Концептуальное проектирование систем

  • Вид работы:
    Курсовая работа (т)
  • Предмет:
    Другое
  • Язык:
    Русский
    ,
    Формат файла:
    MS Word
    43,93 Кб
  • Опубликовано:
    2015-01-08
Вы можете узнать стоимость помощи в написании студенческой работы.
Помощь в написании работы, которую точно примут!

Концептуальное проектирование систем

Министерство образования и науки Российской Федерации

Федеральное государственное бюджетное образовательное учреждение

высшего профессионального образования

Волгоградский Государственный Технический Университет

Факультет Подготовки Инженерных Кадров

Кафедра "Системы автоматизированного проектирования и поискового

конструирования"

Курсовая работа

По курсу "Концептуальное проектирование систем"


Выполнил: студент группы АУЗ-361с Тюляева И.А.

Проверил: ст. пр. Орлова Т. А.





Волгоград 2013 г

Содержание

Введение

1)  Проведение конструктивно-функционального анализа системы

.Описание исходной системы

1 Объект исследования

2 Вербальное описание

3 Ограничения на исследования

4 Цель определения системы

2. Классификация системы

3. Конструктивно-функциональный анализ системы

4. Конструктивно-функциональная структура в графическом виде

2)  Проведение функционально-физического анализа технических объектов

1.        Функционально-физический анализ технических объектов

2.       Потоково-функциональная структура

3)  Проведение морфологического анализа и морфологического синтеза технического объекта

1.Описание технического объекта

2.        Морфологический анализ технического объекта

2.1     Цель морфологического анализа

2 Морфологическая таблица

3 Общее количество возможных технических решений

4 Итоговое общее количество возможных технических решений

3.        Морфологический синтез технического объекта

3.1     Цель морфологического синтеза

2 Таблица экспертных оценок

3 Синтез по одному критерию

4 Синтез по всем критериям

Заключение

Список использованных источников

Введение

Создание современных образцов высоко эффективной техники связано с необходимостью поиска новых, не имеющих аналогов, оригинальных на уровне изобретений, а в ряде случаев и пионерных технических решений. Они обеспечивают разработку сложных технологий и технических систем различного назначения.

Целью данной работы является ознакомление с основными идеями и принципами методов используемых при создании технических систем и технологий.

В результате проведения данной работы студент должен узнать и научиться:

1. Основные особенности задач решаемых при проектировании технических объектов;

2. Применить научный подход к анализу и синтезу решений при проектировании технических объектов;

3. Использовать методы анализа и синтеза технических решений для построения автоматизированных систем проектирования технических объектов;

4. Ставить и решать задачи создания автоматизированных систем поддержки концептуального проектирования.

1) Проведение конструктивно-функционального анализа системы

 

Цель работы: изучение конструктивно-функционального анализа автоматизированных систем и получение навыков работы с данным методом при проектировании автоматизированной системы.

 

. Описание исходной системы

1.1  Объект исследования

Объектом исследования является - электрокофемолка ударного типа. Определим объект как систему электроперемолки кофе без электронного регулятора.

.2    Вербальное описание

Автоматизированная система электрокофемолки создана для обеспечения равномерности и интенсивности перемалывания. Особенностью системы электрокофемолки ударного действия является размол жареных зерен кофе с помощью вращающегося с большой скоростью ножа.

Отправителем (V1) кофейных зерен (V2) в системе является человек, он же является ответственным за подачу кофейных зерен в бункер для кофейного зерна и выгрузку полученного измельченного кофейного порошка из бункера для молотого кофе.

Включается и выключатся электрокофемолка нажатием кнопки "Пуск". Подобная система позволяет прервать процесс измельчения в любой момент. Высокая частота вращения электродвигателя позволяет перемолоть ножом зерна за считанные секунды. В зависимости от времени помола можно получить любую степень помола: мелкую, среднюю и крупную. Нож установлен непосредственно в бункере для измельчения кофе, поэтому электрокофемолка снабжена блокирующим устройством, которое отключает двигатель при открывании крышки. Прессом молотый кофе выгружается в съемный бункер.

.3   Ограничения на исследования

При исследовании данной системы не учитывается влияние внешней среды на объект исследования. В качестве внешней среды, непосредственно влияющей на исследуемую систему, рассматривается человек и кофейные зерна. Система предназначена для обеспечения равномерности и интенсивности перемалывания кофейных зерен, а также круп и орехов, размеры которых не должны препятствовать работе системы.

.4    Цель определения системы

Исследование методов перемалывания кофейных зерен без использования ручного труда и дополнительного оборудования и техники, а также разработки эффективного комплектования данной системы.

2. Классификация системы

-    Исследуемая система относится к сложным техническим детерминированным системам.

-        Система является открытой системой, так как она взаимодействует с окружающей средой и не живая.

-        Система конкретная, потому что имеет больше 2-х элементов, которые являются объектами.

-        Автоматизированная электрокофемолка относится к искусственным физическим системам, так как создан человеком.

-        Описание системы объекта не может быть использовано для математической обработки данных, так как описывается абстрактно, то есть свойства описываются как переменные, а базовое свойство как параметр.

-        Каждый блок представляет собой одно состояние переменной. Когда наблюдаемые свойства проводятся при некотором значении параметра, то наблюдаемое свойство получает определённое проявление из множества проявлений свойств.

 

. Конструктивно-функциональный анализ системы

 

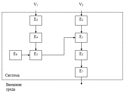
Внешняя среда: V1 - Человек, V2 - Кофейные зерна.

Таблица № 1. Конструктивно-функциональная структура

Элемент системы

Функции элемента

Обозн.

Наименование

Обозн.

Вербальное описание

Е0

Крышка

Ф00

Воздействует при открытии на Е4 и прекращает воздействие при закрытии

Е1

Нож

Ф10

Перемалывает V2 и передает результат работы под Е3

Е2

Бункер для кофейного зерна

Ф20

V1 засыпает V2 в элемент Е2, запускается Е1

Е3

Пресс

Ф30

Проталкивает V2 к Е7

Е4

Блокирующее устройство

Ф40

Фиксирует факт открытия и закрытия Е0, блокирует/ разблокирует Е5

Е5

Электродвигатель

Ф50

Принимает сигнал от Е6, затем подаёт сигнал на запуск Е1

Е6

Включатель

Ф60

Воздействует на Е5 и прекращает воздействие при повторном нажатии V1

Е7

Бункер для молотого кофе


Хранит перемолотый V2

 

4. Графическое представление

Рис. 1. Конструктивно-функциональная структура в графическом виде.

2) Проведение функционально-физического анализа технического объекта

Цель работы: изучение функционально-физический анализ автоматизированных систем и получение навыков работы с данным методом при проектировании автоматизированной системы.

 

. Функционально-физический анализ технических объектов

Внешняя среда: V1 - Человек, V2 - Кофейные зерна.

Таблица №2: Функционально-физическая структура

Элемент системы

Физическая операция

Обозн.

Наименование

Входное воздействие

Операция Колера

Выходное воздействие В

Е0

Крышка

Физическое Воздействие от V1

Преобразование

Сигнал к Е4

Е1

Нож

Воздействие на V2

Преобразование

Сигнал к Е3

Е2

Физическое Воздействие от V1 на V2

Преобразование

Сигнал к Е1

Е3

Пресс

Сигнал из Е1

Перемещение

Передача V2 к Е7

Е4

Блокирующее устройство

Положение Е0

Преобразование

Сигнал к Е5

Е5

Электродвигатель

Сигнал из Е4 и Е6

Преобразование

Сигнал к Е1

Е6

Включатель

Физическое Воздействие от V1

Преобразование

Сигнал к Е5

Е7

Бункер для молотого кофе

Задержка V2

Перемещение

Хранение V2 с Последующей передачей на обработку



2. Потоково - функциональная структура

Рис. 2. Потоково-функциональная структура в графическом виде.

3) Проведение морфологического анализа и морфологического синтеза технического объекта

 

Цель работы: изучение конструктивно-функционального анализа автоматизированных систем и получение навыков работы с данным методом при проектировании автоматизированной системы.

 

. Описание технического объекта

Система представляет собой автоматизированную систему электрокофемолки, предназначенную для обеспечения равномерности и интенсивности перемалывания кофейных зерен. Особенностью системы электрокофемолки ударного действия является размол жареных зерен кофе с помощью вращающегося с большой скоростью ножа. Изобретение относится к электротехнике как устройство обрабатывающие различного рода электрические сигналы, выполняющее переключения и т.д.

Электро (от нов.-лат. electricus и др.-греч. ἤλεκτρον) - электр, блестящий металл; янтарь.

 

. Морфологический анализ технического объекта

2.1 Цель морфологического анализа

Целью анализа является создание морфологической матрицы на основе которой в дальнейшем можно будет, применив процедуру синтеза, создать новое техническое решение, которое будет более надёжным и экономически выгодным.

Необходимо усовершенствовать рассматриваемую систему.

Требования: Необходимо увеличить надёжность и функциональность системы.

Цель: Увеличить точность фиксации и быстродействие.

2.2 Морфологическая таблица

конструктивный морфологический автоматизированный электрокофемолка

Таблица №3: Морфологическая таблица технического объекта.

Классификационные признаки

Варианты реализации классификационных признаков

Крышка

V11 - сталь; V12 - алюминий; V13 - пластик;

Нож

V21 - сталь; V22 - алюминий; V23 - латунь;

Бункер для кофейного зерна

V31 - сталь; V32 - пластик;

Пресс

V41 - поршневой; V42 - гидравлический;

Блокирующее устройство

V51 - кнопка; V52 - контактная пластина; V53 - фотоэлемент;

Включатель

V61 - автоматический; V62 - кнопка;

Бункер для молотого кофе

V71 - сталь; V72 - пластик;

2.3  Общее количество возможных технических решений

Общее количество возможных технических решений:

3 * 3 * 2 * 2 * 3 * 2 * 2 = 432

Для уменьшения числа возможных комбинаций можно отбросить следующие менее значимые классификационные признаки:

1.   Бункер для кофейного зерна.

2.   Бункер для молотого кофе.

Так же уменьшаем количество альтернатив, отбрасывая наименее полезные в каждом из оставшихся классификационных признаков.

2.4  Итоговое общее количество возможных технических решений

Таблица №4: Итоговая таблица.

Классификационные признакиВарианты реализации классификационных признаков


Крышка

V11 - сталь; V12 - алюминий; V13 - пластик;

Нож

V21 - сталь; V22 - алюминий; V23 - латунь;

Пресс

V41 - поршневой; V42 - гидравлический;

Блокирующее устройство

V51 - кнопка; V52 - контактная пластина; V53 - фотоэлемент;


Итоговое общее количество возможных технических решений:

3 * 3 * 2 * 2 = 36

3. Морфологический синтез технического объекта

3.1   Цель морфологического синтеза

На основе морфологической таблицы составленной на этапе морфологического анализа, необходимо обозначить такие решения, которые экономически оправданы и надёжны в работе.

.2     Таблица экспертных оценок

Таблица №5: Таблица экспертных оценок технического объекта.

Наименование элемента

Оценка элементов по критериям


Эффективность

Простота осуществления

Экономичность

Надежность

Крышка: V11 - сталь; V12 - алюминий; V13 - пластик

 3 4 5

 3 3 4

 3 3 5

 4 4 3

Нож: V21 - сталь; V22 - алюминий; V23 - латунь;

 5 4 4

 5 5 4

 5 4 5

 5 5 4

Пресс: V41 - поршневой; V42 - гидравлический;

 4 3

 4 3

 5 3

 4 4

Блокирующее устройство: V51 - кнопка; V52 - контактная пластина;

 4 5

 5 5

 4 5

 5 4


Весовые значимости критериев:

1.  Эффективность - 0.3

2.  Простота осуществления - 0.1

3.  Экономичность - 0.2

4.  Надежность - 0.4

3.3  Синтез по одному критерию

Синтез по критерию "Надёжность".

Наилучший вариант:

Материал крышки: V13 - пластик;

Материал ножа: V21 - сталь;

Тип пресса: V41 - поршневой;

Тип блокирующего устройства: V52 - контактная пластина.

.4 Синтез по всем критериям

Таблица №6: Таблица синтеза по всем критериям.

Наименование элемента

Интегральная оценка

Крышка: V11 - сталь; V12 - алюминий; V13 - пластик

 0,303 0,331 0,366

Нож: V21 - сталь; V22 - алюминий; V23 - латунь;

 0,366 0,328 0,306

Пресс: V41 - поршневой; V42 - гидравлический;

 0,553 0,447

Блокирующее устройство: V51 - кнопка; V52 - контактная пластина;

 0,495 0,505

 

Материал крышки: V13 - пластик;

Материал ножа: V21 - сталь;

Тип пресса: V41 - поршневой;

Тип блокирующего устройства: V52 - контактная пластина.

Заключение

В данной курсовой работе была рассмотрена автоматизированная система электрокофемолки, которая создана для обеспечения равномерности и интенсивности перемалывания кофейных зерен. Особенностью системы электрокофемолки ударного действия является размол жареных зерен кофе с помощью вращающегося с большой скоростью ножа.

В ходе выполнения курсовой работы произведён конструктивно-функциональный анализ системы, функционально-физический анализ, морфологический анализ и синтез технического объекта. Составлена конструктивно-функциональная и потоково-функциональная структура рассматриваемой системы. Найдены оптимальные варианты по одному и по всем критериям, таким как эффективность, простота осуществления, экономичность, надежность. В результате получен опыт работы с методами системного анализа, и методами синтезирования новых проектных решений, которые позволяют модифицировать уже имеющиеся системы и технические объекты и изобретать новые.

Список использованных источников

1)   http://www.4analytics.ru/metodi-analiza/metod-ekspertnix-ocenok.html

2)   http://www.coffeepedia.ru/%D0%9A%D0%BE%D1%84%D0%B5%D0%BC%D0%BE%D0%BB%D0%BA%D0%B0

3)   http://coffeetime.ru/production/cook/2007-04-16-624/

Похожие работы на - Концептуальное проектирование систем

 

Не нашли материал для своей работы?
Поможем написать уникальную работу
Без плагиата!
Без нейросетей!