Разработка проекта двухкатушечного индукционного зонда с заданным радиусом исследования и подавлением влияния скважины
Оглавление
Введение
Теория индукционного метода
Расчетная модель
Методика проектирования
Результаты расчетов
Графики полученных значений
Анализ результатов и обоснование принятого решения
Заключение
Список литературы
Введение
Основной задачей курсового проектирования является подбор
зонда такой длины, чтобы максимальный полезный сигнал в приемной катушке
генерировался из той части среды, которая и составляет радиус исследований, а
сигнал из зоны подавления существенно исключался.
Для этого, пользуясь теорией метода, опытом лабораторной работы 7,
и меняя расстояние между генераторной и приемной катушками, необходимо
рассчитать дифференциальные геометрические факторы в радиальном направлении для
зондов разной длины, близкой к оптимальной, построить зависимость величины
этого фактора от расстояния от оси катушек (скважины), 
., до границы изучаемой области. Расчеты провести для 3-х - 5-ти
значений 
, с шагом 
Теория
индукционного метода
Индукционные методы применяются для исследования вторичного
электромагнитного поля среды, ЭДС которого прямо пропорциональна
электропроводности горных пород. Вторичное электромагнитное поле возникает в
окружающей среде за счет вихревых токов, которые индуцированы катушкой,
питающейся от помещенного в скважину генератора переменного тока.
Простейший зонд индукционного метода может быть составлен из
двух катушек (генераторной и измерительной), опущенных в скважину. Расстояние
между серединами генераторной и измерительной катушек есть длина индукционного
зонда. Генераторная катушка зонда подключена к генератору переменного тока
ультразвуковой частоты 20 - 60 кГц и питается стабилизированным по частоте и
амплитуде током. Измерительная катушка зонда через усилитель и
фазочувствительный элемент подключена посредством кабеля к регистрирующему
прибору, расположенному на поверхности. Переменный ток, протекающий по
генераторной катушке, создает переменное магнитное поле (прямое и первичное),
которое, в свою очередь, индуцирует в среде, окружающей зонд, вихревые токи,
формирующие вторичное переменное магнитное поле той же частоты, что и первичное
[1].
Рис. 1 Двухкатушечный зонд ИК
В отличие от других методов сопротивления в ИК не требуется
непосредственного контакта измерительной установки с промывочной жидкостью. Это
дает возможность применять ИК в тех случаях, когда используются непроводящие
промывочные жидкости (приготовленные на нефтяной основе), а также в сухих
скважинах.
Благоприятные результаты получают при исследовании
индукционным каротажем разрезов пород низкого и среднего сопротивления и при
наличии повышающего проникновения фильтрата промывочной жидкости в пласт.
Расчетная
модель
Расчетная формула радиального геометрического фактора:
При исследованиях в скважинах методом
индукционного каротажа измеряют величину ЭДС вторичного магнитного поля,
образованного вихревыми токами.

= kи∙Bк∙μ2∙σ (1)
kи - коэффициент зонда;
Bк - пространственный фактор элементарного
кольца (тора);
μ - магнитная проницаемость среды;
σ - удельная электропроводность.
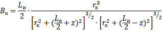
Пространственный фактор элементарного кольца (тора) определяется
уравнением:
Bк = 
(2)
Lи - длина зонда; rк - радиус элементарного кольца;
Lг и Lп - расстояния
от центров генераторной и приемной катушек до оси элементарного кольца.
Рис. 2. К выводу формулы пространственного фактора.
Выразим расстояния Lг и Lп через цилиндрические
координаты г и z. Из рис.2 следует,
Выражение (2) с учетом соотношений (3) перепишем в виде,
Из приведенной выше формулы следует, что величина
пространственного фактора элементарного кольца определяется его вертикальным
расположением относительно катушек и горизонтальным расстоянием от оси зонда
при фиксированной длине зонда.
Методика
проектирования
По заданным в варианте №7 значениям Rисс = 2 м, Rпод = 0,9 м и учитывая, что
расстояние rк изменяется с шагом ∆r = 0,1 м, а область по
вертикали учитывается от (-Lu/2) до (Lu/2), с шагом ∆Lu = 0,1 м, рассчитаем
дифференциальные геометрические факторы в радиальном направлении (Br) для зондов разной
длины, близкой к оптимальной, построить зависимости величины фактора от расстояния
от оси катушек (скважины). Расчеты проведены для 3-х значений Lu.
Проводим измерения для трех зондов 
Результаты
расчетов
Для решения задач поставленных в курсовом проекте были
выбраны три зонда с разными длинами
1. 
м.
|
rk
|
Br
|
|
|
|
|
0,1
|
0,1387
|
|
2,1
|
1,2562
|
|
0,2
|
0,2509
|
|
2,2
|
1, 2096
|
|
0,3
|
0,3803
|
|
2,3
|
1,1616
|
|
0,4
|
0,5211
|
|
2,4
|
1,1131
|
|
0,5
|
0,6671
|
|
2,5
|
1,0647
|
|
0,6
|
0,8117
|
|
2,6
|
1,0169
|
|
0,7
|
0,9486
|
|
2,7
|
|
0,8
|
1,0729
|
|
2,8
|
0,9245
|
|
0,9
|
1,1807
|
|
2,9
|
0,8804
|
|
1
|
1,2699
|
|
3
|
0,8379
|
|
1,1
|
1,3395
|
|
3,1
|
0,7971
|
|
1,2
|
1,3899
|
|
3,2
|
0,7581
|
|
1,3
|
1,4221
|
|
3,3
|
0,7208
|
|
1,4
|
1,4379
|
|
3,4
|
0,6853
|
|
1,5
|
1,4392
|
|
3,5
|
0,6516
|
|
1,6
|
1,4281
|
|
3,6
|
0,6196
|
|
1,7
|
1,4068
|
|
3,7
|
0,5892
|
|
1,8
|
1,3773
|
|
|
|
|
1,9
|
1,3413
|
|
|
|
|
2
|
1,3005
|
|
|
|
2. 
м.
|
rk
|
Br
|
|
|
|
|
0,05
|
0,092157
|
|
2,15
|
1,224598
|
|
0,15
|
0,180749
|
|
2,25
|
1,180865
|
|
0,25
|
0,294714
|
|
2,35
|
1,135791
|
|
0,35
|
0,421936
|
|
2,45
|
1,090104
|
|
0,45
|
0,557469
|
|
2,55
|
1,044393
|
|
0,55
|
|
2,65
|
0,999126
|
|
0,65
|
0,830237
|
|
2,75
|
0,954667
|
|
0,75
|
0,956374
|
|
2,85
|
0,911295
|
|
0,85
|
1,069736
|
|
2,95
|
0,869216
|
|
0,95
|
1,167379
|
|
3,05
|
0,828577
|
|
1,05
|
1,24763
|
|
3,15
|
0,789477
|
|
1,15
|
1,309952
|
|
3,25
|
0,751975
|
|
1,25
|
1,354742
|
|
3,35
|
0,716099
|
|
1,35
|
1,383085
|
|
3,45
|
0,681853
|
|
1,45
|
1,396526
|
|
3,55
|
0,64922
|
|
1,55
|
1,396865
|
|
3,65
|
0,61817
|
|
1,65
|
1,386001
|
|
3,75
|
0,588663
|
|
1,75
|
1,365807
|
|
|
|
|
1,85
|
1,338049
|
|
|
|
|
1,95
|
1,30434
|
|
|
|
|
2,05
|
1,266109
|
|
|
|
3. 
м.
|
rk
|
Br
|
|
|
|
|
0,1
|
0,123265
|
|
2,1
|
1,233478
|
|
0,2
|
0,222052
|
|
2,2
|
1, 194519
|
|
0,3
|
0,335688
|
|
2,3
|
1,153417
|
|
0,4
|
|
2,4
|
1,110981
|
|
0,5
|
0,589431
|
|
2,5
|
1,067879
|
|
0,6
|
0,719459
|
|
2,6
|
1,024659
|
|
0,7
|
0,844728
|
|
2,7
|
0,981759
|
|
0,8
|
0,960817
|
|
2,8
|
0,939526
|
|
0,9
|
1,064291
|
|
2,9
|
0,898228
|
|
1
|
1,152826
|
|
3
|
0,858067
|
|
1,1
|
1,22518
|
|
3,1
|
0,819188
|
|
1,2
|
1,281067
|
|
3,2
|
0,781696
|
|
1,3
|
1,320969
|
|
3,3
|
0,745653
|
|
1,4
|
1,345932
|
|
3,4
|
0,711097
|
|
1,5
|
1,357376
|
|
3,5
|
0,678038
|
|
1,6
|
1,356924
|
|
3,6
|
0,64647
|
|
1,7
|
1,346274
|
|
3,7
|
0,616372
|
|
1,8
|
1,327097
|
|
3,8
|
0,587713
|
|
1,9
|
1,30097
|
|
|
|
|
2
|
1,269335
|
|
|
|
двухкатушечный индукционный зонд скважина
Графики
полученных значений

м.
График интегрального геометрического фактора

м.
График радиального геометрического фактора
График интегрального геометрического фактора

м.
Анализ
результатов и обоснование принятого решения
Проанализировав полученные результаты можно сделать вывод,
что наиболее подходящий зонд для заданных условий - это зонд длинной 3.5 м.
Данный вывод был сделан на основании отношения полезного сигнала на интервале
(0.9 - 2.0) и помехи на интервале (0 - 0.9).

м.

, 
м.

, 
м.

Полученное соотношение для зонда длинной 3.5 метров является
наибольшим, поэтому этот зонд будет наиболее эффективен в данном интервале.
Заключение
В ходе выполнения курсового проекта был подобран зонд такой
длины, чтобы максимальный полезный сигнал в приемной катушке генерировался из
той части среды, которая и составляет радиус исследований, а сигнал из зоны
подавления существенно исключался. Радиальные характеристики позволяют:
) установить те минимальные диаметры цилиндров, которые не
оказывают заметного влияния па сигнал, т.е. диаметры зоны исключения;
) определить те максимальные диаметры цилиндров, при которых
влияние наружной среды весьма незначительно, т.е. глубинность исследования.
Вертикальные характеристики дают возможность:
) установить ту минимальную мощность пласта, при которой он
может быть зафиксирован;
) определить ту предельную мощность пласта, при которой можно
пренебречь влиянием вмещающих пород на величину полного сигнала [2].
На показания зонда ИК влияют: температура, изменения
влажности и атмосферного давления, а также посторонние предметы. Поэтому чтобы
зонд работал эффективно, нужно постараться исключить эти факторы и чтобы зонд
исключал сигнал из зоны подавления.
Список
литературы
1. Дьяконов
Д.И., Леонтьев Е. И, Кузнецов Г.С. Общий курс геофизических исследований
скважин Учебник для вузов. М. Недра, 1984. - 432 с.
2. Дахнов
В.Н. Промысловая геофизика. Методы промысловой геофизики, аппаратура и
оборудование, электрические методы исследования скважин. М., Недра, 1972, 1982
. Итенберг
С.С. Интерпретация результатов геофизических исследований разрезов скважин. -
М.: Недра, 1972.
. Конспект
лекций.