Электропроводность горных пород
Федеральное
агентство по образованию Российской Федерации
Государственное
образовательное учреждение
Высшего
профессионального образования
Саратовский
государственный университет
Им.
Н.Г. Чернышевского
КУРСОВАЯ
РАБОТА
Электропроводность
горных пород
студента
IV курса
геологического факультета
Логинова
Александра Алексеевича
группа
- 401
специальность
- геология нефти и газа
Научный
руководитель
профессор,
заведующий кафедройд.ф.-м.н.
В.П.
Губатенко
Саратов 2015
ВВЕДЕНИЕ
Исследована зависимость электропроводности
горных пород от доли трещин и их заполнения в процессе разуплотнения
высокоомным или низкоомным флюидом. Решена задача магнитотеллурических
зондирований для двух моделей трещиноватой четырехслойной
горизонтально-слоистой среды. Показана возможность мониторинга динамики
разуплотнения горных пород методами магнитотеллурических зондирований и
становлением поля. Установлены критерии, позволяющие по знаку аномального
сигнала становления поля судить о величине электропроводности заполняющего
трещины (поры) флюида. Под воздействием механических напряжений в земной коре
происходят процессы разуплотнения горных пород. Эти процессы могут проявляться
в образовании трещин и дилатансии, обусловленной деформациями сдвига и
переупаковкой минераловиз плотного состояния в рыхлое или ростом трещин отрыва
[Николаевский, 1996]. Разуплотнение пород может протекать также в соответствии
с дилатационной моделью [Огаджанов, 1998], предполагающей внедрение в
изначально дилатансионную зону высоконапорных флюидов, поступающих из
нижележащих толщ. В результате расширяются трещины и увеличивается доля
пространства, насыщенного флюидами. При дилатации может также возрастать
пористость изначально уплотненных не нарушенных трещиноватостью горных пород. В
любом случае при разуплотнении горных пород изменяются макроскопические
свойства среды, в том числе электропроводность. Прогноз изменений
трещинно-порового пространства составляет основную цель мониторинга динамики
разуплотнения методами электроразведки. В настоящей статье покажем, что
эффективная электропроводность разуплотненных горных пород, так же как
возбуждаемое электромагнитное поле, существенно зависят от степени
трещиноватости (пористости) среды и электропроводности флюида, заполняющего
трещины (поры).
. ИЗМЕНЕНИЕ ЭФФЕКТИВНОЙ ЭЛЕКТРОПРОВОДНОСТИ ОТ
СТЕПЕНИ ТРЕЩИНОВАТОСТИ СРЕДЫ
Рассмотрим немагнитную изотропную
вмещающую среду электропроводности
, испещренную системой
ориентированных в некотором направлении трещин, заполненных немагнитным флюидом
электропроводности
. Пусть доля
трещин во вмещающей среде, то есть отношение занимаемого трещинами объема к
общему объему, составляет
. Хотя
локальные свойства такой среды являются изотропными, в среднем она ведет себя
подобно одноосной анизотропной среде, характеризуемой тензором эффективной
электропроводности с компонентами
и
[Бурсиан, 1972, Уэйт, 1987,
Губатенко, 1991, Губатенко, Бердичевский, Светов, 1992]. Эти компоненты
определяют, соответственно, эффективную электропроводность композитной среды
поперек и вдоль направления трещин и имеют вид
, 
где
определяет контраст
электропроводностей вмещающей среды и флюида, заполняющего трещины.
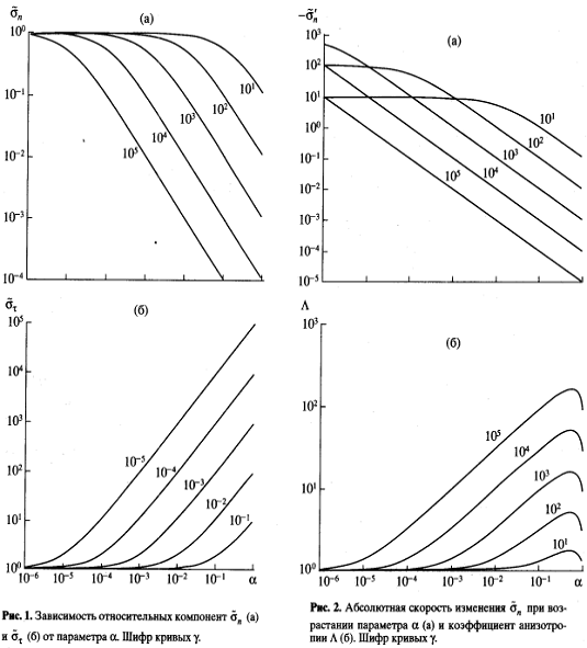
Из этих выражений следует совершенно
различное поведение относительных компонентов тензора электропроводности
и
при малом
параметре
, то есть в
самом начале трещинообразования. Действительно, в случае
<1 и
напряженность электрического поля ориентирована поперек направления трещин, то
процесс трещинообразования при наблюдении электромагнитного поля не будет
заметен, а если вдоль, то по измерениям поля становится возможным определить
момент зарождения трещин. Случай
<1 (трещины заполнены высокоомным
флюидом - газом или нефтью) прямо противоположен только что рассмотренному -
при малом параметре
относительная
компонента
а
заметно
меньше единицы, то есть обнаружение ранее трещинообразования электромагнитными
методами невозможно для напряженности электрического поля, ориентированной вдоль
направления трещин, и доступно в случае поперечного относительно направления
трещин электрического поля. Изменение относительных компонентов тензора
электропроводности в зависимости от
и
показано на рис. 1.
разуплотнение горный порода трещина
Разное поведение компонентов
и
можно
проследить по скорости изменения эфективной электропроводности при увелечение
параметра
. Вычисляю
производные по параметру
от
,
находим
Таким образом, абсолютная величина
скорости
изменения
убывает при
возрастание
, однако,
при одних и тех же малых
эта
величина тем больше, чем больше
, в то время как скорость
изменения
компоненты
не зависит
от доли трещин
во
вмещающей среде, но она возрастает при уменьшении
, то есть
при заполнении трещин низкоомным флюидом. Зависимость изменения скорости
от
параметров
и
изображена
на рис. 2а.
Напряженность электрического поля в
рассматриваемой модели трещиноватой среды имеет, как правило, обе составляющие
- вдоль направления тещин и поперек. В этом случае важнейшим параметром,
определяющим поведение электромагнитного поля, является, кроме компонент
,
эффективной
электропроводности, коэффициент анизотропии
. Учитывая зависимость
,
трещиноватой
среды, для коэффициента анизотропии можно записать следующее выражение:
Коэффициент анизотропии
удовлетворяет неравенству
и обладает
свойством симметрии:
. Это
свойство означает, что коэффициент анизотропии
для высокоомного флюида,
заполняющего трещины, такой же, как и для низкоомного. Коэффициент анизотропии
для одного и того же параметра
тем больше, чем контрастнее по
электропроводности вмещающая среда и флюид. На рис. 2б. показана зависимость
от
и
.
Мы показали, что разрыв сплошности
горных пород и образование в них трещин, приводит к значительному изменению
эффективной электропроводности даже при ничтожной доле трещин в среде. Это
обстоятельство открывает перспективу для прогноза динамики развития
трещиноватости в среде на основе классических методов электроразведки. Вместе с
тем, для обнаружения методами электроразведки областей разуплотнения
трещиноватого типа на большой глубине (10км и более) необходимы, в силу
затухания электромагнитного поля с глубинной, источники поля большой мощности.
. ЭЛЕКТРОМАГНИТНОЕ ПОЛЕ В МОДЕЛЯХ
РАЗУПЛОТНЕННЫХ СТРУКТУР ТРЕЩИНОВАТОГО ТИПА
В качестве примера, иллюстрирующего
возможности методов для электроразведки для мониторинга динамики разуплотнения
горных пород, рассмотрим в прямоугольной декартовой системе координат х, у, z
четырехслойную модель немагнитной (магнитная проницаемость
Гн/м среды
(рис. 3). Верхнее полупространство (z<0) в
этой модели непроводящее
. Первый
слой (0<z<h1) -
однородный изотропный проводник электропроводности
. Второй
слой (h1 <z<h2) -
макроанизатропный, определенный тензором электропроводности
. Его
анизотропия вызвана тем, что в нем (первоначально изотропном электропроводности
)
образовались трещины, ориентированные вдоль оси OY,
наклоненные под углом φ к оси OZ и
заполненные флюидом электропроводности
. Таким образом, если доля трещин во
втором слое равна
, то в
прямоугольной декартовой системе координат x', y', z', связанной
с координатами x, y, z
соотношениями
тензор
определяется
матрицей
где
,
вычисляются по формуле (1). В
системе координат x', y', z'
поверхности трещин лежат в плоскостях z' = const. Нетрудно
показать, что в системе координат x, y, z тензор
имеет вид

Пусть из верхнего полупространства
вертикально падает плоская Н-поляризованная волна с круговой частотой
и
компонентами
напряженности
магнитного поля и
напряженности
электрического поля. В силу симметрии задачи электромагнитное поле будет
зависеть только от координаты z. Учитывая это, а так же то, что в
возбуждающем поле
= 0, запишем
уравнения Максвелла в первом и третьих слоях для единственных отличных от нуля
компонентов поля Ех, Ну :
Во втором анизатропном слое
электромагнитное поле определяется компонентами
связанные соотношениями
Последнее равенство в (4) есть
следствие того, что
= 0, где
-
составляющая плотности тока проводимости. Таким образом, хотя
≠ 0,
но
= 0. Такая
связь напряженности электрического поля и тока проводимости возможна в
анизатропной среде, но не допустима в изотропной. Уравнение (3), (4)
дополняются на поверхности раздела
= 0, z= h3 краевыми
условиями
а на поверхностях z= h1,z= h2 условиями
сопряжения
Подставляя
из
последнего равенства (4) в первое уравнение той же группы формул и исключая
компоненту
, j = 1,2,3 из
(3), (4), (7), (8), получим уравнение для компоненты
:
где
Решение задачи (5)-(9) хорошо
известно [Бердичевский, Жданов, 1981] и по формуле Ваньяна-Липской для
импеданса Z
Тихонова-Каньяра можно записать:
где
H1 = h1, H2 = h2-h1, H3 = h3-h2- мощности
1,2 и 3 слоев соответственно.

Для вариантов четырехслойной модели
среды (рис. 3) были рассчитаны амплитудные
и фазовые
кривые
магнитотеллурических зондирований (МТЗ). В обоих вариантах H1= 50м, H2 = 5000м, H3 = 5000м,
= 10-2СМ/м,
,
= 10-3 СМ/м.
Однако в первом случае третий слой низкоомный (
= 10-1 СМ/м), а во втором случае
высокоомный (
= 10-8
СМ/м). Как в том, так и в другом случаях трещины во втором слое заполняются
флюидом, поступающим из третьего слоя. В первом варианте
= 0.2СМ/м,
что соответствует минерализованной среде, а во втором случае - трещины
заполняются высокоомным флюидом (например, газом или нефтью) и поэтому
= 10-9
СМ/м.
Рис. 4. Амплитудные и фазовые кривые
МТЗ для трещиноватого слоя, заполненного минерализованной водой (а), нефтью или
газом (б). Шифр кривых
.
В случае заполнения трещин
минерализованной водой ( рис. 3а) кривые МТЗ представлены на рис. 4а для
.
Значению
соответствует
отсутствие трещин во втором слое. Здесь и в дальнейшем кривые электромагнитного
поля для этого значения будем изображать пунктирной линией. Изменение
амплитудных кривых становится более значимым с ростом доли
трещин, а
фазовые кривые МТЗ слабо зависят от изменения
. На рис. 4б следует, что по
результатам МТЗ могут быть обнаружены самые ранние моменты трещинообразования
во втором слое. Именно прослеживание изменений электромагнитных полей с
незначительными и, очевидно, медленными процессами трещинообразования, как
следствия напряженно-деформируемых состояний горных пород, и является основной
целью прогноза динамики разуплотнения. В отличии от первого варианта модели
четырехслойной среды, с увеличением доли
трещин различие кривых МТЗ
становится все менее заметным, а процесс раннего трещинообразования хорошо
определяется как по амплитудным, так и по фазовым кривым.
Аналогично поведение кривых
электромагнитного поля в случае зондирований становлением поля. Пусть на
поверхности четырехслойной среды (рис. 3) расположен вертикальный магнитный
диполь, момент которого в отсчет времени
= 0 скачкообразно изменяется с
некоторого постоянного значения до нуля. Для расчета кривых становления
электромагнитного поля приближенно будем считать второй слой изотропным с
эффективной электропроводностью
, вычисляемой так же, как в
рассмотренном случае МТЗ. Этот случай соответствует пористой среде или среде с
неупорядоченным и статистически равномерным распределением трещин по области
второго слоя. Тогда, напряженность электрического поля имеет единственную отличную
от нуля азимутальную компоненту
. Для двух вариантов модели
четырехслойной среды и для разноса
= 1000м рассчитаны кривые
где
- азимутальная компонента
напряженности электрического поля при
= 0 (трещины или поры во втором
слое отсутствуют)
время, на
котором аномальное поле
достигает
первого экстремального значения. На рис. 5 значения
отложены в
линейном масштабе, а время t - в логарифмическом. Кривые
для модели,
изображенной на рис. 3а, представлены на рис. 5а для значений
. До момента
времени t = 10-5с
, то есть до
этого момента значения
практически
не отличаются от значений
. При
дальнейшем увеличении времени кривые
переходят в момент времени t=tэкс через
отрицательный минимум, а затем - через положительный максимум и в пределе
стремятся к нулю при
. При
увеличении
возрастает
. С
уменьшением
значения
стремятся к
нулю. Кривые
для модели
на рис. 3б и
изображены
на рис. 5б. Также как в предыдущем случае
до момента времени t = 10-5с.
Затем, с увеличением t кривые
достигают
положительного максимума при
, переходят через отрицательный
минимум и стремятся к нулю. Из рис. 5б следует, что при заполнении трещин
высокоомным флюидом максимальное значение
тем больше, чем больше доля
трещин,
хотя при
кривые уже
мало отличаются друг от друга. Знак экстремума кривых
может
служить признаком того, каким флюидом наполнены трещины: при заполнении трещин
минерализованной средой
, а при
заполнении газом или нефтью
. Таким образом, поведение кривых
существенно
отличается в зависимости от электропроводности флюида, наполняющего трещины, и
доли трещин в среде.
Рис. 5. Относительная азимутальная
компонента
становления
поля вертикального магнитного диполя для разуплотненного слоя с
минерализованной водой (а), нефтью или газом (б). Шифр кривых
ЗАКЛЮЧЕНИЯ
. Эффективная электропроводность горных
пород может заметно изменяться при возникновении в них относительно малой доли
трещин.
. При заполнении трещин высокоомным
флюидом прогноз раннего трещинообразования методами электроразведки возможен
для напряженности электрического поля, ориентированной поперек направления
трещин, а при заполнении низкоомным флюидом - вдоль.
. Если трещины наполняются высокоомным
флюидом, то изменение электромагнитного поля может быть замечено на ранних
этапах трещинообразования, при 0,001% доле трещин. С увеличением доли трещин
изменения электромагнитного поля становится менее значимым. В случае же
заполнения трещин низкоомным флюидом (например, минерализованной водой)
изменение электромагнитного поля наиболее заметно при более 0,1% трещин во
вмещающей среде.
. По знаку аномального сигнала
становления поля можно судить о проводимости флюида, наполняющего трещины.
СПИСОК ЛИТЕРАТУРЫ
1. Бердичевский
М.Н., Жданов М.С. Интерпретация аномалий переменного электромагнитного поля
Земли. М.: Недра, 1981. 327 с.
. Бурсиан
В.Р. Теория электромагнитных полей, применяемых в электроразведке. Л.: Недра,
1972. 368 с.
. Губатенко
В.П. Эффект Максвелла-Вагнера в электроразведке//Изв. АН СССР. Физика Земли.
1991. №4. С. 88-98.
. Губатенко
В.П., Бердичевский М.Н., Светов Б.С. Магнитотеллурическое зондирование
вертикально-трещиноватых сред //Изв. АН СССР. Физика Земли. 1992. №4. С. 3-17.
. Огаджанов
В.А. Концепция геофизических исследований, основанная на явлении дилатации
горных пород // Геофизика. 1998. №4. С. 10-14.
. Уэйт
Дж. Р. Геоэлектромагнетизм: Пер. с англ. Ред. пер. Бердичевский М.Н. М.: Недра,
1987. 235 с.