|
№ п/п
|
Наименование оборудования
|
Марка, тип, модель
|
Кол- во
|
Габарит
|
Площадь в м2
|
Установленная мощность двигателя
|
|
|
|
|
длина в мм
|
ширина в мм
|
|
|
|
ТЕХНОЛОГИЧЕСКОЕ ОБОРУДОВАНИЕ
|
|
1
|
Станок для шлифовки автомобильных клапанов (настольный)
|
Р-108
|
1
|
900
|
500
|
0,45
|
0,39
|
|
Прибор для шлифовки клапанных седел (переносн.)
|
2447
|
1
|
450
|
280
|
-
|
0,39
|
|
3
|
Стенд для ремонта двигателей ЗИЛ-130
|
Р-235
|
1
|
1290
|
662
|
0,85
|
0,5
|
|
4
|
Стенд для ремонта двигателей легковых автомобилей
|
2451
|
1
|
1000
|
730
|
0,73
|
-
|
|
5
|
Кран - балка 1т
|
-
|
1
|
-
|
-
|
-
|
-
|
|
6
|
Стенд для обкатки двигателя в холостую
|
-
|
1
|
2500
|
1150
|
2,87
|
7,2
|
|
7
|
Настольно-сверлильный станок
|
CH-12A
|
1
|
465
|
768
|
0,35
|
0,65
|
|
8
|
Пресс гидравлический
|
208
|
1
|
760
|
1335
|
1,07
|
1,3
|
|
ИТОГО
|
|
8
|
-
|
-
|
6,25
|
10,43
|
|
ОРГАНИЗАЦИОННАЯ ОСНАСТИКА
|
|
1
|
Верстак слесарный на одно рабочее место
|
Собств. изготов.
|
1
|
1400
|
800
|
1,26
|
-
|
|
2
|
Стеллаж секционный
|
Собств. изготов.
|
1
|
1200
|
1300
|
1,56
|
-
|
|
3
|
Шкаф инструментальный
|
Собств. изготов.
|
1
|
960
|
700
|
0,67
|
|
4
|
Шкаф инструментальный
|
Собств. изготов.
|
1
|
1200
|
500
|
0,5
|
-
|
|
5
|
Ларь для обтирочных материалов
|
Собств. изготов.
|
1
|
700
|
400
|
0,28
|
-
|
|
6
|
Ящик с песком, кошма. Огнетушитель
|
Собств. изготов.
|
1
|
500
|
500
|
0,25
|
-
|
|
7
|
Ванна для мойки деталей
|
Собств. изготов.
|
1
|
1000
|
800
|
0,8
|
-
|
|
ИТОГО
|
|
7
|
-
|
-
|
4,42
|
-
|
|
ТЕХНОЛОГИЧЕСКАЯ ОСНАСТИКА
|
|
1
|
Набор инструмента слесаря-монтажника
|
21165
|
1
|
-
|
-
|
-
|
-
|
|
|
|
|
|
|
|
|
|
|
2.7 Расчет силовой
электроэнергии
Потребность в энергии для питания
электродвигателей определяется по формуле:
где: ∑Nэ - суммарная мощность электрических двигателей

- коэффициент
одновременности работы оборудования (0,6)

- коэффициент загрузки
оборудования (0,85)

- КП (0,9)

- коэффициент полезного
действия электродвигателей

- годовой фонд рабочего
времени оборудования
где: Двх -
число выходных дней
Дпр - число
праздничных дней
Tсм
- продолжительность смены
tтг
- коэффициент технической готовности оборудования

2.8 Расчет и обоснование
площади
Площадь отделения определяем по
формуле:
где: Кп - коэффициент
плотности размещения оборудования
fоб - площадь
горизонтальной проекции оборудования
Отклонение от расчетной величины
составило менее 20%.
2.9 Расчет и подбор
вентиляционной системы
Определяем количество
вентиляционного воздуха по отделению:
где: Vв - объем вентиляционного воздуха;
V - объем помещения;
Ко - коэффициент
краткости обмена
Подбор вентилятора
Подбор вентилятора производится по
необходимости производительности и сопротивлению вентиляционной сети.
Выбираем вентилятор серии ЭВР №2
Vв
= 1200
Н= 75 кг/
Определяем мощности электродвигателя
вентилятора:
где: 
- КПД вентилятора;

- КПД передачи.
С учетом коэффициента
заноса:
2.10 Расчет общей
мощности для освещения
Общая мощность, необходимая для
освещения всей площади, определяется по формуле:

где: p - удельная мощность на 1 м2;
S
- площадь помещения в м2;
Расчет количества светильников
Количество светильников, необходимых
для обеспечения требуемой освещенности:
где: n - количество светильников;
Pn - мощность лампы, Вт.
Расчет расхода электроэнергии на
освещение
Расход электроэнергии на освещение
определяем по формуле:
где: Дрг - число рабочих
дней;
Псут - число горения в
сутки

- КПД сети;
К - коэффициент
использования светильников
Определим общий расход
электроэнергии на освещение и на привод электродвигателей:


3. Организационный
раздел
.1 Организация
проведения работ
Режим работы
Дипломным проектом предусматривается
односменная работа при пятидневной рабочей неделе, так как автопарк работает в
одну смену. Продолжительность смены принимаем за 8,2 часа. Смена начинается в
08:00 ч и продолжается до 17:30 ч. с перерывом на обед с 12:00 до 13:00 ч.
Схема управления производством и ее
краткое описание
Главный механик руководит всеми
работниками по техническому обслуживанию и текущему ремонту через
непосредственно подчиненного ему заведующего гаражом. Главный механик отвечает
за выполнение установленного плана работ по техническому обслуживанию и
текущему ремонту, а так же осуществляет все мероприятия, направленные на
улучшение работ.
Заведующий гаражом осуществляет
руководство работами в гараже, отвечает за эффективность использования
производственных ресурсов и своевременную постановку автомобилей на линию.
Заведующему гаражом подчиняется механик гаража и бригадир слесарей, которые
организуют работу на своих участках и отвечают за своевременное и качественное
выполнение работ, кроме того, они осуществляют мероприятия, направленные на
снижение непроизводительных трудозатрат, снижению количества ремонта и простоя
машин и оборудования.
Согласно графику
планово-предупредительного ремонта ТО и ремонта автомобилей механик выводит
автомобиль из эксплуатации и после осмотра дает команду водителю о постановке
автомобиля на техническое обслуживание
Текущий ремонт производится по
потребности.
Номенклатура работ
При проведении текущего ремонта
двигателя производятся следующие виды работ:
Блок и головка блока цилиндров
Заделка трещин в стенах рубашки
охлаждения;
Ремонт резьбовых соединений;
Замена гильз цилиндров;
Ремонт или замена направляющих
втулок клапанов;
Ремонт фасок седел клапанов.
Кривошипно-шатунный механизм
Алюминиевые поршни, кольца и
вкладыши нижней головки шатуна обычно заменяют деталями ремонтных размеров;
Ремонт и замена поршневых пальцев;
Ремонт шатунов;
Ремонт коленчатого вала;
Устранение дефектов маховика.
Механизм газораспределения
Проверка герметичности закрытия
клапанов и притирка в случае нарушения герметичности;
Регулировка зазора между клапанами и
толкателями после сборки;
Ремонт стержней клапанов и
направляющих втулок клапанов.
Система охлаждения
Удаление накипи путем промывания;
Ремонт радиатора;
Ремонт водяного насоса;
Ремонт шкива и лопастей вентилятора;
Проверка действия термостата.
Система смазки
Устранение неисправностей манометра
и редукционного клапана;
Ремонт масляного насоса.
Система питания
Ремонт и регулировка карбюратора;
Ремонт топливного насоса.
Отремонтированные двигатели после
ремонта обязательно обкатывают и испытывают. Во время обкатки происходит
приработка сопряженных поверхностей трения, что улучшает их качество при
взаимном первичном изнашивании в оптимальных условиях.
Планировка оборудования
Планировка подобранного оборудования
проведена с учетом минимальных расстояний между оборудованием, расстояний до
стен с учетом проходов, обеспечивающих условия безопасности, техники
безопасности и НОТ. Данное оборудование обеспечит полностью технологический
процесс ремонта.
Планировка оборудования позволит
наиболее рационально использовать рабочее время, повысить качество работы и
производительности труда.
Система оплаты и условия труда.
Система оплаты
повременно-премиальная, с начислением 20% за выполнение плана и 15% зонального
коэффициента. В зависимости от непрерывного стажа работы на одном предприятии
выплачиваются вознаграждения за выслугу лет до 25%, а по итогам года
тринадцатая зарплата.
В отделении работают 6 слесарей -
моториста. Устанавливаем разряды рабочим: 3- V разряд, 3 - IV разряд.
Часовая тарифная ставка V разряда - 35 руб., IV разряда - 32 руб.
Оплата прочего персонала согласно
штатного расписания.
Первичная документация и учет
Учет технического обслуживания и
текущего ремонта производится с целью:
· Проведения постоянного
анализа эффективности использования новой техники;
· Определение
своевременности исключения автомобиля из эксплуатации и его описание.
Формы первичной документации должны
являться официальным документом начисления заработной платы и премии
обслуживающему персоналу, а также служит основанием для списания технических
материалов и запасных частей.
Первичными документами для учета
использования машин являются:
· Путевой лист автомобиля;
· Наряд на работу;
· График технического
обслуживания и ремонта;
· Карточка расхода
запасных частей и технических материалов;
Кроме перечисленных документов
следует ввести:
· Карточку учета работы и
ремонта автомобилей;
· Карточку учета
работы с часовым учетом наработки.
Схема технологического процесса
текущего ремонта автомобильных двигателей и ее краткое описание
Производство текущего ремонта
автомобильных двигателей предусматривается проводить по приведенной выше схеме.
После приемки в ремонт двигатель
подвергается наружной мойке. Разборка двигателя и узлов на детали
предполагается выполнить на стендах. Перед контролем и сортировкой деталей,
последние также должны пройти мойку.
Контроль и сортировка деталей будет
производиться на верстаке. После дефектовки негодные детали будут отправлены в
металлолом, годные - на склад годных деталей, а требующие ремонта - в ремонт.
При ремонте двигателей
предполагается использовать следующее оборудование, приспособления, приборы и
инструменты:
. Пресс гидравлический;
. Ванна для мойки деталей;
. Верстак;
. Шкаф для инструментов;
. Станок для шлифования;
. Стенды для ремонта
двигателей;
. Настольно-сверлильный
станок;
. Ларь обтирочных материалов;
. Стена для обкатки
двигателей;
. Консольно-поворотный кран;
. Ящик с песком;
. Стеллажи для деталей;
. Стена для разборки и сборки
двигателей;
. Комплект инструментов для
ТО и ремонта машин механизмов и др.
После ремонта деталей на верстаке
начинается комплектование деталей, которые идут из трех источников: годные
детали после дефектовки, отремонтированные детали и новые. Сборка двигателей
производится на стендах, и после сборки эти двигатели проходят проверку,
регулировку и испытание. Готовые к работе двигатели устанавливаются на
автомобиль или отправляются в оборотный фонд.
3.2 Разработка
мероприятий по улучшению условий труда
Мероприятия по НОТ
По научной организации труда
дипломным проектом предлагаются следующие мероприятия: разделение труда рабочих
по агрегатам, системам и месту исполнения. Рабочие места оснащены новым
оборудованием, приборами и инструментами.
Предлагается новая планировка
оборудования, оснащенность рабочих мест инструментом, что исключает лишние
движения, непроизводительные потери рабочего времени, применение более
рациональной организации и труда. Внедрение таких форм труда, которые
обеспечивают развитие творческого отношения к труду, общего улучшения труда.
Техническая эстетика
Мероприятия по технической эстетике
предусматривают улучшение условий труда.
С этой целью дипломным проектом
предусматривается такая планировка оборудования, планировка и размещение
светильников для создания благоприятного цветного оформления. Панели стен
предусматривается покрасить в светло-голубой цвет, оборудование покрасить в
разные цвета. Вентиляционную систему надо покрасить под цвет потолка. Надо
отметить, что мероприятия по эстетике и научной организации труда очень сложно
прививается на производстве. Этот вопрос зависит от руководства, которое в
большинстве случаев не придает этому большого значения.
Промышленная санитария
В производственном помещении
проведены все необходимые мероприятия по охране труда. Отделение оборудовано
вентиляционной системой, обеспечивающей хорошую вентиляцию помещения.
В зимнее время помещение
отапливается, поддерживая необходимую температуру.
Планировка оборудования проведена
таким образом, чтобы как можно больше использовать естественное освещение.
Кроме того в темное время применяется искусственное освещение, оборудованное
лампами дневного света, которые позволяют увеличить норму освещенности и
сэкономить расход электроэнергии.
Гараж оборудован бытовой комнатой и
раздевалкой. Имеется умывальник.
Техника безопасности
По технике безопасности
предусматривается организация мероприятий по следующим основным направлениям:
· Пропаганда
безопасных методов труда, обучение персонала безопасным приемам и методам
работы, выполнение следующих правил. Все это достигается путем прослушивания
лекций, докладов, наглядных пособий, показа фильмов.
Дипломным проектом предусмотрено
использование нового оборудования, значит необходимо разработать инструкции по
его использованию, обучить персонал безопасным приемам и методам работы.
Провести инструктаж вводный и дополнительный на рабочем месте. Все должно быть
оформлено документально.
Противопожарная техника безопасности
По противопожарной технике
безопасности предусматривается разработка по следующим направлениям:
1. Пожарная профилактика и
организация добровольно - пожарной дружины. Пожарная профилактика должна
предусматривать причины возникновения пожара и создания условий эффективного
пожаротушения.
2. Своевременная организация и
обеспечение эвакуаций людей. В целях предотвращения загорания в помещении
моторного отделения предусмотрено размещение огнетушителей ОП-5, ящик с песком
и кошму. Рабочие должны изучить правила пользования огнетушителем, участвовать
в соревнованиях ДПД. Ничто так не убеждает соблюдать правила, как показ
фильмов.
Мероприятия по улучшению трудовой
дисциплины
При неоднократных нарушениях
трудовой и производственной дисциплины налагаются дисциплинарные взыскания, а
также наказываются материально.
При проведении профилактики с
нарушением трудовой дисциплины производственному персоналу читаются лекции на
политико-вспомогательные темы, показываются фильмы. Также рабочие
заинтересованы как морально, так и материально. То есть добросовестное
отношение к работе и примерную трудовую дисциплину рабочие награждаются
грамотами, вывешивают фотографии на доске почета, премируются за экономию
материалов и запасных частей.
Охрана окружающей среды
Охрана природы и рациональное
использование природных ресурсов одна из важнейших экономических и социальных
задач об охране природы, возведение в ранг государственной политики. Эти
вопросы нашли отражение в Конституции РФ. Постоянное развитие народного
хозяйства требует развития автомобильного транспорта, как по числу подвижного
состава, как и по количеству произведения машин.
Этот процесс прямо или косвенно, но
неизбежно отрицательно действует на окружающую среду. Прямое негативное влияние
автомобилей на окружающую среду связано с выбросами вредных веществ в атмосферу
шумом и различными электромагнитными излучениями. Один грузовой автомобиль
средней грузоподъемности, отвечающий по всем параметрам требования завода
изготовителя, карбюраторным двигателем, ежегодно выбрасывает окиси углерода
3150 кг, углеродов - 410 кг, окиси азота - 335 кг. Косвенное влияние
автомобильного транспорта на окружающую среду связано с тем, что автомобильные
дороги, стоянки предприятия обслуживания занимают большую и ежегодно
увеличивающуюся площадь, необходимую для жизнедеятельности человека.
Защита окружающей среды от
воздействия автомобильного транспорта ведется по многим направлениям, часть
которых должна быть полем деятельности выпускников лесхоз - техникумов. Для
настоящего времени не все водители и слесаря представляют себе экономические
последствия эксплуатации автомобилей с повышенным содержанием токсичных веществ
в отработавших газах.
На загрязнение окружающей среды
влияет состав рабочей смеси, нагрузка на автомобиль, частота вращения вала
двигателя, регулировка системы холостого хода карбюратора. Для уменьшения
отброса токсичных компонентов предложено: правильно производить регулировку
карбюраторов, ГРМ, применяя современное оборудование и диагностические приборы.
Отработавшие не чистые воды
подвергаются загрязнению топливом, маслами, щелочами, кислотами, характер и
качество отрабатывающей воды зависит от техники производства и размеров
предприятия.
Необходимо производить очистку
отработавшей воды и неоднократное ее использование.
Первостепенными задачами при очистке
воды является: грязеулавливание, маслоулавливание, фильтрация.
4. Экономический раздел
.1 Определение тарифного
фонда зарплаты
Принимаем существующую
повременно-премиальную систему оплаты труда для проектируемого отделения по
ремонту автомобильных двигателей. По расчету получается 6 (шесть)
слесарей-мотористов. Принимаем 3 слесарей-мотористов по V разряду и 3 по IV разряду с нормальными
условиями труда с часовой тарифной ставкой для V разряда - 35 руб., для IV разряда - 32 руб.
Определяем тарифный фонд зарплаты:
(31)
где: TG - средняя тарифная
ставка в рублях,
ТР - трудозатраты отделения по
ремонту автомобильных двигателей.
4.2 Определение суммы
премии
Размер премий за выпуск технически
исправных автомобилей, за качественное и своевременное выполнение работ в
размере 20% к тарифному фонду зарплаты.
Определяем сумму премий
4.3 Определение доплаты
по районному коэффициенту
Доплату по районному коэффициенту
определяем:
(32)
4.4 Определение
основного фонда зарплаты
Основной фонд зарплаты определяем по
формуле:
(33)

руб.
4.5 Определение суммы
дополнительной заработной платы
Дополнительную заработную плату
принимаем по предприятию в размере 10% от основной заработной платы:
(34)
4.6 Определение годового
фонда зарплаты
Определяем годовой фонд заработной
платы рабочих
(35)
4.7 Определение
среднемесячной зарплаты
Определяем среднемесячную зарплату
по формуле:
(36)
где: Рсп - списочное
количество рабочих;
- число месяцев в году.
4.8 Определение фонда
основной зарплаты ИГР и МОТ
Таблица 6 - Определение фонда
основной заработной платы ИТР и МОП
|
№ п/п
|
Наименование должностей
|
Разряд
|
Число штатных единиц
|
Месячный оклад
|
Тарифный фонд
|
|
ИТР
|
|
1.
|
Начальник гаража
|
14
|
1
|
5500
|
66000
|
|
2.
|
Механик
|
13
|
1
|
5000
|
60000
|
|
ИТОГО
|
|
|
10500
|
126000
|
|
МОП
|
|
1.
|
Уборщица
|
1
|
1
|
1500
|
18000
|
|
ВСЕГО
|
|
3
|
12000
|
144000
|
4.9 Определение суммы за
выслугу лет
Определяем вознаграждение за выслугу
лет для ИТР в размере 25% составляет:
Тарифный фонд ИТР = 126000 руб.
126000 
0,25=31500 руб.
4.10 Определение суммы
премии
Определяем сумму премий ИТР и МОП -
25%
144000 
0,25 = 36000 руб.
4.11 Определение суммы
доплаты по районному коэффициенту
Определяем сумму доплат по районному
коэффициенту в размере 15%
(144000+31500)
0,15= 26325 руб.
4.12 Определение
годового фонда зарплаты ИГР
Определяем годовой фонд заработной
платы ИТР и МОП
+ 31500 + 36000 + 26325 = 237825
руб.
4.13 Определение доли
зарплаты
Устанавливаем сумму фонда заработной
платы ИТР и МОП, приходящуюся на проектируемый объект в размере прямо
пропорционально трудоемкости ТР.
З/Питр -
237825 
0,65 
0,14 = 21642 руб.
4.14 Отчисление по
соцстраху
Определяем отчисления на социальный
налог в размере 35,6% от общего фонда зарплаты, рабочих, ИТР и МОП
4.15 Расчет затрат на
запасные части и материалы
Нормы затрат на запасные части и
материалы для проведения текущего ремонта автомобилей для целей планирования в
рублях 1000 км/пробега.
Расчет затрат на запчасти
(37)
где: L - годовой пробег;
Н - норматив (по таблице).
Легковые:
Автобусы:
Грузовые:
- корректировочный коэффициент
Сумма затрат на запасные части
Из них приходящиеся на отделение по
ремонту автомобильных двигателей пропорционально трудоемкости в размере 14%.
1165985
0,65
0,14 = 106105 руб.
Расчет затрат на
материалы
Легковые:
Автобусы:
Грузовые:
- корректировочный коэффициент.
Из них, приходящаяся на
отделение по ремонту автомобильных двигателей трудоемкости 14%.

0,65 
0,14 = 14408 руб.
4.16 Расчет затрат на
электроэнергию
(38)
Ее стоимость, при стоимости 1 кВТ ч
равен 1,5 руб.
11993 
1,5 = 17989 руб.
4.17 Расчет
амортизационных отчислений
Амортизационные
отчисления от стоимости основных средств составляют 12% от стоимости
амортизационных отчислений.
4.18 Расчет расходов на
ТР основных средств
Стоимость расходов на текущий ремонт
основных средств составляют 35% от стоимости амортизационных отчислений:
4.19 Возмещение износа
малоценного инвентаря
Возмещение износа малоценных
инструментов и инвентаря составляют 7800 рублей на списочного рабочего, тогда
на отделение приходится:
7800
2 = 15600 руб.
4.20 Расчет расходов по
технике безопасности
Расходы по технике
безопасности 1,5% от тарифного фонда зарплаты рабочих:

0,015 = 5385 руб.
4.21 Расчет расходов на
изобретательство и рационализации
Расходы на изобретательства и
рационализаторства составляет в год 1500 руб. на одного рабочего:
500 
2 = 3000 руб.
4.22 Расчет прочих
расходов
Прочие расходы составляют 1% от
суммы всех предыдущих расходов: 3729,33 руб.
4.23 Смет затрат
Составляем смету затрат (таблица 7)
Таблица 7 - Смета затрат
|
№ п/п
|
Статьи затрат
|
Обозначение
|
Годовые затраты в рублях
|
|
1
|
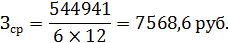
Основная и дополнительная зарплата рабочих
|
З/ общ
|
544941
|
|
2
|
Основная и дополнительная зарплата ИТР и МОП
|
З/ общ
|
21642
|
|
3
|
Отчисления в фонд социального страхования
|
|
148445
|
|
4
|
Стоимость материалов
|
|
14408
|
|
5
|
Стоимость запасных частей
|
|
106105
|
|
6
|
Стоимость электроэнергии
|
|
17989
|
|
7
|
Амортизационные отчисления
|
|
25848
|
|
8
|
Текущий ремонт основных средств
|
|
9047
|
|
9
|
Возмещение износа малоценного инвентаря
|
|
15600
|
|
10
|
Расходы по технике безопасности
|
|
5385
|
|
11
|
Расходы на изобретательства
|
|
3000
|
|
12
|
Прочие расходы
|
|
3729,33
|
|
ИТОГО
|
|
916139
|
|
|
|
|
|
4.24 Смета трудозатрат
Смета трудозатрат по группам автомобилей:
+ 5621 + 15744 = 25513 чел. час.
Для легковых автомобилей:
Для автобусов:
Для грузовых автомобилей:
4.25 Расчет доли затрат
на ТО И ТР
От общих затрат на ТО и ТР
приходится на:
Легковые автомобили:
Автобусы:
Грузовые автомобили:
4.26 Расчет
себестоимости
Определяем себестоимость на 1000 км
пробега:
Для легковых автомобилей:
Для автобусов:
Для грузовых автомобилей:
4.27 Расчет
условно-годовой экономики
Определяем условно-годовую экономию:
Для легковых автомобилей:
Для автобусов:
Для грузовых автомобилей:
Общая экономия составит:
4.28 Расчет процента
снижения себестоимости
Определяем% снижения себестоимости
работ:
Для легковых автомобилей:
Для автобусов:
Для грузовых автомобилей:
4.29 Расчет срока
окупаемости капитальных вложений
Определяем путем деления суммы
капитальных вложений на годовую экономию от затрат:
(39)
Стоимость вновь приобретенного
оборудования составляет 123926 руб.
Срок окупаемости равен:
5. Конструкторский
раздел
5.1 Обоснование
целесообразности разработки и внедрение конструкции
Универсальным съемником можно
снимать детали с диаметром от 30 мм до 300 мм и детали насаженные от конца вала
в пределах 10 мм до 160 мм, это еще зависит от диаметра снимаемой детали.
Съемник имеет одно достоинство: его можно изготовить в любом ремонтном
предприятии.
5.2 Назначение,
устройство и действие
Съемник предназначен для снятия
детали, которые насажены на вал с натягом. К ним относятся: шкивы, подшипники,
зубчатки, шестерни и другие детали.
Съемник шкива коленчатого вала
состоит из:
· Крышка;
· Фиксирующий болт;
· Коромысла;
· Захват стяжной;
· Упорный винт;
· Пята
5.3 Расчеты
кинематические, на прочность и т.д.
Силовой расчет винта с метрической
резьбой.
Исходные данные для расчета:
· Длина рукоятки, Lp=225 мм;
· Усилие рабочего на
рукоятке, Pp=150Н;
· Тип резьбы: наружный
d=22 мм;
внутренний d1=17 мм;
средний d2 = 19,5 мм;
Шаг резьбы S= 3 мм.
Определяем момент, приложенный к
воротку определяется по формуле:
М1= Pp
Lp,
Hмм (40)
М1= 150
225=33750 Hмм
По условию равновесия
момент, приложенный к рукоятке, равен моменту сил трения в резьбе и сил трения
на опорной поверхности.
М1 = Мрез +
Моп, Нмм (41)
где: Мрез - момент силы
трения в резьбе
Моп - момент силы трения
опорной поверхности
где: Q - усилие, действующее вдоль оси винта Н;
?? - угол подъема винтовой
линии;
p1
- приведенный угол трения.
где: 
- коэффициент трения
между опорной поверхностью винта и деталью
f=0,6
Тогда усилие,
действующее вдоль оси винта, определяется:
где: Do и do - внешний и
внутренний диаметры опорной поверхности,
Do=5
мм, do= 0.
Проверочный расчет винта на совместное
действие сжатия и округления.

(63)
где: 
- расчет нормального
напряжения, Нмм
где: 
- расчетное касательное
напряжение от скручения в результате сил трения в опорной поверхности, Нмм2.
Полученное напряжение
сжатия и скручения не должны превышать допустимых.
Для изготовления винта
будем использовать сталь 40.
Данные этой стали: 
= 
;
Напряжение сжатия: 
= 
.
Расчет на срез и на снятие осей,
захватывающих лапок и штифтов.
где: 
- расчетное напряжение
среза 
;
d=
диаметр оси, мм.
где: 
- расчетное напряжение
смятия, 
;

- площадь смятия, 
.
Площадь смятия
определяется:
где: B - ширина захвата, мм;
d
- диаметр среза, мм.
Полученное напряжение не должно
превышать допустимых.
Для изготовления Сталь 45, у
которой:
Определяем напряжение изгиба в
сечениях рукоятки.
где: Ми- изгибающий момент в
опасном сечении Нмм;
W - момент сопротивления сечения изгибу, мм.
Где D - диаметр воротка, мм
Для изготовления воротка
необходима деталь, у которой напряжение изгиба 
Заключение
Чтобы устранить имеющиеся недостатки
в организации проведения работ по текущему ремонту двигателя необходимо
разработать мероприятия, направленные на улучшения организации производства
работ.
Задачей дипломного проектирования
является обоснованный выбор нормативных данных и на их основе расчет
производственной программы в количественном и номенклатурном выражениях,
определение рабочих для выполнения производственной программы, подбор
технологически необходимого оборудования и его размещения, разработка
мероприятий по охране труда, разработка технологического процесса ремонта,
определение эффекта от внедрения предлагаемых мероприятий.
В результате реконструкции
повысилась производительность труда, улучшились условия труда, повысился КТГ,
себестоимость снизилась в среднем на 8,5%, срок окупаемости дополнительных
капитальных вложений примерно 1,6 лет.
Список
литературы
1. Боднев А.Г., Шаверин Н.Н. Лабораторный практикум по
ремонту автомобилей. - М.: Транспорт, 2009. - 117 с.;
2. Виноградов В.М. Технологические процессы ремонта
автомобилей - М.: Издательский центр «Академия», 2010. - 384 с.;
. Драгунович В.И., Гончаров В.С. Ремонт машин и механизмов
в лесной промышленности. - М.: Лесная промышленность, 1996;
. Дюмин И.Е., Трегуб Г.Г. Ремонт автомобилей. - М.:
Транспорт, 1999 -208 с.;
. Епифанов Л.И., Епифанова Е.А. Техническое обслуживание и
ремонт автомобилей - М.: ФОРУМ: ИНФРА - М, 2012. 280 с.;
. Карагодин В.И., Митрохин Н.Н. Ремонт автомобилей и
двигателей. - М.: Мастерство; Высшая школа, 2011. - 496 с.;
7. Методические указания и издания по дипломному
проектированию по дисциплине «Ремонт дорожных машин, автомобилей и тракторов».
- М.: Учебно-методический центр Государственной службы дорожного хозяйства,
2005. - 169 с.;
8. Методические указания и контрольные задания для
студентов - заочников образовательных учреждения. - М.: Учебно-методический
центр Российского дорожного агентства, 2009. - 112 с.
. Петросов В.В. Ремонт автомобилей и двигателей - М.:
Издательский центр «Академия», 2014. -224 с.;
10. Положение о техническом обслуживании и ремонте машин
и оборудования лесозаготовительной промышленности. Химки: ЦНИИМЭ, 1990. - 288
с.;
. Полосин М.Д. Техническое обслуживание и ремонт
дорожных машин - М.: Издательский центр «Академия», 2005. -352 с.;
12. Ремонт дорожных машин, автомобилей и тракторов. Под ред.
В.А. Зорина. - М.: Мастерство, 2011. -512 с.;
. Румянцев С.И. Ремонт автомобилей. - М.: Транспорт, 2001.
- 327 с.
. Техническое обслуживание и ремонт автомобилей. Под ред.
В.М. Власова - М.: Издательский центр «Академия», 2004. - 480 с.;
15. Туревский И.С. Дипломное проектирование
автотранспортных предприятии. - М.: ИД «Форум»: ИНФРА-М, 2013. - 240 с.;
16. Цеханов А.Д. Лабораторный практикум по ремонту автомобилей.
- М.: Транспорт, 1998. - 136 с.;
. Чарнецкий Ю.Ф., Назаров П.П. Учебное пособие по
дипломному проектированию. - М.: Лесная промышленность, 1993. - 136 с.;