Силовые агрегаты
МИНИСТЕРСТВО
ОБРАЗОВАНИЯ И НАУКИ РФ
ФГОБУ
ВПО
«ПГУАС»
Автомобильно-дорожный
институт
Кафедра:
«Эксплуатация автомобильного транспорта»
Контрольная
работа
Тема:
«Силовые агрегаты»
Выполнил: студент
гр.ЭТТМК-11
Овчарук А.В.
Пенза
2014г.
Введение
Автомобиль как самоходный экипаж для
безрельсовых дорог имеет огромное значение в жизни страны. Автомобильный
транспорт в возрастающей степени переключает на себя многообразные перевозки с
железнодорожного транспорта. Современному автомобилю предшествует длительный
путь зарождения и развития. Идея самодвижущегося экипажа появилась не одно
столетие тому назад и развитие этого устройства шло в направлении
совершенствования его. Первоначальным этапом в зарождении современного
автомобиля является разработка различных самоходных устройств, двигавшихся при
помощи мускульной силы. Затем стали появляться тепловые двигатели (паровые,
внутреннего сгорания), заменившие мускульную силу. Более подходящим оказался
двигатель внутреннего сгорания, давший толчок для создания остальных частей
автомобиля. Вместе с совершенствованием автомобиля развивалось и его
производство. Строились автомобильные и агрегатные заводы. Развитие
отечественной автомобильной техники подчинено решению задачи полного
удовлетворения потребностей в различных автомобильных перевозках. Особенностью
отечественного автомобилестроения является построение различных модификаций на
базе основных моделей, что облегчает эксплуатацию и ремонт автомобилей.
1. Общее устройство автомобиля
При всем разнообразии автомобилей и
составляющих их элементов каждый автомобиль можно условно разделить на три
основные части: двигатель, шасси, кузов с кабиной.
Двигатель преобразует тепловую
энергию, выделяющуюся в процессе сгорания топлива, в механическую, затрачиваемую
на передвижение автомобиля.
Шасси обеспечивает передачу мощности
двигателя ведущим колесам, преобразовывает вращательное движение, получаемое от
двигателя, в поступательное движение всего автомобиля, осуществляет
взаимодействие с дорогой и обеспечивает управление автомобилем.
В кузове располагаются пассажиры или
грузы.
В свою очередь основные части
автомобиля также состоят из отдельных элементов.
На рис. 1 изображена упрощенная
схема автомобиля в плане. Двигатель 1 представляет собой компактный агрегат по
сравнению с шасси и кузовом, состоящий из цилиндров с кривошипно-шатунными
механизмами, распределительных механизмов, систем питания, зажигания,
охлаждения, смазки.
Шасси, являясь основой построения
автомобиля, состоит из агрегатов, расположенных в различных местах автомобиля и
разделяющихся на три группы: силовую передачу, ходовую часть и органы
управления.
При помощи силовой передачи мощность
двигателя подводится к ведущим колесам; она состоит из сцепления, коробки
передач, карданной передачи, главной передачи, дифференциала и полуосей.
Сцепление 6 предназначено для
временного отсоединения коробки передач 7 от двигателя на момент переключения
передач (с последующим плавным соединением с двигателем). Коробка передач в
основном служит для увеличения крутящего момента, получаемого от двигателя
путем включения одной из комбинаций имеющихся в ней шестерен; при этом
соответственно изменяется скорость движения•. Вместе с тем коробка передач
служит и для осуществления заднего хода. Двигатель, сцепление и коробка передач
выполняются в одном блоке, называемом силовым блоком.
Расположенное за
коробкой передач карданное устройство (шарниры 8 и вал 10) служит для передачи
усилия от коробки передач, закрепленной с двигателем на раме, к главной
передаче 13, находящейся в заднем мосту, который может перемещаться
относительно рамы при деформации упругого звена между мостом и рамой. Карданная
передача передает крутящий момент от коробки передач заднему мосту под
переменным углом и при изменяющемся расстоянии между ними.
В главной передаче
происходит дальнейшее после коробки передач увеличение крутящего момента и
передача движения под прямым углом от карданного вала к приводным валам
(полуосям) 12 колес. Вместе с главной передачей расположен дифференциал,
позволяющий получать в случае необходимости (обычно на поворотах) разную
скорость колес. Полуоси находятся в картере 14 ведущего (заднего) моста, и
наружные концы их соединены в ведущими колесами 11.
Ходовая часть автомобиля
состоит из элементов, непосредственно опирающихся на дорогу, задних и передних
колес 5 с шинами, а также картера заднего моста, передней оси 2, подвески (на
схеме - рессоры 3), обеспечивающей упругое соединение заднего моста и передней
оси с рамой 9; рама является основой для соединения частей автомобиля в одно
целое и относится к ходовой части. Упругая подвеска и шины позволяют смягчать
толчки и удары, воспринимаемые колесами от неровностей дороги. К органам
управления относятся тормозная и рулевая системы. Тормозная система состоит из
тормозов 4, расположенных на колесах, и привода к ним; она служит для снижения
скорости, остановки π удержания автомобиля на месте.
2. Внешние
характеристики двигателей
.1 Внешние
характеристики дизеля
Учитывая, что все
автомобильные и тракторные дизели имеют регуляторы (автомобильные, как правило,
двухрежимные; тракторные - всережимные), рассмотрим внешнюю характеристику
дизеля с регулятором.
Дизель в отличие от
карбюраторного двигателя имеет несколько внешних характеристик (в зависимости
от условий их снятия).
Внешняя характеристика 1
(рис. 1) дизеля называется нормальной или эксплуатационной, если она снимается
при постоянном положении рейки топливного насоса, доведенной до упора, который
установлен по пределу дымления на номинальных числах оборотов. Под номинальными
понимаются обороты, при которых начинает работать регулятор. Следует отметить,
что упор рейки топливного насоса при эксплуатационной (заводской) регулировке
топливной аппаратуры должен устанавливаться по пределу дымления на номинальных
числах оборотов. Увеличение числа оборотов коленчатого вала сопровождается
падением коэффициента наполнения, а подача топлива на цикл при неизменном
положении рейки остается примерно постоянной или даже увеличивается, что ведет
к уменьшению коэффициента избытка воздуха. Следовательно, если упор будет
установлен по пределу дымления на малых числах оборотов, то при возрастании
последних двигатель будет работать в диапазоне за пределом дымления.
Внешняя характеристика 2
дизеля называется предельной или оптимальной, если все точки ее сняты при
работе двигателя на пределы дымления.
Рис. 1 Внешняя
характеристика дизеля
- нормальная, 2 -
предельная, 3 - максимальная
Нормальная и предельная
внешние характеристики сходятся на номинальных числах оборотов, так как в этой
точке коэффициент избытка воздуха для обеих характеристик одинаков.
Внешняя характеристика 3
дизеля называется максимальной или абсолютной, если все точки ее соответствуют
наибольшему среднему эффективному давлению.
Необходимо отметить, что
если абсолютная и предельная внешние характеристики являются для каждого дизеля
вполне определенными кривыми, то нормальная характеристика зависит от
номинальных чисел оборотов. Чем больше число оборотов, при которых вступает в
действие регулятор, тем ниже пойдет эта характеристика.
.2 Относительная внешняя
характеристика карбюраторных двигателей
Установлено (проф. И. М.
Лениным), что при построении кривых зависимости эффективной мощности от числа
оборотов при полностью открытом дросселе для различных карбюраторных двигателей
в относительных координатах (мощность двигателя и число оборотов откладываются
в процентах от максимальных значений) эти кривые совпадают. Для данных
двигателей справедливы следующие соотношения:
Это дает возможность
построить внешнюю характеристику двигателя без проведения его испытаний, если
известна максимальная мощность двигателя и число оборотов, при которых она
достигается.
.3 Частичные
характеристики карбюраторного двигателя
(рис. 2). Каждая
частичная характеристика (I, II, III) соответствует определенному открытию
дроссельной заслонки, вследствие чего для каждого двигателя этих характеристик
может быть любое количество, в то время как внешняя характеристика бывает
только одна.
Рис.2 Частичные
характеристики карбюраторного двигателя
По мере прикрытия
дроссельной заслонки максимальные значения эффективной мощности двигателя
сдвигаются в сторону меньших оборотов, что объясняется:
а) уменьшением проходных
сечений во впускной системе;
б) увеличением
относительной величины механических потерь вследствие уменьшения индикаторной
мощности двигателя при неизменных затратах мощности на преодоление трения;
в) увеличением насосных
потерь в двигателе.
Снижение эффективной
мощности при дросселировании вызывается в основном уменьшением весового
наполнения двигателя. Кроме того, снижению мощности способствуют также
следующие причины, вызывающие и ухудшение экономических показателей двигателя
при дросселировании:
. Уменьшается скорость
сгорания вследствие увеличения коэффициента остаточных газов (абсолютное
количество остаточных газов в цилиндре в конце процесса выпуска по мере
прикрытия дросселя остается примерно постоянным - газы занимают объем камеры
сгорания, а весовое наполнение падает).
. Увеличивается
относительная величина теплоотдачи через стенки цилиндра. Время соприкосновения
газов по мере дросселирования остается постоянным; интенсивность
вихреобразования, зависящая в основном от числа оборотов, также почти не
изменяется; поэтому абсолютное количество тепла, отдаваемое через стенки
цилиндра, остается при этом практически неизменным. Однако количество тепла,
выделяемое при сгорании, ввиду уменьшения наполнения (на прикрытых дросселях)
падает, что ведет к росту относительной величины теплоотдачи.
Увеличиваются насосные
потери двигателя.
.Возрастает
относительная величина механических потерь в двигателе.
.4 Частичные
характеристики дизеля
Они снимаются при
постоянном проходном сечении впускной системы двигателя и переменном положении
рейки топливного насоса. Следовательно, переход от одной частичной
характеристики дизеля к другой сопровождается изменением коэффициента избытка
воздуха при постоянном коэффициенте наполнения и неизменных насосных потерях;
происходит также изменение относительной величины механических потерь. Поэтому
установка рейки насоса в последовательные положения, соответствующие
уменьшающимся подачам топлива, смещает кривые эффективной мощности почти параллельно
самим себе, существенно не влияя на их уклоны и не изменяя их характер. При
работе на частичных характеристиках экономические показатели дизеля, так же как
и экономические показатели карбюраторного двигателя, ухудшаются. Это в основном
объясняется уменьшением механического к.п.д. при уменьшении индикаторной
мощности.
3. Двигатели
.1 Классификация
двигателей
Тракторные и
автомобильные двигатели внутреннего сгорания классифицируются по следующим
признакам:
По способу
смесеобразования - на двигатели с внешним и внутренним смесеобразованием. К
двигателям с внешним смесеобразованием относятся карбюраторные и газовые
двигатели, а к двигателям с внутренним смесеобразованием - дизели и
калоризаторные двигатели.
По способу воспламенения
рабочей смеси - электрической искрой, запальным шаром и без постороннего
источника воспламенения(дизели). Воспламенение рабочей смеси в карбюраторных и
газовых двигателях, имеющих низкие степени сжатия, осуществляется электрической
искрой; в калоризаторных двигателях - запальным шаром; в дизелях из-за больших
степеней сжатия и высокой температуры сжатого воздуха топливо, подаваемое в их
цилиндры с помощью насоса и форсунки, воспламеняется от горячего воздуха без
постороннего источника зажигания.
По виду применяемого
топлива - на двигатели легкого или светлого топлива (бензин, лигроин, керосин),
на двигатели тяжелого топлива (дизельное топливо, соляровое масло, нефть) и
двигатели газообразного топлива (генераторный и природные газы).
По способу осуществления
рабочего цикла - на двигатели четырехтактные и двухтактные.
По числу цилиндров - на
двигатели одноцилиндровые и многоцилиндровые (двух-, трех-, четырех-, шести- и
восьмицилиндровые и т. д.).
По расположению
цилиндров - на двигатели вертикальные, горизонтальные и V-образные с цилиндрами,
расположенными под углом.
При угле расположения
цилиндров 180° двигатель называется оппозатным.
. По охлаждению:- на
двигатели с водяным или воздушным охлаждением.
. По назначению - на
двигатели транспортные и стационарные.
Поршневые двигатели внутреннего
сгорания нашли широкое применение при выполнении различных сельскохозяйственных
работ и в комплексной механизации сельского хозяйства; для этих целей
используются двигатели мощностью от 1,48-3,7 квт (2-5 л. с.) до 184 квт (250 л.
с.).
Двигатели средней
мощности 14,9-36,8 квт (20-50 л. с.) выполняются как транспортного типа (для
тракторов и малолитражных автомобилей), так и стационарного. На стационарных
работах они используются для полевых электростанций, в небольших мастерских, на
водокачках и др.
Двигатели повышенной
мощности - 73,6-185 квт (100-250 л. с.) применяются на скоростных тракторах,
комбайнах и на стационарных работах (привод молотилок, электростанций и др.).
Двигатели мощностью 73,6
квт (100 л. с.) и выше применяются на тракторах специального назначения, мощных
грузовых автомобилях и на электростанциях для небольших поселков.
3.2 Механизмы и системы
двигателя
Двигатель внутреннего
сгорания имеет следующие механизмы и системы:
Кривошипно-шатунный
механизм (поршень, шатун и коленчатый вал) служит для восприятия давления газов
и преобразования возвратно-поступательного движения поршня во вращательное
движение коленчатого вала.
Механизм
газораспределения предназначен для своевременного открытия и закрытия клапанов
и состоит из клапанов, пружин и деталей их привода - распределительного вала и
распределительных шестерен, толкателей, штанг и коромысел.
Система охлаждения
бывает водяная и воздушная; служит она для охлаждения деталей двигателя.
Система водяного охлаждения состоит из водяного насоса, вентилятора, водяной
рубашки, радиатора и термостата; у двигателей с воздушным охлаждением цилиндры
и головки блока имеют специальные охлаждающие ребра.
Система смазки служит
для подвода смазки к трущимся деталям и состоит из масляного насоса,
маслопроводов, фильтров и иногда масляного радиатора.
Система питания
предназначена для приготовления горючей смеси и подвода ее к цилиндрам
(карбюраторный двигатель) или подачи воздуха и топлива в цилиндры двигателя
(дизель) и приготовления в них рабочей смеси. Система питания карбюраторных
двигателей и дизелей состоит из топливных баков, топливопроводов, кранов,
фильтров, топливных насосов, карбюраторов или форсунок.
Система зажигания
применяется в карбюраторных и газовых двигателях и служит для воспламенения
сжатой в цилиндре рабочей смеси. На отечественных тракторных и
'сельскохозяйственных карбюраторных двигателях система зажигания состоит из
магнето, проводов и свечей, а на автомобилях - из аккумуляторной батареи,
генератора, индукционной катушки, проводов, свечей и прерывателя
распределителя. На дизелях система зажигания отсутствует.
Система пуска
предназначена для пуска двигателя в ход. К ней относятся: пусковой бензиновый
двигатель с механизмом передачи (на тракторе), электрический стартер на
автомобиле и иногда на тракторе, декомпрессионный механизм, система подогрева
воды и воздуха.
.3 Основные определения
В качестве силовых
установок на современных тракторах и автомобилях получили применение двигатели
внутреннего сгорания, т. е. такие двигатели, в которых топливо в смеси с
воздухом сгорает внутри рабочих цилиндров.
В зависимости от
способов воспламенения рабочей смеси (смеси топлива с воздухом) двигатели
разделяются на две группы: карбюраторные или двигатели с принудительным
воспламенением смеси от электрической искры и дизели или двигатели, работающие
с воспламенением от сжатия. К двигателям с воспламенением от искры относятся
также газовые двигатели и двигатели с непосредственным впрыском топлива во
впускную систему. В каждой из указанных групп могут быть четырехтактные и двухтактные
двигатели.
Двигатель, в котором
рабочий цикл совершается за четыре хода поршня или за два оборота коленчатого
вала 4П рад (720°), называется четырехтактным.
Двухтактным двигателем
называется такой, у которого цикл работы совершается за два хода поршня, или за
один оборот коленчатого вала 2П рад (360°).
Верхней мертвой точкой
(в. м. т.) называется такое положение поршня в цилиндре, когда поршень наиболее
удален от оси коленчатого вала (рис.3). Нижней мертвой точкой (н. м. т.)
называется такое положение поршня в цилиндре, когда поршень наименее удален от
оси коленчатого вала. В мертвых точках скорость поршня равна нулю, так как в
них изменяется направление движения поршня.
Расстояние, проходимое
поршнем от верхней мертвой точки к нижней, называется ходом поршня и
обозначается буквой S. Каждому ходу поршня соответствует П рад (180°) -
полуоборот - поворота коленчатого вала. Ход поршня равен удвоенному радиусу
кривошипа: S=2R
Объем, освобождаемый в
цилиндре двигателя при движении поршня от верхней мертвой точки к нижней,
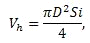
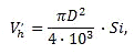
называется рабочим объемом цилиндра и обозначается через Vh. Литражом двигателя
называется сумма рабочих объемов цилиндров, выраженная в литрах:
где D - диаметр цилиндра
см;ход поршня, см-число цилиндров двигателя.
Рабочий объем цилиндров
двигателя определяется по формуле
где D - диаметр
цилиндра, см;- ход поршня, cм;- число цилиндров.
Объем над поршнем при
нахождении последнего в верхней мертвой точке называется камерой сжатия или
камерой сгорания и обозначается через Vс.
Полный объем
цилиндраVспредставляет сумму двух объемов: объема камеры сжатия Vс и рабочего
объема цилиндра Vh:
=Vс+Vh.
Степенью сжатия е
называется отношение полного объема цилиндра к объему камеры сжатия
Степень сжатия
выражается в отвлеченных единицах.
Так как различные виды
жидких и газообразных топлив имеют разные температуры самовоспламенения, то
степень сжатия определяет вид топлива, на котором может работать данный
двигатель.
Карбюраторные двигатели,
работающие на керосине, имеют степень сжатия 3,5 - 4,5; на бензине - 6 - 10; на
газе - 7 - 9. Дизельные двигатели имеют степень сжатия 14 - 22. Степень сжатия
влияет на экономичность и мощность двигателя: с увеличением е улучшается
экономичность и увеличивается мощность.
Двигатели, применяемые
на тракторах и автомобилях, в большинстве случаев работают по четырехтактному
циклу, который характеризуется тем, что из четырех тактов, совершаемых за два
оборота коленчатого вала, один является рабочим, т. е. таким, при котором
энергия сгоревшей горючей смеси создает в цилиндре необходимое давление,
заставляющее перемещаться поршень и с помощью шатуна вращать коленчатый вал;
три такта являются вспомогательными. Они служат для:
а) заполнения цилиндра
свежей горючей смесью или воздухом;
б) сжатия этой смеси или
воздуха перед воспламенением или перед
вспрыском распыленного
жидкого топлива;
в) очистки цилиндра от
продуктов сгорания.
В связи с этим каждый из
тактов имеет свое наименование: первый - впуск, второй - сжатие, третий -
рабочий ход (расширение) и четвертый - выпуск.
.4 Рабочий процесс
четырехтактного карбюраторного двигателя
Такт впуска.
При такте впуска (рис.
4) поршень движется от в. м. т. к н: м. т., объем над поршнем при этом
увеличивается, в полости цилиндра создается разрежение, отчего атмосферный
воздух устремляется в цилиндры двигателя через открытый впускной клапан; воздух
предварительно проходит через карбюратор, образуя в нем горючую смесь (смесь
топлива с воздухом).
Если в прямоугольной
системе координат по оси ординат откладывать давление р в цилиндре, по оси
абсцисс - объемы V цилиндра, соответствующие перемещению поршня, то процесс
впуска будет изображаться кривой rа, направленной вниз от линии атмосферного
давления.
Давление газов в
цилиндре при впуске составляет 0,075-0,09 Мн/м2 (0,75-0,90 кГ/см2) и зависит от
числа оборотов коленчатого вала, сопротивлений в клапанах и в карбюраторе,
температуры стенок цилиндра и других факторов. Температура горючей смеси при
такте впуска возрастает на 50-80° С за счет соприкосновения ее с нагретыми
деталями двигателя (клапаны, поршень, стенки цилиндра и др.) и смешивания с
остаточными газами, имеющими высокую температуру.
Заполнение цилиндра
двигателя горючей смесью характеризуется коэффициентом наполнения, который
находится в пределах 0,75-0,85 и представляет отношение объема горючей смеси,
поступившей в цилиндр за один ход поршня, к рабочему объему цилиндра (при
давлении и температуре окружающей среды). У дизелей коэффициент наполнения
несколько выше, так как у них отсутствует карбюратор и дроссельная заслонка.
Чем выше коэффициент наполнения у двигателя, тем большую он может развить
мощность.
Такт сжатия.
При такте сжатия (рис.4-1)
впускной и выпускной клапаны закрыты. Поршень движется от н. м.т. к в. м.т. и
сжимает горючую смесь, находящуюся в цилиндре двигателя. Процесс сжатия
изображается кривой ас. По мере уменьшения объема смеси давление и температура
в цилиндре повышаются. Горючая смесь, состоящая из частиц топлива и воздуха, в
конце такта сжатия сильно уплотняется, отчего происходит подготовка топлива к
сгоранию; горючая смесь здесь называется рабочей смесью.
Давление конца сжатий
находится в пределах 0,5-0,9 Мн/м2 (5-9 кГ/см2), а температура рабочей смеси
достигает 523-573° К (250-300° С).
Чем выше степень сжатия
двигателя, тем больше давление и температура рабочей смеси в конце такта
сжатия; сгорание ее происходит с большой скоростью; мощность и экономичность
двигателя при этом повышаются.
Рабочий ход.
При рабочем ходе (рис.
4-2) впускной и выпускной клапаны закрыты. Поршень движется от в. м.т. к н.
м.т. Процесс сгорания и расширения (рабочий ход) изображается кривой сzb.
Рабочая смесь воспламеняется электрической искрой с опережением, т. е. еще при
такте сжатия, когда поршень не доходит до в. м. т. на 0,425- 0,524 рад (25-30°)
по углу оборота коленчатого вала. Смесь почти полностью сгорает, когда поршень
проходит в. м. т. на 0,0524-0,0873 рад (3-5°), Наличие опережения обеспечивает
наибольшее давление в цилиндре, когда поршень проходит в. м.т. При горении
смеси внутри цилиндра выделяется тепло, вследствие чего температура и давление
горящих газов сильно возрастают. Это давление, воздействуя на днище поршня,
заставляет его перемещаться к н. м. т. и с помощью шатуна вращать коленчатый
вал, совершая при этом механическую работу.
При горении давление
газов достигает 3-3,5 Мн/м2 (30-35 кГ/см2), а температура до 2773° К (2500°С),
в конце рабочего хода (точка b) давление снижается до 0,5-0,6 Мн/м2 (5,0-6,0
кГ/см2).
Такт выпуска.
При такте выпуска (рис.
4-3) выпускной клапан открыт, поршень движется от н. м.т. к в. м. т. и
выталкивает наружу отработавшие газы из полости цилиндра. Процесс выпуска на
диаграмме изображается кривой br, расположенной над линией атмосферного
давления. Давление отработавших газов на линии выпуска несколько выше
атмосферного и равно 0,1-0,12 Мн/м2 (1,05-1,15 кГ/см2), а тем-пература
1173-1373° К (900-1100° С).
В связи с наличием в
двигателе камеры сгорания полностью очистить цилиндр от продуктов сгорания не
представляется возможным. Поэтому в цилиндре после такта выпуска всегда
находится некоторое количество остаточных газов. При впуске в цилиндр новой
порции свежей смеси она загрязняется, смешиваясь с остаточными газами.
Диаграмма изменения
давлений (кривая raczbr) в цилиндре двигателя за цикл называется индикаторной
диаграммой (рис. 4-3). Индикаторная диаграмма может быть построена или
расчетом, или снятием с работающего двигателя при помощи специального прибора -
индикатора. На индикаторной диаграмме полезной работе соответствует площадь
сzbc, а отрицательной работе, или насосным потерям,- площадь, очерченная линией
впуска rа, лежащей ниже атмосферной линии, и линией rb, расположенной выше
атмосферной линии.
Наличие в смеси
остаточных газов, содержащих углекислый газ, уменьшает скорость сгорания и
распространения пламени, которая в цилиндре двигателя имеет значение порядка
25-40 м/сек.
На скорость
распространения пламени также оказывают влияние: а) расположение свечи (если
свеча находится в холодной зоне, а пламя распространяется в сторону горячих
поверхностей, то скорость сгорания имеет большую величину); б) форма камеры
сгорания и вихревое движение смеси в ней (при наличии вихревого движения
скорость распространения пламени в топливовоздушной смеси значительно
возрастает); в) состав смеси; г) степень сжатия и др.
Воспламенение рабочей
смеси в цилиндре представляет собой явление окислительной реакции, при которой
выделяющееся тепло вызывает появление пламени. Моменту воспламенения
предшествует период предварительных окислительных реакций меньшей
интенсивности.
В двигателях с внешним
смесеобразованием окислительные реакции начинают появляться в процессе сжатия
горючей смеси.
Процесс сгорания и
расширения в двигателях внутреннего сгорания является одним из важных периодов
рабочего цикла, так как в течение этого периода химическая энергия топлива
превращается в тепловую и затем частично в механическую.
.5 Рабочий процесс
четырехтактного дизеля
Процесс работы дизеля
отличается от работы карбюраторного двигателя способом образования и
воспламенения рабочей смеси. Основное отличие заключается в том, что в цилиндр
дизеля в такте впуска поступает атмосферный воздух, который при такте сжатия
сильно сжимается. В конце этого такта в среду нагревшегося воздуха при высокой
степени сжатия (вследствие молекулярного трения его частиц) насосом высокого
давления через форсунку впрыскивается топливо в распыленном состоянии. Топливо
в цилиндре, смешиваясь с воздухом, воспламеняется и сгорает под действием
высокой температуры воздуха.
При такте впуска в
цилиндр дизеля поступает атмосферный воздух, давление его составляет 0,08-0,095
Мн/м2 (0,8-0,95 кГ/см2), а температура 303-323° К (30-50°С). При такте, сжатия
поршень сжимает находящийся в цилиндре воздух. Для воспламенения топлива в
цилиндрах дизеля необходимо, чтобы температура сжатого воздуха была выше
температуры самовоспламенения топлива, впрыскиваемого в конце такта сжатия.
Поэтому дизели работают с большими степенями сжатия (14-22), обеспечивающими
высокие температуры сжимаемоговоздуха 873-923°К (600-650°С), давление в
цилиндре при этом достигает 3,5-4 Мн/м2 (35-40 кГ/см2). При рабочем ходе
поршень движется за счет расширения газов. В конце такта сжатия, когда поршень
не доходит до в. м. т. на 0,26- 0,52 рад (15-30°) по углу поворота коленчатого
вала, в камеру сгорания двигателя впрыскивается топливо под большим давлением,
которое обычно составляет 12-25 Мн/м2(120-250 кГ/см2), а у двухтактных дизелей
Ярославского завода - до 140 Мн/м2 (1400 кГ/см2). Давление впрыска топлива
должно значительно превышать давление воздуха, сжатого в камере сгорания для
обеспечения более тонкого распыливания топлива и распределения его по всему
объему воздуха, сосредоточенного в камере сгорания.
Струя топлива при выходе
из распыливающих отверстий сопла форсунки под действием высокого давления
приобретает огромную скорость и, пронизывая массу сжатого воздуха,
раздробляется на миллионы мелко распыленных частиц каждая диаметром 0,002-0,005
мм. Топливо, поступившее в мелкораспыленном состоянии в цилиндр, приходя в
непосредственное соприкосновение с горячим воздухом, воспламеняется и начинает
гореть.
Угол опережения подачи
топлива насосом составляет в среднем 0,262-0,350 рад (15-20°) угла поворота
коленчатого вала дизеля.
При подаче топлива в
цилиндры дизеля следует иметь в виду два положения: 1) момент подачи топлива
секцией топливного насоса; 2) момент начала впрыска топлива форсункой.
Впрыск топлива через
форсунку в камеру сгорания дизеля происходит несколько позднее начала подачи
топлива секцией насоса. Объясняется это тем, что при нагнетании топливо
несколько сжимается в связи с высоким давлением, а топливопроводы расширяются,
поэтому угол опережения подачи топлива секцией насоса всегда больше угла впрыска
его форсункой, который составляет для различных дизелей 0,0105-0,175 рад
(6-10°).
Расширение газов у
дизелей значительно большее, чем в карбюраторных двигателях. В карбюраторных
двигателях из-за сравнительно малой степени расширения температура отработавших
газов в конце расширения составляет 1173-1373°К (900-1100°С), а у дизелей -
873-973°К (600-700°С), поэтому у этих двигателей меньше тепла уходит с
отработавшими газами, чем и обеспечивается более высокая их экономичность.
Такт выпуска у дизелей
отличается более низкими температурами выпускных газов.
Параметры рабочих
процессов карбюраторного и дизельного двигателей, работающих по четырехтактному
циклу, даны в табл. 1.
Таблица 1
Давление и температура
газов в цилиндрах четырехтактных двигателей
|
Такт
|
Параметр
|
Карбюраторный двигатель
|
Дизель
|
|
Впуск
|
Давление в конце впуска, Мн/м2 (кГ/см2) Температура в конце
впуска, °К (°С)
|
0,07-0,09 (0,7-0,90) 323-353 (50-80)
|
0,08-0,095 (0,8-0,95) 303-323 (30-50)
|
|
Сжатие
|
Давление в конце сжатия, Мн/м2 (кГ/см2) Температура в конце
сжатия, °К(оС)
|
0,5-0,9 (5,0-9,0) 523-573 (250-300)
|
3,5-4 (35-40) 873-923 (600-650)
|
|
Расширение (рабочий ход)
|
Давление в конце сгорания, Мн/м2 (кГ/см2) Температура в конце
сгорания, °К (°С)
|
3-3,5 (30-35) 2773 (2500)
|
6-9 (60-90) 2073-2273 (1800-2000)
|
|
Выпуск
|
Давление в конце расширения, Мн/м2(кГ/см2) (начало открытия
выпускного клапана) Температура в конце выпуска, °К (°С)
|
0,5-0,6 (5,0-6,0) 1173-1373 (900-1100)
|
0,4-0,5 (4,0-5,0) 873-973 (600-700)
|
.6 Рабочий процесс двухтактного
двигателя
силовой двигатель карбюраторный
дизельный
Рабочий цикл
двухтактного двигателя совершается за два хода поршня или за один оборот коленчатого
вала 2
рад (360°). В связи с этим двухтактный цикл характеризуется тем, что у него
один такт является рабочим, а второй- вспомогательным. Рассмотрим работу
двухтактного карбюраторного двигателя с кривошипно-камерной продувкой (рис.6).
Конструктивно этот двигатель проще четырехтактного. В таком двигателе
отсутствуют клапаны, их роль выполняет поршень, закрывающий при своем движении
выпускные, впускные и продувочные окна. Через эти окна рабочая полость цилиндра
сообщается в определенные моменты с впускным и выпускным трубопроводами, а
также с кривошипной камерой, которая в данном типе двигателя выполнена
герметичной, так как она участвует в рабочем цикле. Цилиндр двигателя в средней
части имеет три окна: впускное 2, выпускное 3 и продувочное 4, служащее для
сообщения цилиндра с картером 1 при помощи перепускного канала 5. Когда поршень
расположен в в. м. т., в камере сгорания имеется сжатая поршнем смесь, и в то
же время в кривошипной камере находится засосанная поршнем при его движении к
в. м.т. горючая смесь. При воспламенении сжатой рабочей смеси электрической
искрой давление в цилиндре над поршнем резко возрастет и поршень начнет
перемещаться от в. м. т. к н.м.т., совершая рабочий ход. При движении поршня к
н. м.т. одновременно будут происходить рабочий ход в цилиндре и сжатие горючей
смеси в кривошипной камере. При движении поршня к н. м, т. его верхней кромкой
сначала открывается выпускное окно 5 и продукты сгорания, давление которых выше
атмосферного, начнут выходить наружу (выпуск). При дальнейшем движении поршня
открывается продувочное окно 4 и сжатая в картере горючая смесь перетекает по
каналу 5, заполняя цилиндр и осуществляя продувку его от остатков продуктов
сгорания. При этом часть горючей смеси неизбежно теряется, выходя вместе с
отработавшими газами. При обратном движении от н.м.т. к в.м т.поршень своей
верхней кромкой перекрывает продувочное окно 4, затем выпускное 3, после чего
начинается сжатие смеси в цилиндре. Одновременно создается разрежение в полости
картера до момента открытия нижней кромкой поршня впускного окна 2. После этого
процесс начнет повторяться.
Рис. 7. Схема работы
двухтактного карбюраторного двигателя с кривошипно-камерной продувкой;
А-сгорание рабочей смеси в цилиндре и наполнение кривошипной камеры горючей
смесью. Б-выпуск отработавших газов и наполнение цилиндра.
Рабочий процесс
двухтактных дизелей с прямоточной продувкой (ЯАЗ-204 и ЯАЗ-206) осуществляется
следующим образом:
Первый такт -
перемещение поршня от в. м. т. к н. м. т. При положении поршня около в. м. т.
происходит воспламенение топлива, впрыснутого в среду сжатого воздуха через
форсунку. Под давлением газов поршень перемещается к н. м. т. Около середины
хода поршня происходит открытие выпускных клапанов 3 и отработавшие газы
начинают выходить из цилиндра, в результате чего давление в цилиндре резко
снижается.36 При достижении верхней кромкой поршня продувочных окон начинается
продувка цилиндров сжатым воздухом, поступающим к продувочным окнам 2 от
нагнетателя 1 через ресивер 4 под избыточным давлением, достигающим 0,05 Мн/м2
(0,5 кГ/см2). Второй такт - перемещение поршня от н. м. т. к в. м. т. В начале
движения поршня до момента перекрытия верхней кромкой поршня продувочных окон в
цилиндре продолжается продувка, после чего выпускные клапаны закрываются и
происходит сжатие воздуха. В конце сжатия при помощи насос-форсунки
осуществляется впрыск топлива в цилиндр под давлением 140 Мн/м2 (1400 кГ/см2) и
его сгорание.
После чего цикл
повторяется. В сравнении с четырехтактными двигателями двухтактные имеют
преимущества, заключающиеся в том, что рабочий ход в них происходит за каждый
оборот коленчатого вала 2
рад
(360°). Поэтому двигатели, работающие по двухтактному циклу, теоретически
должны при одинаковых оборотах коленчатого вала развивать вдвое большую
мощность, чем четырехтактные. Однако худшая очистка цилиндра от продуктов
сгорания, частичный унос свежей горючей смеси с отработавшими газами во время
продувки и повышенный тепловой режим работы снижают мощность двухтактного
двигателя и значительно ухудшают его экономичность. В связи с этим мощность при
двухтактном цикле по сравнению с четырехтактным повы¬шается в 1,6-1,7 раза.
Наддув двигателей. Наддув на двигателях применяется для повышения их мощности,
так как при одних и тех же размерах рабочих цилиндров в двигателе может быть
сожжено большее количество топлива. Для осуществления турбонаддува применяются
турбокомпрессоры, состоящие из центробежного компрессора и газовой турбины.
В карбюраторных
двигателях в рабочие цилиндры двигателя центробежным компрессором, колесо 7
которого вращается колесом 8 газовой 37 турбины, нагнетается горючая смесь, а у
дизелей 13 - воздух. В этих случаях давление наддува рн больше давления
окружающей среды ро; избыточное давление в среднем составляет: ри = 0,035 -
0,065 Мн/м2 (0,35 -0,65 кГ/см2).
Работа турбокомпрессора
осуществляется следующим образом. При открытии выпускных клапанов 2
отработавшие газы по выпускному коллектору 3 поступают через сопла.на лопатки
рабочего колеса 5 газовой турбины 4 и вращают ее. Проходя через сопла, скорость
отработавших газов резко возрастает, при этом внутренняя тепловая энергия газов
превращается во внешнюю кинетическую энергию потока, которая затем превращается
в механическую работу вращения ротора 5. Рабочее колесо 7 компрессора 6,
вращаясь, подает под избыточным давлением воздух по коллектору 9 через впускные
клапаны 1 в рабочие цилиндры дизеля. Смазка подшипников ротора 5 производится
от общей масляной системы дизеля 13 с помощью шестеренчатого масляного насоса
12, масляной центрифуги 11 и фильтра 10 тонкой очистки. На тракторном в
восьмицилиндровом V-образном дизеле ЯМЗ-238НБ мощностью 156 квт (212 л. с.) для
наддува его воздухом устанавливается турбокомпрессор, состоящий из
одноступенчатого центробежного компрессора и радиальной центростремительной
турбины. Колесо компрессора и колесо турбины расположены консольно по отношению
к подшипникам - на противоположных концах вала ротора.
.7 Кривошипно-шатунный
механизм
.7.1 Блок цилиндров,
цилиндры, головки блока и картеры
Блоком цилиндров, или
блок-картером, называется группа цилиндров, выполненная в общей отливке. У
современных автотракторных двигателей блок цилиндров отливается из серого
чугуна (у автомобилей УАЗ, ГАЗ-53Ф, ГАЗ-53А и др. иногда отливается, из
алюминиевого сплава).
Внутренняя рабочая
поверхность цилиндра, называемая зеркалом цилиндра, тщательно шлифуется и
полируется. При водяном охлаждении двигателя цилиндры снаружи окружены водяной
рубашкой; в случае воздушного охлаждения цилиндры и головки имеют на наружной
поверхности охлаждающие ребра. Для увеличения жесткости блока плоскость
крепления поддона в большинстве конструкций смещена книзу по отношению к оси
коленчатого вала, а в плоскости коренных опор делаются ребра жесткости.
На рис.7 показан блок
цилиндров карбюраторного восьмицилиндрового V-образного двигателя ЗИЛ-130.
Блоки цилиндров V-образных двигателей в изготовлении более сложны, однако они
обладают рядом преимуществ по сравнению с блоками рядных линейных двигателей.
Такие блоки более жестки, отчего не подвергаются значительным деформациям,
влияющим на износ деталей; двигатели с V-образными блоками короче и легче
рядных двигателей (при одинаковой мощности), что дает возможность уменьшить
базу автомобиля и его общий вес.
Рис. 9. Блоки цилиндров:
а - блок-картер дизеля СМД-14:
- фланец для крепления
масляного фильтра; 2- фланец для крепления маслозаливной горловины; 3 -
блок-картер; 4 - маслопровод; 5 - передняя опора кулачкового вала; 6 - фланец
для крепления водяного насоса; 7 - посадочные отверстия гильз цилиндров; б -
блок цилиндров двигателя ЗИЛ-130:) 1- блок цилиндров; 2 - подшипник коленчатого
вала; 3 - подшипник кулачкового вала; 4-гильза цилиндра; 5 - посадочный поясок
гильзы.
Рис. 9. Цилиндр и
головка с воздушным охлаждением
- цилиндр; 2 - головка;
3 - охлаждающие ребра.
На тракторных двигателях
наибольшее распространение получили рядные, четырехцилиндровые блоки со
вставными гильзами. Такая конструкция блока упрощает ремонт двигателя, так как
при повреждении одной или нескольких гильз они легко могут быть заменены.
Рис. 10. Гильзы
цилиндров
а - тракторная: 1 -
верхний буртик; 2 и 3 - центрирующие пояски; 4-канавки для резиновых колец; 5 -
прокладка под верхний буртик гильзы; 6 - уплотнительные резиновые кольца; б -
автомобильная ЗИЛ-130): 1 - гильза цилиндра, 2 - антикоррозионная вставка из
нирезиста.
Гильзы бывают «мокрые»,
наружные стенки которых охлаждаются водой, или «сухие», которые устанавливаются
в предварительно расточенные цилиндры блока. Сухие гильзы запрессовывают в блок
либо по всей длине цилиндра (ЯАЗ-204), либо только в верхнюю его часть,
соответствующую перемещению колец, где износ цилиндра наибольший (двигатели
ГАЗ, ЗИЛ). Блок цилиндров с сухими гильзами имеет меньший вес и большую
жесткость по сравнению с блоком, имеющим мокрые гильзы. Гильзы изготовляются из
легированного аустенитового чугуна и реже из стали; толщина стенок сухих гильз
2- 4 мм, мокрых 6- 8 мм.
Герметичность установки
мокрой гильзы достигается тщательной обработкой центрирующих поясов и
применением прокладок под верхний буртик гильзы. В нижней части, где
температура не превышает 373°К (100°С), между гильзой и специальной выточкой в
стенке блока устанавливают резиновые уплотняющие кольца.
Мокрая гильза автомобиля
ЗИЛ-130 снабжена короткой (длиной 50 мм)вставкой - сухой гильзой, изготовленной
из кислотоустойчивого чугуна - нирезиста, обладающего высокой
износоустойчивостью и хорошо сопротивляющегося коррозии. Такие вставные
кислотоупорные гильзы толщиной 2,5-3 мм применяются на всех автомобилях ГАЗ и
впоследних моделях автомобилей «Москвич».
Нирезист - жаропрочный
легированный чугун аустенитного класса; применяется для вставных гильз и седел
клапанов. Химический состав нирезиста: С 2,5-3%; Si 2,5-3%; Мп 0,6-1,0%; Сг
1,8-2,2%; № 16,0- 17,5%; Си 7,0-8,0%; S до 0.10%; Р до 0,5%; остальное - Fe.
Верхняя, тщательно
обработанная плоскость блока цилиндров служит для установки головки блока.
Между блоком цилиндров и головкой ставят уплотняющую металлоасбестовую
прокладку.
При нижнем расположении
клапанов в карбюраторных двигателях с одной стороны блока имеются каналы и
гнезда, в которых устанавливаются клапаны.
Головка блока цилиндров
делается съемной, так как это облегчает контроль за состоянием рабочей
поверхности цилиндров, притирку клапанов и удаление нагара. Головки блока
двигателя отливаются из чугуна или алюминиевого сплава. Головки блока, отлитые
из алюминиевого сплава, по сравнению с чугунными имеют меньший вес и превышают
его теплопроводность в 3-4 раза, что позволяет несколько повысить степень
сжатия. Головки блока двигателей имеют сложную форму, так как в них размещаются
камеры сгорания, клапаны, впускные и выпускные каналы, свечи зажигания у
карбюраторных двигателей, а у дизелей - вихревые камеры, предкамеры форсунки и
иногда свечи накаливания.
Рис. 11. Головки блока
цилиндров:
а - дизеля СМД-14: 1 -
головка цилиндров; 2--выпускной клапан; 3 - впускные клапаны: 4 - впускные
каналы; 5 - выпускной канал; 6 - каналы для охлаждающей воды системы
охлаждения; 7 - форсунки; 8 - вихревая камера; б - головка с воздушным
охлаждением:1 - охлаждающие ребра; 2 - головка; 3 - клапан.
Для создания
равномерного удельного давления по всей поверхности головки крепление ее к
блоку осуществляется большим количеством шпилек. Затяжку гаек крепления головки
нужно производить равномерно динамометрическим ключом с моментом 5-8
н-м(0,5-0,8 кГ•м).Головки для карбюраторных автомобильных двигателей делают в
общей отливке для всех цилиндров; для четырех и шестицилиндровых дизелей с
большим диаметром цилиндров с целью уменьшения веса, удобства монтажа и
облегчения технологии изготовления иногда делают одну головку на два или три
цилиндра.
Две головки на четыре
цилиндра установлены на дизеле Т-100М.
Впускные и выпускные
каналы у автотракторных двигателей выводятся на одну или обе стороны, на
которых к блоку или головке крепятся впускные и выпускные трубопроводы
(коллекторы).
Поддон блока цилиндров,
являющийся резервуаром для масла, штампуется из стали, а у тракторных
двигателей иногда отливается из чугуна. Поддон закрывает нижнюю часть двигателя
пробковой или картонной прокладкой и крепится к нему болтами. В нижней части
поддона имеется отверстие с пробкой для спуска отработавшего масла; пробка
иногда снабжается магнитом для улавливания металлических частиц, попавших в
масло в результате износа деталей. В поддоне двигателя устанавливаются
перегородки, предотвращающие стекание масла в одну сторону при движении
трактора или автомобиля по пересеченной местности.
В картере двигателя при
утечке газов через неплотности колец может создаться повышенное давление,
которое будет способствовать выдавливанию смазки через сальники и неплотности
соединений. Во избежание этого картер двигателя соединяется с атмосферным
воздухом сапуном, отверстие которого закрывается сеткой или снабжается
воздухоочистителем, предупреждающим попадание в масло пыли.
.7.2 Поршни, поршневые
кольца и пальцы
При работе двигателя
поршень воспринимает и передает большие усилия, возникающие от действия газов и
сил инерции. Потери на трение поршневых колец и поршня о стенки цилиндра
составляют 60%, а для дизелей - 75% от всей работы трения двигателя. На поршень
диаметром d = 100 мм карбюраторного двигателя в начале рабочего хода, когда
давление в цилиндре равно 3 Мн/м2 (30 кГ/см2) и температура газов, омывающих
днище поршня, составляет 2773°К (2500°С), действует сила 30 - 35 кн (3 - 3,5
Т); у дизелей эта сила в 1,5 - 2 раза больше. Поэтому днища поршней имеют
сравнительно большую толщину. Средняя температура в камере сгорания доходит до
1273° К (1000° С), что вызывает нагревание центральной части днища поршня - у
чугунных поршней до 673 - 773°К (400 - 500°С), у алюминиевых - до 473 - 523°К
(200 - 250°С).
Поршень при работе
отдает тепло стенкам цилиндра и охлаждающей воде, а также охлаждается свежей
горючей смесью (или воздухом у дизеля) при впуске ее в начале сжатия. Кроме
того, поршень охлаждается маслом, находящимся на стенках цилиндра, или путем
разбрызгивания масла через специальные распылители.
Поршни автотракторных
двигателей в большинстве случаев изготовляют из легких сплавов на алюминиевой
или магниевой основе и реже из чугуна. Присадки в виде никеля, хрома и
молибдена улучшают структуру чугуна и его механические качества. Температура
поршней из алюминиевого сплава вдвое ниже, чем у чугунных, что дает возможность
повысить наполнение цилиндров и увеличить степень сжатия (примерно на 0,5),
вследствие чего повышаются экономичность и мощность двигателя. Однако поршни из
легких сплавов имеют меньшую износостойкость и с повышением температуры
значительно снижают механические свойства. При изменении температуры от 288 до
623°К (от 15° до 350°С) предел прочности для алюминиевых сплавов снижается на
65 - 70%, а для чугуна - только на 18 - 20%.
Во избежание
заклинивания поршня в цилиндре вследствие нагревания между поршнем и цилиндром
предусмотрен зазор, величина которого зависит от диаметра цилиндра, материала и
конструкции поршня. Верхняя часть (головка) поршня имеет зазор больший, чем
нижняя, так как она больше нагревается, а следовательно, и больше расширяется.
Коэффициент линейного
расширения у алюминиевых сплавов примерно в два раза больше, чем у чугуна, что
вынуждает делать увеличенные зазоры между поршнем и стенками цилиндров.
Увеличенные зазоры могут вызвать стуки при пуске холодного двигателя.
Для обеспечения
необходимого зазора по длине поршни делаются ступенчатыми. Верхняя часть
поршня, называемая днищем 1, имеет наименьший диаметр; часть поршня, называемая
головкой 2 или уплотняющей частью, на которой расположены кольцевые канавки 3,
имеет несколько больший диаметр; часть поршня, называемая юбкой или направляющей
частью поршня, расположенная ниже поршневых колец, имеет еще больший диаметр.
Сверху и снизу юбки для маслосъемных колец делают канавки 4 (у карбюраторных
двигателей делают одну-две канавки сверху юбки). В средней части поршня имеется
отверстие с бобышками 6 для размещения в них поршневого пальца, который
крепится стопорными кольцами 5. Выточки 9 на днище расположены под клапанами, а
выемка 8 - под диффузором вихревой камеры. Снизу расположены маслоотводящие
канавки 7.
На рис.показан поршень
дизеля Д-20 с камерой сгорания 1, расположенной в головке 2 поршня.
Для отечественных
карбюраторных автомобильных двигателей примерные величины зазоров между
цилиндром и направляющей частью поршня - 0,04 ÷
0,08 мм, а между цилиндром и головкой поршня- 0,3 ÷
0,6 мм. Для тракторных двигателей эти зазоры несколько больше.
Поршни автомобильных
двигателей имеют плоские днища без выточек. Исключением является углубленное
фасонное днище поршня двигателя ЯАЗ-204, соответствующее форме струи
распыленного топлива.
Днище поршня может иметь
различную форму. На форму днища влияют: форма камеры сгорания, отвод тепла,
необходимая прочность и жесткость конструкций, расположение форсунок или свечей
и другие факторы. Вогнутое днище при подвесной системе клапанов приближает форму
камеры сгорания к сферической, т. е. к наиболее рациональной с точки зрения
смесеобразования и сгорания рабочей смеси.
Однако такая форма
способствует отложению нагара. Выпуклая форма днища увеличивает прочность
поршня, что позволяет уменьшить конструктивный вес поршня, но ухудшает форму
камеры сгорания и способствует увеличению температуры днища.
В двухтактных двигателях
с кривошипно-камерной продувкой для направления горючей смеси, выпускных газов
и продувочного воздуха днища поршней снабжаются специальными отражателями. На
внутренней поверхности днища поршня имеются ребра, увеличивающие прочность и
жесткость днища и способствующие лучшему его охлаждению.
Направляющая часть
(юбка) поршня выполняется более тонкой, чем головка, поэтому иногда в ней
располагают ребра для придания необходимой жесткости. С этой же целью внизу
юбки делают утолщение (буртик), с которого удаляют лишний металл при подгонке
поршней по массе.
Достаточно плотная
посадка поршня и его работа без стуков (обычно поршней из алюминиевых сплавов)
при непрогретом двигателе достигается за счет большего диаметра в плоскости,
перпендикулярной к оси пальца. Поэтому, чтобы предохранить поршень от
заклинивания в цилиндре двигателя, его заранее обрабатывают на эллипс с
разностью 0,2 - 0,35 мммежду большой и малой осями. Эта разность должна быть
такой, чтобы при наличии температурных деформаций юбка поршня принимала
правильную цилиндрическую форму. Например, поршни автомобилей ГАЗ имеют диаметр
юбки по оси поршневого пальца на 0,25 мм меньше, чем в поперечном направлении.
Для улучшения приработки поршня его поверхность покрывают тонким слоем олова.
Температурные деформации
в плоскости приливов поршневого пальца больше, чем в перпендикулярной
плоскости.
Для предупреждения
заедания поршня при нагреве из-за сосредоточенной массы металла у бобышек и
улучшения смазки на поверхности поршня против бобышек поршневого пальца делают
так называемые «холодильники», которые образуются удалением с поверхности
поршня слоя металла толщиной 0,5-1,5 мм.
Во избежание заклинивания
поршня из алюминиевого сплава при нагреве в его юбке выполняются разрезы.
Поршень двигателя ЗИЛ-120 имеет продольный косой разрез по всей длине юбки.
Поршни автомобилей ГАЗ имеют два вертикальных разреза и один горизонтальный,
сообщающие юбке пружинящие свойства. Комплект поршней в сборе с шатунами
подбирается как по размерам цилиндра, так и по весу.
Поршни двигателя ЗИЛ-130
отливаются из алюминиевого сплава. Юбка поршня выполнена в виде эллиптического
конуса, большое основание которого находится снизу юбки, а большая ось эллипса
расположена в плоскости, перпендикулярной оси поршневого пальца. Разность между
наибольшим и наименьшим диаметрами юбки поршня составляет 0,52 мм. а конусность
по длине юбки - 0,035 ÷ 0,050 мм. Это позволило уменьшить зазор между цилиндром и поршнем
в направлении действия нормальной силы, что обеспечило бесшумность работы
двигателя в холодном состоянии при пуске. Окончательный подбор поршня к гильзе
производят усилием 35 - 40 н(3,5 - 4,5 кГ),необходимым для протаскивания ленты
шупа толщиной 0,08 мм и шириной 13 мм.
Наличие температурного
зазора между поршнем и стенкой цилиндра требует принятия мер по уплотнению
цилиндра во избежание проникновения газов в картер двигателя и масла - в камеру
сгорания. Для этой цели применяются поршневые кольца - компрессионные и
маслосъемные.
Уплотнение цилиндра
осуществляется благодаря лабиринту 4, создающемуся между стенками цилиндра 1 и
поршнем 3 с помощью колец 2, находящихся в канавках поршня. Благодаря лабиринту
4 газы, стремящиеся проникнуть из камеры сгорания в картер двигателя,
постепенно расширяются, в связи с чем понижаются давление и скорость и
уменьшается их утечка. Если давление газов р в цилиндре (в в.м. т.) принять за
100%,то после третьего кольца оно снизится до 0,076%.
На рис. показана схема
насосного действия уплотняющих поршневых колец, а на рис - схема действия
маслосъемных колец.
Компрессионные и
маслосъемные кольца изготовляются из высококачественного чугуна с последующей
механической обработкой, ширина колец b = 3 - 4 мм, радиальная толщина кольца а
= 5 - 6 мм.
У карбюраторных
автомобильных двигателей число компрессионных колец обычно не более 2 - 3, а у
дизелей - 3 - 5, так как давление в камере сгорания у них достигает 8 Мн/м2 (80
кГ/см2).
Замки, или стыки,
поршневых колец выполняются прямыми или косыми. Более надежными в работе
являются компрессионные кольца с прямыми замками. Чтобы кольцо при нагреве
могло расширяться, в стыках колеи делают зазоры. Верхнее кольцо должно иметь
наибольший зазор. Зазоры в замках новых колец, вставленных в гильзу цилиндра
тракторного двигателя, диаметр которой 125 мм, должны быть в пределах 0,4 - 0,8
мм. Зазор в замках колец автомобильных (ГАЗ-53Ф) двигателей составляет 0,2 -
0,4 мм. В целях уменьшения утечки газов в замках колец при установке на поршень
они размещаются в разные стороны.
При работе двигателя
замки колец могут перемещаться и совпадать, ухудшая уплотнение цилиндра. В
двухтактных двигателях, имеющих значительную длину выпускных и продувочных
окон, фиксация колец является обязательной, так как она предупреждает аварию
двигателя при попадании концов колец в продувочные окна цилиндра.
В особо тяжелых условиях
работает верхнее компрессионное кольцо. Применяемые некоторыми заводами
пористое хромирование колец, покрытие оловом и фосфатирование в значительной
мере повышают их стойкость. Например, верхнее компрессионное кольцо двигателя
трактора ДТ-54А хромируется и покрывается слоем олова. Нижние кольца покрыты
только слоем олова. Для обеспечения условий работы первого кольца его размещают
несколько ниже толщины днища поршня или перед кольцом в теле поршня делают
выточку А (см. рис. 6.8, в). Такая выточка затрудняет путь тепла к кольцу,
выполняя роль воздушного экрана.
Упругость кольца должна
обеспечивать определенное давление его на зеркало цилиндра. Установлено, что
кольцо, имеющее равномерное давление по всей окружности, изнашивается в первую
очередь вблизи замка; поэтому для увеличения срока службы колец их изготовляют
с неравномерным давлением по окружности, т. ё. с максимумом давления в зоне
замка до 0,6 Мн/м2 (до 6 кГ/см2). Форма такого кольца в свободном состоянии
отклоняется от окружности, но при сжатии кольца и установке его в цилиндр оно
приобретает правильную цилиндрическую форму, обеспечивая повышенное давление в
замке. Эпюра давления компрессионного кольца с корректированным давлением на
стенки цилиндра показана на рис. 6.8, е. Среднее удельное давление холодного
кольца в современных конструкциях составляет 0,3-0,4 Мн/м2 (3-4 кГ/см2). С
увеличением радиальной толщины кольца его упругость возрастает. Снижение
упругости и давления кольца, появляющееся при износе, можно несколько
компенсировать применением колец с конической рабочей поверхностью. У таких
колец из-за повышенного удельного давления ускоряется приработка к зеркалу цилиндра
и создаются более благоприятные условия для распределения смазки.
При движении вверх эти
кольца хорошо смазывают поверхность цилиндра, а при движении вниз - снимают
смазку. Однако изготовление конусных колец сложно, поэтому компрессионные
кольца делают цилиндрическими, но имеющими специальные выточки. При установке в
цилиндр такие кольца скручиваются и их рабочая поверхность принимает коническую
форму (рис. 6.8,в и г). Кольца должны быть установлены выточками вверх.
Установка колец выточками вниз приводит к повышенному расходу масла. Рабочее
положение компрессионных колец показано на рис. 6.8, д. По высоте кольца
делаются несколько меньше высоты поршневой канавки с зазором для компрессионных
колец 0,01÷0,14мм и для маслосъемных - 0,027÷0,35
мм. Увеличение этого зазора вызывает повышенный расход масла благодаря
насосному действию колец (см. рис. 6.7,б). При работе двигателя компрессионные
кольца попеременно прижимаются к верхней и нижней плоскостям кольцевых канавок
поршня и перекачивают масло в камеру сгорания; для предупреждения этого явления
применяются маслосъемные кольца в количестве 1-2 шт. Для отвода масла в
лабиринт у маслосъемных колец имеются щелевые выточки шириной 1-1,5 мм (поэтому
они шире компрессионных колец). Для отвода масла из лабиринта канавки поршня
радиально просверливают.
Компрессионные кольца
двигателя ЗИЛ -130 отливаются из серого чугуна, легированного молибденом;
твердость кольца 98-106 HRC.
Компрессионные кольца
имеют с внутренней стороны выточки, которые при сборке должны быть обращены
кверху.
Маслосъемное кольцо
составное; оно состоит из двух плоских стальных колец 1 и двух расширителей,
которые прижимаются к стенкам цилиндра радиальным расширителем 2 и разжимаются
между собой осевым расширителем 3.
Зазор по высоте колец (в
канавках) - 0,05 - 0,082 мм.
Зазоры в замках колец;,
верхнего компрессионного
- 0,025 - 0,6 мм;
нижнего - 0,15 - 0,7 мм;
масляного - 0,9 - 1,5
мм.
Поршневой палец служит
для шарнирного соединения поршня с шатуном. Для уменьшения веса его делают
полым. Палец, работая при полужидкостном трении и высокой температуре,
подвергается ударным нагрузкам, переменным по величине и направлению, что
создает трудные условия для его смазки. Поверхность пальца при вязкой и прочной
сердцевине должна иметь значительную твердость, поэтому их изготовляют из
цементируемых углеродистых или легированных сталей. Твердость наружной
поверхности достигается поверхностной закалкой (на корку) токами высокой
частоты (т. в. ч.) на глубину 1 -1,5 мм (или цементацией); твердость наружной
поверхности пальца 58 - 65 НRС, твердость сердцевины 36 HRС.
Поршень с шатуном
соединяется плавающим пальцем, который не имеет жесткой связи ни с поршнем, ни
с шатуном. При таком креплении палец свободно поворачивается как в приливах
поршня, так и в верхней
головке шатуна, при этом
относительная скорость скольжения рабочих поверхностей уменьшается почти вдвое,
что влечет за собой снижение количества тепла, выделяемого в единицу времени, и
уменьшение износа. Фиксация плавающего пальца в осевом направлении производится
пружинящими кольцами или алюминиевыми заглушками, твердость которых ниже
твердости чугуна, что предохраняет зеркало цилиндра от повреждений. Пружинящие
кольца размещают по краям пальца в выточках, сделанных в бобышках поршня. В
двухтактных двигателях фиксация пальца осуществляется заглушками, которые
предупреждают также перетекание газов через продувочные окна цилиндра.
Чтобы избежать
образования значительных зазоров в сопряжении поршня, посадку пальца в бобышках
поршня делают с небольшим натягом в 0,01 - 0,02 мм для того, чтобы при
достижении рабочей температуры этих деталей посадка стала подвижной. Такая
посадка пальца при сборке необходима, так как коэффициенты расширения материала
пальца и поршня различны; поэтому перед установкой пальца поршни из алюминиевого
сплава необходимо нагревать в горячей воде или масле, Обеспечение надлежащей
смазки и предупреждение заедания пальца во втулке шатуна достигаются наличием в
этом сопряжении зазора в 0,01 - 0,03 мм.
Смазка поршневого пальца
может производиться разбрызгиванием путем сверления в головке шатуна и в
бобышках или же под давлением через канал, выполненный в теле шатуна.
.7.3 Шатуны
Шатун служит для
соединения поршня с коленчатым валом. При работе двигателя на шатун действуют
силы давления газов и инерционные силы. Шатуны изготовляются из углеродистой
стали методом штамповки в специальных штампах с последующей механической и
термической обработкой.
На рис.показаны шатуны
двигателей: а) ЗИЛ -130, б) Д -108М и в) Д - 48ПЛ.
Шатун состоит из стержня
обычно двутаврового сечения (реже круглого и крестообразного) и двух головок:
верхней и нижней. Нижняя головка делается разъемной для соединения ее с
коленчатым валом (при наличии подшипников качения в нижней головке она делается
целой). При плавающем пальце в верхнюю головку шатуна запрессовывают бронзовую
втулку с толщиной стенок 1 - 4 мм. Ширину верхней головки определяют, исходя из
конструктивных соображений с учетом зазора 1,5 - 2,0 мм на сторону для
компенсации не всегда точного соблюдения размеров деталей при их изготовлении,
облегчения сборки и предохранения головки шатуна от защемления при
температурном удлинении коленчатого вала.
В некоторых конструкциях
в верхней головке шатуна имеется распылитель Р, через который избыток масла
после смазки пальца попадает на внутреннюю поверхность днища поршня для его
охлаждения.

Рис. 16. Шатуны
двигателей:
а - ЗИЛ - 130: 1 -
верхняя головка; 2 - стержень; 3 - нижняя головка; 4 - тонкостенные взаимозаменяемые
вкладыши; 5 - шатунный болт; 6 - фиксатор; 7 - шплинт; 8 - шатунная гайка; б -
Д-108; в - Д-48ПЛ.
Образование масляного
слоя, обеспечивающего жидкостную смазку на трущихся поверхностях поршневой пары
палец - втулка головки шатуна, затруднено. В двухтактном двигателе при
постоянной по направлению нагрузке масляный слой нарушается меньше, чем в
четырехтактном. В четырехтактном двигателе имеет место периодическое изменение
нагрузки по направлению, вследствие чего масляный слой разрушается, а затем восстанавливается.
Однако в связи с неравномерностью нагрузки, действующей во взаимно
противоположных направлениях, толщина масляного слоя будет меньше со стороны
более нагруженной поверхности подшипника. Выравнивания толщины масляного слоя с
менее нагруженной стороны можно достигнуть путем уменьшения несущей поверхности
подшипника. В верхней головке шатуна в двигателе Д - 48Л и Д - 40 выравнивание
масляного слоя достигнуто с помощью специальной выточки С, выполненной на
внутренней поверхности втулки. При этом углубление в стержне шатуна является
резервуаром, из которого поступает масло на трущуюся поверхность пальца в
периоды уменьшения нагрузки, действующей по направлению к нижней головке.
Нижняя головка шатуна по
отношению к стержню в большинстве случаев располагается симметрично и имеет
отъемную крышку, которая крепится к телу шатуна с помощью двух или четырех
болтов. При креплении четырьмя болтами повышается возможность неравномерной их
затяжки, поэтому в большинстве случаев соединение крышки с головкой шатуна
осуществляют двумя болтами. Плоскость разъема нижней головки обычно
располагается под углом 90° относительно оси шатуна. В случае больших размеров
нижней головки, когда шатун не может быть вынут через цилиндр двигателя (что
является очень важным при ремонте и для удобства монтажа), плоскость разъема
нижней головки располагают под углом 45° (дизели Д - 38 и Д - 40) к оси шатуна.
Для разгрузки шатунных болтов от срезывающих нагрузок в некоторых дизелях на
крышке шатуна делается замок в виде уступов.
Для фиксации крышки
относительно нижней головки обычно используются шатунные болты, имеющие
обработанные пояски. Более надежная фиксация крышек достигается применением
контрольных шпилек.
Обрыв шатунного болта
может вызвать аварию двигателя. Поэтому его изготовляют из материала высокого
качества. При работе четырехтактных двигателей в момент прохождения поршня
верхних мертвых точек шатунные болты нагружаются силами инерции поступательно
движущихся частей. Кроме того, шатунные болты получают дополнительную нагрузку
при их затяжке. Гайки болтов во избежание их самопроизвольного отворачивания
фиксируются шплинтами.
В двигателях,
смазывающихся разбрызгиванием (пусковые двигатели), на крышке головки шатуна
имеется черпачок, снабженный каналом, направленным к поверхности шейки
коленчатого вала. Черпачок служит для разбрызгивания смазочного масла и подачи
его через канал к шатунной шейке коленчатого вала.
В качестве подшипников
нижней головки шатуна обычно используются тонкостенные вкладыши, вставляющиеся
в нижнюю головку шатуна.
В автотракторных
двигателях широкое распространение получили взаимозаменяемые тонкостенные
биметаллические вкладыши, изготовляемые из стальной ленты, покрытой
антифрикционным сплавом. Толщина стальной ленты 1 - 3 мм, антифрикционного
сплава 0,25 - 0,3 мм.
От смещения в теле
шатуна вкладыши удерживаются штифтом или с помощью специального «уса»,
выполненного при штамповке.
Применение съемных
вкладышей упрощает ремонт шатунов.
В качестве
антифрикционных сплавов для подшипников применяют высокооловянистые баббиты Б -
83, маслооловянистые на свинцовистой основе БН и БТ и свинцовистую бронзу.
Баббиты обладают высокими антифрикционными свойствами, но имеют зависящие от
температуры низкие механические качества. Твердость баббита при повышении температуры
с 288°К (15°С) до 373°К (100°С) снижается на 60-70%. Поэтому при нагрузках,
превышающих 10 Мн/м2 (100 кГ/см2), и температурах подшипника свыше 373°К
(100°С) применяют свинцовистую бронзу, которая обладает большой
износостойкостью, однако она требует более качественной смазки и более точной
поверхностной обработки подшипника. В последнее время широкое применение
получили антифрикционные сплавы на алюминиевой основе АСМ - НАТИ. Сплав
алюминия и сурьмы с магнием (АСМ) тонким слоем (0,2 - 1,1 мм) наносится на
стальную ленту, из которой изготовляется тонкостенный вкладыш. Сплав АСМ
состоит из сурьмы 3,5 - 5,5%, магния 0,30 - 0,7%, железа не более 0,75%,
кремния не более 0,5%, алюминия (остальное). Применение в подшипниках вкладышей
на алюминиевой основе обеспечивает значительную экономию дефицитных металлов.
Для равномерного распределения смазки по поверхности трения в наименее
нагруженных зонах подшипника имеются масляные канавки. В стыках вкладышей
делают выточки, предотвращающие защемление шейки вала и предупреждающие
разрушение масляной пленки краями вкладышей при их деформации.
.7.4 Кривошипно-шатунный
механизм
Коленчатый вал и силы,
действующие в кривошипно-шатунном механизме.
Силы, действующие от
поршней на коленчатый вал, создают крутящий момент, который при помощи силовой
передачи передается ведущим колесам трактора или автомобиля. Коленчатый вал
двигателя нагружается силами давления газов, инерции и центробежными, а также
получает нагрузки от крутильных колебаний.
Коленчатые валы
изготовляют из углеродистой стали штамповкой или отливкой из чугуна; последние
получаются более износостойкими. Шейки коленчатого вала подвергаются
поверхностной закалке токами высокой частоты на глубину 1-2 мм, шлифовке и
полировке.
Коленчатый вал состоит
из коренных 2 и шатунных шеек 7, щек 11, фланца 8 для крепления маховика, носка
1 для установки на нем распределительной шестерни. Шатунная шейка и прилегающие
к ней щеки образуют кривошип (колено). На валах могут быть противовесы 6,
предназначенные для разгрузки коренных подшипников от центробежных сил инерции
неуравновешенных масс кривошипа и нижней части шатуна.
Коренные шейки вала
обычно более нагружены, поэтому они имеют диаметр больший, чем шатунные. Для
уменьшения веса вала и нагрузок на коренные подшипники в шатунных шейках делают
полости 4, которые просверленными каналами 5 соединяются с коренными шейками
вала.
Полости 4 одновременно
служат резервуарами отстоя масла при его центробежной очистке. При работе
двигателя полости постепенно заполняются грязью и продуктами износа,
отделяющимися от масла под действием центробежной силы. Периодически полости
очищают, отвернув пробку 3 при снятых крышках и вкладышах подшипников. От
самопроизвольного отвертывания пробка предохраняется шплинтом.
Рис. 17. Коленчатые валы
двигателей
а -ЗИЛ-130; б -СМД-14.
Передний и задний
подшипники имеют сальниковые уплотнители, предупреждающие утечку масла; кроме
того, у заднего подшипника на валу устанавливается маслосбрасывающий гребень 10
и маслоотгонная спиральная канавка 9. В высокооборотных двигателях шатунные
шейки под действием инерционных сил возвратно-поступательных масс нагружаются
больше коренных. Для придания жесткости коленчатому валу делают перекрытие
шатунных и коренных шеек.
Расположение кривошипов
вала зависит от числа и расположения цилиндров двигателя с учетом обеспечения
равномерности чередования рабочих тактов. Кривошипы вала располагают под
определенным углом, который для четырехтактных двигателей определяется
отношением

На рис. приведены
коленчатые двигатели ЗИЛ-130 и СМД-14. В кривошипно-шатунном механизме
действуют силы. При положении поршня в в. м. т., когда шатун с кривошипом расположены
на вертикальной линии, сила Р давления газов, действуя на шатун и кривошип,
передается на коренные подшипники вала, не вызывая его поворота. При повороте
коленчатого вала на некоторый угол сила Р
разлагается на две
составляющие: силу F, действующую по шатуну, и силу N, направленную
перпендикулярно стенке цилиндра (нормальная сила). Перенеся силу F по линии ее
действия к центру шатунной шейки и затем разложив ее на две составляющие,
получим касательную силу Т, действующую по окружности вращения шатунной шейки,
и радиальную силу R, направленную по кривошипу к центру вала.
Действуя на плечо г
(радиус кривошипа), сила Т создает вращение коленчатого вала. Нормальная сила N
прижимает поршень к стенке цилиндра, увеличивая трение поршня и износ цилиндра
двигателя; кроме того, сила N, действуя на плечо а, создает опрокидывающий
момент, стремящийся опрокинуть двигатель в сторону, обратную вращению
коленчатого вала. Сила R, действующая по кривошипу, создает давление на
коренные подшипники вала. Опрокидывающий момент, образуемый нормальной силой N,
воспринимается подвеской двигателя и рамой трактора или автомобиля.
В некоторых двигателях
для уменьшения действия нормальной силы N ось коленчатого вала смещают на
величину m (у двигателей ГАЗ - до 3 мм); такой кривошипно-шатунный механизм
называется дезаксиальным. При этом давления на стенку цилиндров несколько
выравниваются: на левую стенку давление уменьшается, а на правую, менее
нагруженную, увеличивается.
Указанные силы при
работе периодически меняются по величине и направлению и наибольшего значения
достигают при рабочем ходе. Кроме этих сил, в двигателе действуют силы инерции,
возникающие от неравномерности движения частей шатунно-поршневой группы, а
также центробежные силы.
Уравновешенным
двигателем называется такой, у которого силы и моменты, действующие на его
остов при установившемся режиме, постоянны по величине и направлению.
Большой
неуравновешенностью отличаются одноцилиндровые двигатели. Для улучшения их
работы применяются специальные уравновешивающие механизмы.
Заключение
Дальнейшее развитие
двигателей дорожных машин будет направлено на обеспечение роста
производительности машины, на которой этот двигатель установлен; сокращение
энергозатрат на их выполнение; уменьшение затрат труда на изготовление, техническое
обслуживание и ремонт двигателя, снижение расхода металла, эксплуатационных
материалов; облегчение условий труда персонала и управления двигателем;
улучшение экологических характеристик. Достижение более совершенных показателей
возможно на основе применения прогрессивных конструктивных схем, рабочих
процессов, конструкций систем узлов и деталей. Уже сейчас требует практического
решения применение наддува. Это будет обеспечивать рост агрегатной и литровой
мощности, улучшение массогабаритных показателей, топливной экономичности.
Большие перспективы здесь имеет применение электронного регулирования и
устройств, использующих микропроцессорные схемы.
Список литературы
Яковлев Н.А. Автомобили (устройство). Учеб. пособие для вузов. М.,
«Высшая школа», 1991. 336 с.