|
№
|
Вид ТО
|
Трактори
|
Автомобілі
|
|
1
|
ЩТО
|
+
|
+
|
|
2
|
ТО-1
|
+
|
+
|
|
3
|
ТО-2
|
+
|
+
|
|
4
|
ТО-3
|
+
|
-
|
|
5
|
СТО
|
+
|
+
|
|
6
|
При обкатці
|
+
|
+
|
|
7
|
При зберігані
|
+
|
+
|
Планування проводится індивідуальним
методом. Цей метод дозволяє визначити всі види технічного обслуговування в
запланований період для кожного трактора з урахуванням його попереднього
наробітку витрати палива і числа проведення ТО. Розрахунки проводять
аналогічним та графічним методами. Мета технічного обслуговування машин
заключається в високоякісному обслуговуванні і виконанні операцій ТО з
оптимальними затратами праці і коштів ТО тракторів і автомобілів усіх видів
марок і типів здійснюється на основі періодичності за кількістю використаного
палива.
Для підтримання безперервної роботи
машин, експлуатації і попередження аварійних спрацювань введена
планово-попереджувальна система обслуговування, при якій всі міроприємства, які
пов’язані з технічним обслуговуванням, проводились в плановому порядку після
обкатки машини.
Від своєчасного проведення
технічного обслуговування машин залежить їх висока технічна готовність -
коефіцієнт технічної готовності тракторів збільшується, зменшується простій.
В ремонтній майстерні господарства
проводиться поточний ремонт усієї техніки, а також ТО-3 для тракторів. В склад
господарства входить одна тракторна бригада, в яких експлуатується уся
сільськогосподарська техніка. Для проведення своєчасного ремонту в господарстві
дана ремонтна майстерня не відповідає вимогам, для яких би нормально проводився
ремонт тієї чи іншої техніки. Дана майстерня не передбачена для такої кількості
техніки, яка є в господарстві.
В господарстві технічне
обслуговування машин і тракторів усіх марок і типів проводиться на основі
єдиної періодичності, яка виражена в мотогодинах або кількості використаного
двигуном палива.
При технічному обслуговуванні
простих сільськогосподарських машин, наприклад плугів, культиваторів, сівалок
та інших, проводимо кожного місяця технічне обслуговування і після сезонне.
В господарстві два рази в рік, за
місяць, до та після збиральних робіт, проводять технічне обслуговування
комбайнів. Під час усього огляду перевіряють технічний стан, перевіряють
дотримання правил експлуатації, технічного обслуговування і зберігання машин, а
також стан і ведення документації. Результати технічного огляду оформляються
актом, в якому фіксують усі недоліки, які були виявлені на кожній машині.
Для капітального ремонту машин,
господарство відправляє їх в спеціалізовані майстерні.
1.4 Ремонтно-обслуговуюча база
Ремонтно-обслуговуюча
(ремонтно-технічна) база включає цехи, майстерні, пункти ТО, автогаражі, склади
та інші споруди і об'єкти, а також пересувні агрегати, призначені для ТО,
ремонту і зберігання машин.
В сільськогосподарському виробництві
ремонтно-обслуговуюча база має три рівні:
колгоспів, радгоспів та інших
сільськогосподарських підприємств, що використовують техніку;
районних (міжрайонних)
агропромислових об'єднань;
обласних, крайових та
республіканських агропромислових об'єднань.
До об’єктів ремонтно-обслуговуючої
бази господарств та міжгосподарських підприємств належать:
ремонтно-обслуговуюча база
центральної садиби, що включає центральну ремонтну майстерню, автомобільний
гараж з профілакторієм, машинний двір, склад паливно-мастильних матеріалів з
постами заправки машин, а також пересувні засоби ТО і ремонту машин;
ремонтно-обслуговуючі бази
відділень, бригад та ферм - пункти технічного обслуговування.
До об'єктів ремонтно-обслуговуючої
бази районних та міжрайонних агропромислових об'єднань належать:
• ремонтна майстерня загального
призначення;
• станція технічного обслуговування
тракторів (СТОТ);
• станція технічного обслуговування
автомобілів (СТОА);
• станція технічного обслуговування
машин та обладнання тваринницьких ферм, комплексів, птахофабрик (СТОТв);
• цех по ремонту комбайнів та інших
складних машин;
• пересувні засоби технічного
обслуговування та ремонту;
• технічний обмінний пункт (ТОП) та
інші об'єкти.
Ремонтно-обслуговуюча база обласних,
крайових, республіканських агропромислових об'єднань включає:
підприємства (заводи, спеціалізовані
майстерні та цехи )по капітальному ремонту тракторів, автомобілів, комбайнів та
їх складових частин, машин і обладнання тваринницьких ферм, комплексів і
птахофабрик, обладнання нафтогосподарств, металообробного і
ремонтно-технологічного обладнання та інших машин, а також підприємств по
відновленню спрацьованих деталей, виготовленню ремонтно-технологічного
обладнання, оснастки, інструментів.
ТО та інші види ремонтів виконує
обслуговуючий персонал;
ТО проводять для техніки у
встановлені строки, як регламентуються в їх КД.
Сільськогосподарська техніка
зберігається у боксах та на відкритих майданчиках.
Всі техніко-економічні показники
діляться на дві групи: абсолютні і відносні. До абсолютних показників
відносяться: загальні засоби підприємства, які включають вартість будов та
споруд, вартість обладнання, пристроїв, інструменту, загальне число
обслуговуючого персоналу, площі підприємства.
До відносних показників відносяться:
прибуток, річна економія господарства, собівартість ремонту, коефіцієнт
використання площі. На основі даних показників визначають річний економічний
ефект господарства.
Обладнання нафтоскладу дозволяє
проводити накопичення та зберігання ПММ та проводити їх порційну видачу. Для
заправки автотранспортного парку при польових роботах використовуються
автомобіль заправник на базі ГАЗ-5312. Наприкінці кожного місяця проводяться
ревізія нафтогосподарства, мета якої виявити дійсну кількість ПММ та
експлуатаційних матеріалів. Відповідальність за нафтогосподарство несе
відповідна особа.
Наявний майданчик з твердим
покриттям, відповідною розміткою та всіма необхідними пристосуваннями для
регулювання с-г техніки. Він дозволяє проводити налагодження ґрунтообробних
машин та обладнання, сівалок, комбінованих широкозахватних агрегатів тощо.
Як відомо основними затратами
господарства є затрати на виробництво продукції, тобто затрати на техніку, її
ремонт і ТО, а також на процеси механізації, які протікають всередині самого
господарства.
.5 Управлінська інфраструктура
Схема управління господарства є
доволі простою та ефективною, як для даних умов.
В голові стоїть керівник господарства,
після його йдуть керівники окремих підрозділів: зав. фермою, зав.
автотракторним парком, головний агроном, керівник рільничої бригади, зав.
матеріало-технічним господарством, головний бухгалтер та диспетчерська служба.
На практиці дана схема управління непогано працює. Це викликано і тим, що
проведено поєднання деяких інженерних посад з управлінням.
2. Визначення виробничої програми
ремонтно-обслуговуючої бази господарства
Виробничою програмою
ремонтно-обслуговуючого підприємства називають загальну річну трудомісткість
робіт, що виконується даним підприємством, виражену в умовних ремонтах або
приведених ремонтах.
Умовним ремонтом називається
трудомісткість різнопланових ремонтно-обслуговуючих робіт, яка прирівнюється до
капітального ремонту трактора МТЗ-80 і складає 300 люд-год.
Умовний ремонт дає змогу об’єднати
трудомісткість різних видів робіт з ремонту і технічного обслуговування
сільськогосподарської техніки для проведення подальшого планування роботи
ремонтно-обслуговуючого підприємства.
.1 Методи визначення кількості
ремонтно-обслуговуючих діянь
На сьогодні існує велика кількість
методів визначення ремонтно-обслуговуючих діянь для сільськогосподарської
техніки. Основними з них є: груповий метод, помашинний метод, цикловий метод,
графо-аналітичний метод.
Кожен з даних методів має свої
переваги та недоліки та може використовуватись у конкретних випадках.
В даному курсовому проекті
використовується груповий розрахунок ремонтно-обслуговуючих діянь.
.2 Груповий метод визначення
кількості ремонтно-обслуговуючих діянь
Груповий метод дозволяє визначити
кількість ремонтно-обслуговуючих діянь для групи машин (як правило машини
групують за марками). Даний метод доцільно використовувати при великому парку
сільськогосподарської техніки в господарстві та його малій номенклатурі. Також
даний метод зручний для планування роботи ремонтно-обслуговуючих підприємств
районного та обласного рівнів.
Перевагою методу є легкість
розрахунків та можливість швидко визначити кількість ремонтно-обслуговуючих
діянь для кожної окремо взятої групи.
До недоліків методу можна віднести:
неможливість врахування індивідуальності машини, приблизність розрахунків,
неможливість врахування простою техніки під час перебування на технічному
обслуговуванні або ремонті.
Розрахунок технічних обслуговувань
та ремонтів тракторів проводимо за допомогою формул:
кількість капітальних ремонтів
визначаємо за формулою:
де: Nм - число тракторів даної
марки;
- річний коефіцієнт охоплення
капітальним ремонтом тракторів даної марки;
- зональний поправочний коефіцієнт
до річного коефіцієнта охоплення капітальним ремонтом;
- поправочний коефіцієнт до річного
коефіцієнта охоплення капітальним ремонтом тракторів, що враховує середній вік
машин даної марки в парку.
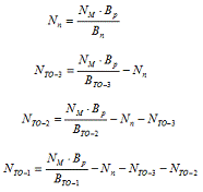
кількість поточних ремонтів та
технічних обслуговувань визначаємо за формулами:
де:
,
,
,
-
відповідно число плануємих поточних ремонтів та ТО-3,ТО-2, ТО-1;
Вр - річне напрацювання
машин, що планується, мото-год;м - кількість машин даної марки;
,
,
,
- періодичність проведення
відповідно поточного ремонту та періодичних ТО-3, ТО-2, ТО-1 (Додаток 4).
- кількість сезонних
технічних обслуговувань знаходимо за формулою:
Проводимо розрахунок кількості
капітальних і поточних ремонтів, технічних обслуговувань.
МТЗ - 82:
МТЗ - 1221:
450:
Fahr Agrotron:
Deere 8295R:
:
ЮМЗ - 8040.2
Результати розрахунку заносимо в
таблицю 2.1.
Таблиця 2.1. Кількість
ремонтно-обслуговуючих діянь для наявного парку машин
|
Марка машин
|
Кіль-кість машин
|
Кількість ремонтів
|
Кількість технічних обслуговувань
|
|
|
капітальних
|
поточних
|
ТО-1
|
ТО-2
|
ТО-3
|
СТО
|
|
МТЗ-82
|
9
|
0
|
6
|
67
|
11
|
5
|
18
|
|
МТЗ-1221
|
21
|
0
|
14
|
165
|
27
|
14
|
42
|
|
Case 450
|
9
|
0
|
3
|
36
|
6
|
3
|
18
|
|
Deutz-Fahr Agrotron
|
4
|
0
|
3
|
30
|
5
|
2
|
8
|
|
John Deere 8295R
|
18
|
1
|
9
|
99
|
16
|
8
|
36
|
|
ZTS-16245
|
6
|
0
|
4
|
45
|
8
|
3
|
12
|
|
ЮМЗ-8040.2
|
5
|
0
|
3
|
40
|
6
|
4
|
10
|
Для визначення кількості технічних
діянь для автомобілів використовуємо формули:
число капітальних ремонтів:
де n - число автомобілів даної
групи;р.а - запланований середній річний пробіг автомобіля, тис.км.;
Вк - періодичність капітального
ремонту тис.км;
η - коефіцієнт,
що враховує різницю між до ремонтним і після ремонтним ресурсом автомобіля і
щорічне їх списання, як правило η = 0,9;
k1 - коефіцієнт коректування
нормативів періодичності в залежності від умов експлуатації автомобілів;-
коефіцієнт коректування нормативів періодичності ремонту в залежності від
модифікації рухомого складу і організації його роботи - коефіцієнт коректування
нормативів в залежності від природньо-кліматичних умов;
число періодичних обслуговувань:
де ВТО-2, ВТО-1 - відповідно
періодичність проведення технічних обслуговувань ТО-2 та ТО-1, тис. км.
Кількість сезонних технічних
обслуговувань знаходимо за формулою:
Проводимо розрахунок кількості
капітальних ремонтів та технічних обслуговувань для заданих у завданні
автомобілів
Зил-ЗМЗ-555:
КамАЗ-5320:
ГАЗ-САЗ-53:
Результати розрахунку заносимо в
таблицю 2.2.
Таблиця 2.2. Кількість
ремонтно-обслуговуючих діянь для наявного парку машин
|
Марка машини
|
Кількість машин
|
Кількість ремонтів
|
Кількість технічних обслуговувань
|
|
|
капітальних
|
поточних
|
ТО-1
|
ТО-2
|
СТО
|
|
Зил-ЗМЗ-555
|
10
|
1
|
-
|
68
|
22
|
20
|
|
КамАЗ-5320
|
13
|
2
|
-
|
99
|
31
|
26
|
|
ГАЗ-САЗ-53
|
7
|
1
|
-
|
42
|
13
|
14
|
Для визначення кількості капітальних
ремонтів комбайнів використовуємо формулу:
де η0
- коефіцієнт охоплення капітальним ремонтом комбайнів ком - поправочний
коефіцієнт до коефіцієнту охоплення капітальним ремонтом, що враховує зональні
умови експлуатації (Додаток 2).
Для визначення кількості поточних
ремонтів скористаємося залежністю:
Кількість сезонних технічних
обслуговувань знаходимо за формулою:
Розраховуємо кількість капітальних і
поточних ремонтів для заданих комбайнів:Deere T660:
Виконуємо перевірку:КР+NПР≥NM>2+11=13Deere
W650:

Виконуємо перевірку:КР+NПР≥NM>1+6=7:
Виконуємо перевірку:КР+NПР≥NM>2+9=11:
Виконуємо перевірку:КР+NПР≥NM>1+3=4
Розрахунок виконаний вірно.
Для сільськогосподарської техніки
кількість поточних ремонтів визначається за формулою:
де q - коефіцієнт списання
сільськогосподарської техніки.
Визначаємо кількість поточних
ремонтів для сільськогосподарських машин
Борони (БДТ-3):
Культиватор (John Deere 2210):
Плуг (Lemken):
Розкидач мінеральних добрив
(RCW-10000):
Мульчувач (RHINO RC-12):
Компактор (K800):
Косарка (Z-169):
Сівалка (Great Plains3S):
.3 Розподіл ремонтно-обслуговуючих
діянь за місцем виконання
При визначенні програми
машинно-ремонтної майстерні слід пам’ятати, що не всі роботи з технічних
обслуговувань та ремонтів виконуються в МРМ. Це пов’язано з неможливістю
виконувати складні операції ремонту та технічного обслуговування в умовах
господарства. Тому, необхідно розподілити роботи відповідно до наступних
рекомендацій. Як правило, складні види робіт виконуються на спеціалізованих
підприємствах, що мають необхідне обладнання, технічну документацію та
кваліфікованих робітників. Нескладні види технічного обслуговування можуть
виконуватись за допомогою пересувних засобів ТО, що дозволяє зменшити простої
техніки, оскільки пропадає потреба транспортування техніки до машинно-ремонтної
майстерні.
В таблиці 2.3 вказана кількість
ремонтно-обслуговуючих діянь, які виконуються на відповідному підприємстві або
відповідними мобільними засобами технічного обслуговування.
Таблиця 2.3. Розподіл технічних
діянь за місцем виконання
|
Марка машини
|
Вид РОД
|
Місце виконання ремонтно-обслуговуючих робіт
|
|
|
Спеціалізовані підприємства
|
МРМ
|
Пересувні засоби ТО
|
|
МТЗ-82
|
КР
|
0
|
-
|
-
|
|
ПР
|
4
|
2
|
-
|
|
ТО-1
|
-
|
47
|
20
|
|
ТО-2
|
-
|
10
|
1
|
|
ТО-3
|
1
|
4
|
-
|
|
СО
|
-
|
18
|
-
|
|
МТЗ-1221
|
КР
|
0
|
-
|
-
|
|
ПР
|
10
|
4
|
-
|
|
ТО-1
|
-
|
116
|
49
|
|
ТО-2
|
-
|
24
|
3
|
|
ТО-3
|
4
|
10
|
-
|
|
СО
|
-
|
42
|
-
|
|
Case 450
|
КР
|
0
|
-
|
-
|
|
ПР
|
2
|
1
|
-
|
|
ТО-1
|
-
|
25
|
11
|
|
ТО-2
|
-
|
5
|
1
|
|
ТО-3
|
1
|
2
|
-
|
|
СО
|
-
|
18
|
-
|
|
Deutz-Fahr Agrotron
|
КР
|
0
|
-
|
-
|
|
ПР
|
2
|
1
|
-
|
|
ТО-1
|
-
|
21
|
9
|
|
ТО-2
|
-
|
4
|
1
|
|
ТО-3
|
1
|
1
|
-
|
|
СО
|
-
|
8
|
-
|
|
John Deere 8295R
|
КР
|
1
|
-
|
-
|
|
ПР
|
6
|
3
|
-
|
|
ТО-1
|
-
|
69
|
30
|
|
ТО-2
|
-
|
14
|
2
|
|
ТО-3
|
2
|
6
|
-
|
|
СО
|
-
|
36
|
-
|
|
ZTS-16245
|
КР
|
0
|
-
|
-
|
|
ПР
|
3
|
1
|
-
|
|
ТО-1
|
-
|
32
|
13
|
|
ТО-2
|
-
|
7
|
1
|
|
ТО-3
|
1
|
2
|
-
|
|
СО
|
-
|
12
|
-
|
|
ЮМЗ-8040.2
|
КР
|
0
|
-
|
-
|
|
ПР
|
2
|
1
|
-
|
|
ТО-1
|
-
|
28
|
12
|
|
ТО-2
|
-
|
5
|
1
|
|
ТО-3
|
1
|
3
|
-
|
|
СО
|
-
|
10
|
-
|
|
Автомобілі
|
|
Зил-ЗМЗ-555
|
КР
|
1
|
-
|
-
|
|
ПР
|
-
|
-
|
-
|
|
ТО-1
|
-
|
68
|
-
|
|
ТО-2
|
-
|
22
|
-
|
|
СО
|
-
|
20
|
-
|
|
КамАЗ-5320
|
КР
|
2
|
-
|
-
|
|
ПР
|
-
|
-
|
-
|
|
ТО-1
|
-
|
99
|
-
|
|
ТО-2
|
-
|
22
|
-
|
|
СО
|
-
|
20
|
-
|
|
ГАЗ-САЗ-53
|
КР
|
1
|
-
|
-
|
|
ПР
|
-
|
-
|
-
|
|
ТО-1
|
-
|
42
|
-
|
|
ТО-2
|
-
|
13
|
-
|
|
СО
|
-
|
14
|
-
|
|
Комбайни
|
|
John Deere T660
|
КР
|
2
|
-
|
-
|
|
|
ПР
|
-
|
8
|
3
|
|
|
John Deere W650
|
КР
|
0
|
-
|
-
|
|
|
ПР
|
-
|
1
|
1
|
|
|
Masey
|
КР
|
1
|
-
|
-
|
|
|
ПР
|
-
|
4
|
2
|
|
|
Lexion
|
КР
|
2
|
-
|
-
|
|
|
ПР
|
-
|
6
|
3
|
|
|
Holmer
|
КР
|
1
|
-
|
-
|
|
|
ПР
|
-
|
2
|
1
|
|
|
|
|
|
|
|
|
|
.4 Визначення трудомісткості
ремонтно-обслуговуючих діянь ремонтно-обслуговуючої бази господарства
При розрахунку трудомісткості
використовуємо наступну методику:
Затрати праці на поточний ремонт
тракторів та автомобілів визначаємо за формулою:
де НПИТ.ТР - питома нормативна
трудомісткість поточного ремонту на 1000 мото-год, люд-год.
Затрати праці на поточний ремонт
комбайнів та сільськогосподарських машин за формулою:
де tПР.К - трудомісткість одного
поточного ремонту комбайну, люд-год (Додаток 10);
Затрати праці на технічне
обслуговування за формулою:
де NТОі - число ТО і-го виду;ТОі -
трудомісткість одного ТО і-го виду, люд-год.
При визначенні трудомісткості
сезонних технічних обслуговувань автомобілів слід пам’ятати, що їх
трудомісткість складає 20% від трудомісткості ТО-2.
Визначаємо трудомісткість поточних
ремонтів для тракторів МТЗ-82:
У машино-ремонтній майстерні
виконується лише 30% технічних діянь із поточних ремонтів тракторів, тому
трудомісткість поточних ремонтів складає 332,43 люд-год.
Визначаємо трудомісткість технічних
обслуговувань:
Визначаємо загальні затрати праці на
проведення поточного ремонту та технічних обслуговувань для даної групи машин:
Визначаємо трудомісткість поточних
ремонтів для тракторів МТЗ-1221:
У машино-ремонтній майстерні
виконується лише 30% технічних діянь із поточних ремонтів тракторів, тому
трудомісткість поточних ремонтів складає 826,08 люд-год.
Визначаємо трудомісткість технічних
обслуговувань:
Визначаємо загальні затрати праці на
проведення поточного ремонту та технічних обслуговувань для даної групи машин:
Визначаємо трудомісткість поточних
ремонтів для тракторів Case 450:

Визначаємо трудомісткість технічних
обслуговувань:
Визначаємо загальні затрати праці на
проведення поточного ремонту та технічних обслуговувань для даної групи машин:
Визначаємо трудомісткість поточних
ремонтів для тракторів Deutz-Fahr Agrotron:
У машино-ремонтній майстерні
виконується лише 30% технічних діянь із поточних ремонтів тракторів, тому
трудомісткість поточних ремонтів складає 283,05 люд-год.
Визначаємо трудомісткість технічних
обслуговувань:
Визначаємо загальні затрати праці на
проведення поточного ремонту та технічних обслуговувань для даної групи машин:
Визначаємо трудомісткість поточних
ремонтів для тракторів John Deere 8295R:
У машино-ремонтній майстерні
виконується лише 30% технічних діянь із поточних ремонтів тракторів, тому
трудомісткість поточних ремонтів складає 1164,24 люд-год.
Визначаємо трудомісткість технічних
обслуговувань:
Визначаємо загальні затрати праці на
проведення поточного ремонту та технічних обслуговувань для даної групи машин:
Визначаємо трудомісткість поточних
ремонтів для тракторів ZTS-16245:
У машино-ремонтній майстерні
виконується лише 30% технічних діянь із поточних ремонтів тракторів, тому
трудомісткість поточних ремонтів складає 223,41 люд-год.
Визначаємо трудомісткість технічних
обслуговувань:
Визначаємо загальні затрати праці на
проведення поточного ремонту та технічних обслуговувань для даної групи машин:
Визначаємо трудомісткість поточних
ремонтів для тракторів ЮМЗ-8040.2:
У машино-ремонтній майстерні
виконується лише 30% технічних діянь із поточних ремонтів тракторів, тому
трудомісткість поточних ремонтів складає 171,51 люд-год.
Визначаємо трудомісткість технічних
обслуговувань:
Визначаємо загальні затрати праці на
проведення поточного ремонту та технічних обслуговувань для даної групи машин:
Визначаємо трудомісткість поточних
ремонтів для автомобілів Зил-ЗМЗ-555:
У машино-ремонтній майстерні
виконується 90% технічних діянь із поточних ремонтів автомобілів, тому
трудомісткість поточних ремонтів складає 1346,85 люд-год.
Визначаємо трудомісткість технічних
обслуговувань:
Визначаємо загальні затрати праці на
проведення поточного ремонту та технічних обслуговувань для даної групи машин:
Визначаємо трудомісткість поточних
ремонтів для автомобілів КамАЗ-5320:
У машино-ремонтній майстерні
виконується 90% технічних діянь із поточних ремонтів автомобілів, тому
трудомісткість поточних ремонтів складає 3174,84 люд-год.
Визначаємо трудомісткість технічних
обслуговувань:
Визначаємо загальні затрати праці на
проведення поточного ремонту та технічних обслуговувань для даної групи машин:
Визначаємо трудомісткість поточних
ремонтів для автомобілів ГАЗ-САЗ-53:
У машино-ремонтній майстерні
виконується 90% технічних діянь із поточних ремонтів автомобілів, тому
трудомісткість поточних ремонтів складає 766,08 люд-год.
Визначаємо трудомісткість технічних
обслуговувань:
Визначаємо загальні затрати праці на
проведення поточного ремонту та технічних обслуговувань для даної групи машин:
Проводимо розрахунок трудомісткості
поточних ремонтів і технічних обслуговувань комбайнів, а також поточних
ремонтів сільськогосподарської техніки за допомогою формули (2.16):
.5 Визначення додаткових робіт, що
виконуються машинно-ремонтною майстернею сільськогосподарського підприємства
Окрім основних робіт, кожне ремонтне
підприємство виконує додаткові роботи, які приймаються у відсотковому значенні
від основних робіт.
Об’єм додаткових робіт встановлюють
на основі даних типових проектів, аналізу виробничої діяльності підприємств та
рекомендацій з використання потужностей ремонтних підприємств.
Таблиця 2.4. Об’єм додаткових робіт
|
Вид додаткових робіт
|
Сума трудомісткості основних робіт 18425,44
люд-год
|
|
Ремонт обладнання, 8…10%
|
1842,39 люд-год
|
|
Відновлення та виготовлення простих деталей,
5…7%
|
1302,93 люд-год
|
|
Ремонт і виготовлення технологічного оснащення
та інструменту, 3…5%
|
968,62 люд-год
|
|
Роботи з механізації тваринницьких ферм, 5…8%
|
1520,08 люд-год
|
|
Інші (невраховані) роботи, 10%
|
1842,54 люд-год
|
|
Разом
|
26293 люд-год
|
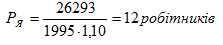
Таким чином, загальний об’єм робіт,
що виконується на ремонтному підприємстві складається з суми основних та
додаткових робіт і рівний 26293 люд-год.
.6 Розподіл робіт за видами
виконання та визначення виробничих програм ремонтно-обслуговуючої бази
Машинно-ремонтна майстерня
сільськогосподарських підприємств виконує роботи з технічного обслуговування та
ремонту сільськогосподарської техніки наявної в господарстві (включаючи
техніку, що знаходиться в зоні обслуговування).
Зазвичай, машинно-ремонтна майстерня
загального призначення має у своєму складі дільниці та відділення, що
спеціалізуються на відповідному виді робіт, що дає змогу підвищити рівень
механізації та підвищити культуру ремонтно-обслуговуючого виробництва.
Основними видами дільниць, що можуть
входити до складу машинно-ремонтної майстерні є:
дільниця зовнішнього миття
(призначена для очищення сільськогосподарської техніки після проведення
польових робіт перед проведенням технічного обслуговування або ремонту в
машинно-ремонтній майстерні або перед постановкою на зберігання);
дільниця розбирання та очищення
(призначена для загального розбирання техніки на основні вузли та агрегати та
їх очищення перед проведенням дефектувальних робіт);
дільниця дефектації та
комплектування (призначена для визначення стану деталей машини та визначення їх
подальшого використання або ремонту, а також комплектування деталей у
відповідні групи перед встановленням їх на вузли та агрегати машини);
дільниця ремонту агрегатів
(призначена для відновлення працездатності агрегатів, що входять до складу
машини, наприклад коробки передач, ведучих мостів і т.д.);
дільниця ремонту і випробування
двигунів (призначена для відновлення працездатності двигунів внутрішнього
згорання та проведення їх обкатки та випробування перед встановленням на
машину);
ковальське відділення (призначене
для виконання ковальських робіт, наприклад відтягування лемешів корпусних
плугів);
зварювальне відділення (призначене
для виконання робіт з газополуменевого та електродугового зварювання);
дільниця ремонту паливної апаратури
(призначена для відновлення працездатності вузлів систем паливоподачі
бензинових та дизельних двигунів);
дільниця ремонту гідросистем
(призначена для відновлення працездатності вузлів та агрегатів, що входять до
складу гідравлічних систем сільськогосподарської техніки);
дільниця ремонту електрообладнання
(призначена для відновлення працездатності систем електропостачання
сільськогосподарської техніки);
слюсарне відділення (призначене для
виконання слюсарних робіт);
верстатне відділення (призначене для
виконання робіт з використанням метало ріжучих верстатів, наприклад токарних,
фрезерувальних, шліфувальних і т.д.);
ремонтно-монтажна дільниця
(призначена для виконання робіт, пов’язаних з ремонтом ходової частини
сільськогосподарської техніки, а також для загального збирання техніки після
виконання ремонтних робіт вузлів та агрегатів);
дільниця ремонту сільськогосподарської
техніки (призначена для виконання поточного ремонту нескладної
сільськогосподарської техніки, наприклад борони, плуги сівалки і т.д.);
дільниця ремонту обладнання
тваринницьких ферм (призначена для відновлення працездатності обладнання, що використовується
на тваринницьких фермах, наприклад доїльних апаратів, кормороздавачів і т.д.);
шиномонтажна дільниця (призначена
для заміни та ремонту гумових коліс сільськогосподарської техніки);
дільниця фарбування (призначена для
загального фарбування та фарбування складових частин сільськогосподарської
техніки після виконання ремонтних робіт, а також покриття деталей захисними
матеріалами);
дільниця діагностування (призначена
для виявлення несправностей в машині в цілому та окремих її складових частин без
розбирання).
Для доцільності створення або
функціонування будь-якої з даних дільниць необхідно виконати розподіл загальної
трудомісткості робіт, що виконуються в машинно-ремонтної майстерні по кожній
дільниці (відділенню). Якщо загальна трудомісткість робіт на дільниці складає
менше 900 люд-год, то створення або функціонування даної дільниці є
недоцільним.
Визначаємо трудомісткість робіт на
дільницях (за допомогою таблиці 3.5 з додатків):
. Дільниця зовнішнього миття:
. Дільниця розбирання і
очищення:
. Дільниця дефектації та
комплектації:
. Дільниця ремонту агрегатів:
. Ремонту і випробування
двигунів:
. Ковальське відділення:
7. Зварювальне відділення:
. Ремонту паливної апаратури:
. Ремонту гідросистем:
. Ремонту електрообладнання:
. Слюсарне відділення:
. Верстатне відділення:
13. Ремонтно-монтажна:
. Ремонту сільськогосподарської
техніки:
. Ремонту обладнання тваринницьких
ферм:
. Шиномонтажна:
. Фарбування:
. Діагностування та технічного
обслуговування:
Побудуємо гістограму виробничих
програм дільниць та відділень та визначимо доцільний склад машинно-ремонтної
майстерні.
Рисунок 2.1: де: 1 - зовнішнього
миття, 2 - розбирання, 3 - дефектації, 4 - ремонту агрегатів, 5 - ремонту
двигунів, 6 - ковальське, 7 - зварювальне, 8 - ремонт паливної апаратури, 9 -
ремонт гідросистем, 10 - ремонт електрообладнання, 11 - слюсарне, 12 -
верстатне, 13 - ремонто-монтажна, 14 - ремонту с.г. техніки, 15 - ремонту
обладнання ТФ, 16 - шиномонтажна, 17 - фарбування, 18 - діагностування
Розділ 3. Календарне планування
ремонтно-обслуговуючих діянь. Розрахунок основних параметрів виробничого
процесу машинно-ремонтної майстерні
.1 Розрахунок режимів роботи і
фондів часу машинно-ремонтної майстерні
Режим-роботи ремонтної майстерні
визначається числом робочих днів на протязі тижня, тривалістю зміни і кількістю
змін. Тривалість зміни згідно з трудовим законодавством, встановлюється із
розрахунку 40 годин на тиждень для нормальних умов праці. Кількість змін роботи
дільниць майстерні встановлюється згідно з виробничими умовами і програмою
ремонту. Крім цього, необхідно визначити фонди часу, що служать підставою для
визначення кількості працівників майстерні.
Під фондом часу розуміється той час
в годинах, що затрачається на протязі запланованого періоду на виконання певних
видів робіт. Фонди часу поділяються на номінальний і дійсний. Номінальний фонд
часу визначається кількістю робочих днів на запланований період без урахування
можливих втрат. Він визначається за наступними формулами:
номінальний фонд часу робочого місця
(майстерні), год:
де dk - кількість календарних днів у
році, днів;- кількість вихідних днів у році, днів;- кількість святкових днів у
році, днів;- середня тривалість робочої зміни, год (при шестиденному робочому
тижні t=6,83 годин, при п’ятиденному робочому тижні t=8 годин);- кількість
передсвяткових днів на запланований період, днів;- кількість робочих змін;
номінальний фонд часу робітника,
год:
номінальний фонд часу обладнання,
год:
Дійсний фонд часу враховує вимушені
втрати часу з різних організаційних причин. Він визначається за формулами:
дійсний фонд часу робітника, год:
де do - тривалість відпустки
робітника на запланований період, днів;- коефіцієнт, що враховує втрати
робочого часу з поважних причин, np= 0,93...0,96;
дійсний фонд часу обладнання, год:
де no - коефіцієнт, що враховує
простої обладнання при ремонті та технічному обслуговуванні, приймається no =
0,95...0,98.
Фонди часу є необхідними для
проведення планування роботи машинно-ремонтної майстерні. Вони дають змогу
визначити кількість персоналу, що необхідна для функціонування майстерні.
Приймаємо 5-ти денний робочий
тиждень та роботу в одну зміну. Таким чином, тривалість робочої зміни складає
t=8 годин.
Визначаємо номінальний фонд часу
машинно-ремонтної майстерні:
Визначаємо номінальний фонд часу
робітника:
Визначаємо номінальний фонд часу
обладнання:
Визначаємо дійсний фонд часу
робітника:
Визначаємо дійсний фонд часу
обладнання:
.2 Розрахунок штату
машинно-ремонтної майстерні та її складових підрозділів
Персонал майстерні включає: основних
виробничих робітників, допоміжних робітників, інженерно-технічних робітників,
службовців і молодший обслуговуючий персонал.
До основних виробничих робітників
відносяться робітники дільниць та відділень, що безпосередньо виконують
технологічні операції, пов’язані з ремонтом та технічним обслуговуванням
сільськогосподарської техніки.
Розрізняють списочний та явочний
склади основних виробничих робітників.
Списочний - це повний склад
робітників, що включає в себе як фактично працюючих робітників, так і
робітників, які знаходяться у відпустках, а також відсутніх за іншими поважними
причинами. Явочний склад - це кількість робітників, які фактично працюють у
майстерні.
Списочний склад робітників
визначається за формулою:
де ТО - загальна трудомісткість
робіт, що виконуються в машинно-ремонтній майстерні, люд-год,(беремо з
плану-графіку)
К - коефіцієнт перевиконання норм
виробітку, К =1,06...1,15 ;
Явочна кількість робітників
визначається за формулою:
Чисельність допоміжних робітників
визначається у відсотковому відношенні від кількості основних виробничих
робітників (8…10 %):
Чисельність робітників інших
категорій визначають за формулами:
кількість інженерно-технічних
робітників:
кількість службовців:
- кількість молодшого обслуговуючого
персоналу:
Загальна чисельність персоналу
машинно-ремонтної майстерні визначається за формулою:
Таким чином, загальна чисельність
персоналу машинно-ремонтної майстерні складається з усіх груп робітників.
Визначаємо списочний склад
виробничих робітників:
Визначаємо кількість явочних
робітників:
Визначаємо кількість допоміжних
робітників:
; приймаємо 2
робітника.
Визначаємо кількість
інженерно-технічних робітників:
; приймаємо 2
робітника.
Визначаємо кількість службовців:
; приймаємо 1
робітник.
Визначаємо кількість молодшого
обслуговуючого персоналу:
; приймаємо 1
робітник.
Таким чином загальна кількість
персоналу машинно-ремонтної майстерні складає:
.3 Планування роботи
машинно-ремонтної майстерні. Побудова графіку завантаження машинно-ремонтної
майстерні та її дільниць
Планування ремонтно-обслуговуючих
робіт в машинно-ремонтній майстерні здійснюється на підставі графіка
завантаження майстерні, який дозволяє узгодити строки ремонту машин із строками
їх зайнятості на польових роботах; визначити кількість робітників на робочих
дільницях на запланований період; забезпечити завантаження окремих дільниць і
майстерні в цілому на протязі року або в окремі періоди.
Як показує практика, розподіл
ремонтно-обслуговуючих робіт за трудомісткістю на протязі року для більшості
зон країни доцільно рекомендувати у співвідношенні: осінньо-зимовий період (I
та IV квартали) - 55…65 %, а у весняно-літній період (ІІ та ІІІ квартали) - 35…45
% від загального об’єму робіт. Даний розподіл дозволяє більш ефективно
використовувати на ремонтно-обслуговуючи роботах механізаторів, вільних від
польових робіт в осінньо-зимовий період і забезпечити високу готовність
сільськогосподарської техніки до початку польових робіт.
Для попереднього планування строків
і тривалості ремонту та технічного обслуговування окремих типів машин
рекомендованих наступний розподіл робіт на протязі року:
. Поточний ремонт тракторів
проводимо: у І та IV кварталах - 80%, а у ІІ та ІІІ кварталах - 20 %.
. Технічне обслуговування ТО-1 для
тракторів та автомобілів проводимо відповідно до таблиці 3.1.
Таблиця 3.1. Розподіл виконання ТО-1
для тракторів та автомобілів за місяцями року, %
|
Назва і марка машини
|
Місяці року
|
|
1
|
2
|
3
|
4
|
5
|
6
|
7
|
8
|
9
|
10
|
11
|
12
|
|
МТЗ-82, МТЗ-1221, ZTS-16245, ЮМЗ-8040.2
|
6
|
5
|
4
|
12
|
13
|
6
|
9
|
12
|
13
|
8
|
5
|
7
|
|
Case 450
|
7
|
7
|
6
|
10
|
10
|
10
|
9
|
8
|
8
|
7
|
9
|
5
|
|
Deutz-Fahr Agrotron
|
7
|
7
|
7
|
10
|
10
|
9
|
9
|
10
|
10
|
7
|
7
|
7
|
|
John Deere 8295R
|
6
|
5
|
4
|
12
|
13
|
6
|
9
|
12
|
13
|
8
|
5
|
7
|
|
Вантажні автомобілі
|
8
|
7
|
9
|
10
|
10
|
10
|
9
|
8
|
8
|
7
|
9
|
5
|
. Технічні обслуговування ТО-2, ТО-3
для тракторів проводимо: у І та IV кварталах - 40%, а у ІІ та ІІІ кварталах -
60 %.
. Технічне обслуговування ТО-2 для
автомобілів проводимо рівномірно на протязі всього року.
. Плановий поточний ремонт всіх
комбайнів проводимо в І та IV кварталах.
. Поточний ремонт
сільськогосподарських машин проводиться не менше ніж за 20 днів до початку їх
використання.
. Проведення поточного ремонту
автомобілів проводимо рівномірно на протязі року.
. Ремонт обладнання тваринницьких
ферм проводимо: у І та IV кварталах - 40%, а у ІІ та ІІІ кварталах - 60 %.
. Додаткові роботи з ремонту і
виготовлення технологічного оснащення, виготовлення деталей для інших
підрозділів господарства плануються: у І та IV кварталах - 20%, а у ІІ та ІІІ
кварталах - 80 %.
Весь об’єм ремонтно-обслуговуючих
робіт по кожному типу машин розподілимо за видами робіт. Результати
розподілення заносимо у спеціальну таблицю, що носить назву «Річний план-графік
ремонту і технічного обслуговування МТП» та виконуємо її на форматі А1.
Наприклад, для трактора МТЗ-80
кількість ТО-3 складає 4 ремонтно-обслуговуючі діяння і вони будуть
виконуватись по 1 РОД в кожному кварталі в лютому, травні, серпні і листопаді
(місяці вибираємо довільно).
Після виконання таблиці, будуємо
графік завантаження машинно-ремонтної майстерні.
Побудова графіку завантаження
машинно-ремонтної майстерні виконується в прямокутних координатах. По осі
абсцис відкладаються місячні номінальні фонди часу робітника і розбиваються по
кварталах, а по осі ординат - розрахункова чисельність списочних робітників,
необхідних для виконання відповідного об’єму робіт.
Таким чином, робота з ремонту або ТО
кожного типу машин наведена у вигляді прямокутника, площа якого відповідає
трудомісткості робіт, ширина - тривалості виконання робіт, висота - кількості
робітників, які виконують дані роботи. Наприклад, для автомобілів місячна
трудомісткість (січень) поточних ремонтів складає 440,64 люд-год. Визначаємо
кількість працівників, яку необхідно для виконання поточного ремонту:
Для побудови графіку завантаження
майстерні роботи ПР на вісі ординат відкладаємо в масштабі 1 робітник рівний 40
мм, величину 2,62 і проводимо лінію паралельну вісі абсцис. Отриманий
прямокутник буде відображати трудомісткість і кількість працівників для
виконання поточного ремонту автомобілів. Для всіх інших операцій методика така
ж сама.
Розміщуючи вказані прямокутники на
графіках завантаження, прагнемо рівномірно завантажити машино-ремонтну майстерню
- проводимо корегування графіку шляхом переносу частини робіт з одного періоду
на інший (допоміжні роботи).
4. Проектування технологічного
процесу розбирання дифференціала ЮМЗ-6
Диференціал - це механічний
пристрій, що ділить момент вхідного валу між вихідними валами. Необхідність
застосування диференціала в конструкції приводу тракторів обумовлена тим, що
зовнішнє колесо при повороті проходить більш довгу дугу, ніж внутрішнє. Тобто
при обертанні провідних коліс з однаковою швидкістю поворот можливий тільки з
пробуксовкою, а це негативно позначається на керованості і сильно підвищує знос
шин.
Призначення диференціала в
тракторах:
дозволяє ведучим колесам
обертатися з різними кутовими швидкостями;
нерозривно передає крутний
момент від двигуна на ведучі колеса;
в поєднанні з головною
передачею служить додатковою заниженою передачею.
Будова і робота диференціалу ЮМЗ-6
Диференціал забезпечує обертання
ведучих коліс з різною частотою при русі трактора на повороті і по нерівній
поверхні.
Диференціал трактора - шестеренний,
відкритого типу, з двома сателітами, що представляють собою конічні шестерні з
прямим зубом.
Сателіти 3 (рис. 3.1) з
запресованими в них бронзовими втулками розміщені в спеціальних вікнах маточини
30 і можуть вільно обертатися на нерухомих осях 5, закріплених болтами 6.
Сателіти знаходяться в постійному зачепленні з шестерні піввісь 2, кожна з яких
виконана як одне ціле з ведучою шестірнею кінцевої передачі і обертається на
двох циліндричних роликопідшипниках 26, встановлених в стаканах 28 незалежно
від вала 29 головної передачі.
Різьбові отвори в осях 5 сателітів
призначені для випресування їх з маточини диференціала при розбиранні.
Під час руху трактора обертання
ведучої шестерні вторинного валу коробки передач передається веденій шестерні
7. Разом з ведучою шестернею і маточиною 30 обертаються і осі 5 з надітими на
них сателітами 3. При русі трактора по прямій, коли обидва ведучих колеса
випробовують однаковий опір, вся система диференціала обертається як одне ціле.
Сателіти є як би клинами, що з'єднують обидві напів-осьові шестерні в одну цілу
вісь; колеса трактора обертаються з однаковою частотою, відповідній частоті
обертання шестерні 7.
При повороті трактора одна з
напів-осьвих шестерень через збільшення опору колеса, розташованого ближче до
центру повороту, уповільнює обертання в порівнянні з шестернею 7. Сателіти
зубами впираються в зуби щоб уповільнити обертання напів-осьової шестерні і
починають повертатися навколо своїх осей 5; при цьому вони змушують іншу
напів-осьову шестерню прискорити обертання в порівнянні з шестернею 7 рівно
настільки, наскільки б сповільнилося обертання першого напів-осевої шестерні.
Осьові зусилля, що виникають при
роботі диференціала на сателітах та напів-осьових шестернях, сприймаються
сталевими шліфованими опорними шайбами 4 сателітів і напів-осьових шестерень.
Бічний зазор між зубами сателітів і напів-осьової шестернею в межах 0,3-0,7 мм
витримується при збірці підбором товщини опорної шайби шестерні піввісь, яку
виготовляють товщиною 5,75; 6 та 6,25 мм. Цей зазор можна побічно перевірити,
вимірюючи зазор між маточиною диференціала і опорною шайбою сателіта, який
повинен бути в межах 0,7-1,5 мм при без зазорному зачепленні сателіта з
напів-осьовою шестернею.
Рис. 4.1. Задній міст: 1 - ведуча
шестерня; 2 - напів-осьова шестерня; 3 - сателіт; 4 - опорна шайба; 5 - вісь
сателіта; 6, 22 - болти; 8, 21 - ведені шестерні; 18 - педаль механізму
блокування диференціала; 9 - важіль включення ВВП; 10 - пружина; 11 - сапун; 12
- вилка; 13 - з’єднувальна муфта; 14 - валик, 15 - гальмівна шестерня; 16 -
гальмо; 17 - кришка; 18, 25 - шарикопідшипники; 19 - піввісь; 20 - рукав
півосі; 23 - вал відбору потужності; 24 - муфта включення ВВП; 26 -
роликопідшипник; 27 - регулювальні прокладки; 28 - стакан; 29 - вал головної
передачі; 30 - маточина
.1 Складання структурної схеми
розбирання диференціалу
Для розробки структурної схеми
розбирання диференціалу необхідні наступні вихідні дані:
складальне креслення вузла
(будова вузла із вказуванням позицій усіх деталей);
комплектувальна відомість
вузла з вказуванням позначення деталей і складальних одиниць.

Рисунок 4.2. Диференціал трактора
ЮМЗ-6
ремонт трактор
дифференціал майстерня
Таблиця 4.1. Комплектувальна
відомість диференціала трактора ЮМЗ-6
|
Позиція
|
Позначення
|
Найменування
|
Кількість
|
|
Диференціал
|
|
85
|
36-2403045
|
Кільце розпірне
|
1
|
|
54
|
36-2403049
|
Шайба опорна зубчастого колеса напів-вісі
|
1
|
|
53
|
36-2403050
|
Шайба упорна
|
1
|
|
3
|
36-2403054
|
1
|
|
7
|
36-2403055
|
Прокладка регулювальна
|
4
|
|
56
|
36-2403056
|
Прокладка регулювальна
|
5
|
|
8
|
36-2403057
|
Прокладка регулювальна
|
2
|
|
2
|
36-2403059-Б
|
Кришка стакана
|
1
|
|
86
|
ГОСТ 7805-70
|
Болт М14×55
|
6
|
|
1
|
ГОСТ 6402-70
|
Шайба 14.65Г
|
6
|
|
52
|
ГОСТ 8338-75
|
Підшипник 411
|
1
|
|
Колесо зубчасте конічне із ступицею
|
|
46
|
40-2403021
|
Вінець конічного зубчастого колеса
|
1
|
|
58
|
36-2403022
|
Болт конічного зубчастого колеса
|
6
|
|
44
|
36-2403025-А1
|
Шайба упорна сателіта
|
2
|
|
43
|
36-2403026-А
|
Вісь сателіта
|
2
|
|
48
|
36-2403027-Б
|
Болт штопорний
|
2
|
|
47
|
36-2403029
|
Шайба замкова
|
2
|
|
60
|
ГОСТ 5915-70
|
Гайка М14×1,5
|
6
|
|
61
|
ГОСТ 397-79
|
Шплінт 3,2×20
|
6
|
|
Ступиця конічного зубчастого колеса
|
|
59
|
36-2403032-А1
|
Ступиця конічного зубчастого колеса
|
1
|
|
42
|
36-2403033
|
Вісь диференціала
|
1
|
|
Сателіт
|
|
45
|
36-2403124
|
Сателіт
|
2
|
|
87
|
36-2403128
|
Втулка
|
2
|
|
Стакан підшипників правий
|
|
55
|
36-2403042-А
|
Стакан підшипників правий
|
1
|
|
51
|
36-2403044-А
|
Кільце пружинне середнє
|
1
|
|
49
|
36-2403046-А
|
Кільце пружинне
|
1
|
|
10
|
36-2403048
|
Колесо зубчастої напів-вісі
|
1
|
|
3
|
36-2403054
|
Кільце ущільнююче
|
1
|
|
50
|
ГОСТ 8378-75
|
Роликопідшипник 32216К
|
1
|
|
57
|
ГОСТ 8378-75
|
Роликопідшипник 292218К2
|
1
|
Для проведення робіт з розбирання
необхідно виконати наступні операції:
. Встановити диференціал на
стенд для розбирання задніх мостів 24-15 та відкрутити болти М14×55
(ГОСТ 7805-70) у кількості 6 штук за допомогою
ключа-трищітки 4839.07.0000.ТУ 70.0001.847-80 із головкою 7812-0482 Н С Хім.
Окс. прм. ГОСТ 3329-75 разом із пружинними шайбами 14.65Г ГОСТ 6402-70.
. Зняти кришку стакана
36-2403059Б разом з кільцем ущільнюючим 36-2403054 і підшипником 411 ГОСТ
8338-75.
. Вийняти шайбу упорну
36-2403050 і шайбу опорну зубчастого колеса напів-вісі 36-2403049.
. Зняти стакан підшипників в
зборі 36-2403036
. Вийняти кільце пружинне
середнє 36-2403044-А, за допомогою знімача підшипників 4658 JTS зняти підшипник
32216К ГОСТ 8328-75 і підшипник 292218К2 ГОСТ 8328-75.
. Демонтувати розпірне кільце
36-2403045 і кільце пружинне 36-2403046-А, зняти колесо зубчасте напів-вісі
36-2403048.
. Викрутити болти стопорні
36-2403027Б в кількості 2 штуки за допомогою ключа-трищітки 4839.07.0000.ТУ
70.0001.847-80 із головкою 7812-0482 Н С Хім. Окс. прм. ГОСТ 3329-75 разом із
шайбами замочними 36-2403029.
. Вийняти шплінти 3,2×20
ГОСТ
397-79, відкрутити болти конічного зубчастого колеса у кількості 6 штук
36-2403022 за допомогою ключа 7811-0291 Н С Хім. Окс. прм. ГОСТ 2906-80Е із
гайок М14×15 ГОСТ
5915-70, притримуючи їх ключом 7811-0024 Н С Хім. Окс. прм. ГОСТ 2839-80Е.
. Зняти прокладки регулюючі
36-2403055, 36-2403056 і 36-2403057 і вінець конічного зубчастого колеса
36-2403021.
. Зняти ступицю конічного
зубчастого колеса в зборі 36-2403030.
. За допомогою молотка
слюсарного 7850-0102 Хім. Окс. прм. ГОСТ 2310-77 і бородки 7851-0156 Хім. Окс.
прм. ГОСТ 7214-72 вибити осі сателітів 36-2403026А і зняти шайби упорні
36-2403025-А1.
. Демонтувати сателіти
36-2403124 і за допомогою молотка слюсарного 7850-0102 Хім. Окс. прм. ГОСТ
2310-77 і бородки 7851-0156 Хім. Окс. прм. ГОСТ 7214-72 вибити втулки сателітів
36-2403128.
. Вийняти вісь диференціала
36-2403033.
Складаємо схему розбирання
диференціалу ЮМЗ-6, враховуючи всі методичні рекомендації. Після складання
схеми визначаємо основний шлях розбирання вузла (виділений потовщеною лінією).
Схема і карта ескізів зображені на листі формату А2.
.2 Складання маршрутної карти
розбирання диференціалу трактора ЮМЗ - 6
Після складання схеми розбирання
вузла необхідно зробити маршрутну карту. Для складання маршрутної карти
необхідно зробити підбір технологічного обладнання, устаткування та інструменту
для розбирання вузла, а також підрахувати час на здійснення відповідних
операцій. Для операцій розбирання найкращим методом для визначення часу на
визначення тривалості операцій є хронометраж.
Виконаємо підбір технологічного
обладнання та інструменту для операцій 005, 010, 015 і 020.
Виконана маршрутна карта на двох
листах формату А4 і подана у додатках до курсового проекту.
Для миття металевих деталей
диференціалу використовуємо мийну машину ОМ-4536 та препарат для миття АМ-15
МРТУ181269-55. температура розчину для миття не повинна перевищувати 400С та
час витримки деталей у мийній машині - 15 хвилин.
Список використаних джерел
1. Авдеев М.В., Воловик
Е.Л., Ульман И.С. Технология ремонта машин и оборудования. - М.: Агропромиздат,
1986. - 247 с.
. Воловик Е.Л.
Справочник по восстановлению деталей. - М.: Колос, 1981. - 351 с.
. Калашников О.Г., Лауш
П.В., Некрасов С.С. Ремонт машин. - К.:Вища школа, 1983. - 360 с.
. Канарчук В.Є.,
Лудченко О.А., Чигиринець А.Д. Основи технічного обслуговування і ремонту автомобілів.
- К.: Вища школа. 1994. - Кн..1: Теоретичні основи: Технологія: Підручник. -
342 с; - Кн..2: Організація, планування і управління: Підручник. - 383 с.; -
Кн..3: Ремонт автотранспортних засобів. - 495 с.
. Канарчук В.Є.,
Чигиринець А.Д. Безконтактная тепловая діагностика машин. - М.: Машиностроение,
1987. - 160 с.
. Канарчук В.Є.,
Лудченко О.А., Чигиринець А.Д. Експлуатаційна надійність автомобілів: Підручник
у 2 ч., 4 кн. - К.: Вища школа, 2000. - Ч. 1: кн. 1. - 609 с., кн.2. - 458 с.;
Ч.2: кн..3. - 321 с.; кн. 4. - 552 с.
. Колесник П.А., Шейнин
В.А. Техническое обслуживание и ремонт автомобилей. - М.: Транспорт, 1985. -
325 с.
. Левитский И.С. и др.
Технология ремонта машин и оборудования. - М.: Колос, 1975. - 560 с.
. Лудченко О.А. Технічне
обслуговування і ремонт автомобілів. Організація і управління. - К.:
Знання-Прес, 2004. - 478 с.
. Ремонт машин/Под ред.
Н.Ф. Тельнова. - М.: Агропромиздат, 1992. - 560 с.
. Савченко В.М., Міненко
С.В., Бойко А.І. Методичні рекомендації до виконання курсового проекту «Ремонт
машин і обладнання». - Житомир, 2012. - 67 с.
. Степанов В.А,
Бабусенко С.М. Современные способы ремонта машин. - М.: Колос, 1972. - с.
272-278.
. Чабанный В.Я.,
Власенко Н.В, Тимченко В.Н. Технология производства и ремонт дорожно-строительных
машин. - К.: Вища школа. Головное изд-во, 1985. - 263 с.