Противопожарное водоснабжение

  • Вид работы:
    Контрольная работа
  • Предмет:
    Физика
  • Язык:
    Русский
    ,
    Формат файла:
    MS Word
    110,86 Кб
  • Опубликовано:
    2015-04-22
Вы можете узнать стоимость помощи в написании студенческой работы.
Помощь в написании работы, которую точно примут!

Противопожарное водоснабжение

Вопрос №1

В чем состоит закон вязкого трения Ньютона? Какова взаимосвязь между динамическим и кинематическим коэффициентами вязкости, их размерность и связь с давлением и температурой для капельных и газообразных жидкостей?

Вязкостью называется свойство жидкости оказывать сопротивление относительному движению (сдвигу) ее частиц. Вязкость проявляется только при движении реальной жидкости.

Для пояснения понятия вязкости рассмотрим случай движения жидкости параллельными слоями (рис. 1). Пусть скорость движения какого-либо слоя А равна u, а скорость соседнего слоя В больше на величину ∆u. Величина ∆u выражает собой абсолютный сдвиг слоя В по отношению к слою А за единицу времени. При скольжении этих слоев жидкости относительно друг друга между ними возникает препятствующая сдвигу сила трения. Относя силу трения к единице площади трения, получим касательное напряжение силы трения t. Отношение ∆u к расстоянию между центрами слоев ∆y называется относительным сдвигом. Ньютон установил, что сила трения t, приходящаяся на единицу площади, прямо пропорциональна относительному сдвигу:

t = m ∆u ¤ ∆y,

где m - коэффициент внутреннего трения или динамический коэффициент вязкости, Па × с.

В гидравлике наряду с динамической вязкостью при расчетах используют так называемый кинематический коэффициент вязкости, представляющий собой отношение динамического коэффициента вязкости к плотности жидкости:

n = m ¤ r, м2 ¤ с.

Вязкость зависит от вида жидкости и ее температуры.

Вязкость капельных жидкостей уменьшается с увеличением температуры, а вязкость газов, наоборот, возрастает. Объясняется это различием самой природы вязкости жидкостей и газов. В жидкостях молекулы расположены гораздо ближе друг другу, чем в газах, и вязкость вызывается силами молекулярного сцепления. Эти силы с увеличением температуры уменьшаются, поэтому вязкость снижается. В газах вязкость обусловлена в основном хаотичном тепловом движением молекул, интенсивность которого увеличивается с ростом температуры, что приводит к увеличению вязкости.

Рис. 1 Схема, поясняющая понятие вязкости при движении жидкости с параллельными слоями.

Вопрос №2

Как определить равнодействующую силу гидростатического давления жидкости на плоские стенки? Что называется центром давления и как определить его положение? Может ли центр давления находиться выше центра тяжести фигуры стенки и когда они совпадают?

Используя основное уравнение гидростатистики, можно найти силу давления жидкости на различные поверхности. Эта задача имеет большое практическое значение при расчетах гидротехнических сооружений, резервуаров, предохранительных клапанов в технологических аппаратах.

Возьмем плоскую прямоугольную стенку АВСД шириной b, наклонную к горизонту под углом α (рис. 2). Рассмотрим только избыточное давление на эту стенку; поверхностное давление учитывать не будем, так как оно, действуя через жидкость на стенку слева, полностью уравновешивается атмосферным давлением, действующим на стенку справа.

Выделим на стенке АВСД бесконечно малую горизонтальную полоску высотой dℓ. Ввиду малой высоты выделенного элемента гидростатистическое давление во всех его точках можно считать одинаковым и равным ρgh´.

Элементарная сила избыточного давления на полоску будет равна:

d P = ρ g h´ b d l, (1)

где ρgh´bdl представляет собой элемент площади эпюры гидростатического давления dw.

Рис. 2. Схема определения силы давления жидкости на плоскую стенку.

Вся эпюра давления на плоскую стенку изображена треугольником АВЕ площадью w. Площадь самой стенки можно представить состоящей из элементарных полосок, на каждую из которых передается со стороны жидкости давление, определяемое по формуле (1), которое непрерывно изменяется по мере изменения глубины h, но всегда направлено перпендикулярно плоскости стенки.

Сила давления жидкости на стенку АВСД будет равна сумме параллельных, непрерывно изменяющихся элементарных сил, т.е. интегралу уравнения (1) в пределах всей площади эпюры давления:

P = ∫ ρ g h´ b d l = b ∫ d ω = b ω,

где ω - площадь эпюры гидростатического давления.

Таким образом, сила давления жидкости на плоскую прямоугольную стенку определяется произведением площади эпюры гидростатического давления на ширину стенки т.е.

P = b ω.

Сила давления на плоскую стенку может быть также выражена весом жидкости, заключенной в объеме призмы, имеющей основанием эпюру гидростатического давления АВЕ, а высотой - ширину стенки b.

Отметим, что сила гидростатического давления как равнодействующая элементарных сил должна проходить через центр тяжести (ц.т.) эпюры давления и быть направлена нормально к рассматриваемой поверхности. Точку приложения равнодействующей силы давления называют центром давления (ц.д.).

Известно, что центр тяжести треугольной фигуры (рис. 3,а) лежит на расстоянии h/3 от основания; если же эпюра давления изображена трапецией, то центр тяжести ее находится на пересечении медианы с линией, соединяющей продолжения оснований (рис. 3,б).

а)                                                                         б)

Рис. 3 Определение центра давления жидкости на плоские стенки. а - при треугольной эпюре давления; б - при трапецендальной эпюре давления.

Вопрос №3

Чем установившееся движение отличается от неустановившегося, установившееся равномерное от неравномерного, напорное от безнапорного? Понятие гидравлического радиуса.

Скорости определяются в отдельных точках потока - в зависимости от глубины и давления. Движение жидкости может быть двух видов: установившееся и неустановившееся. При установившемся движении скорость и давление в любой точке потока остаются постоянными, т.е. не изменяются во времени ни по величине, ни по направлению. Примером установившегося движения может служить истечение жидкости из отверстия в стенке сосуда при постоянном напоре. При неустановившемся движении скорости частиц и давление в каждой точке потока изменяются с течением времени. Неустановившееся движение наблюдается, например, при опорожнении резервуара, когда уровень жидкости в нем непрерывно уменьшается, следовательно, изменяется напор.

Установившееся движение жидкости разделяется на два вида: равномерное, при котором средняя скорость в сечении и его площадь по всей длине потока не изменяются; неравномерное, когда имеет место хотя бы одно отклонение от принятых условий. Примером равномерного движения может служить поток воды в трубе постоянного диаметра при постоянном расходе. В случае неравномерного движения можно выделить плавноизменяющееся движение, когда угол расхождения между струйками и их кривизна весьма незначительны, чем можно пренебречь и считать живые сечения плоскими, а движение параллельноструйным, и резкоизменяющееся движение, когда угол расхождения между струйками и их кривизна настолько значительны, что ими пренебрегать нельзя, например, при движении жидкости в насосе или при ударе струи о преграду.

Напорный поток полностью ограничен по всему периметру твердыми стенками. В напорном потоке жидкость движется под давлением, которое создается насосом (напорным резервуаром), например, в водопроводной трубе, пожарном рукаве.

Безнапорный поток в отличие от напорного ограничен твердыми стенками не по всему поперечному сечению, он имеет свободную поверхность (канал, река). Жидкость в безнапорном потоке перемещается только под действием силы тяжести.

Живым сечением потока называется его поперечное сечение ω, перпендикулярное направлению движения. Площадь живого сечения напорных потоков в трубах и рукавах рассчитывается по формуле.

ω = π r2 = π d2 / 4 = 0,785 d2.

Смоченным периметром χ называется линия, по которой живое сечение потока соприкасается с твердыми, ограничивающими его стенками.

В водопроводной трубе он равен:

χ = 2π r = π d

Отношение площади живого сечения ω к смоченному периметру χ называется гидравлическим радиусом R :

R = ω/ χ.

Необходимо отметить, что для круглых живых сечений гидравлический радиус R не равен геометрическому r, в этом случае R = π r2 / 2 π r = r/2 = d/4.

Вопрос №4


Объясните геометрический и физический смысл понятий: геодезический, пьезометрический и гидравлический уклоны. В каких случаях пьезометрический уклон меняет знак с положительного на отрицательный? Может ли гидравлический уклон изменять свой знак вдоль потока?

Уравнение Бернулли графически может быть представлено диаграммой, как и для идеальной жидкости, но с учетом величины потерь напора для реальной жидкости. Очевидно, что для потока (а в равной мере и для струйки) реальной жидкости напорная линия всегда наклонна - понижается по течению. Отрезки, заключенные между напорными линиями для идеальной жидкости (линия начального напора) и для реальной, характеризуют величину потерь энергии.

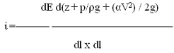
Потери энергии жидкости, приходящиеся на единицу длины пути, называют гидравлическим уклоном. Различают средний гидравлический уклон и гидравлический уклон в данном сечении.

Средний гидравлический уклон между сечениями I-I и II-II равен:

1-2 = (z1 + p1/ρg + (α1V21) / 2g) - (z2 + p2/ρg + (α2V22) / 2g)

Гидравлический уклон - величина безразмерная.

Действительный же уклон в каждом сечении будет величиной переменной. Чтобы определить действительный уклон в данном сечении, надо воспользоваться записью в дифференциальной форме:

ί = dh / dl

Но так как полный запас энергии Е убывает вниз по течению (тогда как потерянный напор h возрастает), то и следовательно, гидравлический уклон можно определить так:


Гидравлический уклон всегда положительный (ί > 0), так как при dl>0 всегда dh>0, a dЕ<0. Увеличение удельной энергии Е возможно лишь тогда, когда в данный поток извне будет поступать дополнительная энергия (например, если на данном водоводе установлен насос, приводимый в движение тем или иным двигателем).

Аналогично можно ввести понятие и об уклоне пьезометрическом. Средний пьезометрический уклон тогда определится по формуле


Если (z1 + p1/ρg) > (z2 + p2/ρg), то средний пьезометрический уклон будет положительным. Но (z1 + p1/ρg) может быть меньше (z2 + p2/ρg). В таком случае пьезометрический уклон будет отрицательным (что возможно при расширении потока, например, в диффузоре). Не исключено также, что пьезометрический уклон может оказаться равным нулю.

Действительный пьезометрический уклон в данном сечении, подобно гидравлическому уклону, определяется по формуле


Величины z1 и z2 представляют собой превышение над плоскостью сравнения 0-0 точек соответствующих живых сечений; величины p1/ρg и p2/ρg - пьезометрические высоты для этих точек.

Вопрос №5


Что вызывает потери напора в потоках реальной жидкости? Какие виды потерь вам известны и как они рассчитываются?

Решение многих практических задач гидравлики сводится к определению потерь напора при движении перекачиваемой по трубопроводам жидкости. Потери напора движущегося потока вызываются сопротивлениями двух видов:

Сопротивлениями по длине, обусловленными трением жидкости о стенки трубы и слоев жидкости друг от друга;

Местными сопротивлениями, обусловленными изменением скорости потока по величине и направлению.

Общую величину потерь напора h для участка трубопровода, заключенного между двумя сечениями, определяем, используя уравнение Бернулли:

Следовательно, для определения h достаточно измерить разности геометрических отметок z1 - z2, показаний пьезометров (p1 - p2)/ ρ g и скоростных напоров (υ12 - υ22) / 2 g в указанных сечениях потока. При равномерном движении в горизонтальной трубе z = const, υ = const) потери напора определяют по формуле

h = (p1 - p2)/ ρ g = Δρ/ρ g,

т.е. потери напора находят по разности показаний пьезометров в сечениях трубопроводах.

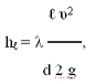
При установившемся движении жидкости потери напора зависят от физических свойств жидкости, скорости течения, размеров трубопровода и шероховатости стенок трубы. Эта зависимость может быть выражена формулой Дарси-Вейсбаха, позволяющей рассчитать потери напора по длине и применимой как при ламинарном, так и при турбулентном режиме:


где h- потери напора по длине трубопровода;

λ - коэффициент гидравлического трения;

ℓ, d - длина и внутренний диаметр трубы;

υ - средняя скорость течения; - ускорение силы тяжести.

Из формулы следует, что потери напора на трение по длине прямо пропорциональны, т.е. возрастают с увеличением скорости течения и длины трубопровода и обратно пропорциональны диаметру трубы.

Выразим в формуле среднюю скорость через расход, исходя из условия неразрывности потока:

υ = Q / ω

Обозначая A = 8 λ / π 2 g d5, получим

h= Aℓ Q2

Величину А в формуле называют удельным сопротивлением, оно определяет потери напора, приходящиеся на 1 м трубопровода при единичном расходе и имеет размерность с26.

Сопротивление по всей длине ℓ трубопровода составит

S = Aℓ

Тогда формула для определения потерь напора по длине примет вид: h= SQ2.

При υ <1.2 м/с в формулы (2) и (3) необходимо ввести поправочный коэффициент Кп, величина которого зависит от средней скорости движения воды в трубе.

h= Кп Aℓ Q2 = Кп SQ2

Местные потери напора зависят от скорости движения жидкости, геометрических размеров и формы местных сопротивлений и определяются по формуле Вейсбаха:

hм = ζ υ2/ 2 g

Где ζ - коэффициент местного сопротивления, отнесенный к скоростному напору за местным сопротивлением.

Следует отметить, что при турбулентном режиме движения жидкости величина коэффициента местного сопротивления ζ постоянна.

При ламинарном режиме движения на местные потери напора влияет не только характер сопротивления, но и вязкость жидкости. А.Д. Альтшуль предложил определять коэффициент местного сопротивления по следующей формуле, применяемой как при ламинарном, так и при турбулентном режиме:

ζ = А / R е + ζт,

Где А - коэффициент, зависящий от вида местного сопротивления;

ζт - коэффициент местного сопротивления при турбулентном режиме.

В некоторых случаях потери напора в местных сопротивлениях hм (в пожарных гидрантах, колонках, водомерах и д.р.) определяют по формуле

hм = SQ2,

аналогичной формуле (4), в которой средняя скорость υ выражена через расход Q, а постоянная величина ζ / 2 g ω2 - через сопротивление S.

Вопрос №6


Как связаны между собой коэффициенты сопротивления, сжатия, скорости и расхода? Поясните физический смысл этих коэффициентов.

На практике часто встречаются процессы, связанные с истечением жидкости через отверстия различных форм и размеров: насадки пожарных стволов и гидромониторов, форсунки в системах подачи топлива, трубы малой длины при наполнении и опорожнении резервуаров и т.п. основным вопросом при этом является определение скорости и расхода вытекающей жидкости.

Рассмотрим случай установившегося истечения жидкости через круглое отверстие диаметром d в вертикальной тонкой стенке сосуда при постоянном напоре H (рис.5). Гидравлический смысл термина “тонкая стенка” заключается в том, что края отверстия имеют такую острую кромку, которая исключает влияние толщины стенки на форму струи. В этом случае имеются только местные потери напора, аналогичные потерям при внезапном сужении потока. Кроме того, будем считать отверстие достаточно малым, т.е. d<0.1H, в котором все точки отверстия находятся приблизительно на одинаковой глубине от свободной поверхности жидкости и скорости движения по всему сечению будут также одинаковыми.

На подходе жидкости к отверстию траектории движущихся частиц имеют криволинейную форму, при этом в струе возникают центробежные силы, под действием которых струя сужается, достигая наименьших размеров в сечении II -II, на некотором удалении от плоскости отверстия, примерно на расстоянии, равном 0,5d. В сжатом сечении все элементарные струйки становятся параллельными.

Рис. 5 Схема истечения жидкости из отверстия в тонкой стенке.

Степень сжатия струи определяется коэффициентом сжатия ε, равным отношению площади поперечного сечения струи в месте сжатия ωc к площади сечения отверстия ω.

ε = ωc / ω.

Сжатие струи называют полным, если оно происходит по всему периметру отверстия, т.е. со всех сторон вытекающей струи. Если сжатие наблюдается не по всему периметру живого сечения, то оно будет неполным. Сжатие называется совершенным, если вблизи отверстия нет дна, стенок или свободной поверхности жидкости, влияющих на характер истечения. Совершенное сжатие наблюдается лишь в тех случаях, когда расстояние от стенок до отверстия больше утроенного диаметра отверстия. Если данные условия не соблюдаются от отверстие на меньшем расстоянии от боковых стенок, сжатие называют несовершенным.

Для определения скорости истечения жидкости из отверстия запишем уравнение Бернулли для сечений I-I и II-II, в которых течение жидкости можно считать плавноизменяющимся, относительно горизонтальной плоскости сравнения 0-0, проходящей через центр тяжести сжатого сечения струи

z1 + p1 / ρg + υ12 / 2g = z2 + p2 / ρg + υ22 / 2g + h.

Потери напора между сечениями I-I и II-II определяются по формуле Вейсбаха:

h = ζ 0 υ22 / 2g,

где ζ 0 - коэффициент сопротивления отверстия.

Учитывая, что скорость υ1 можно считать равной нулю, а давление на свободной поверхности и в сжатом сечении равно атмосферному, уравнение Бернулли перепишем в таком виде:


Отсюда скорость истечения равна:


где φ - коэффициент скорости, равный

φ = 1 / √ 1 + ζ 0.

Расход жидкости, вытекающей из отверстия, равен произведению скорости истечения на площадь струи в сжатом сечении

Q = υ2 ωc.

Подставляя в эту формулу значения ωc и υ2 получим

Q = ε φ ω√ 2g H

Произведения коэффициентов ε и φ называют коэффициентом расхода и обозначают буквой μ, т.е.

μ = ε φ.

Тогда в окончательном виде формула расхода жидкости примет вид

Q = μ ω√ 2g H

Используя эту формулу, можно определить напор перед отверстием.

H = Q2 / μ2 ω2 2g

Если бы при истечении жидкости не происходило сжатия струи и отсутствовали потери напора, то теоретически расход определялся бы по формуле Qт = ω√2gH. Это значит, что коэффициент расхода μ всегда меньше единицы, так как, он показывает, какую часть от теоретического составляет действительный расход.

Вопрос №7


Каковы причины возникновения гидравлического удара? Как рассчитать величину давления в трубопроводе при этом явлении? Приведите примеры возникновения гидравлического удара при эксплуатации пожарной техники. Как можно уменьшить или предотвратить повышения давления?

При быстром закрытии задвижки или при мгновенной остановке потока в напорных трубопроводах, например при остановке насоса, кинетическая энергия движения трансформируется в работу сил давления. Резкое повышение давления вызывает сжатие жидкости, сопровождающееся мгновенным ее объема и расширением трубопровода, - в результате происходит гидравлический удар. Величина добавочного давления внутри трубопровода бывает настолько велика, что вызывает разрыв его стенок. Таким образом, справедливо будет следующее определение данного явления: гидравлический удар - это резкое увеличение давления в жидкости, возникающее в трубопроводе при мгновенном изменении скорости движения.

Процесс характеризуется чередованием резких повышений и понижений давления, происходящих за достаточно малый промежуток времени. Явление гидравлического удара обусловлено инерцией массы жидкости, находящейся в трубопроводе, при изменении ее движения во времени. Этот вид неустановившегося движения жидкости часто встречается в практике эксплуатации насосных станций и противопожарных водопроводов, работающих в нестационарном режиме.

В пожарных рукавах гидравлический удар может произойти при резком закрытии крана на пожарном стволе, при наезде автомобиля на рукавную линию, в результате “залома” рукава и т.п.

Формула для определения величины повышения давления при гидравлическом ударе имеет вид:

∆р = ρ а υ. (5)

Разделив данное выражение на ρg, получим:

∆ H = а υ / g.

Таким образом, с повышением эластичности материала, увеличением диаметра трубопровода и уменьшением толщины его стенок уменьшается скорость распространения ударной волны и, как следствие, наблюдается менее заметное повышение давления при гидравлическом ударе.

Формула (5) справедлива для так называемого прямого гидравлического удара. Гидравлический удар называется прямым, если время закрытия крана t меньше фазы гидравлического удара tф т.е. времени двойного пробега ударной волны вдоль трубопровода t < tф = 2l / a.

При t > tф возникает непрямой гидравлический удар, при котором ударная волна, отразившись от резервуара, возвращается к крану раньше, чем он будет полностью закрыт. При этом повышение давления будет меньше, чем при прямом ударе, и оно может быть найдено по формуле Н.З. Френкеля.

∆р = ρ а υ. tф / t.

Из этой формулы следует, что чем медленнее закрывается кран, тем слабее проявляется гидравлический удар.

Для предохранения оборудования трубопроводов и рукавных линий от повреждения при возникновении гидравлического удара принимаются различные меры эксплуатационного или конструкторского характера.

Наиболее эффективный метод снижения давления - это устранение возможности прямого гидравлического удара при увеличении времени закрытия или открытия запорной и регулирующей арматуры. Уменьшение скорости движения жидкости в трубопроводах, что при заданном расходе сводится к увеличению диаметра трубы, также позволяет снизить ударное давление. Для уменьшения разрушающего действия давления применяют предохранительные клапаны, которые открываются при определенном давлении. На водопроводных линиях могут устанавливаться воздушные колпаки, которые позволяют уменьшить давление за счет сжатия находящегося в колпаке воздуха.

Следует отметить, что блокировка открытия шиберов пожарной колонки гидранта московского типа также предупреждает возникновение гидравлического удара в водопроводной мети. Аналогичное назначение имеют мостики, устанавливаемые в местах возможного проезда автомобилей через рукавные линии, а также предохраняющие рукава от “заломов” в местах прокладки через стенки, заборы и другие преграды.

Вопрос №8


Как изменяются подача, напор и мощность при изменении частоты вращения колеса насоса? Назовите существующие способы регулирования центробежных насосов и объясните их суть.

Подачей насоса называется объем жидкости, перекачиваемый в единицу времени. Подача насоса измеряется в м3 / ч, м3 / мин, м3 / с, л/с.

Напором насоса называют разность полных удельных энергии потока у входа в насос и выхода из него, выраженную в метрах столба перекачиваемой жидкости.

Мощность насоса - это объем работы, выполняемый им в единицу времени.

Полный к.п.д. насоса η учитывает гидравлические, объемные и механические потери, возникающие при передаче энергии перекачиваемой жидкости, и определяется произведением трех коэффициентов полезного действия.

Влияние частоты вращения на параметры работы насоса проявляется следующим образом.

Подача центробежного насоса изменяется пропорционально частоте вращения рабочего колеса

Q1 / Q2 = n1 / n2.

Напор, развиваемый насосом, изменяется пропорционально квадрату частоты вращения.

Н1 / Н2 = (n1 / n2)2.

Мощность, потребляемая насосом, изменяется пропорционально кубу частоты вращения рабочего колеса.

N1 / N2 = (n1 / n2)3.

Установленный закон пропорциональности позволяет по одной опытной серии рабочих характеристик Q - H и Q - N построить ряд характеристик насоса в широком диапазоне изменения частоты вращения. Отмечая на полученных характеристиках Q - H, Q - H1 …. Q - Hi точки с равными значениями к.п.д. и соединяя их плавными кривыми, получают так называемую универсальную характеристику. Таким образом характеристики насосов наглядно отражают эффективность их работы на различных режимах и позволяют точно подобрать наиболее экономичный из них для заданных условий.

Изготовленные на заводе насосы подвергают стендовым испытаниям, цель которых - определить зависимость напора, потребляемой мощности и к.п.д. от подачи насоса. Эти зависимости изображают графически кривыми, которые являются рабочими характеристиками центробежного насоса.

Характеристики строят следующим образом. Регулируя степень открытия задвижки на напорном патрубке, получают различные подачи. Для каждого значения подсчитывают напор, мощность и к.п.д. насоса. Затем на ось абсцисс наносят в принятом масштабе значения подачи, а на ось ординат - найденные рабочие параметры. Полученные точки соединяют плавными линиями.

Испытания ведутся при постоянной частоте вращения, которая замеряется тахометром.

Для выбора рабочего режима насоса пользуются универсальными характеристиками. Представляющими собой кривые зависимости напора, мощности и к.п.д. от подачи насоса при различных частотах вращения рабочего колеса.

Вопрос №9


Как определяется рабочая точка насоса, в каком случае она является оптимальной?

В практике проектирования и анализа режимов работы насосов широко применяется метод графоаналитикеского расчета совместной работы системы “насосы-сеть”. При совместной работе насоса и сети устанавливается режим, при котором расход воды и напор будут соответствовать друг другу, т.е. напор, необходимый для подачи воды по трубопроводу, будет соответствовать напору, развиваемому насосом. Этот режим можно определить, построив совмещенные характеристики насоса и сети на одном графике.

Для решения поставленной задачи, надлежит использовать аналитическое выражение главной рабочей характеристики насоса. Если кривую Q - H считать параболой, что вполне допустимо для практических расчетов, то главную рабочую характеристику можно выразить уравнением,

H = a - b Q2,

где H - напор, развиваемый насосом, м; - напор насоса при нулевой подаче, м; - переводной коэффициент, учитывающий конструктивные особенности насоса; - подача насоса, л/с.

Используя значения параметров а и в и задаваясь значениями подачи в соответствии с формулой строят на графике характеристику насоса Q - H, которая показывает, как изменяется напор с изменением расхода.

Для получения формулы, определяющей характеристику трубопровода, используем выражение

H = Hг + hвс + hн +Hсв,

в котором сумму потерь напора во всасывающем и напорном трубопроводах выразим таким образом:

h = hвс + hн = S Q2,

где S - сопротивление трубопроводов.

Так как для заданных условий Hг и Hсв известны, то сумма этих величин может быть записана в виде

z = Hг +Hсв.

Полученное выражение позволяет рассчитать напор по формуле

H = z + S Q2

Это выражение называется характеристикой трубопровода (сети).

Если характеристику изобразить на одном графике вместе с рабочей характеристикой насоса, то получим точку пересечения двух кривых (точка А) которая называется рабочей точкой насоса (рис. 6). По этой точке определяются все данные, характеризующие режим работы насоса: подачу, напор, мощность, к.п.д. Если рабочая точка отвечает оптимальному режиму работы насоса, то он подобран правильно.

Чтобы уменьшить подачу, можно перекрыть задвижку на напорном трубопроводе настолько, чтобы рабочая точка А переместилась в новую точку, например в точку В, соответствующую подаче QВ. В этом случае появляется добавочное сопротивление от задвижки hз, получаемый при этом напор НВ для полезной работы используется только частично.

Рис .6. Определение рабочей точки насоса.

Увеличить подачу, например до величины соответствующей рабочей точке С, можно либо увеличив частоту вращения рабочего колеса, либо используя насос с другой характеристикой или меньшей потерей напора в трубопроводах.

Вопрос №10


Схемы подачи воды на пожар ручными стволами. Методика определения напора пожарного насоса для подачи требуемого расхода воды по заданной рукавной системе.

Определение напора у насоса.

При практических расчетах насосно-рукавных систем обычно определяют напор, фиксируемый манометром, установленным на напорном патрубке. Величина этого напора используется на преодоление сопротивлений в рукавной системе hc подъем жидкости на высоту z и создание свободного напора у ствола Hсв для подачи струи, т.е.

H = hc + Hсв + z.

Величина потерь напора в рукавных линиях зависит от схемы их соединения hc = Sc Q2.

При последовательном соединении рукавов (рис.7.а) сопротивление системы равно сумме сопротивлений всех участков Sc = S1 +S2 +…. +Sn.

При параллельном соединении рукавов (рис. 7.б) сопротивление системы равно:


Рис. 7. Схема насосно-рукавных систем

а - последовательное соединение; б - параллельное соединение; в - смешанное соединение с различными рабочими линиями.

Рассмотрим смешанную систему (рис. 7.в.) с тремя пожарными стволами, вода к которым подается от насоса по магистральной линии, соединенной через разветвление с тремя параллельными рабочими линиями.

Сопротивление отдельной рабочей линии Sр' с присоединенным стволом определяют по формуле.

Sр' = n S + Sст,

где n - число рукавов в рабочей линии; - сопротивление одного рукава; ст - сопротивление ствола.

Общее сопротивление рабочих линий Sр определяют по правилу параллельных соединений:


Если рабочие линии и стволы совершенно одинаковы, то общее сопротивление устанавливают по формуле:

Sр = (n1 S1 + S1ст) / g.

Сопротивление магистральной линии Sм, составленной из одинаковых рукавов, будет равно:

Sм = nм S.

Сопротивление всей системы Sс, которую можно рассматривать как последовательное соединение магистральной линии с параллельными рабочими линиями, будет равно сумме сопротивлений составляющих участков

Sс = Sм + Sр.

Напор у насоса рассчитывается по формуле


где Q - общая подача насоса; - разность геометрических отметок расположения стволов и автонасоса.

Таким образом, при определении требуемого напора у насоса необходимо в первую очередь вычислить сопротивление системы подачи воды к месту пожара.

давление жидкость гидравлический геодезический

Литература

1.       “Противопожарное водоснабжение” А.А. Качалов - Москва 1985 год.

2.       “Гидравлика и противопожарное водоснабжение” под ред. Ю.А. Кошмарова - Москва 1985 год.

.         Методические указания выполнению контрольной работы по курсу “Гидравлика и противопожарное водоснабжение” А.А. Качалов - Москва 1987 год.

.         Задачник по гидравлике и противопожарному водоснабжению. Под ред. Ю.А. Кошмарова - Москва 1979 год.

Похожие работы на - Противопожарное водоснабжение

 

Не нашли материал для своей работы?
Поможем написать уникальную работу
Без плагиата!
Без нейросетей!