Технологічний процес перевезення вантажів
Технологічний
процес перевезення вантажів
Вступ
транспорт постачальник навантажувальний залізничний
Транспорт - найважливіша ланка у сфері
економічних стосунків. Він бере участь у створенні продукції та доставці її
споживачам, здійснює зв'язок між виробництвом та споживанням, між різними
галузями господарства, між країнами та регіонами.
Транспортна логістика - функціональна сфера
логістики, що оптимізує логістичні операції на шляху матеріального потоку від
постачальника до кінцевого споживача, що здійснюється з застосуванням
транспортних засобів.
Основними принципами, на яких базується
логістика, є цілісність і модульність (складається із окремих елементів),
системний аналіз і зворотні зв’язки (між обладнанням постачання і
відправлення), організація (конкретним чином упорядкування
транспортно-технологічних зв’язків).
Виробнича логістика розглядає процеси, що
відбуваються в сфері матеріального виробництва.
Метою виробничої логістики є оптимізація
матеріальних потоків усередині підприємств, що створюють матеріальні блага або
роблять такі матеріальні послуги, як збереження, фасування, укладання ін.
Характерна риса об'єктів вивчення у виробничій логістиці - їхня територіальна
компактність.
Логістичні системи, що розглядаються виробничою
логістикою, звуться внутрівиробничими логістичними системами. До них можна
віднести: промислове підприємство; оптове підприємство, що має складські
спорудження; вузлову вантажну станцію; вузловий морський порт.
Концепція Just-in-time визначається як
сучасна концепція побудови логістичної системи у виробництві, постачанні і
дистриб’юції, заснована на синхронізації процесів доставки матеріальних
ресурсів і готової продукції в необхідних кількостях на той час, коли ланки
логістичної системи в них бідують, з метою мінімізації витрат, зв'язаних із
створенням запасів.
Логістична концепція JIT характеризується
наступними основними рисами: мінімальними запасами матеріальних ресурсів,
незавершеного виробництва, готової продукції; короткими виробничими і
логістичними циклами; невеликими обсягами виробництва готової продукції й
поповнення запасів; взаєминами по закупівлях матеріальних ресурсів із невеликим
числом надійних постачальників і перевізників; ефективною інформаційною
підтримкою; високою якістю готової продукції і логістичного сервісу.
Транспортно-технологiчнi системи (ТТС) - це форма
органiзаційно-транспортного процесу, що дозволяє ефективно обслyговувати
потреби виробництва. Транспортно-технологiчнi системи можутъ мати регiональне і
значення, а можуть обслyговувати мiждержавнi торговельнi i виробничi зв'язки.
Потреба в перевезеннях вантaжiв, скороченнi
питомих транспортних витрат, забезпеченнi швидкостi, цiлiсностi та регyлярностi
доставки вантaжiв як основної умови ритмiчностi функцiонування суспiльного
виробництва визначає необxiднiсть формування транспортно-технологiчних систем,
якi дозволяють пiдвищити ефективнiстъ транспортного процесу.
Виявлення основних тенденцiй, проблем i
перспектив транспортно-технологiчних систем визначило необxiднiсть аналiзу
розвитку та класифiкацiї транспортно-технологiчних систем.
Метою даної курсової роботи є вивчити і
розрахувати ефективність функціонування транспортних процесів і систем.
1. Характеристика просторово автономної транспортної системи із
сучасних класичних схем вантажопотоків від постачальника до споживача
1.1 Схеми вантажопотоків від постачальника до споживача
Доставка вантажів від виробника до споживача
включає декілька етапів, а саме: накопичення необхідної кількості вантажів на
складах виробництва, концентрацію їх на складах системи матеріально-технічного
постачання та доставку до безпосереднього споживача.
Вантажі можуть бути перевезені від виробника до
споживача з використанням різних варіантів транспортно-технологічних схем
доставки, та за участю одного або декількох видів транспорту.
Доставка продукту до споживача - це діяльність
фірми з реалізації можливостей зробити його більш доступним для покупця.
Головним елементом при цьому є вибір оптимальних схем доставки. Схема доставки
продукту - це шлях, яким він рухається від виробника до споживача.
Спочатку розглянемо одну
схему, коли фірм пропонують свій товар без використання посередницької мережі
(схема 1.1). У цьому разі виробнику необхідно самостійно шукати споживачів,
налагоджувати з кожним контакти, домовлятися про організацію постачання і
вирішувати ще багато інших питань. Це потребує додаткових коштів, а головне -
часу, який можна використати раціональніше.
Схема 1.1. Розподіл товарів без
використання посередницької мережі
Якщо виробник скористається послугами
посередників, таких контактів буде значно менше (схема 1.2). Виробнику
достатньо налагодити один або кілька контактів з посередником, який надалі
займатиметься розподілом товарів між споживачами. Завдяки цьому усуваються
розриви в часі, місці, у праві власності, що відокремлюють товари й послуги від
тих, хто хотів би ними скористатися, і очевидна значна економія коштів.
Схема 1.2. Розподіл товарів через
посередницьку мережу
Існує також схема руху сукупності матеріальних
потоків крізь одного посередника. Коли посередник збирає, зберігає і готує
партії відправок різних матеріальних потоків до якогось окремого споживача,
використовується схема руху сукупності матеріальних потоків (схема 1.3).
Схема 1.3. Схема руху сукупності матеріальних
потоків
Робота різних виробників і різних споживачів
крізь логістичний центр дозволяє: оптимізувати в логістичному центрі запаси
товарів з метою безперебійного їх постачання з мінімальними витратами на
зберігання; максимально використовувати вантажомісткість транспортних засобів;
використовувати новітні технології зберігання товарів і формування партій
поставок; застосовувати ефективні транспортні технології.
При виборі схеми руху доставки вантажу від
вантажовиробника до вантажоспоживача за будь-яким із існуючих варіантів
враховують особливості вантажу, параметри, якість та його виробництва, фактори,
що обумовлюють особливості організації процесу транспортування, та умови
управління запасами.
Ефективність роботи такої системи залежить від
роботи транспорту, підприємств виробництва та споживання, організацій
постачання та збуту.
Основні схеми переміщення вантажів:
а) Проста схема вантажопотоку.
Доставка вантажу на пряму від виробника до
споживача транспортом.
б) Схема вантажопотоку у разі присутності
проміжних складів у постачальника і споживача.
Виробник подає вантаж на свій склад, через
транспортну систему на склад споживача, потім самому споживачу.
в) Схема вантажопотоку промислових підприємств з
великим об’ємом використаної сировини і виробленої продукції.
ПТ Магістральний транспорт ПТ
Виробник подає вантаж через повітряний транспорт
на станцію примикання; за допомогою магістрального транспорту до іншої станції
примикання і через повітряний транспорт в напрямку до споживача.
г) Схема вантажопотоку у випадку реалізації і
постачання через регіональні, обласні бази.
Виробник подає вантаж через транспорт на
регіональну базу; з регіональної бази МТС до споживача.
д) Схема вантажопотоку підприємств, які не мають
сталих виробничо-економічних зв’язків
Вантаж від виробника прямує на склад
постачальника, від складу постачальника на станцію примикання; потім зі станції
примикання на склад споживача і звідти безпосередньо до споживачів.
е) Схема вантажопотоків підприємства монополіста.
Від виробника вантаж постачається на склад
постачальників, звідти на пряму через магістральний транспорт до споживачів.
.2 Основні задачі промислових транспортних систем
Основними задачами промислових транспортних
систем є:
а) взаємодія пунктів відправлення з пунктами призначення
в просторі - це транспортування вантажів, зведення декількох вантажопотоків в
один, розподілення вантажів із одного вантажопотоку на декілька;
б) комплектування заказів, створення
комбінаційних груп вантажів по заданій програмі.
Транспортна система - транспортна
інфраструктура, транспортні підприємства, транспортні засоби та управління у
сукупності. Єдина транспортна система забезпечує узгоджений розвиток і
функціонування всіх видів транспорту з метою максимального задоволення
транспортних потреб при мінімальних витратах.
Продуктивність та ефективність транспортної
системи залежить від ступеню використання зв’язаних з нею підсистем, а також
можливість комплексної механізації та автоматизації навантажувально-розвантажувальних,
транспортних та складських робіт.
Промислові транспорті системи поділяють на такі
види: вантажозбираючі; вантажорозподільчі; частково комбіновані й повністю
комбіновані.
Вантажорозподільчі системи (рис. 1.1) - це
постачання вантажів до декілька паралельним пунктам (станціям) обслуговування.
Наприклад - це декілька паралельних станцій комплектування або упакування
вантажів. Таким чином, вантажорозподільна система розподіляє загальний
вантажопотік 
на n - число окремих вантажопотоків 
по числу пунктів призначення або вхідних пунктів.
Рис. 1.1. Просторова автономна система:- пункт постачання
вантажів; E1, …En
- кінцеві пункти транспортування; λ - вантажопотік; 1 - транспортна ланка до
станції обслуговування; 2,3,4,5 - з’єднувальні елементи; 6 - магістральна
транспортна ланка; 7 - розгалужувач; 8 - можливе місцеположення накопичувачів
Вантажорозподільча система складається з: падаючої
транспортної ланки; магістральної транспортної ланки, забезпеченої
розгалуженнями за числом з’єднувальних елементів; з’єднувальних елементів,
орієнтованих за напрямком перпендикулярно до магістральної ланки, що
розташовані між останніми вхідними пунктами тобто кінцевими пунктами
транспортування вантажів у межах даної системи.
Вантажопотік - це кількість вантажів, що переміщуються у
визначеному напряму між пунктами навантаження і вивантаження. Вантажопотік
характеризується видом матеріалу, напрямком, інтенсивністю, нерівномірністю і
довжиною транспортування.
Вантажозбираючі системи (рис. 1.2) - це переміщення
вантажів від декількох паралельних станцій обслуговування, зон складу або
комплектування. Таким чином, ці системи окремі вантажопотоки 
від N - числа початкових пунктів 
зводять в загальний вантажопотік.
Рис. 1.2. Просторова автономна система
К - кінцевий пункт транспортування; 
- початкові пункти транспортування; λ - вантажопотік; 1 - транспортна ланка від
станції обслуговування; 2,3,4,5 - з’єднувальні елементи; 6 - магістральна
транспортна ланка; 7 - вузол зведення; 8 - можливе місце положення
накопичувачів
Вантажозбираюча система складається з: падаючої транспортної
ланки; магістральної транспортної ланки, забезпеченої розгалуженнями за числом
з’єднувальних елементів; з’єднувальних елементів, орієнтованих за напрямком
перпендикулярно до магістральної ланки, що розташовані між останніми вхідними
пунктами
тобто кінцевими пунктами транспортування
вантажів у межах даної системи.
Системи, транспортуючі вантажі до даної станції, можливо в
тій чи іншій ступені комбінувати з тими, котрі транспортують вантажі від цієї
станції.
Вантажорозподільна і вантажозбираюча системи не мають
загальних елементів, тобто повністю просторово автономні.
Переваги просторових автономних систем - це можливість
широкого розвитку двох систем; малі вимоги до оснащення обладнанням оргтехніки;
можливість відокремленого завантаження, розвантаження і одночасного їх
впровадження; необхідність відокремлених входу і виходу; можливість розширення
цих систем; простота їх організації.
Недоліки просторових автономних систем - це відносно велика
вартість будівництва та обладнання.
Рис. 1.3 Частково комбіновані системи- пункт постачання
вантажів; К - кінцевий пункт транспортування; 1 - транспортуюча ланка від
станції обслуговування; 2 - транспортуюча ланка від станції обслуговування;
3,4,5,6 - з’єднувальні ланки постачання; 7,8,9,10 - з’єднувальні ланки
відправлення; 11 - загальна магістральна ланка; 12 - розгалужувач; 13 - вузол
зведення;
; 
- відокремлені початкові і кінцеві пункти транспортування; 14 -
можливе місцеположення накопичувачів
Переваги частково комбінованих систем - це суміщення в
просторі і в часі постачання і відправлення вантажів; відносно малі витрати на транспортну
техніку.
Недоліки частково комбінованих систем - це недостатня
можливість їх розвитку; високі вимоги до забезпечення обладнаннями оргтехнікою;
залежність операцій постачання і впровадження вантажів.
Повністю комбіновані системи (рис. 1.4) - це системи, в
яких з’єднувальні елементи і самі початкові і кінцеві пункти транспортування
забезпечують рух вантажів в обидва напрямки.
Рис. 1.4 Повністю комбінована система- пункт постачання
вантажів; К - кінцевий пункт транспортування; 1 - транспортуюча ланка до
станції обслуговування; 2 - транспортна ланка від станцій обслуговування;
3,4,5,6,7 - з’єднувальні ланки постачання і відправлення; 8 - загальна
магістральна ланка; 9 - розгалужувач; 10 - вузол зведення; 11 - можливе
місцеположення накопичувачів; 
- сумісні початкові і кінцеві пункти транспортування.
Переваги повністю комбінованих систем - це низькі витрати
на транспортне обладнання. Недоліки повністю комбінованих систем - це практично
неможливо розвивати ці системи.
2. Наукові основи комплексної механізації та автоматизації
навантажувально-розвантажувальних робіт при взаємодії з рухомим складом на
залізничному та на автомобільному транспорті
Перш за все можна сказати, що КМАНРР робіт
розглядається у будь-якій промисловості як частина загальної проблеми
промислового підприємства, разом з усіма її транспортно-технологічними
операціями, а також з різним видом складського обладнання для конкретних видів
вантажу, а особливо на залізничному транспорті. Залізничний транспорт - вид
транспорту, що здійснює перевезення пасажирів і вантажів в колісних екіпажах,
що рухаються залізничною колією. Залізничний транспорт є частиною логістичних
ланцюгів, які сприяють міжнародній торгівлі і економічному зростанню.
Розрізняють такі види матеріального потоку
КМАНРР: залізничні станції, різні галузі, підприємства, цехи, площадки,
ділянки. Матеріальний потік - це чинник, який дав змогу інтегрувати всі
елементи логістичної системи в чітко функціонуючий механізм. Під матеріальним
потоком з огляду на принципи логістики розуміють поєднання і зв'язки всіх
процесів та операцій з добування, обробки та переробки, складування,
транспортування та розподілу вантажів у сфері матеріального виробництва, на
промислових підприємствах, у цехах та на виробничих ділянках.
На залізничному транспорті:
. Удосконалення рухомого складу спрямовано на
підвищення його вантажопідйомності і поліпшення конструкції. Це сприяє
зростанню рівня комплексної механізації та автоматизації
вантажно-розвантажувальних робіт. Так, використання критих вагонів зі
збільшеним (до 120 м3) обсягом кузова дало можливість підвищити їх
статичне навантаження. У результаті зменшилася потреба в подовженні станційних,
приймально-відправних шляхів і вантажно-розвантажувальних фронтів. Пристрій у
вагонів люків у даху (для завантаження) і на підлозі (для вивантаження сипучих
матеріалів), застосування самоущільнюваних дверей і посилення підлоги зробили
цей рухомий склад більш універсальним, забезпечуючи високий рівень показників
їх експлуатації.
. Модернізації піддаються криті вагони старої
споруди при заводському ремонті. Зараз вже більше 70% парку критих вагонів
мають завантажувальні люки в даху і більше 20% - самоущільнювані двері.
. Для поліпшення умов завантаження і
розвантаження вантажів з критих вагонів вилочними навантажувачами в критих
суцільнометалевих вагонах ширина дверних прорізів збільшена до 4 м.
. В останні роки парк рухомого складу залізниць
збільшився за рахунок спеціалізованих вагонів для перевезення порошкоподібних і
пилоподібних вантажів (цементу, мінеральних добрив і багатьох хімічних
вантажів), обладнаних системою пневматичного розвантаження. Набули поширення
хопери-цементовози.
. Удосконалення саморозвантажних піввагонів
зводиться до поліпшення ходових частин, що допускають швидкість руху 120 км/год
і більше. Створено та серійно виготовляється восьмивісний напіввагон
вантажопідйомністю 125 т. Реконструюються пристрої для відкривання і закривання
кришок люків.
Розвиток контейнерних, а також пакетних
перевезень, довгомірних вантажів потребує подальшого вдосконалення платформ,
розміри яких повинні бути кратні розмірам контейнерів та пакетів.
. Для перевезення великотоннажних контейнерів,
виробництво яких має бути різко збільшено за рахунок середньотонажних, має бути
збільшено виробництво спеціалізованих платформ.
Удосконалення платформ загального призначення за
рахунок збільшення довжини дозволить використовувати повністю їх
вантажопідйомність при перевезеннях середньотонажних контейнерів, яка в даний
час використовується тільки до 50%. На чотиривісну платформу завантажують не
більше шести контейнерів масою брутто 5 т і 12 контейнерів масою брутто 3 (2,5)
т.
. До числа спеціалізованого рухомого складу можна
також віднести піввагони з глухим кузовом для перевезення дрібних вугілля і
руди, вагони для перевезення автомобілів. Спеціалізовані вагони можуть бути
використані для перевезення руди на певних замкнутих полігонах.
На автомобільному транспорті:
Автомобільна промисловість випускає вантажні
автомобілі і тягачі самих різних моделей, але не всі вони задовольняють вимогам
комплексної механізації вантажно-розвантажувальних робіт. Особливу увагу
приділено проблемі створення нового рухливого складу для контейнерних і пакетних
перевезень вантажів, а також різних типів автомобілів-самонавантажувачів і
саморозвантажувальних автопоїздів. Створені - автомобілі-самонавантажувачі
декількох типів.
. Автомобіль-самонавантажувач з краном
консольного типу має вантажопідйомність 1250 кг при максимальному вильоті
стріли 3500 мм. Привід крана гідравлічний з відбором потужності для гідронасоса
від коробки передач базового автомобіля. Автомобіль призначений для перевезення
і вантажопереробки різних великовагових вантажів масою нетто до 1,25 т.
. Вантажопідйомність автомобіля-самонавантажувача
з краном портального типу 2,5 т, привід крана гідравлічний.
. На базі ГАЗ-53А створений самонавантажувачі у
вигляді автофургона з пристроєм типу вантажопідіймальний борт і найпростішими
ручними візками, переміщуваними по спеціальних пазах підлоги кузова і
вантажопідйомного пристрою. Автомобіль служить для перевезення і переробки
пакетованих тарно-штучних вантажів.
. Для перевантаження, штабелювання та перевезення
великотоннажних контейнерів створені портальні автоконтейнеровози
вантажопідйомністю 30 і 40 т.
. Також був виготовлений аналогічний портальний
автоконтейнеровоз для переробки контейнерів масою брутто 20 т. Для
перевантаження великотоннажних контейнерів використовуються фронтальні авто-і
електронавантажувачі більшої вантажопідйомності (до 50 т).
. Поряд з автоцистернами-цементовозами
вантажопідйомністю до 24 т з пневматичним розвантаженням отримують застосування
автоцистерни-мінераловози для пилоподібних мінеральних добрив, автоцистерни для
доставки рідких вантажів.
Згідно наукових дослідів на сучасному рівні
ринкової системи розглядається шість етапів наукових досліджень.
Перший етап КМА - це безперервність процесу.
Безперервність - це раціональність поєднання обладнань механізації транспортних
і навантажувальних робіт з технологічним обладнанням на всій ділянці
підприємницького процесу.
Другий етап КМА - утворення єдиної
транспортно-технологічної лінії з впровадження агрегатного виду ремонту
обладнання.
Третій етап КМА - це дотримання єдиної продуктивності,
надійності і темпів розвитку роботи в транспортно-технологічних лініях і
комплексах. Темп праці системи встановлюється відповідно до темпу основних
агрегатів.
В транспортно-технологічних лініях чи комплексах
час роботи агрегату повинно дорівнювати часу роботи системи.
Надійність агрегатів особливо важлива для
забезпечення безперебійної роботи системи. Надійність роботи системи залежить:
від конструктивних рішень, від поточності ліній, від безвідказності приладів,
від вдосконалення розробок, від матеріалів та апаратури, від виконання терміну
роботи, від чітких умов експлуатації, від режиму робот приладу.
Четвертий етап КМА - транспортно-технологічні
лінії дають можливість підвищити продуктивність агрегатів і покращити умови
праці.
При розгляді четвертого етапу при підвищеному
виробництві та покращенні умов транспортного обслуговування, персонал
стикається з негативними факторами: запиленість, загазованість, висока
температура, шум, безпечність, незручність праці.
П’ятий етап КМА - ефективність розвитку системи
залежить від розвитку кожної ланки транспортно-технологічної лінії чи
комплексу. Механізація однієї операції, одного процесу дає обмежену
ефективність. Найбільший ефект від механізації отримується при комплексному
розвитку нової техніки всіх ланок підприємства. Відповідно поточні витрати
безпосередньо на транспорт, будівельні споруд, механізми, склади і цехи;
Шостий етап КМА - тільки комплексна механізація
забезпечує створення комплексної автоматизації.
Науковий аналіз фактичного стану механізації і
автоматизації навантажувально-розвантажувальних робіт на залізницях України у
взаємодії з рухомим складом дозволяє: виявити ручні види робіт, які за рахунок
реконструкції або модернізації; необхідно модернізувати, фронти і райони
навантажувально-розвантажувальних робіт з великою питомою вагою ручних операцій
для їхньої заміни; встановити черговість заходів з механізації цих районів і
фронтів; порівняти ступені та рівні механізації й автоматизації окремих видів;
комплексів з комплексами, які задіяні на аналогічних підприємствах і в цілому в
галузі.
На всіх етапах впровадження механізації й
автоматизації поточних ліній або комплексів ручних видів робіт може бути
запропонована на окремих операціях, автоматизація яких на сучасному рівні
розвитку науки і практики з техніко-економічних міркувань не доцільна. Винятком
можуть бути операції, автоматизація яких вимагає значної ціни. Методика
укрупненого рівня механізації й автоматизації підприємницьких процесів у
промисловості, яку рекомендує Державний комітет з автоматизації, передбачає
такі основні показники, притаманні також залізничному транспорту: ступінь
охоплення робітників механізованою працею; рівень механізованої праці в
загальних працевитратах; рівень механізації й автоматизації
транспортно-технологічних ліній, комплексів і навантажувально-розвантажувальних
і транспортно-складських робіт.
Коли механізація й автоматизація були недостатньо
розвинуті, працеємність робіт із визначенню обсягу вантажообігу, що
переробляється або кількості перероблених тонн (продукції) безперечно була
вірною і звертали увагу, в першу чергу, на необхідність механізувати найбільш
масові та відповідальні ділянки, Ця система укорінялася в практиці проектування
і є головною, оскільки показує ступінь основної працеємності головних робіт і
одночасно ступінь охоплення механізацією найбільш масових робіт.
На сучасному рівні розвитку науки і практики
рівень механізації з впровадженням вказаних величин у формулі явно недостатній,
оскільки при цьому отримується рівень механізації високий, а велика кількість
робітників все ще зайнята ручними видами робіт на дрібних, немасових але
працеємних роботах.
Тому рівень механізації за умови покращення
вантажообігу і продуктивності НРР повинен доповнюватись рівнем механізації
залишкових робіт за фактичною працеємністю робіт, яка відповідає сучасній, в
основному, механізованій і частково автоматизованій технологіям.
Впровадження тільки цього методу, як єдиного,
також було б невірно, і в цьому випадку фактично не була відображена та велика
робота з механізації й частково автоматизації, яка проведена на підприємствах.
Тому вірним є використання цих обох методів. Але
помилкою, яка може призвести до невірного вибору рівня механізації, є не
комплексність робіт, що охоплюється. Так, зважаючи на рівень механізації на
вантажному фронті або підприємстві частково приймають у розрахунок тільки
основну галузь, де найбільша кількість ручної праці.
Ще більш грубою помилкою є те, коли під час
розрахунку рівня механізації цеху не вказують роботу, яку виконували для цього цеху
іншими цехами підприємства.
Спроби не включати в розрахунки ремонт обладнання
тими чи іншими цехами, який на практиці виконується силами дистанцій
навантажувально-розвантажувальних робіт або із залученням спеціалізованих не
залізничних організацій, чим також штучно знижується рівень механізації роботи,
яка пов'язана зі збереженням будівель, які виконуються монтажно-будівельним
цехом.
Таким чином, на підставі наукових досліджень і
практичних обстежень ми обґрунтували та уточнили ступені й рівні комплексної
механізації та автоматизації на комплексах і НРТС-роботах.
3. Характеристика тарно-штучних вантажів.
комплексна механізація і автоматизація переробки тарно-штучних вантажів
3.1 Характеристика тарно-штучних вантажів
Сьогодні розвиток ринку вантажних перевезень
передбачає дослідження логістичного ланцюга та логістичної системи, яка поєднує
один з одним усіх учасників транспортного процесу. Для організації
транспортного процесу вирішують такі завдання як маршрутизація, розробка та
узгодження роботи рухомого складу з навантажувально-розвантажу-вальними
механізмами, вибір автомобіля раціональної вантажопід’ємності т. ін. В
більшості випадків для обрання розробки технології перевізного процесу важливу
роль відіграє тип вантажу.
Тарно-штучні вантажі(ТШВ) - це сукупність
предметів, які можна легко відділити один від одного, але які не припускають
навантаження навалом. До них відноситься продукція легкої, харчової і хімічної
промисловості, а також машинобудування і металургії.
Розподіл ТШВ за способом зберігання: вантажі, які
не потребують захисту від зовнішнього середовища (цегла, гази в балонах,
вантажі в ящиках та піддонах, контейнерах, пляшки); вантажі, які потребують
захисту від зовнішнього середовища (книги, газети, одяг, тканина, цукор,
деталі, габаритні вузли); вантажі, які потребують збереження температурного
режиму (хліб, хлібобулочні вироби, рідина в тарі, фрукти, м’ясо, риба, бита
птиця).
Це один із найважливіших класифікаторів, бо
підготовка вантажу до відправлення повинна максимально відповідати усім
правилам і нормам, щоб дійти до споживача у належному стані. Наприклад, цеглу
не треба перевозити в контейнерах з регульованим температурним режимом, а книги
не можна доставляти у вантажівках з відкритим кузовом.
Класифікація ТШВ за масою вантажної одиниці:
легковагові вантажі масою до250 кг; вагові вантажі масою від250 кг до50 т;
мертві вантажі - це вантажі з невідомою масою, тобто вантажі, закріплені на
фундаменті анкерними болтами, зариті в землю, що примерзнули до землі,
притиснуті іншим вантажем і т. п.
Залежно від форми і розмірів розрізняють
габаритні і негабаритні вантажі: габаритні вантажі - це ті, розміри яких не
перевищують габаритні розміри норм, встановлених правилами дорожнього руху по
вулицях і дорогах України; негабаритні вантажі - це ті, розміри яких не
виходять за межі встановленого габариту.
Основні класифікації ТШВ існуючі на сьогоднішній
час, для раціонального вибору вантажопід’ємності транспортного засобу,
оптимального маршруту доставки та механізмів і способів навантаження-розвантаження.
Але наведені вище класифікації не охоплюють увесь спектр матеріалопотоку ТШВ,
тому пропонується поділити даний вид вантажів за видами пакетування, за методом
організації навантажувально-розвантажувальних робіт, за особливими
властивостями ТШВ.
За видами пакетування необхідно розподілити
властивості на наступні групи: м’яка упаковка (поліетилен, картонні ящики,
мішки, пакунки); тверда упаковка (дерев’яні та пластикові ящики, піддони,
контейнери, бочки, балони); стропова (ремені, стропи).
За методом організації
навантажувально-розвантажувальних робіт ТШВ можна класифікувати на: ручне
навантаження (крихкий вантаж, негабаритні легковагові вантажі); механічне
навантаження (великогабаритні вагові вантажі); змішане навантаження (небезпечні
вантажі).
За особливими властивостями ТШВ можна поділити
на: крихкі (скло, рідина у пляшках, гіпсові і фарфорові вироби та ін.); довгі
(прокат, труби та ін.); об’ємні (вироби машинобудівної галузі та ін.);
швидкопсувні (вироби харчової промисловості); небезпечні (токсичні вантажі,
вироби хімічної промисловості).
3.2 Механізація і автоматизація переробки тарно-штучних вантажів
Технологічний процес - це частина виробничого
процесу, що вміщує дії зі зміни стану предмета праці.
Під єдиним технологічним процесом розуміють
раціональну систему організації роботи станцій примикання та під'їзних шляхів
промислових підприємств, що пов'язує технологію обробки составів і вагонів на
станціях примикання та під'їзних шляхах і забезпечує єдиний ритм перевезень та
виробничого процесу промислових підприємств. Він передбачає використання
ефективних методів праці, коопероване застосування технічних засобів
транспортних цехів підприємств та залізничних станцій.
Цей процес відображується в документі, який
визначає порядок роботи під'їзного шляху і станції примикання. Він має
забезпечити найраціональніше використання технічних засобів транспортного цеху
підприємства і станції примикання, прискорення обороту вагонів на станції та
під'їзному шляху. Головне завдання роботи за єдиним технологічним процесом -
використання внутрішніх ресурсів для прискорення обороту вагонів і виконання
перевезень, зобов'язань, зазначених у договорі на експлуатацію під'їзного
шляху.
Технологічні процеси роботи контейнерного пункту
і товарної контори є складовою частиною загального технологічного процесу. В
окремих випадках для великих вантажних дворів, контейнерних пунктів та
сортувальних платформ складають самостійні технологічні процеси, пов'язані з
технологією роботи станції, часом подачі та прибирання вагонів під вантажні
операції.
На всіх підприємствах існують основні і додаткові
операції в транспортно-технологічних системах і комплексах.
До основних підйомно-транспортних операцій
відносять: захват вантажу; подача його на навантажувально-розвантажувальну
машину; підйом вантажу; пересування; опускання вантажу; звільнення вантажу від
захвату; підйом вантажозахватного пристосування без вантажу; повернення
вантажопідйомного механізму в початкове положення, для наступної операції.
Всі наступні операції являються додатковими. Наприклад:
управління всіма операціями; управління перевантажувальним процесом; кріплення
вантажів; встановлення підйомників, захватів і управління ними; підготовка
рухомого складу для навантажувальних робіт та ін.
Технологічний процес передбачає послідовність і
тривалість комерційних операцій, що виконуються на контейнерному пункті та в
товарній конторі. У більшості випадків його розробляють за такою схемою, у
вигляді ланцюга:
ручна праця → механізація →
комплексна механізація → автоматизація → комплексна механізація.
Ручна праця - не потребує техніки, інструментів,
приладів. Основні і допоміжні операції виконуються вручну.
Комплексна механізація - основні й допоміжні
операції виконуються за допомогою машин і механізмів, а управління механізмами
і машинами виконується вручну.
Автоматизація - основні і допоміжні операції
виконуються механізмами і машинами автоматично, без присутності людини. Основна
задача автоматизації - підвищення продуктивності робіт за рахунок ліквідації
ручної праці.
Комплексна механізація - основні і допоміжні
операції та регулювання по всьому циклу підприємства виконуються комплексом
механізмів і машин так, що задана якість продукції створюється без участі
людини. Якщо така автоматизація охоплює весь підприємницький процес, включаючи
функції, які виконує людина на підприємстві, то вона називається суцільною.
Шлях до суцільної та комплексної автоматизації лежить через автоматизацію
окремих операцій.
Комплексна механізація і автоматизація
виробництва - головний напрям науково-технічного прогресу, вищий ступінь
механізації виробництва, при якому ручна праця замінюється машинною як на
основних, так і на допоміжних взаємопов'язаних операціях, на роботах по
створенню певного виробу або виконанню закінченого виробничого процесу.
Комплексна механізація створює умови для повної автоматизації виробництва. За
капіталізму механізація і автоматизація виробництва посилюють експлуатацію
робітників шляхом інтенсифікації праці, ведуть до зростання безробіття і
збільшення прибутків капіталістів.
До основних завдань механізації та автоматизації
виробництва відносять: перехід до масового застосування високоефективних систем
машин і технологічних процесів, що забезпечують комплексну механізацію та
автоматизацію виробничого процесу, технічне переозброєння основних його
галузей; підняти технічне переозброєння праці, неухильно скорочувати в усіх
галузях чисельність працівників, зайнятих ручною працею; забезпечити зростання
випуску закінчених систем машин для комплексної механізації та автоматизації
вантажно-розвантажувальних, складських і ремонтних робіт; поліпшити
використання рухомого складу, добитися ритмічності навантаження і вивантаження
вантажів.
На даний час реалізуються заходи, спрямовані на
розвиток магістрального і промислового залізничного транспорту: запровадження
новітніх універсальних та спеціалізованих транспортних засобів; збільшення
вантажопідйомності і потужності рухомого складу. Крім того, поліпшується
взаємодія різних видів транспорту, удосконалюється технологія організації
перевезень, прискорюється впровадження високоефективних машин і високо
досконалих систем автоматичного керування.
Ефективним методом забезпечення безпеки на тяжких
видах робіт є механізація і автоматизація виробничих процесів від надходження
сировини до виходу кінцевої продукції, що дає можливість значно знизити рівень
виробничого травматизму і виробничих захворювань.
Автоматизація виробничих процесів являє собою
вищу форму механізації. Залежно від ступеня участі людини в технологічному
процесі вона може мати комплексний або частковий характер. Комплексна
автоматизація передбачає повну ізоляцію людини від будь-яких операцій
виробничого циклу.
Нині типовим явищем у виробничій діяльності є
праця оператора в автоматизованих системах.
У процесі автоматизації ускладнюється взаємодія
людини з технічними засобами, що вимагає врахування психологічних чинників.
Ідеальним було б оптимальне узгодження фізіологічних і психічних особливостей
оператора з технологічним процесом. Зневага до вказаного може призводити до
аварій, травматизму або профзахворювань.
В автоматичних системах безпека праці досягається
за рахунок використання захисних пристроїв винесення робочих операцій у
безпечну зону.
Можливість людини-оператора розширює електронна
техніка, якій задається відповідна програма самостійного оптимального режиму
технологічного процесу. Використання електронних машин позбавляє оператора
фізичної і емоційної напруги, а роботу робить більш безпечною, без втручання
людини в технологічний цикл, що виключає помилкові дії оператора.
4. Побудова, принцип дії відкритого складу,
обладниним двоконсульним краном для переробки тарно-штучних вантажів
.1 Вимоги до технічного оснащення складів
Склади на транспорті, промисловості, будівництві,
сільському господарстві країни служать для створення запасів готової продукції,
згладжування різниці між циклами видобутку, виробництва, переміщення і
споживання продуктів промислового виробництва та сільського господарства. На
склади приймають напівфабрикати, комплектуючі вироби, запасні частини та готову
продукцію. Комплексну механізацію та автоматизацію всіх процесів і особливо
вантажно-розвантажувальних робіт і складських операцій забезпечують
високоефективні системи машин, устаткування, приладів та технологічні процеси.
Склади забезпечують ритмічну роботу підприємств промисловості, сільського
господарства, будівництва та транспорту.
Близько 80% продукції виробничо-технічного призначення
безпосередньо доставляють на склади промислових підприємств, сільського
господарства та будівництв. Проте спеціалізація і кооперація в промисловості і
будівництві, збільшення номенклатури матеріалів, виробів та обладнання,
зростання вантажопідйомності рухомого складу створюють об'єктивну необхідність
постачання споживачів в економічно виправданих розмірах через базисні склади.
Пристрій складів і організація їх роботи повинні
відповідати вимогам зберігання вантажів, санітарії та гігієни праці, техніки
пожежної безпеки. Склад являє собою комплекс виробничих будівель, інженерних
споруд, підйомно-транспортних машин і устаткування, засобів обчислювальної
техніки і автоматики управління, регулювання та контролю за його роботою. Він
може обслуговувати один з підрозділів підприємств або організацій і бути їх
складовою частиною, але може бути і самостійною одиницею, якщо він обслуговує
ряд підприємств.
Для вантажних залізничних станцій розроблені і
проектуються типові складські будівлі і споруди, оснащені сучасними машинами та
обладнанням. Якщо типовий проект не відповідає місцевим умовам і економічно
недоцільний, тоді приступають до індивідуального проектування складів.
Вибір типу складів, засобів навантаження і
розвантаження вантажів залежить від розміру і характеру вантажопотоку,
дальності і термінів доставки, виду рухомого складу, капіталовкладень,
експлуатаційних витрат, наявності шляхів сполучення, а також технологічних
особливостей виробництва. Тому при створенні складів необхідний глибокий аналіз
структурної схеми вантажопотоків, їх інтенсивності, способів переміщення, умов
зберігання. Основні складські операції повинні бути комплексно механізовані, а
при значній вантажопереробці і автоматизовані. Місце розташування складу
вибирають з умов транспортних зв'язків з виробничими цехами підприємства або
споживачів, зручності виконання вантажних операцій, а також з урахуванням
можливості розширення складу на перспективу.
На основі аналізу вантажопотоків та операцій
формують основні експлуатаційні вимоги до технічних засобів, а також будують
структурну схему технології вантажно-розвантажувальних і складських робіт. У
структурній схемі відображається кількість, послідовність і зміст тих операцій,
які повинні виконуватися машинами, тим самим визначаються їх типи, характеристики,
технологія роботи та способи управління.
Вибір схем комплексної механізації та
автоматизації слід вести з урахуванням використання уніфікованого обладнання та
типових рішень. Аналізуючи ці рішення, відшукують технічно доцільну й
економічно ефективну схему або приступають до розробки нової. Кожному типу
машин, обладнання та їх комплексів відповідає певне будівельне рішення
складських будівель та інженерних споруд.
Комплекс машин і пристроїв, що беруть участь у
вантажно-розвантажувальних і складських роботах, являє собою
поточно-транспортну систему, яка може переміщати вантажі безперервним потоком
або окремими порціями через певні інтервали.
Якість вантажно-розвантажувальних машин і
пристроїв визначається сукупністю їх властивостей, що відповідають певним
вимогам відповідно до призначення цієї техніки. Про якість машин судять за
наступними експлуатаційно-технічних параметрів, що характеризує ефект від
використання машини за призначенням: рівнем надійності, що визначає властивості
безвідмовності, довговічності, ремонтопридатності та збереження; ступеня
технологічності, що показує ефективність конструктивно-технологічних рішень з
точки зору забезпечення високої продуктивності праці при виготовленні,
обслуговуванні та ремонті машини; рівню стандартизації та уніфікації як самої
машини в цілому, так і її окремих вузлів, агрегатів, деталей.
Обґрунтований вибір типу складу, машин,
пристроїв, обладнання та приладів автоматизації управління ними, аналіз їх
якісних показників, економічні розрахунки дають можливість знайти найбільш
ефективні варіанти комплексної механізації та автоматизації
вантажно-розвантажувальних і складських робіт.
Управління складським господарством повинно бути
засновано на використанні сучасних засобів електронної та обчислювальної техніки
та впровадження автоматизованих систем управління.
Склади за ступенем автоматизації можна розділити
на наступні групи: з частковою автоматизацією процесів і автоматичною обробкою
інформації; з комплексною автоматизацією технологічних та інформаційних
процесів; зі складною автоматизованою системою управління.
Застосування засобів автоматики на складах
дозволяє скоротити потребу в трудових ресурсах, підвищити продуктивність
обладнання, надійність його роботи і скоротити експлуатаційні витрати, зменшити
терміни обробки замовлень, краще використовувати місткість складського
приміщення і рухомого складу.
Розміщення складів, як правило, має передбачатися
в схемі генерального плану залізничних станції, баз постачання з загальними
об'єктами допоміжних виробництв і господарств, інженерними спорудами і
комунікаціями відповідно до інструкції з розробки генеральних планів груп
підприємств із загальними об'єктами, а також інструкціями з проектування
залізничних станцій і портів.
В складах повинні бути приміщення для охорони,
контрольно-пропускний пункт із площадкою для огляду автомобілів, а при
необхідності габаритні ворота і контрольні ваги для вагонів і автомобілів. В
знову проектованих складах під'їзди до них не повинні перетинатися транзитними
залізничними шляхами. При виникненні необхідності перетину транспортних шляхів
при реконструкції, розширенні діючих складів переїзд повинен бути забезпечений
сигнально-блокувальними пристроями, що гарантують безпеку руху транспортних
засобів і людей в смузі транзитного залізничного руху.
До складам по всій їх довжині повинен бути
забезпечений під'їзд пожежних машин (під'їзд з одного боку - при ширині
будівлі, споруди та зони зберігання відкритих складів до 18 м і з двох сторін -
при ширині більше 18 м).
Найменша відстань проїзду для відкритих складів,
включаючи контейнерні майданчики, і напівзакритих складів загального
призначення слід приймати відповідно до «Проектування генеральних планів
промислових підприємств для закритих складів».
Площа забудови відкритого і напівзакритого
складів визначається габаритами зони обслуговування козлового крана мостового
типу, включаючи приймально відправні і вантажно-розвантажувальні фронти.
4.2 Основи проектування складів
Тип складу залежить від призначення та місця
розташування, роду вантажу, добового вантажопотоку і режиму роботи. Залежно від
призначення та місця розташування розрізняють склади: заготівельні, що служать
для передачі вантажу на транспорт; перевалочні; державних запасів або поточного
постачання; розташовані в пунктах споживання вантажу, в яких зберігаються
вантажі, необхідні для виробничої діяльності цих підприємств, а також у портах
і прикордонних пунктах, які забезпечують операції з експортними та імпортними
вантажами.
Склади промислових підприємств поділяються на
загальнозаводські та цехові. Залежно від термінів зберігання вантажів на
складах останні поділяють на склади короткострокового і довгострокового
зберігання, а в залежності від виконуваних функцій - на склади загального
користування, призначені для прийому і видачі вантажів всіх відправників і
одержувачів, і склади не загального користування, що обслуговують певних
відправників та одержувачів.
За родом вантажу, що підлягає зберіганню, склади
можуть бути спеціалізованими або універсальними. У спеціалізованих складах
зберігають вантажі тільки одного певного найменування, а в універсальних -
вантажі різних найменувань.
Залежно від роду вантажу проектують склади для
тарно-штучних вантажів, контейнерів, великовагових вантажів, металу та
металевих виробів, машин і обладнання, будівельних матеріалів, вугілля, руди,
хімічних вантажів та мінеральних добрив, зернових та інших
сільськогосподарських продуктів, лісових і наливних вантажів.
Вихідними даними для визначення основних
параметрів складів (місткості, довжини, ширини, висоти, розмірів
приймально-відправних майданчиків та навантажувально-розвантажувальних фронтів)
є вантажопотоки і режим роботи складів.
Розрахунковий добовий вантажопотік дорівнює
середньодобовому надходженню матеріалів на склад, помноженому на коефіцієнт нерівномірності.
Термін зберігання матеріалів встановлюється в залежності від призначення
складу. Терміни зберігання вантажів на прирейкових складах промислових
підприємств, будов, баз постачання приймаються за технічними умовами їх
проектування. Відповідно до інструкції з проектування станцій і вузлів на
залізницях термін зберігання вантажів приймають: для відправляючих вагонними
відправками тарних і штучних вантажів у критих складах - 1,5 доби і прибулих-2
доби, дрібними відправками - відповідно 2 і 2,5 діб.
Для забезпечення успішного застосування
навантажувачів при роботі в існуючих закритих складах і на платформах потрібне
проведення цілого ряду підготовчих заходів, Необхідно перевірити достатність
площі складу для укладання вантажу, так як на проїзди та розвороти для
навантажувачів потрібна значна додаткова площа. Підлоги складу повинні мати
міцне покриття, так як маса навантажувачів значна. Кращими вважаються підлоги з
асфальтовим покриттям на бетонній основі. Підлоги з одного бетону при тривалій
роботі навантажувачів швидко зношуються. Стирання верхнього шару цементу
призводить до рясного скупченню цементного пилу, негативно діє на вантажі й
механізми навантажувачів.
4.3 Будова відкритого складу, обладнаного двоконсольний краном для
переробки тарно-штучних вантажів
Для вивчення складського господарства й аналізу
стану його розвитку необхідно класифікувати склади, тобто поділити на однорідні
групи (класи). Така класифікація дає змогу охарактеризувати мережу складів,
окремі їх види, пояснити, як створюються ці види, яке значення мають у процесі
товароруху.
Склад - це складна
технічна споруда, яка виконує ряд функцій по перетворенню параметрів
матеріальних потоків, а також накопиченню, переробці і розподілу вантажів між
споживачами.
Основне призначення складу
- концентрація запасів, їх зберігання і забезпечення безперебійного і
ритмічного виробництва та виконання замовлень споживачів.
За видом виконуваних
функцій склади поділяють на сортувально-розподільчі, транзитно-перевалочні і
накопичувальні. Найпоширеніші сортувально-розподільчі склади, які становлять
велику частку у складському товарообороті. На таких складах здійснюють
приймання товарів від місцевих та іногородніх постачальників, а також їх
сортування, комплектування партій товарів відповідно до замовлень від
роздрібних торгівельних підприємств. На сортувально-розподільчих складах, як.
правило, утримують поточні товарні запаси протягом відносно недовгого часу.
Тому функція зберігання товарів на цих складах не є основною. Транзитно-перевалочні
склади призначені переважно для перевідправлення різними видами транспорту
товарів із районів виробництва до пунктів споживання. Ці склади виконують роль
перевалочних пунктів. Тут вивантажують товари, привезені одним видом
транспорту, приймають їх за масою та кількістю місць, сортують, навантажують на
інший вид транспорту. Накопичувальні склади існують для сезонного і
тривалого зберігання товарів. Велике значення тут має контроль за якістю
зберігання товарів. Накопичувальні склади переважають в оптовій торгівлі. Поряд
з основними функціями накопичення та зберігання товарів вони виконують
допоміжні технологічні операції, пов'язані з прийманням і відпуском товарів
оптовим покупцям: перепаковування, сортування, переробка, розфасовування.
Складські будівлі за
конструктивними особливостями бувають закритими, напівзакритими, відкритими. Закриті
склади переважають серед складських будівель. Як правило, це будівлі,
поділені на окремі приміщення, призначені для виконання різних видів робіт
(приймання, зберігання, розфасовування, комплектування партій товарів та ін.) і
розташовані у певній послідовності. До напівзакритих належать склади з
навісами. За конструкцією вони можуть бути або зовсім без стін, або мати одну,
дві, три стіни. Висота їх досягає 4-6 м. Довжина може бути різною, але не більш
як 100 м. Фундаменти навісів асфальтують або бетонують. Відкриті склади
- це різні майданчики з незначним нахилом до країв для стоку дощових і талих
вод. На них зберігаються матеріальні цінності, стійкі проти температурного й
атмосферного впливу.
Крани -
вантажопідіймальні машини і механізми призначені для переміщення вантажів
різного типу і людей в вертикальній і горизонтальній площинах. По характеру дії
вони відносяться до механізмів періодичної дії, які працюють в повторно -
короткотривалому режимі. Основним механізмом будь-якої вантажопідіймальної
машини є механізм підйому вантажу. В залежності від типу машини в її
конструкцію можуть входити механізм переміщення, механізм повороту, механізм
зміни вильоту стріли, механізм переміщення кранового візка, механізм повороту
башти, або стріли баштових або портальних кранів.
Крани відносяться до
основного типу вантажопідіймальних машин і призначені для здійснення трьох
рухів, підйому вантажу і його переміщення в двох напрямах та просторі. Залежно
від зони обслуговування і конструкції вони діляться на дві групи: прольотні, та
стрілові.
Прольотні крани монтують
в приміщеннях і на відкритих площадках і
обслуговують вони
прямокутну площу прольоту. В залежності від конструкції прольотні крани
діляться на мостові, козлові і мостокабельні.
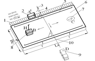
При обладнанні відкритих складів двоконсольними
козловими кранами, подані вагони під вантажні операції, можуть бути розташовані
під одною з консолей крана, а автомобілі - під іншою. При такому плануванні вся
територія, яка обмежена прольотом крану, може бути використана для складування
контейнерів. Для раціонального складування контейнерів, застосовують формули
для знаходження параметрів складу (рис. 2.1).
Рис. 4.1. Відкритий склад, обладнаний
двоконсольним краном для переробки штучних та насипних вантажів
1 - залізнична колія; 2 - рухомий склад; 3 -
візок крану з механізмами переміщення і підйому вантажу; 4 - вантажозахватне
пристосування; 5 - монорейка для переміщення крану; 6 - робоча площа відкритого
складу; 7 - штабель насипного вантажу; 8 - штабель штучного вантажу; 9 -
автотранспорт; 10 - консоль крана; Вс - ширина складу; Lс
- довжина складу; H - висота підйому вантажу.
.4 Склади тарно-штучних і штучних вантажів
До тарно-штучних відносяться вантажі, що
перевозяться в ящиках, мішках, тюках, кіпах, бочках, барабанах і в іншій
стандартній або уніфікованій тарі, параметри якої регламентовані державними
стандартами. Багато тарно-штучних вантажі, які перевозиться у транспортних
засобах поштучно або зв'язками. Найбільш ефективний спосіб їх доставки
пакетний.
Пакетом називається збільшене вантажне місце,
сформоване з більш дрібних вантажів у транспортній тарі або без тари, на
піддонах або без них. Пакети повинні забезпечувати можливість механізованого
перевантаження і збереження вантажу в транспортних засобах при високому
використанні місткості і вантажопідйомності.
Впровадження пакетних перевезень дозволяє
збільшити продуктивність праці на вантажно-розвантажувальних і складських
роботах в 3-5 разів і більше.
Для пакетування тарно-штучних вантажів
використовують плоскі, ящикові або стоякові, піддони стелажі. Стоякові і
ящикові піддони забезпечують стабільну форму пакетів. Для пакетів на плоских
піддонах потрібно додаткове кріплення.
Піддони плоскі можуть бути одно- і
двохнастільними, двох- і чотирьохзахідними. По конструкції ящикові піддони
можуть бути жорсткими нерозбірними, доладними, збірно-розбірними (з кришкою і
без неї, з суцільними або ґратчастими стінками. Засоби пакетування можуть бути
багатооборотними і одноразового користування, універсальними і
спеціалізованими.
Піддон-резервуар (з чотирма неробочими стінками і
дахом, з запірним пристроєм) використовується для перевезення рідких та
газоподібних вантажів.
Ящиковий піддон-резервуар внутрішнім об'ємом до 1 м3
виконаний у формі резервуара з пристроєм
для завантаження-вивантаження сипких, порошкоподібних, рідких та газоподібних
вантажів.
Піддони розраховуються на чотириярусні штабелювання з
максимальним завантаженням.
Для забезпечення стійкості пакетів і повного збереження
вантажу на всьому шляху його проходження від постачальника до споживача
потрібне надійне кріплення вантажів у пакеті. Для кріплення вантажів на плоских
піддонах застосовують сталеві, тканинні, пластмасові стрічки, м'який сталевий
дріт, сітки, усадкові і розтягуючі плівки та інші матеріали і пристосування, що
забезпечують стійкість пакетів і збереження вантажів.
На рис. 2.4.1 наведені схеми укладання в пакети і способи
кріплення деяких вантажів на дерев'яних піддонах. На рис. 2.4.1, а
показане блокове укладання вантажів з перев'язкою швів між окремими вантажами
без кріплення. Однак під впливом динамічних зусиль під час перевантаження і
транспортування стійкість вантажу в пакеті порушується, особливо в пакетах,
сформованих з мішків або картонних ящиків.
Рис. 4.3. Схеми укладання вантажів на піддони і
способи кріплення
На рис. 4.3, б, в, г показані способи
блокового укладання вантажів без перев'язки швів, але з перев'язкою сталевими
стрічками з натяжними замками; із застосуванням металевих кутів і сталевих
стрічок або із застосуванням металевих куточків і сталевих стрічок або із
застосуванням поясів з міцної тканини. На рис. 4.3, д, е, ж показане
блокове укладання циліндричних вантажів із застосуванням сталевих стрічок або
дерев'яних рам, що надягають на пакет рулонів паперу, бочок, толю, пергаменту.
При формуванні блокового укладання циліндричних вантажів застосовують дерев'яні
прокладки (рис. 4.3, ж). Для вантажів, які не піддаються пакетуванню на
плоских або стоякових піддонах, а також для перевезення цінних вантажів
застосовують ящикові піддони: розбірні (рис. 4.3, з), з чотирма жорстко
закріпленими стінками (з кришкою або без кришки), з трьома жорстко закріпленими
стінками і з однією стінкою або двостулковою.
.5 Принцип дії роботи складу по маршрутам: А-В; А-Д
При виконанні операції в переміщення вантажу з
вагонів до контейнерної площадки або вантажного автомобіля, використовують
двоконсольний козловий кран КСК-32.
Порядок виконання операції з пункту А в пункт D
наступний: вантажозахватний пристрій опускається до вагону з вантажем, захоплює
вантаж, в даній роботі контейнер, автоматичними гаками (рис. 4.4), піднімає
його на висоту (h=12 м), вказану в паспортних даних крана, тоді переміщає його
за допомогою візка, що пересувається по фермі крана, до вантажного автомобіля.
Далі вантажозахватне пристосування з вантажем опускається на причіп, або
напівпричіп автомобіля, тоді звільняємо вантаж від вантажозахватного механізму.
Наступна дія: підйом вантажного обладнання без вантажу на висоту і повернення
його у початкове положення для захвату нового вантажу.
Якщо ж вантаж потрібно залишити на контейнерній
площадці, то виконується наступний вид операції з пункту А в пункт В:
вантажозахватне пристосування опускається до вагону з вантажем, захоплює вантаж
автоматичними гаками (рис. 4.4), піднімає його на висоту (h=12 м), вказану в
паспортних даних крана, тоді переміщає його за допомогою візка, що
пересувається по фермі крана, до середини осі крана, щоб перемістити його на
контейнерну площадку за допомогою підкранових рейок, зупинившись на вказаному
місці, вантажозахватний пристрій опускається з вантажем, поклавши на
контейнерну підлогу, відпускає вантаж, і тоді вантажопідйомний механізм
повертається в своє початкове положення для нового захвату.
Рис. 4.4. Захват контейнеру автоматичними гаками
- захватні гаки; 2 - обойма; 3 - каретка; 4 -
рама; 5 - козирки
Ваго́н - не самохідна
одиниця рухомого складу, якою перевозять вантажі та пасажирів по рейкових
коліях.
Основні типи вагонів, які використовують в
гірничодобувній промисловості - вантажні, в тому числі криті, напіввагони
(гондоли, думпкари, вагони-дозатори), платформи, цистерни і спеціальні вагони.
На кар'єрах розповсюджені напіввагони.
Кран вантажопідіймальний - машина
циклічної дії, призначена для підйому і переміщення в просторі вантажу,
підвішеного за допомогою гака чи утримуваного іншим вантажозахоплювальним
органом.
Автомобі́ль -
самохідна колісна машина, яка приводиться в рух встановленим на ній двигуном і
призначена для перевезення людей, вантажу, буксирування транспортних засобів,
виконання спеціальних робіт та перевезення спеціального устаткування
безрейковими дорогами. Пересувається переважно суходолом.
Напівпричіп - різновид причепа, який
агрегатується із спеціалізованим сідловим тягачем через зчіпний пристрій тягача
за допомогою зчіпного шворня. Вага вантажу повністю передається несучій рамі
причепа, а далі розподіляється між власними колесами напівпричепа і колесами
тягача. Зв'язок причепа з тягачем використовується як для передачі цього
навантаження, так і тягового зусилля. Напівпричіп не здатний пересуватися, не
будучи пов'язаним з тягачем; для забезпечення його стійкості на цей час він
забезпечується відкидними або висувними стійками.
Конте́йнер -
багатооборотний засіб, призначений для зберігання або перевезення вантажів, які
транспортуються автомобільним, повітряним, водним або залізничним транспортом.
Може бути зроблений з різних матеріалів і мати різноманітні форми. На
транспорті найбільше застосування отримали так звані універсальні контейнери.
Козлові крани - крани мостового типу, міст яких
встановлений на опори, що переміщаються по рейках, встановленим на бетонні
фундаменти.
До основних параметрів козлового крана відносяться:
вантажопідйомність Q; проліт L, тобто відстань по горизонталі між осями
підкранових колій; довжина консолі 
- відстань між віссю рейки підкранової колії і центром зіва гака
вантажопідйомного механізму, що знаходиться в крайньому положенні; максимальна
висота підйому гака Н; швидкість підйому вантажу козловими кранами знаходиться
в межах 8-16 м / хв, а швидкість пересування крана-20-100 м / хв; пересування
та обертання крану; продуктивність крану й висота підйому вантажу і глибина
подавання.
Козлові крани відносяться до категорії підйомних пристроїв
мостового типу. Несучі елементи їх конструкції спираються на підкранових шлях
за допомогою двох опорних стійок.
За призначенням крани можна розділити на три групи. Перша
група - крани загального призначення з порівняно невеликою висотою підйому
(вантажопідйомність до 32 т, прогін - до 32 м, висота піднімання - до 12 м).
Застосовують їх для обслуговування відкритих складських і перевантажувальних
майданчиків. Друга група - будівельно-монтажні козлові крани для монтажу
збірних будівельних споруд і устаткування промислових підприємств
(вантажопідйомність до 100 т, прогін - 80 м, висота піднімання - до 80 м). У
третю групу входять конструкції спеціального призначення для обслуговування
гідротехнічних споруд, перевантаження великотоннажних контейнерів і довгомірних
вантажів.
У козлових кранах використовуються найрізноманітніші
вантажозахватні органи: однорогі і дворогі гаки, грейфери, вантажопідйомні
електромагніти, спеціальні вантажозахватні пристосування - кліщові захвати,
траверси, вантажні рами, спредери.
Залежно від конструкції моста козлові крани поділяються на
однобалкові та двобалочні. Механізм підйому встановлений на вантажному візку,
що переміщається по мосту. Залежно від призначення кран обладнаний одним або
двома механізмами підйому (основним і допоміжним). Потужність приводу і
вантажопідйомність допоміжного механізму підйому, як правило, менше потужності
основного (головного). Швидкість таких механізмів підйому також різна - у
допоміжного зазвичай менша. Є, однак, конструкції козлових кранів, в яких
обидва приводи мають однакові характеристики і працюють синхронно.
Підвісний вантажний візок у цих кранів буває двох типів:
1. Монорейковий. У монорейкового
канатного візка для зменшення згинального моменту, підвіски рами блоків
виконані зі сферичними опорними елементами. Крім обмеженого терміну служби
монорейки, відзначається нестійке положення візка і кабіни в поперечному
напрямку. Бічне розгойдування візка та пересувної кабіни, яке не усувається
застосуванням упорних роликів, негативно впливає на умови роботи кранівника.
При дії на візок бічних навантажень або при виникненні ексцентриситету в
механізмах з траверсою при підйомі вантажів упорні ролики впливають на нижні
пояси моста. У деяких випадках для переміщення кабіни передбачають додаткові
монорейки, що збільшує металоємність конструкції.
. Дворейкова. Іноді дворейкові підвісні
візки постачають монорейковими каретками, а нижні пояси моста виконують з
двотаврових балок, однак при цьому різко зростає число ходових коліс.
Ускладнюються і стають менш надійними вузли кріплення балок до решітки граней
моста.
Козлові крани поділяються на безконсольні, одно-
й двоконсольні. Довжина консолі може досягати 25-30% прогону.
Зазвичай козлові крани виготовляють
двоконсольними. Консоль - це частина моста, що виходить за межі підкранової
колії (опори). Наявність консолей розширює робочу зону кранів, наприклад дає
можливість обслуговувати з одного місця кілька під'їзних залізничних,
автомобільних шляхів та складських майданчиків.
Управління козловим краном здійснюється з підлоги
або з кабіни, яка кріпиться до рами візка або до мосту крана у опори. Швидкість
його зазвичай не перевищує 1 м/с. Вантажопідйомність козлових кранів загального
призначення 3,2…32 т, довжина прольотів 10… 32 м, висота підйому вантажу 7…10 м
(рідше - до 12 м). Вантажопідйомність будівельно-монтажних кранів більше - до
400 т, довжина прольотів - до 80 м, висота підйому - до 30 м.
Параметри козлових кранів спеціального
призначення краще - вантажопідйомність до 900 т, довжина прольотів більше
130 м, висота підйому до 80 м.
Контейнерні крани використовуються в основному
для обслуговування великих перевантажувальних пунктів - морських портів,
контейнерних терміналів, залізничних станцій. Для роботи в морському порту їх
оснащують підйомної консоллю. Вантажозахоплювальним органом контейнерних кранів
є спеціальні вантажні рами (спредери) з автоматичними зачепами під фітинги та
рим-вузли контейнерів. Особливість такої комплектації - те, що кран обладнаний
спеціальним вантажним візком. Параметри козлових контейнерних кранів вантажопідйомністю
20 і 32 т регламентує ГОСТ 24390-99. Висота підйому цих кранів призначається
залежно від умов штабелювання контейнерів, тобто ярусності складування.
Грейферні та магнітні крани поширені менше, ніж
крани загального призначення, так як завдання з перевантаження навалювальних
вантажів і вантажів, що переміщуються електричними магнітами, вирішуються в
основному за рахунок застосування знімних приводних грейферів і магнітів з
незалежним живленням і управлінням. Однак необхідно пам'ятати, що крани цих
типів повинні бути оснащені спеціальними вантажними візками - грейферними або
магнітними, а захватні органи (грейфер або магніт) виробник повинен поставляти
як частину крана. Магнітний кран обов'язково оснащують кабелеукладачем і
кабельним барабаном, ємність якого відповідає висоті підйому магніту.
Основні вузли. Незалежно від конструкції
козловий кран (рис. 1) складається з моста у вигляді ферми 1, що
спирається через опори 2 з візками 3 на підкранові колії.
Міст (ферма) козлового крана може мати одну або
дві консолі, але може бути і без них. У зв'язку з цим крани поділяються на
консольні і безконсольні. Кабіна управління краном розміщується на опорах або
фермі, що забезпечує кранівнику хороший огляд.
Рис. 4.4 Схема козлового крана
Ферма в будівельній механіці стрижнева система,
що залишається незмінною геометрично після заміни її жорстких вузлів
шарнірними. В елементах ферми, при відсутності розцентровки стрижнів і не
вузлового навантаження, виникають тільки зусилля розтягування-стискування.
Ферми утворюються з прямолінійних стержнів, з'єднаних у вузлах. На мосту
козлового крана встановлено і може переміщатися по ньому крановий візок 4
або тельфер, оснащені вантажопідйомним механізмом, до якого підвішується вантаж
5. Крановий візок являє собою встановлену на колеса клепану або частіше
зварену раму, на якій монтуються робочі механізми. Обидва механізми обладнані
крюковими обоймами: крюкова обойма головного підйому і крюкова обойма
допоміжного підйому.
Механізм підйому вантажу складається з канатної
лебідки, поліспаста та вантажозахватного органу. Лебідка містить
приводний електродвигун, через з'єднувальну муфту пов'язаний з вхідним валом
циліндричного зубчастого редуктора. Останній обертає барабан, на який
навивається одна або дві гілки каната підйомного поліспаста. Гальмівний шків
встановлений на вхідному валу редуктора. У механізмах підйому вантажу
використані одинарні або здвоєні канатні поліспасти.
Довжину канатів і розміри канатних барабанів
відбирають таким чином, щоб при можливо нижчому положенні вантажозахватного
органу на барабані залишалося не менше 1,5 витка кожного з кінців канатів. Якщо
лебідку монтують на мосту крана, до складу механізму підйому входить система
відвідних блоків вантажного каната.
Лебідка канатного механізму пересування по схемі
аналогічна підйомної лебідки, на барабан якої в протилежних напрямках
запасовані тягові канати, прикріплені іншими своїми кінцями до вантажного
візку. Для вибірки слабини і створення необхідного попереднього натягу каната в
одного з його кінців передбачено натяжний гвинтовий пристрій, у вигляді ручної
черв'ячної лебідки.
На кранах для підйому вантажу або для допоміжних
цілей застосовують електричні талі, які представляють собою компактний
вантажопідіймальний механізм. Механізм підвішений до двох - або чотириколісним
візкам, переміщається по підвісним монорейковим шляхам.
5. Технологічний процес перевезення вантажів
автомобільним транспортом
Для перевезень торговельних вантажів на короткі
відстані найчастіше використовується вантажний автомобільний транспорт, який
забезпечує перевезення товарів від станцій залізниць, зі складів виробничих і
сільськогосподарських підприємств на склади оптових підприємств і з цих складів
в об'єкти роздрібної та дрібно-роздрібної торговельної мережі, для переміщення
товарів між магазинами і для виїзної торгівлі.
Основними нормативними документами, які
регламентують перевезення вантажів автомобільним транспортом, є Статут
автомобільного транспорту і Правила перевезення вантажів автомобільним
транспортом в Україні.
В сучасних умовах багато підприємств торгівлі
володіють власними засобами автомобільного транспорту і виконують ним
перевезення торговельних вантажів. Разом - з тим часто для цих перевезень
використовується транспорт спеціалізованих автотранспортних підприємств, які
належать до категорії транспорту загального користування.
Підприємства торгівлі висувають до рухомого
складу автомобільного транспорту специфічні експлуатаційні і технологічні
вимоги. Зокрема, автотранспорт для перевезень товарів народного споживання
повинен:
бути спеціалізованим, тобто: а) відповідати
оптимальним умовам перевезень конкретних груп та найменувань товарів; б)
забезпечувати механізацію вантажно-розвантажувальних робіт при виконанні
транспортно-експедиційних операцій;
відповідати вимогам розвитку перспективних
транспортних систем, зокрема контейнерної транспортної системи;
бути високоманевровим, мати широкий діапазон
вантажопідйомності;
мати високу прохідність для доставки товарів в
умовах торгівлі в сільській місцевості;
передбачати можливість збільшення габаритів
кузова та пристосованість їх для багатоярусного укладання товарів з метою
ефективного використання вантажопідйомності транспортних засобів.
Ці підприємства виконують централізовані
перевезення вантажів, забезпечують транспортно-експедиційне обслуговування
вантажовідправників і вантажоодержувачів, здійснюють прямі, змішані
залізнично-автомобільні та водно-автомобільні перевезення вантажів.
Для перевезень торговельних вантажів
підприємствами транспорту загального користування необхідно додержувати
заведеного порядку їх планування та організації, який базується на укладанні
між перевізниками та замовниками (вантажовідправниками або вантажоодержувачами)
договорів про перевезення вантажів автомобільним транспортом. Ці договори є
основною формою організаційно-правових документів з планування та організації
перевезень.
Автомобільним транспортом здійснюються
перевезення, які класифікуються за: належністю транспорту (транспорт загального
користування, відомчий транспорт, власний транспорт підприємницьких організацій
та формувань); відстанню перевезень (приміські, міжміські, міжнародні);
способами організації і виконання перевезень (централізовані, децентралізовані,
прямі, змішані, комбіновані, контейнерні, пакетні); тривалістю перевезення
(постійні, сезонні, тимчасові); видами вантажів (за видами продукції або видами
тари); розмірами парти вантажів (масові, партійні, дрібно-партійні).
За умовами договору перевезення вантажів
перевізник зобов'язується доставити наданий вантаж в пункт призначення і видати
його уповноваженій на отримання вантажу особі (одержувачеві), а відправник
зобов'язується оплатити за перевезення вантажу встановлену плату. У договорі
встановлюються: термін його дії, обсяги перевезень, умови перевезень (режим
роботи по видачі та прийманню вантажу, забезпечення цілісності вантажу,
виконання вантажно-розвантажувальних робіт і т. ін.), вартість перевезень і
порядок розрахунків, порядок визначення раціональних маршрутів, обов'язки
сторін, відповідальність тощо.
Відповідно до договору перевізник і замовник у
межах квартального плану за 10 днів до початку кожного місяця визначають
місячні плани декадними плановими завданнями на перевезення вантажів. На
перевезення вантажів автотранспортом замовник надає перевізнику за наявності
договору заявку (на день, тиждень, декаду, місяць) встановленої форми. Заявка
подається перевізнику в строк, визначений договором, телефонограмою,
телетайпом, телеграфом, телексом, іншим фіксованим способом. У цьому разі в
заявці мають бути необхідні відомості, які характеризують найменування та
кількість вантажу, адреси завантаження та розвантаження, відстані перевезення
та вид упаковки.
Перевезення торговельних вантажів можуть
здійснюватися також за разовим договором.
Основними документами, які оформляються на
перевезення вантажів автотранспортом, є товарно-транспортні накладні та
подорожні листи вантажного автомобіля. Залежно від виду вантажу та його
специфічних властивостей до основних документів додаються інші (ветеринарні,
санітарні та якісні сертифікати, свідоцтва, довідки, паспорти тощо), що
визначається правилами перевезень зазначених вантажів.
Безпосередньо перевезення вантажу покладається на
водія автомобіля, а його супровід та охорона вантажу в дорозі - на експедитора,
з яким укладається договір про особисту матеріальну відповідальність. Проте
досить часто в господарській практиці мають місце випадки, коли функції
експедитора за додаткову оплату виконує водій автомобіля, а в деяких випадках
експедирування вантажів можуть здійснювати інші посадові особи
вантажовідправника або вантажоодержувача, наприклад товарознавці підприємств
оптової або роздрібної торгівлі.
Оформлення перевезень вантажів
товарно-транспортними накладними здійснюється незалежно від умов оплати за
роботу автомобіля. Вантажовідправник повинен виписати товарно-транспортну
накладну на перевезення вантажів у кількості, не меншій ніж 4 примірники,
засвідчити їх підписом і за необхідності печаткою (штампом). Після прийняття
вантажу згідно з товарно-транспортною накладною експедитор (водій) підписує всі
її примірники. Перший примірник товарно-транспортної накладної залишається у
вантажовідправника, другий - передається експедитором (водієм)
вантажоодержувачу, третій і четвертий примірники, засвідчені підписом вантажоодержувача
(у разі потреби - печаткою або штампом), передаються перевізнику.
У тих випадках, коли в товарно-транспортній
накладній немає можливості перелічувати всі найменування вантажу,
підготовленого для перевезення, до такої накладної замовник додає документ
довільної форми з обов'язковим зазначенням відомостей про вантаж. У цих
випадках в товарно-транспортній накладній зазначається, що до неї додається як
товарний розділ документ, без якого товарно-транспортна накладна вважається
недійсною і не може використовуватись для розрахунків із замовником.
Основними етапами технологічного процесу
перевезення вантажів автомобільним транспортом є: приймання вантажу до
перевезення; маркування і пломбування вантажу;
• завантаження автомобіля; оформлення
документації; здійснення процесу перевезення і доставки вантажу одержувачеві;
розвантаження автомобіля; приймання вантажу одержувачем; проведення розрахунків
за перевезення вантажу.
Для забезпечення збереження вантажу та
раціонального використання вантажопідйомності транспортного засобу і об'єму
його кузова вантажовідправник зобов'язаний до прибуття автомобіля під
завантаження підготувати вантаж до перевезення. З цією метою вантажі
укладаються в справну транспортну тару, визначену стандартами, ТУ, договором
тощо, а на кожне вантажне місце наноситься маркування. У разі неправильного
укладання та упакування товарів або ж при використанні тари, яка не відповідає
фізико-хімічним властивостям товарів, майнова відповідальність за пошкодження
чи втрату товару покладається на вантажовідправника. У разі, коли
передбачається перевезення одним автомобілем товарів для кількох
вантажоодержувачів, вантажі мають бути відповідно згруповані.
Час прибуття автомобіля під завантаження
відраховується з моменту подання водієм подорожнього листа в пункті
завантаження, а час прибуття автомобіля під розвантаження - з моменту подання
ним же товарно-транспортної накладної в пункті розвантаження. На виконання
завантажувальних і розвантажувальних робіт виділяється час, який визначається
за основними нормами часу простою автомобіля під завантаженням і
розвантаженням, установленими залежно від маси вантажу і типу кузова
автомобіля. При виконанні цих операцій традиційно додержуються практики,
відповідно до якої завантаження вантажів у кузов автомобіля, їх закріплення,
накривання та ув'язування виконуються вантажовідправником, а вивантаження
вантажів з кузова автомобіля, знімання кріплень та покриттів -
вантажоодержувачем; до обов'язків водія входить перевірка відповідності
укладання і закріплення вантажу в кузові автомобіля вимогам безпеки руху і
забезпечення збереження транспортного засобу. У разі виявлення недоліків щодо
укладання чи закріплення вантажу, які загрожують збереженню вантажу, водій
повинен повідомити вантажовідправника з метою ліквідації виявлених відхилень
(порушень).
Завантаження автомобіля має здійснюватися до
повного використання об'єму його кузова, але при цьому забороняється
перевищувати вантажопідйомність автомобіля. У разі перевезень легковагових
вантажів вантажовідправник може використовувати можливості для підвищення рівня
використання автомобілі.
Важливою умовою підготовки вантажів до
перевезення є визначення їх кількості, насамперед маси. Визначення маси вантажу
проводиться засобами вантажовідправника спільно з представником автотранспортного
підприємства. У разі перевезень вантажів у критих автомобілях і причепах,
контейнерах, цистернах, опломбованих вантажовідправником, масу вантажу визначає
він сам.
Завантаження вважається закінченим після вручення
водієві оформлених товарно-транспортних накладних.
У пункті призначення вантажі повинні здаватися
вантажоодержувачеві за масою і кількістю місць у тому самому порядку, в якому
вони приймалися від вантажоодержувача. Вантаж у пункті призначення мас
видаватися тільки тому представникові вантажоодержувача, який указаний у
товарно-транспортній накладній. У разі прибуття вантажів у справних
автомобілях, причепах, контейнерах, цистернах з непошкодженими пломбами
відправника, вони видаються без перевірки маси, якісного стану вантажу і
кількості вантажних місць. Також можуть здаватися без перевірки маси навальні
або насипні вантажі, які прибули в пункт призначення без ознак нестачі, але це
можливе лише в разі відсутності у вантажоодержувача автомобільної ваги. У разі
перевезення тарно упакованих і поштучних вантажів їх видають на основі
перевірки за участі представника автотранспортного підприємства маси і стану
вантажу тільки кожного пошкодженого місця. Для цього пошкоджені місця
розкривають і перевіряють вантаж за товарно-транспортними накладними.
Перевірку маси, кількості місць і якісного стану
вантажу за участі представника автотранспортного підприємства обов'язково
потрібно проводити в пункті призначення в разі:
прибуття вантажу в несправному кузові
транспортного засобу або в справному кузові, але з пошкодженими пломбами чи з
пломбами іншої вантажної станції;
прибуття вантажів з обмеженими термінами
зберігання з порушенням термінів доставки цього вантажу або встановленого
транспортного режиму під час транспортування;
прибуття вантажу, який завантажувався
автотранспортним підприємством;
видавання вантажу зі складу транспортного
підприємства.
За підсумками приймання вантажів у разі виявлення
нестачі, псування або пошкодження вантажу оформляється відповідний акт, про що
робиться запис у товарно-транспортній накладній. Якщо ж відхилень від
товарно-супровідних документів не виявлено, то факт отримання вантажу
підтверджується підписом матеріально відповідальної особи і печаткою
вантажоодержувача в 3 примірниках товарно-транспортної накладної, два з яких повертаються
водієві.
Розвантаження автомобіля, як правило, проводиться
силами і засобами вантажоодержувача. Після вивантаження товару вантажоодержувач
повинен очистити кузов автомобіля, а після перевезення вантажів з обмеженими
термінами зберігання, сирих тваринних продуктів, тварин, птиці - промити кузов
або ж оплатити ці роботи в разі здійснення їх підприємством транспорту.
При організації перевезень необхідно правильно
визначати потрібну кількість автомобілів для доставки окремих вантажів з метою
ефективного використання парку автомобілів.
Оплата перевезень вантажів автомобільним
транспортом проводиться відповідно до укладеного договору на перевезення
вантажів. Рахунок за виконані перевезення виписується на підставі належно
оформлених подорожніх листів разом з товарно-транспортними накладними, а при
користуванні автомобілями, робота яких оплачується виходячи з часу роботи
автомобіля у замовника - тільки подорожніх листів.
Для характеристики ефективності використання
автотранспорту потрібно визначати:
показники, які характеризують рівень використання
рухомого складу вантажного автотранспорту (коефіцієнти технічної готовності,
випуску і використання рухомого складу, коефіцієнти статичного і динамічного
використання вантажопідйомності автомобіля, коефіцієнт використання пробігу,
середня відстань поїздки з вантажем і середня відстань перевезення, час простою
під завантаженням-розвантаженням, час у наряді, технічна та експлуатаційна
швидкість);
результативні показники роботи рухомого складу
(кількість поїздок, загальна відстань перевезень і пробіг з вантажем, обсяг
перевезень і транспортна робота).
Перевезення вантажів залізничним транспортом в
Україні регулюються Статутом залізниць України, Правилами перевезення вантажів,
Технічними умовами навантаження і кріплення вантажів, іншими нормативними
документами, а також договором, який укладається між транспортним підприємством
і вантажовідправником, експедитором або іншим замовником. Робота з організації
перевезень на залізниці покладена на спеціальні служби залізниці: товарні
контори станцій, товарні каси, багажні (вантажні) двори. В їх обов'язки входить
оформлення і перевірка складених вантажовідправниками документів на вантажні
перевезення, а також забезпечення процесу доставки вантажів.
Перевезення торговельних вантажів залізницею
здійснюються на договірних засадах на основі місячного планування перевезень.
Основою місячного планування перевезень є поточні або довгострокові договори
про організацію перевезення та замовлення відправників або експедиторів. Для
цього в місцеве Управління залізниці замовник не пізніше ніж. за 14 днів до
початку місяця, в якому планується перевезення, повинен подати заявку для
отримання необхідної кількості вагонів або контейнерів. Така заявка подається у
трьох примірниках, кожний з яких підписується керівником підприємства і його
підпис затверджується печаткою, за формою розгорнутого плану перевезень
вантажів за встановленою номенклатурою, з розподілом по видах вантажів,
станціях відправлення і залізницях призначення, а по вантажах, що
відвантажуватимуться у межах залізниці відправлення - з розподілом по станціях
призначення. При цьому обсяги перевезень розраховуються в тоннах і вагонах або
тільки у вагонах. Вантажовідправники подають окремий розгорнутий план по кожній
станції відправлення на кожну номенклатурну групу вантажів.
Після розробки місцевою залізницею місячного
плану перевезення вантажів та доведення його до відома вантажовідправника він
повинен подати декадне замовлення на надання вагонів у розрізі днів декади і
напрямків перевезення.
На основі отриманого повідомлення місцевої
станції залізниці про кількість виділених вагонів у розрізі вантажів і
залізниць або станцій призначення вантажовідправник повинен забезпечити
підготовку вантажу до відправки, визначити спосіб його переміщення, оформити
відповідні перевізні документи і передати вантажі транспортному підприємству.
Важливу роль в організації перевезення відіграє
спосіб перевезення вантажів, який визначається низкою ознак, що базуються на
класифікації залізничних перевезень за територіальною ознакою і видом
сполучення, видом відправлення, швидкістю перевезення тощо. Швидкість
перевезення вантажу вибирає і вказує в залізничній накладній вантажовідправник.
Основним перевізним документом при залізничному
перевезенні є транспортна залізнична накладна, яка супроводжує вантаж до
станції призначення і передається вантажоодержувачеві разом з вантажем. У
накладній вказуються відомості про відправника і одержувача, швидкість
перевезення, найменування вантажу, кількість місць і масу вантажу, оголошену
цінність вантажу, час приймання його до перевезення та ін. Крім накладної
заповнюються інші передбачені документи. У транспортній залізничній накладній
залізниця зобов'язана проставити календарний штемпель, що підтверджує факт
прийняття вантажу для перевезення. Квитанція про прийняття вантажу до
перевезення видається вантажоодержувачеві під розписку у відповідній графі
корінця дорожньої відомості.
Перевезення вантажів по залізниці за
територіальною ознакою поділяють на внутрішні перевезення та міжнародні
перевезення (в тому числі перевезення експортних та імпортних вантажів і
транзитні перевезення); залежно від виду сполучення внутрішні перевезення
вантажів залізницею поділяють на місцеві перевезення; перевезення в прямому
внутрішньому сполученні; перевезення в змішаному сполученні, зокрема,
перевезення в прямому змішаному сполученні.
За видами відправлення, тобто з урахуванням
розміру партії, що відправляється по залізниці, виділяють перевезення:
дрібними відправленнями - вони мають місце тоді,
коли партія вантажів, пред'явлених до перевезення за одним перевізним
документом, не потребує надання окремого вагона. Перевезення дрібними
відправленнями здійснюють, як правило, у збірному універсальному вагоні. В
такому вагоні дрібні партії вантажу, які належать різним вантажовідправникам,
об'єднуються в одну вагонну партію з оформленням перевезення за окремими
залізничними накладними;
вагонні відправлення - вагонним відправленням
вважається партія вантажу, пред'явлена за однією залізничною накладною, для
перевезення якої надається окремий вагон;
контейнерні відправлення - контейнерним
відправленням вважається вантаж, який пред'явлений за одним перевізним
документом для перевезення в контейнері, або контейнер в порожньому стані.
В практиці залізничних перевезень виділяють також
перевезення групами вагонів і перевезення маршрутами.
Залежно від швидкості всі залізничні вантажні
перевезення поділяються на:
перевезення вантажною швидкістю (її забезпечують
всі вантажні поїзди). При перевезеннях більшості звичайних вантажів в
універсальних вагонах дрібними відправленнями її умовно приймають у розмірі 180
км за добу; вагонними відправленнями - 330 км за добу, маршрутними - 550 км за
добу;
перевезення великою швидкістю. Застосовується для
перевезень вантажів з обмеженими термінами зберігання, для перевезень цінних
вантажів, інших вантажів за бажанням вантажовідправника і за узгодженням
залізницею. При таких перевезеннях норма пробігу вагона з вантажем становлять
від 550 км за добу до 660 км за добу;
перевезення багажною швидкістю. У цьому разі
швидкість перевезення залежить від розкладу руху конкретного пасажирського
поїзда.
Транспортна залізнична накладна і квитанція про
прийняття вантажу, які видаються вантажовідправникові, підтверджують укладення
договору перевезення вантажу, за яким залізниця зобов'язується вчасно і в
цілісності доставити вантаж на залізничну станцію призначення з дотриманням
умов його перевезення і видати вантаж вантажоодержувачеві, а вантажовідправник
- оплатити це перевезення.
Технологічний процес перевезення вантажів
залізницею включає такі технологічні операції: подача вагонів під завантаження;
пред'явлення вантажу до відправки; завантажування вантажу у вагон;
безпосередньо перевезення і супровід вантажу в дорозі; операції з прибуття
вантажів.
Виконання цих операцій проводиться після того, як
вантажовідправник підготує вантаж до відвантаження. Перед подачею вантажів до
перевезення вантажовідправник зобов'язаний запакувати товари належної якості у
стандартну транспортну тару. На тарні одиниці та поштучні вантажі обов'язково
наноситься транспортне маркування і, якщо потрібно, спеціальні знаки та написи,
які попереджують виконавців робіт з вантажами про способи поводження з ними. У
транспортному маркуванні повинні бути зазначені найменування вантажовідправника
і вантажоодержувача, станцій відправлення та призначення, порядкові номери
вантажних місць, маса вантажу. Відповідальність за правильність підготовки
вантажів до перевезення несе вантажовідправник; якщо вантажі запаковані з
порушенням вимог стандартів, залізниця має право відмовитися від їх приймання
до перевезення.
Підготовлені до перевезення вантажі завозяться на
станцію залізниці або ж відправляються безпосередньо з під'їзних колій
вантажовідправника. В останньому разі станція залізниці не пізніше ніж за 2
години до подачі порожніх вагонів під завантаження повинна повідомити
вантажовідправника.
Під завантаження повинні подаватися справні,
очищені всередині та назовні, за потреби - продезінфіковані, придатні для
перевезення конкретних вантажів вагони. Перед завантаженням працівники
відправника повинні перевірити справність поданого вагона, оскільки в разі
пошкоджень чи псування вантажів, що перевозяться у несправному вагоні, відповідальність
несе відправник. Особливу увагу потрібно звертати на вагони для перевезення
вантажів з обмеженими термінами зберігання - ізотермічні вагони,
вагони-рефрижератори, які повинні забезпечувати підтримання необхідного
температурного режиму. Відправник має право відмовитися від несправного вагона
і вимагати його заміни.
Завантаження вантажів у вагони, а також
вивантажування з них може проводитися вантажовідправником або
вантажоодержувачем, а в установлених Статутом залізниць України випадках - силами
залізничної станції.
Під час завантаження вантажів у вагони і
контейнери потрібно враховувати їх вантажопідйомність і не допускати її
перевищення; завантажувати вагон необхідно до висоти його бортів. Укладаючи
вантажі у вагони, потрібно враховувати технічні вимоги розміщування вантажів у
вагонах і контейнерах, закріплювати вантажі для запобігання їх переміщенню під
час транспортування. Для скорочення тривалості виконання навантажувальних
операцій рекомендується широко застосовувати відповідні засоби механізації. Це
тим більше важливо, що встановлено спеціальні терміни завантаження вагонів, за
недодержання яких передбачені штрафні санкції.
Завантажені вагони повинні бути опломбовані
залізницею або відправником. Як правило, вантажі відправляються: за пломбами
відправника - коли вантаж завантажений і зважений засобами відправника; за
пломбами залізниці - коли вагон завантажується і зважений її засобами.
Зміст відтисків пломб і їх кількість повинні
вказуватись у супровідних документах і в накладній, котра залишається на
станції. Порядок пломбування вагонів і контейнерів запірно-пломбувальними
пристроями встановлюється правилами перевезення вантажів залізницею.
Як правило, на під'їзних коліях відправника
вантажі завантажуються власними силами і засобами вантажовідправника; на
станції залізниці завантаження вантажів здійснюється силами і засобами
залізниці; завантаження вантажів у контейнери здійснюється силами і засобами
відправника, а їх вивантаження з контейнерів - силами і засобами
вантажоодержувача. Нормативними документами передбачено можливість виконання
всіх вантажних робіт силами залізниці на оплатній основі відповідно до договору
між вантажовідправником та залізницею.
Як правило, до моменту відвантаження вантажів
вантажовідправник повинен внести оплату за перевезення вантажів та інші
передбачені платежі, в іншому разі залізниця може затримати відправлення
вантажу.
Оплата перевезень вантажів залізницями
визначається за регульованими або договірними тарифами залежно від кількості
вантажів, виду відправлення, відстані та швидкості перевезення, виду
використовуваного вагона та його належності. Крім тарифних ставок
застосовуються також тарифні збори.
На підтвердження факту прийняття вантажу до
перевезення відправнику вручається вантажна квитанція, яка разом з рахунком на
оплату товарів відправляється одержувачеві товару. Остаточний розрахунок за
перевезення проводиться вантажоодержувачем після прибуття вантажу на станцію
призначення до дати видачі вантажу.
Залізниця зобов'язана забезпечувати доставку
вантажів за призначенням і в обумовлені терміни. Терміни перебування вантажу в
дорозі розраховуються за нормами добового пробігу вантажів, які залежать від
виду вагону, виду відправлення, характеру вантажу, швидкості доставки і
відстані перевезення. Крім того, додатково виділяється час на виконання
операцій, пов'язаних з відвантаженням та прибуттям вантажу і на виконання
додаткових операцій над вантажами в процесі їх доставки.
Відрахунок терміну доставки вантажу проводиться з
24 год. дня приймання його до перевезення. Дата приймання вантажу до
перевезення і дата завершення терміну доставки мають бути вказані у вантажній
квитанції.
Вантажі вважаються доставленими вчасно, якщо на
станції призначення вони вивантажені залізницею, про що повідомлено
вантажоодержувача, або якщо вагони (контейнери) з вантажами подані для
вивантаження вантажоодержувачем до закінчення встановленого терміну доставки.
Статутом залізниць України передбачено матеріальну відповідальність залізниці
за недотримання термінів доставки вантажів.
За несвоєчасну доставку вантажів і порожніх
вагонів, що належать підприємствам, організаціям, установам,
громадянам-суб'єктам підприємницької діяльності або орендованих ними, залізниця
сплачує одержувачу штраф.
Операції з прибуття вантажу включають:
повідомлення вантажоодержувача про прибуття вантажу на його адресу; оформлення
документів на право одержання вантажів; приймання вантажу від транспортного
підприємства.
Залізнична станція повинна повідомити
вантажоодержувача про прибуття вантажу на Його адресу в той самий день, але не
пізніше від 12 год. наступного дня. Повідомлення про час подачі вагонів
(контейнерів) з вантажами до місця вивантажування їх вантажоодержувачем має
бути зроблене станцією залізниці не пізніше ніж за 2 години до оголошеної
подачі вагонів (контейнерів).
Видавання вантажів може здійснюватися не тільки
способом видачі вагонів чи контейнерів з пристанційного складу або іншого
вантажного сховища, але й через подачу вагонів на під'їзні шляхи
вантажоодержувача.
Вантажі, що прибули, зберігаються на станції
безкоштовно протягом доби. Цей термін обчислюється з 24-ї години дати
вивантаження вантажу (контейнера) засобами залізниці або з 24-ї години дати
подачі вагонів під вивантаження засобами одержувача. Одержувач зобов'язаний за
цей час прийняти й вивезти зі станції вантаж, що надійшов на його адресу. За
зберігання вантажу на станції понад зазначений термін справляється плата,
встановлена тарифами.
Для отримання вантажу представник
вантажоодержувача повинен звернутися в товарну контору станції і пред'явити
відповідне доручення. У товарній конторі перевіряється правильність і повнота
нарахування плати за перевезення, оплачуються додаткові операції з вантажем та
ін. Після остаточного розрахунку представникові одержувача видається накладна,
на зворотному боці якої календарним штемпелем засвідчується час оформлення
видачі вантажу. Вантаж видається вагарем після надання йому оформленої
накладної.
Приймання вантажів від станції залізниці може
проводитися на складах станції або безпосередньо з вагонів, а також безпосередньо
на складах вантажоодержувача, які мають під'їзні колії. Приймаючи вантаж,
представник одержувача зобов'язаний перевірити, чи забезпечене його збереження
під час перевезення. При цьому він перевіряє стан (справність) вагона,
цілісність пломб і відтиски на них, справність тари й упаковки, відповідність
даних у накладній та за маркуванням фактичній кількості місць, масі, якості
товарів, проводить внутрішній огляд вагона та стану укладання в ньому вантажів
тощо.
Участь залізниці в процесі приймання вантажу
залежить від того, за чиїми пломбами прибув вагон. При прибутті вантажів у
справних вагонах з непошкодженими пломбами вантажовідправника зважування
вантажів не проводиться, що зазначається у транспортній залізничній накладній.
Після цього представник вантажоодержувача розписується в дорожній відомості,
отримує вагон (контейнер) та організовує дальші операції з вантажами відповідно
до прийнятої транспортно-технологічної схеми.
Якщо вантажі прибули у вагоні за пломбами
залізниці, вантажоодержувач зобов'язаний вимагати перевірки маси вантажів,
кількості місць і якісного стану вантажу навіть у разі прибуття вантажу за
цілими непошкодженими пломбами.
Також залізниця зобов'язана перевірити вантажі в
разі: прибуття вантажів, які були завантажені силами й засобами
вантажовідправника і за його пломбами, якщо на станції призначення виявлена
несправність вагона або пошкодження пломб; прибуття вантажу з ознаками нестачі,
псування або пошкодження під час перевезення у відкритому рухомому складі;
прибуття вантажів з обмеженими термінами зберігання з порушеннями встановлених
термінів доставки або з порушенням температурного режиму при перевезенні
вантажу в рефрижераторному вагоні; видачі вантажу, який був вивантажений
станцією залізниці в місцях загального користування.
Вантажі, які надійшли дрібними відправленнями,
приймаються за масою, кількістю місць і їх станом з участю представника
залізниці.
При виявленні порушень представник одержувача
зобов'язаний вимагати оформлення і видання йому комерційного акта. Якщо залізниця
відмовляється від складання комерційного акта, то вантажоодержувач протягом 24
годин повинен подати заяву-скаргу на ім'я начальника відділку або начальника
Управління залізниці через начальника станції, а приймання вантажу проводити з
участю представника незацікавленої організації, громадськості або транспортної
міліції. При встановленні розбіжностей у кількості (якості) заповнюється
відповідний акт про встановлення розбіжностей у кількості (якості) при
прийманні товарів. Відповідь на заяву-скаргу про відмову у складанні
комерційного акта начальник відділку залізниці зобов'язаний дати протягом 3 діб
(по товарах з обмеженими термінами зберігання - протягом 24 годин).
Комерційні акти, оформлені на спеціальних бланках
у 3 примірниках, підписуються начальником станції, завідувачем вантажного
двору, особою, що проводила зважування вантажу, вантажоодержувачем. Перший
примірник комерційного акта передається у відповідну службу залізниці, 2-й
примірник, видається вантажоодержувачу, 3-й примірник зберігається у справах
станції. Комерційний а кг основним документом, на підставі якого можуть
пред'являтись претензії на в іди і кодування залізницею матеріальних збитків. В
окремих випадках заповнюються також акт загальної форми і технічний акт.
Крім претензій за нестачу чи пошкодження вантажів
при перевезенні замовники можуть пред'являти до залізниці претензії за
прострочення терміну доставки вантажів, за неподання вагонів або контейнерів,
за перебір проїзних платежів тощо. Розміри відповідних штрафів передбачені Статутом
залізниць України.
Прийняті вантажі мають бути вчасно вивантажені з
вагона. Операції розвантаження вагонів можуть здійснюватись силами і засобами
як вантажоодержувача, так і залізниці. Терміни розвантаження встановлюються
чинними нормативними документами і залежать від виду вантажу, способу
розвантаження тощо. Тривалість простою вагона під розвантаженням визначається
від моменту подачі вагона під розвантажування і закінчуючи моментом отримання
станцією залізниці повідомлення вантажоодержувача про готовність вагонів до
прибирання. Вантажоодержувачі зобов'язані забезпечувати цілодобове
розвантажування вагонів для того, щоб не допускати понаднормативних простоїв
транспортних засобів.
7. Правила перевезень вантажiв у контейнерах
Унiверсальнi автомобiльнi контейнери призначенi
для перевезення дрiбних партiй вантажiв без тари, у первиннiй або у полегшенiй
Tapi. В цих контейнерах перевозяться продовольчi i промисловi товари широкого
споживання, продукцiя виробничо-технiчного призначення, с:iльськогосподарськi
продукти i домашні речі громадян.
Забороняється перевозити в унiверсальних
контейнерах вантажi, якi швидко псуються, сипучi вантажi без тари, вибуховi,
займистi та отруйнi речовини, смердючi вантажi та тi, якi забруднюють стiни i
пiдлогy контейнера, а також вантажi, якi не можуть бути завантаженi в контейнер
або вивантаженi з нього без застосування вантажно-розвантажувальних механiзмiв.
Oкремі вантажнi мiсця, якi подаються для перевезення в контейнерi, мають бути
вагою не бiльше 80 кг.
Спецiальнi контейнери належать
вантажовiдправникам i вантажоодержувачам та призначаютъся для перевезення
aвтомобiльним транспортом певних видiв вантажiв, якi потребують додержання
особливих умов пiд час транспортування.
Унiверсальнi автомобiльнi контейнери, що належать
перевiзникам, повиннi мати єдину нумерацiю, а також нанесене фарбою, що
контрастно видiляється Biд кольору контейнера, таке маркування: розпiзнавальний
знак; номер контейнера; найменування власника контейнера; вантажнiсть i маса
тари контейнера, кг; внутрiшнiй об'єм контейнера, м3; мiсце, мiсяць
i piк виготовлення контейнера; час останнього капiтального ремонту i наступного
ремонту контейнера.
Номер контейнера наноситься на всіх бокових
стінках, даху i всерединi контейнера.
Унiверсальнi автомобiльнi та спецiальнi
контейнери, якi належать власникам вантажу, повиннi мати маркування, яке
запроваджене власником майна. При цьому обов'язково наноситься вантажнiсть i
маса тари контейнера, а також внутрiшнiй об'єм контейнера.
Для перевезення контейнерiв перевiзник повинен
використовувати автомобiлi (автопоїзди) iз бортовими платформами або
спецiалiзований рухомий склад (низькорамнi напiвпричепи-контейнеровози,
автомобiлi iз вантажопiднiмальними пристроями тощо).
Розмiщення унiверсальних автомобiльних i
спецiальних контейнерiв на рухомому складi слiд здiйснювати iз урахуванням
рівномірного розподiлу навантаження на поверхню платформи.
Для полiпшення органiзацii перевезення вантажiв у
контейнерах вантажовiдправники i вантажоодержувачi, Перевiзники можуть
створювати обмiннi контейнернi пункти на мiсцях вiдправлення та одержання
вантажiв.
Приймання вантажiв для перевезення в контейнерах
здiйснюється: при наявностi Договору - на пiдставi заявки, а при вiдсутностi
Договору - разового договору.
Для перевезення вантажiв у контейнерах у Договорi
обумовлюються: обсяги перевезень вантажiв у контейнерах кожного типу; гpафiк
завезення порожнix i вивезення завантажених контейнерiв вiд вантажовiдправника;
порядок виконання завантаження i розвантаження контейнерів; надання
вантажовiдправником i вантажоодержувачем майданчикiв для короткочасного
зберiгання контейнерiв; порядок i термiни повернення порожнix контейнерiв;
термін обороту контейнерiв.
Перевізники повиннi подавати пiд завантаження
справжні контейнери, які придатні для перевезення конкретного вантажу, очищення
від залишків вантажу і сміття. Придатнiсть контейнера у комерційному відношенні
для перевезення вантажу визначається вантажовiдправником. Не можна перевозити
вантаж у контейнерах, якi мають перекошенi каркаси, несправностi запiрних
пристроїв або пристроїв для пломбування, трiщини або нaдривм пiдйомних cepeг,
пошкодження обшивки або покрiвлi та інші несправності, які можуть спричинити
недостачу, зіпсуття або пошкодження вантажу.
Вiдповiдальнiсть за розмiщення вантажу всерединi
контейнера несе вантажовiдправник. Вантажовiдправник зобов'язаий помiстити
вантаж у контейнерi так, щоб виключити можливiсть його перемiщення всерединi
контейнера при перевезеннi i щоб навантаження на пiдлогу i тиск на стiнки
контейнера були рiвномiрними. При розмiщеннi вантажу вантажовiдправник по…
винен залишати вiльним простiр між вантажем i дверима контейнера від 30 до 50
мм.
Вантажовiдправник зобов'язаний завантажувати
вантаж у контейнер не бiльше його встановленої вантажностi.
В кожний контейнер з вантажем вантажовiдправник
повинен укладати опис вантажу, який засвiдчується його пiдписом i печаткою, iз
зазначенням кiлькостi завантажених місць і вартості кожного вантажного мiсця.
Пiсля завантаження вантажу вантажовiдправник
повинен зачинити контейнер, закрiпити ручку замка контейнера дpoтом дiаметром
не менше 2 мм, опломбувати контейнер у порядку, передбаченому Правилами,
навiсити бирку довжиною 120-150 мм i шириною 80-100 мм, на якiй зазначаються
пункти вiдправлення та призначення вантажу i найменування вантажоодержувача.
Пiд час приймання завантаженого контейнера
проводиться зовнiшнiй огляд контейнера, перевiряється наявнiсть пломби та
справнiсть, цiлiснiстъ пломбувального дроту, а також вiдповiднiсть номера
контейнера i вiдправницького контрольного знака на вiдтиску пломби номеру
контейнера i контрольному знаку, зазначеним у товарно-транспортнiй накладнiй.
Не приймаються для перевезення контейнери з невиразними вiдтисками пломб, а
також з неправильно навiшеними пломбами, несправнi контейнери зi слiдами розкрадання,
зiпсуття або ушкодження вантажу.
При виявленнi несправностi контейнера або пломби,
невiдповідності номера контейнера i знакiв на вiдтисках пломби та в
товарно-транспортнiй накладнiй водiй (експедитор) зобов'язаний повiдомити про
це вантажовiдправника. Тiльки пiсля усунення виявлених недолiкiв такі
контейнери приймаються для перевезення.
авантаження контейнерiв вантажем у
вантажовiдправника i вивантаження вантажу iз контейнера у вантажоодержувача
здiйснюються, як правило, пiсля того, як контейнери будуть знятi з автомобiля
(автопоїзда). Зняття завантаженого або порожньогo контейнера iз рухомого
складу, вивантаження та завантаження вантажiв у контейнер, установлення
навантажених або порожнix контейнерiв на рухомий склад здiйснюються
вантажовiдправником i вантажоодержувачем. За Договором зняття i встановлення
контейнерiв на рухомий склад може виконуватись перевiзником.
При завантаженнi контейнерiв без зняття їx iз
рухомого складу вантажовiдправник повинен розмiщати контейнери на pyхомому
складi дверима до бортiв з таким розрахунком, щоб була можливiсть здiйснювати
завантаження вантажiв та їx вивантаження iз контейнерiв безпосередньо на
рухомому складi. У разi перевезення неповного комплекту контейнерiв їx
становлять впритул до переднього борта платформи рухомого складу. Не
допускається перевезення порожнix контейнерiв з вiдкритими дверима.
Спiльно з контейнерами у рухомому складi
допускається перевезення iнших вантажiв, якi не можуть пошкодити або забруднити
контейнер, а також при умові, що цi вантажi не можуть бути пошкодженi
контейнерами. Перевезення людей у кyзовi автомобiля, де розмiщенi контейнери,
категорично забороняється.
Вантажоодержувач не має права при прийманнi
контейнера з вантажем знiмати пломбу i розкривати контейнер до проведення його
зовнiшнього огляду, перевiрки пломб i засвiдчення приймання контейнера пiдписом
i печаткою (штампом) у товарно-транспортнiй накладнiй. При виявленнi
несправностi контейнера або пломби вантажоодержувач разом iз представником
перевiзника повинен оформити цi обставини згiдно з вимогами роздiлу 15 Правил,
пiсля чого зобов'язаний прийняти вантаж.
Пiсля вивантаження вантажу iз контейнера
вантажоодержувач повинен очистити контейнер від залишкiв вантажу, а у потрiбних
випадках провести промивку i дезiнфекцiю контейнера.
Якщо вантажовiдправником буде встановлено, що
контейнер не придатний для перевезення легкозаймистих i цiнних вантажiв, вiи
повинен вiдмовитись Biд завантаження їx у цей контейнер. Виявленi при оглядi
щiлини i нещiльне прилягання дверей в отвopi i мiж стулками дверей,
вантажовiдправник зобов'язаний запакувати папером на рiдкому склi, дерев'яними
рейками або фанерою.
8. Розрахунок об'єму перевантаження тарно-штучних вантажів по
прямому варіанту із залізничного транспорту на автомобільний
Вихідні дані:
Добовий вантажопотік Q = 1300 т
Кількість вантажу в одній подачі QП =
295 т
Тривалість роботи автомобіля t = 13,9 год
Вантажопідйомність одного автомобіля qH
= 4,5 т
Переробна здатність НРМ по прямому варіанту П1-3
= 62 т
Переробна здатність НРМ при вивантаженні вантажу
з вагону на склад П1-2 = 68 т
Переробна здатність НРМ при вивантаженні вантажу
з складу на автомобіль П2-3 = 50,5 т
Об’єм сортування вантажу на складі 3,8%
Вірогідність безвідмовної роботи НМР Рм
= 0,97
Вірогідність того, що не знадобиться
перевантаження вантажу на склад для виконання технологічних операцій Рп
= 0,91
Оскільки автотранспорт працює тільки продовж двох
змін, встановлюю об’єм перевалки із залізничного транспорту на автомобільний
саме за цей період.
Середня інтенсивність потоку подач вантажу
складає:
де Т = 20 год - тривалість роботи вузла перевантаження.
Середня інтенсивність потоку автомобілів складає:
.
Переробна здатність вантажного фронту по зв’язках 1-3, 1-2,
2-3 відповідно до схеми на рис. 7.1, розраховую з урахуванням тривалості
періоду роботи автомобільного транспорту
,
,
.
Кількість вантажу, що поступає на вантажний фронт за час t:
.
Об’єм перевантаження тарно-штучних вантажів по прямому
варіанту в цей період складає
де Рв - ймовірність знаходження вагонів у
вантажного фронту; Ра - ймовірність знаходження автомобілів у
вантажного фронту; Рм - ймовірність безвідмовної роботи НРМ; Рп
- ймовірність того, що не знадобиться перевантаження вантажу на склад для
виконання технологічних операцій.
Ймовірність знаходження вагонів і автомобілів у вантажного
фронту можна визначити за наступними співвідношеннями:
Тут η’ - частка вантажу, що слідує по
прямому варіанту за час роботи автотранспорту,
,
- ймовірність того, на вузол
перевантаження вантажу за добу не прибуде жодної подачі вагонів і жодного
автомобіля відповідно.
По прямому варіанту із залізничного транспорту перевантажується
Якщо у формулу визначення об’єму перевантаження
тарно-штучних вантажів підставити приведені вище значення
отримаємо
(1)
Позначимо
.
Розділивши обидві частини (1) на Q, отримаємо:
.
Розв’язавши рівняння відносно η´
визначимо частку
вантажопереробки по прямому варіанту:
де А, В, С - коефіцієнти, значення яких можна розрахувати:
Частка вантажу, що перевантажується з вагонів в автомобілі
по прямому варіанту, становить:

,
.
Об’єм вантажопереробки вантажного фронту у вузлі перевантаження
вантажів із залізничного транспорту на автомобільний:
Об’єм вантажопереробки вантажного фронту у вузлі
перевантаження вантажів із залізничного транспорту на автомобільний:

,
т
де КП - кількість повторних переробок вантажу
НРМ про перевантаженнях його через склад (в даному випадку КП =2);
ϕс - коефіцієнт, що враховує додатковий об’єм
вантажопереробки, викликаний сортуванням, зважуванням та іншими операціями,
виконаними з вантажем на складі (береться з початкових даних об’ємом сортування
вантажу на складі, наприклад: при об’ємі сортування вантажу на складі 3,0%, ϕс=0,03
і при 4,2% - ϕс=0,042).
За результатами розрахунків в масштабі (1 см: 100 т)
будуються два потокові графіки:
1. Графік переробної здатності вантажного фронту
за час роботи автомобільного транспорту t:
. Графік вантажопереробки вантажного фронту у вузлі
перевантаження за той же час t:

;
;
=ƒ(t).
Висновки
В даній курсовій роботі вивчено і розраховано
ефективність функціонування транспортних процесів і систем.
В результаті проведених аналізів можна зробити наступні висновки
про загальнi основні переваги i можливостi транспортно-технологічних систем
(ТТС) на сучасному етапi їх розвитку:
. Скорочення cтpoків доставки вантажiв вiд вiдправника oдepжувачу
за рахунок скорочення часу на виконання навантажувально-розвантажувалних
операцiй у пунктах перевалки укрупнених вантажних мiсць.
. Регyлярнiсть доставки вантажiв на основі впровадження cyчасних
телекомунiкацiйних i автоматизованих систем слiдкування за перемiщенням
укрупнен их вантажних мiсць i порожнix засобiв укрупнення вантажiв та виконання
координацiї роботи всіх ланок ТТС.
. Пiдвищення рiвня зберiгання вантажiв, що перевозяться на осонві
використання засобiв укрупнення вантажiв i виконання безперевантажувальної
доставки вантажiв.
. 3 ниження витрат рiзних видiв транспорту, що виконують дoставку
вантaжiв «вiд дверей до дверей», рацiональне використання пропускної здатностi
портiв, станцiй, термiналiв завдяки спецiалiзованому перевiзному,
перевантажувальному i складському обладнанню.
. Скорочення адміністративно-управлiнських витрат, включаючи
витрати на iнформацiю i зв'язок.
. Автоматизацiю i комплексну механiзацiю
навантажувально-розвантажувальних робiт i лiквiдацiю на цiй основі важкої
ручної поклажі.
. Економiю лiсоматерiалiв, металу, тканин та iнших матерiалiв за
рахунок використанння засобiв укрупнения вантажiв рiзноманітного використання.
. 3 начне скорочення кiлькостi документацiї та фiнансових
операцiй, що дозволяє економити 50-70% загальних витрат на оформлення, передачу
та iншi операцii з транспортною докумекнтацією.
Список використаної літератури
1. Механізація перевантажувальних, транспортних і складських
робіт: «методичні вказівки до виконання курсової роботи» / укладач В.М.
Ярликів. Красноярськ: ІСЦ КДТУ, 2004. 36 с.
. Дегтяренко В.Н. Основы логистики и маркетинга. - Ростов на Дону:
Государственная академия строительства, 1992.
. Николайчук В.Е., Кузнецов В.Г. Теория и практика управления
материальными потоками (логистическая концепция). - Донецк: КНТИС, 1999.
. Райхард Юнеманн. Материальные потоки в логистике. - Берлин:
Шкрингер, 1989.
6. Кельріх М.Б., Омельченко О.Д., Петренко Л.М. Наукові основи
комплексної механізації і автоматизації навантажувально-розвантажувальних робіт
при взаємодії з рухомим складом // Тези доповідей першої науково-практичної
конференції: «проблеми та перспективи розвитку транспортних систем: техніка,
технологія, економіка і управління». - К.: КУЕТТ, 2003. - Ч. 1.
. Сачко Н.С. Теоретические основы организации производства. -
Минск.: Дизайн ПРО, 1997. - 320 с.
. Нечаев Г.И. Технология и организация работы
транспортно-складских систем. Луганск: Издательство ВУГУ, 1999. - 230 с.
. Маликов О.Б. Проектирование автоматизированных складов штучных
грузов. - Л.: Машиностроение, 1981. - 238 с.
. Гриневич Г.П. Комплексная механизация и автоматизация
погрузочно-разгрузочных работ на железнодорожном транспорте. Изд. 4-е перераб.
и доп. - М.: Транспорт, 1981. - 343 с.
. Дегтяренко В.Н. Железнодорожные станции промышленных
предприятий. - Ростов-на-Дону: РИСИ, 1971. - 210 с.
. Болотный В.Я. Проектирование железнодорожных узлов: Учебное
пособие для вузов. - М.: Транспорт, 1989. - 150 с.
. Гриневич Г.П. Комплексно-механізовані та механізовані склади на
транспорті. - М.: Транспорт, 1976. - 280 с.
. Бекренев Б.И. Пристрій розподілення потоку штучних вантажів //
Механізація і автоматизація виробництва - М.: Машинобудівництво, 1977 - №2.