Шляхи удосконалення управління персоналом в державній організації

  • Вид работы:
    Дипломная (ВКР)
  • Предмет:
    Менеджмент
  • Язык:
    Русский
    ,
    Формат файла:
    MS Word
    7,44 Mb
  • Опубликовано:
    2010-05-20
Вы можете узнать стоимость помощи в написании студенческой работы.
Помощь в написании работы, которую точно примут!

Шляхи удосконалення управління персоналом в державній організації















Шляхи удосконалення управління персоналом в державній організації

ЗМІСТ

ВСТУП

РОЗДІЛ 1. Теоретичні основи концепцій управління персоналом

1.1 Еволюція концепцій управління персоналом

1.2 Сучасні наукові підходи щодо управління персоналом

1.3 Теоретичні та методологічні проблеми управління персоналом

РОЗДІЛ 2. Ефективність управління персоналом в державній організації

2.1 Вплив організаційних структур на ефективність управління персоналом

2.2 Кількісні та якісні показники ефективності управління персоналом

2.3 Результативність праці керівників і спеціалістів організації

РОЗДІЛ 3. Шляхи удосконалення управління персоналом в державній організації

3.1 Удосконалення форм і методів управління персоналом

3.2 Організація роботи з кадрами державної служби

3.3 Напрями ефективного використання персоналу у державних організаціях

РОЗДІЛ 4. Охорона праці та цивільна оборона

4.1 Державне управління охороною праці

4.2 Укриття населення в захисних спорудах

ВИСНОВКИ

СПИСОК ВИКОРИСТАНИХ ДЖЕРЕЛ

ВСТУП

Для виходу України з кризи необхідно створити ефективну систему державного управління, що є одним із головних завдань сучасного українського державотворення. Особливим інститутом держави, її управлінського апарату є система державної служби. Вона складається з правових, організаційних і процесуальних структур, а також із державних службовців - осіб, які спеціально підготовлені й професійно зайняті в системі державних органів. Державні службовці є основним ресурсом державної служби. Саме тому при фундаментальній переоцінці роботи державних органів, їх реформуванні необхідно звертати особливу увагу на управління, людськими ресурсами в системі державної служби.

У державному управлінні немає й не може бути простих явищ, відносин та процесів, легких рішень і способів їх реалізації. Управляти великою кількістю людей завжди було складно, а в перспективі буде ще складніше. Адже неважко передбачити, що XXI століття поставить перед державним управлінням підвищені й жорсткіші вимоги, до яких необхідно готуватися вже тепер.

Сьогодні є всі підстави стверджувати, що наше суспільство перебуватиме в ситуації, яка буде характеризуватися, з одного боку, обмеженням ресурсів, необхідних для існування, а з іншого - збільшенням попиту на них внаслідок розширення потреб людей, і це - на додаток до існуючих проблем державотворення. Ось чому зараз є актуальним формування професійної, стабільної, високоефективної та авторитетної державної служби, завдяки якій буде ефективною діяльність держави та стабільно функціонуватиме її управлінський апарат.

Саме тому тема дипломної роботи: „Шляхи удосконалення управління персоналом в державній організації” являється актуальною.

Головною метою державної кадрової політики є прогнозування та програмування кадрового забезпечення, визначення стратегічного бачення формування, професійного розвитку та раціонального використання кадрів, всіх трудових ресурсів України.

Формування державної кадрової політики - досить складний та багатогранний процес, в якому взаємодіють об'єктивні та суб'єктивні фактори. Він включає в себе послідовне здійснення законодавчих, організаційно-управлінських, науково-дослідних та інших заходів. У ході реалізації всього спектру заходів важливо зберегти оптимальне співвідношення новацій та спадкоємності, перспективності та прагматизму. Кадри є найбільш стабільним соціальним елементом суспільства й держави, носієм їх традицій та досвіду. Саме кадри державної служби мають зберігати ці якості навіть при зміні суспільно-політичного спрямування державних інститутів та їх структури.

В першому розділі роботи висвітлюються такі питання, як: еволюція концепцій управління персоналом, сучасні наукові підходи щодо управління персоналом, сучасні проблеми управління людськими ресурсами в системі державної служби України.

Ефективність управління персоналом у державній організації розглянута в другому розділі випускної роботи, а саме: вплив організаційних структур на ефективність управління персоналом, кількісні та якісні показники ефективності управління персоналом, результативність праці керівників і спеціалістів організації.

Рекомендації удосконалення управління персоналом в державній організації, а саме: удосконалення форм і методів управління персоналом, організація роботи з кадрами в державній службі, напрями ефективного використання персоналу у державних організаціях наведені в третьому розділі

Першочерговими питаннями покращення роботи з добору, підготовки і розстановки кадрів у системі державної служби пропонується вважати розробку удосконалення стандартів державної служби.

Одним з базових стандартів системи державної служби і, зокрема, системи роботи з кадрами державної служби є типові професійно-кваліфікаційні характеристики (ТПКХ) посад державних службовців, які є основою для. розроблення посадових інструкцій в органах державної влади. Спираючись на запроваджений Реєстр посад державних службовців, необхідно переглянути існуючі ТПКХ і розробити нові, що передбачено заходами щодо реалізації Стратегії реформування системи державної служби з Україні на 2006-2007 роки.

Заходами з реалізації Стратегії в поточному році, зокрема, передбачено:

- запровадження в міністерствах посад державних службовців, відповідальних за діяльність апарату (державних секретарів);

- розроблення проекту порядку проведення відкритого конкурсу та стажування із складанням іспиту під час прийняття на державну службу;

- розроблення особливого порядку призначення на посади І-IIІ категорій;

- проведення атестації державних службовців всіх рівнів, що, зокрема, передбачає врахування особливого порядку проведення цієї процедури серед державних службовців, які займають посади І-II категорій. Ці особливості визначаються органами, що призначають на посади державних службовців зазначених категорій;

- розроблення пропозицій щодо вдосконалення процедури дисциплінарного провадження стосовно державних службовців, порядку оскарження дій посадових осіб, а також утворення апеляційних комісій;

- запровадження спеціальних перевірок щодо кандидатів на зайняття окремих посад;

- розроблення механізму ротації з урахуванням осіб, звільнених внаслідок скорочення апарату, консолідації або перетворення органу державної влади. [8]

У 2008 - 2010 роках необхідно розпочати аналіз діяльності органів державної влади з метою встановлення доцільності порядків реалізації «державної послуги» і корекції відповідних повноважень органу та посад.

При написанні випускної роботи були використані: законодавчі та нормативні акти, постанови, розпорядження, статистичні збірники, роботи провідних спеціалістів.

РОЗДІЛ 1. ТЕОРЕТИЧНІ ОСНОВИ КОНЦЕПЦІЙ УПРАВЛІННЯ ПЕРСОНАЛОМ

1.1 Еволюція концепцій управління персоналом

Кадрова служба на підприємстві з'явилася останньою, багато пізніше виробничої, фінансової і маркетингової. З 60-х років вона перетерпіла значні зміни, що прискорилися в 80-і роки з виходом на перший план проблем «людських ресурсів». Жан Фомбон першим описав зародження і розвиток нової функції підприємства з її «зачатків (1850-1916)» до «стратегічного керування людськими ресурсами (80-і р.р.)». У цьому процесі можна виділити три вирішальні стадії.

- Спочатку функція управління персоналом прагнула пристосувати працівників підприємства до штатного розкладу і його змін, зв'язаним з особливостями технології й організації. Найнята «робоча сила» - це перемінна адаптованості, вартість якої повинна бути мінімальною. У цю адміністративну функцію входить тільки найм, оплата праці і її регламентування (дисципліна, різна допомога).

- Одна з помітних течій соціології праці, школа людських відносин, зробила значний вплив на еволюцію кадрової служби, виступаючи в 30-50-х роках проти наукової організації праці. Прихильники цієї школи доводили значення факторів внутрішньої атмосфери і взаємин на підприємстві для його прибутковості. Не вплинувши реально на функціонування й організацію підприємства, ці роботи сприяли гуманізації трудових відносин. Таким чином, функція управління персоналом розширилася за рахунок включення елементів соціальних відносин, гігієни і безпеки праці і профпідготовки.

- Модернізація, що пішла за нафтовими кризами, виробництва, могутня конкуренція і структурна перебудова промисловості як ніколи загострили проблеми зайнятості на підприємствах: відбулося масове скорочення робочих місць і створення нових, з більш високою кваліфікацією. Стратегічна політика підприємств і прагнення абсолютизувати економічну ефективність, як не парадоксально, привели до розширення сфери діяльності кадрової служби, перетворивши неї в керуючого людськими ресурсами і внутрішніми зв'язками, радника керівництва. Зміцнилася подвійна тенденція до збільшення автономії кадрової служби посиленню її інтегрованості в загальну стратегію підприємства, оскільки вона наділяла виробництво оптимальними ресурсами і брала участь у самій розробці цієї стратегії. [36]

Європейська асоціація Кадрових служб у 1972 році запропонувала закріпити три основних функції управління персоналом, що охоплюють еволюцію в адміністративну, управлінську і перспективну. Перша функція забезпечувала повсякденно функціонування підприємства, виконуючи задачі постачання і виконання, у першу чергу, оплачувану працю працівників. Функція управління охоплює більш широку компетенцію (соціальні відносини, навчання і т.д.) у середньостроковій перспективі. Перспективна функція – це функція розвитку, за допомогою якого проблеми персоналу (робота, кваліфікація, оцінка праці) зв'язуються з іншими проблемами підприємства, а умови праці і продуктивність розглядаються як на індивідуальному, так і на колективному рівнях. З цього погляду в керування людськими ресурсами входить критичний аналіз якості організації і діяльність не тільки самої кадрової служби, але і всього керівництва, якому вона дає поради і допомагає в прийнятті рішень. Крім того, володіючи сьогодні широкою автономією і необхідними засобами, введена в апарат Генеральної дирекції, кадрова служба виконує для персоналу інтегруючу функцію (ведення соціального діалогу, заохочення колективних дій, участь у виробленні стратегії) і функцію диференціації (прийом на роботу, просування в кар'єрі, індивідуалізація винагороди і т.д.). [36]

Управління людськими ресурсами, таким чином, є новим поняттям в управлінні, потребуючому у швидкому переході від теорії до практики, що трохи легше здійснити в технічній і фінансовій областях. Технічних засобів і прийомів цілком достатньо : зведення показників діяльності, засобу регулювання заробітної плати штатами, комп’ютеризація управління, прийоми маркетингу і комунікації (сегментування, анкети, дослідження іміджу). Вони також включають управління групами й організацію навчання. Зміни йдуть повільніше, ніж хотілося б новаторам, але вони реальні. Розвиток знань і ноу-хау в цій сфері повинне вплинути на конкурентоздатність фірм, зокрема, у Європі, де природні ресурси відносно бідні.

1.2 Сучасні наукові підходи щодо управління персоналом

Зростання конкуренції, удосконалювання технологій, боротьба за споживача і якість продукції змушують підприємство по-новому розглядати весь комплекс питань управління. Змінилися і вимоги до працівника. Головним тут є визнання високої соціальної відповідальності, що лежить на всіх співробітниках організації й у першу чергу на керівниках. Сучасна організація – це адекватна реакція на швидкі зміни, непереривні мінливі технології і невизначеність середовища. Сучасний підхід до організації являє собою збалансоване сполучення людських цінностей, організаційних змін і безперервних адоптацій до змін зовнішнього середовища. Усе це зажадало істотних змін в принципах, методах і формах роботи з людиною в організації.

Людський потенціал, здатність керівника правильно поставити мету й ефективно розпорядитися ресурсами стають головним фактором успіху організації. На перший план висуваються проблеми управління людськими ресурсами організації. [40]

Людські ресурси (персонал організації) – це усі працівники будь-якої організації. Вони включають виробничий персонал і управлінський персонал (кадри управління – керівники і фахівці-менеджери).

Управління людськими ресурсами розглядає людей як надбання виробничої організації, як ресурс, що (як і інші ресурси) треба ефективно використовувати для досягнення цілей. При такому підході працівники розглядаються як джерело невикористаних резервів.

Найчастіше термін «менеджмент людських ресурсів» трактується як мобілізація співробітників за допомогою активної роботи менеджерів. Для цього застосовуються такі підходи:

- відношення до праці як джерела доходів організації;

- активна соціальна політика.

Мета менеджменту людських ресурсів – прийняття на роботу компетентних і зацікавлених співробітників, уміння їх удержати, удосконалювання їхньої професіональної підготовки.

Саме людина як розумна, мисляча істота виступає головним фактором не тільки виробництва, але і всієї організації. Людина – це не тільки витрати, але і фактор доходів, підвищення продуктивності праці, підвищення якості прийнятих рішень і т.д. Тому сучасний менеджер відноситься до своїх співробітників як до цінного ресурсу. Відмінність підходу «людські відносини» полягає в положенні про економічну доцільність капіталовкладень у людину (працівника організації); підтримці його в працездатному стані, постійному тренінгу працівників, створенні умов для повного розкриття його можливостей і здібностей, закладених в особистості. У концепції «людські відносини» упор робиться на створення оптимальних умов праці працівника.

Управління людськими ресурсами – більш широке поняття, що включає в себе наступні складові:

- підхід до людини як головному факторові реалізації цілей організацій;

- підхід до людини як джерелу доходів і статті інвестицій;

- аналіз потреб організації в людських ресурсах;

- аналіз ситуацій з людськими ресурсами в зовнішньому стосовно організації середовищі;

- формування людських ресурсів організацій;

- створення системи взаємодії працівників, їхні взаємини.

Погляд на співробітника як на джерело витрат і видатків, якого треба підганяти або якого треба стримувати, у даному випадку відсутній. У філософії менеджменту людських ресурсів співробітники - це активи організації, людський капітал. Це означає менший контроль над співробітниками, але велику мотивацію і стимуляцію праці.

При менеджменті людських ресурсів від самого співробітника потрібна активна позиція. Він більше не є об'єктом якихось прийнятих до нього мір або особою, якій спускають циркуляри. Він особисто відповідальний за свої результати праці, успіхи і досягнення. Він сам повинний стежити за тим, чи реалізує він ті задачі, що сам собі поставив. Причому діє він в ім'я здійснення загальних цілей всієї організації.

Це висуває особливі вимоги до структури організації і її політику в області організації праці і створення визначених умов праці. І те, і інше повинне залишати місце для розвитку особистої ініціативи. Це може означати, що визначені співробітники можуть за свою працю одержувати більше і просуватися по службовим «сходам» швидше, ніж інші.

Можна сказати, що підхід з позицій управління людськими ресурсами - це системний, комплексний підхід, що враховує постійно мінливі потреби організації в людських ресурсах, що забезпечують ефективність функціонування організацій (компаній, підприємств).

У менеджменті людських ресурсів кадрова політика з «реагуючої» політики управління перетворюється в активну стратегічну політику, у частину загальної політики всієї організації.

На основі концепції розвитку всієї організації визначаються основні напрямки менеджменту людських ресурсів. Наприклад, аналіз може виявити, що інтереси організації вимагають зайнятися перекваліфікацією персоналу, залученням нових співробітників, складанням програми навчання персоналу для середньої ланки і т.п.

За реалізацію політики менеджменту людських ресурсів відповідає служба кадрів організації.

Деяким менеджерам із трудом удається відноситися до своїх співробітників як до коштовного ресурсу, а не статті витрати. Однак у багатьох країнах з вільною економікою починає переважати ресурсний підхід. І не тому, що якось змінилися співробітники до кращого, а через те, що індивідуальний підхід дозволяє підприємству досягти кращих результатів: збільшити доход і закріпитися на ринку. [36]

Зміст управління людськими ресурсами. Управління людськими ресурсами включає ряд взаємозалежних ключових елементів, що разом утворюють цикл менеджменту людських ресурсів. Ключові елементи такі:

- добір;

- оцінка професійних якостей;

- винагорода;

- підвищення кваліфікації.

Більш конкретне управління людськими ресурсами містить у собі:

- аналіз ринку праці і керування діяльністю;

- добір, прийом і адаптацію працівника;

- планування кар'єри кадрів організації, їх професійний і адміністративний рости;

- аналіз витрат і результатів праці;

- забезпечення раціональних умов праці, створення соціально-психологічного клімату;

- розробку системи мотивації працівника; участь у переговорах із профспілками;

- розробку соціальної політики організації, пенсійну політику;

- розрішення конфліктів.

При плануванні людських ресурсів основні цілі і задачі організації одержують конкретний практичний зміст у виді спеціально розроблених цілей для кожного напрямку кадрового менеджменту. Потім будуються прогнози щодо внутрішнього і зовнішнього попиту та пропозиції людських ресурсів, складається схема забезпечення кадрами і визначаються пріоритетні напрямки. Далі виробляється калькуляція витрат (набір, добір, керівництво, навчання і підготовка) і т.д.

При аналізі наявних у наявності людських ресурсів повинні бути отримані відповіді на наступні питання:

- чи компетентні співробітники (глибина, широта знань і досвіду);

- чи зацікавлені співробітники в успіху організації ( чи ототожнюють вони себе в ній?);

- чи досить готові психологічно співробітники до сприйняття змін ( чи зможуть усвідомити користь змін?);

- чи досить добре «вписуються» співробітники в існуючу культуру виробництва;

- які зовнішні фактори впливають у даний момент на якість і кількість персоналу.

Цикл реалізації планів у сфері людських ресурсів звичайно починається з добору кадрів - процесу, при якому на ринку праці підбирають співробітників для виконання визначених функцій в організації. При доборі і прийнятті на роботу нових співробітників важливо забезпечити, щоб штат в організації завжди був укомплектований людьми, компетентними у своїй області. Основна задача - залучити на заміщення кожної вакантної посади компетентних претендентів. Наступний етап — відібрати серед них найбільш підходящих.

При наборі нових співробітників необхідно:

- чітко визначити вимоги до даної роботи шляхом ретельного аналізу задач і передбачуваної відповідальності;

- скласти опис функцій і список необхідних якостей кандидата;

- прийняти рішення про внутрішній або зовнішній набір кадрів (тобто всередині організації або на «ринку праці»);

- зробити вибір з отриманих заявок і домовитися про зустрічі і співбесіди;

- зробити вибір кандидата на основі результатів співбесід, тестів і рекомендацій. [42]

Оцінка професійної діяльності дається в процесі, при якому менеджери організації проводять регулярні наради зі співробітниками, обговорюючи й оцінюючи їхню попередню професійну діяльність, а також їхні плани і можливості в майбутньому. Цей процес важливий, тому що увага до кожного співробітника в конкретній робочій ситуації дозволяє активізувати персонал, а також допомагає здійснювати кадрове планування. Цей підхід можна використовувати як сам по собі, так і в сполученні з матеріальним стимулюванням. Результатом оцінки роботи співробітника стає або винагорода, або вживання заходів по навчанню і підвищенню кваліфікації.

У стратегічному плані задачі оцінки професійної діяльності наступні:

- підвищити ефективність організації шляхом оптимального використання наявних людських ресурсів;

- виявити співробітників, здатних виконувати відповідальну роботу, і дати їм можливість реалізувати свій потенціал;

- допомагати самовдосконаленню співробітників, звертаючи увагу на їхні потреби, мотиви, дарування, заохочуючи прагнення до професійного росту;

- сприяти підвищенню заробітної плати відповідно до підвищення професійного рівня.

У тактичному плані задачі оцінки професійної діяльності такі:

- підвищити зацікавленість у праці;

- слухаючи, вникаючи, обговорюючи домагатися кращого взаєморозуміння між начальником і підлеглим;

- підвищити задоволення від роботи, з'ясовуючи перешкоди і вишукуючи шляхи їхньої ліквідації;

- чітко доводити до відома підлеглих вашу оцінку їхньої діяльності;

- ставити реалістичні і досяжні цілі на майбутнє;

- розглядати всі можливі варіанти кадрових перестановок усередині організації.

Винагородою називають усе, що керівник може дати або зробити для підлеглого за роботу, що той виконує. Звичайно ця матеріальна винагорода: усі виплати, отримані співробітником за час роботи. Сама розповсюджена з таких виплат - заробітна плата. Премії - форма матеріальної винагороди, безпосередньо пов'язана з якістю роботи співробітника або фінансових успіхів всієї організації. Заробітна плата складає до 50% загальних витрат виробництва. Існує також цілий ряд нематеріальних форм заохочення, що може використовувати менеджер: просування по службі, надання можливостей для подальшого навчання, доручення більш відповідальних завдань. Усі ці способи засновані на принципі мотивації, підвищенні зацікавленості працівника у своїй праці.

В країнах з ринковою економікою організації (компанії) затрачають величезні кошти на навчання і підвищення кваліфікації своїх співробітників. Навчання (як і підбор) вимагає спеціальних навичок, тому організації часто звертаються за допомогою до організацій, що спеціалізуються в цій області.

Необхідність у навчанні і підвищенні кваліфікації визначають виходячи з власних побажань і потреб фірми, наприклад, потреба фірми в майбутніх менеджерах. Великі компанії прагнуть здійснювати програми підготовки менеджерів, сполучаючи навчання з практичним досвідом роботи, щоб молоді професіонали через 5-10 років могли зайняти керівну посаду. Підготовка проводиться по широкому колу предметів, приділяється увага не тільки основним навичкам, але й умінню робити клієнтам якісні послуги, знанню іноземних мов. [36]

Організації вкладають капітал у навчання і підвищення кваліфікації кадрів, хоча не усі витрати можуть окупитися, тому що ряд співробітників можуть перейти в інші фірми. Але завдяки тому що фірми поводяться подібним чином, загальний рівень підготовки робочих кадрів помітно підвищився за останні 10 років.

У різних виробничих організаціях ряд проблем, які відносяться до управління людськими ресурсами, різний. На основі загального підходу, викладеного вище, у кожній організації повинна бути розроблена своя концепція управління людськими ресурсами.

1.3 Сучасні проблеми управління людськими ресурсами в системі державної служби України

Для виходу України з кризи необхідно створити ефективну систему державного управління, що є одним із головних завдань сучасного українського державотворення. Особливим інститутом держави, її управлінського апарату є система державної служби. Вона складається з правових, організаційних і процесуальних структур, а також із державних службовців - осіб, які спеціально підготовлені й професійно зайняті в системі державних органів. Державні службовці є основним ресурсом державної служби. Саме тому при фундаментальній переоцінці роботи державних органів, їх реформуванні необхідно звертати особливу увагу на управління, людськими ресурсами в системі державної служби. [8]

У державному управлінні немає й не може бути простих явищ, відносин та процесів, легких рішень і способів їх реалізації. Управляти великою кількістю людей завжди було складно, а в перспективі буде ще складніше. Адже неважко передбачити, що XXI століття поставить перед державним управлінням підвищені й жорсткіші вимоги, до яких необхідно готуватися вже тепер.

Сьогодні є всі підстави стверджувати, що наше суспільство перебуватиме в ситуації, яка буде характеризуватися, з одного боку, обмеженням ресурсів, необхідних для існування, а з іншого - збільшенням попиту на них внаслідок розширення потреб людей, і це - на додаток до існуючих проблем державотворення. Ось чому зараз є актуальним формування професійної, стабільної, високоефективної та авторитетної державної служби, завдяки якій буде ефективною діяльність держави та стабільно функціонуватиме її управлінський апарат.

До державних службовців належать працівники, які здійснюють функції державного управління чи сприяють їх здійсненню, професійно беруть участь у процесі управління і які входять в апарат управління.

Існують різні класифікації управлінських кадрів: за посадовою ознакою, за рівнем (ступенем) в ієрархії управління, за спеціальною освітою, за галуззю діяльності тощо.

Однак базовою класифікацією є класифікація в процесі прийняття й реалізації рішень. За цією ознакою управлінські кадри поділяють на три великі групи: керівники, спеціалісти, допоміжний персонал (технічні виконавці).

Кожна з названих груп характеризується специфічним місцем у системі державного управління, особливостями професійної діяльності, а також специфічною професійною підготовкою.

У системі державного управління Концепцією адміністративної реформи в Україні визначено три типи державних посад: політичні, патронати і, адміністративні.

Дана класифікація типів державних посад не виходить за межі структури соціального управління. Однак зазначена класифікація при її впровадженні в практичну діяльність дозволить більш чітко сформулювати вимоги до кожного працівника залежно від його приналежності до того чи іншого типу й організувати необхідну для даної категорії працівників схему їх добору, підготовки й раціонального використання. Різниця функцій типі» державних посад спричиняє специфіку роботи з ними, необхідність постановки особливих завдань, використання спеціальних форм і методів діяльності.

Враховуючи збіг в Україні таких факторів, як економічна криза, необхідність скорочення витрат па утримання державного апарату й водночас підвищення якості надання державних послуг та як наслідок - потреби в кадрових скороченнях, можна стверджувати, що подолати ці проблеми можливо лише за умови ефективної системи управління.

Для успішного впровадження реформи державної служби необхідно одночасно реформувати й інші сфери суспільства. Необхідно, щоб усі зміни базувалися на однакових принципах, цінностях і підходах. Але не обов'язково ці зміни детально розробляти на найвищому рівні. Там, де повноваження децентралізовані, від керівників центральних та територіальних рівнів можна очікувати, що вони самі розроблятимуть адекватні стратегії, які б відповідали новим ситуаціям, відповідно з принципами і цілями, які визначено на загальнодержавному політичному рівні.

Нові ролі, надані центральним органам виконавчої влади згідно з грудневими указами Президента України з реформування центральних органів виконавчої влади, вимагають значної зміни в їх ієрархічних структурах, з кількістю керівників, що стала надмірною. Ця ситуація має забезпечити попит на нові навички, високопрофесійні здібності, інновації тощо, надаючи до того ж можливості для найповнішого використання потенціалу мобільності кадрів між центральними та місцевими органами виконавчої влади.

Необхідно чітко усвідомити, то суто технічного й централізованого підходу буде недостатньо для забезпечення успіху ефективного державотворення. І неважко прогнозувати стан змін у системі державної служби на територіальних рівнях, результат яких буде набагато слабшим, ніж на центральному рівні.

Теперішня політика системи державної служби має наголошуватися на тому, що в процесі її реформування повинна звертатися серйозна увага на ті людські ресурси, від яких очікується, що саме вони будуть здійснювати безпосередню роботу із запровадженням цих реформ. А адміністративна реформа не може зводитися лише до утвердження оптимальної структури органів державного управління, зміни їх субординації та скорочення управлінського апарату. Основна мета повинна полягати у створенні ефективної системи державного управління, яка відповідала б стандартам демократичної правової держави із соціальне орієнтованою ринковою економікою. Ця система має бути прозорою для суспільства, побудованою на наукових засадах і адекватною за витратами фінансово-економічного стану держави.

Щоб успішно реформувати систему державної служби, необхідно пам'ятати про два важливих моменти.

По-перше, реформування такої великої організації як державна служба - це просто іншими словами процес навчання, який передбачає експериментування й виправлення помилок. А це означає, що необхідно вчитись адаптуватися до середовища, то змінюється й змінюється іноді дуже швидко. Кінцева ситуація тут може бути легко прогнозована: у державній службі, яка сприймає постійне навчання, не буде більше окремих ініціатив реформування, а проходитиме постійний, тривалий процес змін, особливо в методах управління людьми й організації їх діяльності.

По-друге, Україна не єдина переживає епохальні зміни. Радикальні реформи в системі державної служби відбуваються у Франції, Швеції, Канаді, Великобританії, Польщі, Росії тощо. Усі вони мають спільне походження. Адже сьогодні державній владі потрібно управлятися з глобальними силами та проблемами, які трансформують економічні її суспільні системи та взаємостосунки у світі, процеси інтеграції, взаємовпливу тощо. Саме тому державна служба в Україні має стати ефективною та сучасною інституцією. [43]

Стратегічні цілі при реформуванні державної служби в Україні повинні полягати втому, щоб:

- чітко визначити роль і повноваження органів державної влади та звести до мінімуму сферу збігу і дублювання цих повноважень;

- забезпечити виділення ресурсів на найбільш пріоритетні напрями реформування та розвитку;

- постійно реагувати на вимоги суспільства (через громадський контроль);

- мати дійову, гнучку, прозору й доступну державну владу;

- досягати мети такої організації державної влади, яка б відповідала фінансовим можливостям суспільства.

Складним завданням сьогодні є виконання вимог реструктуризації і скорочення коштів та водночас збереження морального клімату й продуктивності серед державних службовців». Тому необхідно поряд із реформуванням проводити дослідження, які дадуть:

- уявлення про вплив реформ на діяльність установ і управління людьми, а також про різні ситуації, що викликають напругу, і проблеми, що їх треба розв'язувати у ході здійснення реформ;

- змогу побачити додаткові аспекти впливу середовища сучасних реформ на моральний стан державних службовців, на здатність державного сектора залучати й утримувати кваліфіковані трудові ресурси.

Чітке усвідомлення й розуміння з боку державних керівників високого рівня сучасних проблем стосовно реформування системи державної служби, її іміджу й життєздатності, стосовно моралі й професійної захищеності державних службовців з метою досягнення цілей створити високоефективну, професійну, стабільну й авторитетну державну службу й досягти побудови демократичної, правової, незалежної, суверенної і соціальної держави, - усе це зможе справдити очікування, що в центрі уваги процесу реформування державної служби (як і загалом, державного управління) з новою силою постане питання управління людьми, звернення уваги на людський фактор, переведення за межі політичної риторики у площину реальних напрямів політики й практики щоденного управління в системі державної служби. [8]

РОЗДІЛ 2. ЕФЕКТИВНІСТЬ УПРАВЛІННЯ ПЕРСОНАЛОМ У ДЕРЖАВНІЙ ОРГАНІЗАЦІЇ

2.1 Вплив організаційних структур на ефективність управління персоналом

Будь-яку конкретну групу людей, що об'єдналися для реалізації конкретних цілей, можна розглядати як організацію і досліджувати в ній усі діючі організаційні процеси. Організація може бути погано або добре організована, на думку керівників, однак конкретних критеріїв для оцінки організації керування набагато більше.

Можна розглядати способи організації підрозділів з метою виявлення відповідності їхнім майбутнім задачам. Реалізація цілей або задач може гальмуватися діяльністю окремих груп фірми, цілі яких не збігаються з цілями фірми. Наприклад, відділи збуту в деяких фірмах сформовані по продуктах. Звідси при збуті продукції неминучі протиріччя і зниження ефективності роботи фірми.

Можна розглядати також логіку взаємозв'язку співробітників при рішенні управлінських задач і судити про ступінь організованості роботи.

І, нарешті, можна розглядати регламентуючі документи, що змушують співробітників виконувати свої функції. У цьому випадку особлива увага повинна бути приділена повноті регламентуючих документів.

Можна розглядати форму організації управлінської діяльності і пристосовність її до мінливих цілей організації.

З усього сказаного випливає, що робота у фірмі повинна бути організована таким чином, щоб працівники виконували свою роботу відповідно до плану дій ефективно, знали своє місце і цілі в організації, причому ці цілі повинні збігатися з цілями організації в цілому.

Зазначені фактори варто враховувати при побудові будь-якої реальної структури управління в організації.

Для чіткої роботи організації необхідно наступне:

- цілі повинні бути зрозумілі всім працівникам фірми;

- система цілей повинна реалізувати глобальну мету;

- інформаційні канали зв'язку не повинні мати «вузьких» місць;

- працівники повинні мати чіткі робочі інструкції, що регламентують їхню діяльність;

- задоволеність у роботі повинна забезпечуватися обраною системою мотивації.

Можна зробити висновок, що управління фірмами реалізується в рамках конкретного господарського механізму, у якому розрізняють статистику (його організаційну структуру) і динаміку (текучі процеси прийняття рішень). [36]

Сформулюємо основні правила створення організаційної структури управління:

1) організаційна структура повинна бути гранично проста, чим вона простіше, тим легше персоналові її зрозуміти;

2) схема організаційної структури повинна бути наглядна;

3) кожен працівник повинний мати посадову інструкцію;

4) інформаційні канали повинні забезпечити передачу інформації як у прямому напрямку (передача управлінських рішень), так і в зворотному (контроль виконання);

5) лінії підпорядкованості і відповідальності повинні бути чіткими, необхідно уникати подвійного підпорядкування;

6) координацію всієї діяльності здійснює вище керівництво на рівні заступників керівників фірми;

7) остаточні, глобальні рішення приймаються на рівні керівників фірми з урахуванням можливостей і перспектив її розвитку;

8) функції лінійного керівництва і функціональних підрозділів повинні бути розмежовані.

Реалізація зазначених правил дозволить проектувати найбільш ефективну структуру управління фірмою.

Узагальнюючи вимоги, що пред'являються до сучасних структур управління організаціями, слід зазначити, що методика проектування структур, з одного боку, повинна ґрунтуватися на наукових принципах управління, з іншого боку - враховувати особисті якості і досвід керівників, добре знаючих можливості організації і тих вимог, що регламентують діяльність кожного з підрозділів.

Постійно зростаюча роль науково-технічного прогресу в керуванні має двоїсте значення. З одного боку, спостерігається тенденція відступу від старих традиційних форм організації управління. З іншої, розвиток наукового і технічного потенціалу, особливо в останнє десятиліття, сприяє появі нових, більш складних форм організації управління, що мають на відміну від традиційних як вертикальні, так і горизонтальні зв'язки, тобто допускаючих управління як по вертикалі, так і по горизонталі, що значно ускладнює систему управління. У цих умовах необхідно насамперед чітко розмежувати функції і відповідальність за виконання конкретних завдань і робіт, обумовлені як вертикальними, так і горизонтальними структурними зв'язками. Правильне співвідношення повноважень і відповідальності, чітка регламентація діяльності керівників і виконавців в організації - неодмінна умова ефективного розвитку господарського механізму.

Ці вимоги підкреслюють важливість системного підходу в питаннях формування й удосконалювання організаційних структур і поряд з цим необхідність розробки методики, з достатнім ступенем деталізації розкриваючої процес проектування структури управління із вказівкою чіткого шляху переходу від одного етапу до іншого.

Однак дослідження показують, що для системи управління характерний ряд особливостей, що викликають значні труднощі на шляху рішення даної задачі і накладають обмеження на масштабність у методичному плані. Ці особливості полягають у наступному:

- системі управління властиві статистичні риси, що відбивають форму і структуру управління. Це насамперед схема організаційного управління зі складовими її елементами і численними зв'язками.

- у системі управління можна виділити також і динаміку, що розкриває зміст процесу управління. Тут мається на увазі цілеспрямована діяльність керівників і виконавців.

- як відомо, будь-яка система функціонує при наявності поставлених цілей, що постійно міняються в часі. Сама ж структура більш консервативна. Звідси — вимога гнучкості й адаптивності, що неминуче виникає перед проектованою структурою управління.

- серед безлічі формальних елементів, властивих системі управління, існує також і неформальний елемент (людина), що висуває проблему психологічного клімату і від якого певною мірою залежить гармонія або дисгармонія у виробничих відносинах.

Усі ці особливості, органічно з'єднуючись у системі управління, вимагають комплексного підходу до питань, зв'язаним з побудовою організаційного забезпечення системи управління. Разом з тим представляється важливим вивчення ряду теоретичних передумов, що можуть бути покладені в основу розроблювальної методики і проектування структури управління:

- наявність принципово різних типових схем управління, одну з яких можна вибрати в якості базової для аналізу і проектування структури управління.

- відомо, що будь-яка організація керується шляхом прийняття рішень. Отже, можна виявити повний перелік управлінських рішень, прийнятих в організації, і процес розподілу їх по рівнях (що представляють собою важливий етап у проектуванні структури управління) певним чином формалізувати.

- відомий також технологічний характер взаємин керівників і виконавців у процесі підготовки і прийняття управлінських рішень, тобто регламентований порядок управлінських функцій або окремих їхніх етапів.

Для розробки методичного апарата проектування структури управління необхідно також крім наявних теоретичних передумов з'ясувати сутність організаційного проектування. Організаційне проектування являє собою моделювання системи управління підприємством, здійснюване перед його будівництвом або напередодні значних перетворень. [36]

Організаційна основа системи управління - її структура. Вона визначає склад підрозділів, що входять у систему управління, їхньої співпідпорядкованості і взаємозв'язку, форму поділу управлінських рішень по рівнях, а отже, і саме число рівнів управління. Іншими словами, структура управління є тією організаційною формою, у рамках якої здійснюється процес управління. Таким чином, спроектувати досить ефективну структуру управління - значить визначити таке співвідношення її організаційних елементів, при якому найбільше оперативно і вчасно виконуються вимоги об'єкта управління.

2.2 Кількісні та якісні показники ефективності управління персоналом

Зростання ролі управління в умовах ринкової економіки в результаті одержання організацією економічної волі і повної відповідальності за свої результати веде до залучення в сферу управління додаткових ресурсів (трудових, фінансових, матеріальних). Для власника підприємства важливо не тільки витрата ресурсів для управління, але і те, наскільки управління дає стратегічні переваги підприємству на ринку, підсилює його конкурентоздатність, підтримує суспільну значимість підприємства. В умовах конкуренції керівники повинні піклуватися про продуктивність і ефективність.

Поняття ефективності управління багато в чому збігається з поняттям ефективності виробничої діяльності організації. Однак управління виробництвом має свої специфічні економічні характеристики. Як головний критерій результативності управління виступає рівень ефективності керованого об'єкта. Проблема ефективності управління - складова частина економіки управління, що включає розгляд:

- управлінського потенціалу, тобто сукупності всіх ресурсів, якими розпоряджається і які використовує система управління. Управлінський потенціал виступає в матеріальній і інтелектуальній формах;

- витрат і видатків на управління, що визначаються змістом, організацією, технологією й обсягом робіт з реалізації відповідних функцій управління;

- характеру управлінської праці;

- ефективності управління, тобто ефективності дій людей у процесі діяльності організації, у процесі реалізації інтересів, у досягненні визначених цілей. Ефективність - це результативність функціонування системи і процесу управління як взаємодії керованої і керуючої систем, тобто інтегрований результат взаємодії компонентів управління. Ефективність показує, якою мірою керуючий орган реалізує цілі, досягає запланованих результатів. Ефективність управління виявляється в ефективності виробництва, складає частину ефективності виробництва. Результати дії, співвіднесені з метою і витратами, - це і є зміст ефективності як управлінської категорії.

На ефективність діяльності менеджера впливає ряд факторів: потенціал співробітника, його здатність виконувати визначену роботу; засобу виробництва; соціальні аспекти діяльності персоналу і колективу в цілому; культура організації. Усі ці фактори діють спільно, в інтеграційній єдності.

Таким чином, ефективність управління - один з основних показників удосконалювання управління, обумовлений зіставленням результатів управління і ресурсів, витрачених на їхнє досягнення. Оцінити ефективність управління можна шляхом порівняння отриманого прибутку і витрат на управління. Але така спрощена оцінка не завжди коректна, тому що:

1) результат управління не завжди полягає в прибутку;

2) така оцінка приводить до безпосереднього й опосередкованого результату, що ховає роль управління в його досягненні. Прибуток часто виступає як опосередкований результат;

3) результат управління може бути не тільки економічним, але і соціальним, соціально-економічним;

4) витрати на управління не завжди можна досить чітко виділити.

Аналіз категорії ефективності, факторів, визначаючих її, змісту і результатів управлінської праці дозволяє зробити висновок, що адекватними змістові і формам прояву ефективності є групи показників, що можуть виступати як мірник, критерію ефективності в залежності від призначення організації й умов її функціонування. Кожному варіантові системи управління відповідає визначене значення критерію ефективності, і завдання управління полягає в тім, щоб знайти такий варіант управління, при якому відповідний критерій приймає найвигідніше значення. [39]

Як критерій ефективності виробництва і управління використовуються узагальнюючі показники, що характеризують кінцеві результати (обсяг виробництва, прибуток, рентабельність, час та ін.), і приватні показники використання окремих видів ресурсів - праці, основних фондів, інвестицій.

Показники прибутку і рентабельності найбільше повно характеризують кінцеві результати діяльності, відповідно й ефективність управління. При цьому варто виключити вплив на прибуток факторів, не зв'язаних з діяльністю даної господарської ланки. Узагальнюючі показники відбивають результат господарської діяльності і управління в цілому, але не повною мірою характеризують ефективність і якість управління трудовими процесами, виробничими фондами, матеріальними ресурсами. Для цього використовуються приватні показники. Так, для оцінки підвищення ефективності використання трудових ресурсів застосовується показник темпу росту продуктивності праці, підвищення ефективності використання матеріальних ресурсів характеризується показниками матеріалоємності продукції, а ефективність використання основних фондів - показником фондовіддачі.

При оцінці ефективності управління необхідно комплексне застосування всієї системи узагальнюючих і приватних показників.

Ефективність управлінської діяльності стосовно до суб'єкта управління може характеризуватися кількісними (економічний ефект) і якісними показниками (соціальна ефективність).

Кількісні показники діяльності системи управління включають: комплекс трудових показників - економія живої праці в сфері управління (чисельність, скорочення трудомісткості процесів управління) і ін.; фінансові показники діяльності системи управління (скорочення витрат на управління і т.п.); показники економії часу (скорочення тривалості циклів управління в результаті впровадження інформаційних технологій, організаційних процедур). Особливо важливе значення мають показники соціальної ефективності управління (якісні): підвищення науково-технічного рівня управління; рівень інтеграції процесів управління; підвищення кваліфікації менеджерів; підвищення рівня обґрунтованості прийнятих рішень; формування організаційної культури; керованість системи; задоволеність працею; завоювання суспільної довіри; посилення соціальної відповідальності організації; екологічні наслідки. Якщо в результаті раціоналізації управління вдається досягти високого рівня зазначених вище показників, то відбувається позитивне зрушення в організації системи управління і досягається економічний ефект.

У зв'язку з тим, що удосконалювання управління організацією, упровадження комп'ютерних інформаційних технологій вимагають визначених капіталовкладень, інвестицій, те економічну ефективність проектів удосконалювання управління (оцінку ефективності) можна проводити відповідно до «Методичних рекомендацій з оцінки інвестиційних проектів і їх доборові для фінансування».

Відповідно до Методичних рекомендацій при оцінці ефективності інвестиційних проектів застосовуються: комерційна (фінансова) ефективність, що визначає фінансові наслідки реалізації проекту для його безпосередніх учасників; бюджетна ефективність, що відбиває фінансові наслідки здійснення проекту для федерального, регіонального і місцевого бюджетів; економічна ефективність, що враховує витрати і результати, зв'язані з реалізацією проекту, що виходять за межі прямих фінансових інтересів учасників інвестиційного проекту і допускаючи вартісний вимір.

Основу оцінки ефективності проектів складають визначення і співвіднесення витрат і результатів від їхнього здійснення. При оцінці ефективності інвестиційних проектів необхідне приведення (дисконтування) показників до вартості моменту порівняння, тому що грошові надходження і витрати в різні тимчасові періоди нерівнозначні.

Розвиваються й інші підходи до оцінки ефективності менеджменту, з подробиці, ресурсно-потенційний підхід до оцінки ефективності системи управління. У ньому абсолютна ефективність управління представляється співвідношенням потенційних можливостей виробництва з фактичним значенням його використання. Відносна ефективність визначається як відношення повного ефекту управління до витрат. [36]

РОЗДІЛ 3. АНАЛІЗ ЕФЕКТИВНОСТІ УПРАВЛІННЯ ПЕРСОНАЛОМ У ДЕРЖАВНІЙ ОРГАНІЗАЦІЇ

3.1 Концептуальні підходи до методики та критеріїв оцінки ефективності діяльності працівників державних установ

Надзвичайно актуальними постають проблеми розробки та впровадження заходів щодо вдосконалення управління регіоном відповідно до основних напрямків системних макроекономічних перетворень. При цьому регіон доцільно розглядати як соціально-економічну систему, що набуває особливого значення в умовах нестабільності економіки України. Згідно із цим підходом район досліджується комплексно, у взаємозв'язку та взаємозалежності зовнішніх і внутрішніх чинників розвитку.

"Соціально-економічна система регіону" включає не тільки зміст категорії "економіка" (яка передбачає характеристику системи відносин власності, господарство країн і відповідну наукову дисципліну), але і ті соціальні сили, які зацікавлені в трансформації власності, управління власністю і всім народним господарством. Крім цього, вона передбачає необхідність проведення соціальних реформ, здійснення соціального контролю над економікою з боку демократичної держави.

Створення системи оцінки діяльності державних адміністрацій на регіональному рівні має базуватися на таких загальних засадах:

спрямованість на досягнення головної мети адміністративного реформування-якісне оновлення системи державного управління;

відповідність повноваженням, віднесеним до компетенції місцевих державних адміністрацій;

орієнтація на досягнення стратегічних цілей, визначених як загальнодержавною і регіональною програмами соціально-економічного розвитку, так і програмою відповідного району;

комплексність оцінювання (охоплення процесу діяльності і результатів);

використання переважно правових і соціальних критеріїв оцінки;

реалізація системного підходу;

доцільне поєднання зовнішньої та внутрішньої оцінки діяльності;

відповідність методів оцінки змістовним характеристикам процесу діяльності та її результатів;

органічність взаємозв'язку кількісних показників та якісних характеристик діяльності;

систематичність здійснення згідно з установленими термінами;

достовірність інформаційного забезпечення;

відкритість, прозорість узагальнених результатів оцінки. Тільки структурно-функціональний метод дослідження дає повну уяву про рівень і динаміку соціальної ефективності діяльності органів державної влади.

Головними чинниками, що характеризують їх діяльність, є:

дотримання законів і прозорість у діяльності органів державного управління;

економічна ефективність їх діяльності за регіонами;

ступінь впливу органів державної влади на соціально-економічні процеси;

кадрове забезпечення і чіткий розподіл функціональних обов'язків;

ступінь задоволення громадян рішеннями та послугами, які надають органи державної влади.

Дослідження цих напрямків потребує опрацювання комплексу питань, а також розробки критеріїв їх оцінки. Це можливо зробити лише на основі проведення соціальних досліджень і використання економіко-статистичних методів.

Кожний з п'яти вище зазначених напрямків дослідження соціально-економічної ефективності діяльності органів державної влади має ряд чинників і рівнів дослідження:

1. Дотримання законності і прозорості у діяльності органів державної влади всіх рівнів у досліджених регіонах уміщує:

а) кількість відмін рішень та постанов місцевих органів влади вищими та судовими органами;

б) порядок узгодження рішень та постанов органів державної влади з місцевим самоврядуванням; кількість узгоджених рішень та постанов;

в) рівень відповідності планів регламенту роботи державної служби;

г) висвітлення прийнятих рішень та постанов, а також хід їх реалізації в органах масової інформації (кількість публікацій і публічних виступів відповідальних працівників).

2. Визначення рівня витрат на утримання органів влади для бюджетів регіонів це:

а) зміни у співвідношенні зазначеного показника за останні три роки (2006-2008 pp.);

б) порівняння цього показника за регіонами;

в) рівень дотримання граничної чисельності працівників.

3. Ступінь впливу органів державної влади на соціальні та економічні процеси в регіоні:

а) співвідношення вартості виготовленої продукції і витрат на утримання органів державного управління;

б) зміни у співвідношенні цього показника за останні три роки (2006-2008 pp.);

в) зіставлення цього показника за регіонами;

г) бюджетне фінансування соціально-культурної сфери за 2006-2008 роки;

д) рівень безробітних і його динаміка.

4. Кадрове забезпечення та розподіл повноважень і функціональних обов'язків:

а) освітній рівень співробітників державної адміністрації в регіоні;

б) кількість, спеціалістів з базовою освітою і магістрів державного управління;

в) структурні підрозділи державної адміністрації з урахуванням специфіки регіону.

5. Ступінь задоволення громадян рішеннями та послугами, наданими органами державної влади:

а) середні терміни відповідей державної адміністрації на запитання громадян;

б) головні питання у зверненнях громадян до державної адміністрації;

в) якість послуг, що надаються державними органами громадянам. Зазначені напрямки комплексної системи оцінки діяльності мають слугувати надійним підґрунтям для розв'язання таких завдань:

підвищення рівня обізнаності та поінформованості керівництва органу виконавчої влади більш високого рівня про стан діяльності підпорядкованих йому органів адміністрації;

здійснення працівниками обласної державної адміністрації (за дорученням керівництва) порівняльного аналізу діяльності державних установ за єдиною системою показників;

відстеження в динаміці (порівняно з попереднім періодом оцінювання) наявності певних зрушень щодо визначення рівня діяльності державних установ;

виявлення слабких і сильних сторін діяльності з наступним визначенням заходів щодо усунення недоліків і використання наявних можливостей;

визначення кола пріоритетних проблемних питань та відбір об'єктів для проведення поглибленого аудиту адміністративної діяльності;

досягнення доцільного взаємозв'язку між оцінкою діяльності всієї державної установи, груповою (колективною) оцінкою діяльності її структурних підрозділів та індивідуальною, тобто оцінкою роботи кожного державного службовця;

використання результатів "зворотного зв'язку", отриманих у процесі зовнішньої оцінки діяльності державних установ населенням відповідних регіонів, для спрямування зусиль на підвищення іміджу своєї установи;

відпрацювання на рівні кожної державної установи дієвого механізму самовдосконалення та активізації діяльності, посилення її впливу на соціально-економічні показники розвитку регіону.

Переваги застосування цього підходу до оцінки діяльності полягають у тому, що він дозволяє керівному складові державних установ сконцентрувати увагу на головних напрямах більш повного використання наявного управлінського потенціалу та його поступового нарощування, запозичити позитивний досвід організації діяльності та впровадження нових форм і методів впливу на об'єкти державного управління, спрямувати зусилля на досягнення вищого рівня задоволеності населення наданням державно-управлінських послуг та додержанням принципу соціальної спрямованості при їх розподілі.

Оцінка діяльності державних установ е важливим засобом відстеження практично досягнутих результатів з вирішення питань у межах повноважень, віднесених Конституцією і Законами України до компетенції органів виконавчої влади цього рівня.

Світова теорія і практика оцінки діяльності публічних організацій свідчить, по-перше, про безперечну доцільність і можливість її здійснення з наступним використанням порівняльних даних для виявлення найкращого досвіду і визначення слабких сторін, що дає можливість виробити рекомендації стосовно поліпшення становища; по-друге, це наявність низки не остаточно вирішених проблем, у тому числі: вибору моделей встановлення критеріїв оцінювання; співвідносності між критеріями оцінювання процесу та оцінювання результатів; застосування тих чи інших методичних підходів до оцінки діяльності; подолання труднощів відстеженні прогресу через відсутність порівняльних даних щодо ситуації перед початком модернізації, а також політичної вразливості оприлюднення негативних результатів чи критичних висновків і т. ін. На розв'язання найбільш суттєвих питань цієї проблематики спрямовується також увага в процесі подальшого розвитку теоретичних положень і поширення практичної роботи у сфері здійснення аудиту адміністративної діяльності, цю на сучасному етапі все більше переорієнтується від одного конкретного виду діяльності або окремого органу державного управління на всеохоплюючі системні дослідження. За останні роки значно активізувався дослідницький пошук вітчизняних науковців та фахівців у напрямку підвищення ефективності роботи державних організацій України, а також безпосередньо оцінки діяльності місцевих органів державної влади.

Ефективність управлінської діяльності стосовно до суб'єкта управління може характеризуватися кількісними (економічний ефект) і якісними показниками (соціальна ефективність).

Кількісні показники діяльності системи управління включають: комплекс трудових показників - економія живої праці в сфері управління (чисельність, скорочення трудомісткості процесів управління) і ін.; фінансові показники діяльності системи управління (скорочення витрат на управління і т.п.); показники економії часу (скорочення тривалості циклів управління в результаті впровадження інформаційних технологій, організаційних процедур).

Особливо важливе значення мають показники соціальної ефективності управління (якісні): підвищення науково-технічного рівня управління,

рівень інтеграції процесів управління; підвищення кваліфікації менеджерів; підвищення рівня обґрунтованості прийнятих рішень; формування організаційної культури; керованість системи; задоволеність працею; завоювання суспільної довіри; посилення соціальної відповідальності організації; екологічні наслідки.

Для оцінки державних службовців можна використовувати різні методи, що дозволяють відтворити ситуацію, виконання керівником чи фахівцем управлінських функцій.

Рішення питання про вибір адекватного підходу щодо предмета дослідження складається не в їхньому протиставленні, а в пошуку об'єднуючих факторів. Непоганий результат дає атестація кадрів регіонального управління.

Саме атестація може бути основним методом аналізу стану персоналу державної служби і тенденцій його адаптації до нових соціально-економічних умов. Перевага цього методу полягає в комплексному підході, різноплановому відображенні складної праці керівника. Атестація дає можливість одержати інтегровану оцінку ділових і особистісних якостей працівника, його професійного і соціального самопочуття, а також реального внеску в результати діяльності державних установ.

У процесі атестації державних службовців досить ефективним є метод "самооцінки", та "оцінки" службовця керівником, на засадах більшої оцінки якостей.

Наприклад, до професіоналізму і компетентності державного службовця ми віднесли здатність роз'ясняти закони, дати пораду по їхньому застосуванню в конкретній ситуації, здатність упроваджувати в життя політику реформ і ін.

До ділових здібностей - уміння планувати роботу, розподіляти завдання під силу і можливості виконавців, оперативно приймати рішення і т.д.

До особистісних характеристик - уміння викликати прихильність до себе людей, здатність по-діловому, бездоганно поводитися, уміння в конфліктних ситуаціях зберегти витримку та ін.

Суть підходу полягає в тім, щоб протиставити оцінку (за п'ятибальною системою) безпосереднього керівника посадової особи і його самооцінку. Це дає можливість визначити середній показник і скласти думку про якості державного службовця.

Для вивчення професійного і соціального самопочуття державних службовців може використовуватися, по-перше, метод тестування.

Кількісні показники, отримані в результаті тестування, дають підставу зробити такі висновки:

1. Робота задовольняє, є потенціал зростання атестованого.

2. Робота частково задовольняє, потрібна переоцінка установок атестованого.

3. Робота не задовольняє, доцільно подумати про перехід на інше місце службової діяльності атестованого.

Крім того, результати тестування дозволяють одержати додаткову інформацію стосовно професійних, ділових і особистісних якостей керівників і фахівців місцевої адміністрації.

Для складання соціального портрета державних службовців, по-друге, застосовується метод анкетування. "Анкета державного службовця", повинна включати такі блоки питань:

1) - соціально-демографічний;

2) - пов'язаний з питаннями загальної і фахової освіти службовців, рівнем управлінської підготовки. Тут же фіксувалися форми підвищення кваліфікації;

3) - включає питання про стаж і досвід роботи на адміністративних посадах;

4) - дає можливість виявити мотиви приходу на державну службу, а також заохочення і стягнення працівника.

Таким чином, метод анкетування дозволяє скласти соціальний портрет персоналу місцевої адміністрації, визначити рівень їх підготовки, мотиви приходу в регіональні органи управління, одержати загальну інформацію про професійні і ділові якості атестованого.

У ході дослідження може бути використаний також формалізований висновок безпосереднього керівника про роботу атестованого, у якому даються характеристики і висновки про придатність державного службовця, а також рекомендації з його професійного зростання.

Підвищення ефективності діяльності державної установи залежить від багатьох чинників. Серед них важливе місце займає задоволеність громадян, які звертаються з тим чи іншими питаннями у сфері державної установи.

Існують методи, які дають можливість оцінки діяльності установи незалежно від профілю, надання послуг і масштабів діяльності. До них можна віднести "завдання-результат" та "завдання-результат-витрати". Але оцінити задоволеність населення за їх допомогою навряд чи можливо. Тому розповсюдження мають такі методи оцінки ефективності, як "параметричний", "факторів ефективності неефективності", "визначення ступеня задоволеності попиту населення (клієнтів) державної установи".

Параметричний метод передбачає співвідношення двох чинників:

1. Попередній стан відвідувачів (до відвідування установи).

2. Сучасний стан відвідувачів (клієнтів) (після відвідування установи).

Різниця між ними і є результат, який може свідчити про ефективність діяльності установ, кваліфікацію персоналу та ін. При цьому можна сказати про поточну ефективність. Метод може бути використаний при оцінці ефективності роботи центрів зайнятості, відділів соціальної допомога, субсидій та інших.

Метод чинників ефективності/неефективності дозволяє систематизувати чинники.

При цьому чинники неефективності поділяються на три групи:

1. Чинники, практичне вирішення яких не залежить від установ.

2. Чинники, практичне вирішення яких залежить від установ.

3. Чинники, які знаходяться на кордоні "своїх" і "чужих".

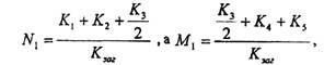
Після одержання загальної оцінки визначаються середні значення за кожним із запитань, що надали респонденти (індекси задоволеності населення згідно із запитанням Ізі). І тоді індекс загальної задоволеності зі) визначається за формулою.


де Ія - індекс задоволеності населення тим питанням, ki, - порядковий номер /-го завдання (тобто kt =1, к=2,..., кп= п) - кількість завдань.

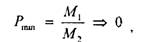
Значення індексу задоволеності коливатимуться в межах від 1 до 5. Змістовно значення індексу в інтервалі І?Ізі? 2 означають, що РДА не справляється із своїми завданнями і робота є неефективною: в інтервалі 2<І>4- робота може бути визнана як задовільна; знаходження індексу в інтервалі 4? Ізі? 5 означає, що РДА добре справляється із всіма своїми завданнями.

Оцінку ефективності можна отримати шляхом розрахунку загальної задоволеності населення, яка підраховується декількома способами шляхом закритого питання.

Для розрахунків використовується показник максимізації, тобто бажаний з точки зору суспільства явища, та мінімізації - небажаний.

1. Для цілей, передбачаючи максимізацію:

 

N1 - кількісна характеристика явища, що визначається; N2 - кількісна характеристика його середовища.

2. Для цілей, передбачаючи мінімізацію:


де М1 - кількісна характеристика явища, що визначається;

М2 - кількісна характеристика його середовища.

Розрахунок показників залежить від питання, яке закладено в лист опитування. Наприклад, якщо оцінне питання включає п'ять відповідей, тоді:


де К1 - кількість відвідувачів з оцінкою "цілком задоволений";

К2 - кількість відвідувачів з оцінкою "скоріше задоволений";

К3 кількість відвідувачів з оцінкою "десь задоволений";

К4 кількість відвідувачів з оцінкою "скоріш не задоволений";

К5 - кількість відвідувачів з оцінкою "незадоволений";

К^ - загальна кількість респондентів.

Якщо в листі опитування три відповіді, тоді


Розрахунки показників мінімізації та максимізації характеризують рівень задоволення населення діяльністю державних органів за допомогою непрямих питань.

3.2 Результативність праці керівників і спеціалістів організації на основі соціологічного дослідження

В умовах ринкової економіки і рівноправності різних форм власності Закон України „Про зайнятість населення” визначає правові, економічні та організаційні основи зайнятості населення Україні і його захисту від безробіття, а також соціальні гарантії з боку держави в реалізації громадянами права на працю.

Зайнятість – це діяльність громадян, пов’язана із задоволенням особистих та суспільних потреб і така, що, як правило, приносить їм доход у грошовій або іншій формі. Зайнятість населення, що проживає на території України, забезпечується державою шляхом проведення активної соціально-економічної політики, спрямованої на задоволення його потреб у добровільному виборі виду діяльності, стимулювання створення нових робочих місць і розвитку підприємництва. [2]

Державна політика України зайнятості населення базується на таких принципах:

забезпечення рівних можливостей усім громадянам, незалежно від походження, соціального та майнового стану, расової та національної належності, статі, віку, політичних переконань, ставлення до релігії, в реалізації права на вільний вибір виду діяльності відповідно до здібностей та професійної підготовки з урахуванням особистих інтересів і суспільних потреб;

сприяння забезпеченню ефективної зайнятості, запобіганню безробіттю, створенню нових робочих місць та умов для розвитку підприємництва;

координації діяльності у сфері зайнятості з іншими напрямами економічної і соціальної політики на основі державної та регіональних програм зайнятості;

співробітництва професійних спілок, асоціацій (спілок) підприємців, власників підприємств, установ, організацій або уповноважених ними органів у взаємодії з органами державного управління в розробці, реалізації та контролі за виконанням заходів щодо забезпечення зайнятості населення;

міжнародного співробітництва у вирішенні проблем зайнятості населення, включаючи працю громадян України за кордоном та іноземних громадян в Україні.

Для реалізації державної політики зайнятості населення, професійної орієнтації, підготовки і перепідготовки, працевлаштування та соціальної підтримки тимчасово непрацюючих громадян у порядку, що визначається Кабінетом Міністрів України, створюється державна служба зайнятості, діяльність якої здійснюється під керівництвом Міністерства праці та соціальної політики України, місцевих державних адміністрацій та органів місцевого самоврядування.

Державна служба зайнятості складається з:

Державного центру зайнятості Міністерства праці та соціальної політики України, центру зайнятості Автономної Республіки Крим, обласних, Київського та Севастопольського міських, районних, міськрайонних, міських і районних у містах центрів зайнятості, центрів організації професійного навчання незайнятого населення і центрів професійної орієнтації населення, інспекцій по контролю за додержанням законодавства про зайнятість населення. [2]

Регулювання правового становища державних службовців, які працюють у зазначених підрозділах державної служби зайнятості здійснюється відповідно до Закону України „Про державну службу”.

До складу державної служби зайнятості входять також навчальні заклади професійної підготовки незайнятого населення, інформаційно-обчислювальні центри, територіальні та спеціалізовані бюро зайнятості, центри реабілітації населення, підприємства, установи і організації, підпорядковані службі зайнятості.

Районний центр зайнятості Комінтернівського району міста Харкова складається з двох відділів: відділу по роботі з роботодавцями та відділу сприяння працевлаштуванню та надання соціальних послуг. Всього працюючих в Комінтернівському РЦЗ налічується 21 чоловік.

Розглянемо прогнозну кількісну потребу у нових робочих місцях на загальнодержавному рівні (табл.2.1)

Таблиця 2.1 Розрахункова прогнозна кількісна потреба у нових робочих місцях на загальнодержавному рівні.

Показники

Роки

2006

2007

2008

2009

Величина повного ринку робочої сили (потенціальний надлишок робочої сили) (млн. чол.)

11,67

11,0

9,38

8,18

Чисельність прихованого безробіття (млн. чол.)

4,77

4,84

4,58

4,45

12,9

12,9

12,9

12,9

Чисельність прихованого безробіття з урахуванням її легалізації (млн. чол.)

4,77

4,21

3,99

3,87

Чисельність незайнятого населення, що пропонує свою робочу силу як товар на повному ринку праці, всього (млн. чол.)

6,9

6,79

5,36

4,31

В тому числі з обставин, визначених Програмою зайнятості населення:

 

 

 

 

Вивільнені у зв’язку з реформуванням виробництва і скороченням штатів (млн. чол.)

1,16

1,2

0,59

0,17

Звільнені за власним бажанням (млн. чол.)

2,17

2,34

2,21

2,08

Звільнені за порушення трудової дисципліни (млн. чол.)

0,061

0,8

0,04

0,013

Випускники вищих учбових закладів (млн. чол.)

0,23

0,22

0,22

0,19

Випускники професійно-технічних закладів освіти (млн. чол.)

0,22

0,22

0,19

0,16

Випускники середніх загальноосвітніх шкіл (млн. чол.)

0,29

0,28

0,22

0,17

Військовослужбовці, звільнені з строкової служби (млн. чол.)

0,14

0,18

0,1

0,49

Військовослужбовці, звільнені з військової служби без права на пенсію (млн. чол.)

0,021

0,022

0,01

0,09

Звільнені з місць позбавлення волі та ЛТП (млн. чол.)

0,063

0,066

0,04

0,02

Інші категорії (млн. чол.)

2,487

2,18

1,74

1,37

Загальна чисельність незайнятого населення, що пропонує свою робочу силу як товар на повному ринку праці, що буде зайнята у формальному секторі самозайнятості (млн. чол.)

0,88

0,83

0,65

0,53

Загальна чисельність незайнятого населення, що пропонує свою робочу силу як товар на повному ринку праці, яка буде зайнята нерегламентованою діяльністю (млн. чол.)

2,19

2,08

1,65

1,32

Природний рівень безробіття (%)

5,0

5,0

5,0

5,0

Чисельність безробітних у межах природного рівня безробіття (млн. чол..)

0,345

0,34

0,268

0,216

Коефіцієнт трудової міграції (%)

7,0

7,0

7,0

7,0

Чисельність трудової міграції (млн. чол.)

0,483

0,475

0,375

0,302

Коеф. заміщення роб. сили за рахунок додаткового приймання на роботу (%)

8,7

8,7

8,7

8,7

Чисельність зайнятого населення, яке працевлаштовано на нові робочі місця за рахунок внутрішнього перерозподілу (млн. чол.)

0,415

0,366

0,347

0,337

Потреба у працівниках на вільні робочі місця (чол.)

33836

34316

34939

76121


Зростаючі масштаби безробіття, збільшення його тривалості потребують підвищення ефективності діяльності державної служби зайнятості і, перш за все, її низових ланок, чіткої організації їх діяльності. На виконання цього завдання спрямована науково обґрунтована технологія обслуговування незайнятого населення в центрах зайнятості, яка охоплює широкий спектр організаційних заходів. Як і всі інші центри зайнятості Комінтернівський РЦЗ також користується цією технологією. Вона регламентує спосіб діяльності спеціалістів державної служби зайнятості щодо надання клієнтам передбачених законодавством соціальних послуг на основі раціонального розподілу дій на скоординовані процедури та операції, що підлягають обов’язковому виконанню, визначення оптимальних засобів і методів їх виконання.

Основна мета Єдиної технології обслуговування незайнятого населення – створення важливого елемента нової адаптованої до умов ринку системи соціального захисту та самозахисту населення; підвищення ефективності роботи державної служби зайнятості щодо надання соціальних послуг безробітним громадянам та роботодавцям.

В основу технології покладено дотримання таких принципів організації роботи персоналу, як спеціалізація і кооперування праці, пропорційність і синхронність, прямоточність і безперервність. Слід підкреслити, що її кістяк складає набір стандартних матеріальних умов праці і типізованих трудових процесів та організації праці співробітників центрів зайнятості, стандартизація і уніфікація форм документації, типізація.

Значному підвищенню продуктивності праці спеціалістів, забезпеченню покращення якості послуг клієнтам, збільшенню пропускної можливості служби зайнятості в цілому сприятимуть рекомендації щодо організації праці та відпочинку співробітників центрів зайнятості та заході профілактики втоми і професійних захворювань, які базуються на рекомендаціях з фізіології та гігієни праці.

Технологія дозволяє забезпечити високу працездатність і продуктивність діяльності персоналу без його перевтоми та розвитку професійних захворювань.

Технологія базується на правових нормах чинного законодавства за станом на 1 червня 2006 року.

Зміст та порядок виконання процедур і операцій спеціалістами служби зайнятості побудовано на засадах соціальної спрямованості та економічної ефективності, які майже не залежатимуть від змін підзаконних актів. [19]

Зміст процедур, здійснюваних спеціалістами центру зайнятості, викладено у вигляді незалежних функцій, котрі не підлягають оперативній зміні або вилученню.

Всі функції спрямовані на оперативне та якісне надання послуг клієнтам служби зайнятості і мають виконуватись незалежно від категорії центру, чисельності спеціалістів та матеріально - технічного оснащення. Засоби їх виконання залежать від наявних умов і вирішуються безпосередньо директором центру зайнятості базового рівня.

Зміни і доповнення до технології вносяться на підставі наказу державного центру зайнятості.

При розробленні даної технології був застосований досвід кращих вітчизняних центрів зайнятості, досвід зарубіжних країн – Великобританії, Німеччини, Данії, Польщі, Росії. Найбільш ефективні методи обслуговування незайнятого населення, інноваційні елементи технології були максимально адаптовані до вітчизняних умов, стандартизовані та уніфіковані.

Єдину технологію обслуговування незайнятого населення в центрах зайнятості України розробила творча група Інституту підготовки кадрів державної служби зайнятості, в якій працювали фахівці інституту, спеціалісти Державного , обласних, міських та районних центрів зайнятості, деяких наукових установ та навчальних закладів.

Ефективність діяльності центрів зайнятості залежить від чіткого виконання кожним спеціалістом своїх функцій.

Єдина технологія обслуговування населення (ЄТОН) містить процедури та операції, які виконуватимуться відповідними посадовими особами. ЄТОН передбачає наявність посадових осіб, які виконують такі функції:

диспетчерсько–консультативні;

організації документообігу;

профінформації;

сприяння працевлаштуванню;

активної підтримки безробітних (організації тимчасової зайнятості, залучення до самозайнятості, організації профорієнтації, профнавчання, залучення до роботи у семінарах з техніки пошук роботи);

взаємодії з роботодавцями;

адміністрування локальної комп’ютерної мережі;

організації та контролю виконання технологічних процедур та операцій щодо обслуговування населення.

Всі ці функції виконуватимуться незалежно від масштабів центру, характеристик локального ринку праці.

Назви посад у штатному розписі ЦЗ повинні відповідати Довіднику типових професійно – кваліфікаційних характеристик посад державних службовців, а функції, які вони виконуватимуть, визначаються в їх посадових інструкціях.

Кількість спеціалістів, які виконуватимуть одні й ті ж процедури та операції залежить від кількості клієнтів, які щоденно потребують певних послуг, нормативу часу щодо їх надання, а також від затвердженого штатного розкладу даного центру зайнятості. Пропозиції щодо розподілу спеціалістів між підрозділами (за їх наявністю) базового центру розробляє директор базового центру зайнятості та затверджує директор регіонального центру зайнятості.

Спеціалісти виконують свої функції згідно посадових інструкцій, які затверджуються у встановленому порядку. Ці інструкції розробляє директор базового центру на підставі Типових посадових інструкцій.

Директор базового центру зайнятості конкретизує типові посадові інструкції з урахуванням специфіки конкретного центру зайнятості, особливостей організації праці. В разі необхідності одна посадова особа може виконувати декілька функцій. В таких випадках його посадова інструкція повинна містити функції, передбачені відповідними посадовими інструкціями.

Директор базового центру зайнятості ознайомлює спеціалістів з посадовими інструкціями та організовує навчання щодо їх виконання.

Посадові інструкції використовуються при проведенні конкурсів на заміщення вакантних посад, оцінки роботи кожного спеціалісту центру, морального та матеріального заохочення. Якість виконання службових обов’язків, які передбачені посадовою інструкцією має враховуватися при проведенні атестації кадрів, розвитку професійної кар’єри та зарахування до кадрового резерву.

В деяких непередбачених випадках (хвороба та відсутність спеціалістів, раптове збільшення кількості відвідувачів та ін.) в центрі зайнятості може виникнути потреба у терміновому виконанні певних функцій. Ці функції виконуються за дорученням директора центру зайнятості, його заступника або технолога – організатора без зміни посадових інструкцій. [19]

В дипломній роботі наведені результати опитування керівників та спеціалістів Комінтернівського району центру зайнятості, щодо ефективної діяльності організації. Загальна кількість опитаних склала 20 чоловік. Відповідно до результатів опитування респонденти розподілилися у % до всіх опитаних:

За статтю: Чоловіків – 15 Жінок – 85

За віком: від 30 до 39 – 2 від 40 до 49 – 65 від 50 до 59 – 33

Перш за все, слід відзначити, що неможливо давати оцінку ефективності роботи організації без визначення її основного завдання. Тому під час дослідження нами ставилось перед респондентами питання про те, що саме вони вважають за основне завдання своєї організації. 42% відповівших відмітили, що основне завдання їхньої організації полягає у наданні соціальних послуг населенню, 15% - у забезпеченні потреб населення на відповідній території, 14% - у точному та своєчасному виконанні вказівок від вищестоящих органів. Загальний розподіл відповідей наведений на рис. 2.1

Наведені данні відбивають позитивну тенденцію, а саме говорять про поширення серед працівників розуміння свого основного завдання як надання соціальних послуг населенню, що, в свою чергу, свідчить про впровадження демократичних засад в управлінській діяльності.

Оцінка ефективності роботи організації щодо виконання вищезазначеного завдання серед опитаних складає 4,5 за шкалою від 1 до 5, де 1 – організація повністю не справляється із завданням, 2 – скоріше не справляється, 3 - десь справляється, десь ні, 4 – скоріше справляється, 5 – справляється повністю.

Рис. 2.1 - Розподіл відповідей респондентів на запитання "В чому, на Вашу думку, полягає основне завдання Вашої організації?" (у % до відповівших)

Розподіл відповідей щодо загальної оцінки ефективності роботи Вашої організації наведений на рис. 2.2.

Рис 2.2 - Розподіл відповідей респондентів на запитання "Оцініть загальну ефективність роботи Вашої організації?" (у % до відповівших)

Дані свідчать про скоріше ефективну роботу організації, але 31% відповіли „важко сказати однозначно”. Це значить що є певні чинники, які заважають ефективній роботі працівників.

На рис. 2.3 наведений загальний розподіл думок.

Рис. 2.3 - Розподіл відповідей респондентів на запитання "Які чинники, на Вашу думку, заважають ефективній роботі Вашої організації ?" (у % до відповівших)

Основними чинниками, що заважають ефективній роботі, респонденти передусім вважають такі:

відсутність необхідної матеріальної бази (35%);

відсутність матеріальних стимулів (15%);

відсутність необхідної нормативно-правової бази (17%);

відмітили, що ніщо не заважає ефективній роботі організації 2% відповівши.

Якщо поділити вищенаведені чинники на зовнішні (відсутність матеріальної бази, відсутність необхідної нормативно-правової бази); внутрішні (некомпетентність керівництва та робітників) та змішані (корупція), то аналіз отриманих результатів свідчить про тенденцію, що існує у працівників перекладати відповідальність за недостатньо ефективну роботу організації на зовнішні фактори.

Загальний розподіл відповідей на це запитання наведений на рис. 2.4.

Рис. 2.4 - Розподіл відповідей респондентів на запитання "Як Ви вважаєте, чи можливо підвищити ефективність роботи Вашої організації?" (у % до відповівших)

Зазначене певним чином простежується і у відповідях респондентів на запитання „Як Ви вважаєте, чи можливо підвищити ефективність роботи організації?” Хоча досить значна частина опитаних 38% вважає, що це можливо зробити власними силами, ще більша кількість респондентів (48%) відзначила, що це потребує загального реформування адміністративної системи, тобто знов ми бачимо прагнення перекласти відповідальність на зовнішній фактор. Ця проблема не залишає байдужими майже нікого, лише 2% опитаних відзначило, що вона їх не цікавить.

Важливим фактором, що має значний вплив на ефективність діяльності організації, є рівень професійної підготовки її працівників. За суб’єктивними оцінками респондентів їхня організація має високий професійний потенціал (рис. 2.5), (рис. 2.6).

Рис. 2.5 - Розподіл відповідей респондентів на запитання "Чи маєте Ви (Ваші безпосередні керівники, більшість Ваших колег) необхідні знання, вміння, навички для забезпечення ефективної роботи Вашої організації (підрозділу)?" (у % до відповівших)

Рис. 2.6 - Розподіл відповідей респондентів на запитання "Оцініть своє вміння користуватись комп'ютером ?" (у % до відповівших)

Соціальне самопочуття працівників, ступінь їхньої задоволеності від своєї роботи також є немаловажним фактором, що впливає на ефективність діяльності як окремих співробітників, так і організації в цілому. Психологічна атмосфера в колективі оцінюється більшістю респондентів (57%) як в основному нормальна, робоча. (рис. 2.7).

Рис 2.7 - Розподіл відповідей респондентів на запитання "Як Ви оцінюєте психологічну атмосферу в колективі, в якому працюєте?" (у % до відповівших)

Підсумовуючи наведені данні зазначимо, що рівень вчасної підготовки та підготовки своїх коли до виконання своїх функціональних обов’язків респонденти оцінюють досить високо. Задовільну оцінку вони надають і загальному рівню роботи своєї організації. Психологічна обстановка в колективі, в основному, оцінюється як нормальна, тобто така, що сприяє успішному виконанню поставлених перед працівниками завдань.

Однак поряд із цими, цілком позитивними, факторами в діяльності організації, можна відмітити декілька факторів, які негативно впливають на ефективність роботи, а саме:

відсутність необхідної матеріальної бази;

Не дуже високий рівень володіння комп’ютером серед опитаних;

Небажання брати на себе відповідальність від процесів реформування та підвищення ефективності роботи своєї організації.

Нижче наведені результати опитування відвідувачів державної установи щодо задоволеності її діяльністю.

Підвищення ефективності діяльності державної установи залежить від багатьох чинників. Серед них важливе місце займає задоволеність громадян, які звертаються з тим чи іншими питаннями у сфері державної установи.

Опитування відвідувачів Комінтернівського центру зайнятості м. Харкова показали, що відповіді респондентів на запитання „Якої суттєвої допомоги ВИ потребуєте від державних службовців?” виглядають таким чином (табл. 2.2).

Таблиця 2.2

№ з/п

Сфера інтересів

Відсоток до загальної кількості, %

1

Бізнес

12

2

Роз'яснення чинного законодавства

7


Працевлаштування

45

4

Питання, пов'язані з материнською допомогою (субсидії, пенсії, інше)

32

5

Інше

4


На запитання „Що на Вашу думку, заважає в державній службі?” відповіли таким чином (табл. 2.3).

Таблиця 2.3

№ з/п

Показник

Відсоток до загальної кількості, %

1

Низький професіоналізм службовців

20,2

2

Недоліки чинного законодавства

38

3

Поважне ставлення до людей

20,3

4

Відсутність або недостатність коштів

21,5


Друге запитання належить до першої групи і вирішення його на рівні установи неможливо. Перший і третій чинники можна віднести до другої групи і повинні вирішуватись на рівні установи. Четверте запитання належить до прикордонних і повинне вирішуватись як на рівні установи, так і на рівні вищих органів влади.

На запитання: „Чи влаштовує Вас рівень обслуговування в державних установах?” – відповіді розподілились:

1. У цілому влаштовує – 35% респондентів;

2. Влаштовує частково – 33,8%;

3. Не влаштовує – 31,2%.

Так, на запитання „Чи вдавалось Вам вирішувати свої питання останнім часом?” – голоси респондентів розподілилися таким чином:

„Так” – 30%, „не зовсім” – 45%, „ні” – 25%

Згідно з опитування, після відвідування державної установи змінився стан у 30% відвідувачів, стан інших не змінився чи змінився частково, що не дає можливості оцінити діяльність установи як ефективну.

РОЗДІЛ 4. ШЛЯХИ УДОСКОНАЛЕННЯ УПРАВЛІННЯ ПЕРСОНАЛОМ В ДЕРЖАВНІЙ ОРГАНІЗАЦІЇ

4.1 Удосконалення форм і методів управління персоналом

Першочерговими питаннями покращення роботи з добору, підготовки і розстановки кадрів у системі державної служби пропонується вважати розробку удосконалення стандартів державної служби.

Одним з базових стандартів системи державної служби і, зокрема, системи роботи з кадрами державної служби є типові професійно-кваліфікаційні характеристики (ТПКХ) посад державних службовців, які є основою для. розроблення посадових інструкцій в органах державної влади. Спираючись на запроваджений Реєстр посад державних службовців, необхідно переглянути існуючі ТПКХ і розробити нові, що передбачено заходами щодо реалізації Стратегії реформування системи державної служби з Україні на 2006-2007 роки.

Заходами з реалізації Стратегії в поточному році, зокрема, передбачено:

- запровадження в міністерствах посад державних службовців, відповідальних за діяльність апарату (державних секретарів);

- розроблення проекту порядку проведення відкритого конкурсу та стажування із складанням іспиту під час прийняття на державну службу;

- розроблення особливого порядку призначення на посади І-IIІ категорій;

- проведення атестації державних службовців всіх рівнів, що, зокрема, передбачає врахування особливого порядку проведення цієї процедури серед державних службовців, які займають посади І-II категорій. Ці особливості визначаються органами, що призначають на посади державних службовців зазначених категорій;

- розроблення пропозицій щодо вдосконалення процедури дисциплінарного провадження стосовно державних службовців, порядку оскарження дій посадових осіб, а також утворення апеляційних комісій;

- запровадження спеціальних перевірок щодо кандидатів на зайняття окремих посад;

- розроблення механізму ротації з урахуванням осіб, звільнених внаслідок скорочення апарату, консолідації або перетворення органу державної влади.

У 2008 - 2010 роках необхідно розпочати аналіз діяльності органів державної влади з метою встановлення доцільності порядків реалізації «державної послуги» і корекції відповідних повноважень органу та посад.

Під державною послугою будемо розуміти результативні дії апарату органу в межах своїх повноважень щодо реалізації завдань державної політики у визначеній сфері соціально-економічних відносин, виконання доручень керівництва і запитів юридичних і фізичних осіб з урахуванням чинних порядків і регламентів функціонування апарату.

Для посад вищої керівної ланки державних органів недостатньо наявності ТПКХ. На наш погляд, доцільно сформувати «паспорти» посад, в яких мають бути зафіксовані наскрізні схеми міжгалузевого узгодження управлінських рішень, особливості залучення в процесі пошуку рішення знань, вмінь і навичок з різних професійних сфер (різних спеціальностей), встановлені формальні прийоми при прийнятті рішень, зареєстровані фактори, зокрема, ресурси, які забезпечують досягнення відповідного рівня «послуги».

Створення «паспортів» є, на наш погляд, одним з результатів функціонального аналізу і вимагає утворення постійно діючої групи фахівців для спрямування, координації і узагальнення такої роботи.

Вимоги до посади мають чітко визначати кваліфікаційні, психологічні, ділові якості (критерії) особи, яка може її зайняти. На підставі таких вимог необхідно розробити тести для претендентів на посади, які повинні стати методичною основою при прийнятті осіб на посади державних службовців. Застосування попереднього тестування особи має бути також обов'язковою процедурою при зарахуванні до резерву. Тільки з урахуванням позитивних наслідків такого тестування особа буде допускатися до конкурсу на відповідну посаду. У процесі іспитів бажано визначати у претендентів на посади їх орієнтири в суспільстві, розуміння ними процесів, від яких залежить добробут людини і держави.

Вивчення мотивацій кандидата на посаду має стати основою роботи кадрових служб, атестаційних і конкурсних комісій.

Так при призначенні на керівні посади осіб, покликаних приймати рішення в сфері державного управління, як пріоритетні можна висунути такі, орієнтири, позитивне ставлення до приватної власності, у тому числі і на землю; прихильність до приватного підприємництва та конкуренції; позитивне ставлення до розвинутого механізму інвестицій, зокрема іноземних, ринку капіталів і розуміння місця державного контролю в контексті нагляду, а не прямого управління; прихильність до ринкових механізмів, у тому числі і в соціальній сфері; орієнтація на обмеження регуляторної функції держави; визначення домінантою своєї діяльності стимуляцію споживчого ринку; розуміння обов'язковості збалансованого й реального державного бюджету.

При формуванні резерву на посади, особливо І-ІІІ категорій, доцільно практикувати подання двох-трьох рекомендацій від установ чи посадових осіб

Якість виконання певної «послуги» (роботи в цілому) залежить від кваліфікації окремого фахівця і з позицій управління державною службою має бути пов'язана з освітньо-кваліфікаційними вимогами до посади. [8]

Цей компонент системи стандартів державної служби ще потребує свого нормативного оформлення. У неявному вигляді освітньо-кваліфікаційні вимоги присутні в освітньо-професійній програмі підготовки магістрів за спеціальністю «Державна служба», яку ліцензовано Державною акредитаційною комісією і запроваджено у дев'яти вищих навчальних закладах. До стандартів державної служби доцільно віднести і заробітну плату. Вимоги до цього стандарту необхідно розробити з урахуванням світового досвіду у забезпеченні діяльності апарату управління в державі. Базовим критерієм має бути важливість і якість управлінської роботи, але з обов'язковим дотриманням рівності в оплаті праці фахівців, які займають однотипні посади в різних органах державної влади. Саме це забезпечить можливість встановлення чіткого і прозорого механізму ротації, позитивно вплине на стабільність корпусу державних службовців.

Напрямами з реформування системи державної служби на період до 2010 року передбачені кроки щодо удосконалення структурно-організаційних основ побудови корпусу державних службовців, який має формуватися з урахуванням професійних якостей осіб (що забезпечується відповідною освітою і спеціальними заходами з навчання). Для прискорення переходу до професійної державної служби необхідно утворити елітну групу в корпусі державних службовців для підтримання духу «конкуренції» при просуванні по службі (що має бути забезпечено механізмом прийняття на визначені посади та звільнення з них переліком вимог у ТПКХ тощо). Необхідно окремо для цієї групи керівних працівників створити умови для високоефективної праці, спрямувавши їхній потенціал на вироблення прогнозних оцінок, підготовку на їх підставі рішень з управління секторами економіки. Одночасно треба започаткувати в кожному органі, особливо в міністерствах, процедуру проведення стратегічних питань через таку групу осіб. Для підвищення кваліфікації осіб елітної групи управлінців, їх цільового навчання необхідно докорінно змінити організаційні засади навчання. Від лекційно-семінарських занять треба перейти до індивідуальної роботи із закріпленням за фахівцем викладачів-наставників з такою основною формою роботи, як підготовка наукових рефератів за тематикою навчання. Для консультаційних процедур треба ширше застосовувати технологію дистанційного навчання. Початком запровадження цієї форми навчання в системі державної служби можна вважати утворення в листопаді 2006 року в Українській Академії державного управління при Президентові України Центру дистанційного навчання, який є першим таким центром Навчальної мережі глобального розвитку Світового банку на Євро-Азіатському континенті.

Синонімом дистанційного навчання є віддалене навчання. Тобто, ефективність цього виду навчально-освітніх процедур вбачається саме в можливості отримання оперативних відомостей безпосередньо на робочому місці і в зручній формі. Іншою складовою ефективності дистанційного навчання є фактично необмежений інформаційно-методичний ресурс, однією з найважливіших ознак якого є постійне оновлення і розширення тематичної інформації за рахунок автоматичного вилучення її з інформаційних ресурсів Wеb-сторінок глобальної мережі. Побудова технології супроводження такої інформаційної бази потребує окремого вивчення і розробки. [12]

Невирішеною проблемою залишається надання легітимності дистанційній освіті. Враховуючи особливості навчання в системі державної служби, це питання можна було б вирішити окремо, без поширення на систему освіти загалом, наприклад, шляхом впровадження її як окремої форми екстернату. Для врахування питання тендерної рівності у суспільстві необхідно при формуванні резерву кадрів для органів виконавчої влади передбачати пропорційність представництва фахівців із різними спеціальностями, обох статей, враховувати баланс між працівниками різного віку.

Удосконалення складу корпусу державних службовців має передбачати залучення на державну службу обдарованої і талановитої молоді, фахівців, які мають неординарні підходи до управлінської роботи, успішно захистили наукові .дисертації з питань державного управління. Необхідно передбачити шляхи реалізації постійної селекційної роботи серед молоді, яка знаходиться на різних щаблях системи освіти. Це потребує як окремого фінансового забезпечення, так і внесення відповідних змін у роботу викладацького складу всієї системи освіти, де пріоритетом має стати орієнтація на кращих, створення ситуації «гонки за лідером».

Сформульовані підходи потребують суттєвого попереднього опрацювання, виважених кроків у запровадженні і, таким чином, мають бути предметом системного дослідження вимог до державної служби, що покладається на наукову програму дослідження розвитку державної служби та вдосконалення кадрового забезпечення державної служби в Україні, розробку і запровадження якої передбачено заходами щодо реалізації Стратегії реформування системи державної служби в Україні на 2006 - 2007 роки.

Реалістичність будь-яких заходів залежить від всебічного аналізу сфери їх застосування. Тому Стратегією реформування системи, державної служби в Україні, як вже зазначалось, передбачено запровадження функціонального аналізу, метою якого має бути отримання рекомендацій щодо оптимізації схем управління сферами економіки і соціального життя, доцільності існування того чи іншого регламенту реалізації управлінських процесів і оцінки їх ресурсного забезпечення. [8]

Основою для проведення такої роботи є результати функціонального обстеження, проведеного протягом 2006-2007 років, на підставі яких, відповідно до Указу Президента України «Про чергові заходи щодо дальшого здійснення адміністративної реформи в Україні», затвердженого 29 травня 2007 року за № 345/2007, передбачено, зокрема, внесення пропозицій щодо спрощення системи державного управління, ліквідацію її неефективних ланок, запровадження уніфікованих структур апаратів центральних органів виконавчої влади, впорядкування і підвищення рівня заробітної плати державних службовців.

Саме в цей період доцільно провести роботу з формування зазначених вище «паспортів» посад і проаналізувати діяльність осіб, які займають ці посади, використавши, зокрема, механізм щорічної оцінки діяльності державного службовця. Основою такої оцінки має бути висновок безпосереднього керівника. Надалі для підвищення об'єктивності цієї роботи доцільно запровадити самооцінку, анонімне анкетування працівників, враховувати дані щодо оцінки діяльності органу, подані ЗМІ.

Ця робота повинна стати складовою частиною моніторингу ефективності діяльності органів влади і їх посадових осіб. Результатами оцінки мають бути не тільки заходи, спрямовані на покращення роботи конкретного посадовця, а й рекомендації щодо коригування роботи органу, його окремих підрозділів на наступний період.

У процесі оцінки результативності роботи окремого працівника необхідно виділити його особистісні пріоритети у реалізації загальної справи, схильність до виду роботи (аналітична діяльність, сумлінність при виконанні рутинної роботи, застосування перспективних методів прийняття рішень, комп'ютерних засобів обробки інформації тощо). [18] Для успішної реалізації Стратегії реформування системи державної служби, затвердженої Президентом України у 2006 році, створення умов для реалізації запропонованих напрямів удосконалення добору, підготовки і розстановки кадрів в 2008-2010 роках необхідно спрямувати зусилля на:

- прискорення прийняття Законів України «Про Кабінет Міністрів України», «Про міністерство, інший центральний орган виконавчої влади», «Про внесення змін і доповнень до Закону України «Про державну службу».Необхідно законодавче закріпити розподіл на політичні і адміністративні посади, закласти засади такого розподілу обов'язків, який буде стимулювати посилення виконавської дисципліни в апараті державних органів разом із підвищенням ефективності вирішення стратегічних питань у системі державного управління;

- пошук шляхів залучення на державну службу висококваліфікованих фахівців, насамперед молодих здібних випускників вищих навчальних закладів, підприємців, працівників фінансово-економічної сфери. Необхідно орієнтувати кадрові служби на включення кращих з них до резерву на керівні посади. Для виявлення потенційних претендентів на керівні посади доцільно найближчим часом перейти до технології проведення відкритих конкурсів на заміщення посад та стажування зі складанням іспиту;

- підготовку всебічно обізнаних державних службовців, компетентних не тільки у своїй фаховій справі. З цією метою необхідно знайти прийнятні шляхи запровадження ротації кадрів, аби фахівці мали можливість перед зайняттям високої керівної посади набути досвід роботи на різних посадах;

- посилення уваги до моральних якостей осіб, які залучаються до органів влади. Потрібно разом із широким оприлюдненням Загальних правил поведінки державних службовців, аби громадяни знали, якої поведінки слід очікувати і, головне, вимагати від державних службовців, запровадити практику спеціальних перевірок кандидатів на відповідні посади, удосконалити процедури дисциплінарного провадження, утворити апеляційні комісії;

- підвищення престижу державної служби, для чого визначити взаємопов'язані заходи з матеріального й морального заохочення за сумлінну та ініціативну працю. Необхідно нормативне запровадити критерії оцінки рівня кваліфікації кадрів, пов'язати результати оцінки з принципами заохочення: підвищення по службі, зарахування до резерву, встановлення надбавок до заробітної плати державних службовців тощо. Важливим завданням є встановлення стандартів якості роботи державних службовців. Для цього у кожному органі державної влади треба розробити й оприлюднити порядок надання державних послуг громадянам та юридичним особам;

- прискорення професійного навчання державних службовців, що покликано забезпечити їхню здатність до практичної інноваційної діяльності, охопити нормативно-проектну, аналітичну, організаційно-розпорядчу, консультативно-дорадчу та контрольну функції.

4.2 Організація роботи з кадрами державної служби

Зазначеними вище інститутами державного управління забезпечується практика кадрової роботи, яка передбачає супроводження процедур: добору і розстановки кадрів; їх обліку; підготовки, перепідготовки та підвищення кваліфікації, а також проходження служби в контексті управління службовою кар'єрою, умовами праці; заохочення до сумлінного і якісного виконання покладених на особу повноважень; контролю за дотриманням вимог щодо виконання службових обов'язків, правил поведінки державного службовця та спеціальних обмежень.

Зміст складових процедур з реалізації роботи з кадрами визначений нормативно-правовими актами. Наприклад:

1) Конкурсний відбір

Порядок конкурсного відбору на заміщення вакантних посад державних службовців регламентується постановою Кабінету Міністрів України від 4 жовтня 1995 року № 782, якою затверджено відповідне Положення. Це Положення унормовує порядок проведення конкурсного відбору на посади державних службовців третьої - сьомої категорій, крім випадків, коли законами України чи рішеннями Кабінету Міністрів України встановлено інший порядок заміщення таких посад.

Положенням передбачено, що рішення про проведення конкурсу та його умови приймається керівником органу, в якому оголошується конкурс. Наказом керівника утворюється конкурсна комісія.

Інформація про конкурс та його умови підлягає публікації у пресі та розповсюдженню через інші засоби масової інформації не пізніше як за місяць до проведення конкурсу та доводиться до відома працівників органу, в якому оголошується конкурс.

Особи, які бажають взяти участь у конкурсі, подають на ім'я керівника заяву, до якої додаються: особовий листок обліку кадрів, автобіографія, копії документів про освіту, декларації про доходи, зобов'язання фінансового характеру, в тому числі і за кордоном, щодо себе і членів своєї сім'ї за формою, затвердженою Мінфіном.

Комісія проводить співбесіду з кожним учасником конкурсу і на своєму закритому засіданні більшістю голосів членів комісії, присутніх на засіданні, приймає рішення щодо переможця конкурсу. Засідання комісії оформлюється протоколом, який підписується всіма присутніми на засіданні членами комісії і подається керівникові не пізніше як через 2 дні після голосування.

2) Стажування на посадах державних службовців

Порядок проходження стажування визначає постанова Кабінету Міністрів України від 1 грудня 1994 року № 804. Стажування можуть проходити як особи, що вперше претендують на посаду державного службовця, так і державні службовці, які бажають зайняти більш високу посаду. На період стажування (до двох місяців) у державному органі за стажистом закріплюється державний службовець, відповідальний за стажування. Зміст стажування визначається індивідуальним планом, що затверджується керівником структурного підрозділу органу, де проводиться стажування.

Особа (не державний службовець), яка після успішного закінчення стажування виявила бажання працювати у даному державному органі, проходить конкурс відповідно до Положення про порядок конкурсного відбору на заміщення вакантних посад державних службовців. При цьому їй надається перевага над особами, які беруть участь у даному конкурсі, але не проходили стажування.

Державний службовець після успішного закінчення стажування може бути переведений на посаду за рішенням керівника відповідного державного органу без конкурсного відбору.

3) Випробування

Законом України «Про державну службу» (ст.18) передбачено, що при прийнятті на державну службу може встановлюватись випробування терміном до 6 місяців.

4) Призначення на посади

Призначення державних службовців на посаду може здійснюватись: Президентом України; Кабінетом Міністрів України; Урядом Автономної Республіки Крим; головою обласної, Київської, Севастопольської міської державної адміністрації; керівником державного органу.

Відповідно до норм, визначених Конституцією, законами, іншими нормативно-правовими актами України, відносно посади державного службовця може бути застосована загальна або особлива процедура призначення на посаду, а саме: після проходження конкурсу на основі рекомендації конкурсної комісії; після проходження стажування на конкретній посаді або за іншою процедурою, встановленою законодавчими та нормативними актами.

Так відповідно до положень Закону України «Про місцеві державні адміністрації» заступники голови обласної державної адміністрації призначаються на посаду головою обласної державної адміністрації за , погодженням із відповідним віце-прем'єр-міністром України (от. 10).

З метою організаційного забезпечення своєї діяльності та відповідно до статті 15 Закону України «Про державну службу» члени Кабінету Міністрів України, голови місцевих державних адміністрацій мають право самостійно добирати та приймати осіб на посади патронатної служби згідно з штатним розписом і категорією, що відповідає посаді.

Кабінет Міністрів України постановою від CAPut!’ травня 2005 року № 851 затвердив Порядок перебування на державній службі працівників патронатної служби членів Кабінету Міністрів України та голів місцевих державних адміністрацій. Прийняття на патронатну службу здійснюється без проведення конкурсу.

Державні службовці патронатної служби можуть бути звільнені у разі зміни керівника або складу державного органу. У цьому випадку працівника можна не попереджати, але йому надаються пільги і компенсації, передбачені статтею 49-3 Кодексу законів про працю України.

5) Кадровий резерв

Кадровий резерв створюється для заміщення посад державних службовців, а також для просування їх по службі. Постановою Кабінету Міністрів України від 28 лютого 2007 року № 199 затверджено Положення про формування кадрового резерву для державної служби.

До кадрового резерву зараховуються професійно підготовлені працівники, які успішно виконують службові обов'язки, виявляють ініціативу, мають організаторські здібності і необхідний досвід роботи, успіхи у навчанні.

Зарахування працівника до кадрового резерву провадиться за його згодою. З працівниками, зарахованими до кадрового резерву, керівники державних органів і структурних підрозділів їхнього апарату проводять роботу згідно із затвердженими особистими річними планами, в яких передбачається: систематичне навчання шляхом самоосвіти; періодичне навчання і підвищення кваліфікації у відповідних навчальних закладах; участь у роботі семінарів, нарад, конференцій з відповідних проблем та питань діяльності державних органів і структурних підрозділів; стажування у відповідному державному органі терміном до двох місяців; заміщення на період відсутності державного службовця посади, на яку зараховано працівника до кадрового резерву тощо.

Якщо посада, до кадрового резерву на яку зараховано працівника, стає вакантною, то він має переважне право на її заміщення при проведенні конкурсу. Просування по службі державного службовця, який зарахований до кадрового резерву, може здійснюватися за рішенням керівника відповідного державного органу поза конкурсним відбором.

6) Атестація

Положенням про проведення атестації державних службовців, затвердженим постановою Кабінету Міністрів України від 28 грудня 2006 року № 1922, вперше передбачено, що атестації підлягають державні службовці всіх рівнів. Особливості проведення атестації державних службовців, посади яких віднесені до І та II категорій, визначаються органами, що призначають їх на посади.

Цим же актом визначено, що в період між атестаціями проводиться щорічна оцінка виконання державними службовцями покладених на них завдань та обов'язків. Функції методичної підтримки у проведенні щорічної оцінки покладено на Головдержслужбу України.

7) Облік державних службовців

Для забезпечення процедур з добору і розстановки кадрів, єдиних підходів до обліку державних органів, установ та організацій, керівні працівники і спеціалісти яких віднесені до категорій державних службовців, запроваджено перелік державних органів, установ та організацій і реєстр посад державних службовців, які і затверджено наказом Головдержслужби України від 18 грудня 2006 року № 74 та зареєстровано 25 грудня 2006 року за № 952/5173 в Мін’юсті України.

Налагоджено облік та статистичну звітність про склад державних службовців за формою № 9-ДС. Вона дозволяє проводити аналіз складу державних службовців за категоріями посад, освітою, стажем державної служби, віком, статтю, кількістю прийнятих на державну службу, в тому числі на конкурсній основі, шляхом стажування, за кількістю вибулих та тих, що підвищили кваліфікацію.

З метою упорядкування кадрового діловодства та удосконалення процедури прийняття на посади державних службовців постановою Кабінету Міністрів України від 25 травня 1998 року № 731 затверджено Порядок ведення особових справ державних службовців в органах виконавчої влади. Цим Порядком визначено перелік документів, що складають особову справу державного службовця, а також вимоги до їх оформлення, зберігання та обліку. В особовій справі відображається проходження державної служби, містяться біографічні та інші дані державного службовця. Формування та ведення особової справи здійснюється кадровою службою органу, де працює державний службовець.

З метою вдосконалення роботи, що ведеться у сфері обліку, навчання та інформування державних службовців, постановою Кабінету Міністрів України від 21 серпня 1997 року №918 затверджено Програму розроблення та впровадження єдиної державної комп'ютерної системи «Кадри», а розпорядженням Кабінету Міністрів України від 4 липня 2006 року № 279-р затверджено план заходів щодо її удосконалення. У межах цієї системи реалізовано засоби ведення обліку державних службовців за формою П2-ДС (система «Картка»), їх доведено до всіх центральних органів виконавчої влади, Автономної Республіки Крим і обласних, Київської і Севастопольської міських державних адміністрацій. Супроводжується централізована база даних на державних службовців І-III категорій.

8) Контроль за дотриманням вимог щодо виконання службових обов'язків, правил поведінки державного службовця та спеціальних обмежень

Окрема стаття Закону «Про державну службу» визначає етичні норми поведінки державних службовців. Вони повинні сумлінно виконувати свої службові обов'язки, шанобливо ставитись до громадян, керівників і співробітників, дотримуватися високої культури спілкування, не допускати дій і вчинків, які можуть зашкодити інтересам державної служби чи негативно вплинути на репутацію державного службовця. Забороняється виявляти бюрократизм, упередженість або прихильність до будь-якого підприємства, установи, організації, органу, об'єднання громадян або конкретної особи. [8]

У жовтні 2006 року прийнято Загальні правила поведінки державного службовця, які є узагальненням стандартів поведінки та доброчесності державних службовців. Спершу їх було розглянуто і схвалено Координаційною радою з питань державної служби при Президентові України. Правила враховують положення Рекомендацій Комітету міністрів Ради Європи.

З введенням в дію Закону України «Про боротьбу з корупцією», інших програмних і нормативних документів з цього питання унормовано повноваження Головдержслужби України щодо аналізу порушень, розробки заходів і надання методичної допомоги у запобіганні корупційним проявам, контролю за дотриманням цього законодавства в органах державної влади та місцевого самоврядування. Реалізація цих функцій регулюється Порядком проведення службового розслідування, який затверджено постановою Кабінету Міністрів України, та порядком проведення Головдержслужбою перевірок.

4.3 Напрями ефективного використання персоналу у державних організаціях

Розробка концептуальних засад і на їх базі сучасної державної кадрової політики є об'єктивною потребою та важливою умовою успішного реформування адміністративної системи України, переходу до демократичних принципів управління соціальними процесами та ринкових умов господарювання.

Головною метою державної кадрової політики є прогнозування та програмування кадрового забезпечення, визначення стратегічного бачення формування, професійного розвитку та раціонального використання кадрів, всіх трудових ресурсів України.

Формування державної кадрової політики - досить складний та багатогранний процес, в якому взаємодіють об'єктивні та суб'єктивні фактори. Він включає в себе послідовне здійснення законодавчих, організаційно-управлінських, науково-дослідних та інших заходів. У ході реалізації всього спектру заходів важливо зберегти оптимальне співвідношення новацій та спадкоємності, перспективності та прагматизму. Кадри є найбільш стабільним соціальним елементом суспільства й держави, носієм їх традицій та досвіду. Саме кадри державної служби мають зберігати ці якості навіть при зміні суспільно-політичного спрямування державних інститутів та їх структури. [8]

У кадрових процесах потрібно відрізняти стратегію - «кадрову політику» від тактики - «кадрової роботи». Кадрова робота - це діяльність багатьох суб'єктів з реалізації кадрової політики (сукупність технологій, способів, механізмів її реалізації; це організація роботи з кадрами).

Під державною кадровою політикою (де суб'єктом виступає держава) розуміють державну стратегію, що виражає волю народу, політичний курс роботи з кадрами на загальнодержавному рівні, стратегію формування, розвитку та раціонального використання кадрів, всіх людських ресурсів держави.

Тільки на загальнодержавному рівні кадрова політика, як частина державної політики в цілому, є інтегральним відображенням групових, місцевих, корпоративних та інших інтересів, стає власне політичною стратегією. У структурно-змістовному значенні державна кадрова політика – це система офіційно визнаних цілей, задач, пріоритетів і принципів діяльності держави з організації та регулювання кадрових процесів і відносин. Ці принципи, в свою чергу, визначають і головні критерії оцінки кадрів, шляхи удосконалення підготовки, перепідготовки та підвищення кваліфікації персоналу, раціонального використання кадрового потенціалу держави. Кадрова політика як наука покликана на основі ідей, принципів, критеріїв відображати виявлені закономірності розвитку реальних кадрових процесів, стійкі зв'язки та відносини, що надають їм певну якісну характеристику, визначають основні риси і принципи кадрової роботи. У той же час державна кадрова політика суб'єктивна за формами, механізмами, технологіями відбиття та реалізації, що в основному визначається суб'єктивними діями окремих осіб - лідерів, керівників державних структур, залежить від образу мислення. Тому важливо на концептуальному рівні захистити її від проявів волюнтаризму, вольового адміністрування.

Державна кадрова політика та діяльність щодо її реалізації-це процес, що свідомо регулюється цілеспрямованим і високо організованим інструментом влади (правовими актами), одним із найважливіших управлінських важелів. Державна кадрова політика пов'язує в єдине ціле різні організаційні заходи і дії стосовно підбору та розстановки керівних кадрів із соціально-економічними, політичними, управлінськими, культурно-духовними підсистемами українського суспільства, з традиціями та стереотипами, що історично склалися в масовому усвідомленні. У цьому значенні кадрова політика держави є сукупністю різноманітних соціальних функцій; визначає шляхи і засоби кадрового забезпечення реформ, професіоналізм їх здійснення; є важливим фактором збереження та зміцнення цілісності держави, соціально-політичної стабільності суспільства і виступає елементом регулювання життєдіяльності населення. [45]

Об'єктом свого впливу держава вважає весь кадровий потенціал суспільства, всі людські ресурси. Разом з тим об'єктом безпосереднього державного управління є кадри державної служби, які складають основу апаратів органів державної влади. Механізми управління державними службовцями на .відміну від процесів організації кадрового потенціалу виробничих, підприємницьких, фінансово-банківських структур мають свої особливості і жорстко регламентуються системою нормативно-правових актів держави, що обумовлює необхідність побудови чіткої схеми супроводження системи роботи з кадрами. Конституцією України визначено курс на розбудову демократичної, правової, соціальної держави, яка спрямовує свою діяльність на становлення соціальне орієнтованої ринкової економіки та демократичних інститутів за умов розвитку всіх форм власності. Курс на розбудову саме такої держави визначає необхідність підготовки нового типу управлінських кадрів, образ мислення та стиль діяльності яких відрізняється від працівників органів адміністративно-командної системи, а їх кількість і рівень професіоналізму визначається змістом процесів з управління відповідними секторами соціально-економічного механізму держави, який має отримати свій адекватний і детермінований вираз у вимогах до осіб, що займають керівні посади, їх посадових положень та інструкцій, і який закріплено як стандарт у відповідних професійно-кваліфікаційних характеристиках посад державних службовців, оптимізованих на підставі аналізу функціональної доцільності діяльності управлінського апарату. Кадрова політика не повинна бути вузькопрагматичною, розрахованою лише на кадрове забезпечення вирішення поточних задач, а має враховувати тенденції реформування держави та суспільства. Необхідно розробляти одночасно кадрову політику і сьогодення, і майбутньої держави, коли в умовах перехідного періоду діють і старі структури управління економікою, сформований в умовах адміністративно-командної системи кадровий корпус зі своїм мисленням, традиціями, досвідом, і складаються нові, притаманні ринковим відносинам і демократії управлінські структури, формується нове покоління кадрів. Цей підхід має визначати динамізм державної кадрової політики.

Сьогодні необхідно знайти в кадрах та кадрових процесах те, що об'єднує минуле, сучасне та майбутнє, забезпечує успадкування позитивного досвіду. Багато корисного в роботі з кадрами є за кордоном. У той же час відзначимо, що високоефективні на Заході технології вирішення кадрових питань (в умовах високої соціальної забезпеченості багатьох категорій кадрів, демократизму та правового регулювання кадрових процесів, традицій, вимог суспільної думки) не завжди можуть бути перенесені на український ґрунт без урахування наших традицій, національних особливостей.

За останній час в Україні кадрова робота зазнала суттєвих змін; в ній відзначається більше цілеспрямованості, послідовності, і все ж таки є підстави визнати, що першочерговими питаннями адміністративної реформи залишаються покращення кадрового забезпечення державного управління, підвищення рівня його професіоналізму та компетентності.

Для досягнення позитивного результату у формуванні якісного кадрового забезпечення системи державної служби державна кадрова політика має бути:

- науково обґрунтованою, реалістичною, творчою, такою, що враховує потреби суспільства в кадрах, послідовність і етапність вирішення стратегічних завдань, орієнтованою на відродження та стійкий розвиток країни, на залучення до служби професійно підготовлених осіб, ініціативних, з новаторськими творчими спрямуваннями та мотиваціями;

- комплексною, що базується на поєднанні цілей, принципів, форм і методів роботи з кадрами, враховуючою різноманітні аспекти вирішення кадрових питань (економічні, соціальні, політичні, моральні, соціально-психологічні тощо);

- єдиною для всієї України, але багаторівневою (з урахуванням вимог до центрального і регіонального рівнів), яка охоплює весь кадровий корпус усі кадрові процеси при використанні різноманітних механізмів державного впливу на них;

- перспективною, що має упереджу вальний та випереджаючий характер, враховує соціальний прогрес, зміни в характері праці та управлінських процесах;

- демократичною відносно цілей, соціальної бази та механізмів вирішення кадрових проблем;

- духовно-моральною, спрямованою на формування в кожному державному службовці людяності, чесності, впевненості у правоті та громадянської відповідальності за доручену справу та особисту поведінку;

- правовою, що здійснюється в межах і на основі закону, що створює правові гарантії об'єктивного та справедливого вирішення кадрових питань.

Саме ці риси, які можна вважати принципами - реалістичність, творча спрямованість, комплексність, демократичність, гуманізм, законність, - надають державній кадровій політиці цілісність і сутнісну визначеність, однозначність і єдність у межах усієї держави, створюють можливість Ті впливу на всі кадрові процеси, на всіх суб'єктів кадрової роботи, виступають базою їх взаємодії. [8]

РОЗДІЛ 5. ОХОРОНА ПРАЦІ ТА ЦИВІЛЬНА ОБОРОНА

5.1 Державне управління охороною праці

Система управління охороною праці (СУОП) - це сукупність органів управління підприємством, які на, підставі комплексу нормативної документації проводять цілеспрямовану, планомірну діяльність щодо здійснення завдань і функцій управління з, метою забезпечення здорових, безпечних, і високопродуктивних і умов, праці. Створення. СУОП здійснюється шляхом послідовного визначення мети і об'єкта управління, завдань і заходів щодо охорони .праці, функцій і методів управління, побудови організаційної структури управління, складання нормативно-методичної документації. Головна мета управління охороною праці є створення здорових, безпечних високопродуктивних умов праці, покращення виробничого побуту, запобігання травматизму і профзахворюванням. [23]

В спрощеному вигляді СУОП представляє собою сукупність органа (суб'єкта) та об'єкта управління, що зв'язані між собою каналами передачі інформації. Суб'єктом управління в СУОП на підприємстві в цілому є керівник (головний інженер), а в цехах; на виробничих дільницях і в службах - керівники відповідних структурних підрозділів і служб. Організаційно-методичну роботу по управлінню охороною праці, підготовку, управлінських рішень і контроль за їх своєчасною реалізацією здійснює служба охорони праці підприємства, що підпорядкована безпосередньо керівнику підприємства (головному інженеру). Суб'єкт управління аналізує інформацію про стан охорони праці структурних підрозділах підприємства та приймає рішення спрямовані. на приведення фактичних показників охорони праці у відповідність з нормативними. Об'єктом управління в СУОП є діяльність структурних підрозділів та служб підприємства до забезпеченню безпечних і здорових умов праці на робочих місцях, виробничих дільницях, цехах та підприємства в цілому.

Охорона праці базується .на законодавчих, директивних та нормативно-технічних документах. При управлінні охороною праці не повинні прийматись рішення та здійснюватись; заходи, що суперечать діючому законодавству, державним нормативним;актам про охорону праці, стандартам безпеки праці, правилам та. нормам охорони праці.

До основних функцій управління охороною праці, належать:

- прогнозування і планування робіт, їх фінансування;

- організація та координація робіт;

- облік показників стану умов і безпеки праці;

- аналіз та оцінка стану умов і безпеки праці;

- контроль за функціонуванням СУОП;

- стимулювання, роботи по вдосконаленню, охорони праці.

Основні-завдання управління охороною праці:

- навчання працівників безпечним, методам праці та пропаганда питань охорони праці;

- забезпечення безпечності технологічних процесів, виробничого, устаткування, будівель і споруд;

- нормалізація санітарно-гігієнічних умов праці;

- забезпечення працівників засобами;індивідуального захисту;

- забезпечення оптимальних режимів праці та відпочинку;

- організація лікувально-профілактичного обслуговування;

- професійний добір працівників з окремих професій;

- удосконалення нормативної бази з питань охорони праці.

Планування роботи з охорони праці. Функція планування, в основі якої лежить прогнозтичний аналіз, має вирішальне значення в системі управління охороною праці. Планування роботи з охорони праці поділяється на перспективне, поточне та оперативне.

Перспективне планування вміщує найбільш важливі, трудомісткі і довгострокові за терміном виконання заходи з охорони праці, виконання яких, як правило, вимагає сумісної роботи кількох підрозділів підприємства. Можливість виконання заходів перспективного плану повинна бути підтверджена обгрунтованим розрахунком необхідного матеріально - технічного забезпечення і фінансових витрат з зазначенням джерел фінансування. Основною формою перспективного планування роботи з, охорони праці є розроблення комплексного плану підприємства щодо .покращення стану охорони праці.

Поточне планування здійснюється у межах календарного року через розроблення відповідних заходів у розділі „Охорона праці" колективного договору.

Оперативне планування роботи з охорони праці здійснюється за підсумками контролю стану охорони праці в структурних підрозділах і на підприємстві в цілому. Оперативні заходи щодо усунення виявлених недоліків зазначаються безпосередньо у наказі власника підприємства, який видається за підсумками контролю, або у плані заходів, як додатку до наказу. [23]

Відповідно до ст.37 Закону України „Про охорону праці”. державне управління охороною праці в Україні здійснюють:

- Кабінет міністрів України;

- Комітет по нагляду за охороною праці Міністерства праці та соціальної політики України;

- міністерства та інші центральні органи державної виконавчої влади;

- місцева державна адміністрація, місцеві Ради народних депутатів;

- асоціації, концерни, корпорації та інші об’єднання підприємств.

Закон містить норми прямої дії, що визначають обов’язки, права та повноваження кожного з цих органів.

Компетенція Кабінету Міністрів України в галузі охорони праці. Кабінет Міністрів України:

- забезпечує реалізацію державної політики в галузі охорони праці;

- визначає функції міністерств, інших центральних органів державної виконавчої влади щодо створення безпечних і нешкідливих умов праці та нагляду за охороною праці;

- визначає порядок створення і використання державного, галузевих і регіональних фондів охорони праці.

Основні завдання, які покладаються на Комітет по нагляду за охороною праці (Держнаглядохоронпраці) Міністерства праці та соціальної політики України:

- комплексне управління охороною праці;

- державний нагляд за додержанням вимог законодавчих та інших нормативно-правових актів щодо безпеки, гігієни праці та виробничого середовища, а також за проведенням робіт, пов’язаних з геологічним вивченням надр, їх охороною і використанням, переробкою мінеральної сировини;

- координація робіт з профілактики травматизму невиробничого характеру;

- проведення експертизи проектної документації та видача дозволів на введення в експлуатацію нових і реконструйованих підприємств, об’єктів і засобів виробництва;

- координація науково-дослідних робіт з питань охорони праці та підвищення ефективності державного нагляду за охороною праці, контроль за їх виконанням, державне замовлення наукових досліджень з цих питань;

- встановлення та розвиток міжнародних зв’язків з питань нагляду за охороною праці.

Рішення Держнаглядохоронпраці, прийняті в межах його повноважень, є обов’язковими для виконання центральними та місцевими органами виконавчої влади, органами місцевого самоврядування, підприємствами, установами і організаціями всіх форм власності та громадянами.

Повноваження міністерств та інших центральних органів державної виконавчої влади в галузі охорони праці:

- проведення єдиної науково-технічної політики в галузі охорони праці;

- розробка і реалізація комплексних заходів щодо покращення безпеки, гігієни праці і виробничого середовища в галузі;

- здійснення методичного керівництва діяльністю підприємств галузі з охорони праці;

- укладання з відповідними галузевими профспілками угоди з питань покращення умов і безпеки праці;

- фінансування опрацювання і перегляду нормативних актів про охорону праці;

- організація у встановленому порядку навчання і перевірки знань та норм охорони праці керівними працівниками і спеціалістами галузі;

- створення при необхідності професійних воєнізованих аварійно-рятувальних формувань, що діють відповідно до типового положення, затвердженого Держнаглядохоронпраці;

- здійснення внутрівідомчого контролю за станом охорони праці.

Для координації, вдосконалення роботи по охороні праці і контролю за цією роботою в центральному апараті міністерств та інших центральних органах державної виконавчої влади створюються служби охорони праці.

Повноваження місцевих державних адміністрацій ,та Рад народних депутатів у-галузі охорони праці. Місцеві державні адміністрації і Ради народних депутатів у межах відповідної території:

- забезпечують реалізацію державної політики в галузі охорони праці;

- формують, за участю .профспілок ^програми заходів з питань безпеки, гігієни праці і виробничого середовища, що мають міжгалузеве значення;

- організовують, при необхідності регіональні аварійно-рятувальні формування;;

- здійснюють контроль за додержанням нормативних актів про охорону праці;

- створюють при необхідності фонди охорони праці.

Для виконання названих функцій місцеві органи влади створюють відповідні структурні підрозділи.

Повноваження об'єднань підприємств у галузі охорони праці. Повноваження в галузі охорони праці асоціацій, корпорацій, концернів та інших об'єднань визначаються їх статутами або договорами між підприємствами, які утворили об'єднання. Для виконання делегованих об'єднанню функцій, в його апараті створюються служби охорони праці.

Контроль за станом охорони праці. Дійове управління охороною праці можна здійснювати тільки при наявності повної, своєчасної і вірогідної інформації про стан охорони праці. Одержати таку інформацію, виявити можливі відхилення від норм безпеки, а також перевірити виконання планів та управлінських рішень можна тільки на підставі регулярного та об'єктивного контролю. Тому контроль стану охорони праці є найбільш відповідальна та трудомістка функція процесу управління.

До основних форм контролю за станом охорони праці належать: оперативний контроль; контроль, що проводиться службою охорони праці підприємства; громадський контроль; адміністративно-громадський трьохступеневий контроль; відомчий контроль вищих органів. Необхідно зазначити, що крім контролю, здійснюється-нагляд за охороною праці з боку державних та профспілкових інспекцій.

Оперативний контроль з боку керівників робіт і підрозділів підприємства проводиться згідно із затвердженими посадовими обов'язками.

Служба охорони праці контролює виконання вимог безпеки праці у всіх структурних підрозділах та службах підприємства.

У справі створення здорових та безпечних умов праці значна роль відводиться громадському контролю, який здійснюється комісією з питань охорони праці підприємства та громадськими інспекторами з охорони праці.

Адміністративно-громадський трьохступеневий контроль проводиться на трьох рівнях. На першій ступені контролю начальник виробничої Дільниці (майстер); спільно .з громадським інспектором профгрупи щоденно перевіряють стан охорони праці на виробничій дільниці. На другій ступені - начальник цеху спільно з громадським інспектором та спеціалістами відповідних служб цеху (механік, електрик, технолог) два рази в місяць перевіряють стан охорони праці згідно з затвердженим графіком. На третій ступені контролю щомісячно (згідно із затвердженим графіком) комісія підприємства під головуванням керівника (головного інженера) перевіряє стан охорони праці на підприємстві. До складу комісії входять: керівник служби охорони праці, голова комісії з охорони праці профкому, керівник медичної служби, працівник пожежної охорони та головні спеціалісти підприємства (технолог, механік, енергетик). Результати роботи комісії фіксуються в журналі трьохступеневого контролю-і розглядаються на нараді. .За результатами наради видається наказ по. підприємству.

Облік, аналіз та оцінка показників охорони праці та функціонування СУОП направлені (відповідно до одержаної інформації) на розробку та прийняття управлінських рішень керівниками усіх рівнів управління (від майстра дільниці до керівника1 підприємства). Суть даної функції полягає у системному обліку показників стану охорони праці, в аналізі одержання даних та узагальненні причин недотримання вимог законодавчих та. нормативних документів, а також причин невиконання планів з охорони праці з розробкою заходів, направлених на усунення виявлених недоліків. Аналізуються матеріали: про нещасні випадки та професійні захворювання; результати всіх видів контролю за станом охорони праці; дані паспортів санітарно-технічного стану умов праці в цеху (на дільниці); матеріали спеціальних обстежень будівель, споруд, приміщень, обладнання та ін. В результаті обліку, аналізу та оцінки стану охорони праці вносяться доповнення та уточнення до оперативних, поточних та перспективних планів роботи з охорони праці, а також - по стимулюванню діяльності окремих структурних підрозділів, служб, працівників за досягнуті показники охорони праці.

Стимулювання діяльності з охорони праці направлено на створення зацікавленості працівників в забезпеченні здорових та безпечних умов праці. Відповідно до ст. 29 Закону України „Про охорону праці" до працівників, підприємств можуть застосовуватися будь-які заохочення за. активну участь та ініціативу у здійсненні. заходів щодо підвищення безпеки та покращення умов праці. Стимулювання передбачає моральні та матеріальні заохочення. До числа останніх належать: премії, винагороди за виконану конкретну роботу, винахідництво та раціоналізаторські пропозиції з. питань охорони праці. Джерелом стимулювання діяльності з охорони праці є фонди охорони праці. [23]

5.2 Укриття населення в захисних спорудах

Захисні споруди призначені для захисту людей від наслідків аварій (катастроф), стихійних лих, а також від уражаючих факторів ЗМЗ та звичайних засобів нападу дії вторинних уражаючих факторів. Захисні споруди поділяються за:

місткістю:

- малої місткості (150-600 осіб);

- середньої місткості (600-2006 осіб);

- великої місткості (більше 2006 осіб);

призначенням:

- для захисту населення;

- для розміщення органів управління (КП, ПУ, ВЗ) і медичних установ;

місце розташуванням:

- вбудовані;

- окремо стоячі;

- метрополітени;

- у гірських виробках;

термінами будівництва:

- збудовані завчасно;

- швидко збудовані;

захисними властивостями:

- сховища;

- протирадіаційні укриття (ПРУ);

- найпростіші укриття – щілини (відкриті та перекриті).

Сховища забезпечують надійний захист людей від уражаючих факторів (високих температур, шкідливих газів у зонах пожеж, вибухонебезпечних, радіоактивних і сильнодіючих отруйних речовин, обвалів та уламків зруйнованих і сильнодіючих отруйних речовин, обвалів та уламків зруйнованих будівель і споруд та інше), а також ЗМЗ і звичайних засобів нападу. [16] Протирадіаційні укриття, в основному, забезпечують захист людей від радіоактивного зараження, світлового опромінення, а також зменшують дію ударної хвилі і проникаючої радіації. Крім того, вони захищають від крапельно-рідинних отруйних речовин і частково від хімічних та біологічних аерозолів. Найпростіші укриття зменшують радіуси ураження людей ударною хвилею, послаблюють дію радіоактивних випромінювань та ураження світловим випромінюванням.

Сховища за своїми захисними властивостями поділяються на чотири класи, що можна побачити в таблиці 4.1.

Таблиця-4.1.

Тип

А-1

А-ІІ

А-ІІІ

А-ІV

∆Рф (кг\см2)

5 та більше

3

2

1

Кз (осл.)

5000 та більше

3000

2006

1000


При класифікації враховуються дві характеристики:

- ступінь захисту від надлишкового тиску ( Р кг/см2), який залежить від міцності будівельних конструкцій;

- коефіцієнт захисту (ослаблення) за радіоактивним випромінюванням Кз (Косл.) показує в скільки разів рівень радіації у захисній споруді менший, ніж ззовні. Він залежить від шару і властивостей матеріалу, що вкриває захисну споруду.

Здатність будівельного матеріалу ослаблювати потік радіоактивних випромінювань характеризується товщиною шару половинного послаблення матеріалу - тобто такого, що зменшує інтенсивність радіоактивних випромінювань у два рази. Для різних матеріалів ця характеристика різна.

Сховища повинні будуватися з урахуванням наступних основних вимог:

- забезпечувати безперервне перебування в них людей не менше 2 діб;

- будуватися на ділянках, які не можуть бути затоплені;

- бути на відстані від мереж водостоку і каналізації;

- не дозволяється прокладання транзитних інженерних комунікацій через сховище (стислого повітря, гарячого водопостачання, газо- та паропроводів);

- прокладання трубопроводів каналізації та водопостачання допускається при наявності вимикаючих пристроїв;

- мати входи і виходи з тим ступенем захисту, що й основні приміщення, а на випадок завалу - мати аварійний вихід.

до основних відносяться:

- приміщення для захищених;

- пункти управління;

- медичні кімнати.

До допоміжних відносяться:

- тамбур-шлюзи;

- фільтровентиляційні приміщення;

- санітарні вузли;

- приміщення для зберігання води та продуктів харчування та інші.

На об'єктах, де НПЗ менше 600 осіб, окреме приміщення для ПУ не передбачається. У приміщенні для захищених, в одному зі сховищ, встановлюється телефон для зв'язку з місцевим штабом ЦО.

Медичний пункт. У сховищах місткістю 800—1200 осіб передбачається кімната Sn = 9 м2 і додатково 1 м2 на кожні 100 осіб. У захисних спорудах, де медична кімната не передбачається, на кожні 500 захищених обладнується 1 санітарний пост Sn = 2 м2, але не менше одного на сховище. В сховищах у необхідній кількості розміщаються обладнання, меблі, прилади, інструменти, ремонтні матеріали, протипожежне і медичне майно.

Входи повинні забезпечувати можливість швидкого та безпечного заповнення сховища. Кожне сховище повинно мати не менше двох входів, один з яких обладнується як аварійний. У сховищах місткістю більше 300 осіб передбачається тамбур-шлюз, з місткістю більше 600 осіб - двокамерний тамбур-шлюз. Площа тамбур-шлюза 8—10 м2.

Аварійний вихід для вбудованих укрить обладнується підземною галереєю (0,5 × 1,3), яка виходить на територію, що потенційно не завалюється уламками будівель та обладнується оголовками.

Система постачання повітря забезпечує вентиляцію приміщень захисної споруди та очистку зовнішнього повітря від радіоактивних, отруйних речовин і бактеріальних засобів. До її складу входять: оголовки, повітрозабірні та противибухові пристрої, а також предфільтри, фільтри, вентилятори, гермоклапани, і пристрої регенерації і кондиціювання повітря.

ФВУ розміщують у окремому приміщенні. В невеликих сховищах (до 300 осіб) ФВУ можуть розміщуватися безпосередньо у приміщенні для захищених.

- Постачання повітря у сховища за допомогою фільтровентиляційних систем (ФВ) може здійснюватися за режимом чистої вентиляції, коли повітря очищується тільки від пилу за допомогою протипилових фільтрів.

У місцях сховищ, де можлива загазованість приземного шару повітря СДОР і продуктами горіння, слід передбачити режим ізоляції і регенерації внутрішнього повітря з утворенням підпору. Для цього використовуються регенераційна установка для поглинення СО і балони з киснем.

Водопостачання і каналізація здійснюється від зовнішньої мережі. Норма при діючій мережі 2 л/год./чол., але не більше 25 л/добу. За відсутності водопроводу передбачається запас питної води на три доби при нормі 3 л/доб./чол., у ПРУ - 2 л/доб:/чол.

Каналізація самотічна, або з перекачуванням у загальну систему. Санітарні вузли будуються окремо для чоловіків та жінок за нормами: 1 чаша на 75 жінок (150 чоловіків), умивальник на 200 осіб. При виході з ладу водопроводу санітарні прилади вимикаються, а для збору фекалій передбачаються резервуари з розрахунку 2 л/доб./чол., а для сухих відходів - 1 л/доб./чол. При наявності ДЕС передбачається запас води (4 м3) на випадок пожежі.

Електропостачання та опалення здійснюється від зовнішніх джерел постачання. Для аварійного забезпечення великих захисних споруд передбачається ДЕС, які.

повинні розміщуватися в окремих приміщеннях та відокремлюються від основних приміщень незгораючою стінкою. У невеликих захисних спорудах передбачається аварійне освітлення від переносних електричних ліхтарів та інших джерел.

Опалення проектується від загальної системи опалення. У неопалювальних приміщеннях слід передбачити установку опалювальних засобів. При заповненні сховища системи опалення вимикаються.

Запас харчів. У сховищах передбачається на 2 доби, виходячи з норми:

- сухарі - 300 г;

- консерви - 170 г (м’ясні), або 200 г (м’ясорослинні), або 250 г (рибні);

- цукор - 50 г.

Швидкоспоруджувані укриття. При недостатній місткості завчасно побудованих укрить будуються швидкоспоруджувані. У них теж передбачаються приміщення для захищених, простіше фільтровентиляційне обладнання, санвузли, запаси води. Для будівлі швидкоспоруджуваних укрить використовується срібний залізобетон, елементи підземних колекторів. Будівлю таких споруд планують завчасно стосовно до умов того чи іншого об'єкта. Для цього необхідно мати відповідну документацію. Типове швидкоспоруджуване сховище будується за 24 години.

При пристосуванні споруд різного характеру під укриття проводиться три види робіт:

- герметизація приміщень для зменшення попадання туди радіоактивного пилу. Для цього проконопачують і замазують глиною тріщини, герметизують двері, вікна за допомогою гуми, поліетиленової плівки тощо;

- посилення захисних властивостей споруди. Цього можна досягнути розміщенням на перекриттях додаткового шару ґрунту, або обкладання стін мішками із землею;

- улаштування найпростішої вентиляції. Як правило, у зв'язку з відсутністю, промислових вентиляторів, у спорудах обладнують природну (самотічну) вентиляцію. При цьому витяжний короб повинен бути встановлений на 1,5—2 м вище за припливний.

Найпростіші укриття будуються у місцях скупчення людей, на маршрутах евакуації та тимчасово в заміській зоні, коли кількість наявних сховищ не забезпечує потрібну кількість людей, а оскільки найпростіші укриття лише зменшують радіус ураження людей ударною хвилею і послаблюють дію радіоактивного випромінювання та ураження світловим випромінюванням, але не забезпечують захист від отруйних речовин та бактеріальних засобів, то при наявності часу вони поступово переобладнуються у ПРУ.

Захисна споруда повинна завжди знаходитися у готовності до прийому людей. Поняття готовності захисної споруди включає в себе комплекс вимог, яким повинні відповідати сучасні сховища і укриття для забезпечення захисту людей. Найважливішими з цих вимог є:

- цілісність конструкцій та обладнання;

- надійна герметизація споруд і наявність систем повітропостачання;

- оснащення сховищ і укрить санітарно-технічним і іншим обладнанням, контрольно-вимірювальними приладами, забезпеченість запасами води;

- справність систем внутрішнього обладнання, приладів і пристроїв, наявність потрібного оснащення інвентарю, інструкції та іншої документації з експлуатації та інше;

- підготовленість обслуговуючого персоналу;

- належний санітарний стан приміщень.

Коли захисні споруди не використовуються за своїм призначенням, вони можуть використовуватись для потреб для потреб господарства.

Використання захисних споруд не за призначенням не повинно порушувати захисні властивості споруди. Для цього забороняється демонтаж обладнання ЗС, перепланування приміщень, улаштування дірок та пройомів в огороджувальних конструкціях та інші порушення захисних властивостей і герметизації. Всі приміщення повинні бути сухими, регулярно провітрюватись. Захисно – герметичні двері повинні бути .відкритими, знаходитись на підставках. Повинна забезпечуватись придатність ЗС до приведення у готовність (24 год.) [16]

ВИСНОВКИ

Удосконалення складу корпусу державних службовців має передбачати залучення на державну службу обдарованої і талановитої молоді, фахівців, які мають неординарні підходи до управлінської роботи, успішно захистили наукові .дисертації з питань державного управління. Необхідно передбачити шляхи реалізації постійної селекційної роботи серед молоді, яка знаходиться на різних щаблях системи освіти. Це потребує як окремого фінансового забезпечення, так і внесення відповідних змін у роботу викладацького складу всієї системи освіти, де пріоритетом має стати орієнтація на кращих, створення ситуації «гонки за лідером».

Сформульовані підходи потребують суттєвого попереднього опрацювання, виважених кроків у запровадженні і, таким чином, мають бути предметом системного дослідження вимог до державної служби, що покладається на наукову програму дослідження розвитку державної служби та вдосконалення кадрового забезпечення державної служби в Україні.

За останній час в Україні кадрова робота зазнала суттєвих змін; в ній відзначається більше цілеспрямованості, послідовності, і все ж таки є підстави визнати, що першочерговими питаннями адміністративної реформи залишаються покращення кадрового забезпечення державного управління, підвищення рівня його професіоналізму та компетентності. [8]

Для досягнення позитивного результату у формуванні якісного кадрового забезпечення системи державної служби державна кадрова політика має бути:

- науково обґрунтованою, реалістичною, творчою, такою, що враховує потреби суспільства в кадрах, послідовність і етапність вирішення стратегічних завдань, орієнтованою на відродження та стійкий розвиток країни, на залучення до служби професійно підготовлених осіб, ініціативних, з новаторськими творчими спрямуваннями та мотиваціями;

- комплексною, що базується на поєднанні цілей, принципів, форм і методів роботи з кадрами, враховуючою різноманітні аспекти вирішення кадрових питань (економічні, соціальні, політичні, моральні, соціально-психологічні тощо);

- єдиною для всієї України, але багаторівневою (з урахуванням вимог до центрального і регіонального рівнів), яка охоплює весь кадровий корпус усі кадрові процеси при використанні різноманітних механізмів державного впливу на них;

- перспективною, що має упереджу вальний та випереджаючий характер, враховує соціальний прогрес, зміни в характері праці та управлінських процесах;

- демократичною відносно цілей, соціальної бази та механізмів вирішення кадрових проблем;

- духовно-моральною, спрямованою на формування в кожному державному службовці людяності, чесності, впевненості у правоті та громадянської відповідальності за доручену справу та особисту поведінку;

- правовою, що здійснюється в межах і на основі закону, що створює правові гарантії об'єктивного та справедливого вирішення кадрових питань.

Саме ці риси, які можна вважати принципами - реалістичність, творча спрямованість, комплексність, демократичність, гуманізм, законність, - надають державній кадровій політиці цілісність і сутнісну визначеність, однозначність і єдність у межах усієї держави, створюють можливість їі впливу на всі кадрові процеси, на всіх суб'єктів кадрової роботи, виступають базою їх взаємодії.

СПИСОК ВИКОРИСТАНИХ ДЖЕРЕЛ

1.Конституція України: Прийнята на п’ятій сесії Верховної Ради України 28 червня 1996 р. - К.: Україна, 1996. - с. 80.

2.Закон України “Про зайнятість населення”. від 21 листопада 1997р. // Відомості Верховної Ради - № 665/97 - 1997р.

3.Закон України “Про загальнообов’язкове державне соціальне страхування на випадок безробіття” від 2 березня 2006р. № 1533 - 111.

5.Положення про державну службу зайнятості (затверджено постановою Кабінету Міністрів України від 24 червня 1991р. № 47).

4.Положення про порядок надання безпроцентної позики безробітним для зайняття підприємницькою діяльністю (затверджено постановою Кабінету Міністрів України від 27 квітня 1998р. № 578).

6.Положення про порядок реєстрації, перереєстрації та ведення обліку громадян, які шукають роботу, і безробітних, виплати допомоги в період професійної підготовки та перепідготовки (затверджено постановою Кабінету Міністрів України від 27 квітня 1998р. № 578).

7.Положення про порядок бронювання на підприємствах, в організаціях і установах робочих місць для працевлаштування громадян, які потребують соціального захисту (затверджено постановою Кабінету Міністрів України від 27 квітня 1998р. № 578).

8.Актуальні проблеми державного управління: Збірник наукових праць. - Х: Вид-во ХарРІ УАДУ “Магістр”, 2009. - №1(15). - 180с.

9.Андрієнко В.Ф. Вирішення проблеми безробіття: звітує фонд // Соціальний захист. - 2008. - № 12. - с. 21-22.

10.Базилюк А.В. Участь державної служби зайнятості у підтримці розвитку малого та середнього бізнесу Харківської області // Соціальний захист. - 2008. - № 10. - с. 18-23.

11.Бандур С.І. Активні програми служби зайнятості та її вплив на ринок праці і безробіття в Україні // Регіональна економіка. - 2007. - № 2. - с. 196-201.

12.Богиня Д.П. Трудовий потенціал України: Соціально-демографічний аспект. - Львів, 1996. - 220с.

13.Борисенко В. Оплачувальні громадські роботи // Робота. - 2008. - № 4(116). - с. 2-3.

14.Бугуцький О.А. Нормативно - правові аспекти реформування системи соціального захисту населення // Вісник УАДУ. - 2007. - № 3. - с.3.

15.Васильченко В.С. Ринок праці та зайнятість: (навч. посібник). - К.: НДЦ ПЗРП, 1998. - 28с.

16.Депутат О.П., Коноваленко І.В., Мужик І.С. Цивільна оборона: Навч. посібник / За ред. полковника В.С. Франчука - Львів: Афіша, 2006. - 350с.

17.Діденко Я. Формування ефективної державної політики зайнятості в Україні // Україна: аспекти праці. - 2008. - №2. - с. 3-8.

18.Дідківська Л.І., Головко Л.С. Державне регулювання економіки: Навч. посіб. - К.: Знання-Прес, 2006. - 209с.

CAPut!’.Дмитренко Г.А. Єдина технологія обслуговування в центрах зайнятості // Соціальний захист. - 2007. - № 3. - с. 20-22.

20.Долішній М.І., Алупко С.М. Соціально-трудовий потенціал: теорія і практика. - Ч. 1,2. - К.: Наук. думка,2005. - 234с.

21.Дорогунцов С., Сологуб О. Структурні зрушення у сфері зайнятості // Україна: аспекти праці. - 2006. - №1. - с. 15-17.

22.Дудкін С. М. Прогнозування розвитку ринку праці молодих фахівців в Україні // Україна: аспекти праці. – 2008. - № 3. - с. 8-12.

23.Жидецький В.Ц., Джигирей В.С., Мельников О.В.Основи охорони праці. Підручник. - Вид. 5-те, доповнене. - Львів: Афіша, 2006. - 350с.

24.Кір’ян Т., Шаповал М. Економічні передумови державного регулювання рівня життя населення України // Україна: аспекти праці. - 2008. - №6. - с. 26-30.

25.Колот А. Теоретичні й прикладні аспекти становлення і розвитку сторін соціально - трудових відносин та їх представницьких органів // Україна: аспекти праці. - 2008. - №2. - с. 14-26.

26.Колот А. Проблеми розбудови національної моделі соціально – трудових відносин // Україна: аспекти праці. - 2008. - №5. - с. 23-29.

27.Колот А. Організаційно - економічний механізм регулювання доходів працюючих: шляхи вдосконалення // Україна: аспекти праці. - 2009. - №2. - с. 25-32.

28.Котукова Л. Почни і ти! // Робота. - 2008. - №9(121). - с. 2-3.

29.Краснов Ю.М. Проблеми трудозбереження і підвищення ефективності зайнятості. - К.: Либідь, 2005. - 75с.

30.Лукінов І. Регіональні аспекти соціального захисту населення // Регіональна економіка. - 2006. - №.3. - с. 84-86.

31.Маршавін Ю.Д. Служба зайнятості як інструмент соціального партнерства в регулювання ринку праці і соціальному захисті безробітних // Соціальне партнерство на ринку праці України. - К.: Стилос, 2008. - с. 86.

32.Маршавін Ю. Удосконалення нормативно – правового регулювання зайнятості населення // Україна: аспекти праці. - 2008. - №7. - с. 7-11.

33.Міненко В. Сучасно, масштабно, перспективно // Робота. - 2009. - №1(125). - с. 1-2.

34.Немова Л.А. Роль службы занятости в регулировании рынка труда Украины.// Україна: аспекти праці. - 2006. - №3. - с. 17-21.

35.Никифорова А.А. Ринок труда: занятость и безработица. - М.: Международ. отношения, 2007р. - 312с.

36.Осовська Г.В., Крушельницька О.В. Управління трудовими ресурсами: Навч. посібник. - Житомир: ЖІТІ, 2006. - 304с.

37.Павленков В.А. Рынок труда. - М.: Общество «Анкил», 2005. - 210с.

38.Петрова І. Економіко – правові засади забезпечення зайнятості населення України // Україна: аспекти праці. - 2008. - №6. - с. 8-12.

39.Петюх В.М. Ринок праці: Навч. посібник. - К.: КНЕУ, 2005. - 288с.

40.Петюх В.М. Ринок праці та зайнятість. - К.: МАУП, 1998. - 114с.

41.Ривак О.С. Ринок праці: економічні аспекти: Навч. посіб. - К.: Вид - во ЛФ УАДУ, 2006. - 108с. - Бібліогр.: с. 100 - 104.

42.Рофе А.И., Збышко Б.Г., Ишин В.В. Рынок труда, занятость населения, экономика ресурсов для труда: Учеб. пособие / Под ред. проф. А.И. Рофе. - М.: МИК, 2007. - 312с.

43.Скуратівський В., Палій О., Лібанова Е. Соціальна політика. - К.: Видавництво УАДУ, 1997. - 212с.

44.Суріков Д.В. Проблеми соціального захисту національних меншин в Україні // Соціальний захист. - 2007. - № 3. - с. 30-34.

45.Шаленко М.В. Ринок робочої сили України: становлення і перспективи розвитку // Економіка України. - 2007. - № 3. - с. 3-5.


Не нашли материал для своей работы?
Поможем написать уникальную работу
Без плагиата!
Без нейросетей!