Кожухотрубчатый теплообменник
Федеральное
государственное бюджетное образовательное
учреждение
высшего профессионального образования
«Камчатский
государственный технический университет»
Кафедра
«Технологические машины и оборудование»
КУРСОВОЙ
ПРОЕКТ
по
дисциплине:
«Процессы
и агрегаты нефтегазовых технологий»
Выполнил: студент гр. 11
ТМБ ФЗО
И.С. Моторыкин
Петропавловск-Камчатский,
2014
Введение
Кожухотрубчатые теплообменники
(рис.1) предназначены для нагрева, охлаждения, конденсации и испарения жидких и
газообразных сред в технологических процессах нефтяной, химической,
биохимической, нефтехимической и газовой отраслях промышленности.
По назначению аппараты делятся на
теплообменники (Т), холодильники (Х), конденсаторы (К) и испарители (И).
По конструкции - на аппараты с
неподвижными трубными решетками (тип Н), с температурным компенсатором на
кожухе (тип К), с плавающей головкой (тип П) и с U-образными трубами (тип У).
Теплообменники предназначены для
нагрева и охлаждения различных сред с температурой теплообменивающихся сред от
-30 до +350оС (типы ТН и ТК) и от -30 до +450оС (типы ТП и ТУ).
Холодильники - для охлаждения
различных жидких или газообразных сред пресной, морской водой или хладагентами
с температурой охлаждаемой среды в кожухе от 0 до +300оС (типы ХН и ХК) и от 0
до +400оС (тип ХП) и температурой охлаждаемой среды в трубах от -20 до +60оС.
Конденсаторы - для конденсации и
охлаждения парообразных сред пресной, морской водой или другими хладагентами с
температурой конденсируемой среды в кожухе от 0 до +300оС (типы КН и КК) и от 0
до +400оС (тип КП) и температурой охлаждаемой среды в трубах от -20 до +60оС.
Испарители - для нагрева и испарения
различных жидких сред с температурой греющей и испаряемой сред от - 30 до
+350оС (типы ИН и ИК) и от -30 до 450оС (типы ИП и ИУ).
Холодильные конденсаторы (тип КТ) -
для сжижения хладагента в аммиачных и углеводородных (пропан, пропилен)
холодильных установках общепромышленного назначения, работающих в пределах
температур конденсируемого хладагента от 0 до +100оС, при температуре
охлаждающей среды от -20 до +50оС.
Холодильные испарители (тип ИТ) -
для охлаждения воды и растворов давлением до 0,6 МПа в аммиачных и
углеводородных (пропан, пропилен) холодильных установках общепромышленного
назначения, работающих в пределах температур насыщения от +40 до -40°С; жидких
технологических сред давлением 1-2,5 МПа в установках, работающих в пределах
насыщения от +40 до -60°С.
Теплообменные аппараты типов П и У
применяют при значительной разности температур стенок кожуха и труб, а также в
случае необходимости механической чистки трубного пучка снаружи.
Теплообменные аппараты различают по:
расположению - вертикальными (типы
Н, К и П) и горизонтальными (типы Н, К, П и У);
числу ходов в трубном пространстве -
одноходовыми - (типы Н и К), двухходовыми (типы Н, К, П и У), четырехходовыми
(типы Н, К и П) и шести ходовыми (типы Н, К и П);
компоновке - одинарными и
сдвоенными;
материалу основных узлов и деталей -
с деталями трубного и межтрубного пространств из углеродистой или
коррозионностойкой стали; с деталями трубного пространства из
коррозионностойкой стали, а межтрубного пространства - из углеродистой стали; с
трубами из латуни или алюминиево-магниевого сплава и деталями межтрубного
пространства из углеродистой стали.
Теплообменные аппараты изготовляют с
кожухами диаметром 159; 273; 325; 400; 426; 630; 800; 1000; 1200 и 1400 мм (для
типов Н и К); 1600; 1800 и 2000 мм (для типа Н); 325; 400; 426; 500; 530; 600;
630; 800; 1000; 1200 и 1400 мм (для типов П и У) и 800; 1000; 1200; 1600; 2400;
2600 и 2800 мм (для испарителей типов П и У).
Для стандартных теплообменных
аппаратов типов Н и К применяют трубы 20×2 и 25×2 мм; для аппаратов типа П -трубы 20×2,
25×2 и 25×2,5
мм; для аппаратов типа У - трубы 20×2
мм.
В кожухотрубчатых теплообменных аппаратах
с неподвижными трубными решетками и с температурным компенсатором на кожухе
трубы расположены по вершинам равностороннего треугольника.
В кожухотрубчатых теплообменниках с
U-образными трубами, теплообменниках и холодильниках с плавающей головкой трубы
расположены по вершинам квадрата или равностороннего треугольника; в
конденсаторах с плавающей головкой - по вершинам равностороннего треугольника;
в испарителях с паровым пространством - по вершинам квадрата. Трубы в трубных
решетках крепят методом развальцовки или обварки с подвальцовкой
К кожухотрубчатым теплообменным
аппаратам с плавающей головкой относятся теплообменники, холодильники,
конденсаторы типов ТП, ХП, КП и их модификации.
К кожухотрубчатым теплообменным
аппаратам с U-образными трубами относятся теплообменники типа ТУ и их
модификации.
Аппараты предназначены для
теплообмена жидких и газообразных сред в технологических процессах
нефтеперерабатывающей, нефтехимической, химической, нефтяной, газовой и других
отраслях промышленности.
Задание
Рассчитать кожухотрубчатый
теплообменник для охлаждения 520м3/ч (при нормальных условиях) природного газа
от t1н. = 46°С док =13°С.
Состав природного газа (при
нормальных условиях):
|
Компонент
|
Объем, м3
|
Объемный состав, %
|
|
Метан (СН4)
|
444,6
|
85,5
|
|
Этан (С2Н6)
|
45,24
|
8,7
|
|
Бутан (С4Н10)
|
20,28
|
3,9
|
|
Пропан (С3Н8)
|
9,88
|
1,9
|
|
Итого:
|
520,0
|
100,0
|
Давление природного газа pабс
=23атм. Хладагентом является тот же газ под тем же давлением, но с
температурой, изменяющейся от -35 до +20°С.
Δtм
= t1н - t2к =46 - 20 = 26ºС;
Δtб
= t1к - t2н =13 - (- 35) =48ºС.
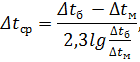
Средняя разность температур:
где Δtб - большая разность температур, ºС;
Δtм
- меньшая разность температур, ºС.
Для приближенного расчета тепловых
напряжений найдем среднеарифметическую температуру того теплоносителя,
абсолютное изменение температур которого наименьшее. Так, если:

,
то средняя разность
температур теплого природного газа:
Среднюю температуру
другого теплоносителя, холодного природного газа, определим по формуле:
I. Тепловая нагрузка
Подсчет тепла,
выделяемого при охлаждении природного газа от 46 до 13°С, ведется по отдельным
компонентам.
Принятые в дальнейшем
плотности газов в кг/м3 (при 0°Си 760 мм рт. ст.) по приложению I:
|
Компонент
|
Плотность, кг/м3
|
|
Метан (СН4)
|
0,72
|
|
Этан (С2Н6)
|
1,36
|
|
Бутан (С4Н10)
|
2,673
|
|
Пропан (С3Н8)
|
2,02
|
Массовое количество газов:
|
Компонент
|
Объем, м3
|
Плотность, кг/м3
|
Массовое количество газов, кг/ч
|
|
Метан (СН4)
|
444,6
|
0,72
|
320,112
|
|
Этан (С2Н6)
|
45,24
|
1,36
|
61,5
|
|
Бутан (С4Н10)
|
20,28
|
2,673
|
54,2
|
|
Пропан (С3Н8)
|
9,88
|
2,02
|
19,96
|
|
Итого:
|
455,8
|
Охлаждение метана
где 
- количество метана,
кг/ч.
;

- теплоемкость метана
при 29°С, Дж/(кг·град).

Дж/(кг·град), (рис. 5).

- начальная температура
смеси, °С.
;

- конечная температура
смеси, °С.
.
Охлаждение этана:
где
- количество этана,
кг/ч,
кг/ч;

- теплоемкость этана
при 29°С, Дж/(кг·град),

Дж/(кг·град), (рис. 5).

- начальная температура
смеси, °С.
;

- конечная температура
смеси, °С.
.
Охлаждение бутана:
где
- количество бутана,
кг/ч.
;

- теплоемкость бутана
при 29°С, Дж/(кг·град),

Дж/(кг·град), (рис. 5).

- начальная температура
смеси, °С.
;

- конечная температура
смеси, °С.
.
Охлаждение пропана:
где 
- количество пропана,
кг/ч.
;

- теплоемкость пропана
при 29°С, Дж/(кг·град),

(Дж/(кг·град), (рис. 5).

- начальная температура
смеси, °С.
;

- конечная температура
смеси, °С.
.
Общее количество тепла,
передаваемое в теплообменнике:общ = qСН4 + qС2Н6 + qС4Н10+ qС3Н8 =
=6749+1071,6+894,4+457,4=9172,4
Вт.
Определение физических
констант охлаждаемого газа.
Плотность смеси при
нормальных условиях:

- массовое количество
газов, кг/ч;

- количество природного
газа, поступающего на охлаждение в теплообменник, м3/ч.
Плотность смеси при
рабочих условиях (t = 29°C и 
атм):
где 
- давление природного
газа в рабочих условиях, атм;

- температура при нормальных
условиях, 
;

- давление при
нормальных условиях, р0 = 760 мм рт.ст. = 101300 Н/м2 = 1 атм;

- средняя
разностьтемператур теплого природного газа, °К.
Определим теплоемкость
смеси при 29°C.
Влияние давления не
учитываем, так как при 23атм. оно незначительно (например, теплоемкости воздуха
при 1 и 6 атм отличаются всего лишь на 1%
Теплоемкость смеси:
где 
- общее количество
тепла, передаваемое в теплообменнике, Вт;

- массовое количество
газов в кг;

- начальная и конечная
температуры природного газа, °C.

Дж/(кг·град).
Определим вязкость
смеси:
Влияние давления не
учитываем, так как оно незначительно (например, при изменении давления от 1 до
20 атм, вязкость воздуха увеличивается всего лишь на 2%
Таким образом, вязкость
смеси:
где 
- динамический
коэффициент вязкости при 29°C, Н·сек/м2·10-7или спз·10-4: для метана 
= 111,7, для этана 
= 89,7, для бутана 
= 76,33 и для пропана 
= 83
После подстановки
получаем:
Определим критерий
Прандтля.
Наибольший процент в
смеси составляют многоатомные газы. Принимаем приближенное значение критерия
Прандтля для смеси такое же, как и для метана: 
Определим
теплопроводность смеси.
Величину
теплопроводность смеси(λсм) находим из выражения критерия Прандтля:
где 
- критерий Прандля для
смеси;

- теплоемкость смеси,
Дж/(кг·град);

- вязкость смеси,
Н·сек/м2.

т/(м·град).
Определение физических
констант нагревающегося газа и его числового расхода.
Нагрев метана:
где 
- количество метана,
кг/ч.
;

- теплоемкость метана
при -7,1°C,
Дж/(кг·град,
Дж/(кг·град), (рис. 5).

- средняя температуру
холодного природного газа,, °С.
.
Нагрев этана:
где
- количество этана,
кг/ч.
кг/ч;

- теплоемкость этана
при -7,1°C, Дж/(кг·град),

Дж/(кг·град), (рис. 5).

- средняя температуру
холодного природного газа, °С,
.
Нагрев бутана:
где
- количество бутана,
кг/ч.
;

- теплоемкость бутана
при -1,2°C, Дж/(кг·град),

Дж/(кг·град), (рис. 5).

- средняя температуру
холодного природного газа, °С,
;
Охлаждение пропана:
где
- количество пропана,
кг/ч.
;

- теплоемкость пропана
при -7,1°C, Дж/(кг·град),

(Дж/(кг·град), (рис. 5).

- средняя температуру
холодного природного газа, °С,
.
Общее количество тепла,
передаваемое в теплообменнике нагревающемуся газу:
Теплоемкость
нагревающегося газа при средней температуре -7,1°C (аналогично расчету при
19°C):
где 
- общее количество
тепла, передаваемое в теплообменнике нагревающемуся газу, Вт;

- массовое количество
газов в кг;

- средняя температуру
холодного природного газа,, °С, 

Дж/(кг·град).
Расход нагревающегося
газа:

,
где 
- общее количество
тепла, передаваемое в теплообменнике, Вт;

- Теплоемкость
нагревающегося газа при средней температуре -1,2°C;

- начальная
нагревающегося газа, °С, 
;

- конечная
нагревающегося газа, °С,
.

.
В том числе:
Расход метана
где 
- массовое количество
газа, кг/ч;

- расход нагревающегося
газа,кг/ч;

- массовое количество
газов,кг/ч.

.
Расход этана

.
Расход бутана

.
Расход пропана

.
Плотность смеси при
давлении pабс = 23атм:
где 
- давление смеси в
рабочих условиях, атм;

- температура при
нормальных условиях, 
;

- давление при
нормальных условиях, р0 = 760 мм рт.ст. = 101300 Н/м2 = 1 атм;

- плотность смеси при
нормальных условиях, кг/м3;

- средняя разность
температур холодного газа, °К.
Вязкость смеси при
-7,1°C (аналогично расчету 
при 15°C):
где 
- динамический
коэффициент вязкости при -7,1°C, Н·сек/м2·10-7или спз·10-4. Определим методом
интерполяции, используя данные, приведенные в таблице 2: для метана 
= 111,7, для этана 
= 93,7, для бутана 
= 76,33 и для пропана 
= 83 [12].

, 
, 
, 
- объемные доли
компонентов;

, 
, 
, 
- молекулярные массы
компонентов;

, 
, 
, 
- критические
температуры, °К.
Значения 
для различных газов
приведены в таблице 3.
После подстановки
получаем:
Критерий Прандтля 
Принимаем приближенное
значение критерия Прандтля для смеси такое же, как и для метана.
Величину
теплопроводность смеси(λсм) находим из выражения критерия Прандтля:
где 
- критерий Прандля для
смеси;

- теплоемкость
нагревающегося газа при средней температуре
,1°C, Дж/(кг·град);

- вязкость смеси при
средней температуре -7,1°C, Н·сек/м2.

Вт/(м·град).
Определение коэффициента
теплоотдачи для трубного пространства.
Принимаем, что
охлаждаемый газ в количестве 455,8 кг/ч пойдет в трубном пространстве, а
нагревающийся газ - в межтрубном; при этом для повышения теплоотдачи в
межтрубном пространстве устанавливаются поперечные перегородки.
Допустим, что в трубном
пространстве будет достигнуто значение критерия Рейнольдса, соответствующее
развитому турбулентному режиму, т. е. Re = 30000.Определим необходимое число
труб Ø25×2 мм.
В выражение
где 
- скорость потока, м/с;

- линейный размер, м.
Здесь внутренний диаметр трубы 0,021 м;

- плотность, кг/м3;

- динамический
коэффициент вязкости, Н·сек/м2. В данном случае для природного газа при средней
температуре 29°C;
подставим значение
скорости:
где 
- массовое количество
газов, кг/ч,
и определим необходимое
количество труб:
Принимаем 
штук.
Скорость в трубном
пространстве при 
:
где 
- массовое количество
газов, кг/ч,

- плотность смеси при
давлении pабс = 23атм;

- площадь поперечного
сечения трубного пространства, м2:
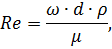
Критерий Рейнольдса:
где 
- скорость потока, м/с;

- линейный размер, м.
Здесь внутренний диаметр трубы 0,021 м;

- плотность смеси,
кг/м3;

- вязкость смеси при
-7,1°C, Н·сек/м2,
Для трубного
пространства при развитом турбулентном течении критерий Нуссельта:
где 
- поправочный
коэффициент, учитывающий влияние на коэффициент теплоотдачи отношения длины
трубы L к ее диаметру 
(при турбулентном
режиме); 
(см. табл. 4).
Коэффициент теплоотдачи
для трубного пространства:

,
где 
- теплопроводность
охлаждаемого газа.
Определение коэффициента
теплоотдачи для межтрубного пространства.
Принимаем теплообменник
D = 400 мм с поперечными перегородками в межтрубном пространстве (табл. 5).
Расстояние между
перегородками примем h = 300 мм.
Площадь поперечного
сечения между соседними перегородками, считая по диаметру кожуха (рис. 8):
Таблица
Расстояния между
сегментными перегородками в межтрубном пространстве [9]
|
Диаметр корпуса теплообменного аппарата, мм
|
Расстояние между перегородками, мм
|
Диаметр корпуса теплообменного аппарата, мм
|
Расстояние между перегородками, мм
|
|
159
|
200
|
800
|
400
|
|
273
|
300
|
1000
|
500
|
|
400
|
300
|
1200
|
600
|
|
600
|
400
|
1400
|
700
|
где
- расстояние между перегородками, м;

- диаметр кожуха
теплообменника,м;

- диаметр трубок, м.
Скорость газа при
поперечном обтекании, считая по диаметру кожуха:
где 
- расход нагревающегося
газа, кг/ч;

- плотность смеси
нагревающегося газа, кг/м3;

- площадь поперечного
сечения между перегородками, м2,
Критерий Рейнольдса:
где 
- вязкость смеси
нагревающегося газа при -1,2°C, Н·сек/м2·10-7;

- скорость газа при
поперечном обтекании, м/с;

- плотность смеси
нагревающегося газа, кг/м3;

- диаметр трубок, м.
Для теплоотдачи при
поперечном обтекании шахматного пучка труб критерий Нуссельта определяется по
уравнению:
где 
и 
- критерии Рейнольдса и
Прандтля соответственно;

- коэффициент,
учитывающий влияние угла атаки φ. Значения коэффициента
приведены в табл.
Таблица
Значение коэффициента 
, учитывающего влияние
угла атаки φ
|
φ,°
|
90
|
80
|
70
|
60
|
40
|
30
|
20
|
10
|
|
 ,110,980,940,880,780,670,520,42
|
|
|
|
|
|
|
|
|
|
Коэффициент теплоотдачи для
межтрубного пространства:
где 
- теплопроводность
нагревающегося газа.
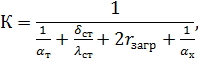
Коэффициент
теплопередачи:
где 
, 
- коэффициенты
теплоотдачи для трубного и межтрубного пространства соответственно,
Вт/(м2·град);

- толщина стенки трубы,
м. 

- теплопроводность
стали, Вт/(м2·град) (см. табл.7), 
Вт/(м2·град);

- загрязнение по обе
стороны трубки,
Необходимая поверхность
теплообмена:
где 
- общее количество
тепла, передаваемое в теплообменнике, Вт;

- коэффициент
теплопередачи, Вт/(м2·град);

- средняя разность
температур, град.
Принимаем один
теплообменник с поверхностью теплообмена 15,4м2 (Прил. II).
Допускается как правило,
превышение стандартной поверхности нормализованного теплообменника над
расчётной не более чем 20%.
. Расчёт тепловой
изоляции
Целью расчёта тепловой
изоляции является определение необходимой толщины слоя теплоизоляционного
материала, покрывающего наружную поверхность теплообменника с целью снижения
тепловых потерь и обеспечения требований безопасности и охраны труда при
обслуживании теплоиспользующих установок. Температура поверхности слоя изоляции
не должна превышать 45°С.
Расчёт толщины
теплоизоляционного слоя материала проводят по упрощённой схеме, используя
следующие уравнения [8]:
так как 
, то из этого следует:
где 
- коэффициент
теплоотдачи в окружающую среду, Вт/м²·К;

- толщина материала
изоляции, мм;

- коэффициент
теплопроводности материала изоляции, Вт/м·К,);

, 
, 
- соответственно
температуры наружной стенки аппарата, окружающей среды, наружной поверхности
теплоизоляционного материала, °С.
Коэффициент теплоотдачи,
который определяет суммарную скорость переноса теплоты конвекций и тепловым
излучением для аппаратов, находящихся в закрытых помещениях, при температуре до
150°С можно рассчитать по приближённому уравнению:
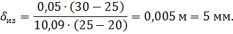
Выбираем
теплоизоляционный материал - стеклянная вата.
Задаём температуры:

= 30°С,

= 20°С,

=25°С,

= 0,05 Вт/м·К
Рассчитаем значение
коэффициента теплоотдачи:
Найдём толщину материала
изоляции:
. Гидравлический расчёт
теплообменных аппаратов
Основной целью
гидравлического расчёта теплообменных аппаратов является определение затрат
энергии на перемещение газа через теплообменник и подбор насоса или
вентилятора.
В общем случае мощность
N (кВт), потребляемая двигателем насоса рассчитывается по уравнению:
где 
- объёмная
производительность, м³/с;

- потеря давления при
течении теплоносителя, Па;

- соответственно
коэффициенты полезного действия собственно насоса, передаточного механизма и
двигателя.
Объемную
производительность рассчитаем по формуле:
где 
- скорость газа в
трубном пространстве, м/с, 
;

- площадь проходного
сечения одного хода по трубам, м², 
Рассчитываем полное
гидравлическое сопротивление потока теплоносителя.
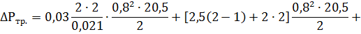
Уравнение для расчёта
гидравлического сопротивления трубного пространства кожухотрубчатого
теплообменника:
где 
- коэффициент трения;

- длина труб, м, 
;

- число ходов. 
;

- диаметр
эквивалентный, м;

- скорость газа в
трубном пространстве и в штуцерах, м/с;

- плотность газа, кг/м³;

- ускорение свободного
падения, м2/с;
- высота подъема смеси,
м.
В турбулентном потоке
для зоны смешенного трения коэффициент трения рассчитываем по формуле:

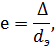
,
где е - относительная
шероховатость трубы:
- абсолютная
шероховатость трубы (средняя высота выступов микронеровностей на поверхности
трубы), мм.
Значения приведены в
табл. 10;

- диаметр
эквивалентный, мм.
Проверим режим потока в
трубном пространстве:
Значение критерия
Рейнольдса для трубного пространства, по ранее произведенным расчетам, равно 
Следовательно,
коэффициент трения рассчитаем по формуле:
Определим скорость газа
в штуцерах:
где 
- массовое количество
газов, проходящее по трубному пространству, кг/с. 
;

- плотность смеси при
давлении pабс =23атм, 
;

- площадь поперечного
сечения потока, м2:

- диаметр условного
прохода штуцера, м, 
Определим гидравлическое
сопротивление трубного пространства кожухотрубчатого теплообменника:
Необходимый напор в
метрах столба перекачиваемого газа при заданной подаче (расходе) смеси,
перемещаемого насосом:
Предварительно выберем
коэффициенты полезного действия для насоса, передачи и электродвигателя.
Если к. п. д. насоса
неизвестен, можно руководствоваться примерными значениями, приведенными в табл.
Таблица
Ориентировочные значения
к. п. д. насосов
|
Тип насоса
|
Центробежный
|
Осевой
|
Поршневой
|
|
Малая и средняя передача
|
Большая передача
|
|
|
|
К.п.д. ( )0,4 - 0,70,7 - 0,90,7
- 0,90,65 - 0,85
|
|
|
|
|
К. п. д. передачи
зависит от способа передачи усилия. В центробежных и осевых насосах обычно вал
электродвигателя непосредственно соединяется с валом насоса; в этих случаях 
В поршневых насосах
чаще всего используют зубчатую передачу; при этом 
К. п. д. двигателя
зависит от номинальной мощности (табл.).
Таблица
К. п. д.
электродвигателей
|
Номинальная мощность, кВт
|
0,4 - 1
|
1 - 3
|
3 - 10
|
10 - 30
|
30 - 100
|
100-200
|
> 200
|
|
К. п. д.
|
0,7-0,78
|
0,78-0,83
|
0,83-0,87
|
0,87-0,9
|
0,9-0,92
|
0,92-0,94
|
0,9
|
И определяем мощность, потребляемую
двигателем насоса:
. Конструктивно-механический расчёт
В задачу конструктивно-механического
расчёта входит определение необходимых геометрических размеров отдельных
деталей и узлов, которые определяют конструкцию теплообменного аппарата, его
механическую прочность и геометрические размеры.
Расчёт и подбор штуцеров.
Диаметр условного прохода
(внутренний диаметр) штуцеров для подвода и отвода теплоносителей
рассчитывается на основе уравнения массового расхода:
кожухотрубчатый теплообменник охлаждение
газ
откуда
где 
- скорость течения
теплоносителя в штуцере, м/с.
м/с;

- массовое количество
газов, проходящее по трубному пространству, кг/с. 
;

- плотность смеси при
давлении pабс =23атм. 
.
Для охлаждаемого газа:
Для теплоносителя
(нагревающегося газа):
Обечайка теплообменного
аппарата.
Обечайка - это
цилиндрический корпус аппарата, который работает, как правило, под избыточным
внутренним или внешним давлением. Толщина стенки обечаек, работающих под
внутренним давлением, рассчитывается по уравнению:
где 
- расчетное давление в
аппарате, МПа;

- диаметр обечайки, мм;

- предельно допускаемое
напряжение, МПа. Для стали Ст5 
МПа;

- коэффициент прочности
сварного шва. 
Толщина стенки обечайки
после вычисления назначается, исходя из условия:
где 
- прибавка на коррозию,
мм,
.
Расчетное давление в
аппарате:
где 
- предельно допускаемое
напряжение, МПа. Для стали Ст5 
МПа.

МПа.
Толщина стенки обечайки:
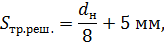
Толщина трубных решёток.
В среднем толщина
трубных решёток составляет от 15 до 35 мм в зависимости от диаметра
развальцованных теплообменных труб и конструкции теплообменника. Это связано с
тем, что напряжения, под действием которых находится и работает трубная
решетка, определяется не только давлением рабочей среды, но и особенностями конструкции
аппарата.
Ориентировочно толщину
трубных решёток можно принять равной:
где 
- диаметр труб, мм.
В случае вальцованных
соединений с наружным диаметром труб более 19 мм минимальный шаг расположения
труб получают по условию:
Примем фактический шаг
размещения труб 
равным 
.
Причем ширина простенка
(мм) должна быть, в свою очередь, связана условием:
где dh - наружный
диаметр трубы, мм;

- принятый шаг
расположения труб, мм.
Большее значение шага
выбирают для труб меньшего диаметра.
Внутренний диаметр
корпуса аппарата при расположении труб по сторонам правильных шестиугольников
определяют по выражению:
где 
- число труб,
расположенных по диагоналям наибольшего шестиугольника.