Эксплуатация скважин при помощи установок 'Тандем'
ФЕДЕРАЛЬНОЕ
АГЕНТСТВО ПО ОБРАЗОВАНИЮ
ГОСУДАРСТВЕННОЕ
ОБРАЗОВАТЕЛЬНОЕ УЧРЕЖДЕНИЕ
ВЫСШЕГО
ПРОФЕССИОНАЛЬНОГО ОБРАЗОВАНИЯ
УФИМСКИЙ
ГОСУДАРСТВЕННЫЙ НЕФТЯНОЙ ТЕХНИЧЕСКИЙ УНИВЕРСИТЕТ"
Кафедра
разработки и эксплуатации нефтегазовых месторождений
КУРСОВОЙ ПРОЕКТ
по курсу
«Технология эксплуатации нефтяных и газовых скважин»
ЭКСПЛУАТАЦИЯ
СКВАЖИН ПРИ ПОМОЩИ УСТАНОВОК «ТАНДЕМ»
УФА 2014
Содержание
Введение
1. Принцип работы
. Литературный обзор работ об
особенностях работы ЭЦН и установок Тандем в скважинах со сложным
пространственным профилем ствола и составом продукции
. Способы повышения технологической
эффективности эксплуатации ЭЦНУ (коэффициента подачи, к.п.д, МРП)
. Преимущества и недостатки
установок Тандем по сравнению с другими видами эксплуатации скважин (на примере
струйных насосов и ЭЦН)
5. Подбор оборудования установки
Тандем на скважину
Заключение
Список использованных источников
Введение
Погружные центробежные насосы (УЭЦН) в настоящее
время являются одним из основных средств механизированной эксплуатации нефтяных
скважин. На их долю приходится более 53% добываемой в России нефти и более 63%
извлекаемой из скважин жидкости.
Одно из важнейших условий эффективного
использования УЭЦН - это правильный подбор УЭЦН к скважине, то есть выбор для
каждой конкретной скважины таких взаимообусловленных типоразмеров насоса,
электродвигателя с гидрозащитой, кабеля, трансформатора, подъемных труб из
имеющегося парка оборудования, и такой глубины спуска насоса в скважину,
которые обеспечат освоение скважины и технологическую норму отбора жидкости
(номинального дебита) из нее в установившемся режиме работы системы скважина -
УЭЦН при наименьших затратах.
В данном курсовом проекте будет рассмотрена
эксплуатация скважин с помощью установок «Тандем».
1. Принцип работы
Широко применяемые для добычи нефти установки
погружных электрических центробежных насосов (УЭЦН) можно использовать в
качестве силовых приводов струйных насосов, формируя так называемые тандемные
установки «ЭЦН-СН». Под тандемными установками будем понимать такие установки
для эксплуатации скважин, глубинный насосный агрегат которых представлен, по
крайней мере, двумя насосами с различным или одинаковым принципом действия.
Тандемная установка «ЭЦН-Струйный Насос»,
предназначенная для повышения эффективности и оптимизации подъема продукции
скважины за счет максимального использования энергии выделяющегося из нефти
газа, а также для повышения ее дебита.
Технология "Тандем" предназначена для
повышения надежности и эффективности работы системы
"УЭЦН-скважина-пласт". Для ее реализации в состав установки
погружного центробежного насоса включаются модуль насосный газосепаратор
МН-ГСЛ5 и струйный насос СН-73, в приемной камере которого имеется обратный
клапан.
"Тандем" позволяет расширить диапазоны
подач УЭЦН в достаточно широких пределах, привести работу насоса к оптимальному
режиму, повышать устойчивость работы насоса в режимах подач менее оптимального
режима.
Установка «ЭЦН-СН», рисунок 1, включает
погружной агрегат УЭЦН 1, спускаемый на колонне НКТ 3, на выкиде которого
установлен струйный насос, включающий корпус 2, сопло 4, приемную камеру 5,
обратный клапан 6, камеру смешения 7 и диффузор 8.
Тандемная установка работает следующим образом.
Продукция скважины, откачиваемая погружным центробежным насосом, подается к
соплу 4 струйного насоса, в котором скорость потока возрастает. Истекающая из
сопла струя попадает в приемную камеру 5, понижая в ней давление. При этом
обратный клапан 6 открьшается, и часть продукции скважины (жидкость и отсепарированный
на входе в насос свободный газ) поступает в приемную камеру. В камере 7
происходит смешение силовой жидкости (продукции скважины) с инжектируемой из
затрубного пространства смесью; здесь формируется мелкодисперсная
газожидкостная смесь, которая пройдя диффузор 8, попадает в колонну НКТ 3 и
далее поднимается на поверхность.
2. Литературный обзор работ об особенностях
работы ЭЦН и установок Тандем в скважинах со сложным пространственным профилем
ствола и составом продукции
В 1968 г. в МИНХ и ГП им. И.М. Губкина
предложена схема тандемной установки ≪ЭЦН-Струйный
Насос≫,
предназначенная для повышения эффективности и оптимизации подъема продукции
скважины за счет максимального использования энергии выделяющегося из нефти
газа, а также для повышения ее дебита.
При разработке тандемных установок исходили из
следующих основных требований:
. Возможность увеличения отбора продукции из
добывающих скважин.
. Максимальное использование сепарирующегося у
приема ЭЦН свободного газа для подъема продукции скважины, а также
дополнительное выделение газа из раствора за счет снижения давления в сопле и
приемной камере с формированием в камере смешения мелкодисперсной смеси (т.е.
создания наиболее благоприятной эмульсионной структуры смеси).
. Повышение КПД установки за счет исключения
канала подачи силовой (рабочей) жидкости (снижение гидравлических потерь) и за
счет наиболее полного и эффективного использования энергии свободного газа
(увеличение газлифтного эффекта).
. Упрощение конструкции установки со струйным
насосом, повышение надежности ее работы и снижение металлоемкости (исключается
вариант двухрядного подъемника или отпадает необходимость использования пакера,
отпадает также необходимость специальной подготовки рабочей жидкости и
обслуживания всего поверхностного оборудования СНУ).
. Упрощение и сокращение сроков подземного
ремонта скважины.
Кроме этого, учитывая характеристики Q - Н ЭЦН и
струйного насоса, можно говорить о гибкости тандемной установки и
автоматической перестройке режима ее работы при изменении условий эксплуатации,
связанных с изменением пластового давления, свойств продукции и продуктивности
скважины; при этом ЭЦН работает в области оптимального режима.
Практика широкомасштабного промышленного
применения тандемных установок «ЭЦН-СН» вскрыла еще одно чрезвычайно важное их
преимущество перед всеми известными установками для добычи нефти: возможность
вызова притока, освоения и вывода на проектный режим работы скважин любых
категорий сложности, которые не могут быть освоены известными способами за
разум- ное время, т.е. при допустимой стоимости процесса освоения.
Теория расчета тандемных установок достаточно
сложна и приводится в специальной литературе. (И.Т. Мищенко, Х.Х. Гумерский,
В.П. Марьенко. Струйные насосы для добычи нефти.- М.: Нефть и газ, 1996.)
Ю.А. Цепляевым доказано, что по энергетическим
характеристикам установка "ЭЦН-СН" может не уступать УЭЦН. В ряде
случаев КПД установки "ЭЦН-СН" может быть даже выше, чем КПД только
УЭЦН. Это принципиально важное положение связано с тем, что повышается
гидравлический КПД установки за счет устранения гидравлических потерь при
транспорте жидкости с поверхности (от силового поверхностного привода), а также
за счет более полного и эффективного использования в процессе подъема жидкости
природной энергии свободного газа, как проходящего через насос, так и
сепарирующегося у приема насоса (объемы сепарирующегося у приема насоса газа
иногда могут быть значительными), ликвидации нестабильного состояния раствора
при прохождении через струйный насос и создания мелкодисперсной эмульсионной
структуры газожидкостной смеси в камере смешения. Добавка определенного
количества поверхностно-активных веществ (через затрубное пространство) в этом
случае позволяет сохранить эмульсионную структуру газожидкостного потока на
всей длине подъемника и существенно повысить КПД процесса подъема смеси. Кроме
того, КПД установки "ЭЦН-СН" может быть повышен за счет работы ЭЦН на
оптимальном режиме (максимальный КПД насоса), если при расчете расход рабочей
жидкости для струйного насоса принят равным подаче ЭЦН на оптимальном режиме.
Отличительной особенностью установки является
то, что струйный аппарат выполнен без диффузора, а роль камеры смешения играет
сам подъемник (колонна насосно-компрессорных труб). Преимуществом этой схемы
является наличие обратного клапана, предотвращающего слив жидкости из
подъемника при кратковременных отключениях установки установки ЭЦН, что
благоприятно сказывается на пусковом режиме погружной установки при последующих
включениях ее.
. Способы повышения технологической
эффективности эксплуатации ЭЦНУ (коэффициента подачи, к.п.д, МРП)
Технология "Тандем" предназначена для
повышения надежности и эффективности работы системы
"УЭЦН-скважина-пласт". Для ее реализации в состав установки
погружного центробежного насоса включаются модуль насосный газосепаратор
МН-ГСЛ5 и струйный насос СН-73, в приемной камере которого имеется обратный
клапан.
Защита погружного центробежного насоса от
вредного влияния свободного газа.
Как уже было отмечено, одним из основных
факторов, снижающих эффективную работу ЭЦН, является свободный газ в
откачиваемой жидкости (на входе в насос). Устранение его влияния связано с
увеличением глубины погружения приема ЭЦН, т.е. с увеличением давления на приеме
ЭЦН. Этот метод является достаточно простым, но в ряде случаев не может быть
применен, например, тогда, когда забойное давление ниже давления насыщения.
Кроме того, увеличение глубины спуска УЭЦН приводит к снижению КПД установки за
счет роста электрических потерь в кабеле и гидравлических потерь в НКТ.
Нетрудно получить условие по глубине спуска ЭЦН,
при котором повышение КПД установки за счет ликвидации вредного влияния
свободного газа компенсируется его снижением за счет роста гидравлических и
электрических потерь, т.е. нулевой технологический эффект, но при этом
возрастают капитальные затраты (НКТ, кабель), длительность и стоимость
подземного ремонта, т.е. отрицательный экономический эффект.
Поэтому наиболее предпочтительным является такое
решение, при котором снижение вредного влияния свободного газа не приводило бы
к снижению КПД установки за счет роста потерь энергии, связанных с глубиной
спуска установки. К такому решению относится создание газосепаратора к
погружным центробежным электронасосам.
В течение последних 50 лет работы по созданию
эффективного газосепаратора к УЭЦН велись в различных странах, но особенно
крупные исследования выполнены в СССР (России), в результате которых создана
гамма газосепараторов, отвечающих самым жестким требованиям нефтепромысловой
практики.
Не останавливаясь на длительной истории
разработки газосепараторов, отметим, что наилучшим газосепаратором к УЭЦН
является газосепаратор, разработанный Российским государственным университетом
нефти и газа им. И.М. Губкина, который по своим характеристикам превосходит
известные лучшие мировые образцы и имеет следующий шифр: МН-ГСЛ-модуль насосный
газосепаратор Ляпкова П.Д. (П.Д. Ляпков-доцент кафедры разработки и
эксплуатации нефтяных месторождений РГУ нефти и газа им. И.М. Губкина,
создавший первый отечественный газосепаратор центробежного типа к УЭЦН и
принимавший участие в разработке газосепаратора МН-ГСЛ).
Схема газосепаратора МН-ГСЛ представлена на рис.
2
Сепаратор состоит из следующих основных
элементов: корпуса 5 с головкой 1, каналов отвода газа 3 и жидкости 4,
сепарирующего узла 6, рабочего колеса суперкавитирующего типа 7, решетки 8,
отбойника 9, шнека 10, каналов подвода продукции 11, приемной сетки 12. Вал
сепаратора 14 имеет узел верхнего подшипника 2 и узел нижнего подшипника 13.
Сепаратор работает следующим образом. Продукция скважины через приемную сетку
12 и каналы подвода 11 поступает на шнек 10. В шнеке происходит предварительное
разделение продукции на жидкую и газовую фазы: жидкая фаза отбрасывается на
периферию шнека, а газовая занимает центральную часть. Часть жидкости,
содержащаяся в газовой фазе, отбивается отбойником 9. Разделенная на фазы
продукция, пройдя решетку 8, попадает в рабочее колесо 7, в котором происходит
дополнительное деление фаз. На выходе из рабочего колеса смесь попадает в
сепарирующий узел 6, где происходит окончательное отделение газа от жидкости.
Жидкость с небольшим количеством свободного газа через канал 4 подводится к
входу центробежного насоса, а основная часть свободного газа через канал 3
сбрасывается в затрубное пространство.
Таким образом, жидкая фаза с небольшим
количеством свободного газа, не влияющим на эффективность работы центробежного
насоса, откачивается насосом на поверхность. Свободный газ, сброшенный в
затрубное пространство, приводит к подъему определенного количества жидкости из
затрубного пространства на поверхность (фонтанирование скважины по затрубному
пространству): суммарная подача установки возрастает, что является
положительным фактором. В то же самое время большое количество свободного газа
в затрубном пространстве при определенных условиях может привести к образованию
гидратных или парафино-гидратных пробок, перекрывающих затрубное пространство и
создающих условия для резкого ухудшения работы сепаратора и установки в целом,
вплоть до срыва подачи.
Указанное явление полностью исключается, если
использовать газосепаратор в тандемных установках, описанных ранее. В этом
случае газ, сбрасываемый сепаратором в затрубное пространство, поступает в
приемную камеру струйного насоса, смешивается с откачиваемой жидкостью и
поступает в НКТ. При этом образуется газожидкостная смесь эмульсионной
структуры, весь свободный газ используется в процессе подъема жидкости и
существенно возрастает КПД системы в целом.
Совершенно очевидно, что такие погружные
установки являются чрезвычайно перспективными и обладают максимально возможным
КПД процесса механизированной эксплуатации скважин.
4. Преимущества и недостатки установок Тандем по
сравнению с другими видами эксплуатации скважин (на примере струйных насосов и
ЭЦН)
Установки погружных центробежных электронасосов
предназначены для откачки из нефтяных скважин пластовой жидкости (нефти, воды,
нефтяного газа и механических примесей).
ЭЦН рассчитан на добычу жидкости с наличием
различных примесей.
Эффективность работы ЭЦН зависит от содержания
свободного газа в откачиваемой жидкости на входе в насос и обеспечивается
поддерживанием на приеме насоса оптимального давления или использованием
газосепараторов.
Струйные аппараты имеют: простую конструкцию,
отсутствие движущих частей, отличаются хорошей надежностью и способностью
работать в очень сложных условиях: при высоком содержании в откачиваемой
жидкости механических примесей и свободного газа, в условиях повышенных
температур и агрессивности инжектируемой продукции.
Струйный насос имеет устойчивую работу при любом
объемном расходном содержании фаз в приемной камере или перед входом в нее.
Преимущество струйного насоса является то, что
струйный аппарат выполнен без диффузора, а роль камеры смешения играет сам
подъемник (колонна насосно-компрессорных труб). Преимуществом этой схемы
является наличие обратного клапана, предотвращающего слив жидкости из
подъемника при кратковременных отключениях установки ЭЦН, что благоприятно
сказывается на пусковом режиме погружной установки при последующих ее
включениях.
Эффективная эксплуатация скважин Тандемными
установками "УЭЦН-СН» может быть достигнута только в случае согласования
работы погружного центробежного насоса (силового привода для СН) и струйного
насоса при их работе на оптимальном режиме.
Подача струйного насоса с оптимальными
геометрическими параметрами является функцией пяти основных характеристик:
давления и расхода силовой (рабочей) жидкости, поступающей из ЭЦН, давления и
газосодержания инжектируемой продукции из затрубного пространства
(газожидкостной смеси) на глубине установки струйного насоса, а также давления
на выкиде струйного насоса.
Наличие свободного газа в инжектируемой струйным
насосом жидкости снижает подачу струйного насоса с неизменными геометрическими
параметрами и для поддержания подачи требует увеличения глубины спуска
струйного насоса. Однако при этом возрастает противодавление на выкиде
струйного насоса, что приводит также к снижению подачи последнего. Из пяти
перечисленных параметров, влияющих на работу СН, три - давление на входе в
струйный насос, газосодержание инжектируемой жидкости и давление на выкиде
струйного насоса - напрямую связаны с глубиной его спуска, т.е. глубина спуска
струйного насоса является оптимизируемым параметром.
Сопоставление характеристик серийного ЭЦН и
погружной насосно- эжекторной системы "Тандем" в координатах подача Q
- давление Р представлено на рис 3
Рис. 3 Характеристики ЭЦН и системы «Тандем»
При рациональном проектировании
геометрии проточной части эжектора можно добиться того, что граница между левой
и правой областями, характеристики системы "Тандем" будет
соответствовать подаче ЭЦН в оптимальном режиме Q
. В этом
случае при работе системы в право части характеристики режим эксплуатации ЭЦН
будет неизменным и соответствующим оптимальному, а все изменения подачи при
различных противодавлениях Р возьмет на себя струйный аппарат. Дополнительным
преимуществом при работе в правой части характеристики установки "Тандем"
является улучшение условий охлаждения погружного электродвигателя и кабельного
удлинителя в следствие повышения общего дебита системы по сравнению с подачей
ЭЦН.
Погружная насосно-эжекторная
система, таким образом, является в левой части характеристики высоконапорной
низкодебитной установкой, а в правой - высокопроизводительной низконапорной
системой, причем в этом случае погружной центробежный насос работает в
оптимальном режиме вне зависимости от колебаний противодавления.
Такая форма характеристики позволяет
системе подстраиваться к изменяющимся в широком диапазоне режимов работы
добывающих скважин, а также успешно проходить этап освоения скважин после
глушения при подземных ремонтах.
Технология «Тандем» позволяет не
только освоить бездействующую скважину, но и успешно ее эксплуатировать в
течение длительного времени в достаточно тяжелых условиях, причем параметры
работы существенно менялись вследствие не стационарности разработки
месторождения.
Из всего выше изложенного, а так же
из опыта применения технологии «Тандем» можно сделать следующие выводы:
применение погружных
насосно-эжекторных систем является эффективным средством для вывода скважин из
бездействия в осложненных условиях эксплуатации;
установки «Тандем» успешно
адаптируются к условиям существенного изменения добывных возможностей скважин
при выводе на режим и нестационарной фильтрации флюидов в пласте;
технология «Тандем» дает возможность
надежно эксплуатировать скважины при значительном падении пластового давления,
а так же при очень высоких входных газосодержаниях.
. Подбор оборудования установки Тандем на
скважину
Одно из важнейших условий эффективного
использования УЭЦН - это правильный подбор его к скважине, то есть выбор для
каждой конкретной скважины таких взаимообусловленных типоразмеров насоса,
электродвигателя с гидрозащитой, кабеля, трансформатора, подъемных труб из
имеющегося парка оборудования, и такой глубины спуска насоса в скважину,
которые обеспечат освоение скважины и технологическую норму отбора жидкости
(номинального дебита) из нее в установившемся режиме работы системы скважина -
УЭЦН при наименьших затратах.
Подбор УЭЦН к скважине на современном уровне
связан с выполнением относительно трудоемких и громоздких вычислений и
осуществляется с помощью ЭВМ.
В данном курсовом проекте применяется вариант
методики подбора УЭЦН к скважине (методика П.Д. Ляпкова), рассчитанный на
возможность осуществления его с помощью калькулятора.
Определяем значение забойного давления,
соответствующего заданной технологической норме отбора жидкости, по индикаторной
диаграмме скважины если известно, что индикаторная диаграмма - прямая линия, по
уравнению:
где 86400 - количество секунд в
сутках.
Таблица 1
Так как в нашем примере индикаторная диаграмма
скважины прямая, подставляя в приведенную выше формулу исходные параметры,
получаем:
Задаемся значением
объемно-расходного газосодержания у входа в насос в пределах 0,15 - 0,25 для
случая bвсу < 0,5
и определяем расстояние Lн от устья скважины до сечения
эксплуатационной колонны, в котором газосодержание равно принятой величине, а
давление у входа в насос в стволе скважины на найденной глубине.
Пусть bгвх = 0,15. Тогда, Lн = 1671 м и
Рвх = 6,8 МПа.
Вычисляем обводненность жидкости у
входа в насос, найдя предварительно значение объемного коэффициента нефти при
Рвх = 6.8 Мпа или по формуле:
bнвх =
1,183*6,8
=1,243
bввх
= 0,330
Проверяем, выполняется ли
неравенство, т.е. условие бескавитационной работы насоса.
Для этого вычисляем значение (bгвх)в, поскольку bввх < 0,5 и газожидкостная
смесь в насосе относится к типу (н+г)/в:
Сопоставляем найденное значение с bгвх = 0,15. Так как (bгвх)в < bгвх,, приходим к заключению,
для обеспечения бескавитационной работы насоса при принятой глубине спуска его
в скважину перед насосом должен быть установлен газосепаратор необходимого
типоразмера.
Вычисляем значение коэффициента
сепарации свободного газа перед входом продукции в насос при работе его на
глубине Lн = 1764 м,
принимая Ксгс = 0,75, так как
.
Принимаем, что для отбора заданного
дебита жидкости из скважины диаметром 0,13 м надо использовать насос группы 5.
Тогда диаметр всасывающей сетки насоса, Dсн = 0,092
м.
Так как bввх
0,5, берем wдр.г. = 0,02 м/с.
Вычисляем значение приведенной
скорости жидкости в зазоре между эксплуатационной колонной скважины и насосом
перед всасывающей сеткой его:
(м/с)
Вычисляем значение Кск:

Кс = Кск +К
(1-К
)=
0,338+0,75(1-0,338)=1,34
Вычисляем действительное давление
насыщения жидкости в колонне НКТ, приняв Кфн = Кфв = 1:
Определяем давление в НКТ на выходе
из насоса (на глубине Lн = 1671 м) и давление Рс, которое
требуется для работы системы скважина - УЭЦН с заданным дебитом жидкости:
Рвых = 17 МПа
Рс = Рвых - Рвх = 17 - 6,8 =10,2
(МПа)
Вычисляем среднюю температуру
продукции в насосе:
bн = 1,27
=



принимаем равным 0,76, т.к. насос
группы 5
По справочнику находим ближайшую по
подаче установку группы 5 - УЭЦН - 50 с к.п.д. насоса 0,43. Затем находим
приближенно кажущуюся вязкость продукции в насосе т.к.
:
Поскольку температура продукции в
насосе ниже
и равна
приближенно температуре в стволе скважины перед входом в насос:
Вязкость нефти в насосе при Т=328 К:
Поскольку внешней фазой является
нефть, и
, то
кажущуюся вязкость жидкости принимаем равной вязкости попутной воды при
заданной
:
Находим значение параметра
,
учитывающего влияние вязкости жидкости на к.п.д. насоса:
Поскольку
, то
значение к.п.д. насоса, будет:
Определяем Тн.ср.:
Вычисляем среднеинтегральный расход
жидкой части продукции через насос принимая
Вычисляем среднеинтегральный расход
свободного газа через насос. Сначала находим значения
в насосе:

определяем при
Определяем Тпр и Рпр:
Т.к..
и
, то
Определяем zа:
Подставив значения А, В и zср получаем:
(м
/с)
Вычисляем среднеинтегральный расход
ГЖС через насос:
(м
/с)
Вычисляем массовый расход через
насос:
Вычисляем среднеинтегральную плотность продукции
в насосе:
(кг/м3)
Вычисляем напор, который необходим
для работы системы скважина - УЭЦН с заданным дебитом Qжсу =
0,00044:
(м)
Вычисляем среднеинтегральное
газосодержание в насосе:
Определяем кажущуюся вязкость
жидкости в насосе при Тср.н.= 328 К. Поскольку внешней фазой является нефть, то
вязкость жидкой части и ГЖС будет равна:
Вычисляем значение коэффициента КQ для учета
влияния вязкости на подачу насоса:
и на напор по формуле:
КQ = 0,826; КН
= 0,969.
Вычисляем значение подачи и напора,
которые должен иметь насос при работе на воде, чтобы расход ГЖС был 4,394*10-4
(м3/с) и напор 1111 м:
(м3/сут)
(м)
Выбираем по Qв,
Нвс, Dэк типоразмер УЭЦН,
насос которой удовлетворял бы условиям. Такой установкой является УЭЦН5 - 50 -
1300 (номинальный напор Нном = 1360 м, номинальное число ступеней z
= 264, оптимальная подача насоса 47,5 м3/сут, напор при оптимальной подаче
1202,5 м).
Проверяем, выполняются ли условия:
(м)
Нвс = 1147
1300-222 =
1078 (м)
В комплект выбранной установки
входят также: электродвигатель ПЭД32-103В5 номинальной мощностью 32 кВт и
допустимой температурой охлаждающей жидкости 70о С, кабель КПБК 3х16,
трансформатор ТМПН - 100/3, 1,17-73У1 и станция управления ШГС 5805-49АЗУ1.
Определяем вероятное значение к.п.д.
насоса при работе на воде с подачей Qв = 50
м3/сут:
Находим к.п.д. выбранного насоса при
работе в скважине. Предварительно оцениваем значение коэффициента Кh, учитывающего влияние
вязкости проходящей через насос продукции на к.п.д. насоса по формуле:
Т.к. Вm = 43028 < 47950, то Кh
Поэтому к.п.д. насоса, работающего в
скважине, будет:
Вычисляем мощность, которую будет
потреблять насос при откачке скважинной продукции по формуле:
Сопоставляем значение Nн со
значением номинальной мощности штатного двигателя Nдш
Nн и разность
не больше
одного шага в ряду номинальных мощностей погружных электродвигателей типа ПЭД,
которые могут быть спущены в скважину вместе с выбранным насосом:
> 1,3
(кВт)
Т.к. значение DN = 17,5 кВт
больше разности номинальных мощностей выбранного двигателя ПЭД32 - 103В5 и
ближайшего к нему двигателя ПЭД22 - 103 В5 меньшей мощности того же диаметра,
для привода насоса избираемой установки берем такой ближайший типоразмер ПЭД,
номинальная мощность которого, при прочих равных условиях, не меньше 1,3 N
, где
1,3-коэффициент запаса мощности двигателя в расчете на увеличение его ресурса,
выработанный практикой эксплуатации УЭЦН. В нашем случае это ПЭД40 - 103АВ5
Определяем минимально допустимую
скорость wохл (м/с)
потока в зазоре между стенкой эксплуатационной колонны скважины и корпусом
двигателя и вычисляем по формуле:
минимально допустимый отбор жидкости
из скважины (м3/сут) с точки зрения необходимой интенсивности охлаждения ПЭД.
Согласно для ПЭД40 - 103 АВ5 wохл
= 0,12 м/с, поэтому:
(м3/сут)
Вычисляем глубину спуска насоса,
исходя из возможности освоения скважины (в частности, после ее промывки или
глушения), по формуле:
Нпогр = 100 м; Рмтр = 0,1 + Рл
Т.к. Lн/Lосв =
1947/1950 < 1, то увеличиваем глубину спуска насоса до 1701 м. Вычисляем
напор, которым должен располагать подбираемый к скважине насос в период ее
освоения при работе с дебитом Qохл по формуле:
где Нсопр - потеря напора в м на
преодоление трения в местных сопротивлениях на пути движения жидкости от
напорного патрубка насоса до выкидной линии скважины.
(м)
(м)
НQохл = 1370м
при Qохл = 51,2
м3/сут
Выбранный типоразмер насоса
удовлетворяет неравенству.
Уточняем значения подачи Qв и напора
Нвс выбранного ранее насоса при работе его на воде в режиме, соответствующем
значению Qср и Нс. Для
этого:
1.Определяем значение коэффициента
быстроходности рабочей ступени выбранного насоса. Для насоса ЭЦН5 - 50 - 1300 ns
= 91.
.Вычисляем значение модифицированного числа
Рейнольдса потока в каналах ступеней центробежного насоса по формуле:
Определяем относительную подачу
насоса:
Вычисляем значение КH,Q для
найденных выше Reц и Qв/Q
по формуле:
Из полученных двух значений берем наименьшее, а
именно КН,Q = 0,937
Определяем уточненное значение
подачи Qв и напора
Нвс при работе насоса на воде:
(м/с) = 40,5 (м3/сут)
(м)
Проверяем, удовлетворяют ли значения
Qв и Нвс:
,65 < 40,5/47,5 = 0,853 < 1,25
1300 - 222 =1078 (м)
Вычисляем значение коэффициента Кh для найденных выше Reц и
по
формулам:
Выбираем меньшее из этих двух
значений, Кh = 0,723
Определяем разность между давлением,
которое может создать насос с номинальным числом ступеней при работе в скважине
на установившемся режиме с дебитом Qжсу, т.е.
при среднеинтегральном расходе скважинной продукции через насос Qср и
давлением, достаточным для работы системы скважина - УЭЦН на этом режиме по
формуле:
Нвн = 1300 - 222 = 1078 (м); Нвс =
1147 (м)
(МПа)
Вычисляем значение отношения DР/Рс:
Т.к. 0,058
0,05,
давление, которое насос способен развивать при работе со среднеинтегральной
подачей в скважине не превышает требуемое.
Определяем мощность на валу насоса
при его работе на установившемся режиме системы скважина - УЭЦН для проверки
соответствия выбранного погружного электродвигателя уточнением значений
потребляемой насосом мощности.
Nгс = 1 кВт
Таким образом, штатный двигатель
ПЭД40 - 103АВ5, может быть использован для привода насоса.
Подбираем для УЭЦН газосепаратор, в
нашем случае это модуль насосный газосепаратор МН-ГСЛ5.
Методика расчета параметров струйного насоса при
совместной эксплуатации с ЭЦН.
Моделирование перепада давления в ЭЦН в общем
случае является сложной задачей и требует знания напорно-дебитной
характеристики электроцентробежного насоса с учетом содержания в жидкости
свободного газа. В рамках поставленной задачи мы не ориентируемся на конкретное
оборудование, а строим общую модель для тандемной установки, поэтому можно
считать, что ЭЦН будет обеспечивать произвольный напор, единственным
ограничением для которого будет условие
где H и Hcr - фактический и максимально
допустимый номинальный (на воде)
напор насоса, м; Pin и Pout - давления на приеме
и выкиде насоса, Па;
ρwat=1000 кг/м3 -
плотность воды; g=9,8 м/с2 - ускорение свободного падения; Dgas и Dvis -
безразмерные коэффициенты деградации напора из-за влияния газа и вязкости
соответственно, которые задаются эмпирическими зависимостями.
Для определения давления на входе в приемную
камеру эжектора Pin 2 предположим, что движение пластовой жидкости, которая
представляет собой в общем случае смесь жидкости (нефть и вода) и газа, в сопле
осуществляется вдоль линий тока, а сама жидкость является несжимаемой с
плотностью ρ=2ρin1
ρin
2/ ( ρin1+ρin
2), где ρin1
и ρin2
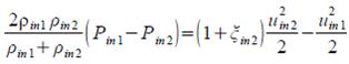
- плотности в сечениях Pin1 и Pin2 . В этом случае уравнение сохранения
количества движения можно свести к уравнению Бернулли:
где uin1 и uin 2 - скорости пластовой жидкости
на входе в струйный насос и в сечении сопла, м/с; ξ
in 2 - коэффициент сопротивления сопла.
При движении пластовой жидкости через сопло
будет выполняться закон сохранения массы:
ρgin 1Qgin1+ρlin
1Qlin 1=ρgin
2Qgin 2+ρlin2Qlin
2 .
Здесь Q1 и Qq - дебиты жидкости и свободного
газа в пластовой жидкости, записанные для разных сечений, м3/с; ρl
и ρg
- соответствующие им плотности жидкости и газа. При этом плотность жидкости
рассчитывается по формуле
ρ1=wcρw+(1−wc)
ρo,
где ρw
и o r - плотности воды и нефти; wc - объемная доля воды. Следует отметить, что
плотность воды считается постоянной, в то время как плотность нефти зависит от
давления и температуры. Плотность газа определяется из уравнения состояния
Менделеева-Клайперона:
P=ρg
RT,
где R - газовая постоянная, Дж/(кг.К); T -
температура, К. Здесь и далее предполагается, что давление и температура газа и
жидкости в двухфазной среде одинаковы, так же, как и скорости движения фаз.
Плотность смеси выражается через плотности фаз по формуле:
ρ=ρgQg+ρ1Q1/Qg+Q1
Для расчета изменения температуры в сечениях
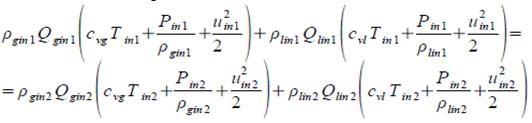
Pin1−Pin2 запишем уравнение сохранения полной энергии смеси:
Скорость и дебит между собой связаны
соотношением:
u= 4Q/πd2,
где d - диаметр трубы или сопла, м.
Уравнение сохранения количества движения в
форме:
где Sout 2=π
dm 2 /4 - площадь поперечного сечения камеры смешения, м2;
Σ=πd
m ℓ - площадь поверхности камеры смешения длиной ℓ и диаметром d m, м2.
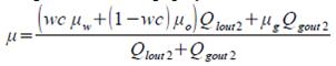
Здесь τ
- среднее касательное напряжение на стенке камеры смешения, Па; μ
-коэффициент динамической вязкости смеси (Па.с), который выражается через
вязкость воды, нефти и газа по формуле:
Потребляемая мощность УЭЦН
Согласно проведенным расчетам при фиксированном
значении Pan out устойчивый режим работы тандемной установки обеспечивается в
очень узком интервале глубин спуска струйного насоса. Для используемых
расчетных параметров задачи и диаметра сопла 5 мм эти интервалы составляют для
Pan out=15 атм - 3 метра ( Hin1=139−142 м
), для Pan out=20 атм - 2 метра (231 -232 м), для Pan out=30 атм - 1 метр (395
м).
За счет варьирования исходных параметров задачи
(диаметр сопла, газовый фактор, обводненность) эти интервалы можно расширить до
нескольких десятков метров, но не более. Такая высокая чувствительность
тандемной установки к глубине спуска струйного аппарата обусловлена тем, что
при устойчивом режиме работы эжектора должны одновременно выполняться
неравенства Pan in>Pin2 и Qg in<Qg sep (Qg sep - объем сепарированного
газа на приеме ЭЦН), которые верны в узком интервале изменения параметров.
насос скважина тандемный струйный
Проблема повышения нефтеотдачи пластов
органически связана с решением целого ряда вопросов не только по выбору
возможного в данных условиях способа эксплуатации добывающих скважин, но и с
разработкой новых методов подъема продукции скважин. Одним из новых и
перспективных для нефтепромысловой практики видов добывающего оборудования
являются установки Тандем.
В настоящее время основной прирост добычи нефти
в стране идет за счет восточных и северных районов, характеризующихся сложными
природно-климатическими условиями. Совершенно естественно, что при этом
существенно повышаются требования к надежности погружного оборудования для
эксплуатации добывающих скважин, к увеличению его межремонтного периода. Кроме
того, погружное оборудование должно работать в области повышенных температур, в
условиях откачки жидкостей с высоким содержанием свободного газа, а зачастую и
механических примесей, откачивать из скважин вязкую и сверхвысоковязкую
жидкость. Использовать в этих условиях существующее оборудование не всегда
представляется возможным.
Установка "Тандем" имеет ряд
преимуществ:
1. Возможность увеличения отбора продукции
из добывающих скважин.
2. Максимальное использование
сепарирующегося на приеме насоса свободного газа для подъема жидкости из
скважины.
. Повышение КПД установки за счет
исключения трубопровода для силовой жидкости (снижение гидравлических потерь).
. Упрощение конструкции установки со
струйным насосом, повышение надежности ее работы и снижение металлоемкости
(исключается вариант двухрядного подъемника или отпадает необходимость
использования пакера, отпадает необходимость специальной подготовки рабочей
жидкости и обслуживания всего поверхностного оборудования .
. При установки газосепаратора, свободный
газ, сбрасываемый сепаратором в затрубное пространство, поступает в приемную
камеру струйного насоса, смешивается с откачиваемой жидкостью и поступает в
НКТ. При этом образуется газожидкостная смесь эмульсионной структуры, весь
свободный газ используется в процессе подъема жидкости и существенно возрастает
КПД системы в целом.
Система "Тандем" позволяет расширить
диапазоны подач УЭЦН в достаточно широких пределах, привести работу насоса к
оптимальному режиму, повышать устойчивость работы насоса в режимах подач менее
оптимального режима.
По сравнению с обычным УЭЦН, установка «Тандем»
является чрезвычайно перспективным и обладает максимально возможным КПД
процесса механизированной эксплуатации скважин.
Список использованных источников
1) Мищенко И.Т. - Скважинная
Добыча Нефти. 2003г.
) Электронный научный журнал
«Нефтегазовое дело», 2011, № 3
) Бурцев И.Б., Муфазалов Р.Ш.
Гидромеханика совместной работы нефтяного пласта, скважины и подъемного
оборудования при добыче нефти. Изд-во Моск. ун-та, 1994.- 224с
) Журналы “Нефтяное
хозяйство”, “Нефтепромысловое дело” обзорная информация “Нефтепромысловое дело”
и др.
) Щуров В.И. Технология и
техника добычи нефти. М., Недра, 1983.- 510с.
) Сборник задач по технологии
и технике нефтедобычи: Учеб. пособие для ВУЗов /И.Т. Мищенко, В.А. Сахаров,
В.Г. Грон и др. - М., Недра, 1984.-272с.
) Гидромеханика процесса
добычи нефти погружными центробежными и штанговыми насосами./ И.Б. Бурцев, Р.Х.
Муслимов, Р.Ш. Муфазалов. Изд-во МГГУ, 1995 .-240с.
) Яркеева Н.Р. Учебно-методическое
пособие к оформлению курсовых и дипломных проектов /Яркеева Н.Р., Башаров Р.А.
- Уфа: УГНТУ, 2007. - 30 с.
) Девликамов В.В., Зейгман
Ю.В. Техника и технология добычи нефти.- Уфа: Изд. УНИ, 1987.-116с.
) Справочное руководство по
проектированию разработки и эксплуатации нефтяных месторождений. Проектирование
разработки. Под общей ред. Ш.К. Гиматудинова М.: Недра, 1983.