Разработка схемы электроснабжения промышленного предприятия
ГОСУДАРСТВЕННОЕ ВЫСШЕЕ УЧЕБНОЕ
ЗАВЕДЕНИЕ ДОНЕЦКИЙ НАЦИОНАЛЬНЫЙ ТЕХНИЧЕСКИЙ УНИВЕРСИТЕТ
Кафедра "Промышленная
теплоэнергетика"
Курсовая работа
по курсу
"Проектирование, монтаж и
эксплуатация"
Выполнил: Вергелес С.В.
студент Vl курса
заочного факультета
гр. ТПзс-14а,
Проверил: Попов А.Л.
Донецк 2014
Содержание
Введение
1. Расчёт нагрузок
1.1 Расчёт величины годовых электрических нагрузок
1.2 Расчёт величины годовых тепловых нагрузок
1.3 Расчёт годового потребления электроэнергии
1.4 Расчёт годового потребления тепловой энергии
1.5 Расчёт коэффициента структуры энергопотребления
1.6 Построение графика коэффициента структуры энергопотребления
1.7 Определение предельного значения коэффициента структуры
2. Выбор схемы электроснабжения
3. Определение начальных параметров
4. Выбор основного оборудования
4.1 Выбор паровой турбины
4.2 Определение теплофикационного коэффициента для номинальных
характеристик турбины
4.3 Выбор парогенератора
5.Определение режимов работы ТЭЦ и их анализ
5.1 Построение совместных графиков электрических нагрузок
5.2 Построение совместных графиков тепловых нагрузок
5.3 Анализ совместных графиков электрических и тепловых нагрузок
6. Технико-экономические показатели
6.1 Определение характеристик тепловой электроцентрали
6.2 Определение экономии топлива при энергоснабжении от ТЭЦ
6.3 Распределение топлива на ТЭЦ
6.4 Показатели работы ТЭЦ на теплофикационном режиме
6.5 Определение себестоимости энергии, отпускаемой ТЭЦ
Заключение
Список использованной литературы
Введение
Крупные промышленные предприятия являются значительными
потребителями различных видов энергии, в первую очередь электрической и
тепловой. Например, металлургические заводы - в очень больших количествах
сжатого воздуха. Такие предприятия могут получать каждый из потребляемых видов
энергии раздельно от самостоятельных источников.
В месте с тем возможно получение электрической и тепловой
энергии, а в отдельных случаях и сжатого воздуха от единого источника -
собственной теплоэлектроцентрали предприятия.
Какой схеме энергоснабжения отдать предпочтение в отдельном
конкретном случае можно решить лишь на основе тщательного
технико-экономического расчёта.
схема электроснабжение себестоимость энергия
1. Расчёт
нагрузок
1.1 Расчёт
величины годовых электрических нагрузок
Величины годовых электрических нагрузок рассчитываем согласно
заданному уравнению;
N=No+Acos (
) +Bsin (
π),
где No-фиксированное значение электрической нагрузки,
МВт;
А, В - постоянные коэффициенты;- текущая координата времени, ч.
Результаты расчётов предоставлены в таблице 1.1
Таблица 1.1 Годовые электрические нагрузки.
|
t
|
No
|
A
|
t/2190
|
cos ( ) Acos ( ) Bt/8760sin ( π) Bsin ( π) N
|
|
|
|
|
|
|
|
0
|
116
|
68
|
0
|
1
|
68
|
115
|
0
|
0
|
0
|
184
|
|
365
|
|
|
0.17
|
0.87
|
59.16
|
|
0.04
|
0.13
|
14.95
|
190.11
|
|
730
|
|
|
0.33
|
0.50
|
34
|
|
0.08
|
0.26
|
29.92
|
179.99
|
|
1095
|
|
|
0.50
|
0.00
|
0
|
|
0.13
|
0.38
|
43.70
|
159.70
|
|
1460
|
|
|
0.67
|
-0.50
|
-34
|
|
0.17
|
0.50
|
57.50
|
139.50
|
|
1825
|
|
|
0.83
|
-0.87
|
-59.16
|
|
0.21
|
0.61
|
70.15
|
126.90
|
|
2190
|
|
|
1.0
|
-1.0
|
-68
|
|
0.25
|
0.71
|
81.65
|
129.60
|
|
2555
|
|
|
1.17
|
-0.87
|
-59.16
|
|
0.29
|
0.79
|
90.85
|
147.60
|
|
2920
|
|
|
1.33
|
-050
|
-34
|
|
0.33
|
0.87
|
100.05
|
182.05
|
|
3285
|
|
|
1.50
|
0.00
|
0
|
|
0.38
|
0.92
|
105.80
|
221.80
|
|
3650
|
|
|
1.67
|
0.50
|
34
|
|
0.42
|
0.97
|
111.55
|
261.55
|
|
t
|
No
|
A
|
t/2190
|
cos ( ) Acos ( ) Bt/8760sin ( π) Bsin ( π) N
|
|
|
|
|
|
|
|
4015
|
|
|
1.83
|
0.87
|
59.16
|
|
0.46
|
0.99
|
113.85
|
281.01
|
|
4380
|
|
|
2.0
|
1.0
|
68
|
|
0.50
|
1.00
|
115.00
|
229.00
|
|
4745
|
|
|
2.17
|
0.87
|
59.16
|
|
0.54
|
0.99
|
113.85
|
289.01
|
|
5110
|
|
|
2.33
|
0.50
|
34
|
|
0.58
|
0.97
|
111.85
|
261.55
|
|
5475
|
|
|
2.50
|
0.00
|
0
|
|
0.63
|
0.92
|
105.80
|
221.80
|
|
5840
|
|
|
2.67
|
-0.50
|
-34
|
|
0.67
|
0.87
|
100.05
|
182.05
|
|
6205
|
|
|
2.83
|
-0.87
|
-59.16
|
|
0.71
|
0.79
|
90.85
|
147.69
|
|
6570
|
|
|
3.0
|
-1.0
|
-68
|
|
075
|
071
|
81.65
|
129.65
|
|
6935
|
|
|
3.17
|
-0.87
|
-59.16
|
|
0.79
|
0.61
|
70.15
|
126.90
|
|
7300
|
|
|
3.33
|
-0.50
|
-34
|
|
083
|
050
|
57.50
|
139.50
|
|
7665
|
|
|
3.50
|
0.00
|
0
|
|
0.88
|
0.38
|
43.70
|
159.70
|
|
8030
|
|
|
3.67
|
0.50
|
34
|
|
0.92
|
0.26
|
29.90
|
179.90
|
|
8395
|
|
|
3.83
|
0.87
|
59.16
|
|
096
|
0.13
|
14.90
|
190.06
|
|
8760
|
|
|
4.0
|
1.0
|
68
|
|
1.0
|
0.0
|
0.0
|
184
|
По данным таблицы 1.1 построим график.
График предоставлен на рисунке 1.1
.2 Расчёт
величины годовых тепловых нагрузок
Значения годовых тепловых нагрузок рассчитываем по заданному
уравнению:
Q = Q0 + Ccos (
) + Dcos (
),
где Q0 - фиксированное значение тепловой нагрузки, МВт
С,D - постоянные коэффициенты.
Результат расчётов приведён в таблице 1.2
Таблица 1.2 Годовые тепловые нагрузки.
|
t
|
Q0
|
C
|
t/4380
|
cos
|
Ccos
|
D
|
t/2190
|
cos
|
Dcos
|
Q
|
|
0
|
502
|
257
|
0.00
|
1.00
|
257
|
164
|
0.00
|
100
|
164
|
923
|
|
365
|
|
|
0.08
|
0.97
|
249.29
|
|
0.17
|
0.87
|
142.68
|
893.97
|
|
730
|
|
|
0.17
|
0.87
|
223.59
|
|
0.33
|
0.50
|
82
|
807.59
|
|
1095
|
|
|
0.25
|
0.71
|
182.47
|
|
0.50
|
0.00
|
0
|
684.47
|
|
1460
|
|
|
0.33
|
0.50
|
128.5
|
|
0.67
|
-0.50
|
-82
|
548.5
|
|
1825
|
|
|
0.42
|
0.26
|
66.82
|
|
0.83
|
-0.87
|
-142.68
|
426.14
|
|
2190
|
|
|
0.50
|
0.00
|
0.00
|
|
10
|
-1.00
|
-164
|
338.0
|
|
2555
|
|
|
0.58
|
-0.26
|
-66.82
|
|
1.17
|
-0.87
|
-142.68
|
|
2920
|
|
|
0.67
|
-0.50
|
-128.50
|
|
133
|
-0.50
|
-82
|
291.50
|
|
3285
|
|
|
0.75
|
-0.71
|
-182.47
|
|
1.50
|
0.00
|
0
|
319.53
|
|
3650
|
|
|
0.83
|
-0.87
|
-223.59
|
|
1.67
|
0.50
|
82
|
360.41
|
|
4015
|
|
|
0.92
|
-0.97
|
-249.29
|
|
1.83
|
0.87
|
142.68
|
395.39
|
|
4380
|
|
|
1.0
|
-1.00
|
-257
|
|
2.0
|
1.0
|
164
|
409.00
|
|
4745
|
|
|
1.08
|
-0.97
|
-249.29
|
|
2.17
|
0.87
|
142.68
|
395.39
|
|
5110
|
|
|
1.17
|
-0.87
|
-223.59
|
|
233
|
0.05
|
82
|
360.41
|
|
5475
|
|
|
1.25
|
-071
|
-182.47
|
|
2.50
|
0.00
|
0
|
319.53
|
|
5840
|
|
|
1.33
|
-0.50
|
-128.5
|
|
2.67
|
-0.50
|
-82
|
291.50
|
|
6205
|
|
|
1.42
|
-0.26
|
-66.82
|
|
2.83
|
-0.87
|
-142.68
|
292.50
|
|
6570
|
|
|
150
|
-0.002
|
-0.51
|
|
3.00
|
-1.00
|
164
|
338.0
|
|
6935
|
|
|
1.58
|
0
|
66.82
|
|
3.17
|
-0.87
|
-142.68
|
426.14
|
|
7300
|
|
|
1.67
|
0.50
|
128.5
|
|
3.33
|
-0.50
|
-82
|
548.50
|
|
7665
|
|
|
175
|
0.71
|
182.47
|
|
3.50
|
0
|
0
|
684.47
|
|
8030
|
|
|
1.83
|
0.87
|
223.59
|
|
3.67
|
0.50
|
82
|
807.59
|
|
8395
|
|
|
1.92
|
0.97
|
249.29
|
|
3.83
|
0.87
|
142.68
|
893.97
|
|
8760
|
|
|
2.0
|
10
|
257
|
|
4.0
|
1.0
|
164
|
923
|
По данным таблицы 1.2 построим график. График представлен на
рис. 1.2
1.3 Расчёт
годового потребления электроэнергии
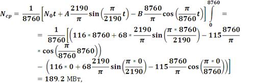
Вычислим значение средней в течении года электрической
нагрузки, МВт:
Ncp=
=
Вычисляем годовую выработку (потребление) электроэнергии, МВт/ч:
Эг = Nср*8760
Эг = 189.2 * 8760 = 1657513.48 МВт/ч
1.4 Расчёт
годового потребления тепловой энергии
Вычисляем значение средней в течении года тепловой нагрузки,
МВт:
Qcp = 
= 
=
=509.31 МВт.
Вычисляем годовую выработку (потребность) в тепловой энергии по
следующей формуле:
Г = Qср * 8760 МВт/чГ = 509.31 * 8760 =
4461555.6 МВт/ч
.5 Расчёт
коэффициента структуры энергопотребления
Коэффициент структуры энергопотребления рассчитан для всех
значений Nи Qпо следующей формуле:
Результаты расчёта представлены в таблице 1.3.
Таблица 1.3 - Результаты расчёта коэффициента структуры
энергопотребления.
|
t
|
N
|
Q
|
|
|
0
|
184
|
923
|
0.19
|
|
365
|
190.11
|
893.97
|
0.21
|
|
730
|
179.99
|
807.59
|
0.22
|
|
1095
|
159.70
|
684.47
|
0.23
|
|
1460
|
139.50
|
548.50
|
0.25
|
|
1825
|
126.90
|
426.14
|
0.29
|
|
2190
|
129.60
|
338.00
|
038
|
|
3555
|
147.60
|
292.50
|
0.50
|
|
2920
|
182.05
|
291.50
|
0.62
|
|
3285
|
221.80
|
319.53
|
0.69
|
|
3650
|
261.55
|
360.41
|
0.72
|
|
4015
|
289.01
|
395.39
|
0.73
|
|
4380
|
299.00
|
409.00
|
0.73
|
|
4745
|
289.01
|
395.39
|
0.73
|
|
5110
|
161.55
|
360.41
|
0.72
|
|
5475
|
221.8
|
319.53
|
0.69
|
|
5840
|
182.05
|
291.50
|
0.62
|
|
6205
|
147.69
|
292.50
|
0.50
|
|
65.70
|
129.65
|
338.00
|
0.38
|
|
6935
|
126.90
|
426.14
|
0.29
|
|
7300
|
139.50
|
548.50
|
0.25
|
|
7665
|
159.7
|
684.47
|
0.23
|
|
8030
|
179.99
|
807.59
|
022
|
|
8395
|
190.11
|
893.97
|
0.21
|
|
8760
|
184
|
923
|
0.19
|
.6 Построение
графика коэффициента структуры энергопотребления
В координатах мощность - время был построен график коэффициента
структуры энергопотребления 
. Этот график представлен на рисунке 1.3. Величину среднего
значения коэффициента структуры энергопотребления вычисляем на основе данных
таблицы как среднеарифметическую:
Ψср = 
= 0.449;
где ψi -
среднее значение коэффициента для і-го интервала времени, число
разбиений временного интервала от 0 до 8760ч.
.7
Определение предельного значения коэффициента структуры
Для анализа работы электростанции необходимо знать величину
предельного коэффициента структуры энергопотребления, которую можно определить:
Ψпр = 
;
Ψпр = 
= 0.93,
где 
- коэффициент использования тепла в парогенераторах котельных;

- КПД ТЭЦ на конденсационном режиме;

- КПД ТЭЦ на теплофикационном режиме;

- КПД станции;
τ - теплофикационный коэффициент;

- доля теплофикационного теплоснабжения.
2. Выбор
схемы электроснабжения
Существуют две схемы энергоснабжения: раздельная и
комбинированная. В данном случае схема - комбинированная, т.к. ψср<ψпр (0.449<0.930)
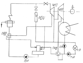
Рисунок 2.1 - Принципиальная схема ТЭЦ.
Электрическая энергия вырабатывается в трёхфазном электрогенераторе,
приводимом во вращение паровой турбиной, Q тепловая энергия из отборов турбины
и РОУ.
3.
Определение начальных параметров
Выполним для заданного значения параметры пара (давления) в отборе
турбины, используемого для теплоснабжения. Предварительно считаем, что в отбор
идёт сухой насыщенный пар, а от теплового потребителя в схему поступает кипящий
конденсат. По таблицам термодинамических свойств воды и водяного пара
определяем энтальпии сухого пара 
и кипящей воды 
. Так как Ротб = 0.2 Мпа 
= 2708.1 КДж/кг, 
= 508 КДж/кг.
Из управления:
Находим энтальпию свежего пара на входе в турбину h1:
h1 = 0.449 * (2708.1 - 508) + 2708.1 = 3695.94 КДж/кг
Вычисляем значение энтальпии пара в конце адиабатного расширения 
:

,
где
= 0.78 - относительный внутренний КПД турбины

= 3695.94 - (3695.94 - 2708.1) 
= 2429.47 КДж/кг
По значениям Ротб и h2на HS - диаграмме
водяного пара находим значение энтальпии
2 = 300 КДж (кг. град).
Так как S2 = S1 = 6.50 КДж (кг. град) и h1известна,
определяем значение начальных параметров
1 = 300 бар = 30 МПа, T1 = 670
4. Выбор
основного оборудования
4.1 Выбор
паровой турбины
Паровая турбина должна работать в номинальном режиме. Поэтому
при выборе мощности турбины поступим так, чтобы турбин было несколько, а их
суммарная мощность "ступеньками" покрывала график электрических
нагрузок и суммарная мощность паровых турбин обеспечивая максимальную
электрическую нагрузку.
Устанавливаем в 6 турбин Т - 50/130 со следующими значениями:
N = 50 МВт1 = 12.75 МПа1 =
565 0Ск = 5.0 кПаmax = 260 т/ч
.2
Определение теплофикационного коэффициента для номинальных характеристик
турбины
Для начальных параметров пара выбранной турбины Р1
= 12.75 Мпа и t1= 5650С по HS - диаграмме воды и водяного
пара находим значение h1,h1 = 3520 КДж/кг. Зная h1и
заданное значение Ротб, по HS - диаграмме воды и водяного пара
определяем энтальпию теоретического процесса расширения отборнго пара h2T=2515
КДж/кг.
Из выражения
отб= h1 - (h1-h2T)
ηoi
определяем истинное значение энтальпии пара в отборе:
hотб = 3520 - (3520 - 2515) 0.78 =
2736.1 КДж/кг
Теплофикационный коэффициент вычисляем по формуле:
τ = 
;

.
4.3 Выбор
парогенератора
На основе параметров турбины (Р1 = 12.75 Мпа, t1
= 5650С), с углом вида топлива (природный газ) выбираем 4 котла Е -
480 - 140 ГМ со следующими параметрами:
заводская марка ТГМ - 96;
температура t= 570 0С;
КПД парогенератора ηпг = 93.45%
5.Определение
режимов работы ТЭЦ и их анализ
5.1
Построение совместных графиков электрических нагрузок
Совместные графики состоят из графика N = f (t) -
электрическая нагрузка, Т.е. заказ потребителя и Nт = f (t) -
возможная выработка электроэнергии на тепловой станции в теплофикационном
режиме.
Построение графика Nт = f (t) начинаем с
нахождения значений Nт для всех тех же точек, что и при построении
графика Nт = f (t).
Значения Nт определяются из уравнения Nт~Qгде
τ - теплофикационный коэффициент. Расчёты сведены в таблицу 5.1
Таблица 5.1 - Результаты расчёта совместных электрических
нагрузок.
|
№
|
t, ч
|
Q, МВт
|
τ
|
Nт, МВт
|
|
1
|
2
|
3
|
4
|
5
|
|
1
|
0
|
923
|
0.4
|
369.2
|
|
2
|
365
|
893.9
|
|
357.5
|
|
3
|
730
|
807.5
|
|
323
|
|
4
|
1095
|
684.4
|
|
273.7
|
|
5
|
1460
|
548.5
|
|
219.4
|
|
6
|
1825
|
624.1
|
|
170.44
|
|
7
|
2190
|
338.0
|
|
135.2
|
|
8
|
292.5
|
|
117
|
|
9
|
2920
|
291.5
|
|
116.6
|
|
10
|
3285
|
319.5
|
|
127.8
|
|
11
|
3650
|
360.4
|
|
144.16
|
|
12
|
4015
|
395.4
|
|
158.16
|
|
13
|
4380
|
409
|
|
163.6
|
|
14
|
4745
|
395.4
|
|
158.16
|
|
15
|
5110
|
360.4
|
|
144.16
|
|
16
|
5475
|
319.5
|
|
127.8
|
|
17
|
5840
|
291.4
|
0.4
|
116.6
|
|
18
|
6205
|
292.5
|
|
117
|
|
19
|
6570
|
338.0
|
|
135.2
|
|
20
|
6935
|
426.1
|
|
170.4
|
|
21
|
7300
|
548.5
|
|
219.4
|
|
1
|
2
|
3
|
4
|
5
|
|
22
|
7605
|
684.4
|
|
873.7
|
|
23
|
8030
|
807.5
|
|
323
|
|
24
|
8395
|
893.5
|
|
357.2
|
|
25
|
8760
|
923
|
|
369.2
|
Совместные графики построены в одной сетке координат.
График совместных электрических нагрузок предоставлен на
рисунке 5.1
.2 Построение
совместных графиков тепловых нагрузок
Следует различать нагрузку как заказ предприятия - это
потребление требуемое и определяемое технологией производства, и нагрузки как
возможность, отпуск. В первом случае это Q, во втором - Qт, т.е.
мощность которую можно отобрать из турбины при выполнении заказа на выработку
электрической представлен в таблице 5.2
Таблица 5.2 - Результаты расчёта совместных тепловых
нагрузок.
|
№
|
τ, МВт
|
N, МВт
|
τ
|
Qт, МВт
|
|
1
|
2
|
3
|
4
|
5
|
|
1
|
0
|
184
|
0.4
|
460
|
|
2
|
365
|
190.11
|
|
475.2
|
|
3
|
730
|
179.99
|
|
449.9
|
|
4
|
1095
|
159.70
|
|
339.25
|
|
5
|
1460
|
139.50
|
|
348.75
|
|
6
|
1825
|
126.90
|
|
317.25
|
|
7
|
2190
|
129.60
|
|
324
|
|
8
|
2555
|
147.60
|
|
369
|
|
9
|
2920
|
182.05
|
|
455.1
|
|
10
|
3285
|
221.8
|
|
554.5
|
|
11
|
3650
|
261.55
|
|
653.8
|
|
12
|
4015
|
289.01
|
|
722.5
|
|
13
|
4380
|
299
|
|
747.5
|
|
14
|
4745
|
289.01
|
|
722.5
|
|
15
|
5110
|
261.55
|
|
653.8
|
|
16
|
5475
|
221.80
|
|
554.5
|
|
17
|
5840
|
182.05
|
|
455.1
|
|
18
|
6205
|
147.60
|
|
369
|
|
19
|
6505
|
129.6
|
|
324
|
|
20
|
6935
|
126.9
|
|
317.25
|
|
21
|
7300
|
139.5
|
|
348.75
|
|
22
|
7665
|
159.7
|
|
399.25
|
|
23
|
8030
|
179.9
|
|
449.9
|
|
24
|
8395
|
190.1
|
|
475.2
|
|
25
|
8760
|
184
|
|
460
|
График совместных тепловых нагрузок расположен на рисунке 5.2
.3 Анализ
совместных графиков электрических и тепловых нагрузок
При сопоставлении графиков видим, что точки пересечения
графиков Nт = f (t) с N = f (t) и Qт = f (t) cQ = f (t)
совпадают. Это не случайно, т.к. выработка электрической и тепловой энергии
осуществляется в одном и том же энергоблоке и эти графики характеризуют работу
этого агрегата. В точках пересечения графиков величины потребления энергии и
выработки совпадают. Из графиков видно, что режимы работы ТЭЦ различны в
течении года:
) Выработка электроэнергии на теплофикационном режиме
N ≤ Nт;
2) Выработка электроэнергии на конденсационном и
теплофикационном режимах N>Nт;
) Теплоснабжение из отборов турбин Q ≤ Qт;
) Режим теплоснабжение из отборов турбин и через РОУ
Q>Qт.
6.
Технико-экономические показатели
6.1
Определение характеристик тепловой электроцентрали
Среднегодовые характеристики ТЭЦ определяются по графикам
тепловых и электрических нагрузок. Годовая выработка электроэнергии:
Эг = Nср * tг
Годовая выработка электроэнергии на теплофикационном и
конденсационном режимах:

,

=
= 1235191.6 МВт/ч
Годовая выработка электроэнергии на конденсационном режиме, МВт:

= 1657513,4 - 1235191,6 = 422321,88 МВт/ч
Годовой выпуск тепла:
Qг = Qсрt2 = 4461555.6
МВт/ч
Годовой отпуск тепла из отборов (на теплофикационном режиме
определяется аналогично годовой выработке электроэнергии)
Годовой отпуск тепла через РОУ:

= 4461555.6 - 2617173.13 = 1844382.47 МВт
Доля выработки электрической энергии на теплофикационном и
конденсационном режимах составит:
Доля теплоснабжения при этих же режимах:
Теплофикационный коэффициент по выработке электрической и тепловой
энергии:
6.2
Определение экономии топлива при энергоснабжении от ТЭЦ
Расход топлива при раздельной выработке электрической и
тепловой энергий, т/год
где 
- низшая теплота сгорания топлива.
Расход топлива на ТЭЦ, кг/год
Годовая экономия топлива, кг
Относительная экономия топлива, %
6.3
Распределение топлива на ТЭЦ
Расход топлива на теплоснабжение, кг/год
Расход топлива на выработку электроэнергии кг/год
Удельный расход топлива на теплоснабжении, кг/ (МВт*ч)
Удельный расход топлива на выработку электроэнергии, кг/
(МВт*ч)
,
6.4
Показатели работы ТЭЦ на теплофикационном режиме
Число часов использования установленной электрической
мощности, час
Nуст =Nнемi = 50 * 6 = 300
МВт
Число часов использования установленной тепловой мощности:
Где Qуст = Qmaх максимальная тепловая
нагрузка.
Удельный расход топлива на отпуск тепла, кг/ (МВт*ч)
,
Удельный расход топлива на отпуск электроэнергии, кг/ (МВт*ч)
6.5
Определение себестоимости энергии, отпускаемой ТЭЦ
Топливная составляющая себестоимости по электрической
энергии, грн/ (МВт*ч)
Топливная составляющая по теплу, грн/ (МВт*ч)
Амортизационная составляющая себестоимости, грн/ (МВт*ч),
а) по электроэнергии:
где Рк - коэффициент амортизационных отчислений на
капитальный ремонт и восстановление, затраты на оборудование;

- стоимость
оборудования ТЭЦ по производству электроэнергии;
Кэ - стоимость 1 КВт установленной мощности для ТЭЦ
б) по тепловой энергии:
,
где
- стоимость
оборудования ТЭЦ по производства тепла,
Составляющая себестоимости, учитывающая затраты:
на текущий ремонт и материалы:
на заработную плату:
где Аn - годовые затраты на заработную плату
где - основная заработная плата с эксплуатационного персонала с
начислением на социальное страхование
А = Ф * П, А = 8400 * 948 = 7963200 грн
затраты по заработной плате составят, грн/ (МВт*ч):
на выработку электрической энергии:
на выработку тепловой энергии:
Общестанционные затраты определяются по формуле:
Общестанционные затраты распределяются между производством
электрической и тепловой энергии пропорционально прямым затратам:
где
- прямые затраты, связанные в отпуском тепла:
Пэ - прямые затраты, связанные м выработкой
электроэнергии:
ПЭ = 1667513.4 * (67.6 + 6.5 + 0.65 + 3.75) =
130 * 106
Таким образом,
Составляющая себестоимости тепла учитывает:
общестанционные расходы
себестоимость тепловой энергии:
Данные расчётов обобщаются в сводных таблицах
технико-экономических показателей.
Таблица 6 - составляющие себестоимости производства
электроэнергии
|
составляющие
|
себестоимость
|
|
обознач.
|
грн/ (МВт*ч)
|
%
|
|
|
топливо
|
|
55,5
|
70
|
91991
|
|
амортизация
|
|
5.5
|
7
|
9116
|
|
текущий ремонт
|
|
3.9
|
5
|
6464
|
|
зарплата
|
|
3.9
|
5
|
6464
|
|
общие расходы
|
|
10.3
|
13
|
17072
|
|
ИТОГО
|
|
79.36
|
100
|
131540
|
Таблица 7 - составляющие себестоимостей производства тепловой
энергии
|
составляющие
|
себестоимость
|
годовые затраты, тыс. грн
|
|
обозначение
|
грн/ГДж
|
|
|
Топливо
|
|
8.4
|
37477
|
|
Амортизация
|
|
0.78
|
3480
|
|
Текущий ремонт
|
|
0.84
|
3747
|
|
Зарплата
|
|
0.48
|
2141
|
|
Общие расходы
|
|
1.5
|
6692
|
|
ИТОГО
|
|
12
|
53538
|
Таблица 8 - технико-экономические показатели.
|
Показатели
|
Условное обозначение
|
Единица величины
|
Значение
|
|
Годовая выработка электроэнергии
|
Эг
|
МВт*ч
|
1657513,48
|
|
На теплофикац. режиме
|
|
- // -
|
1235191.6
|
|
На конденсац. режиме
|
|
- // -
|
422321.88
|
|
Годовой отпуск тепла
|
|
МДж
|
4461555.6
|
|
В том числе из отборов турбины через РОУ
|
|
МДж
|
2617173.13 1844382.47
|
|
Доля теплоснабжения на теплофик. режиме
|
|
МДж
|
0.587
|
|
Доля электроснаб. натепл. режиме
|
|
МДж
|
0.750
|
|
Теплофикац. коэффициент
|
|
МВт*ч/МДж
|
0.472
|
|
Годовая экономия топлива
|
|
т/год
|
267*106
|
|
Относительная экономия
|
|
%
|
20
|
|
Удельный расход усл. топл. на выработку эл.
энергии
|
|
кг/ (МВт*ч)
|
389
|
|
Условный расходусл. Топл. на выработку тепл.
Энергии
|
|
Кг/МДж
|
93.6
|
|
Себестоимость электроэнергии
|
|
Грн/ (МВт*ч)
|
79.36
|
|
Себестоимость тепловой энергии
|
|
Грн/МДж
|
56.22
|
Заключение
В ходе данной курсовой работы был проведён расчёт величин
годовых электрических и тепловых нагрузок, построены соответствующие графики.
Был проведён расчёт энергопотребления, расчёт коэффициента структуры
энергопотребления и построен его график. Выбрана схема энергоснабжения - комбинированная.
Определены начальные параметры пара. Было выбрано основное оборудование
электростанции: 6 турбин Т-50-130 и 4 котла Е-480-140 ГМ.
Были построены совместные графики электрических и тепловых
нагрузок, сравнены и проанализированы.
Были определены технико-экономические показатели:
характеристики ТЭЦ, экономия топлива, показатели работы ТЭЦ при
теплофикационном режиме а также определена себестоимость энергии.
Список
использованной литературы
1. Ривкин
С.А., Александров А.А. Термодинамические свойства воды и водяного пара. - М.:
Энергия, 1980 г. - 402 с.
2. Рыжко
В.Я. Тепловые электрические станции. - М.: Энергия, 1987 г. - 328 с.
. Методические
указания к выполнению курсовой работы по дисциплине
. "Энергетические
установки" Сост.: В.Л. Кондроизкий, Г.Г. Пятышкин, С.М. Сафьянц. - Донецк:
ДПИ, 1992 г. - 30 с.