Схема и принцип действия параболической антенны
СОДЕРЖАНИЕ
Введение
. Анализ технического задания
1.1 Основные геометрические свойства параболоида вращения
1.2 Схема и принцип действия параболической антенны
1.3 Направленные свойства параболической антенны
1.4 Эффективность параболической антенны. Оптимальный облучатель
1.5 Факторы, вызывающие уменьшение коэффициента направленного действия
антенны
. Расчет параметров антенны
.1 Расчет геометрических размеров антенны
.2 Расчет геометрических размеров облучателя
.3 Расчет диаграммы направленности облучателя
.4 Расчет амплитудного распределения антенны
.5 Расчет приближенных диаграмм направленности
.6 Расчет диаграмм направленности на средней частоте
.7 Расчет диаграмм направленности с учетом тени, создаваемой
облучателем
.8 Оценка погрешностей
.9 Расчет просачивания энергии
. Расчет параметров коаксиально-волноводного перехода.
. Разработка конструкции основных узлов антенны
. Корректировка расчетов диаграммы направленности
.Экономический раздел
.1 Основные понятия
.2 Расчет себестоимости зеркальной антенны
.3 Положительный эффект
. Раздел безопасности и экологичности
7.1
Характеристика условий труда оператора ЭВМ
7.2
Окраска и коэффициенты отражения
.3
Освещение
.4
Параметры микроклимата
.5
Шум и вибрация
.6
Электромагнитное и ионизирующее излучения
7.7
Режим труда
7.8 Обеспечение электробезопасности
.9 Расчет освещенности
7.10
Расчет уровня шума
Заключение
Список литературы
Введение
В данной работе проектируется облучатель в виде открытого конца
прямоугольного волновода для однозеркальной антенны с заданными геометрическими
размерами зеркала и диапазоном частот. Производится расчет и оценка основных
параметров антенны, предлагается конструкция основных узлов и креплений
спроектированного облучателя. Целью работы является изучение возможности
расчета направленных свойств однозеркальной параболической антенны методом
составного амплитудного распределения.
Параболическая антенна относится к апертурным антеннам. Апертурные
антенны - это антенны, излучение у которых происходит через раскрыв, называемой
апертурой.
Апертурные антенны применятся, главным образом, в диапазоне СВЧ. Малая
длина волны позволяет сконструировать антенны, размеры которых много больше
длины волны. Следовательно, возможно создание остронаправленных антенн, имеющих
сравнительно небольшие размеры. Кроме того, возможно создание антенн, имеющих
диаграмму направленности особой формы, определяемой специальным назначением
антенны.
Апертурные антенны являются основным типом радиолокационных антенн. Они
также находят широкое применение в радионавигации, радиоастрономии, в
радиотехнических системах управления искусственными спутниками Земли и
космическими кораблями, в тропосферных и радиорелейных линиях и т.п.
Рассмотрим зеркальные антенны более подробно. Зеркальными антеннами
называются антенны, у которых поле в раскрыве формируется в результате
отражения электромагнитной волны от металлической поверхности специального
рефлектора (зеркала). Источником электромагнитной волны обычно служит
электромагнитная антенна, называемая в этом случае облучателем зеркала или
просто облучателем. Зеркало и облучатель являются основными элементами
зеркальной антенны. Поверхности зеркала придаётся форма, обеспечивающая
формирование нужной диаграммы направленности. Наиболее распространёнными
являются зеркала в виде параболоида вращения, усечённого параболоида,
параболического цилиндра или цилиндра специального профиля. Облучатель
помещается в фокусе параболоида или вдоль фокальной линии цилиндрического
зеркала. Соответственно для параболоида облучатель должен быть точечным, для
цилиндра - линейным.
Электромагнитная волна, излученная облучателем, достигнув проводящей
поверхности зеркала, возбуждает на ней токи, которые создают вторичное поле,
обычно называемое полем отраженной волны. Для того чтобы на зеркало попадала
основная часть излученной электромагнитной энергии, облучатель должен излучать
только в одну полусферу в направлении зеркала и не излучать в другую полусферу.
Такие излучатели называются однонаправленными. Точечный облучатель (например,
рупор или открытый конец волновода), расположенный в фокусе параболоида,
создает у поверхности зеркала сферическую волну. Зеркало преобразует ее в
плоскую волну, то есть расходящийся пучок лучей преобразуется в параллельный,
чем и достигается формирование острой диаграммы направленности.
.
Анализ технического задания
1.1 Основные геометрические свойства параболоида
вращения
Широкое распространение в диапазоне СВЧ получили антенные устройства,
аналогичные оптическим рефлекторам или прожекторам. Такие антенны состоят из
источника первичной волны и одного или нескольких зеркал, преобразующих фронт
волны этого источника в заданный, обычно плоский. Целесообразно, перед тем как
перейти к рассмотрению зеркальных антенн СВЧ, напомнить основные геометрические
соотношения, справедливые для параболоида вращения и параболического цилиндра,
- поверхностей, на базе которых выполняется большинство зеркальных антенн.
Рисунок 1.1
Свяжем с параболоидом вращения (рисунок 1.1) прямоугольную систему
координат с началом в вершине параболоида (точка О) и осью OZ, совмещенной с фокальной осью
параболоида (прямая OF), и полярную -
систему координат с центром в фокусе (точка F) и отсчетом угла ψ от прямой FO. Поверхность параболоида вращения в прямоугольной системе координат
(X, Y, Z) описывается уравнением:
(1.1)
а в полярной системе (p, ψ) - уравнением:
(1.2)
где f=OF - фокусное расстояние параболоида.
Раскрывом, или апертурой параболоида назовем плоскую поверхность,
ограниченную кромкой параболоида.
Радиус этой поверхности Ro
(см. рисунок 1.1) назовем радиусом раскрыва, а угол 2ψ0 - назовем углом раствора (ψ0 - угол между фокальной осью и прямой, проведенной из
фокуса к кромке параболоида). Для радиуса раскрыва Ro и угла раствора 2ψ0 справедливы соотношения:
(1.3)
(1.4)
(1.5)
Если угол раскрыва 2ψ0<π, то соответствующий параболоид
называется длиннофокусным, если угол раскрыва 2ψ0>π, то - короткофокусным. У
длиннофокусного параболоида Ro<2f, а у короткофокусного - Ro>2f
Напомним,
что угол между радиусом
, проведенным под углом ψ к фокальной оси, и нормалью к поверхности параболоида
в этой точке равен ψ/2.
Площадь рабочей поверхности антенны
зависит от размера раскрыва и утла раствора и может
быть определена по формуле:
(1.6)
Если
разместить в фокусе параболоида источник сферической волны, то после отражения
этой волны от параболоида фронт ее становится плоским.
Рисунок 1.2
Параболический цилиндр (рисунок 1.2) представляет собой поверхность,
описываемую уравнением:
(1.7)
Расстояние от фокальной линии FF до оси OY называется фокусным расстоянием и
обозначается f. Если разместить вдоль линии FF синфазный линейный источник, то
волновой фронт волны после отражения от параболического цилиндра становится
плоским [1].
1.2 Схема и принцип действия параболической
антенны
Схема параболической антенны приведена на рисунке (1.3). Антенна состоит
из металлического зеркала в виде параболоида вращения и облучателя, помещенного
в фокусе.
Рисунок 1.3
Остановимся сначала на принципе действия оптических параболических зеркал
(прожекторов), которые так же, как и оптические линзы, служат для
преобразования сферического фронта волны источника в плоский фронт. Принцип
действия параболического зеркала описан в [6] и заключается в том, что
расходящиеся лучи, идущие от источника находящегося в фокусе зеркала, после
отражения от его поверхности становятся параллельными.
Рассмотрим два произвольных луча - 1 и 2, излученных источником,
находящимся в фокусе, и падающих на параболическое зеркало (рисунок 1.3). Луч
1, падающий в точку а, образует угол
с осью, а луч 2, падающий в точку b, образует угол
с осью параболоида. Согласно
описанным выше свойствам параболоида, лучи 1 и 2 образуют с нормалью к
поверхности параболоида в точках а и b углы
и
соответственно. Так как угол отражения равен углу падения,
то угол отражения луча 1 равен
, а угол отражения луча 2 равен
. Таким образом, отраженный луч 1
образует угол
с падающим лучом 1 и, следовательно, параллелен оси
параболоида. Отраженный луч 2 образует угол
с падающим лучом 2 и также
параллелен оси параболоида. Аналогично этому любой луч, исходящий из источника,
помещенного в фокусе, после отражения от параболоида становится параллельным
оси параболоида.
Параллельным лучам соответствует плоский фронт волны. В качестве
отражающих поверхностей применяются металлические зеркала, дающие практически
полное отражение падающих на них лучей без заметных потерь.
Концепция геометрической оптики, подробно описанная в [6], согласно которой
каждый луч облучателя, падающий на какую-либо точку параболоида, создает
определенный отраженный луч, для радиотехнических параболических зеркал
неточна, так как она справедлива, если длина волны бесконечно мала по сравнению
с размерами зеркала и радиусами его кривизны.
Работу параболической антенны можно описать следующим образом. Энергия,
направляемая облучателем на зеркало, возбуждает его, т. е. возбуждает токи на
его поверхности. Каждый элемент поверхности параболоида, обтекаемый током,
может рассматриваться как элементарный источник, излучающий энергию по весьма
широкой диаграмме.
Для получения узкой диаграммы направленности необходимо распределить
энергию между большим числом элементарных вибраторов, расположенных и
возбужденных таким образом, что в нужном направлении их поля оказываются
синфазными [4]. В данном случае распределение энергии осуществляется
облучателем, а роль элементарных вибраторов играют элементы возбужденной
поверхности параболоида, причем распределение токов в пространстве таково, что
в направлении оси Z все элементы
поверхности параболоида создают поля одинаковой фазы.
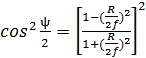
1.3 Направленные свойства параболической антенны
Расчет диаграммы направленности параболической антенны может быть
произведен по распределению токов на поверхности зеркала - токовый метод. Зная
распределение тока на поверхности зеркала, можно определить направленные
свойства параболической антенны. Для этого необходимо проинтегрировать по всей
поверхности зеркала выражение для напряженности поля, создаваемого элементом
поверхности зеркала, рассматривая его как элементарный электрический вибратор.
Расчет ДН антенны этим способом обеспечивает достаточно точные результаты
в пределах главного лепестка и прилегающих к нему боковых лепестков.
Существенный недостаток этого метода - относительная сложность и громоздкость
выкладок [4].
Рассмотрим в качестве излучающей плоскую поверхность раскрыва. Если
пренебречь токами, затекающими на наружную поверхность параболоида, то можно
определить напряженность поля в любой точке пространства по распределению поля
на поверхности раскрыва S. Для
приближенного определения распределения поля на поверхности раскрыва можно
воспользоваться методом геометрической оптики, согласно которому каждому лучу
облучателя, падающему на поверхность зеркала, соответствует луч, отраженный от
этой поверхности. Если облучатель расположен в фокусе параболоида, все
отраженные от поверхности антенны лучи оказываются параллельными (плоская
волна), и поэтому плотность энергии на пути от излучающей поверхности параболоида
до излучающей поверхности не меняется. На пути от облучателя до поверхности
параболоида амплитуда лучей убывает обратно пропорционально расстоянию.
Таким
образом, если в фокусе параболоида размещен облучатель с диаграммой
направленности
(φ,ψ),
то распределение поля Е(φ,ψ) в раскрыве антенны по методу геометрической оптики [6]
определится равенством:
=
(1.8)
В
равенстве (1.8) постоянные множители, не представляющие интереса для настоящего
рассмотрения, опущены. Диаграмма направленности раскрыва с распределением (1.8)
определяется формулой:
(1.9)
где
Апертурный
метод позволяет достаточно просто определить направленные свойства антенны с
любым сколь угодно сложным раскрывом. Этот метод основан на тех же нестрогих
предположениях, на которых основан токовый метод. Предположение о лучевом
распространении поля от зеркала антенны до раскрыва, свойственное только
апертурному методу, приводит к дополнительным погрешностям, увеличивающимся с
ростом угла раствора зеркала. Следует отметить также, что апертурный метод не
позволяет определить поляризационные характеристики поля антенны [4].
1.4
Эффективность параболической антенны. Оптимальный облучатель
Рассмотрим раскрыв параболоида как излучающую поверхность. Если
распределение поля на поверхности синфазно и равномерно, то коэффициент
направленного действия возбужденной поверхности в направлении оси OZ может быть определен формулой [24]:
(1.10)
где S - площадь возбужденной поверхности.
Пусть теперь в раскрыве антенны распределение поля задано функцией Е(М),
где М - текущая точка поверхности. Определим коэффициент направленного действия
этой антенны в направлении оси Z.
Поле, излученное антенной в этом в этом направлении, определяется равенством:
(1.11)
где С - константа, в которую включены все, не представляющие интереса для
настоящего рассмотрения, величины; dS - элемент поверхности. Для первой антенны, у которой распределение поля
в раскрыве синфазно и равномерно, т.е. Е(М)=Ео, имеем:
(1.12)
Излученная антенной с распределением поля в раскрыве Е(М) мощность:
(1.13)
Для синфазного и равномерного распределений излученная мощность:
(1.14)
Отсюда коэффициент направленного действия антенны 2 определяется
выражением:
(1.15)
Формулу (1.15) можно привести к следующему виду (индекс «2» опускаем):
(1.16)
Где
(1.17)
называется апертурным коэффициентом использования антенны.
Во многих практических случаях распределение поля в раскрыве антенны
может считаться синфазным и осесимметричным. Достаточно часто амплитуду поля
можно аппроксимировать параболическим распределением с пьедесталом:
E(R)
= 1 - Δ(R/R0)2 (1.18)
На краю раскрыва E(R0) = 1 - Δ. Эта величина обычно называется
пьедесталом распределения.
Подставляя (1.18) в (1.17), после очевидных преобразований получим для
апертурного коэффициента использования антенны с параболическим распределением
выражение:
(1.19)
На рисунке (1.4) приведена зависимость коэффициента kа рассчитанного по формуле (1.19), от относительного
уровня поля на краю антенны 1 - Δ. В частности, если уменьшение уровня
поля на краю антенны составляет 10дБ, апертурный коэффициент kа - около 92%.
1.5 Факторы, вызывающие уменьшение коэффициента
направленного действия антенны
Анализ эффективности параболической антенны, проведенный в предыдущем
пункте, базировался на ряде упрощающих предположений. В частности,
предполагалась абсолютная точность выполнения отражающей поверхности, не
учитывалось затенение части раскрыва облучателем и т.д. Впоследствии нами будет
рассматриваться влияние некоторых из этих факторов на свойства проектируемой
антенны.
Перечислим основные из них [3]:
Затенение раскрыва антенны
Интерференция поля антенны
Точность обработки поверхности.
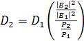
2. Расчет параметров антенны
2.1 Расчет геометрических
размеров антенны
Апертура исследуемой антенны представляет собой две накладывающиеся друг
на друга плоскости, имеющие общий центр. Следовательно, антенна имеет два
различных фокусных расстояния и угла раскрыва, для расчета которых необходимо
измерить диаметр (D) и глубину (Н)
апертуры в каждой плоскости.
Рисунок 2.1
Результаты расчета:
D1 = 1.974 м;
D2
= 1.983 м;
H1 = Н2 = 25.6 см;
Для расчета фокусных расстояний введем декартову систему координат как
это показано на рисунке (2.1) и воспользуемся уравнением поверхности
параболоида (1.1):
В этом случае диаметр D
соответствует координате X , а глубина раскрыва Н соответствует координате Z. Подставив в формулу измеренные
размеры получим:
D2 = 16 f Н (2.1);
f = D2/(16 Н);
f1 = 95.13 см;
f2 = 96.003 см;
Для расчета углов раскрыва воспользуемся формулой (1.5):
(2.2)
Далее, используя номограмму из [5], изображенную на рисунке (2.2),
проверим полученные ранее значения фокусных расстояний и углов раскрыва
антенны:
Рисунок 2.2. Номограмма для нахождения фокусного расстояния и угла
раскрыва антенны.
F =
0.9м
Φ0 =
2ψ = 1100
ψ = 550
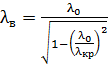
2.2 Расчет геометрических размеров облучателя
В соответствии с заданием, облучатель должен быть выполнен в виде
открытого конца прямоугольного волновода. Расчет размеров произведем, исходя из
условия существования волны основного типа в прямоугольном волноводе Н10
на протяжении всего частотного диапазона, указанного в задании (484-750МГц).
Целесообразно в качестве критической взять частоту fкр = 400 Мгц и, в соответствии с этим,
произвести необходимые расчеты.
Рисунок 2.3
Известно, что для прямоугольного волновода (рисунок 2.3) с основным типом
волны размеры широкой стенки (a)
должны удовлетворять условию:
а < λв
< а (2.3)
λкр - критическая длинна волны.
Определим λкр по формуле:
(2.4)
;
Пусть 1.8а = λкр , что удовлетворяет условию (2.3).
Получим:
а = λкр /1.8;
а = 0.42 м.
Размеры узкой стенки волновода (b) обычно выбираются из условия:
b =
0.5 а
b =
0.21 м.
Длинна волновода - L
определяется таким образом, чтобы на минимальной частоте диапазона вдоль
волновода укладывалась одна λв. Произведем необходимые расчеты:
.
Длина волны в волноводе определяется по известной формуле
(2.5)
Отсюда получим:
λв max = 1.1 м ;
В нашем случае нет необходимости в строгом равенстве λв max = L;
Для выбора L воспользуемся
приближенной формулой
L = λ0 max + (λв max /4) (2.6)
= 0.77 м.
С учетом необходимых конструктивных допусков, окончательный результат:
L =
0.8 м.
2.3 Расчет диаграммы направленности облучателя
В области сантиметровых волн в качестве слабонаправленной антенны часто
применяются волноводы с открытым концом. Такие антенны используются в качестве
облучателей зеркальных или линзовых антенн и как самостоятельные излучатели.
На практике используются волноводные излучатели круглого, прямоугольного
и эллиптического сечений. Обычно сечение волновода выбирается таким образом,
чтобы избежать возникновения высших типов волн. Размеры сечения прямоугольного
волновода выбираются в пределах 0,5λ<a<
λ, b<0,5λ;
при этом в волноводе
может распространяться лишь основной тип волны - Н10. Существенным
преимуществом является однородность поляризации этой волны во всем сечении
волновода. В ряде случаев для улучшения направленных свойств, и, в частности,
для сужения диаграммы направленности могут использоваться прямоугольные
волноводы увеличенного сечения; при этом возможно распространение в волноводе
нескольких типов волн. Это иногда вынуждает принять специальные меры для
подавления высших типов волн.
Обычно при анализе направленных свойств волновода с открытым концом для
упрощения полагают, что поле у открытого конца волновода остается таким же, как
в волноводе бесконечной длины, а токи на внешней поверхности волновода
отсутствуют. Такое предположение позволяет легко определить направленные
свойства волновода с открытым концом. Тогда формула для определения диаграммы
направленности имеет вид:
Для расчета ДН воспользуемся формулами, по степени приближенности,
удовлетворяющими поставленной задаче:
(2.7)
(2.8)
Подставляя рассчитанные размеры стенок, получим формулы для расчета ДН
волновода на средней частоте (fср = 602МГц, λср = 0.498 м):
Рассчитанные значения F(ψ) представим в виде таблицы
Таблица 2.1.
|
|
|
|
|
0
|
1
|
1
|
|
20
|
0.94
|
0.9
|
|
40
|
0.78
|
0.66
|
|
60
|
0.59
|
0.44
|
|
80
|
0.44
|
0.29
|
|
90
|
0.37
|
0.23
|
|
100
|
0.29
|
0.19
|
|
120
|
0.205
|
0.15
|
|
140
|
0.11
|
0.09
|
|
160
|
0.035
|
0.033
|
|
180
|
0
|
0
|
Для получения более точных результатов, диаграммы направленности построим
с помощью программы Advanced
Grapher.
Рисунок 2.4. Диаграмма направленности открытого конца прямоугольного
волновода размером 0.42м х 0.21м в плоскостях Е и Н.
Оценим ширину диаграммы направленности Δψ0 в обеих плоскостях (ширина ДН определяется на уровне
половинной мощности, т.е. при F(ψ) = 0.707).
Рисунок 2.5. Оценка ширины диаграммы направленности Δψ0 в обеих плоскостях на уровне половинной мощности.
По построенным графикам получили:
Δψ°Е = 97.2°
Δψ°Н = 72°
Рассчитаем более точные значения ширины ДН с помощью номограммы из [5],
изображенной на рисунке (2.6).
Рисунок 2.6. Номограмма «излучение открытого конца прямоугольного
волновода».
2.4 Расчет амплитудного распределения антенны
параболический антенна зеркальный излучение
Для расчета амплитудного распределения воспользуемся теоретическими
посылками пункта (1.3) и, в частности, формулой (1.9), позволяющей найти АР по
имеющимся диаграммам направленности облучателя. Запишем формулу (1.9) с учетом
уже найденных нами размеров облучателя и длинны волны (расчет, как и в
предыдущих пунктах, проводится на средней частоте диапазона):
(2.9)
Как и в предыдущих расчетах, мы должны рассматривать раскрыв антенны как
две плоскости, но в данном случае из-за небольших отличий углов раскрыва ψ
и, соответственно,
небольших расхождений амплитудных распределений этих плоскостей, удобнее
аппроксимировать их неким средним АР. Вычисления будем проводить в пределах
среднего угла раскрыва (ψср=54.725°=0,304π),
т.е.
Представим рассчитанные значения в виде таблицы.
Таблица 2.2.
|
,  
|
|
|
|
0.304
|
0.48
|
0.35
|
|
0.27
|
0.583
|
0.458
|
|
0.24
|
0.655
|
0.533
|
|
0.21
|
0.72
|
0.617
|
|
0.18
|
0.789
|
0.708
|
|
0.15
|
0.848
|
0.782
|
|
0.12
|
0.895
|
0.851
|
|
0.09
|
0.941
|
0.92
|
|
0.06
|
0.982
|
0.957
|
|
0.03
|
0.998
|
0.988
|
|
0
|
1
|
1
|
Построим график полученного распределения с помощью программы Advanced Grapher
Рисунок 2.7. Амплитудное распределение
антенны.
2.5 Расчет приближенных диаграмм направленности
Расчет приближенных диаграмм направленности антенны представляет собой в
нашем случае сложную теоретическую задачу. Для расчета воспользуемся программой
KRUG (разработчик Б.Д. Ситнянский, ВлГУ,
Кафедра РТ и PC), описание и теоретическая основа
которой представлены ниже.
Программа KRUG предназначена
для расчета диаграмм направленности круглых синфазных раскрывов с амплитудным
распределением (АР), монотонно спадающим от центра плоскости антенны к краям.
Расчет в данной программе проводится в рамках апертурой теории.
Определение ДН параболических антенн связано с вычислением интеграла по
криволинейной поверхности зеркала, возбуждаемой электрическими токами (токовый
метод) или интеграла по плоской поверхности выходного отверстия зеркала -
апертуре (апертурный метод). Апертурный метод значительно проще в реализации и
часто обеспечивает точность, достаточную в инженерных расчетах. Его простота
обусловлена тем, что эквивалентные электрический и магнитный токи в апертуре
являются синфазными, и под интегралом остается только функция АР.
Для апертур круглой и прямоугольной форм имеются такие АР, для которых
интегрирование приводит к известным функциям и вычисление ДН сильно упрощается.
Эти АР называются парциальными (ПАР). Им соответствуют парциальные ДН. Основой
программы KRUG является теорема:
Если нормированное AP(g) представляется в виде линейной
комбинации нормированных парциальных АР(gi) со своими весами (pi), то ДН(F(ϴ)) является линейной комбинацией соответствующих
нормированных ПАР(Fi(ϴ))
с теми же весами, умноженными на параметры парциальных АР (Mi).
Если
, то
(2.10)
В следующей таблице укажем основные парциальные распределения и их
параметры.

Таблица 2.3.
|
АР
|
M=S КИП=1 N=S
|
M=0.5S КИП=0.75 N=(1/3)S
|
M=(1/3)S КИП=0.56 N=(1/5)S
|
|
ДН
|
УБЛ = -17.6 дБ
|
УБЛ = -24.6 дБ
|
УБЛ = -30.6 дБ
|

|
АР
|
M=(1/4)S КИП=0.44 N=(1/7)S
|
M=(1/3)S КИП=0.67 N=(1/6)S
|
|
ДН
|
УБЛ = -36 дБ
|
УБЛ = -33.6 дБ
|
Нормированные парциальные ДН выражаются через функции Бесселя первого
рода первых порядков Jn(u) и комбинацию функций Бесселя и
Струве нулевого и первого порядков Hn(u). Обобщенный
аргумент u равен половине электрического
размера антенны, умноженного на синус угла наблюдения:
(2.11)
Представленные в таблице парциальные АР дают возможность достаточно
точной аппроксимации реально существующего в антенне амплитудного
распределения.
Указанная в задании антенна, как уже было сказано в пункте (2.1), имеет в
своем раскрыве две накладывающиеся друг на друга плоскости, имеющие различные
диаметры и одинаковую глубину раскрыва. Поэтому методика расчета выбирается
следующей:
) Проведем с помощью программы KRUG расчеты ДН на средней частоте (602МГц) для каждой
плоскости отдельно, полагая распределение осесимметричным.
) Рассчитав среднее фокусное расстояние и соответствующий ему диаметр
плоскости раскрыва, проведем расчет усредненной диаграммы направленности на
этой же частоте.
) Проведем расчет ДН с учетом тени, создаваемой облучателем.
) Оценим уровень погрешности, обусловленной выносом облучателя из
фокуса.
2.6 Расчет диаграмм направленности на средней
частоте
Исходными данными для программы будут являться: выбранная длинна волны,
полученное в пункте (2.4) нормированное амплитудное распределение (G1) и диаметр плоскости раскрыва (D).
Рассчитаем по формуле (2.4) среднюю длину волны λср:
λср = С/fср
λср = 0.498 м
Нормирование АР (GI)
осуществляется относительно диаметра плоскости (в программу вводятся величины GI при R=0.1D, 0.2D, 0.3D, 0.4D, 0.5D).
В следующей таблице запишем рассчитанные с помощью графиков пункта (2.4)
исходные данные.
Таблица 2.4.
|
Плоскость 1 м
|
Плоскость 2 м
|
|
Плоскость E
|
Плоскость H
|
Плоскость E
|
Плоскость H
|
|
, м
|
GI
|
, м
|
GI
|
,м
|
GI
|
, м
|
GI
|
|
0.197
|
0.9692
|
0.197
|
0.955
|
0.198
|
0.969
|
0.198
|
0.95
|
|
0.395
|
0.8827
|
0.395
|
0.832
|
0.397
|
0.397
|
0.83
|
|
0.592
|
0.7587
|
0.592
|
0.678
|
0.595
|
0.757
|
0.595
|
0.68
|
|
0.785
|
0.621
|
0.785
|
0.502
|
0.793
|
0.616
|
0.793
|
0.5
|
|
0.987
|
0.48
|
0.987
|
0.354
|
0.992
|
0.477
|
0.992
|
0.35
|
Наша задача сводится к вводу полученных данных и подбору весов (pi) пяти парциальных АР, аппроксимирующих
рассчитанное нами в пункте (2.4) амплитудное распределение. Для составления
сводных таблиц рассчитанных значений, проведем сразу расчет и для Dcp.
Расчет усредненной ДН проводится для среднего фокусного расстояния,
которому соответствует некая средняя плоскость раскрыва с диаметром Dcp:
fcp= 85,58 см,
Следуя формуле (2.1): Dcp = 197,9 см.
Таблица 2.5.
|
Плоскость 1 м
|
|
Плоскость E
|
Плоскость H
|
|
|
GI
|
|
GI
|
|
0.1975
|
0.969
|
0.1975
|
0.9525
|
|
0.3955
|
0.882
|
0.3955
|
0.831
|
|
0.5926
|
0.7575
|
0.5926
|
0.679
|
|
0.787
|
0.618
|
0.787
|
0.501
|
|
0.986
|
0.478
|
0.986
|
0.352
|
Представим рассчитанные программно результаты в виде сводной таблицы
значений.
Таблица 2.6.
Составим также таблицу программно полученных значений, необходимую для
построения графиков диаграмм направленности антенны в трех рассмотренных нами
случаях.
Таблица 2.7.
|
|
м
|
м
|
м
|
м
|
м
|
м
|
|
0
|
1
|
1
|
1
|
1
|
1
|
1
|
|
1.5
|
0.9882
|
0.9887
|
0.9881
|
0.9888
|
0.9881
|
0.9886
|
|
3
|
0.9533
|
0.9553
|
0.9529
|
0.9559
|
0.953
|
0.9551
|
|
4.5
|
0.8972
|
0.9016
|
0.8963
|
0.903
|
0.8967
|
0.9012
|
|
6
|
0.823
|
0.83014
|
0.8304
|
0.8327
|
0.822
|
0.8297
|
|
7.5
|
0.7343
|
0.7452
|
0.7319
|
0.7485
|
0.7328
|
0.7441
|
|
9
|
0.6355
|
0.6501
|
0.6324
|
0.6546
|
0.6336
|
0.6488
|
|
10.5
|
0.5314
|
0.5497
|
0.5276
|
0.5552
|
0.529
|
0.548
|
|
12
|
0.4267
|
0.4483
|
0.4223
|
0.4548
|
0.4239
|
0.4463
|
|
13.5
|
0.3258
|
0.3501
|
0.3208
|
0.3573
|
0.3226
|
0.3479
|
|
15
|
0.2295
|
0.256
|
0.2242
|
0.2638
|
0.226
|
0.2536
|
|
16.5
|
0.1472
|
0.1748
|
0.1417
|
0.1827
|
0.1435
|
0.1722
|
|
18
|
0.0769
|
0.1048
|
0.0715
|
0.1126
|
0.0731
|
0.1022
|
|
19.5
|
0.0201
|
0.0473
|
0.0149
|
0.0547
|
0.0163
|
0.0488
|
|
21
|
-0.0229
|
0.0029
|
-0.0277
|
0.0095
|
-0.0265
|
0.0004
|
|
22.5
|
-0.0525
|
-0.02
|
-0.0569
|
-0.0233
|
-0.056
|
-0.0312
|
|
24
|
-0.0698
|
-0.049
|
-0.0737
|
-0.0445
|
-0.0731
|
-0.0512
|
|
25.5
|
-0.0766
|
-0.0589
|
-0.0799
|
-0.0556
|
-0.0759
|
-0.0608
|
|
27
|
-0.0746
|
-0.0603
|
-0.0773
|
-0.0583
|
-0.0773
|
-0.062
|
|
28.5
|
-0.0661
|
-0.0551
|
-0.0683
|
-0.0544
|
-0.0684
|
-0.0567
|
|
30
|
-0.0531
|
-0.0454
|
-0.0548
|
-0.0459
|
-0.0551
|
-0.0468
|
|
31.5
|
-0.0376
|
-0.0329
|
-0.0389
|
-0.0345
|
-0.0393
|
-0.0342
|
|
33
|
-0.0213
|
-0.0193
|
-0.0223
|
-0.0218
|
-0.0228
|
-0.0205
|
|
34.5
|
-0.0056
|
-0.0059
|
-0.0064
|
-0.0092
|
-0.0069
|
-0.007
|
|
36
|
0.0084
|
0.0063
|
0.0077
|
0.0025
|
0.0073
|
0.0053
|
|
37.5
|
0.02
|
0.0165
|
0.0194
|
0.0125
|
0.0191
|
0.0156
|
|
39
|
0.0288
|
0.0244
|
0.0282
|
0.0202
|
0.028
|
0.0235
|
|
40.5
|
0.0347
|
0.0289
|
0.034
|
0.0257
|
0.034
|
0.0289
|
|
42
|
0.0377
|
0.0327
|
0.037
|
0.0288
|
0.0371
|
0.0319
|
|
43.5
|
0.0381
|
0.0333
|
0.0374
|
0.0298
|
0.0376
|
0.0325
|
|
45
|
0.0364
|
0.032
|
0.0357
|
0.0289
|
0.036
|
0.0313
|
|
46.5
|
0.033
|
0.0292
|
0.0322
|
0.0266
|
0.0326
|
0.0285
|
|
48
|
0.0283
|
0.0251
|
0.0275
|
0.0231
|
0.0279
|
0.0245
|
|
49.5
|
0.0228
|
0.0204
|
0.022
|
0.0189
|
0.0225
|
0.0198
|
|
51
|
0.0168
|
0.0152
|
0.0161
|
0.0143
|
0.0167
|
0.0147
|
Построим графики полученных распределений.
Рисунок 2.8. Диаграмма направленности антенны для случая D=1.974 м.
Рисунок 2.9. Диаграмма направленности антенны для случая D=1.983 м.
Рисунок 2.10. Диаграмма направленности антенны для случая D=1.979 м.
.7
Расчет диаграмм направленности с учетом
тени, создаваемой облучателем
Программа KRUG дает также
возможность расчета ДН антенны с учетом круглой тени, создаваемой облучателем.
В нашем случае тень прямоугольного облучателя необходимо аппроксимировать
описанной вокруг его поперечного сечения окружностью, как это показано на
рисунке (2.11).
Рисунок 2.11
Рассчитанные значения:
Таблица 2.8.
|
Плоскость E
|
Плоскость H
|
|
|
КИП=0.91 КНД=141 УБЛ=0.15 -дБ=16.3
|
КИП=0.88 КНД=138 УБЛ=0.14 -дБ=16.9
|
Таблица 2.9.
|
|
м
|
м
|
|
0
|
1
|
1
|
|
1.5
|
0.9871
|
0.9876
|
|
3
|
0.9492
|
0.951
|
|
4.5
|
0.8883
|
0.8922
|
|
6
|
0.8076
|
0.8142
|
|
7.5
|
0.7113
|
0.721
|
|
9
|
0.6042
|
0.6172
|
|
10.5
|
0.4915
|
0.5076
|
|
12
|
0.3782
|
0.3971
|
|
13.5
|
0.2693
|
0.2903
|
|
15
|
0.1657
|
0.1883
|
|
16.5
|
0.0774
|
0.1006
|
|
18
|
0.0025
|
0.0255
|
|
19.5
|
-0.0575
|
-0.0375
|
|
21
|
-0.1023
|
-0.0823
|
|
22.5
|
-0.1324
|
-0.115
|
|
24
|
-0.149
|
-0.1346
|
|
25.5
|
-0.154
|
-0.1429
|
|
27
|
-0.1494
|
-0.1419
|
|
28.5
|
-0.1377
|
-0.1336
|
|
30
|
-0.1252
|
-0.1251
|
|
31.5
|
-0.1083
|
-0.1081
|
|
33
|
-0.0838
|
-0.0851
|
|
34.5
|
-0.0611
|
-0.0661
|
|
36
|
-0.0417
|
-0.0439
|
|
37.5
|
-0.0229
|
-0.0269
|
|
39
|
-0.012
|
-0.0147
|
|
40.5
|
-0.004
|
-0.0092
|
|
42
|
0.0006
|
-0.0075
|
|
43.5
|
0.0009
|
-0.0051
|
|
45
|
0.0012
|
-0.0034
|
|
46.5
|
0.0004
|
-0.0041
|
|
48
|
-0.0031
|
-0.0057
|
|
49.5
|
-0.0075
|
-0.0083
|
|
51
|
-0.0097
|
-0.013
|
Построим графики полученных функций:
Рисунок 2.12. Усредненные диаграммы направленности антенны в плоскости E без учета и с учетом тени.
Рисунок 2.13. Усредненные диаграммы направленности антенны в плоскости H без учета и с учетом тени.
2.8 Оценка погрешностей
Как мы видим из предыдущих пунктов, из-за небольшого различия фокусных
расстояний погрешности выноса облучателя из фокуса в обоих плоскостях
оказываются незначительными. Поэтому построенные нами усредненные ДН и рассчитанные
с помощью программы KRUG параметры
антенны для Dcp, можно с удовлетворительной степенью
приближенности на данном этапе считать верными.
2.9 Расчет просачивания энергии
Плоскость зеркала антенны, указанной в задании, в целях облегчения
конструкции, а так же уменьшения давления ветра на нее (парусности) выполнена
не из сплошного металлического листа, а из сетки полых трубок диаметром 16 мм.
Для характеристики работы такого зеркала применяют коэффициент прохождения T [24], определяемый как отношение
энергии волны, прошедшей за зеркало, к энергии падающей волны.
(в некоторых источниках эту величину называют просачиванием энергии и
обозначают буквой δ).
Зеркало можно считать хорошим, если T не превышает 1%.
Следует отметить, что интенсивность поля прошедшей за зеркало волны для
параболоида вращения обратно пропорциональна первой степени отношения (диаметр
зеркала/длинна волны), а параболического цилиндра - второй его степени. Поэтому
при тех же размерах раскрыва параболический цилиндр имеет значительно больший
коэффициент прохождения, чем параболоид вращения. У параболоидов вращения
излучение в заднем полупространстве слабонаправленное, а у параболических
цилиндров - направленное.
Для определения δ необходимо произвести измерения диаметров (d) труб и расстояния между ними (t). Измерив эти величины, мы можем
определить величину δ с помощью номограммы из [5], изображенной на рисунке
(2.14). Измеренные значения и номограмма приведены ниже.
d=1.6
см
t=5.15
см
δ=0.004
δ=-24дБ
Рисунок 2.14. Номограмма «расчет просачивания энергии».
3. Расчет параметров коаксиально-волноводного
перехода
Для расчета КВП рассмотрим сначала несколько теоретических задач
возбуждения поля в волноводе.
Для простоты расчетов положим, что внутренний проводник коаксиального
кабеля, возбуждающий электромагнитное поле в резонаторе является элементарным
электрическим излучателем (ЭЭИ).
Выведем формулы для коэффициентов возбуждения и запишем выражения для
комплексных амплитуд вынужденного электромагнитного поля волны типа H10, возбуждаемой в прямоугольном
волноводе элементарным электрическим излучателем с током I0. Излучатель имеет длину lд и направлен вдоль оси у (рисунок 3.1). Волновод заполнен
воздухом.

Рисунок 3.1
Поскольку возбуждение осуществляется лишь электрическим током, запишем
формулу для коэффициентов возбуждения волны типа H10 [4] в виде:
Свободное поле волны типа H10 запишем в виде:
(3.1)
(3.2)
Норма волны типа H10:
Используя выражения (3.1) (3.2), получим:
Элементарный облучатель, расположенный в точке с координатами x=x1 и z=z1 характеризуется объемной плотностью тока [4]:
Воспользовавшись свойствами δ-функций, получим:
(3.3)
Используя (3.1) (3.2) (3.3), запишем выражения для комплексных амплитуд
вынужденного ЭМП волны типа H10. В данном случае нас будет интересовать
только поле в переднем полупространстве волновода, т.е. при z>z1
Далее рассмотрим решение этой же задачи при условии, что волновод с одной
стороны закорочен проводящей плоскостью (полубесконечный волновод) [16]. В
соответствии с принципом зеркальных изображений, исходная система эквивалентна
изображенной на рисунке (3.2б).

Рисунок 3.2 (а)
Рисунок 3.2 (б)
ЭМП в волноводе при z>0
находят как сумму полей реального и фиктивного источников. Коэффициент
возбуждения волны реального источника определяется из выражения:
Коэффициент возбуждения волны от фиктивного источника:
Коэффициент результирующей волны типа H10 находится как сумма коэффициентов реального и фиктивного
источников. В результате сделанных предположений найдем комплексные амплитуды
составляющих вынужденного ЭМП волны H10:
Далее, определим мощность и сопротивление излучения ЭЭИ, возбуждающего
волну H10 в волноводе, рассмотренном выше.
Определим, при каких значениях x1 и z1 мощность, отдаваемая источником в волновод максимальна.
Мощность излучения равна среднему потоку мощности волны H10 через поперечное сечение волновода
[18]:
Комплексные амплитуды составляющих вынужденного поля для данной системы
определяются выражением:
Подставляя сюда найденные значения комплексных амплитуд вынужденного ЭМП,
получим:
Так как
, то
Величина
максимальна при x1=a/2 и z1 = (2к+1)λH10/4 (к=0,1,2,....). Поэтому, при
расчетах параметров конструкции волновода положение КВП выбирается на
расстоянии 0,25 м от короткозамыкающей стенки волновода и на расстоянии 0,5а=21
см от узкой стенки волновода.
Сопротивление излучения можно найти из условия
Откуда
Следуя полученной выше формуле, составим графики следующих зависимостей.
Рисунок 3.3. Зависимость сопротивления излучения в заданном диапазоне при
рассчитанных размерах волновода от длины волны в свободном пространстве.
(Полагается, что lд равно половине b).
Рисунок 3.4. Зависимость сопротивления на средней частоте от длины
проводника, возбуждающего резонатор.
4. Разработка конструкции основных узлов антенны
Предложим конструкцию волновода как результат произведенных выше
расчетов. На рисунках (4.1) и (4.2) предложен вариант конструктивного
исполнения волновода.
Рисунок 4.1. Поперечное сечение волновода.
Рисунок 4.2. Внешний вид волновода.
Установка волновода в фокус обеспечивается за счет держателя,
изображенного на рисунках (4.3) и (4.4). Для обеспечения первоначальной
калибровки антенны и возможности ее дальнейшей работы волновод должен иметь
возможность передвигаться вдоль оси излучения в небольших пределах (это
необходимо для максимально точной установки волновода в фокус, а так же дает
возможность управления ДН антенны). Для этого в конструкции волновода
предусмотрены направляющие, имеющие отверстия соответствующих диаметров, а в
конструкции держателя соответственно - направляющие пазы с прорезанными в их
широких стенках щелями. Фиксация волновода осуществляется с помощью крепежных
болтов [16].
Рисунок 4.3. Поперечное сечение держателя волновода.
Рисунок 4.4. Конструкция держателя волновода.
Для обеспечения первоначальной калибровки облучателя отдельно
выполняется коротко замыкающий поршень, изображенный на рисунке (4.5). После
выполнения калибровки поршень фиксируется.
Рисунок 4.5. Короткозамыкающий поршень
волновода.
5. Корректировка расчетов диаграммы
направленности
В связи с предложенной конструкцией держателя волновода, имеющего
размеры, большие, чем раскрыв волновода (крепление держателя в фокус
обеспечивается за счет квадратной металлической пластины со стороной 52см
(рисунок 5.1)), необходимо произвести пересчет ДН антенны с учетом круглой
тени, создаваемой пластиной. Все расчеты ведутся по методике, предложенной в
пункте (2.7).
Рисунок 5.1
Рассчитанные значения:
Таблица 5.1
Построим графики полученных функций:
Рисунок 5.2. ДН антенны с учетом тени, создаваемой облучателем и
держателем в плоскости E.
Рисунок 5.3. ДН антенны с учетом тени, создаваемой облучателем и
держателем в плоскости H.
6. Экономический раздел
.1 Основные понятия
Производя расчет экономической эффективности, необходимо четко
представлять, в первую очередь, суть таких категорий, как “экономический
эффект” и “экономическая эффективность”.
Экономический эффект - это полученный (или предполагаемый) результат
использования определенных ресурсов (основных фондов, трудовых ресурсов и
т.п.), рассчитанный в денежном выражении.
Экономическая эффективность - это соотношение экономического эффекта и
затрат, связанных с его получением.
Исходя из сути экономической эффективности, для ее расчета необходимо
определить (рассчитать), во-первых, величину затрат, которые следует осуществить
для реализации поставленной цели, а во-вторых, величину экономического эффекта,
который будет получен на практике от внедрения полученных результатов.
Общая сумма затрат слагается из нескольких частей: текущих,
единовременных, эксплуатационных и сопряженных затрат.
Текущие затраты - это затраты, связанные непосредственно с изготовлением
продукции, производимой с помощью разрабатываемых средств труда или их
аналогов.
Единовременные затраты - это капитальные затраты, связанные с
приобретением средств труда (приборов, оборудования, инструментов и т.п.),
увеличением оборотных средств.
Эксплуатационные затраты - это затраты, которые складываются в процессе
эксплуатации разрабатываемого объекта новой техники (затраты на электроэнергию,
заработную плату и т.п.).
Сопряженные расходы - это средства, которые необходимо вложить в другие
предприятия, чтобы была возможность внедрить разрабатываемый объект новой
техники.
Экономический эффект рассчитывается как сумма всех положительных факторов
в стоимостном выражении, обусловленных новой разработкой (снижение
трудоемкости, численности, затрат материалов, электроэнергии, повышение
качества продукции и т.п.).
Классическая схема процесса разработки антенных устройств изображена на
рисунке 6.1. Разработка начинается с анализа технических требований и выбора
первоначальной конфигурации цепи.
Рисунок 6.1. Схема процесса исследования антенны.
Первоначальная конфигурация выбирается на основании имеющихся исходных
данных и предшествующего опыта. Для определения различных параметров этой цепи
используются процедуры анализа и синтеза. Затем разрабатывается предварительный
лабораторный макет и измеряются его характеристики. Измеренные характеристики
сравниваются с заданными техническими требованиями; если заданные требования не
выполняются, то макет дорабатывается. Доработка может включать регулировку и
настройку макета. Затем вновь проводятся измерения, результаты которых
сравниваются с заданными требованиями. Последовательный процесс доработки,
измерений и сравнений результатов с заданными требованиями повторяется до тех
пор, пока не будут достигнуты желаемые результаты. Окончательная конфигурация
воспроизводится при изготовлении опытного образца.
6.2 Расчет себестоимости
зеркальной антенны
Для всесторонней оценки создаваемого устройства необходимо учитывать не
только техническую, но и экономическую сторону проводимой разработки.
Экономический анализ дает возможность выбрать наиболее эффективный вариант из
нескольких разрабатываемых конструкций, так как предполагает в дополнении к
оценке технических характеристик устройства, оценить и его рентабельность, что
является, пожалуй, определяющим фактором целесообразности создания нового
продукта или разработки новой методики.
Одним из экономических показателей изделия является его оптовая цена,
которая находится после составления плановой калькуляции себестоимости.
Первая статья калькуляции - затраты на сырье и основные материалы,
определяется прямым счетом по рабочим чертежам, с учетом технологического
процесса. Результаты расчета применительно к нашему устройству приведены в
таблице 6.1.
Таблица 6.1
|
Материал
|
Марка материала
|
Ед. изм.
|
Потребность на единицу
|
Оптовая цена, руб.
|
Сумма, руб.
|
|
Трубка алюминиевая
|
АД1 круг 16 мм.
|
п.м.
|
65
|
25
|
1625
|
|
Уголок стальной
|
Ст3пс, сп 25мм*4мм
|
п.м.
|
4
|
41
|
164
|
|
Уголок стальной
|
Ст3пс, сп 40мм*4мм
|
п.м.
|
5
|
69,3
|
346,5
|
|
Сталь листовая
|
09г2с t 80
мм
|
|
0,04
|
3070
|
122,8
|
|
Сталь листовая
|
09г2с t 40
мм
|
|
0,27
|
3255
|
878,85
|
|
Проволока стальная сварочная
|
СВ08Г2С круг 1 мм.
|
кг.
|
0,9
|
29,9
|
26,91
|
|
Проволока бронзовая сварочная
|
БрАЖН 10-4-4 круг 1 мм.
|
кг.
|
0,8
|
410
|
328
|
|
Припой
|
ПОС-61 2мм проволока
|
м
|
2
|
42,5
|
85
|
|
Всего
|
3577,06
|
Вторая статья - затраты на вспомогательные материалы рассчитывается
аналогично первой, результаты расчета приведены в таблице 6.2.
Таблица 6.2
|
Материал
|
Марка материала
|
Ед. Изм.
|
Потребность на единицу
|
Оптовая Цена руб.
|
Сумма, руб.
|
|
Газ
|
Аргон
|
л.
|
1,2
|
30
|
36
|
|
Флюс
|
ФТС
|
л.
|
0,11
|
413
|
45,43
|
|
Всего
|
81,43
|
Затраты по третьей статье - комплектующие элементы и полуфабрикаты
считаются прямым счетом по рабочим чертежам. Расчет приведен в таблице 6.3.
Таблица 6.3
|
Комплектующие изделия
|
Марка
|
Ед. изм.
|
Потребность на единицу
|
Оптовая цена, руб.
|
Сумма, руб.
|
|
Прямоугольный волновод
|
Л96 40мм*20мм* 800мм
|
шт.
|
1
|
1250
|
1250
|
|
Держатель прямоугольного волновода
|
Л96 45мм*25мм* 400мм
|
шт.
|
1
|
380
|
380
|
|
Коаксиальный кабель
|
РК 75-7-11
|
м.
|
2
|
27,5
|
55
|
|
Разъем
|
СР 75
|
шт.
|
1
|
52
|
|
Болт
|
Болт М8 х 60 DIN933
|
шт.
|
10
|
2
|
20
|
|
Гайка
|
Гайка M8 DIN 934
|
шт.
|
6
|
1,6
|
9,6
|
|
Гайка с пресс-шайбой
|
Гайка M8
DIN6923
|
шт.
|
4
|
2
|
8
|
|
Всего
|
1781,8
|
Проведем расчет основной заработной платы рабочих в соответствии с
таблицей 6.4.
Таблица 6.4
|
Наименование
|
Кол-во на изделие шт.
|
Наименование технических операций
|
Нора времени мин.
|
Разряд
|
Часовая тарифная ставка
|
Сумма з/п, руб.
|
|
Зеркальная антенна
|
1
|
Сварка аргоно-дуговая по алюминию
|
70
|
3
|
65,15
|
76,01
|
|
|
Окраска
|
50
|
2
|
50,99
|
42,49
|
|
|
Сборка
|
45
|
4
|
70,46
|
52,85
|
|
|
Отладка
|
70
|
4
|
70,46
|
82,2
|
|
Всего
|
|
253,55
|
Остальные статьи калькуляции определяются по следующим данным:
Транспортно-заготовительные расходы: 5% от стоимости основных,
вспомогательных и покупных материалов (ПМЗ - полных материальных затрат);
Топливо и энергия на технологические цели при изготовлении системы не
учитывается, следовательно, расходов по этой статье нет.
Дополнительная заработная плата: 33% от основной заработной платы
основных производственных рабочих;
Отчисления на социальные нужды: 14% - от основной и дополнительной
заработной платы основных производственных рабочих;
Затраты на освоение новых изделий, техники и технологий - 18 % от прямой
заработной платы;
Затраты на содержание и эксплуатацию рабочих машин и оборудования 100% от
прямой заработной платы;
Цеховые расходы 60% от прямой заработной платы;
Общезаводские расходы: 150% от прямой заработной платы;
Прочие производственные расходы: 1% от прямой заработной платы;
Внепроизводственные расходы (входит командировка, реклама, расходы по
сбыту): 0,2% от производственной себестоимости;
На базовом предприятии рентабельность изделия составляет 7,8%,
следовательно, прибыль равняется 7,8% от полной себестоимости;
Отпускная цена с НДС: 118% от оптовой цены.
Оптовая цена рассчитывается по следующей формуле:
где
- коэффициент рентабельности изделия.
Таблица 6.5
|
Статьи затрат
|
Затраты на единицу, руб.
|
|
Сырье и основные материалы
|
3577,06
|
|
Вспомогательный материал на технологические нужды
|
81,43
|
|
Покупные изделия и полуфабрикаты
|
1781,8
|
|
Топливо и энергия на технологические цели
|
-
|
|
Итого ПМЗ
|
5440,29
|
|
Транспортно-заготовительные расходы
|
272,01
|
|
Основная заработная плата
|
253,55
|
|
Дополнительная заработная плата
|
83,67
|
|
Отчисления на социальные нужды
|
47,21
|
|
Затраты на освоение новой продукции, техники и технологии
|
45,64
|
|
Затраты на содержание и эксплуатацию оборудования
|
253,55
|
|
Цеховые расходы
|
152,13
|
|
Итого цеховая себестоимость
|
6548,05
|
|
Общезаводские расходы
|
380,33
|
|
Прочие производственные расходы
|
2,54
|
|
Итого производственная себестоимость
|
6930,92
|
|
Внепроизводственные расходы
|
13,86
|
|
Итого полная себестоимость
|
6944,78
|
|
Оптовая цена
|
7486,47
|
|
Отпускная цена с НДС
|
8834,03
|
6.3 Положительный эффект
Как и любое нововведение или изобретение, использованный в данной работе
метод расчета зеркальных антенн должен выгодно отличаться от всех прочих и быть
экономически обоснованным. В разработке антенн, как достаточно сложных
устройств, очень важен баланс между стоимостью и соответствием конечного
продукта требуемым характеристикам с заданной точностью. Чрезмерная точность
расчета и изготовления неминуемо влечет за собой увеличение расходов, что не
лучшим образом влияет на стоимость изделия, а значит и ухудшает потребительские
качества. Недостаточная точность, в свою очередь, негативно сказывается на
технических параметрах самой антенны, а это, по понятным причинам, крайне
нежелательно. Кроме того, наличие ощутимых погрешностей в расчете важнейших
характеристик антенны (например ее направленных свойств), может вызвать
необходимость внесения конструктивных изменений в устройство на последних
этапах создания, то есть, фактически, привести к переделке антенны. Такая
ситуация может существенно отразиться на экономической составляющей проекта и
вывести постройку антенны далеко за установленные временные рамки. Иными
словами, любое отклонение от описанного выше баланса, создает негативные
последствия.
Как уже отмечалось ранее в пункте (1.3), кроме применяемого в данной
работе метода составного амплитудного распределения, существуют также и другие
методики расчета направленных свойств зеркальных антенн. Одним из них является
токовый метод. Токовый метод обеспечивает достаточно точные результаты в
пределах главного лепестка диаграммы направленности антенны и прилегающих к
нему боковых лепестков. Однако недостатком метода является его сложность и
громоздкость. Кроме того, вычисления основаны на достаточном приближенном
соотношении плотности токов, которое, ко всему прочему, справедливо только для
антенных зеркал большого электрического размера.
Еще одним методом расчета направленных свойств зеркальных антенн является
апертурный метод. Он широко применяется на практике, наряду с токовым методом и
позволяет достаточно просто определить направленные свойства антенны с любым
сколь угодно сложным раскрывом. Однако этот метод основан на тех же нестрогих
предположениях, на которых основан токовый метод. Предположение о лучевом
распространении поля от зеркала антенны до раскрыва, свойственное только
апертурному методу, приводит к дополнительным погрешностям, увеличивающимся с
ростом угла раствора зеркала. Следует отметить также, что апертурный метод не
позволяет определить поляризационные характеристики поля антенны.
Как видно из представленных выше свойств токового и апертурного методов,
они в силу ряда причин, таких как громоздкость математических выкладок и
недостаточная точность, не являются оптимальными. Объемные вычисления
повышенной сложности увеличивают и без того недешевые человеко-часы высококвалифицированного
труда. Время, необходимое разработчику для теоретического расчета зеркальной
антенны методом составного амплитудного распределения может составлять от
нескольких часов до одного полного рабочего дня, тогда как токовый метод
расчета, при всех прочих недостатках, занимает около двух рабочих дней. Средний
месячный оклад разработчика составляет 18000 рублей. При пятидневной рабочей
неделе среднее число рабочих дней в месяце - 22. Таким образом, средняя дневная
заработная плата разработчика составит:
Необходимо
также учитывать дополнительные расходы:
-
начисления на заработную плату (социальное страхование, обязательное
медицинское страхование, пенсионный фонд, фонд занятости), обычно составляют
39% от
, а также
-
накладные расходы в организации - исполнителе проекта, обычно планируются в
процентном соотношении к заработной плате и составляют 10% от суммы
и
.
Тогда
затраты на двухдневную работу квалифицированного разработчика при расчете
направленных свойств антенны токовым методом составят:
В
то время как аналогичная работа, проведенная методом составного амплитудного
распределения, потребует вдвое меньших затрат:
Рассчитанная
ранее в пункте (7.2) отпускная цена готовой антенны с учетом НДС составляет
8834,03 руб. Сопоставляя эти затраты с затратами на оплату работы специалиста,
можно прийти к выводу, что разница в 1251 руб., обусловленная выбором метода
составного амплитудного распределения, вместо токового метода, вполне ощутима.
Стоит
отметить, что кроме описанных выше методов, существуют специальные программные
продукты, в список возможностей которых входит оценка направленных свойств
зеркальных антенн. Такие программы, как: Microwave Office, Microwave Studio,
HFSS способны решать данную техническую задачу и имеют ряд преимуществ над
традиционными методами. Однако следует учитывать тот факт, что эти продукты
являются платными. Их стоимость, как правило, доступна только по запросу,
зависит от набора дополнительных возможностей и подпрограмм, выбранных
заказчиком, и может достигать десятков и даже сотен тысяч рублей. Кроме этого,
для таких мощных систем автоматизированного проектирования необходимы
компьютеры с высокими вычислительными мощностями.
Цена
хорошего, современного компьютера, способного с комфортной производительностью
проводить сложные расчеты в таких программах и оснащенного широкоформатным
монитором для удобства восприятия графического интерфейса оператором, может достигать
100 и более тысяч рублей. Суммы такого порядка, потраченные на расчет
направленных свойств зеркальной антенны, несопоставимы с относительно дешевым и
достаточно точным методом составного амплитудного распределения.
7
7. Раздел безопасности и экологичности
С развитием научно-технического прогресса немаловажную роль играет
возможность безопасного исполнения людьми своих трудовых обязанностей. В связи
с этим была создана и развивается наука о безопасности труда и
жизнедеятельности человека.
Безопасность жизнедеятельности (БЖД) - это комплекс мероприятий,
направленных на обеспечение безопасности человека в среде обитания, сохранение
его здоровья, разработку методов и средств защиты путем снижения влияния
вредных и опасных факторов до допустимых значений, выработку мер по ограничению
ущерба в ликвидации последствий чрезвычайных ситуаций мирного и военного
времени [28].
Цель и содержание БЖД:
·
обнаружение и
изучение факторов окружающей среды, отрицательно влияющих на здоровье человека;
·
ослабление действия
этих факторов до безопасных пределов или исключение их если это возможно;
·
ликвидация
последствий катастроф и стихийных бедствий.
Круг практических задач БЖД прежде всего обусловлен выбором принципов
защиты, разработкой и рациональным использованием средств защиты человека и
природной среды от воздействия техногенных источников и стихийных явлений, а
также средств, обеспечивающих комфортное состояние среды жизнедеятельности.
Охрана здоровья трудящихся, обеспечение безопасности условий труда,
ликвидация профессиональных заболеваний и производственного травматизма
составляет одну из главных забот человеческого общества. Обращается внимание на
необходимость широкого применения прогрессивных форм научной организации труда,
сведения к минимуму ручного, малоквалифицированного труда, создания обстановки,
исключающей профессиональные заболевания и производственный травматизм [29].
На рабочем месте должны быть предусмотрены меры защиты от возможного
воздействия опасных и вредных факторов производства. Уровни этих факторов не
должны превышать предельных значений, оговоренных правовыми, техническими и
санитарно-техническими нормами. Эти нормативные документы обязывают к созданию
на рабочем месте условий труда, при которых влияние опасных и вредных факторов
на работающих либо устранено совсем, либо находится в допустимых пределах.
Данный раздел дипломной работы посвящен рассмотрению следующих вопросов:
· определение оптимальных условий труда оператора ЭВМ;
·
расчет
освещенности;
·
расчет уровня
шума.
7.1 Характеристика условий труда
оператора ЭВМ
Научно-технический прогресс внес серьезные изменения в условия
производственной деятельности работников умственного труда. Их труд стал более
интенсивным, напряженным, требующим значительных затрат умственной, эмоциональной
и физической энергии. Это потребовало комплексного решения проблем эргономики,
гигиены и организации труда, регламентации режимов труда и отдыха.
В настоящее время компьютерная техника широко применяется во всех
областях деятельности человека. При работе с компьютером человек подвергается
воздействию ряда опасных и вредных производственных факторов: электромагнитных
полей (диапазон радиочастот: ВЧ, УВЧ и СВЧ), инфракрасного и ионизирующего
излучений, шума и вибрации, статического электричества и др. [30].
Работа с компьютером характеризуется значительным умственным напряжением
и нервно-эмоциональной нагрузкой операторов, высокой напряженностью зрительной
работы и достаточно большой нагрузкой на мышцы рук при работе с клавиатурой
ЭВМ. Большое значение имеет рациональная конструкция и расположение элементов
рабочего места, что важно для поддержания оптимальной рабочей позы
человека-оператора.
В процессе работы с компьютером необходимо соблюдать правильный режим
труда и отдыха. В противном случае у персонала отмечаются значительное
напряжение зрительного аппарата с появлением жалоб на неудовлетворенность
работой, головные боли, раздражительность, нарушение сна, усталость и
болезненные ощущения в глазах, в пояснице, в области шеи и руках.
7.2 Окраска и коэффициенты отражения
Окраска помещений и мебели должна способствовать созданию благоприятных
условий для зрительного восприятия, хорошего настроения.
Источники света, такие как светильники и окна, которые дают отражение от
поверхности экрана, значительно ухудшают точность знаков и влекут за собой
помехи физиологического характера, которые могут выразиться в значительном
напряжении, особенно при продолжительной работе. Отражение, включая отражения
от вторичных источников света, должно быть сведено к минимуму. Для защиты от
избыточной яркости окон могут быть применены шторы и экраны [31].
В зависимости от ориентации окон рекомендуется следующая окраска стен и
пола:
· окна ориентированы на юг: стены зеленовато-голубого или светло-голубого
цвета; пол - зеленый;
· окна ориентированы на север: стены светло-оранжевого или оранжево-желтого
цвета; пол - красновато-оранжевый;
· окна ориентированы на восток: стены желто-зеленого цвета; пол зеленый или
красновато-оранжевый;
· окна ориентированы на запад: стены желто-зеленого или голубовато-зеленого
цвета; пол зеленый или красновато-оранжевый.
В помещениях, где находится компьютер, необходимо обеспечить следующие
величины коэффициента отражения: для потолка: 60…70%, для стен: 40…50%, для
пола: около 30%. Для других поверхностей и рабочей мебели: 30…40%.
7.3 Освещение
Правильно спроектированное и выполненное производственное освещение
улучшает условия зрительной работы, снижает утомляемость, способствует
повышению производительности труда, благотворно влияет на производственную
среду, оказывая положительное психологическое воздействие на работающего,
повышает безопасность труда и снижает травматизм.
Недостаточность освещения приводит к напряжению зрения, ослабляет
внимание, приводит к наступлению преждевременной утомленности. Чрезмерно яркое
освещение вызывает ослепление, раздражение и резь в глазах. Неправильное
направление света на рабочем месте может создавать резкие тени, блики,
дезориентировать работающего. Все эти причины могут привести к несчастному
случаю или профзаболеваниям, поэтому столь важен правильный расчет
освещенности.
Существует три вида освещения - естественное, искусственное и совмещенное
(естественное и искусственное вместе) [32].
Естественное освещение - освещение помещений дневным светом, проникающим
через световые проемы в наружных ограждающих конструкциях помещений.
Естественное освещение характеризуется тем, что меняется в широких пределах в
зависимости от времени дня, времени года, характера области и ряда других
факторов.
Искусственное освещение применяется при работе в темное время суток и
днем, когда не удается обеспечить нормированные значения коэффициента
естественного освещения (пасмурная погода, короткий световой день). Освещение,
при котором недостаточное по нормам естественное освещение дополняется
искусственным, называется совмещенным освещением.
Искусственное освещение подразделяется на рабочее, аварийное,
эвакуационное, охранное. Рабочее освещение, в свою очередь, может быть общим
или комбинированным. Общее - освещение, при котором светильники размещаются в
верхней зоне помещения равномерно или применительно к расположению
оборудования. Комбинированное - освещение, при котором к общему добавляется
местное освещение.
Согласно СНиП II-4-79 в
помещений вычислительных центров необходимо применить систему комбинированного
освещения.
При выполнении работ категории высокой зрительной точности (наименьший
размер объекта различения 0,3…0,5мм)
величина коэффициента естественного освещения (КЕО) должна быть не ниже 1,5%, а
при зрительной работе средней точности (наименьший размер объекта различения
0,5…1,0 мм) КЕО должен быть не ниже 1,0%. В качестве источников искусственного
освещения обычно используются люминесцентные лампы типа ЛБ или ДРЛ, которые
попарно объединяются в светильники, которые должны располагаться над рабочими
поверхностями равномерно [31].
Требования к освещенности в помещениях, где установлены компьютеры,
следующие: при выполнении зрительных работ высокой точности общая освещенность
должна составлять 300лк, а
комбинированная - 750лк; аналогичные
требования при выполнении работ средней точности - 200 и 300лк соответственно.
Кроме того все поле зрения должно быть освещено достаточно равномерно -
это основное гигиеническое требование. Иными словами, степень освещения
помещения и яркость экрана компьютера должны быть примерно одинаковыми, т.к.
яркий свет в районе периферийного зрения значительно увеличивает напряженность
глаз и, как следствие, приводит к их быстрой утомляемости.
7.4 Параметры микроклимата
Параметры микроклимата могут меняться в широких пределах, в то время как
необходимым условием жизнедеятельности человека является поддержание
постоянства температуры тела благодаря терморегуляции, т.е. способности
организма регулировать отдачу тепла в окружающую среду. Принцип нормирования микроклимата
- создание оптимальных условий для теплообмена тела человека с окружающей
средой.
Вычислительная техника является источником существенных тепловыделений,
что может привести к повышению температуры и снижению относительной влажности в
помещении. В помещениях, где установлены компьютеры, должны соблюдаться
определенные параметры микроклимата. В санитарных нормах СН-245-71 установлены
величины параметров микроклимата, создающие комфортные условия. Эти нормы
устанавливаются в зависимости от времени года, характера трудового процесса и
характера производственного помещения (см. таблицу 7.1) [30].
Объем помещений, в которых размещены работники вычислительных центров, не
должен быть меньше 19,5м3/человека
с учетом максимального числа одновременно работающих в смену. Нормы подачи
свежего воздуха в помещения, где расположены компьютеры, приведены в таблице
7.2.
Таблица 7.1. Параметры микроклимата для помещений, где установлены
компьютеры
|
Период года
|
Параметр микроклимата
|
Величина
|
|
Холодный
|
Температура воздуха в помещении Относительная влажность
Скорость движения воздуха
|
22…24°С 40…60% до 0,1м/с
|
|
Теплый
|
Температура воздуха в помещении Относительная влажность
Скорость движения воздуха
|
23…25°С 40…60% 0,1…0,2м/с
|
Таблица 7.2. Нормы подачи свежего воздуха в помещения, где расположены
компьютеры
|
Характеристика помещения
|
Объемный расход подаваемого в помещение свежего воздуха, м3
/на одного человека в час
|
|
Объем до 20м3
на человека 20…40м3 на
человека Более 40м3 на
человека
|
Не менее 30 Не менее 20 Естественная вентиляция
|
Для обеспечения комфортных условий используются как организационные
методы (рациональная организация проведения работ в зависимости от времени года
и суток, чередование труда и отдыха), так и технические средства (вентиляция,
кондиционирование воздуха, отопительная система).
7.5 Шум и вибрация
Шум ухудшает условия труда, оказывая вредное действие на организм
человека. Работающие в условиях длительного шумового воздействия испытывают
раздражительность, головные боли, головокружение, снижение памяти, повышенную
утомляемость, понижение аппетита, боли в ушах и т. д. Такие нарушения в работе
ряда органов и систем организма человека могут вызвать негативные изменения в
эмоциональном состоянии человека вплоть до стрессовых. Под воздействием шума
снижается концентрация внимания, нарушаются физиологические функции, появляется
усталость в связи с повышенными энергетическими затратами и нервно-психическим
напряжением, ухудшается речевая коммутация. Все это снижает работоспособность
человека и его производительность, качество и безопасность труда. Длительное
воздействие интенсивного шума [выше 80 дБ(А)] на слух человека приводит к его
частичной или полной потере [33].
В таблице 7.3 указаны предельные уровни звука в зависимости от категории
тяжести и напряженности труда, являющиеся безопасными в отношении сохранения
здоровья и работоспособности.
Таблица 7.3. Предельные уровни звука, дБ, на рабочих местах
|
Категория напряженности труда
|
Категория тяжести труда
|
|
I. Легкая
|
II.Средняя
|
III. Тяжелая
|
IV. Очень тяжелая
|
|
I. Мало напряженный
|
80
|
80
|
75
|
75
|
|
II. Умеренно напряженный
|
70
|
70
|
65
|
65
|
|
III. Напряженный
|
60
|
60
|
-
|
-
|
|
IV. Очень напряженный
|
50
|
50
|
-
|
-
|
Уровень шума на рабочем месте математиков-программистов и операторов
видеоматериалов не должен превышать 50дБА,
а в залах обработки информации на вычислительных машинах - 65дБА. Для снижения уровня шума стены и
потолок помещений, где установлены компьютеры, могут быть облицованы
звукопоглощающими материалами. Уровень вибрации в помещениях вычислительных
центров может быть снижен путем установки оборудования на специальные
виброизоляторы.
7.6 Электромагнитное и ионизирующее излучения
Большинство ученых считают, что как кратковременное, так и длительное
воздействие всех видов излучения от экрана монитора не опасно для здоровья персонала,
обслуживающего компьютеры. Однако исчерпывающих данных относительно опасности
воздействия излучения от мониторов на людей, работающих с компьютерами, не
существует и исследования в этом направлении продолжаются [30].
Допустимые значения параметров неионизирующих электромагнитных излучений
от монитора компьютера представлены в таблице 7.4.
Максимальный уровень рентгеновского излучения на рабочем месте оператора
компьютера обычно не превышает 10мкбэр/ч,
а интенсивность ультрафиолетового и инфракрасного излучений от экрана монитора
лежит в пределах 10…100мВт/м2.
Таблица 7.4. Допустимые значения параметров неионизирующих
электромагнитных излучений (в соответствии с СанПиН 2.2.2.542-96)
|
Наименование параметра
|
Допустимые значения
|
|
Напряженность электрической составляющей электромагнитного
поля на расстоянии 50см от
поверхности видеомонитора
|
10В/м
|
|
Напряженность магнитной составляющей электромагнитного поля
на расстоянии 50см от поверхности
видеомонитора
|
0,3А/м
|
|
Напряженность электростатического поля не должна превышать:
для взрослых пользователей для детей дошкольных учреждений и учащихся средних
специальных и высших учебных заведений
|
20кВ/м 15кВ/м
|
Для снижения воздействия этих видов излучения рекомендуется применять
мониторы с пониженным уровнем излучения (MPR-II, TCO-92, TCO-99), устанавливать защитные экраны, а также соблюдать
регламентированные режимы труда и отдыха.
7.7 Режим труда
Как уже было неоднократно отмечено, при работе с персональным компьютером
очень важную роль играет соблюдение правильного режима труда и отдыха. В
противном случае у персонала отмечаются значительное напряжение зрительного
аппарата с появлением жалоб на неудовлетворенность работой, головные боли,
раздражительность, нарушение сна, усталость и болезненные ощущения в глазах, в
пояснице, в области шеи и руках [30].
В таблице 7.5 представлены сведения о регламентированных перерывах,
которые необходимо делать при работе на компьютере, в зависимости от
продолжительности рабочей смены, видов и категорий трудовой деятельности с ВДТ
(видеодисплейный терминал) и ПЭВМ (в соответствии с СанПиН 2.2.2 542-96
«Гигиенические требования к видеодисплейным терминалам, персональным
электронно-вычислительным машинам и организации работ»).
Таблица 7.5. Время регламентированных перерывов при работе на компьютере
|
Категория работы с ВДТ или ПЭВМ
|
Уровень нагрузки за рабочую смену при видах работы с ВДТ
|
Суммарное время регламентированных перерывов, мин
|
|
Группа А, количество знаков
|
Группа Б, количество знаков
|
Группа В, часов
|
При 8-часовой смене
|
При 12-часовой смене
|
|
I
|
до 20000
|
до 15000
|
до 2,0
|
30
|
70
|
|
II
|
до 40000
|
до 30000
|
до 4,0
|
50
|
90
|
|
III
|
до 60000
|
до 40000
|
до 6,0
|
70
|
120
|
Примечание. Время перерывов дано при соблюдении указанных Санитарных
правил и норм. При несоответствии фактических условий труда требованиям
Санитарных правил и норм время регламентированных перерывов следует увеличить
на 30%.
В соответствии со СанПиН 2.2.2 546-96 все виды трудовой деятельности,
связанные с использованием компьютера, разделяются на три группы:
· группа А: работа по считыванию информации с экрана ВДТ или ПЭВМ с
предварительным запросом;
· группа Б: работа по вводу информации;
· группа В: творческая работа в режиме диалога с ЭВМ.
Эффективность перерывов повышается при сочетании с производственной
гимнастикой или организации специального помещения для отдыха персонала с
удобной мягкой мебелью, аквариумом, зеленой зоной и т.п.
7.8 Обеспечение электробезопасности
Электрические установки, к которым относится практически все оборудование
ЭВМ, представляют для человека большую потенциальную опасность, так как в
процессе эксплуатации или проведении профилактических работ человек может
коснуться частей, находящихся под напряжением. Специфическая опасность
электроустановок :
токоведущие проводники, корпуса стоек ЭВМ и прочего оборудования,
оказавшегося под напряжением в результате повреждения (пробоя) изоляции, не
подают каких-либо сигналов, которые предупреждают человека об опасности.
Реакция человека на электрический ток возникает лишь при протекании последнего
через тело человека. Исключительно важное значение для предотвращения
электротравмотизма имеет правильная организация обслуживания действующих
электроустановок лаборатории, проведения ремонтных, монтажных и
профилактических работ. При этом, под правильной организацией понимается
строгое выполнение ряда организационных и технических мероприятий и средств,
установленных действующими «Правилами технической эксплуатации электроустановок
потребителей и правила техники безопасности при эксплуатации электроустановок
потребителей» (ПТЭ и ПТБ потребителей) и «Правила установки электроустановок»
(ПУЭ) В зависимости от категории помещения необходимо принять определенные
меры, обеспечивающие достаточную электробезопасность при эксплуатации и ремонте
электрооборудования. Так, в помещениях с повышенной опасностью
электроинструменты, переносные светильники должны быть выполнены с двойной
изоляцией или напряжение питания их не должно превышать 42 В. Работы без снятия
напряжения на токоведущих частях и вблизи них, работы, проводимые непосредственно
на этих частях или при приближении к ним на расстояние менее установленного
ПЭУ. К этим работам можно отнести работы по наладке отдельных узлов, блоков.
При выполнении такого рода работ в электроустановках до 1000 В необходимо
применение определенных технических и организационных мер, таких как:
ограждения расположенные вблизи рабочего места и других токоведущих частей, к
которым возможно случайное прикосновение; работа в диэлектрических перчатках
или стоя на диэлектрическом коврике; применение инструмента с изолирующими
рукоятками, при отсутствии такого инструмента следует пользоваться
диэлектрическими перчатками. Работы этого вида должны выполнятся не менее чем
двумя работниками.
В соответствии с ПТЭ и ПТВ потребителям и обслуживающему персоналу электроустановок
предъявляются следующие требования:
· лица, не достигшие 18-летнего возраста, не могут быть допущены к работам
в электроустановках;
· лица не должны иметь увечий и болезней, мешающих производственной работе;
· лица должны после соответствующей теоретической и практической подготовки
пройти проверку знаний и иметь удостоверение на доступ к работам в
электроустановках.
В лаборатории разрядные токи статического электричества чаще всего
возникают при прикосновении к любому из элементов ЭВМ. Такие разряды опасности
для человека не представляют, но кроме неприятных ощущений они могут привести к
выходу из строя ЭВМ. Для снижения величины возникающих зарядов статического
электричества в лаборатории покрытие технологических полов следует выполнять из
однослойного поливинилхлоридного антистатического линолеума. Другим методом
защиты является нейтрализация заряда статического электричества ионизированным
газом. В промышленности широко применяются радиоактивные нейтрализаторы. К
общим мерам защиты от статического электричества в лаборатории можно отнести
общие и местное увлажнение воздуха.
7.9 Расчет освещенности
Расчет освещенности рабочего места сводится к выбору системы освещения,
определению необходимого числа светильников, их типа и размещения. Исходя из
этого, рассчитаем параметры искусственного освещения.
Обычно искусственное освещение выполняется посредством электрических
источников света двух видов: ламп накаливания и люминесцентных ламп. Будем
использовать люминесцентные лампы, которые по сравнению с лампами накаливания
имеют ряд существенных преимуществ:
· по спектральному составу света они близки к дневному, естественному
свету;
· обладают более высоким КПД (в 1,5-2 раза выше, чем КПД ламп накаливания);
· обладают повышенной светоотдачей (в 3-4 раза выше, чем у ламп
накаливания);
· более длительный срок службы.
Расчет освещения производится для комнаты площадью 36м2 ,
ширина которой - 6м, длина - 6 м и высота - 3м. Воспользуемся методом
коэффициента использования светового потока [31].
При минимальном объекте различения 0,8мм характер зрительных работ
соответствует IV разряду, средней точности. Значения
коэффициентов отражения объекта
и фона
.
Контраст объекта с фоном:
В данном случае фон классифицируется как светлый (
), контраст - большой(K > 0,5), что соответствует
подразряду зрительных работ «г», и норме освещенности для общего освещения Е =
200лк.
Высота свеса
высота рабочей поверхности над полом
=1м.
Рассчитаем высоту подвеса (h):
(7.2)
, (7.3)
где Н-высота потолка.
.
Для данного помещения выбираем светильник ЛБ40-1.
Выбранный светильник имеет кривую распределения типа Д1, для которой
оптимальное соотношение расстояния между светильниками к расчетной высоте
.
Определим расстояние между соседними светильниками (
) и расстояние от крайнего ряда до
стены (
):
; (7.4)
; (7.5)
Для освещения помещения светильники расположим в 3 ряда N=3.
Значения коэффициентов отражения потолка
, стен
, пола
.
Рассчитаем индекс помещения:
(7.6)
где А и В - длина и ширина помещения,
- его полщадь.
.
Определим коэффициент использования светового потока (выражается
отношением светового потока, падающего на расчетную поверхность, к суммарному
потоку всех ламп и исчисляется в долях единицы; зависит от характеристик
светильника, размеров помещения, окраски стен и потолка).
С учетом
и
коэффициент использования светового потока
Определим световой поток, падающий на поверхность по формуле:
, (7.7)
где F - рассчитываемый световой поток, Лм;
Е - нормированная минимальная освещенность, Лк; Z - отношение средней освещенности к минимальной (обычно
принимается равным 1,1…1,2 , пусть Z = 1,1);
- коэффициент запаса, учитывающий уменьшение светового
потока лампы в результате загрязнения светильников в процессе эксплуатации (его
значение зависит от типа помещения и характера проводимых в нем работ и в нашем
случае
= 1,5); N- число рядов светильников.
Подставим все значения в формулу для определения светового потока F:
.
Для освещения выбираем люминесцентные лампы типа ЛБ65-4, световой поток
которых
, то в одном ряду число светильников
будет равно:
(7.8)
.
Поскольку рекомендуется
примем
где
- расстояние между рядами светильников.
Отсюда
7.10 Расчет уровня шума
Одним из неблагоприятных факторов производственной среды в ИВЦ является
высокий уровень шума, создаваемый печатными устройствами, оборудованием для
кондиционирования воздуха, вентиляторами систем охлаждения в самих ЭВМ.
Для решения вопросов о необходимости и целесообразности снижения шума
необходимо знать уровни шума на рабочем месте оператора.
Уровень шума, возникающий от нескольких некогерентных источников,
работающих одновременно, подсчитывается на основании принципа энергетического
суммирования излучений отдельных источников [33]:
(7.9)
где Li - уровень звукового давления i-го источника шума; n - количество источников шума.
Полученные результаты расчета сравнивается с допустимым значением уровня
шума для данного рабочего места. Если результаты расчета выше допустимого
значения уровня шума, то необходимы специальные меры по снижению шума. К ним
относятся: облицовка стен и потолка зала звукопоглощающими материалами,
снижение шума в источнике, правильная планировка оборудования и рациональная
организация рабочего места оператора.
Уровни звукового давления источников шума, действующих на оператора на
его рабочем месте представлены в таблице 7.6.
Таблица 7.6. Уровни звукового давления различных источников.
|
Источник шума
|
Уровень шума, дБ
|
|
Жесткий диск
|
40
|
|
Вентилятор
|
45
|
|
Монитор
|
17
|
|
Клавиатура
|
10
|
Обычно рабочее место оператора оснащено следующим оборудованием:
винчестер в системном блоке, вентилятор(ы) систем охлаждения ПК, монитор,
клавиатура.
Подставив значения уровня звукового давления для каждого вида
оборудования в формулу , получим:
L∑=10·lg(104+104,5+101,7+101)=46,2 дБ
Полученное значение не превышает допустимый уровень шума для рабочего
места оператора, равный 65 дБ (ГОСТ 12.1.003-83).
Заключение
В работе были решены следующие задачи:
· рассмотрены общие положения теории зеркальных антенн;
· рассмотрены основные соотношения, использующиеся для описания
характеристик зеркальных антенн;
· рассмотрены наиболее распространенные методики оценки направленных
свойств зеркальных антенн;
· проведено исследование возможности оценки направленных свойств зеркальной
антенны методом составного амплитудного распределения.
В результате проведенного исследования был спроектирован облучатель в
виде открытого конца прямоугольного волновода диапазона 484-750МГц для
однозеркальной антенны с данными геометрическими размерами и рассчитаны
основные характеристики облучателя и антенны в целом. Следует отметить, что
теоретические расчеты, выполненные в проекте можно считать приблизительно
верными лишь на данном этапе анализа, так как полученные результаты содержат в
себе целый ряд объективных погрешностей, связанных с произведенными измерениями
и вычислениями.
Необходимо также учесть, что большинство расчетов основывалось на
теоретических предположениях и с учетом некоторых идеальных условий,
неосуществимых на практике. Тем не менее, данная работа позволяет в общем
случае оценить основные характеристики проектируемой антенны и влияние тех или
иных факторов на ее свойства.
Список литературы
1. Айзенберг,
Г.З. Антенны УКВ Ч.1 / Г.З. Айзенберг - М.: Связь, 1977. - 384с.
. Берман,
Я.И., Власов, В.И. Проектирование высокочастотных узлов радиолокационных
станций / Я.И. Берман, В.И. Власов - Л.: Судпромгиз, 1972. - 280с.
. Жук, М.С.,
Молочков, Ю.Б. Проектирование антенно-фидерных устройств / М.С. Жук, Ю.Б.
Молочков - М.-Л.: Энергия, 1966. - 648с.
. Родионов,
В.М. Линии передачи и антенны УКВ / В.М. Родионов - М.: Энергия, 1977. - 96с.
. Корнблит,
С. СВЧ оптика / С. Корнблит - М.: Связь, 1980. - 360с.
7.
Balanis, C.A. Modern Antenna Handbook / C.A. Balanis // Wiley-Interscience.
2008. 1700 pages.
.
Elliott, R.S. Antenna Theory & Design / R.S. Elliott // IEEE Press - Wiley.
2010. 594 pages.
. Линде, Д.П.
Антенно-фидерные устройства / Д.П. Линде - М.: Госэнергоиздат, 1953. - 195с.
. Бова, Н.Т.,
Резников Г.Б. Антенны и устройства СВЧ / Н.Т. Бова, Г.Б. Резников - Киев:
Высшая школа, 1982. - 278с.
.
Воскресенский, Д.И., Грановская, Р.А., Давыдова, Н.С. и др. Антенны и
устройства СВЧ / Д.И. Воскресенский - М.: Радио и связь, 1981. - 432с.
12.
Fusco, V.F. Foundations of Antenna Theory and Techniques / V.F. Fusco //
Prentice Hall. 2007. 230 pages.
.
Milligan, T.А. Modern antenna design Second Edition / T.A. Milligan //
JohnWiley & Sons, Inc. 2005. 633 pages.
. Вуд, П.С.
Анализ и проектирование зеркальных антенн / Г.Б. Звороно - М.: Радио и связь,
1984. - 208с.
. Драбкин,
А.Л., Коренберг, Е.Б. Антенны / А.Л. Драбкин - М.: Радио и связь, 1992. - 144с.
. Есютин,
Л.С. Элементы антенно-волноводных устройств. Учебное пособие / Л.С. Есютин -
М.: Издательство Московского университета, 1964.
. Захарьев,
Л.Н. и др. Методы измерения характеристик антенн СВЧ / Л.Н. Захарьев - М.:
Радио и связь, 1985. - 368с.
. Кинг, Р.,
Мимно, Г., Уинг, А. Передающие линии, антенны, волноводы / С.Я. Турлыгин - М.:
Госэнергоиздат, 1948. - 359с.
. Айзенберг,
Г.З. Антенны УКВ Ч.2 / Г.З. Айзенберг - М.: Связь, 1977.
.
Кочержевский, Г.Н. Антенно-фидерные устройства / Г.Н. Кочержевский - М.: Радио
и связь, 1989. - 352с.
. Бахрах,
Л.Д., Галимов, Г.К. Зеркальные сканирующие антенны. Теория и методы расчета /
Л.Д. Бахрах, Г.К. Галимов - М.: Наука, 1981. - 293с.
. Марков,
Г.Т., Сазонов, Д.М. Антенны / Г.Т. Марков, Д.М. Сазонов - М.: Энергия, 1975. -
528с.
.
Пистолькорс, А.А. Современные проблемы антенно-волноводной техники / А.А. Пистолькорс
- М.: Наука, 1967. - 215с.
. Сазонов,
Д.М. Антенны и устройства СВЧ / Д.М. Сазонов - М.: Высшая школа, 1988. - 432с.
. Скотт, К.
Современные методы анализа и разработки зеркальных антенн / К. Скотт - М.: Мир,
1974. - 124с.
26.
Orfanidis, S.J. Electromagnetic Waves and Antennas / S.J. Orfanidis // Rutgers
University. 2002. 794 pages.
.
Stutzman, W.L., Thiele, G.A. Antenna Theory and Design. 2nd Edition / W.L.
Stutzman, G.A. Thiele // Wilеy. 1998. 648 pages.
. Дубовцев,
В.А. Безопасность жизнедеятельности / В.А. Дубовцев - Киров: КирПИ, 1992.
. Мотузко,
Ф.Я. Охрана труда / Ф.Я. Мотузко. - М.: Высшая школа, 1989. - 336с.
. Белов, Н.А.
Безопасность жизнедеятельности / Н.А. Белов - М.: Знание, 2000. - 364с.
.Самгин, Э.Б.
Освещение рабочих мест / Э.Б. Самгин - М.: МИРЭА, 1989. - 186с.
. Кнорринг,
Г.Б. Справочная книга для проектирования электрического освещения / Г.Б.
Кнорринг. - Л.: Энергия, 1976.
. Юдин, Е.Я.,
Борисов, Л.А. Борьба с шумом на производстве: Справочник / Е.Я. Юдин, Л.А.
Борисов - М.: Машиностроение, 1985. - 400с.