий, информации и услуг лишь подчеркивает особую важность проводимого государством экспортного контроля, целью которого является поддержание обороноспособности страны и международной безопасности, а также соблюдение международных обязательств России по нераспространению оружия массового поражения.

Экспортный контроль представляет собой совокупность мер по реализации федеральными органами исполнительной власти установленного законодательством Российской Федерации порядка вывоза за ее пределы вооружений и военной техники, а также отдельных видов сырья, материалов, оборудования, технологий и научно-технической информации, которые могут быть использованы при создании вооружений и военной техники, по недопущению вывоза оружия массового уничтожения и иных наиболее опасных видов оружия и технологий их создания, а также мер по выявлению, предупреждению и пресечению нарушений этого порядка.

Экспортный контроль обеспечивается: составлением списков и перечней товаров (в том числе технологий, информации и услуг) соответствующего назначения, выдачей заключений о возможности экспорта контролируемых товаров, оформлением импортного сертификата, оформлением сертификата подтверждения доставки при импорте, предоставлением гарантии страны - получателя товаров на использование их в мирных целях, предоставлением обязательства страны-получателя о недопущении несанкционированного реэкспорта, лицензированием экспорта содержащихся в контрольном списке товаров.

Для обеспечения контроля за соблюдением правил экспорта контролируемых товаров в России создана комиссия по экспортному контролю, в состав которой входят представители МИД России, Министерства экономического развития и торговли РФ, ФТС России и ряда других министерств и ведомств.

Экспорт сырья, товаров (технологий, научно-технической информации и услуг), используемых при создании оружия массового поражения, вооружения и военной техники, осуществляемый с нарушением установленного законодательством Российской Федерации порядка его осуществления, образует состав преступления, предусмотренного ст. 189 УК РФ.

Раньше невозвращение в Россию вывезенных из неё предметов художественного, исторического и археологического достояния, когда такое возвращение является обязательным, рассматривалось таможенным законодательством как контрабанда.

Однако позднее было выделено в самостоятельный состав преступления. Целью этого явилось акцентирование внимания на сохранении культурного наследия народов России, его уголовно-правовой охране государством, а также - на общественной опасности деяния, предусмотренного ст. 190 УК РФ.

Объектом данного преступления является монополия государства на перемещение предметов художественного, исторического и археологического достояния народов России и зарубежных стран.

Но так как культурные ценности, отнесенные к особо ценным объектам культурного наследия народов России, вывозу (даже временному) из страны не подлежат, поэтому и предметом анализируемого преступления быть не могут.

Под временным вывозом культурных ценностей понимается перемещение любыми лицами в любых целях через таможенную границу Российской Федерации находящихся на ее территории культурных ценностей с обязательством их обратного ввоза в оговоренный срок.

Временный вывоз культурных ценностей осуществляется музеями, архивами, библиотеками, другими юридическими и физическими лицами для организации выставок, осуществления реставрации, научных исследований, в связи с театральной и иной артистической деятельностью, а также в других необходимых в рамках осуществления международного сотрудничества России с другими государствами целях. Порядок временного вывоза культурных ценностей строго регламентирован Законом РФ "О вывозе и ввозе культурных ценностей" и другими нормативными актами.

В соответствии ТК ТС незаконные валютные операции, такие, как:

.        умышленное заявление таможенным органам ложных сведений с целью сокрытия полученных в результате осуществления внешнеэкономической деятельности доходов в валютных ценностях;

.        занижение их размера;

.        несоблюдение установленных требований об обязательном ввозе или переводе в Российскую Федерацию полученных таким путем валютных ценностей;

.        совершение платежей в иностранной валюте или платежных документах в иностранной валюте по фиктивным внешнеэкономическим сделкам, связанным с перемещением товаров через таможенную границу;

.        а также иные незаконные валютные операции и деяния с валютными ценностями, касающиеся таможенного дела,

признаются преступлением и наказываются в соответствии с уголовным законодательством России.

Однако это положение Таможенного кодекса не получила своего полного отражения в новом российском Уголовном кодексе. Поэтому, на наш взгляд, можно говорить лишь о его частичном изложении в ст. 193 УК РФ.

Данная статья гласит: невозвращение в крупном размере из-за границы руководителем организации средств в иностранной валюте, подлежащих в соответствии с законодательством Российской Федерации обязательному перечислению на счета в уполномоченный банк Российской Федерации, - наказывается лишением свободы на срок до трех лет.

Общественная опасность данного преступления заключается в посягательстве на экономическую безопасность Российской Федерации посредством невозвращения в страну средств в иностранной валюте, получаемых от внешнеэкономической деятельности, то есть - в утечке валютных средств за рубеж.

Статья 193 УК РФ не содержит конкретного перечня подлежащих обязательному перечислению средств, поэтому необходимо обращение к соответствующему валютному законодательству (см. приложение 2).

Умышленное уклонение от уплаты таможенных платежей в крупных и особо крупных размерах признается преступлением и наказывается в соответствии с уголовным законодательством Российской Федерации. Ответственность за это преступление предусмотрена ст. 194 УК РФ, целью которой является охрана финансовых интересов государства в сфере взимания таможенных платежей.

Под таможенными платежами подразумеваются платежи, уплачиваемые при перемещении товаров и транспортных средств через таможенную границу России и в иных предусмотренных законом случаях.

К ним относятся: таможенная пошлина, налог на добавленную стоимость, акцизы, сборы за выдачу лицензий таможенными органами и за возобновление действия лицензий, сборы за выдачу квалификационного аттестата специалистов по таможенному оформлению и за возобновление действия аттестатов, таможенные сборы за таможенное оформление, таможенные сборы за хранение товаров, таможенные сборы за таможенное сопровождение товаров, плата за информирование и консультирование, плата за принятие предварительного решения, плата за участие в таможенных аукционах, сборы за включение банков и иных кредитных учреждений в реестр ФТС России и таможенные платежи, взимаемые по единым ставкам.

В настоящее время таможенные платежи составляют около одной трети всех налоговых поступлений в федеральный бюджет. В этой связи уголовно-правовая охрана интересов государства в части их уплаты является весьма актуальной, что нашло отражение во внесенных в ст. 194 УК РФ Федеральным законом от 25 июня 1998 года изменениях, которые коснулись, прежде всего, санкций в сторону их ужесточения за преступные деяния, связанные с неуплатой таможенных платежей.

2. АКТУАЛЬНЫЕ ВОПРОСЫ ПРИМЕНЕНИЯ УГОЛОВНОЙ ОТВЕТСТВЕННОСТИ ЗА ТАМОЖЕННЫЕ ПРАВОНАРУШЕНИЯ

 

.1 Особенности преступлений в сфере таможенного дела


Борьба с контрабандой и иными преступлениями - неотъемлемый элемент компетенции таможенных органов в области правоохранительной деятельности.

В действующем Таможенном кодексе Таможенного Союза этому обстоятельству посвящен специальный раздел, что свидетельствует о месте и об особой актуальности данного вопроса в структуре современного таможенного дела России.

Понятие преступления содержится в ст. 14 Уголовного кодекса РФ, в соответствии с которой преступлением признается виновно совершенное общественно опасное деяние, запрещенное Уголовным кодексом РФ под угрозой наказания.

При этом частью второй этой статьи УК РФ определено, что не является преступлением действие (или бездействие), хотя формально и содержащее признаки какого-либо деяния, предусмотренного Уголовным кодексом РФ, но в силу малозначительности не представляющее общественной опасности, то есть не причинившее вреда и не создавшее угрозы причинения вреда личности, обществу или государству.

Основной особенностью преступлений в сфере таможенного дела является то, что для уяснения их содержания и правильной квалификации того или иного деяния по признакам конкретного состава таможенного преступления правоприменителю помимо Уголовного кодекса РФ необходимо использовать также целый ряд иных законов, а также указов Президента РФ, постановлений Правительства РФ и иных подзаконных актов.

Следует также помнить и о том, что, к примеру, предметом преступления, квалифицируемого по статье 194 УК РФ, являются: единый таможенный платеж, уплачиваемый физическим лицом, либо таможенные пошлины и налоги, подлежащие уплате при коммерческом перемещении товаров и транспортных средств. Поскольку таможенные сборы уплачиваются до фактического оказания услуги, они, как правило, не являются предметом такого преступного посягательства.

В правоприменительной деятельности возникают вопросы квалификации и разграничения составов контрабанды и уклонения от уплаты таможенных платежей.

Позиция Верховного Суда РФ по данному вопросу отражена в пункте 22 постановления Пленума от 27 мая 2008 г. № 6 "О судебной практике по делам о контрабанде". Так, не образуют состава контрабанды и подлежат квалификации только по статье 194 УК РФ действия, связанные с уклонением от уплаты таможенных платежей, совершенные после принятия таможенным органом решения о выпуске товаров в свободный оборот.

Например, использование ввезенных товаров на таможенной территории России вопреки условиям помещения этих товаров под таможенный режим, содержание которого предусматривает полное или частичное освобождение от уплаты таможенных пошлин либо возврат уплаченных сумм, или в случаях, когда способ получения от таможенного органа разрешения на выпуск товара и уклонения тем самым от уплаты таможенных платежей не связан с совершением действий, перечисленных в диспозиции части 1 ст. 188 УК РФ.

Кроме того преступные посягательства в области таможенного дела следует разграничивать с административными правонарушениями, квалифицируемыми по главе 16 КоАП РФ.

Главным критерием разграничения преступных посягательств от административных правонарушений в области таможенного дела является вред, причиненный нарушением.

При этом надо учитывать, что объективная сторона уклонения от уплаты таможенных платежей (ст. 194 УК РФ) идентична объективной стороне административного правонарушения в области таможенного дела, квалифицируемого по статье 16.22 КоАП РФ "Нарушение сроков уплаты таможенных платежей". Если подобное деяние совершено в крупном размере, то лицо привлекается к уголовной ответственности.

На данный момент таможенные правонарушения и их последствия, в виде устойчивых негативных тенденций развития представляют для России огромную опасность именно своим всё более возрастающим влиянием на многие аспекты жизни общества как экономического, так и социального характера.

Поэтому необходимость принятия неотложных мер по усилению борьбы с преступностью, контроль и надзор в таможенной сфере, координация деятельности правоохранительных органов в борьбе с этой преступностью является в настоящее время достаточно актуальной.

Но вместе с тем резко обостряет решение этой проблемы высокая коррумпированность, взяточничество, соучастие в контрабанде, злоупотребления служебным положением, халатность некоторых работников таможенных органов. Всё это вместе взятое причиняет огромный ущерб нашему государству.

Нельзя не отметить, что актуальность рассматриваемой проблемы связана и с тем, что от эффективного противодействия таможенным правонарушениям во многом зависит состояние борьбы с экономической преступности в целом.

Наращиваемый преступный капитал, получаемый в результате контрабанды, уклонения от уплаты таможенных платежей, используется для вложения в новые виды преступной деятельности.

Одной из причин недостаточно эффективной борьбы правоохранительных органов с преступлениями в сфере таможенного дела является преимущественное использование их сотрудниками традиционных форм и методов оперативно-служебной деятельности, в том числе при организации взаимодействия, как между собой, так и с правоохранительными органами зарубежных государств.

В результате правоохранительным сообществом в борьбе с преступностью еще не в полной мере используются ресурсы таможенной службы России, являющейся субъектом оперативно-розыскной деятельности, органом дознания.

 

.2 Проблемы уголовной ответственности за таможенные правонарушения в России


На современном этапе одной из актуальнейших проблем уголовной политики России принято считать разработку системы мер борьбы с экономической преступностью.

Преступления в сфере таможенной деятельности, являясь разновидностью экономических преступлений, обладают особенностями криминологической характеристики, и соответственно нуждаются в специфическом правовом воздействии.

Однако, несмотря на обозначившийся в последние годы процесс снижения количества криминальных деяний, уровень преступности в сфере таможенной деятельности продолжает оставаться весьма обширным, так как преступность в сфере таможенного регулирования год от года становится все более профессиональной и организованной.

Кроме того на наш взгляд есть все основания говорить о деятельности синдикатов, занимающихся организацией контрабандных перевозок, так как контрабанда валюты, драгоценностей, произведений искусств, религиозного культа и особенно наркотических веществ и оружия стала в последнее время бизнесом, приносящим огромные доходы.

Также надо учитывать и то, что в основном результаты аналитической работы подразделений статистики с базами данных, имеющихся в распоряжении таможен, дают информацию к размышлению подразделениям по борьбе с контрабандой.

Например, пристальному вниманию у подразделений статистики всегда пользуются: товаропотоки, которые попадают под минимальную ставку налогообложения; товары с несомненно сознательно заниженной стоимостью; товары с завышенной стоимостью, возможно, участвующие в так называемом лжеэкспорте; недобросовестные участники ВЭД, ищущие проблемные и слабые места в таможенном оформлении.

Однако проведение совместного анализа данных России и стран-партнеров и его сопоставления позволяют выявить различного рода нарушения, которые происходят при таможенном оформлении и кроме того способны выявить категории товаров, попадающих на таможенную территорию России без таможенного оформления или контрабандным путем.

Следовательно, можно сделать вывод о том, что контрабанда несомненно является одним из способов обогащения, а значит, она будет существовать всегда, пока государство не найдет действенные способы её искоренения.

Но вместе с тем надо учесть и то, что работники таможенных органов постоянно подвергаются мощному давлению со стороны лиц, которые заинтересованы в уклонении от уплаты таможенных платежей и провозе контрабанды.

Масштабы этой заинтересованности выражаются в огромных размерах, особенно в товарном обороте, что в свою очередь способствует злоупотреблениям, ими допускаемым и в конечном итоге чревато тяжкими негативными последствиями.

Также нельзя не отметить, что работники таможенных органов обладают большими дискреционными полномочиями, что создает почву для корыстных злоупотреблений, а, следовательно, и участию в таможенных преступлениях.

В работах В.Д. Ларичева, Н.С. Гильмутдинова., Т.А. Диканова., В.Е. Осипова, Ю.П. Гармаева и многих других авторов констатируется, что наиболее организованные и общественно опасные способы контрабанды, уклонения от уплаты таможенных платежей и других таможенных преступлений совершаются в соучастии с должностными лицами таможенных органов.

Наиболее масштабные способы контрабанды, невозможны без участия в них целых организованных преступных групп, в которые входят руководители и работники железной дороги и других предприятий транспорта, торговых организаций, банков, добывающих предприятий, заводов-переработчиков и многие другие. Контрабандные операции являются одним из мощнейших источников коррупции - бича России на современном этапе.

Но вместе с тем, несмотря на сложную обстановку, анализ следственной и судебной практики, ведомственных нормативных актов, научной и методической литературы позволит сделать вывод о том, что правоохранительные органы, призванные бороться с таможенными правонарушениями, не учитывают в должной мере всю сложность данной ситуации. Это позволяет на наш взгляд выделить ряд недостатков в работе правоохранительных органов при расследовании уголовных дел:

.        Правоохранительные органы, в чью компетенцию входит борьба с преступлениями, не достаточно эффективно взаимодействуют друг с другом и с федеральными органами исполнительной власти при проведении оперативно-розыскных мероприятий и в рамках расследования.

.        Проводимая работа по пресечению, раскрытию и расследованию преступлений все еще не носит системного характера и содержит определенные недостатки.

.        Участники организованной преступной деятельности постоянно совершенствуют свои приемы и методы совершения преступлений, заимствуя и модернизируя новые способы на региональном, национальном и международном уровне. Практические работники в этом отстают, не имея возможности противопоставить адекватные, в том числе, криминалистические средства, приемы и методы.

.        Негативная оценка эффективности работы правоохранительных органов, их порой пренебрежительное отношение к законодательным нормам и повсеместно выявленные факты нарушений закона.

.        Коррупция в правоохранительных и иных государственных органах зачастую сводит на нет все усилия по уголовному преследованию руководителей и членов организованных преступных формирований в рамках уголовного дела.

Итак, в связи с переходом России на новую экономическую систему, отказом государства от монополии во внешней торговле, повышением её роли в экономике страны проблемы борьбы с таможенными преступлениями за последнее время приобрели особую актуальность.

Интеграционные процессы, происходящие на постсоветском пространстве, привели к образованию Таможенного Союза, в рамках которого проводится согласованная социальная политика, направленная на создание условий, обеспечивающих достойную жизнь и свободное развитие человека.

Поэтому соответственно встаёт вопрос о необходимости унифицировать уголовное законодательство, и как следствие - правила ответственности за нарушение этих норм, а в данный момент каждая страна этого союза имеет своё уголовное законодательство.

Кроме того в процессе унификации таможенного законодательства стран ТС возникает ряд правовых проблем, требующих принятия дополнительных законодательных решений.

Среди основных проблем, которые возникают при построении единого таможенного пространства, является проблемы установления в Таможенном Союзе единых правил перемещения товаров через таможенную границу, их перевозка по единой таможенной территории, проведение таможенного контроля и уплата таможенных платежей.

Таким образом, возникает проблема координации и осуществления правоохранительной деятельности органов стран - участниц ТС.

ЗАКЛЮЧЕНИЕ


В связи с вышеизложенным в данной курсовой работе, хочу подвести итог.

Анализ действующего законодательства позволяет сделать вывод, что уголовная ответственность является правовой реакцией на совершение преступления.

Уголовная ответственность реализуется в определенных видах правоотношений. При рассмотрении уголовной ответственности в контексте правоотношений, возникающих между нарушителем закона и органами государственной власти, следует помнить, о том, что государство вправе применить меру принуждения к правонарушителю с момента возникновения уголовного правоотношения.

Понятие ответственности за правонарушения в сфере таможенного дела носит сложный комплексный характер, обусловленный комплексным характером самого таможенного дела.

Под преступлением в сфере таможенного дела понимается предусмотренное уголовным законом общественно опасное виновное деяние.

Согласно действующему в России законодательству преступлениями в сфере таможенной деятельности могут считаться контрабанда, незаконный экспорт технологий, научно-технической информации и услуг, которые используются при создании оружия массового поражения, вооружения и военной техники, невозвращение на территорию РФ предметов художественного, исторического, археологического достояния Российской Федерации и зарубежных стран, а также уклонение от уплаты таможенных платежей.

Однако в правоприменительной практике при расследовании наиболее часто допускаются нарушения. Например, уголовные дела возбуждаются таможенными органами преждевременно и поспешно. Порой некачественно производится дознание, отсутствует элементарное взаимодействие и координация с органами внутренних дел на транспорте при выполнении первоначальных следственных действий и при проведении оперативно-розыскных мероприятий, не обеспечиваются права и процессуальные гарантии лицам, в отношении которых возбуждены дела, что не позволяет в свою очередь привлечь данных лиц к уголовной ответственности.

Кроме того в некоторых случаях в ходе предварительной проверки и на первоначальном этапе расследования допускаются процессуальные нарушения при оформлении предметов и вещественных доказательств, которые невозможно устранить и восполнить в дальнейшем, что также ведет к прекращению дел.

Наряду с этим следователи, из прокуратуры и полиции в результате некачественного и непрофессионального расследования дел порой не принимают всех мер по опровержению сообщенных заинтересованными лицами реабилитирующих сведений и тем самым необоснованно прекращают уголовные дела.

Наряду с этим необходимо учитывать, что квалификация при возбуждении и прекращении уголовных дел о таможенных преступлениях имеет свои особенности, связанные с бланкетной конструкцией соответствующих уголовно-правовых норм, а также со спецификой предмета, объективной стороны, специального субъекта и проявления субъективной стороны комментируемых деяний.

Следовательно, уголовно-правовая борьба с преступлениями в сфере таможенного дела нуждается как в совершенствовании законодательства в данной сфере, так и практики его применения.

На современном этапе одной из актуальнейших проблем уголовной политики России и стран ТС является разработка системы мер по борьбе с экономической преступностью.

Преступления в сфере таможенной деятельности, являясь разновидностью экономических преступлений, обладают особенностями криминологической характеристики, и поэтому, несомненно, нуждаются в специфическом правовом воздействии.

Но вместе с тем с целью укрепления взаимодействия на постсоветском пространстве активно ведется работа в рамках Комитета глав правоохранительных подразделений таможенных служб государств - участников СНГ. Данный комитет координирует действия таможенных органов по борьбе с контрабандой на пространстве СНГ.

Кроме того, ФТС России осуществляет взаимодействие с Интерполом, Европолом и другими международными организациями, а также с полицейскими структурами стран Западной, Центральной и Восточной Европы.

 

СПИСОК ИСПОЛЬЗОВАННОЙ ЛИТЕРАТУРЫ


1.      Андреев, К.А. Проблемы информационного взаимодействия таможенных органов Российской Федерации с компетентными органами иностранных государств и международными организациями при ведении производства о нарушении таможенных правил / К.А. Андреев, A.B. Семёнов // Россия и ВТО: непростой диалог: сборник материалов Всероссийской научно-практической конференции с международным участием. - СПб.: филиал РТА, 2010. - С. 155-161.

.        Андриашин Х.А., Свинухов В.Г. Таможенное право. - М.: ЗАО Юстицинформ, 2010. - 264 с.

.        В.Т. Батычко Таможенное право в вопросах и ответах. - Таганрог: Изд-во ТРТУ, 2011. -

.        Бекяшев К.А., Моисеев Е.Г. Таможенное право. - М.: Проспект, 2010. - 356 с.

.        Богомолова А.А. Таможенное право. - М.: ИД Юрайт, 2011. - 170 с.

.        Буранов Г.К., Рябова А.Ю. Об ответственности за уклонение от уплаты налогов, сборов и таможенных платежей // "Черные дыры" в Российском Законодательстве. - Юридический журнал. - 2010. - №3 - с. 45 - 47

.        Вагин В.Д. Теория и методология таможенного дела. Сборник научных трудов в двух частях. - М.: ИНФРА-М, 2011. - 452 с.

.        Вишняков В. Нарушение таможенных правил // Таможня. - 2010. - № 5. - с. 10 - 12

.        Габричидзе Б.Н., Чернявский А.Г. Таможенное право. - М.: ИНФРА-М, 2009 - 410 с.

10.    Диканова Т.А., Осипов В.Е. Борьба с таможенными преступлениями и отмыванием грязных денег. - М.: 2010. - 1064 с.

.        Договор об особенностях уголовной и административной ответственности за нарушения таможенного законодательства таможенного союза и государств - членов таможенного союза [Электронный ресурс]: Решение Межгосударственного Совета ЕврАзЭс от 05.07.2010 - № 50.

.        Журавлёв М.П. Уголовное право России. Части общая и Особенная. - М.: ТК Велби, Изд-во Проспект, 2012. - 650 с.

.        Кирсанов А.Ю. Квалификация таможенных преступлений // Вестник Московского университета МВД России. - 2010. - №3. - С. 53

.        Комаров С.А., Малько А.В. Теория государства и права. - М.: 2010. - 569 с.

.        Ларичев В.Д., Гильмутдинова Н.С. Таможенные преступления. - М.: Экзамен, 2011. - 608с.

16.    Покровская В.В. Таможенное дело. - М.: Издательство Юрайт; 2012. - 246 с.

.        Ноздрачев А.Ф. Таможенное право. - М.: Проспект, 2011. - 688с.

.        Официальный сайт Федеральной таможенной службы РФ - #"809208.files/image003.gif">

Рис. 1 Схема контрабанды

Приложение 2

Рис.2 Схема невозвращения из-за границы средств в иностранной валюте

Похожие работы на - Уголовная ответственность за таможенные правоотношения

 

Не нашли материал для своей работы?
Поможем написать уникальную работу
Без плагиата!
Без нейросетей!