Сущность модели частичного описания дискретного канала

  • Вид работы:
    Курсовая работа (т)
  • Предмет:
    Информатика, ВТ, телекоммуникации
  • Язык:
    Русский
    ,
    Формат файла:
    MS Word
    496,59 Кб
  • Опубликовано:
    2015-03-03
Вы можете узнать стоимость помощи в написании студенческой работы.
Помощь в написании работы, которую точно примут!

Сущность модели частичного описания дискретного канала

Министерство образования и науки Республики Казахстан

Некоммерческое акционерное общество

«Алматинский университет энергетики и связи»

Кафедра Инфокоммуникационных технологий









КУРСОВАЯ РАБОТА

по дисциплине «Технологии цифровой связи»


Выполнила:

Алиева Д.А.

Содержание

Введение

. Модели частичного описания дискретного канала

. Система с РОС и непрерывной передачей информации (РОС - нп) и блокировки

. Определение n, k, r, при наибольшей пропускной способности R

. Построение схем кодера и декодера для выбранного g (x) полинома

. Определение объема передаваемой информации W

. Построение схем кодирующего и декодирующего устройства циклического кода в среде System View

. Нахождение емкости и построение временной диаграммы

. Расчеты надежностных показателей основного и обходного каналов

. Выбор магистрали по карте

Заключение

Список литературы

Введение

код циклический канал устройство

В последнее время все большее распространение получают цифровые системы передачи данных. В связи с этим особое внимание уделяется изучению принципов передачи дискретных сообщений. Рассмотрению принципов и методов передачи цифровых сигналов посвящена дисциплина «Технологии цифровой связи», которая базируется на ранее изученных дисциплинах: «Теория электрической связи», «Теория электрической цепей», «Основы построения и САПР телекоммуникационных систем и сетей», «Цифровые устройства и основы вычислительной техники» и др. В результате изучения данной дисциплины необходимо знать принципы построения систем передачи и обработки цифровых сигналов, аппаратные и программные методы повышения помехоустойчивости и скорости передачи цифровых систем связи, методы повышения эффективного использования каналов связи. Также необходимо уметь производить расчеты основных функциональных узлов, осуществлять анализ влияния внешних факторов на работоспособность средств связи; иметь навыки применения средств компьютерной техники для расчетов и проектирования программно-аппаратных средств связи.

Выполнение курсовой работы способствует получению навыков в решении задач и более основательному рассмотрению разделов курса «Технологии цифровой связи».

Целью данной работы является проектирование тракта передачи данных между источником и получателем информации с использованием циклического кода и решающей обратной связью, непрерывной передачей и блокировкой приемника. В курсовой работе необходимо рассмотреть принцип работы кодирующего и декодирующего устройства циклического кода. Для моделирования телекоммуникационных систем широко используются программные средства. С применением пакета «System View» в соответствии с заданным вариантом должны быть собраны схемы кодера и декодера циклического кода.

1. Модели частичного описания дискретного канала

В реальных каналах связи ошибки возникают по многим причинам. В проводных каналах наибольшее количество ошибок вызывается кратковременными прерываниями и импульсными помехами. В радиоканалах заметное влияние оказывают флуктуационные шумы. В коротковолновых радиоканалах основное количество ошибок возникает при изменениях уровня сигнала вследствие влияния замирания. Во всех реальных каналах ошибки распределяются во времени очень неравномерно, из-за этого неравномерны и потоки ошибок.

Существует большое количество математических моделей дискретного канала. Также помимо общих схем и частных моделей дискретного канала, существует большое число моделей, дающих частичное описание канала. Остановимся на одной из таких моделей - модели А. П. Пуртова.

Формула модели дискретного канала с независимыми ошибками:


Ошибки несут пакетный характер, поэтому вводится коэффициент a

По этой модели можно определить зависимость вероятности появления искаженной комбинации от ее длины n и вероятность появления комбинаций длиной n с t ошибками(t<n).

Вероятность P( >1,n) является неубывающей функцией n.

При n=1 P(>1,n)=Pош

Вероятность появления искажений кодовой комбинации длиной n:

где a - показатель группирования ошибок.

При a®0 имеем случай независимого появления ошибок, а при a®1 появление групповых ошибок (при a=1 вероятность искажений кодовой комбинации не зависит от n, так как в каждой ошибочной комбинации все елементы приняты с ошибкой). Наибольшее значение d (0,5 до 0,7) наблюдается, на КЛС, поскольку кратковременное прерывание приводит к появлению групп с большей плотностью ошибок. В радиорелейных линиях, где наряду с интервалами большой плотности ошибок наблюдается интервалы с редкими ошибками, значение d лежит в пределах от 0,3 до 0,5. В КВ радиотелеграфных каналах показатель группирования ошибок самый небольшой (0,3-0,4).

Распределение ошибок в комбинациях различной длины:


оценивает не только вероятность появления искаженных комбинаций (хотя бы одна ошибка), но и вероятность комбинаций длиной n с t наперед заданными ошибками P(>t,n).

Следовательно, группирование ошибок приводит к увеличению числа кодовых комбинаций, пораженную ошибками большей кратности. Анализируя все выше сказанное, можно заключить, что при группировании ошибок уменьшается число кодовых комбинаций заданной длины n. Это понятно также из чисто физических соображений. При одном и том же числе ошибок пакетирование приводит к сосредоточению их на отдельных комбинациях (кратность ошибок возрастает), а число искаженных кодовых комбинаций уменьшается.

2. Система с РОС и непрерывной передачей информации (РОС-нп) и блокировкой.

В системах с РОС-нп передатчик передает непрерывную последовательность комбинаций, не ожидая получения сигналов подтверждения. Приемник стирает лишь те комбинации, в которых решающее устройство обнаруживает ошибки, и по ним дает сигнал переспроса. Остальные комбинации выдаются ПИ по мере их поступления. При реализации такой системы возникают трудности, вызванные конечным временем передачи и распространения сигналов. Если в некоторый момент времени закончен прием кодовой комбинации, в которой обнаружена ошибка, то к этому моменту времени по прямому каналу уже ведется передача следующей кодовой комбинации. Если время распространения сигнала в канале tc превышает длительность кодовой комбинации nto, то к моменту t’ может закончиться передача одной или нескольких комбинаций, следующих за второй. Еще некоторое число кодовых комбинаций будет передано до того времени (t’), пока будет принят и проанализирован сигнал переспроса по второй комбинации.

Таким образом, при непрерывной передаче за время между моментом обнаружения ошибки (t’) и приходом повторенной кодовой комбинации (t"’) будет принято еще h комбинаций, где  где символ [х] означает наименьшее целое число, большее или равное х.

Так как передатчик повторяет лишь комбинации, по которым принят сигнал переспроса, то в результате повторения с запаздыванием на h комбинаций порядок следования комбинаций в информации, выдаваемой системой ПИ, будет отличаться от порядка поступления кодовых комбинаций в систему. Но получателю кодовые комбинации должны поступать в том же порядке, в котором они передавались. Поэтому для восстановления порядка следования комбинаций в приемнике должны быть специальное устройство и буферный накопитель значительной емкости (не менее ih, где i - число повторений), поскольку возможны многократные повторения.

Во избежание усложнения и удорожания приемников системы с РОС-нп строят в основном таким образом, что после обнаружения ошибки приемник стирает комбинацию с ошибкой и блокируется на h комбинаций (т.е. не принимает h последующих комбинаций), а передатчик по сигналу переспроса повторяет h последних комбинаций (комбинацию с ошибкой и h-1, следующий за ней). Такие системы с РОС-нп получили название систем с блокировкой РОС-нпбл. Эти системы позволяют организовать непрерывную передачу кодовых комбинаций с сохранением порядка их следования.

Рисунок 1 - Структурная схема системы с РОС

. Определение n, k, r, при наибольшей пропускной способности R.

Длина кодовой комбинации n должна быть выбрана таким образом, чтобы обеспечить наибольшую пропускную способность канала связи. При использовании корректирующего кода кодовая комбинация содержит n разрядов, из которых k разрядов являются информационными, а r разрядов - проверочными:

n= k+r.

Рисунок 2 - Структурная схема алгоритма системы с РОС-нпбл

Если в системе связи используются двоичные сигналы (сигналы типа «1» и «0») и каждый единичный элемент несет не более одного бита информации, то между скоростью передачи информации и скоростью модуляции существует соотношение:

C = (k/n)*B, (1)

где С - скорость передачи информации, бит/с;

В - скорость модуляции, Бод.

Очевидно, что тем меньше r, тем больше отношение k/n приближается к 1, тем меньше отличается С и В, т.е. тем выше пропускная способность системы связи.

Известно также, что для циклических кодов с минимальным кодовым расстоянием d0=3 справедливо соотношение:

 (2)

Приведенное утверждение справедливо для больших d0, хотя точных соотношений для связей между r и n нет. Существуют только верхние и нижние оценки, указанные.

Из изложенного можно сделать вывод, что с точки зрения внесения постоянной избыточности в кодовую комбинацию выгодно выбирать длинные кодовые комбинации, так как с увеличением n относительная пропускная способность увеличивается, стремясь к пределу, равному 1:

R= C/B= k/n (3)

В реальных каналах связи действуют помехи, приводящие к появлению ошибок в кодовых комбинациях. При обнаружении ошибки декодирующим устройством в системах с РОС производится переспрос группы кодовых комбинаций. Во время переспроса полезная информации уменьшается.

Можно показать, что в этом случае:

, (4)

где Р00 - вероятность обнаружения ошибки декодером (вероятность переспроса);

РПП - вероятность правильного приема (безошибочного приема) кодовой комбинации;

При малых вероятностях ошибки в канале связи (Рош.< 10-3) вероятность Р00 также мала, поэтому знаменатель мало отличается от 1 и можно считать:

 (5)

При независимых ошибках в канале связи, при :

,

 (6)

Емкость накопителя:

, (7)

где tp - время распространения сигнала по каналу связи, с;

 tk - длительность кодовой комбинации из n разрядов, с.

Знак < > - означает, что при расчете М следует брать большее ближайшее целое значение.

,

где L - расстояние между оконечными станциями, км;

v - скорость распространения сигнала по каналу связи, км/с;

B - скорость модуляции, Бод.

После простейших подстановок окончательно имеем

 (8)

Нетрудно заметить, что при Рош = 0 формула (8) превращается в формулу (3).

При наличии ошибок в канале связи величина R является функцией Pош, n, k, B, L, v. Следовательно, существует оптимальное n (при заданных Pош, B, L, v), при котором относительная пропускная способность будет максимальной.

Формула (8) еще более усложняется в случае зависимых ошибок в канале связи (при пакетировании ошибок).

Выведем эту формулу для модели ошибок Пуртова.

Как показано в [1], число ошибок tоб в комбинации, длинной в n разрядов, определяется формулой 7.38 [1]. Для обнаружения такого числа ошибок находим циклический код с кодовым расстоянием d0 не менее . Поэтому, согласно формуле 7.38 [1], необходимо определить вероятность:

 

Как показано [4], с некоторым приближением можно связать вероятность  с вероятностью не обнаружения декодером ошибки РНО и числом проверочных разрядов в кодовой комбинации:

 (9)

Подставляя значение  в (9) с заменой tоб на d0-1, имеем:

 (10)

При расчетах на микрокалькуляторах удобнее пользоваться десятичными логарифмами.

После преобразований:

 (11)

Возвращаясь к формулам (6) и (8) и производя замену k на n-r с учетом значения r, из формулы (11) получим:


Второй член формулы (8) с учетом группирования ошибок по соотношению 7.37 [1] примет вид:

 (12)

Определим оптимальную длину кодовой комбинации n, обеспечивающую наибольшую относительную пропускную способность R и число проверочных разрядов r обеспечивающих заданную вероятность необнаруженной ошибки Рош.

Таблица 1 - заданная вероятность необнаруженной ошибки Рош

R

n

r

k

0,6424768

31

5

26

0,8032764

63

5

58

0,8823871

127

6

121

0,9178578

255

6

249

0,9281713

511

7

504

0,9218521

1023

7

1016

0,9019137

2047

8

2039

0,8679113

8

4087

0,8167525

8191

9

8182


Из таблицы 1 видно, что наибольшую пропускную способность

R = 0.9127649 обеспечивает циклический код с параметрами n =511, r = 7, k = 504.

Образующий полином степени r находим по таблице неприводимых полиномов (приложение А к настоящему МУ).

Выберем, для r = 7 полином g(x)=x7+x4+x3+x2+1

. Построение схем кодера и декодера для выбранного g(x) полинома

а) Построим кодирующее устройство циклического кода.

Работа кодера на его выходе характеризуется следующими режимами [1, стр. 306 - 307]:

1.Формирование k элементов информационной группы и одновременно деление полинома, отображающего информационную часть хr m(х), на порождающий (образующий ) полином g(х) с целью получения остатка от деления r(х).

2. Формирование проверочных r элементов путем считывания их с ячеек схемы деления хr m(х) на выход кодера.

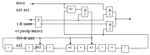
Структурная схема кодера приведена на рисунке 2.

Цикл работы кодера для передачи n = 511 единичных элементов составляет n тактов. Тактовые сигналы формируются передающим распределителем, который на схеме не указан.

Первый режим работы кодера длится k = 504 тактов. От первого тактового импульса триггер Т занимает положение, при котором на его прямом выходе появляется сигнал "1", а на инверсном - сигнал "0". Сигналом "1" открываются ключи (логические схемы И) 1 и 3. Сигналом "0" ключ 2 закрыт. В таком состоянии триггер и ключи находятся k+1 тактов, т.е. 505 тактов. За это время на выход кодера через открытый ключ 1 поступят 504 единичных элементов информационной группы k =504.

Одновременно через открытый ключ 3 информационные элементы поступают на устройство деления многочлена хr m(х) на g(х).

Деление осуществляется многотактным фильтром с числом ячеек, равным числу проверочных разрядов (степени порождающего полинома). В моем случае число ячеек г=7. Число сумматоров в устройстве равно числу ненулевых членов g(х) минус единица (примечание на стр. 307 [1]). В нашем случае число сумматоров равно четырем. Сумматоры устанавливаются после ячеек, соответствующих ненулевым членам g(х). Поскольку все неприводимые полиномы имеют член х0=1, то соответствующий этому члену сумматор установлен перед ключом 3 (логической схемой И).

После k=504 тактов в ячейках устройства деления окажется записанным остаток от деления г(х).

При воздействии k+1= 505 тактового импульса триггер Т изменяет свое состояние: на инверсном выходе появляется сигнал "1", а на прямом - "0". Ключи 1 и 3 закрываются, а ключ 2 открывается. За оставшиеся r=7 тактов элементы остатка от деления (проверочная группа) через ключ 2 поступают на выход кодера, также начиная со старшего разряда.

Рисунок 3 - Структурная схема кодера

б) Построим декодирующее устройство циклического кода.

Функционирование схемы декодера (рисунок 3) сводится к следующему. Принятая кодовая комбинация, которая отображается полиномом Р(х) поступает в декодирующий регистр и одновременно в ячейки буферного регистра, который содержит k ячеек. Ячейки буферного регистра связаны через логические схемы "нет", пропускающие сигналы только при наличии "1" на первом входе и "О" - на втором (этот вход отмечен кружочком). На вход буферного регистра кодовая комбинация поступит через схему И1. Этот ключ открывается с выхода триггера Т первым тактовым импульсом и закрывается k+1 тактовым импульсом (полностью аналогично работе триггера Т в схеме кодера). Таким образом, после k=504 тактов информационная группа элементов будет записана в буферный регистр. Схемы НЕТ в режиме заполнения регистра открыты, ибо на вторые входы напряжение со стороны ключа И2 не поступает.

Одновременно в декодирующем регистре происходит в продолжение всех n=511 тактов деление кодовой комбинации (полином Р(х) на порождающий полином g(х)). Схема декодирующего регистра полностью аналогична схеме деления кодера, которая подробно рассматривалась выше. Если в результате деления получится нулевой остаток - синдром S(х)=0, то последующие тактовые импульсы спишут информационные элементы на выход декодера.

При наличии ошибок в принятой комбинации синдром S(х) не равен 0. Это означает, что после n - го (511) такта хотя бы в одной ячейке декодирующего регистра будет записана “1”.Тогда на выходе схемы ИЛИ появится сигнал. Ключ 2 (схема И2) сработает, схемы НЕТ буферного регистра закроются, а очередной тактовый импульс переведет все ячейки регистра в состояние "0". Неправильно принятая информация будет стерта. Одновременно сигнал стирания используется как команда на блокировку приемника и переспрос.

. Определение объема передаваемой информации W

Пусть требуется передавать информации за временной интервал Т, который называется темпом передачи информации. Критерий отказа tотк - это суммарная длительность всех неисправностей, которая допустима за время Т. Если время неисправностей за промежуток времени Т превысит tотк, то система передачи данных будет находиться в состоянии отказа.

Следовательно, за время Тпер-tотк можно передать С бит полезной информации. Определим W для рассчитанного ранее R = 0,9281713, В=1200 бод, Тпер=460 с., tотк=60 с.

W=R*B*(Tпер-tотк)=445522 бит

. Построение схем кодирующего и декодирующего устройства циклического кода в среде System View

Рисунок 4 - Кодер циклического кода

Рисунок 5 - Выходной и входной сигнал кодера

Рисунок 6 - Декодер циклического кода

Рисунок 7 - Входной сигнал декодера, ошибочный бит и выходной синдром

7. Нахождение емкости и построение временной диаграммы

Найдем емкость накопителя:

М=<3+(2∙tp/tk)> (13)

где tp - время распространения сигнала по каналу связи, с;

tk - длительность кодовой комбинации из n разрядов, с.

Эти параметры находятся из следующих формул:

tp=L/v=4700/80000=0,005875 c (14)

tk=n/B=511/1200=0,4258 c (15)

Далее необходимо найти число комбинаций на которое будет блокироваться приемник. Будем считать tак=tаз= 0,5tк=0,2129

h=1+<tож/nt0> (16)

где tож = 3tк+2tp+tак+ tаз=0,6388+0,1175+0,2129+0,2129=1,1821 с,

где tак, tаз - время анализа в приемнике, t0 - длительность единичного импульса:


h=1+<1,1821/511∙8,333∙10-4>=3

M=3

8. Расчет надежностных показателей основного и обходного каналов

Вероятность появления ошибки известна (Рош=0,5∙10-3), полная вероятность будет складываться из суммы следующих составляющих рпр - правильный прием, рно - необнаружения ошибки, роб - вероятность обнаружения ошибки декодером (вероятность переспроса).

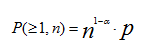
Зависимость вероятности появления искаженной комбинации от ее длины характеризуется как отношение числа искажения кодовых комбинаций Nош(n) к общему числу переданных комбинаций N(n):


Вероятность Р(≥1,n) является не убывающей функцией n. При n=1 Р(≥1,n)=рош, а при n→∞ вероятность Р(≥1,n) →1:

Р(≥1,n)=(n/d0-1)1-α∙рош, (17)

Р(≥1,n)=(511/5)1-0,5∙0,5∙10-3=5,05∙10-3,

При независимых ошибках в канале связи, при n∙ рош<<1:

роб≈ n∙ рош (18)

роб=511∙0,5∙10-3=255,5∙10-3

Сумма вероятностей должна быть равна 1, т.е. имеем:

рпр+ рно+ роб=1 (19)

рпр+5,05∙10-3+255,5∙10-3=1

рпр=0,74


Рисунок 8 - Временные диаграммы работы системы с РОС-нпбл

9. Выбор магистрали по карте

Рисунок 9 - Магистраль Актюбинск - Алматы - Астана

Заключение


При выполнении курсовой работы была рассмотрена сущность модели частичного описания дискретного канала (модель Пуртова Л.П.), а также система с решающей обратной связью, непрерывной передачей и блокировкой приемника.

По заданным значениям были рассчитаны основные параметры циклического кода. В соответствии с ними был выбран тип порождающего полинома. Для этого полинома построены схемы кодера и декодера с пояснением принципов их работы. Эти же схемы были реализованы с применением пакета «System View». Все результаты проведенных экспериментов представлены в виде рисунков, подтверждающих правильность работы собранных схем кодера и декодера.

Для прямого и обратного дискретного канала передачи данных были рассчитаны основные характеристики: вероятность необнаруживаемой и обнаруживаемой циклическим кодом ошибки и др. Для системы РОСнпбл по рассчитанным параметрам были построены временные диаграммы, поясняющие принцип работы этой системы.

По географической карте Казахстана были выбраны два пункта (Актюбинск - Алматы - Астана). Выбранная между ними магистраль протяженностью 4700 км была разбита на участки длинной 200-700 км. Для наглядного представления в работе представлена карта.

Анализируя заданный показатель группирования ошибок , можно сказать, что в работе был произведен основной расчет для проектирования кабельных линий связи, так как , т.е. лежит в пределах 0,4-0,7.

Список литературы

1    Скляр Б. Цифровая связь. Теоретические основы и практическое применение: 2-е изд. /Пер. с англ.- М.: Издательский дом «Вильямс», 2003. - 1104 с.

      Прокис Дж. Цифровая связь. Радио и связь, 2000.-797с.

3       А.Б. Сергиенко. Цифровая обработка сигналов: Учебник для вузов. - М.: 2002.

         Фирменный стандарт. Работы учебные. Общие требования к построению, изложению, оформлению и содержанию. ФС РК 10352-1910-У-е-001-2002. - Алматы: АИЭС, 2002.

5    1 Шварцман В.О., Емельянов Г.А. Теория передачи дискретной информации. - М.: Связь, 1979. -424 с.

6    Передача дискретных сообщений / Под ред. В.П. Шувалова. - М.: Радио и связь, 1990. - 464 с.

7       Емельянов Г.А., Шварцман В.О. Передача дискретной информации. - М.: Радио и связь, 1982. - 240 с.

         Пуртов Л.П. и др. Элементы теории передачи дискретной информации. - М.: Связь, 1972. - 232 с.

         Колесник В.Д., Мирончиков Е.Т. Декодирование циклических кодов. - М.: Связь, 1968.

Похожие работы на - Сущность модели частичного описания дискретного канала

 

Не нашли материал для своей работы?
Поможем написать уникальную работу
Без плагиата!
Без нейросетей!