Осложнения при эксплуатации компрессорных скважин, оборудование и методы борьбы

  • Вид работы:
    Дипломная (ВКР)
  • Предмет:
    Другое
  • Язык:
    Русский
    ,
    Формат файла:
    MS Word
    828,83 kb
  • Опубликовано:
    2011-07-11
Вы можете узнать стоимость помощи в написании студенческой работы.
Помощь в написании работы, которую точно примут!

Осложнения при эксплуатации компрессорных скважин, оборудование и методы борьбы

Введение

Компрессорная эксплуатация нефтяных скважин является искусственным фонтанированием скважин. Разница заключается в том, что при компрессорной эксплуатации подъем жидкости из скважины происходит под действием энергии сжатого воздуха или газа, нагнетаемого в скважины, а при фонтанировании источником этой энергии является газ, поступающий из пласта.

При эксплуатации компрессорных скважин могут возникнуть различные неполадки, которые могут нарушить режимы их работы, уменьшать дебиты скважин и привести к полному прекращению подачи жидкости. Так как нормальная работа скважины зависит от многочисленных факторов, то не всегда удается быстро определить причины нарушения режимов работы скважин. Поэтому для того, чтобы привести скважину в нормальное состояние, проводят ряд комбинированных мероприятий. Нередко нормальная работа скважин восстанавливается только после проведения в них подземного ремонта, вызывающего более или менее продолжительные простои скважин, потери в добыче нефти и увеличение ее стоимости. В связи с этим необходимо постоянно следить за состоянием скважины в процессе ее эксплуатации (дебит нефти, процент воды, содержание в жидкости песка, количество рабочего агента, давление на устье и в трапе и т.п.) и состоянием наземного оборудования. Нарушения в работе компрессорных скважин в основном происходят вследствие: образования песчаных пробок в скважине или подъемных трубах, что приводит к резкому снижению дебита и даже прекращению притока жидкости из пласта; отложений парафина и солей в подъемных трубах, нередко вызывающих закупорку подъемных труб и отсюда прекращение работы скважины; образования железистых сальников в кольцевом пространстве двухрядного подъемника, препятствующих поступлению рабочего агента в скважину и подаче из нее жидкости; возникновения ледяных пробок в воздухогазопроводах, снижающих или прекращающих поступление рабочего агента.

Поэтому в данной курсовой работе будут описаны основные способы устранения неполадок при компрессорной эксплуатации, которые включают борьбу с песком, мероприятия против отложений парафина на стенках подъемных труб, против отложений солей, устранения металлических сальников. Также будут рассмотрены конструкции и принцип действия воздушных подъемников, методы снижения пусковых давлений, оборудование устьев компрессорных скважин и будет произведен расчет лифтов при различных условиях работы.

Теоретическая часть

Компрессорная эксплуатация нефтяных скважин

Сущность и принцип действия воздушного подъемника

Компрессорная эксплуатация нефтяных скважин является искусственным фонтанированием скважин. Разница заключается в том, что при компрессорной эксплуатации подъем жидкости из скважины происходит под действием энергии сжатого воздуха или газа, нагнетаемого в скважины, а при фонтанировании источником этой энергии является газ, поступающий из пласта.

Рабочий агент (воздух, газ) подается с поверхности в скважины в сжатом состоянии, что достигается при помощи специальных машин - компрессоров. Если в скважины нагнетают сжатый воздух, то установка называется эрлифтом, если же нагнетают газ, то газлифтом.

Для эксплуатации компрессорным способом скважины оборудуют однорядным или двухрядным подъемником (рис. 1). При двухрядном подъемнике трубы первого ряда (большего диаметра) предназначаются для нагнетания в скважину рабочего агента, а трубы второго ряда (меньшего диаметра), называемые подъемными, используются для подъема жидкости.

Принцип работы компрессорной скважины, оборудованной однорядным подъемником, схематически изображен на рис. 2. До пуска скважины в работу жидкость в обсадной колонне и в подъемных трубах находится на каком-то уровне, называемом статическим.

Рис.1. Конструкции и системы подъемников.

а - однорядный подъемник кольцевой системы; б - двухрядный подъемник кольцевой системы; в - двухрядный ступенчатый (полуторарядный) подъемник кольцевой системы; г- однорядный подъемник центральной системы

компрессорный воздушный подъемник скважина лифт

Если в кольцевое пространство между эксплуатационной колонной и спущенными трубами нагнетать компрессором рабочий агент, то уровень жидкости в кольцевом пространстве между эксплуатационной колонной и подъемными трубами будет понижаться, а в подъемных трубах повышаться. Уровень жидкости в кольцевом (затрубном пространстве при непрерывном нагнетании в него рабочего агента будет понижаться до тех пор, пока не достигнет нижнего конца подъемных труб (рис. 2, б).

Рис. 2. Схема работы компрессорной скважины.

- уровень жидкости в скважине перед продавливанием; б - жидкость в затрубном пространстве оттеснена до башмака подъемных труб; в - перелив жидкости через подъемные трубы.

По мере оттеснения жидкости в кольцевом пространстве давление рабочего агента будет повышаться и достигнет наибольшей величины, когда уровень жидкости в кольцевом пространстве понизится до конца подъемных труб.

Вытеснив из кольцевого пространства жидкость, рабочий агент начнет поступать в подъемные трубы и перемешиваться в виде отдельных пузырьков с жидкостью. В подъемных трубах образуется смесь жидкости с воздухом (газом), и если газ будет подаваться непрерывно, то удельный вес смеси будет уменьшаться, вследствие чего уровень в подъемных трубах будет подниматься и, достигнув верхнего конца подъемных труб, жидкость начнет переливаться (рис. 2, в) из них.

Подъем уровня жидкости в подъемных трубах зависит не только от количества нагнетаемого рабочего агента, но и от величины погружения труб в жидкость, т. е. если выше башмака подъемных труб имеется небольшой столб жидкости, то воздух (газ) может и не поднять жидкость на поверхность. Он поднимет жидкость только на некоторую высоту, будет прорываться через нее и выходить на поверхность, а жидкость по стенкам труб будет снова стекать вниз.

Кроме того, высота подъема зависит от диаметра подъемных труб. В трубах малого диаметра при одном и том же расходе рабочего агента уровень жидкости может быть поднят на большую высоту, чем и трубах большего диаметра.

На высоту подъема влияет также вязкость жидкости. При одних и тех же условиях, например, высота подъема нефти будет больше, чем воды, так как нефть имеет большую вязкость, чем вода, и воздуху труднее проходить через нефть.

Следовательно, принцип действия компрессорного подъемника заключается в прогазировании жидкости в подъемных трубах и уменьшении ее среднего удельного веса.

Таким образом, при расчетах компрессорного подъемника мы имеем следующие переменные величины: глубину погружения, высоту подъема жидкости, процент погружения, диаметр подъемных труб, объем нагнетаемого рабочего агента, количество поднимаемой жидкости.

Под глубиной погружения подразумевают высоту столба дегазированной жидкости, соответствующую давлению у башмака подъемника во время работы скважины:

(1)

где h - глубина погружения подъемника в Рбаш - давление у башмака подъемных труб в am (обычно принимается на 3-5 am ниже рабочего давления, измеренного в воздухо(газо)распределительной будке); у - удельный вес дегазированной жидкости в скважине.

Высотой подъема Н0 называется расстояние от уровня жидкости в скважине до устья во время работы:

Н0 =L - h , ( 2)

где L - длина подъемника в м.

Процент погружения подъемника - это отношение глубины погружения ко всей длине подъемника, умноженное на 100:

 (3)

В промысловой практике процент погружения определяют по следующей формуле:

(4)

Подъемник кольцевой системы применяется преимущественно при эксплуатации скважин компрессорным способом. Имеются также подъемники других конструкций и систем.

Часто компрессорные скважины оборудуют двумя рядами концентрически расположенных труб. Наружный ряд труб спускают обычно до фильтра эксплуатационной колонны с целью улучшения выноса песка, поступающего из пласта в скважину. Внутренний ряд труб спускают на глубину, зависящую от характеристики скважины и от максимального давления, развиваемого компрессором. Кольцевое пространство между трубами и эксплуатационной колонной на устье скважины герметизируют.

Для наружного ряда применяют трубы диаметром 4", 31/2", 3", 21/2", а для внутреннего - 21/2", 2", 11/2" и 11/4". Лучшей комбинацией труб для двухрядных подъемников следует считать 4"х21/2", 31/2"х2", 3"х11/2" и 21/2"х11/4". Рабочий агент нагнетают в кольцевое пространство между наружным и внутренним рядами труб.

Для оборудования скважин однорядным подъемником применяют подъемные трубы диаметром 11/2"-3" и очень редко 4".

Основное преимущество двухрядного подъемника по сравнению с однорядным заключается в том, что он работает с меньшими колебаниями рабочего давления и струи жидкости, так как объем кольцевого пространства между спущенными колоннами труб в этом подъемнике меньше, чем в однорядном подъемнике кольцевой системы, и имеющийся в затрубном пространстве столб жидкости также способствует более плавной работе подъемника. При двухрядном подъемнике улучшается также вынос песка с забоя. Но при оборудовании скважины двухрядным подъемником расходуется больше труб и, следовательно, увеличивается стоимость эксплуатации скважин.

В настоящее время на промыслах широко применяют другой вариант двухрядного подъемника кольцевой системы - ступенчатый или полуторарядный» подъемник (см. рис. 1, в). В этом подъемнике наружная колонна труб ступенчатая: внизу колонны - трубы меньшего диаметра, вверху - большего. Внутреннюю колонну труб (подъемные трубы) спускают почти до места перехода наружной колонны труб с большего диаметра на меньший.

Полуторорядный подъемник стоит дешевле двухрядного и вместе с тем имеет все его преимущества.

Существует также центральная система подачи рабочего агента. Она отличается от кольцевой тем, что рабочий агент нагнетается во внутренний ряд труб, а смесь жидкости с воздухом (газом) поднимается на поверхность по кольцевому пространству между колоннами труб при двухрядном подъемнике или между спущенной колонной труб и эксплуатационной колонной при однорядном подъемнике (рис.1,г).

Центральная система подачи имеет то преимущество, что она работает при более низких пусковых давлениях. Но она имеет и существенные недостатки. При эксплуатации скважин, выделяющих песок, он разъедает соединительные муфты на трубах, в результате чего они могут оборваться и упасть в скважину. При эксплуатации скважин, дающих парафинистую нефть, происходит отложение парафина на стенках эксплуатационной колонны и наружной поверхности подъемных труб при однорядном подъемнике или в кольцевом пространстве между трубами наружного (первого) ряда и подъемными при двухрядном подъемнике, что приводит к прекращению подачи жидкости из скважины и создает необходимость ремонта ее. Очистка же скважины и спущенных в нее труб от парафина связана с очень большими затруднениями. Поэтому центральную систему подачи рабочего агента можно применять лишь в случаях, когда в извлекаемой жидкости нет песка, и не происходит отложений парафина.

Как видим, каждая конструкция подъемника имеет свои достоинства и недостатки: при двухрядном и полуторарядном подъемниках повышается расход труб на скважину, но облегчаются условия эксплуатации; при однорядном подъемнике, несмотря на небольшой расход труб для каждой скважины, условия работы осложняются, особенно в глубоких скважинах при эксплуатации залежей, сложенных рыхлыми песками.

Пуск компрессорных скважин в эксплуатацию

Выше указывалось, что для пуска скважины в эксплуатацию подводят рабочий агент к нижнему концу колонны подъемных труб. При однорядном подъемнике кольцевой системы нагнетаемый в кольцевое пространство рабочий агент оттесняет жидкость вниз и она уходит в колонну подъемных труб. В подъемной колонне уровень жидкости благодаря этому поднимается и как только давление на забой станет выше пластового, часть жидкости начнет уходить в пласт. Количество поглощаемой пластом жидкости будет зависеть от коэффициента продуктивности скважины и от времени вытеснения жидкости. Давление рабочего агента по мере подъема уровня жидкости в подъемных трубах увеличивается. После того как уровень жидкости в затрубном пространстве будет оттеснен до башмака подъемных труб, уровень жидкости в трубах достигнет наибольшей высоты. Давление рабочего агента в этот момент будет максимальным. Такое давление называется пусковым (или продавочным).

Рис. 3. Диаграмма изменения давления при пуске компрессорной скважины.

При этом давлении рабочий агент, проникнув в подъемные трубы, устремится вверх, поднимет в них столб жидкости, частично прогазировав ее. Произойдет резкий выброс жидкости. После этого уровень сразу снизится, погружение компрессорной скважины, труб уменьшится, давление у башмака подъемных труб резко упадет и будет ниже пластового; количество выбрасываемой жидкости также уменьшится. Затем вследствие значительной разности пластового давления и давления столба жидкости в скважине жидкость из пласта начнет поступать в скважину, и в течение некоторого времени будет создан устойчивый режим совместной работы пласта и подъемника. В скважине постепенно установится динамический уровень, при котором количество жидкости, поступающей из пласта, будет равно количеству жидкости, выбрасываемой из скважины, и начнется непрерывное истечение прогазированной жидкости из скважины. Скважина вступит в нормальную эксплуатацию. С этого момента давление нагнетаемого рабочего агента станет постоянным. Это давление называется рабочим. На рис. 3 показана типичная кривая изменения давления рабочего агента при пуске и эксплуатации компрессорной скважины; кривая составлена на основании промысловых наблюдений. Пусковое давление всегда значительно превышает установившееся рабочее давление.

При двухрядном подъемнике кольцевой системы подачи рабочего агента (рис. 4) оттесняемая жидкость будет поступать в кольцевое пространство между эксплуатационной и воздушной колоннами и внутрь подъемных труб. Поэтому уровень жидкости в подъемных трубах в этом случае будет ниже, вследствие чего и пусковое давление будет меньше.

Конструкция воздушных подъемников

Рассмотренная нами на рис. 2 конструкция называется однорядным подъемником кольцевой системы подачи рабочего агента. При кольцевой системе подъемника рабочий агент нагнетается в кольцевое пространство между подъемными трубами и эксплуатационной колонной.

При пуске скважины по центральной системе подачи рабочего агента пусковое давление будет меньше, чем при и пуске скважины по кольцевой системе.

Таким образом, пусковое давление зависит от конструкции подъемника, диаметра скважины, величины столба жидкости в скважине, глубины погружения подъемных труб под уровень жидкости и т.д. Пусковое давление для любой скважины можно подсчитать теоретически, зная глубину погружения подъемных труб под уровень жидкости.

Рис. 4. Схема пуска компрессорной скважины по кольцевой системе при двухрядном подъемнике.

h - глубина погружения подъемных труб под статический уровень; h1-высота подъема жидкости в момент продавливания; h2-высота стояния динамического уровня от конца подъемных труб.

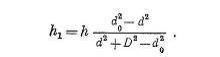
Рассмотрим пусковые давления при двухрядном и однорядном подъемниках, имея в виду следующие параметры: D - диаметр эксплуатационной колонны в дюймах или см; d - диаметр подъемных труб в дюймах или см; do - диаметр наружного ряда труб в дюймах или см; L - длина колонны подъемных труб в м; у - удельный вес жидкости; h - глубина погружения подъемных труб под статический уровень в м; h1 - высота подъема уровня жидкости при продавливании по сравнению с первоначальной в м. Нагнетание рабочего агента осуществляется по кольцевой системе.

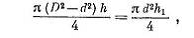
Допустим, что при продавливании вытесняемая из труб наружного ряда жидкость не уходит в пласт, а поступает только в подъемные трубы и в затрубное пространство. Толщиной стенок труб при расчетах пренебрегаем. Когда жидкость в трубах наружного ряда будет отжата до башмака подъемных труб, пусковое давление должно уравновесить столб жидкости в подъемных трубах высотой h + h1 и стать равным

 ( 5)

Величина h1 определяется из равенства объемов жидкости, вытесненной из кольцевого пространства и поступившей в затрубное пространство и в подъемные трубы. Тогда

(6)

или


откуда

 (7)

Подставляя найденное значение h1 в формулу (5), получаем

 (8)

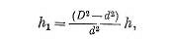
При оборудовании скважины однорядным подъемником, работающим по кольцевой системе, пользуясь принятыми выше обозначениями, получим

 (9)

откуда

 (10)

и пусковое давление будет

 (11)

При центральной системе подачи рабочего агента находим

 (12)

откуда

 (13)

и пусковое давление составит

 (14)

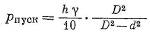
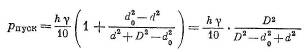
При пуске скважины, оборудованной однорядным подъемником кольцевой системы, вследствие большой разницы площадей кольцевого пространства и подъемных труб незначительное снижение уровня в кольцевом пространстве вызывает значительный подъем уровня в колонне подъемных труб. При этом часто бывает, что вытеснение жидкости из кольцевого пространства еще не закончено, а жидкость в подъемных трубах уже поднялась до устья, и дальнейшее вытеснение жидкости сопровождается переливом ее через устье. Следовательно, в том случае, когда рабочий агент вытеснит всю жидкость из кольцевого пространства и подойдет до нижнего конца подъемных труб, пусковое давление будет соответствовать давлению столба жидкости в подъемных трубах, т. е. Рпуск= L у/10. Выше этого значения пусковое давление быть не может.

При очень хорошей приемистости пласта и медленном продавливании вытесняемая из кольцевого пространства жидкость может почти полностью поглощаться пластом. Очевидно, это будут наиболее благоприятные условия для наименьшего пускового давления. Тогда к моменту достижения рабочим агентом башмака колонны подъемных труб уровень жидкости в ней не повысится. Пусковое давление этом случае будет измеряться только глубиной погружения колонны труб под статический уровень, т.е. Рпуск= h у/10. Ниже этого значения пусковое давление при обычных условиях понижаться не может.

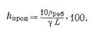
Методы снижения пусковых давлений

Повышенное при пуске скважины давление объясняется, как мы видим, образованием в подъемных трубах чрезмерно высокого столба жидкости в процессе механического вытеснения жидкости рабочим агентом. Поэтому все методы, применяемые для снижения пускового давления, основаны на удалении тем или иным способом во время продавливания части жидкости из колонны подъемных труб.

Метод постепенного доспуска подъемных труб

При этом методе подъемные трубы сначала спускают до такой глубины, при которой давлением, создаваемым данным компрессором, можно продавить столб жидкости из скважины. Затем с падением давления в воздухо(газо)подводящей линии после выброса приостанавливают подачу рабочего агента в скважину и быстро опускают трубы на 30-50 м ниже. Так делают несколько раз, пока длина подъемной колонны будет такой, при которой скважина начнет нормально работать.

Доспуск труб связан с разборкой и сборкой арматуры.

За время доспуска труб возможен подъем уровня жидкости в скважине до первоначального. Тогда продавить жидкость в скважину не удается, так как пусковое давление после добавления подъемных труб становится больше максимального давления, развиваемого компрессором, и приходится поднимать наращенные подъемные трубы. Применение указанного метода возможно только в скважинах с низким коэффициентом продуктивности.

Метод продавливания жидкости в пласт

Этот метод применяют в скважинах, пробуренных на пласты, хорошо поглощающие жидкость, т. е. там, где содержащие нефть породы обладают хорошей проницаемостью.

Продавливание жидкости в пласт осуществляется следующим образом. В подъемные трубы и в кольцевое пространство одновременно нагнетают рабочий агент до максимального давления, которое может обеспечить данный компрессор. Затем на газоподводящей линии и на выкиде скважины закрывают задвижки и оставляют скважину под давлением на несколько часов. За это время в пласт уйдет некоторый объем жидкости из скважины, отчего уровень жидкости в ней понизится.

При повторном нагнетании рабочего агента в кольцевое пространство и снижении давления рабочего агента в подъемных трубах при открытой задвижке на выкиде удается продавить оставшийся столб жидкости и пустить скважину в нормальную эксплуатацию.

Метод поршневания

Метод заключается в том, что удалением части жидкости из скважины поршнем снижают уровень до положения, при котором возможно было бы выдавить оставшийся столб жидкости. Поршневание иногда проводят до нагнетания рабочего агента в кольцевое пространство или сначала нагнетают рабочий агент и когда его давление дойдет до предельного, закрывают вентиль на воздухоподводящей линии и приступают к поршневанию.

Метод переключения подъемника с центральной системы на кольцевую

Так как пусковое давление при подъемнике центральной системы значительно ниже, чем при кольцевой системе подачи, скважину сначала пускают по центральной системе, т. е. рабочий агент нагнетают в подъемные трубы, а выход нефти дают через кольцевое пространство. После продавливания и удаления из скважины части жидкости рабочий агент начинают нагнетать в кольцевое пространство, которое в результате работы по центральной системе заполнено смесью газа с жидкостью. После вытеснения жидкости из кольцевого пространства в подъемные трубы вследствие меньшего ее удельного веса произойдет выброс при гораздо меньшем давлении, чем в случае заполнения подъемных труб непрогазированной жидкостью.

Этот метод дает хорошие результаты в скважинах, оборудованных

подъемниками небольшой длины (до 1000 м). При более длинных подъемниках этот метод не применим из-за сравнительно высокого удельного веса смеси вследствие разгазирования ее за более длительное время пребывания в кольцевом пространстве.

Описанные выше способы пуска компрессорных скважин имеют недостаток: при продавливании создается резкая депрессия на забое, которая может достигать 30-40 am. Если пласт сложен слабосцементированными породами, возможно разрушение пород пласта, вынос их в скважину и образование песчаных пробок. Для более плавного пуска компрессорных скважин в эксплуатацию лучше применить одновременное нагнетание нефти и воздуха (газа) (метод аэрации). После продавливания жидкости в скважину указанным методом рабочий агент нагнетают компрессором, и скважина вступает в эксплуатацию.

Для обеспечения плавного пуска компрессорных скважин методом аэрации жидкости применяют также специальную муфту с миллиметровым отверстием. Такую муфту с отверстием 1-2 мм устанавливают на колонне подъемных труб на определенном расстоянии под уровнем жидкости. При нагнетании рабочего агента в затрубное пространство жидкость в нем отжимается до пусковой муфты, через отверстие в ней рабочий агент начинает поступать в подъемные трубы и, аэрируя столб жидкости, находящийся выше отверстия, уменьшает ее удельный вес; тогда начинается перелив жидкости через выкид скважины и происходит выброс, при этом давление в затрубном пространстве падает. Нагнетание рабочего агента продолжают до тех пор, пока давление, создаваемое компрессором, не достигает максимального, т. е. отжимают жидкость в затрубном пространстве до башмака. Когда уровень жидкости достигнет башмака подъемных труб, начнется аэрация всего столба жидкости, произойдет второй выброс и установится нормальная работа скважины.

В некоторых случаях на колонне подъемных труб устанавливают несколько муфт на определенных расстояниях одну от другой.

Хотя установкой муфт с отверстиями удается значительно снизить пусковое давление и обеспечить плавный пуск скважины, но в процессе работы скважины они становятся ненужными, так как отрицательно влияют на работу подъемника, вызывая увеличение расхода рабочего агента до 10 % и более. Для борьбы с этим недостатком применяют пусковые клапаны. Пусковой клапан, открытый в начале процесса продавливания жидкости, автоматически закрывается после того как рабочий агент пройдет через пусковое отверстие и произойдет выброс жидкости. В процессе нормальной эксплуатации скважины клапан также остается закрытым, чем устраняется потеря газа.

Пусковые клапаны монтируют на коротких патрубках из насосно-компрессорных труб того же диаметра, что и подъемные трубы, и их можно устанавливать в нескольких местах - на разных глубинах колонны подъемных труб. Тогда они действуют последовательно, начиная с верхнего, следующим образом. При нагнетании рабочего агента в кольцевое пространство уровень жидкости в нем оттесняется; после оттеснения уровня ниже первого клапана рабочий агент проходит через клапан в подъемные трубы и аэрирует жидкость, уменьшая ее удельный вес. В результате этого уровень жидкости в подъемных трубах станет повышаться, достигнет устья скважины, жидкость начнет переливаться, и произойдет выброс. После этого клапан автоматически закрывается, и доступ рабочего агента в подъемные трубы через этот клапан прекращается.

Уровень жидкости в затрубном пространстве оттесняется давлением рабочего агента ниже второго клапана и аэрация жидкости возобновляется через второй клапан. Таким же образом закрывается второй клапан и жидкость аэрируется через третий клапан и т. д., пока уровень жидкости в кольцевом пространстве не будет оттеснен до башмака подъемных труб и не начнется нормальная работа подъемника, при которой все пусковые клапаны будут закрыты.

Наибольшее применение на наших промыслах нашел клапан КПА-2, изображенный на рис. 5. В верхней части клапан имеет винт 2, ввинченный в муфту 4, которая нижним концом ввинчена в цилиндр 7, а последний свинчен с корпусом 10 седла, в котором имеются шесть наклонных отверстий диаметром по 2,8 мм каждое. Положение винта 2 фиксируется гайкой 3. Внутри цилиндра 7 свободно проходит шток 6, к нижнему штоку при помощи пальца 8 шарнирно присоединена тарелка 9 клапана. В отверстии на верхнем конце штока 6 закреплен нижний конец пружины 5. Верхний конец пружины пропущен через центральное отверстие винта 2 и закреплен в торце винта. На утолщенной части штока в месте перехода к меньшему диаметру имеется фаска под углом 45°.

Рис. 5. Пусковой клапан КПА-2

Шток, упираясь этой конусной поверхностью в торец цилиндра, прикрывает снизу его центральное отверстие и является вспомогательным клапаном. Корпус седла 10 имеет внутренний бурт, который служит седлом для тарелки 9 клапана; конец тарелки выполнен в виде треугольника и является направлением. Корпус седла 10 ввинчен в отвод 11, который приварен к патрубку 14, предназначенному для защиты клапана при спуске труб. Патрубок изготовляют из насосно-компрессорной или бурильной трубы. Для защиты клапана при подъеме к патрубку над винтом 2 приварен козырек 1. Отвод изготовляют двух конструкций. Одна конструкция допускает промывку скважин без подъема компрессорных (подъемных) труб. При этой конструкции внутри отвода помещается шток 12 с тарельчатым концом и с пружиной 13. При промывке скважины шток 12 с тарелкой под действием пружины 13 прижимается к торцу корпуса седла 10 клапана, вследствие чего жидкость из подъемных труб не может проникнуть через клапан в кольцевое пространство. При установке на подъемных трубах пусковых клапанов с обыкновенным отводом промывать скважину не рекомендуется, так как жидкость будет перетекать через клапаны в кольцевое пространство и может вывести из строя детали клапана.

Рабочая муфта для однорядного подъемника

Для уменьшения пульсаций и улучшения условий выноса песка при эксплуатации скважин, оборудованных однорядным подъемником, применяют дифференциальную муфту конструкции М. А. Абдуллаева. Эту муфту, называемую также рабочей муфтой, устанавливают на колонне подъемных труб, на определенной глубине под уровнем жидкости.

Муфта, изображенная на рис. 6, состоит из корпуса 2, в торцовую часть которой ввинчены три ниппеля 3 с помещенными внутри каждого из них пружиной 4 и клапаном 5. Силу сжатия пружины регулируют ввинчиванием в ниппель винта 6. Муфту присоединяют к колонне подъемных труб при помощи переводного патрубка 1, а в нижней (составной) части муфты имеется резьба для присоединения хвостовика подъемных труб.

Рис. 6. Дифференциальная муфта конструкции М. А. Абдуллаева

Принцип действия муфты следующий. До нагнетания рабочего агента давления на клапан 5 снизу р1 и сверху р2 одинаковы, поэтому клапан силой пружины 4 прижат к торцу винта 6. По мере оттеснения уровня жидкости в кольцевом пространстве давление р1 становится больше давления р2 на величину давления столба жидкости высотой, равной расстоянию от рабочей муфты до уровня в кольцевом пространстве. Следовательно, на клапан снизу действует сила R=f (р1 - р2), где f - площадь поверхности соприкосновения клапана с винтом. Когда эта сила становится больше сопротивления пружины, клапан отодвигается от седла, т. е. от торца винта 6, и через проходное отверстие последнего рабочий агент из кольцевого пространства проходит в ниппель и далее через наклонные отверстия муфты внутрь подъемных труб и аэрирует жидкость в них. Отверстия в корпусе муфты имеют почти вертикальное направление, в результате чего устраняется разъедание рабочей муфты.

Сравнительная характеристика работы эрлифта и газлифта

В промысловой практике компрессорной эксплуатации нефтяных скважин применяют как воздух, так и нефтяной газ. Использование в качестве рабочего агента воздуха имеет ряд недостатков: 1) сжатый воздух, нагнетаемый в скважину, смешиваясь с легкими фракциями нефти и с газом, выделяющимся вместе с нефтью из пласта, после отделения в трапе не улавливается и выпускается в атмосферу, увлекая с собой также и легкие составные части нефти. Воздух, смешиваясь с нефтяным газом, делает его мало пригодным в качестве топлива. Кроме того, смесь воздуха и газа при определенном соотношении (от 6 до 15% содержания газа) образует гремучую смесь; во избежание взрыва смесь воздуха и газа выпускают в атмосферу, и поэтому приходится отказываться от закрытой эксплуатации.

Потери легких фракций из нефти при работе на эрлифте колеблются от 0,8 до 2% от веса добытой нефти, в зависимости от качества нефти. Поэтому всегда предпочтительнее использовать в качестве рабочего агента нефтяной газ. На рис. 7 представлена одна из современных схем замкнутого цикла при газлифтной эксплуатации скважин. При этой схеме продукция скважины 1 поступает в групповой трап 2, где поддерживается давление в 1,2-1,3 am, при котором обеспечивается транспортирование газа к приемам компрессоров. Нефть из трапа поступает в вакуумный сепаратор 3, в котором поддерживается вакуум около 1000 мм вод. ст. В этом сепараторе нефть окончательно дегазируется и затем поступает в отстойник 4 и далее в нефтяной коллектор. Газ, отделившийся в трапе 2, направляется на компрессорную станцию 5, где компрессорами сжимается до требуемого давления и затем проходит через оросительные холодильники 6 и сепараторы 7 для конденсации паров бензина.

Рис. 7. Схема замкнутого цикла газлифтной эксплуатации скважин.

После этого сухой газ направляется по магистральным газопроводам в газораспределительную будку 8, где распределяется по скважинам. Таким образом, получается замкнутый цикл, охватывающий более или менее значительные группы скважин.

Из вакуумных сепараторов газ отсасывается компрессорами вакуумной станции и на этой станции газ сжимается до некоторого среднего давления в 6-8 am, затем его подают для отбензинивания на газолиновый завод. Сухой газ поступает с завода в магистральный газопровод и далее к потребителям.

В газлифтной сети всегда должен быть избыток газа. Для этого в сборную газлифтную сеть вводят не только газ, нагнетаемый в скважины, но и пластовый. Избыток газа из сети отводится через регулятор 9 в вакуумную сеть; регулятор давления отрегулирован для поддержания давления на приеме компрессоров в 1 am. В некоторых случаях, например при пуске дополнительных компрессоров, давление в сети может снизиться ниже атмосферного. Во избежание этого сеть, обирающую газ из скважин, соединяют через регулятор давления 10 с сетью среднего давления; при падении давления в сети ниже допустимого газ из сети среднего давления переходит в газлифтную сеть и компенсирует в ней недостаток газа. В отстойниках из-за недостаточной их прочности поддерживается вакуум в 50- 100 мм вод. ст. Для поддержания в них этого давления установлены регуляторы 11 и 12, соединенные с вакуумной и газлифтной сетями. Регулятор 11 обеспечивает выход газа из отстойника при поступлении нефти, а регулятор 12 - поступление газа в отстойник при освобождении его от нефти.

Осложнения при эксплуатации компрессорных скважин

При эксплуатации компрессорных скважин могут возникнуть различные неполадки, могущие нарушить режимы их работы, уменьшать дебиты скважин и привести к полному прекращению подачи жидкости. Так как нормальная работа скважины зависит от многочисленных факторов, то не всегда удается быстро определить причины нарушения режимов работы скважин. Поэтому для того, чтобы привести скважину в нормальное состояние, проводят ряд комбинированных мероприятий. Нередко нормальная работа скважин восстанавливается только после проведения в них подземного ремонта, вызывающего более или менее продолжительные простои скважин, потери в добыче нефти и увеличение ее стоимости. В связи

с этим необходимо постоянно следить за состоянием скважины в процессе ее эксплуатации (дебит нефти, процент воды, содержание в жидкости песка, количество рабочего агента, давление на устье и в трапе и т.п.) и состоянием наземного оборудования. Нарушения в работе компрессорных скважин в основном происходят вследствие: образования песчаных пробок в скважине или подъемных трубах, что приводит к резкому снижению дебита и даже прекращению притока жидкости из пласта; отложений парафина и солей в подъемных трубах, нередко вызывающих закупорку подъемных труб и отсюда прекращение работы скважины; образования железистых сальников в кольцевом пространстве двухрядного подъемника, препятствующих поступлению рабочего агента в скважину и подаче из нее жидкости; возникновения ледяных пробок в воздухогазопроводах, снижающих или прекращающих поступление рабочего агента.

Способы устранения неполадок при компрессорной эксплуатации

Борьба с песком

При эксплуатации скважин, пробуренных на песчаные пласты, вместе с жидкостью в скважину поступает песок. Если не будут созданы условия для выноса на поверхность всего песка, попавшего в скважину, он будет оседать на забое, образуя песчаную пробку. Такая пробка закрывает фильтр, в результате чего доступ жидкости из пласта в скважину прекращается. Иногда песчаная пробка образуется в подъемных трубах или при двухрядном подъемнике в трубах наружного ряда.

Одни из мер, предпринимаемых на промыслах против образования песчаных пробок, имеют цель не допустить поступления большого количества песка в скважину, другие - создать условия, при которых поступающий в скважину песок выносился бы вместе с жидкостью на поверхность, а не оседал в скважине в виде пробки.

Меры против поступления песка в скважину носят режимный характер и сводятся к ограничению депрессии, т. е. к ограничению отбора жидкости.

Регулирование величины отбора жидкости из компрессорных скважин осуществляется путем изменения погружения подъемных труб, диаметра подъемных труб или количества нагнетаемого рабочего агента.

Образование песчаной пробки в скважине, в трубах первого ряда или в подъемных трубах легко определяют по показаниям контрольно-измерительных приборов и по величине дебита скважины. Оно может быть обнаружено по следующим признакам. Если, например, в процессе работы скважины подача жидкости прекратилась и из скважины идет только воздух (газ) при сниженном давлении, это означает, что на забое скважины или в трубах первого ряда на глубине ниже башмака подъемных труб образовалась песчаная пробка. Такое же явление будет наблюдаться при больших утечках рабочего агента из воздухогазопровода, что обнаруживается проверкой его.

Для очистки забойной пробки в пространство между эксплуатационной колонной и трубами первого ряда при двухрядном подъемнике или в пространство между эксплуатационной колонной и подъемными трубами при однорядном подъемнике прокачивают нефть, не прекращая подачи газа. Иногда таким способом удается размыть пробку. Если пробку ликвидировать сразу не удается, в скважине производят подземный ремонт.

При засорении песчаной пробкой конца колонны труб первого ряда также закачивают в скважину нефть, не прекращая подачи рабочего агента. При закачивании в скважину нефти уровень в пространстве между эксплуатационной колонной и трубами первого ряда поднимается, вследствие чего гидростатическое давление на пробку в трубах первого ряда снизу вверх возрастает, что способствует продавливанию пробки. Повышение давления нагнетаемого в скважину рабочего агента указывает на то, что пробка в трубах разрушена, и тогда дальнейшее закачивание жидкости в скважину прекращают. Если же прокачкой нефти не удается разрушить пробку, то приступают к подземному ремонту скважин.

Для лучшего выноса поступившего из пласта в скважину песка необходимо доводить башмак труб первого ряда ближе к забою; обычно их доводит до фильтра или несколько ниже первых дыр фильтра. В этом случае жидкость, поступая из пласта в скважину, входит непосредственно в 3-4" трубы первого ряда, где приобретает скорость, достаточную для увлечения с собой песка.

При оборудовании скважин однорядным подъемником подъемные трубы спускают также до фильтра, но на уровне, где по расчету должен быть башмак труб, устанавливают специальную рабочую муфту с отверстиями, через которые газ из кольцевого пространства попадает в подъемные трубы и совершает работу по подъему жидкости на поверхность. В этом случае спуск подъемных труб до фильтра также предотвращает образование песчаных пробок.

Мероприятия против отложения парафина

При компрессорной эксплуатации скважин, дающих парафинирую нефть, парафин откладывается также на стенках подъемных труб, особенно в верхней части. Запарафинивание подъемных труб определяют по постепенному повышению рабочего давления нагнетаемого газа при одновременном уменьшении дебита скважины.

Очищают трубы от парафина расплавлением его путем прогрева подъемных труб паром при помощи паровых передвижных установок (ППУ).

Мероприятия против отложения солей в подъемных трубах

При эксплуатации сильно обводненных скважин компрессорным способом в подъемных трубах, а также в арматуре отлагаются соли, что нарушает нормальную работу скважин; давление нагнетаемого рабочего агента в скважину в таких случаях увеличивается и одновременно уменьшается дебит скважин вплоть до полного прекращения подачи. Чтобы предупредить отложение солей, в скважину подкачивают различные химические реагенты.

Наиболее эффективным из реагентов является гексаметафосфат натрия, расход которого составляет 2,5-10 г на 1 м3 добываемой пластовой воды. Гексаметафосфат натрия в виде раствора подается в скважины при помощи дозировочного насоса. Для этого выкид дозировочного насоса подключают к воздухопроводу, идущему к скважине.

Устранение металлических сальников

При эксплуатации компрессорных скважин, когда в качестве рабочего агента применяют воздух, в кольцевом пространстве между трубами первого ряда и подъемными трубами при двухрядном подъемнике и между эксплуатационной колонной и подъемными трубами при однорядном подъемнике образуются металлические сальники (окалина).

Образование металлических сальников приводит к повышению рабочего давления воздуха, уменьшению расхода его и снижению дебита скважины вплоть до полного прекращения поступления рабочего агента в скважину и подачи жидкости.

Чтобы избежать образования металлических сальников, сжатый воздух перед нагнетанием в скважину осушают в холодильниках и влагоотделителях, сооруженных на компрессорных станциях.

Из линий, подводящих воздух к скважинам, также периодически должна удаляться влага. Для этой цели на воздухопроводах, идущих к скважинам, устанавливают конденсационные горшки.

Рис. 8. Конденсационный горшок.

Одна из конструкций конденсационного горшка показана на рис. 8. Такой горшок изготовляют из 8-12" цельнотянутой обсадной трубы. Дно и крышку горшка приваривают. Воздух поступает через вход 1 и, меняя свое направление благодаря перегородке 3, выходит из горшка через выход 2. При перемене направления движения и уменьшении скорости воздух выделяет влагу, которая скопляется на дне горшка; ее периодически выдувают оттуда через трубку 5, открывая вентиль 4. Отверстия а и б во входном и выходном патрубках расположены в противоположных сторонах.

Эффективными мероприятиями по предупреждению образования сальников являются также подача в скважину вместе с воздухом деэмульгатора НЧК (нейтрализованного черного контакта), что представляет одновременно и способ борьбы с образованием эмульсии, и периодическая подача масляной нефти или поочередное впрыскивание деэмульгатора НЧК и нефти.

Если этими методами не удается очистить трубы от металлического сальника, то производят подземный ремонт в скважине.

Расчетная часть

Расчет лифтов при различных условиях работы при ограниченном и неограниченном отборах жидкости

В практике расчетов компрессорных лифтов могут быть два случая: первый - отбор жидкости из скважины, а, следовательно, и минимальное давление на забое ограничены по геолого-техническим условиям; второй - отбор жидкости из скважин по геолого-техническим условиям практически не ограничен. Во втором случае ограничивающим фактором обычно является предельно допускаемый удельный расход газа.

случай

Рассчитать лифт (т. е. определить его диаметр, длину и потребный расход газа) по А. П. Крылову для скважины, работающей с ограниченным отбором жидкости.

Дано: глубина скважины Н = 1320 м; диаметр скважины D =6"; пластовое давление Рп = 50 am; коэффициент продуктивности К = 8 т/сутки am; максимально допускаемая депрессия Δ P= 12 am (следовательно, дебит ограничен); удельный вес нефти yн = 0,9; газовый фактор скважины Go=30м3/т; коэффициент растворимости газа в нефти α = 0,5 м3/т am. Располагаемое рабочее давление Pраб=27,5am; давление у устья, на выкиде, P2 = 1,2 am. Приток нефти в скважину происходит по линейному закону. Воды и песка нет. Допускаемый отбор нефти, дебит скважины, определится по формуле

Qдоп = К ΔР = 8x12 == 96 m/сутки.

Забойное давление при данном дебите будет

Рз = Рп -ΔР = 50 - 12 = 38 am.

Так как забойное давление выше, чем рабочее, и нет поступления печи в скважину, длина лифта будет определяться не глубиной скважины, а располагаемым рабочим давлением по формуле


где Р1 - давление у башмака подъемных труб.

Принимая потери напора на движение газа от компрессора до башмака труб равными 4 am, получим

Р1 = Рраб - 4= 27,5 - 4 = 23,5 am

ӯср- средний удельный вес смеси (нефти и газа) между забоем и башмаком труб:


Удельные веса смеси у забоя у3 и у башмака у1 могут быть определены по формуле А. П. Крылова:


Для определения у1 в формулу для у3 нужно вместо Р3 поставить Р1. Имея в виду, что Qж = Qн и уж = ун, подставляя буквенные значения в формулы, получим


Тогда длина лифта будет


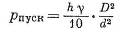
Диаметр лифта из условий ого работы на режиме Qопт определится по формуле


Здесь


Тогда


Принимаем стандартный диаметр d = 21/2".

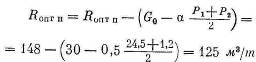
Оптимальный полный удельный расход газа (включая собственный газ скважины) определяем по формуле:


Удельный расход нагнетаемого (искусственно) газа с учетом растворимости газа составит


Суточный расход газа будет

Vсут=Rопт н Q= 125 X 96 = 12000 м3/сутки.

случай

Рассчитать и подобрать лифт для скважины, допускающей практически не ограниченный (противодавлением Р3) отбор жидкости, т. е. допускающей значительное снижение забойного давления.

Дано: глубина скважины Н = 920 м; интервал фильтра hф = 900 - 920 м; диаметр скважины D = 6"; пластовое давление Рп = 28 am; удельный вес нефти ун = 0,85; газовый фактор Go= 75 м3/т; коэффициент продуктивности К=5 т/ат сутки. Индикаторный график притока имеет прямолинейный характер. Допустимый удельный расход нагнетаемого газа (исходя из технико-экономических соображений) составляет 400 м3/т.

Искомыми параметрами в данном случае будут размеры лифта (L и d), дебит скважины и расход газа.

Так как отбор жидкости не ограничен, то для получения наименьшего давления на забое скважины длину лифта берем равной глубине скважины до верхних отверстий фильтра, т. е. L = H - 20 = 900 м.

Полный удельный расход газа, допускаемый по условиям задачи, равен

Rои = Rо н + Go = 400 + 75 = 475 м3/т.

Для определения давления у башмака, а, следовательно, и у забоя воспользуемся графиком (рис. 9) зависимости между давлением у башмака и удельным расходом газа. Для этого от точки 475 на оси абсцисс проводим вертикаль до линии L = 900 м и поворачиваем влево. На оси ординат получаем приближенное значение давления у башмака, равное Р1=10am. Дебит скважины определяем по уравнению притока, принимая Р3=Р1:

Q= К(РП - Р3) = 5(23-10) = 90 т/сутки.

Рис. 9. Зависимость между давлением у башмака и удельным расходом газа Rо для подъемника d=2,5" при Р2=1,2ата и у=0,9

Примечание. Для других диаметров величину Rо, полученную

по графику, нужно умножать на следующие коэффициенты: для

" труб на 1,2, для 3" на 0,912, для 4" на 0,80.

Диаметр лифта определим по формуле

,

где


Тогда


Принимаем стандартный диаметр d = 3". Суточный расход нагнетаемого газа с учетом поправочного коэффициента на 3" трубы (см. примечание к рис.14) составит


Так как при определении Р1 пользовались графиком для 2,5" труб, а по расчету получились 3" трубы, то значения Р, а следовательно, и Q могут быть уточнены по формулам Л. П. Крылова.

Заключение

В данной курсовой работе были рассмотрены компрессорная эксплуатация нефтяных скважин, при которой подъем жидкости из скважины происходит под действием энергии сжатого воздуха, нагнетаемого в скважины, основные осложнения при компрессорной эксплуатации скважин.

Произведен расчет лифтов при различных условиях работы при ограниченном и неограниченном отборах жидкости, так как в практике расчетов компрессорных лифтов могут быть два случая: первый-отбор жидкости из скважины, а, следовательно, и минимальное давление на забое ограничены по геолого-техническим условиям; второй-отбор жидкости из скважин по геолого-техническим условиям практически не ограничен.

Также описаны конструкции воздушных подъемников, оборудование устьев компрессорных скважин, методы снижения пусковых давлений.

Похожие работы на - Осложнения при эксплуатации компрессорных скважин, оборудование и методы борьбы

 

Не нашли материал для своей работы?
Поможем написать уникальную работу
Без плагиата!
Без нейросетей!