Рынок автомобильных заправочных станций
СОДЕРЖАНИЕ
Введение
. Технологическая часть
.1 Краткая характеристика участка
.2 Исходные данные проекта
.3 Классификация и назначение АЗС
.4 Планировочные решения размещения сооружений и оборудования
АЗС
.5 Технологическое оборудование АЗС
.6 Производственные операции на АЗС
.6.1 Прием нефтепродуктов
.6.2 Хранение нефтепродуктов
.6.3 Отпуск не нефтепродуктов
.6.4 Характеристика технологической схемы производства в
целом и отдельных параметров технологического процесса
.7 Потребности в основных видах ресурсов для технологических
нужд
.8 Источники поступления сырья и материалов
.9 Требования к параметрам и качественным характеристикам
продукции
.10 Характеристики технологических процессов и оборудования
участка ЖМТ
.10.1 Резервуары хранения топлива
.10.2 Система предотвращения переполнения топливных
резервуаров и локализация проливов
.10.3 Технологическое оснащение топливных резервуаров
.10.4 Полупогружной турбинный насосный агрегат марки Fe Petro
.10.5 Топливные раздаточные колонки технологические островки
.10.6 Аварийный резервуар. Система сбора аварийных проливов
.10.7 Сливная ванна
.10.8 Система деаэрации резервуаров
.10.9 Технологические трубопроводы
. Расчетная часть
.1 Расчет продолжительности слива бензина из автоцистерны
самотеком
.2 Гидравлический расчет всасывающей линии трубопровода
.3 Расчет на прочность полиэтиленовых труб
.3.1 Расчетные характеристики полиэтиленовых труб
.3.2 Расчет нагрузок и воздействий на трубопровод
.3.3 Проверка прочности и устойчивости подземных
трубопроводов
.4 Расчет оболочки резервуара
.5 Расчет днища резервуара на прочность
.6 Физические свойства СУГ
. Экономическая часть
.1 Методика оценки экономической эффективности инвестиционных
проектов
.1.1 Показатели эффективности инвестиционных проектов
.2 Сметная стоимость строительства и система сметных
нормативов в строительстве
.2.2 Элементы сметной стоимости строительных и монтажных
работ
. Безопасность и экологичность проекта
.1 Общие сведения о проектируемом объекте
.2 Промышленная безопасность
.2.1 Санитарно - защитные мероприятия
.2.2 Опасные свойства бензина
.2.3 Оказание первой помощи при отравлении парами бензина
.2.4 Меры безопасности при работе с дизельным топливом
.2.5 Охрана труда и техника безопасности
.2.6 Требования охраны труда в аварийных ситуациях
.2.7 Организация и условия труда работников АЗС
.3 Мероприятия по предотвращению пожаров
.3.1 Общие требования пожарной безопасности
.3.2 Здание операторной и мойки автомобилей
.3.3 Технологическая площадка АЗС
.4 Охрана окружающей среды
.4.1 Воздействия объекта на атмосферный воздух и
характеристика источников выброса загрязняющих веществ в период эксплуатации
.4.2 Складирование (утилизация ) отходов
.4.3 Условия хранения отходов на площадке
.4.4 Мероприятия направленные на минимизацию воздействия
отходов на окружающую природную среду
.5 Защита сооружений от прямых ударов молнией
Заключение
Список использованной литературы
Введение
Впервые
бензин и другие виды топлива, такие как бытовой газ, начали продавать в
аптеках, для хозяина аптеки это был дополнительный источник заработка и
считался побочным бизнесом. Первой газобензиновой станцией была аптека в городе
Вислох
<https://ru.wikipedia.org/wiki/%D0%92%D0%B8%D1%81%D0%BB%D0%BE%D1%85>
(Германия <https://ru.wikipedia.org/wiki/%D0%93%D0%B5%D1%80%D0%BC%D0%B0%D0%BD%D0%B8%D1%8F>),
где Берта Бенц
<https://ru.wikipedia.org/wiki/%D0%91%D0%B5%D1%80%D1%82%D0%B0_%D0%91%D0%B5%D0%BD%D1%86>
жена Карла Бенца наполнила бак первого автомобиля, на котором она совершила
первое путешествие из Мангейма <https://ru.wikipedia.org/wiki/%D0%9C%D0%B0%D0%BD%D0%B3%D0%B5%D0%B9%D0%BC>
в Пфорцгейм
<https://ru.wikipedia.org/wiki/%D0%9F%D1%84%D0%BE%D1%80%D1%86%D0%B3%D0%B5%D0%B9%D0%BC>
и обратно в 1888 году. В 2008 году Берте Бенц установили мемориальную табличку
в память об этом событии <https://ru.wikipedia.org/wiki/%D0%90%D0%B2%D1%82%D0%BE%D0%BC%D0%BE%D0%B1%D0%B8%D0%BB%D1%8C%D0%BD%D0%B0%D1%8F_%D0%B7%D0%B0%D0%BF%D1%80%D0%B0%D0%B2%D0%BE%D1%87%D0%BD%D0%B0%D1%8F_%D1%81%D1%82%D0%B0%D0%BD%D1%86%D0%B8%D1%8F>.
Отдельно
стоящие «станции для автомобилистов» появились в США в начале ХХ века. Первые
заправки представляли собой одну-две цистерны, стоящие на подпорках, от каждой
шли шланги, по которым бензин самотеком поступал в баки автомобилей. Реальный
рост и развитие бензо- заправок начался в 1920-е <https://ru.wikipedia.org/wiki/1920-%D0%B5>
гг. Число автозаправок, на которые мог въехать автомобиль, выросло
приблизительно с 12 000 в 1921 году до 143 000 в 1929. В это же время заправки
стали оснащаться крупными вывесками, комнатами отдыха, навесами и мощеными подъездными
путями. К концу 1920-х гг. деньги делались не только на бензине, но и на
продаже покрышек
<https://ru.wikipedia.org/wiki/%D0%90%D0%B2%D1%82%D0%BE%D0%BC%D0%BE%D0%B1%D0%B8%D0%BB%D1%8C%D0%BD%D0%B0%D1%8F_%D1%88%D0%B8%D0%BD%D0%B0>,
аккумуляторов <https://ru.wikipedia.org/wiki/%D0%90%D0%BA%D0%BA%D1%83%D0%BC%D1%83%D0%BB%D1%8F%D1%82%D0%BE%D1%80>
и запчастей. Вошел в употребление и получил широкое распространение новый тип
насоса: бензин поступал наверх, в стеклянный резервуар, так что покупатель мог
убедиться в его чистоте, а затем по шлангу в бензобак автомобиля.
На сегодняшний день перспективы бизнеса на Автомобильных Заправочных
Станций (АЗС) очень велики не только в России, но и по всему миру в целом.
Сеть заправочных станций в основном сформировалась в Москве, сегодня это
число превышает цифру 1600 и можно ожидать их технического совершенствования и
расширения функциональности, то в других регионах России, в том числе и
Татарстан, процесс формирования разветвленной сети станций еще в процессе
становления. Конкуренция в бензиновом бизнесе весьма острая, но строительство
АЗС с каждым годом продолжает расти. Огромная территория Российской Федерации,
требует развития и укрепления транспортной сети дорог для наращивания
транспортных потоков. По методике Мирового банка России при росте ВВП на 7%
потребуется возводить до 17 тысяч километров новых дорог, что в 10 раз больше,
чем строится сейчас. Это потребует, в том числе и развитие сети АЗС с
сопутствующими услугами.
Кроме того большинство АЗС основано на автобензине и дизельном топливе,
но в последнее время в России увеличивается потребность автомобилей работающих
на газе. Применение сжиженного углеводородного газа (пропан-бутан) в качестве
моторного топлива позволяет улучшить экологические характеристики автомобильного
транспорта, что особенно важно для крупных городов. Стоимость СУГ ниже
стоимости бензина АИ-98, что обуславливает рост популярности автомобилей
потребляющий данный вид топлива.
Наши АЗС в сегменте дополнительных товаров в числе лидеров. Продажа топлива
формирует 60% прибыли, 40% приходится на сопутствующие товары. Если говорить об
объеме продаж, на топливо приходится 70% поступлений денег. Но Европе,
наоборот, основную прибыль приносят сопутствующие товары. Клиент приезжает на
заправку за топливом, а все остальные его покупки продиктованы импульсом. Жарко
- купил бутылку минеральной водички, надо взбодриться - заказал кофе. Каждая
наша АЗС в день продает около 110 чашек кофе. Задача автозаправочных комплексов
- создать такой перечень услуг, чтобы потребительские импульсы возникали.
1. ТЕХНОЛОГИЧЕКАЯ ЧАСТЬ
1.1 Краткая характеристика участка
В административном отношении площадка изысканий расположена в районе г.
Челябинск, Курчатовский р-н, ул. Мастеровая (слева).
По физико-географическому делению территория населенного пункта
расположена в восточной части Южного Урала и представляет собой степную,
полого-холмистую местность
Климат - континентальный, с продолжительной умеренно-холодной
многоснежной зимой и умеренно теплым летом. Среднегодовая температура +2,8°.
Средняя температура января −18°, июля +18°.Средний абсолютный минимум
температуры воздуха составляет −41°, абсолютный максимум +38°. Устойчивый
переход температуры воздуха через 0° происходит 4-9 апреля весной и 24-29
октября - осенью. Число дней с положительной температурой воздуха 200-205. В
год выпадает 300-600 мм осадков. 60-70 % осадков выпадает в тёплое время года
(с апреля по октябрь). На летние месяцы приходится максимум суточного
количества осадков (78-86 мм). Снежный покров обычно появляется в середине
октября. Средняя дата установления снежного покрова - 3-13 ноября. Средняя дата
схода снежного покрова 14-24 апреля. Число дней со снежным покровом составляет
171-177. Средняя и наибольшая высота снежного покрова 36-55 см, максимальная высота
может достигать 106-126 см. Средняя плотность снежного покрова при наибольшей
высоте 240-300 кг/м3.
Согласно карте климатического районирования исследуемая площадка
расположена в строительно-климатической зоне - IB. Расчетная температура
наружного воздуха - -34С.
Геологическое строение участка характеризуется, залеганием
пролювиально-делювиальных отложений кайнозоя, представленных глинистыми
грунтами.
Участок работ характеризуется нормативной глубиной сезонного промерзания
глинистых грунтов - 1,9 м, дресвяно-щебенистых - 2,34м.
В районе метеостанции в течении года преобладают южные, юго-западные и
северо-западные ветры. Среднемесячная скорость ветра в течении года колеблется
от 1,6 до 2,6 м\сек. За год в среднем выпадает 413 мм осадков.
1.2 Исходные данные проекта
Разделом технологической части проекта предусмотрено: построение
генерального плана участка, принципиальной схемы работы АЗС, технологической
обвязки оборудования для жидкого моторного топлива и сжиженного углеводородного
газа, трубопроводы наружной обвязки и план прокладки трубопроводов, подбор
емкостей для хранения и выдачи ЖМТ и СУГ, насосов, вида топливораздаточных
колонок.
В качестве исходного материала использованы:
пропускная способность участка выдачи ЖМТ;
пропускная способность участка выдачи СУГ;
годовой объем реализации топлива на АЗС;
объем хранимого топлива на АЗС;
число топливо-раздаточных колонок.
1.3 Классификация и назначение АЗС
Автозаправочная станция - комплекс зданий, сооружений и оборудования,
ограниченный участком площадки и предназначенный для заправки транспортных
средств моторным топливом.
По количеству оказываемых услуг АЗС подразделяются на собственно
заправочные станции, осуществляющие только заправку автотранспорта топливом и
маслами, и автозаправочные комплексы, на которых помимо заправки автотранспорта
топливом и маслами осуществляется его техническое обслуживание, мойка,
расположены магазин, кафе, ресторан.
Принята следующая классификация АЗС:
а) традиционная автозаправочная станция - АЗС с подземным расположением
резервуаров для хранения топлива, технологическая схема которой характеризуется
разнесением резервуаров и топливораздаточных колонок (ТРК);
б) блочная автозаправочная станция - АЗС с подземным расположением
резервуаров для хранения топлива, технологическая схема которой
характеризуется размещением ТРК над блоком хранения топлива, выполненным как
единое заводское изделие;
в) модульная заправочная станция - АЗС с надземным расположением
резервуаров для хранения топлива, технологическая схема которой характеризуется
разнесением ТРК и контейнера хранения топлива, выполненного как единое
заводское изделие;
г) передвижная автозаправочная станция - АЗС, предназначенная для
розничной продажи топлива, мобильная технологическая система которой
установлена на автомобильном шасси, прицепе или полуприцепе и выполнена как
единое заводское изделие;
д) контейнерная автозаправочная станция - АЗС с надземным расположением
резервуаров для хранения топлива, технологическая система которой
характеризуется размещением ТРК в контейнере хранения топлива, выполненном как
единое заводское изделие.
е) автомобильная газозаправочная станция - АЗС, на территории которой
предусмотрена заправка баллонов топливной системы: грузовых, специальных и
легковых автомобилей сжатым природным газом, используемым в качестве их
моторного топлива.
ж) многотопливная автозаправочная станция - АЗС на территории которой
предусмотрена заправка транспортных средств несколькими видами топлива, среди
которых допускается жидкое моторное топливо (бензин, керосин), сжиженный газ
(сжиженный пропан-бутан) и сжатый природный газ.
1.4 Планировочные решения размещения сооружений
и оборудования АЗС
Автозаправочная станция располагается преимущественно с подветренной
стороны ветров преобладающего направления (по годовой «розе ветров») вне
населенного пункта[10].
Планировка автозаправочной станции осуществляется с учетом размещения на
ее территории зданий и сооружений из условия рационального размещения
инженерных коммуникаций, с условием полного исключения возможности растекания
аварийных проливов топлива как на территории АЗС, так и за ее пределы. На
въезде и выезде с территории выполнены пологие участки высотой 0,3м и дренажные
лотки, отводящие атмосферные осадки, загрязненные нефтепродуктами, в очистные
сооружения.
При проектировании многотопливной АЗС учитываются минимальные расстояния
до объектов к ней не относящихся в соответствии с таблицей 1.
Таблица 1 - Минимальные расстояния от АЗС до объектов к ней не
относящихся
|
Наименование объектов, до
которых определяется расстояние
|
Расстояние,м (с учетом СУГ)
|
|
Производственные, складские
и административно-бытовые здания и сооружения промышленных предприятий
|
40
|
|
Лесные массивы хвойных и
смешанных пород
|
50
|
|
Лесные массивы лиственных
пород
|
25
|
|
Жилые и общественные здания
|
60
|
|
Места массового пребывания
людей
|
60
|
|
Автомобильные дороги общей
сети I, II и III категории
|
25
|
|
Автомобильные дороги общей
сети IV и V категории
|
20
|
|
Железные дороги общей сети
|
40
|
|
Очистные канализационные
сооружения и насосные станции, не относящиеся к АЗС
|
60
|
|
Склады лесных материалов,
торфа, волокнистых горючих веществ, сена, соломы, а также участки открытого
залегания торфа
|
50
|
Так же при проектировании особое внимание уделяется расстоянию между
зданиями и сооружениями АЗС: от стенок резервуаров для хранения топлива и аварийных резервуаров,
наземного и надземного оборудования, в котором обращается топливо и его пары,
корпуса ТРК и раздаточных колонок СУГ, границ площадок для автоцистерны и
технологических колодцев, от стенок технологического оборудования очистных
сооружений, от границ площадок для стоянки транспортных средств и от наружных
стен и конструкций зданий АЗС.
Схема генерального плана АЗС предусматривает одностороннее движение
автомобилей, при этом въезд и выезд разносторонние. Так же учитываются:
- возможность заправки топливом автотранспортных средств с
левосторонним, правосторонним и двухсторонним расположением топливных баков;
минимальная протяженность коммуникаций топлива;
оптимальные радиусы поворота для автотранспорта.
Принципиальная технологическая схема АЗС представлена на рисунке 1.
Топливо на АЗС завозится бензовозами и сливается через герметичные
быстроразъемные муфты и фильтры. Сливные устройства установлены на специальной
площадке. Сливные трубопроводы прокладываются подземно с уклоном в сторону
резервуаров. Для обеспечения слива бензина без его перелива на территории АЗС
предусмотрен аварийный резервуар, объем которого должен быть не менее, чем на
10% превышать объем используемых для завоза топлива автоцистерн. Аварийный
резервуар оснащается тем же оборудованием, что и резервуары для топлив.
Рисунок 1 - Принципиальная технологическая схема АЗС
- резервуар для приема и хранения топлива; 2 - резервуар для сбора
аварийных проливов; 3 - ТРК; 4 - сливная ванна; 5 - дыхательный клапан; 6 -
огневой предохранитель; 7 - линия наполнении резервуаров; 8 - линия выдачи; 9 -
линия рециркуляции.
1.5 Технологическое оборудование АЗС
К основному технологическому оборудованию относятся резервуары и
резервуарное оборудование, ТРК с аппаратурой управления и контроля,
технологические трубопроводы (рисунок 2).
Рисунок 2- Схема установки технологического оборудования АЗС.
1-топливораздаточная колонка (ТРК),2 - фланец, 3 - трубопровод подачи
топлива, 4 - задвижка для нефтепродуктов, 5 - огневой предохранитель, 6 -клапан
приемный, 7- замерный трубопровод, 8 - люк замерный, 9 - клапан дыхательный
совмещенный, 10 - уровнемер, 11 - трубопровод налива, 12 - огневой
предохранитель, 13 - электромагнитный клапан отсечки, 14 - фильтр грубой
очистки, 15 - муфта сливная, 16 - сливной колодец, 17 - технологическая шахта,
18 - вентиляционная решетка, 19 - железобетонный колодец, 20 - ложемент, 21 -
резервуар одностенный.
1.6 Производственные операции на АЗС
К основным производственным операциям, выполняемым на АЗС,
относят: прием, хранение, отпуск, замер и учет нефтепродуктов, оформление
товарно-транспортной документации
1.6.1 Прием нефтепродуктов
Доставка нефтепродуктов на АЗС осуществляется автомобильным или, в редких
случаях, железнодорожным и трубопроводным транспортом.
Перед началом слива нефтепродуктов оператор обязан:
убедиться в исправности технологического оборудования и
трубопроводов;
убедиться в исправности резервуара и правильности переключения
запорной арматуры, соответствии полученного нефтепродукта продукту,
находящемуся в резервуаре, в который он будет слит;
прекратить заправку машин из резервуара до окончания слива в
него нефтепродукта из цистерны;
измерить уровень и температуру нефтепродукта в резервуаре;
убедиться в наличии и исправности средств пожаротушения,
правильности заземления автоцистерны и исправности ее сливного устройства;
принять меры по предотвращению разлива нефтепродукта;
убедиться, что двигатель автоцистерны выключен (при сливе
самотеком или насосом АЗС);
проверить уровень заполнения до планки и убедиться в отсутствии
воды с помощью водочувствительной ленты перед сливом нефтепродукта из цистерны,
если цистерна не опломбирована;
отобрать пробу из цистерны и измерить температуру нефтепродукта
в ней.
Перед сливом нефтепродукта в резервуар отбирают пробу из отстойника
автоцистерны на наличие воды и механических примесей в нефтепродукте. Проба
берется в стеклянную тару, к которой прикрепляется табличка с указанием номера
АЗС, марки нефтепродукта, номера товарно-транспортной накладной, номер
автоцистерны.
В опломбированных автоцистернах подтоварную воду не проверяют, а
проверяют сохранность пломб.
В автомобильной цистерне, не имеющей посантиметровой градуировочной
таблицы, уровень нефтепродукта не замеряется, а объем определяется по паспорту
цистерны полноте её заполнения. Цистерна должна быть заполнена по планку (на
горловине цистерны приваривается планка, указывающая уровень наполнения
цистерны) При отклонении уровня бензина в автоцистерне от планки (контрольной
риски), например, из-за колебания температуры нефтепродукта в пути, измерение
объема нефтепродукта в пределах горловины цистерны следует определять с учетом
коэффициентов объемного расширения.
Правилами защиты от статического электричества предусматривается
заземление автоцистерны перед сливом из нее нефтепродуктов. Из-за опасности
искрообразования при подсоединении «заряженной» автоцистерны
к заземляющему устройству заземление необходимо выполнять вне взрывоопасной
зоны медным проводом, причем его сначала необходимо присоединить к
автоцистерне, а затем к специальному выводу заземляющего контура АЗС с помощью
болтового зажима.
При сливе нефтепродукта самотеком или насосом АЗС двигатель автоцистерны
должен быть выключен автотранспортное средство поставлeно тормоз, водитель не
должен находиться в кабине автомобиля.
Во время слива не допускается движение автотранспорта на расстоянии менее
8 м от сливных муфт резервуаров.
1.6.2 Хранение нефтепродуктов
Нефтепродукты на АЗС хранятся в подземных и наземных металлических
резервуарах. Время хранения нефтепродуктов на АЗС не установлено, т.е. завоз
топлива производится по мере его реализации.
Все изменения о расположение резервуаров, колонок, трубопроводов и арматуры
должны производиться в соответствии с документацией, утвержденной главным
инженером предприятия, которому подчиняется АЗС и вносится в технологическую
схему АЗС.
Технические средства сбора отработанных нефтепродуктов должны
обеспечивать их сохранность при хранении, транспортировке и приемо-сдаточных
операциях.
1.6.3 Отпуск нефтепродуктов
Заправка автомобилей и других транспортных средств производится через
топливораздаточные колонки.
На АЗС при отпуске нефтепродукта, обязаны:
следить за исправностью и нормальной работой колонок;
требовать от водителя заправляемого транспорта наблюдения
заходом заправки, не допуская переливов нефтепродуктов и нарушения правил
пожарной безопасности на АЗС;
определять ежемесячно погрешность работы колонок с помощью образцовых
мерников 2 разряда; фактическую относительную погрешность колонок (в процентах)
записывать, в сменном отчете в графе «погрешность колонки», со знаком «+», если
колонка недодает нефтепродукт (разность показаний дозы по счетному ycтpoйству и
по шкале на горловине мерника положительна), и со знаком «-» если колонка
«передает» нефтепродукт.
поддерживать чистоту на территории и внутри помещения АЗС.
Поверка топливораздаточных колонок проводиться в соответствии с
существующими нормативными документами. Колонки, не удовлетворяющие требования
указанных нормативных документов, к эксплуатации не допускаются.
1.6.4 Характеристика технологической схемы производства в целом и
отдельных параметров технологического процесса
Производительность проектируемого участка приема, хранения и выдачи ЖМТ -
200 заправок в сутки, режим работы МАЗС - круглосуточный. На проектируемом
участке предполагается производить заправку легковых и грузовых автомобилей
следующими видами топлива: бензинами марок Аи-92, Аи-95, Аи-98 и дизельными
топливами ДТз и ДТ.
Хранение ЖМТ предусмотрено в двух проектируемых подземных двустенных
резервуарах. Подачу топлива из резервуаров на ТРК предлагается производить при
помощи насосов, расположенных в технологических шахтах резервуаров.
Характеристика принятой технологической схемы участка выдачи ЖМТ
Для слива ЖМТ в топливные резервуары на МАЗС предполагается использовать
автоцистерны (АЦ) с рекуперацией паров, оборудованные донными клапанами, с
объемом АЦ не более 9,0 м³. При использовании многосекционной АЦ, объем одной
секции не должен превышать 9,0 м³. Слив в резервуары производится
самотеком. Применение прицепов автоцистерн для доставки нефтепродуктов на МАЗС
не допускается. Запрещается нахождение на территории МАЗС двух и более
автоцистерн.
Хранение топлива осуществляется в подземных двухстенных резервуарах. Для
обеспечения транспортных габаритов технологические шахты выполнены с
телескопическими элементами. Окончательная сварка и герметизация швов
технологических шахт ведется на строительной площадке после установки
резервуара на проектную высотную отметку.
Контроль герметичности межстенного пространства двустенных топливных
резервуаров ведётся по уровню тосола в расширительных бачках объемом 25 л,
расположенных в технологических шахтах - по одному расширительному бачку на
каждый резервуар.
Слив топлива в резервуары хранения осуществляется из автоцистерн, которые
устанавливаемых на специальную проектируемую канализованную площадку для АЦ.
Слив производится через узел слива, оснащенный сливной быстроразъёмной муфтой,
сетчатым фильтром, шаровым краном и топливным гидрозатвором. Все узлы слива
располагаются в сливной ванне - по одному на каждый вид топлива.
Каждый отсек резервуара обеспечивается линией деаэрации, которая
оборудуется дыхательным клапаном типа СМДК-50АА, совмещенный с огневым
предохранителем, расположенный на вертикальном стояке вентиляционной группой на
высоте не менее 4,5 м.
Заземление автоцистерны при сливе производится при помощи специального
устройства "УЗА", оснащенного системой автоматического контроля над
наличием заземления до начала и во время слива топлива из АЦ.
Для каждого отсека резервуара предусмотрены технологические люки,
выведенные в шахты резервуаров. В шахтах на крышке люков монтируются фланцы
приемной трубы (слива), фланцы выдачи топлива, уровнемера,
деаэрации-рециркуляции, замерной трубы для метрштока, обесшламливания, трубы
отбора проб, а также фланец для линии возврата паров топлива от ТРК в резервуар
с бензином, имеющим наименьшее октановое число.
Каждый отсек резервуара оснащен автоматизированной системой измерения
уровня типа OPW, обеспечивающей световую и звуковую
сигнализацию при 90%-ном заполнении и автоматическое закрытие отсечных клапанов
при 95%-ном заполнении резервуаров. Производится также периодический контроль
уровня топлива при помощи метрштока.
Метрштоки телескопического типа состоят их трех секций труб диаметром
30/28, 27/25, 24/27 мм. На трубах наносятся миллиметровые деления. На конец
нижнего звена метрштока устанавливается наконечник из цветного металла - для
долговечности и исключения искрообразования.
Подача топлива из резервуара на ТРК производится при помощи насосов марки
«Fe Petro 4”» типа STP производства Franklin
Fueling Systems (США) в количестве 5 шт., - по одному на каждый вид
топлива. Насосы устанавливаются в технологических шахтах на люки емкостей.
Напорные трубопроводы внутри шахты оснащаются шаровыми кранами,
огнепреградителями и соединительными трубопроводами. На приемной линии насоса
предусмотрен встроенный нижний обратный клапан. Насосное оборудование принято
во взрывозащищенном исполнении.
Задание конкретной дозы топлива и подготовку цепи включения насоса и ТРК
осуществляет оператор при помощи пульта дистанционного управления из помещения
операторной.
Включение топливораздаточной колонки производится при снятии пистолета и
выключение - при возврате его на место. Рукава выдачи топлива на ТРК
оборудованы разрывными муфтами.
Аварийное отключение колонок возможно, как на месте нажатия на рычаг
включения колонки, так и с пульта дистанционного управления, который находится
в помещении операторной с круглосуточным пребыванием персонала МАЗС.
Линии раздачи топлива на МАЗС предусмотрены напорные. Продуктовые
топливораздаточные колонки приняты фирмы "Gilbarco GmbH&Co.KG", Германия, (3 шт.). Корпус
технологического отсека ТРК выполнен из стального листа S=3 мм.
Для уменьшения количества выбросов паровоздушной смеси топлива в
атмосферу при выдаче топлива клиентам предусмотрена линия возврата
(газовозврата) паров "ТРК-Резервуар", а при сливе топлива из АЦ в
резервуары применена линия рециркуляции паров "Резервуар-АЦ". На
линии рециркуляции установлены запорная арматура и огнепреградитель (на
вентгруппе), обратный клапан и спускное устройство (в сливной ванне).
Для сбора возможных проливов топлива на площадку для АЦ при сливных
операциях и на случай аварийного слива топлива из АЦ (объемом секции до 9,0 м³)
предусмотрен одностенный
отсек объемом V=10 м³ в торце топливного резервуара.
Трубопроводы слива, деаэрации и выдачи топлива, а также возврата паров топлива
от ТРК приняты полиэтиленовые двустенные («труба в трубе») марки Ecosmart D-125/90 и D-75/63
производства NUPIGECO, Италия. Двустенные трубы
прокладываются подземно внутри песчаной подушки на глубине не менее 0,5 м до
верха трубы. Расстояние в свету между трубами принять не менее 50 мм. Радиус
естественного изгиба п/э двустенных труб принять 1,8-1,5 м.
Контроль герметичности двустенных полиэтиленовых труб ведется по наличию
давления инертного газа (азота) в межстенном пространстве трубопровода при помощи
электроконтактных манометров, расположенных в технологических шахтах емкостей.
Трубопроводы аварийного сброса с площадки АЦ и деаэрации отсека
резервуара для аварийных проливов приняты стальные по ГОСТ 8732-78. 20. Трубы
приняты с антикоррозионным покрытием, прокладываются подземно внутри песчаной
подушки на глубине не менее 0,6 м до верха трубы.
Арматура принята в соответствии с ГОСТ 54808-2011 с затвором класса «А»
со сроком эксплуатации 20 лет и соответствующего климатического исполнения.
1.7 Потребности в основных видах ресурсов для технологических нужд
Основные технологические показатели участка ЖМТ сведены в таблицу 1.
Таблица 1
|
№ п/п
|
Наименование показателей
|
Ед. изм.
|
Показатели
|
Примечание
|
|
1
|
Пропускная способность АЗС:
|
|
В час «пик»
|
Авт./час
|
136
|
|
|
В сутки
|
Авт./сут.
|
200
|
|
|
в год
|
Авт./год
|
45000
|
|
|
2
|
Годовой объем реализации
топлива:
|
|
бензин Аи-92
|
м3/год
|
1170
|
|
|
бензин Аи-95
|
м3/год
|
420
|
|
|
Бензин Аи-98
|
м3/год
|
400
|
|
|
Дизельное топливо ДТ-Евро
|
м3/год
|
390
|
|
|
Дизельное топливо ДТ
|
м3/год
|
620
|
|
|
Всего:
|
м3/год
|
3000
|
|
|
3
|
Объем хранимого топлива в
резервуарах:
|
|
Бензин Аи-92
|
м³
|
30
|
|
|
Бензин Аи-95
|
м³
|
10
|
|
|
Бензин Аи-98
|
м³
|
10
|
|
|
Дизельное топливо ДТз
|
м³
|
20
|
|
|
Дизельное топливо ДТ
|
м³
|
20
|
|
|
4
|
Всего объем резервуаров:
Общая вместимость резервуаров:
|
м³ м³
|
90 85,5
|
При 95% заполнении
|
|
Число ТРК:
|
|
|
|
|
Трехтопливная:
|
шт.
|
3
|
6-тирукавная
|
|
Всего:
|
шт.
|
3
|
|
|
5
|
Аварийный резервуар V=10
м³
|
шт.
|
1
|
Одностенный
|
1.8 Источники поступления сырья и материалов
Нефтепродукты
будут доставляться на проектируемую МАЗС с нефтебаз системы ОАО «Татнефть» или
ближайших нефтеперерабатывающих заводов и баз хранения автомобильного топлива,
расположенных в регионах РФ.
1.9 Требования к параметрам и качественным характеристикам продукции
Проектируемый участок приема, хранения и выдачи ЖМТ проектируемой МАЗС
предназначен для заправки легкового и грузового автотранспорта 5-ю видами
жидкого моторного топлива: Аи-92, Аи-95, Аи-98, ДТз и ДТ с параметрами,
представленными в таблицах 2.
Таблица 2
|
Темпер-ра вспышки °С
|
Плотность, г/см³
|
Температура самовоспламенения,
°С
|
Область воспламенения, %
|
Предельно допустимые
концентрации паров, мг/м³
|
|
Бензины
|
От -27 до -39
|
0,75
|
+255
|
0,76-5,16
|
100
|
|
Дизельное топливо
|
48
|
0,85
|
+210
|
2-3
|
300
|
Бензины для автомобильного транспорта (товарный нефтепродукт для
двигателей внутреннего сгорания) должны соответствовать ГОСТР Р 51105-97, ГОСТ
2084-77, дизельное топливо должно соответствовать ГОСТ 305-82.
1.10 Характеристики технологических процессов и оборудования участка
ЖМТ
Проектом предусмотрена установка оборудования и применение материалов
заводского и серийного производства, имеющих Сертификаты соответствия
технологии производства (в т.ч. - на импортное оборудование и материалы),
Разрешения на их применение и соответствующих климатическому исполнению района
строительства объекта.
Категории и классы зданий и сооружений проектируемой МАЗС определены в
соответствии с СП 12.13130.09 и представлены в таблице 3.
Таблица 3
|
Н а и м е н о в а н и е у с
т а н о в к
|
Категория установки по СП
12.13130.09
|
Класс установки по ПУЭ
|
Категория и группа
взрывоопасной смеси по ГОСТ Р 51330.2-99, ГОСТ Р 51330.5-99
|
|
ТРК ЖМТ
|
АН
|
В-1г
|
IIA-T3
|
|
Резервуары для приема и
выдачи ЛВЖ, подземные
|
АН
|
В-1г
|
IIA-T3
|
|
Вентиляционная группа,
Н=4,5м
|
АН
|
В-1г
|
IIA-T3
|
|
Сливная ванна
|
АН
|
В-1г
|
IIA-T3
|
|
Аварийный резервуар,
подземный
|
АН
|
В-1г
|
IIA-T3
|
|
Площадка для установки АЦ
|
АН
|
В-1г
|
IIA-T3
|
|
Здание операторной
|
Д
|
-
|
-
|
На проектируемом участке ЖМТ принято к установке следующее оборудование:
Резервуар хранения топлива - 2 шт.;
Насосные агрегаты марки Fe Petro 4” - 5 шт.;
Топливная раздаточная колонка (ТРК) - 4 шт.;
Сливная ванна - 1 шт.;
Система деаэрации (вентиляционная группа) - 1 шт.;
Технологические трубопроводы.
1.10.1 Резервуары хранения топлива
На участке ЖМТ проектируемой МАЗС предлагается установить стальные
двустенные двухсекционные подземные резервуары объемами V1=50(10+10+30)м3, V2=50(20+20+10)м3, (где отсек V=10м3 - одностенный, для приема
аварийных проливов). Все резервуары приняты производства ОАО ОМЗ
"Гидроспецстрой", г. Казань. Для каждого вида топлива (Аи-92, Аи-95,
Аи-98, ДТз, ДТ) и для аварийных проливов предусмотрено по одной секции
резервуара. Каждая секция оборудована технологической шахтой, в которую выведен
основной люк резервуара с крышкой для размещения на ней соответствующих
патрубков и технологического оборудования.
Межстенное пространство двустенных резервуаров заполняется тосолом, что
гарантирует высокую коррозионную стойкость внутренних оболочек резервуара и
обеспечивает высокую пожарную безопасность. Герметичность резервуаров
дистанционно и непрерывно контролируется уровнем тосола в межстенном
пространстве при помощи датчика-сигнализатора уровня жидкости в комплекте с
расширительным бачком объемом 25 л. Расширительный бачок располагается внутри
технологической шахты резервуара и соединяется при помощи гибких шлангов с
межстенным пространством резервуара. Верхний уровень тосола должен постоянно
находиться в расширительном бачке.
Наружная оболочка резервуаров и подземная часть технологических шахт
покрываются одним слоем направляемого битумно-полимерного рулонного материала
марки «Элабит» по грунтовке типа «Праймер П-001». Антикоррозионная защита
внутренней поверхности резервуаров обеспечивается нанесением маслобензостойкой
красно-коричневой эмали ВЛ-515 в один слой. Внутренняя и наружная изоляция резервуаров
выполнена в заводских условиях.
Вокруг горловин топливных резервуаров в заводских условиях установлены
герметичные квадратные стальные «юбки», на которые на строительной площадке
монтируются технологические шахты для размещения в них соответствующего
оборудования. Внутренняя поверхность и надземная часть технологических шахт
покрываются грунтовкой ГФ-021 в один слой.
1.10.2 Система предотвращения переполнения топливных резервуаров и
локализация проливов
Проектом предусмотрены мероприятия, исключающие переливы топлива при
сливных операциях «АЦ - Резервуар». При 90%-ном наполнении резервуара подаются
звуковой и световой сигналы от датчика верхнего уровня, а при 95%-ном
наполнении в течение не более 5с обеспечивается автоматическое прекращение слива
топлива при помощи поплавкового ограничителя налива ОН-80А, расположенного на
сливной трубе внутри резервуара. Для текущего контроля уровня ЖМТ на крышке
люка резервуара в каждой технологической шахте предусмотрены специальные фланцы
для установки измерительной системы на базе уровнемера «OPW» с выводом информации в
проектируемое здание операторной МАЗС. Для уровнемеров предусмотрены съемные
стальные кожухи с алюминиевыми крышками.
При сливе топлива в резервуары автоцистерна размещается на специальной
проектируемой бетонной канализованной площадке, огороженной бортовым камнем и
пандусами высотой 150мм. Доставка топлива на МАЗС предусматривается
автоцистернами объемом до 9 м³, либо многосекционными АЦ с объемом
одной секции не более 9 м³.
Сбор проливов нефтепродукта с площадки АЦ производится по трубопроводу
Ду-100 в специальный проектируемый отсек объемом 10 м³,
расположенный в торце
топливного резервуара. Запрещается хранение топлива в отсеке для аварийных
проливов.
Ливневые стоки с проектируемой площадки АЦ по отдельному трубопроводу
направляются в проектируемую систему ливневой канализации МАЗС и далее - на
проектируемые очистные сооружения.
1.10.3 Технологическое оснащение топливных резервуаров
Емкости хранения топлива представляют собой комплекс полной заводской
комплектации материалов и оборудования, расположенного внутри технологических
шахт. Горловины резервуаров выводятся в стальные технологические шахты с
крышками.
Все металлические элементы, установленные на крышке люка в
технологической шахте резервуара, покрыты порошковой эмалью в заводских
условиях.
На каждой крышке люка в шахте топливных резервуаров смонтировано:
полупогружной насосный агрегат марки Fe Petro 4”;
патрубок заполнения Ду-80 с ограничителем налива ОН-80А;
патрубок выдачи Ду-50 с огнепреградителем ОП-50 и шаровым краном
КШ-50-16;
патрубок деаэрации, оборудованный замерным люком и соединенный с
вентиляционной группой. Последняя оборудована огневыми предохранителями,
запорной арматурой и механическими клапанами типа СМДК, совмещенными с огневыми
предохранителями;
патрубок для отбора проб с герметичной откидной крышкой;
фланец под уровнемер;
Присоединение патрубков к крышке люка резервуара - разъемное, при помощи
фланцев по принципу «шип-паз» с маслобензостойкими прокладками и крепежными
изделиями. В поставке топливных резервуаров предусмотрены расширительные бачки V=25 л, которые предназначены для
проведения контроля над наличием определенного уровня тосола в межстенном
пространстве резервуара. Расширительные бачки (по одному расширительному бачку
на каждый резервуар) крепятся к стенке соответствующей технологической шахты
резервуара в процессе монтажа оборудования. Соединение расширительного бачка с
межстенным пространством резервуара производится при помощи специальных
штуцеров и гибких шлангов.
1.10.4 Полупогружной турбинный насосный агрегат марки Fe Petro
На основании задания на проектирование МАЗС к установке предлагаются
насосные агрегаты марки Fe Petro 4” (США) с маркировкой взрывозащиты
1ExdIIBT4X. Насосные агрегаты устанавливаются на крышку люка
резервуаров - по одному насосу на каждый вид топлива. На линии нагнетания
проектом предусмотрены запорная арматура, огнепреградитель марки ОП-50АА,
система контроля наличия давления инертного газа в межстенном пространстве
двустенных подающих трубопроводов. Все разъемные соединения в технологической
системе приняты фланцевые, типа «шип-паз».
Насосы имеют Сертификат соответствия технологии производства и
соответствуют климатическому исполнению района размещения.
Характеристика насосного агрегата STP 75 C VL 2:
Назначение - специальное, для подачи ЖМТ на ТРК
Производительность Q -
200 л/мин
Давление -Р-2.4 бар
Потребляемая мощность N -
0,55 кВт.
Напряжение U - 3ф/380B, 50 Гц.
Количество принятых к установке насосов - 2 шт.
Характеристика насосного агрегата STP 150 C VL 2:
Назначение - специальное, для подачи ЖМТ на ТРК
Производительность Q -
280 л/мин
Давление Р - 2,8 бар.
Потребляемая мощность N -
1,1 кВт.
Напряжение U - 3ф/380B, 50 Гц.
Количество принятых к установке насосов - 2 шт.
Конструкция агрегата исключает образование воздушных пробок в системе,
что обеспечивает бесшумную и непрерывную струю налива топлива в бак автомобиля
клиента и исключает режим кавитации в оборудовании и в трубопроводах. Наличие
системы сброса давления и автоматического контроля утечек исключает проливы
топлива при эксплуатации и ремонте насосного агрегата. Встроенная система
автоматического измерения уровня топлива в резервуарах обеспечивает работу
насосов в оптимальном режиме подачи топлива для заправки автомобилей.
Конструкция насосов предусматривает и местное, и дистанционное включение
насосов.
Дистанционное управление насосами осуществляется из помещения здания операторной
МАЗС. Предусмотрена возможность в любой момент прекратить выдачу ЖМТ как на
конкретной ТРК так и на всех ТРК одновременно. Исполнение насосов -
взрывозащищенное, со встроенным нижним обратным клапаном и с системой контроля
уровня топлива и в резервуарах, и в баке автомобилей клиентов МАЗС.
В каждой шахте резервуара предусмотрен автоматический контроль воздушной
среды с выводом сигнала в здание операторной МАЗС.
1.10.5 Топливные раздаточные колонки. Технологические островки
В проектной документацией предусмотрен монтаж топливораздаточных колонок
(ТРК) полной заводской готовности производства фирмы "Gilbarco GmbH&Co.KG" (Германия) в количестве 3-х
штук. К установке предлагается шестирукавные трехтопливные ТРК марки SK 700-2
OR 6/0/6 С DK VRS DP с газовозвратом, производительностью Q=6х40 л/мин (для
бензинов и дизеля), 1 шт.; шестирукавная трехтопливная ТРК марки SK 700-2 OR
6/0/6 С DK MS VRS DP с газовозвратом, производительностью Q1=4х70 л/мин
(для дизелей) и Q2=2х40 л/мин (для бензина), 1 шт.; SK 700-2 OR 6/0/6 С VRS DP
с газовозвратом, производительностью Q=6х40 л/мин (для бензинов), 1 шт.
ТРК устанавливаются на бетонные площадки (островки безопасности) высотой
200 мм, оборудованные дугами безопасности (см. раздел КР).
В составе ТРК предусмотрены: аварийные запорные клапаны BSPT фирмы OPW на входе в ТРК, трубопроводы выдачи топлива и
газовозврата, запорная арматура, огнепреградители, электрические коммуникации и
система автоматики, собранные в водонепроницаемых отсеках полной заводской
готовности, серийного производства.
Кроме того, колонки снабжены:
электронным счетным устройством;
газоотсекателем;
блокирующими разрывными муфтами на шланге топливораздаточных пистолетов;
заправочными пистолетами без возврата шланга, оборудованными системами
автоматического прекращения подачи топлива и системой возврата паров топлива из
бака клиента в резервуары;
самосрабатывающимися огнетушителями с плавкими предохранителями.
Аварийное отключение ТРК возможно как местное при помощи нажатия на рычаг
включения с колонки, так и с пульта управления, который находится в операторной
АЗС.
Присоединение модулей ТРК к подводящим топливным трубопроводам
производится в ваннах, расположенных на островках под ТРК. Наружная облицовка
наземной части островка под ТРК выполнена из нержавеющей листовой стали,
обеспечивающей его искробезопасность и эстетичный внешний вид.
Топливные раздаточные колонки имеют Сертификат соответствия Госстандартам
России, Разрешение на применение в данной технологии производства и
соответствуют климатическому исполнению района размещения.
1.10.6 Аварийный резервуар. Система сбора аварийных проливов
Для локализации всех возможных аварийных проливов и аварийного слива
топлива из АЦ предусмотрена канализованная бетонная площадка, огражденная по
периметру бортовым камнем, которая выполнена с уклоном в сторону приямка Пр-1.
Сбор аварийных проливов и поверхностных стоков с площадки - раздельный, по
трубопроводам, оснащенным быстроразъемными соединениями, расположенными в
приямке Пр-1.
В качестве аварийной емкости принят дополнительный одностенный отсек в
составе подземного двустенного топливного резервуара. Отсек оборудован
технологической шахтой, в которую выведен люк с крышкой, оборудованный
соответствующим патрубком для приема аварийных проливов.
Трубопровод отвода аварийных проливов заводится в аварийный резервуар до
глубины 100 мм от дна. До начала эксплуатации аварийный резервуар необходимо
заполнить водой на высоту 300 мм, для обеспечения гидрозатвора между аварийным
резервуаром и приямком Пр-1 площадки для АЦ. На крышке люка аварийного
резервуара предусмотрены также патрубки для зачистки и деаэрации резервуара.
1.10.7 Сливная ванна
Доставка топлива на участок ЖМТ производится автоцистернами. Слив
производится самотеком, закрытым способом через герметичные разъемные
соединения, смонтированные в сливной ванне. Сливная ванна расположена на
отметке, обеспечивающей уклон сливных трубопроводов не менее 0,003 в сторону
топливных резервуаров, выполнена из стального листа по каркасу из стальных
уголков (см. чертежи КМ4 раздела КР). Крышка сливной ванны принята из
искробезопасного алюминиевого сплава в соответствии с Каталогом ОАО «Татнефть»,
г. Альметьевск.
Система слива топлива размещается в сливной ванне в непосредственной
близости от площадки АЦ.
В сливной ванне предусмотрены:
линии слива продукта, оснащенные узлами слива (наполнения) УН-80 со
встроенной сливной муфтой, сетчатым фильтром и гидрозатвором. Линии слива
выполнены независимо для каждого вида топлива, обеспечены запорной арматурой и
соединяются трубопроводами с соответствующими отсеками резервуаров;
линия рециркуляции паров бензина, оснащенная узлом рециркуляции УПР-50 со
встроенным огнепреградителем, обратным клапаном и запорной арматурой. Линия
рециркуляции соединяется трубопроводом с соответствующим отсеком топливных
резервуаров (с бензинами) через систему запорной арматуры и огнепреградителей
вентиляционной группы;
приямок в основании сливной ванны для сбора возможных утечек топлива
внутри сливной ванны.
Для периодического опорожнения линии рециркуляции паров топлива
"Резервуар-АЦ" в сливной ванне предусматривается муфтовый вентиль с
накидной пробкой.
1.10.8 Система деаэрации резервуаров
Система деаэрации и рециркуляции паров ЖМТ топливных резервуаров сведена
в вентиляционную группу. Система запорной арматуры, расположенная на стояках
вентиляционной группы и в сливной ванне, обеспечивает возврат (рециркуляцию)
соответствующих паров топлива в АЦ: при сливе конкретного продукта в резервуар
линия рециркуляции всех резервуаров закрывается, кроме заполняемого резервуара.
В этом случае пары из заполняемого резервуара по газоуравнительной системе
возвращаются в автоцистерну. На линии рециркуляции устанавливается узел
подключения линии рециркуляции паров УПР-50, предназначенный для герметичного
соединения шланга АЦ с линией рециркуляции паров, а также для автоматического
перекрытия линии рециркуляции паров при их расстыковке. Конструкция УПР-50
(Рраб=0,015-0,02 МПа, Рмин=0,01 МПа) представляет собой сборку из патрубка,
оборудованного обратным клапаном для подключения шланга АЦ, огнепреградителем и
быстроразъёмной муфтой, которые располагается в сливной ванне.
Надземные трубопроводы деаэрации и рециркуляции паров (стояки) выведены
на 4,5 м над уровнем площадки, оборудованы механическими дыхательными клапанами
типа СМДК-50АА в комплекте с огневым предохранителем, запорной арматурой,
огнепреградителем и обратным клапаном на линии рециркуляции.
1.10.9 Технологические трубопроводы
Система технологических трубопроводов связывает между собой узел
наполнения (сливную ванну), парк хранения топлива (парк топливных резервуаров),
вентиляционную группу и все модули ТРК.
В соответствии с классификацией Постановления РФ № 390 проектируемые
трубопроводы отнесены к группе Б (б) и к категории III по давлению и температуре.
На участке ЖМТ проектируемой АЗС приняты к укладке как полиэтиленовые
гибкие двустенные, так и стальные трубы.
Трубопроводы слива и выдачи топлива, возврата паров топлива от ТРК и
деаэрации резервуаров приняты полиэтиленовые гибкие двустенные («труба в
трубе») марки Ecosmart, D-125/90 и D-75/63
производства NUPIGECO, Италия. Двустенные трубы
прокладываются подземно внутри песчаной подушки на глубине не менее 0,5 м до
верха трубы под проезжей частью. Полиамидный слой труб Ecosmart гарантирует практически нулевую
проницаемость, что обеспечивает рентабельность, безопасность и экологичность
постоянно заполненных трубопроводов. Соединительные детали (отводы, тройники,
переходы, муфты) приняты также двустенные. Соединение элементов полиэтиленовых
трубопроводов производится методом пайки. Расчетный ресурс двустенных
полиэтиленовых труб составляет 30 лет.
По окончании монтажа и испытаний межстенное пространство двустенных труб
необходимо заполнить инертным газом от передвижных газобаллонных установок.
Контроль давления инертного газа в межстенном пространстве производить при
помощи магнитно-контактных манометров, установленных в технологических шахтах
топливных резервуаров. Показания манометров выведены в операторную МАЗС (см.
черт. АК подраздела ИОС3).
Трубы стальные бесшовные горячедеформированные предусмотрены для
трубопровода аварийного слива топлива и для трубопровода деаэрации аварийного
резервуара, прокладываемых подземно. Стальные трубы Ду-50 и 100 мм приняты по
ГОСТ 8732-78 из стали марки 20, поставки группы Б, ГОСТ 8731-74. Сварку
стальных труб производить электродами Э-42А по ГОСТ 9467-75.
Надземные стальные трубы (внутри технологических шахт, вентиляционной
группы) окрасить эмалью ПФ-115 для наружных работ по ГОСТ 6465-76, в сливной
ванне - маслобензостойкой эмалью ВЛ-515 ТУ 6-10-1052-75 в два слоя по одному
слою грунтовки ВЛ-02, ГОСТ 12707-77. Подземные участки стальных труб покрыть в
соответствии с требованиями ГОСТ Р 51164-98 двумя слоями ленты полиэтиленовой
дублированной ЛДП (ТУ 102-376-84) по одному слою грунтовки ГТ-760 ИН (ТУ
102-340-83), предварительно очистив и обезжирив защищаемую поверхность.
Монтаж и испытание трубопроводов и арматуры производить по СНиП
3.05.05-84, Постановлению РФ № 390 и в соответствии с указаниями по монтажу
труб фирмы NUPIGECO (Италия). Давление гидравлического
испытания Рисп=1,5Рраб, для стальных труб и Рисп=1,25Рраб для полиэтиленовых
труб (СНиП 3.05.05-84). Максимальное рабочее давление для подающих
трубопроводов Рраб=2,8 кгс/см² (для ДТ) и Рраб=2,4 кгс/см²
(для бензинов). Давление
испытания для трубопроводов слива, газовозврата, рециркуляции и деаэрации
принять 2,0 кгс/см². Полиэтиленовые трубопроводы испытывать по истечении
24-х часов после окончания сварочных работ.
2. РАСЧЕТНАЯ ЧАСТЬ
2.1 Расчет продолжительности слива бензина из автоцистерны
самотеком выполняется по методике 
Исходные
данные:
Марка
автоцистерны АЦ-8,5-255Б;
Длина
приемного трубопровода резервуара 
Диаметр
приемного трубопровода резервуара 
м;
Длина
сливного патрубка 
Диаметр
сливного патрубка 
h(0)=4;
Давление
при сливе нефтепродукта S=53000 Па;
Плотность
бензина 
Потери
в трубопроводе 
Начальный
взлив в резервуаре АЗС равен 1,2м;
Объем
резервуара V=50
;
Резервуар
оснащен дыхательным клапаном СМДК-50.
Различием
диаметров местных сопротивлений и приемного трубопровода пренебречь, согласно
таблице 1.19
Для
АЦ-8,5-255Б находим А=2,17м; В=1,22м; 
при
подаче 
.
Для
дыхательного клапана СМДК-50
Коэффициент
гидравлического сопротивления рукава автоцистерны определяем по формуле
Рисунок
12 - Схема слива топлива из автоцистерны самотеком
Так
как течение бензина происходит в зоне смешанного трения турбулентного режима,
находим величину функции
Принимая
в первом приближении 
,
вычисляем коэффициент расхода сливной коммуникации по формуле 12.26
:
Параметры
приемного резервуара на АЗС согласно таблицы 1.9
:
диаметр 
Отсюда
начальный объем бензина в приемном резервуаре
Так
как вместимость автоцистерны равна 8,5
, то
после завершения слива объем бензина в приемном резервуаре станет равным 20,2
.
Следовательно, на момент окончания слива
Соответствующую
безразмерную высоту заполнения резервуара найдем из уравнения
Методом
последовательных приближений находим, что в данном случае 
=0,64.
Следовательно, изменение высоты взлива в резервуаре
Средняя
скорость нефтепродукта в начале и конце слива

,
Согласно
формуле 12.33
Средняя
скорость нефтепродукта в приемном трубопроводе
Число
Рейнольдса и коэффициент гидравлического сопротивления для приемного
трубопровода
Так
как в данном случае
и
то
в среднем слив происходит зоне квадратичного трения турбулентного режима и
поэтому
Уточненная
величина функции 
по
формуле
Уточненная
величина коэффициента расхода, согласно формулы 12.66
Так
вновь найденное значение 
отличается
от первоначального
Что
меньше допустимой погрешности инженерных расчетов (5%), а значит уточнять
величину средней скорости нет необходимости.
Площадь
сечения сливного трубопровода по формуле 12.32 
Время
полного слива автоцистерны
Угол
определяется
из формулы
2.2 Гидравлический расчет всасывающей линии
трубопровода
В
данном случае гидравлический расчет будем вести при средне -минимальной
температуре нефтепродукта.
Кинематическая
вязкость 
;
Длина
всасывающей линии L = 56,6 м;
Наружный
диаметр всасывающего трубопровода Dвс =0,063 м;
Толщина
стенки трубопровода 
м;
Геодезическая
отметка резервуара z рез = 255,4 м;
Геодезическая
отметка ТРК 
м;
Эквивалентная
шероховатость труб 
;
Производительность
насоса Q=0,0033
Таблица
3 - Местные сопротивления на всасывающей линии
|
Тип местного сопротивления
|
Количество
|
|
|
Фильтр
|
0
|
1,7
|
|
Задвижка
|
3
|
0,15
|
|
Поворотов
|
7
|
0,3
|
Находим внутренний диаметр трубопровода
Скорость движения потока
Число Рейнольдса для потока нефтепродуктов в трубопроводе
Критические значения числа Рейнольдса
Так
как 
, режим
турбулентный, т.е. поток нефтепродукта находится в области гидравлически
гладких труб, для которой коэффициент гидравлического сопротивления вычисляется
по формуле
Потери напора по длине трубопровода
Потери напора на местные сопротивления
Потеря напора на преодоление сил тяжести
Полная потеря напора на всасывающей линии
Проверка всасывающего трубопроводов на холодное кипение паров бензина.
Условие, которое должно выполнятся, чтобы не произошло срыва потока

Па -
давление насыщенных паров бензина при 26,9 С

Па -
атмосферное давление.
Условие
выполняется.
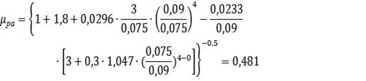
2.3 Расчет на прочность полиэтиленовых труб
.3.1 Расчетные характеристики полиэтиленовых
труб
Расчетное сопротивление материала труб R следует определять по формуле

,
где
RH-нормативное длительное сопротивление разрушению
материала труб из условия работы на внутреннее давление, RH
=1,3МПа;
KY-коэффициент
условий работы трубопровода, KY =0,5;
Кс-коэффициент
прочности соединения труб, Кс =0,95[13] .
Модуль
ползучести материала труб Е, принимается с учетом его изменения при длительном
действии нагрузки и температуры на трубопровод по формуле
где
Е0 - модуль-ползучести материала трубы при растяжении, Е0 =32 МПа,в зависимости
от проектируемого срока службы трубопровода и величины действующих в стенке
трубы напряжений;
Ке
- коэффициент, учитывающий влияние температуры на деформационные свойства
материала труб, Ке =0,40.
2.3.2 Расчет нагрузок и воздействия на трубопровод
При
расчете трубопроводов следует учитывать нагрузки и воздействия, возникающие при
их сооружении, испытании и эксплуатации.
Рассчитаем
нормативную нагрузку от массы 1 м трубопровода
где

T-плотность материала трубопровода, кг/м3;
D- наружный
диаметр трубы, м;
d-толщина стенки
трубы, м.
В
тех случаях, когда для трубопровода требуется устройство наружной изоляции, в
нормативную нагрузку qHT следует включать нагрузку от массы изолирующего слоя.
Нормативная
вертикальная нагрузка от давления грунта на трубопровод
где

ГР-
плотность грунта, кг/м3;
h-расстояние от
верха трубопровода до поверхности земли, м, назначаемое из условия исключения
возможности воздействия на трубопровод динамических нагрузок.
Нормативную
нагрузку от гидростатического давления грунтовых вод, вызывающую всплытие
трубопровода
где

В -
плотность воды с учетом растворенных в ней солей, Н/м3 (кгс/м3),
D - наружный
диаметр трубопровода с учетом изоляционного покрытия, м.
2.3.3 Проверка прочности и устойчивости подземных
трубопроводов
Подземные
трубопроводы следует проверять по прочности и деформациям поперечного сечения.
Расчетные
сопротивления материала труб для подземного трубопровода следует определять по
формуле
где
R-расчетное сопротивление материала труб;
К1
- коэффициент условий прокладки подземного трубопровода, принимаемый равным
0,8-для трубопроводов, прокладываемых в местах, труднодоступных для рытья
траншей в случае его повреждения; 0,9-для трубопроводов, прокладываемых под
усовершенствованными покрытиями; 1,0-для остальных трубопроводов.
Несущая
способность подземных трубопроводов должна проверяться путем сопоставления
предельно допустимых расчетных характеристик материала трубопровода с
расчетными нагрузками на трубопровод, при этом внешние, нагрузки приводятся к
двум эквивалентным противоположно направленным вдоль вертикального диаметра
линейным нагрузкам.
Полная
расчетная приведенная (эквивалентная) линейная нагрузка Рпр
где
Q - равнодействующие расчетных вертикальных нагрузок;
b - коэффициент
приведения нагрузок;
h - коэффициент,
учитывающий боковое давление грунта на трубопровод.

-
расчетная нагрузка на трубопровод от транспорта;

-
расчетная нагрузка на трубопровод от равномерно распределенной нагрузки на
поверхности засыпки.
Расчетная
нагрузка на трубопровод от транспорта
где
nтр - коэффициент перегрузки от транспортных нагрузок, hтр =1,4;
qНТР-нормативное
равномерно распределенное давление от транспорта, qНТР =10Н/м2;
D-наружный
диаметр трубопровода, м.
Расчетная
нагрузка на трубопровод от равномерно распределенной нагрузки на поверхности
засыпки
где
РГР-параметр, характеризующий жесткость засыпки, МПа (кгс/см2), рассчитываемый
по соотношению

.
подземный резервуар трубопровод гидравлический
РЛ-параметр,
характеризующий жесткость трубопровода
где
ЕГР -модуль деформации грунта засыпки, принимаемый в зависимости от степени
уплотнения грунта: для песчаных грунтов-от 8,0 до 16,0 МПа), для супесей и
суглинков-от 2,0 до 6,0 МПа), для глин-от 1,2 до 2,5 МПа;
Е
-модуль ползучести материала труб;
nP - коэффициент
перегрузки от нагрузок на поверхности грунта.
Значение
коэффициента приведения нагрузок b следует принимать
зависимости от способа опирания трубопровода на грунт:
а)
для нагрузок от давления грунта: при укладке на плоское основание-0,75; при
укладке на спрофилированное основание с углом охвата трубы 2а= 70°-0,55, 2а
=90°- 0,50, 2а = 120° - 0,45;
б)
для нагрузок от массы трубопровода и транспортируемого вещества: при укладке на
плоское основание - 0,75, при укладке на спрофилированное основание с углом
охвата трубы 2а = 75°- 0,35, 2а =90°- 0,30, 2а= 120°-0,25.
Величину
коэффициента h, учитывающего боковое давление грунта на трубопровод,
следует принимать в зависимости от степени уплотнения засыпки в пределах от
0,85 до 0,95.
Несущую
способность подземных трубопроводов по условию прочности следует проверять на
действие только внутреннего давления транспортируемого вещества, при этом
полное расчетное приведенное (эквивалентное) напряжение sпр, МПа (кгс/см2), вычисленное в соответствии с требованиями п. 5,18
должно удовлетворять неравенству
условие
выполняется.
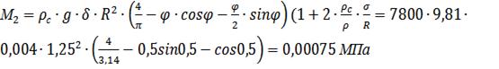
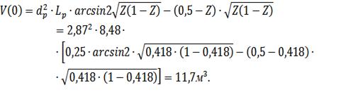
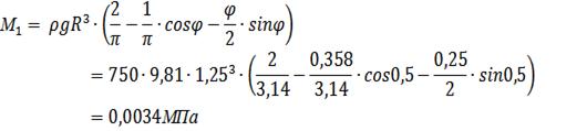
2.4 Расчет оболочки резервуара
В горизонтальной оболочке, покоящейся на сплошном основании, под
действием веса нефтепродукта и собственного веса возникают изгибающие
моменты М1, М2, стремящиеся сплющить оболочку - увеличить горизонтальный
диаметр. При наличии избыточного давления в стенках корпуса, возникают
равномерно распределенные растягивающие напряжения, способствующий сохранению
формы корпуса. Поэтому корпус резервуара, рассчитанный на действие изгибающих
моментов, обязательно должен быть проверен на растягивающие напряжения от
внутреннего избыточного давления.
Изгибающий момент, возникающий в оболочке под действием гидростатического
давления нефтепродукта равен
где R-радиус
резервуара;
φ- коэффициент, зависящий от условия закрепления днища
резервуара по контуру (φ=0,5-0,75).
Изгибающий момент возникающий от собственного веса оболочки ( на единицу
длины оболочки)

,
где
δ-
толщина стенки резервуара,

плотность
стали, 
кг/м3.
Максимальные
значения моментов М1, М2 будут при 
т.е. по
концам горизонтального диаметра
Момент
сопротивления определяется по формуле
Расчетное
напряжение на изгиб
Подземные
резервуары подвержены не только внутреннему давлению от нефтепродукта, но и
наружному давлению грунта и действию вакуума.
Грунт
сдавливает оболочку резервуара неравномерно. Вертикальное давление грунта
а
горизонтальное
где

плотность
грунта;
h- расстояние от
поверхности земли до рассматриваемой точки;
α -угол внутреннего трения грунта.
Для
практических расчетов эллиптическую эпюру давления грунта заменяют круговой с
постоянной интенсивностью давления (рисунок 13).
Рисунок
13 - Эпюра давлений грунта на горизонтальный резервуар
Величина
изгибающего момента (на единицу длину оболочки) от давления грунта определяется
по формуле
где

-глубина
заложения оси резервуара в грунт;
R- радиус
оболочки резервуара.
Как
указывалось выше, оболочка под влиянием внешнего давления может потерять свою
форму. Это может произойти еще задолго до того, как напряжения в ней достигнуть
расчетных значений. Поэтому оболочку подземного резервуара необходимо всегда
проверять на устойчивость цилиндрической формы в радиальном направлении по
формуле
где
Е-модуль упругости;
l- расстояние
между ребрами жесткости резервуара, l=1,5D
Для
устойчивости формы резервуара внешнее давление грунта 
должно быть
меньше 
на
величину коэффициента запаса устойчивости n, равную
Условие
выполняется.
2.5 Расчет днища резервуара на прочность
Вместимость
резервуара V=50м3;
Диаметр
резервуара D=2,74м;
Избыточное
давление 
Давление
вакуума 
Толщина
днища 
Резервуар
выполнен из стали с 
кН/см2.
При
расчете на прочность будем учитывать избыточное и гидростатическое давления
жидкости (бензин) 
=750 кг/м3.
Примем угол между образующей и его осью (рисунок 14) β=60С°.
Рисунок
14 -Воздействие на коническое днище.
Суммарное
гидростатическое и избыточное давление на уровне центра днища
Проверим
на прочность днище

,
т.о.

,
значит
прочность днища достаточна.
Проверка
днища на устойчивость по формуле
=

,
устойчивость
днища обеспечена.
2.2 Физические свойства СУГ
Пересчет
весового состава паровой фазы в молярный производится по формуле
в
процентах, (2.2.1)
в долях
единицы, где (2.2.2)
-
массовая доля i-го компонента;
-
молярная масса i-го компонента, г/моль;
;
;
или
0,664;
или
0,336;
Таким
образом, состав паровой фазы в объемах (молярных) процентах и объемных долях
будет равен:
С3Н8=66,4
(0,664);
С4Н10=33,6
(0,336);
(2.2.3)
Средняя
молекулярная масса газовой смеси
(2.2.4)
-
массовая доля i-го компонента;
-
молярная масса i-го компонента, г/моль;
Средняя
плотность газовой смеси при нормальных условиях:
а)
по закону Авогадро:
.(2.2.5)
б)
по правилу смешения:
(2.2.6)
где
ρ1,
ρ2,……..ρn - плотность насыщенных паров компонентов широких
фракций углеводородов при температуре 0 0С.
Псевдокритическая
(среднекритическая) температура смеси

(2.2.7)
где
,
,……..
- критическая температура компонентов широких фракций
углеводородов при температуре 0 0С.
Среднекритическое
(псевдокритическое) давление
(2.2.8)
где
,
,……..
- критическое давление компонентов широких фракций
углеводородов при температуре 0 0С.
Удельная
газовая постоянная газовой смеси заданного выше состава может быть определена
по правилу смещения
,(2.2.9)
где
R1, R2, ………Rn - удельные газовые постоянные компонентов, входящих в
газовую смесь.
Rсм=0,664∙188,68+0,336∙143,08=124,53+48,65=173,2
Дж/кг∙К.
Состав
жидкой фазы сжиженного газа определяется в следующей последовательности.
а)
Определяем общее давление равновесной системы пар-жидкость. Согласно
объединенному уравнению законов Рауля и Дальтона
=xiθi, (2.2.10)
концентрация
компонента в жидкой фазе будет
.
(2.2.11)
Так
как состав жидкой фазы равен
х1+х2+…+хn=1,
то
из предыдущих двух уравнений можно записать
,
(2.2.12)
откуда
общее давление системы пар-жидкость равно
,
(2.2.13)
МПа,
где
θ1,θ2,
………θn - упругость компонентов газовой смеси в чистом виде берутся
из справочных таблиц.
б)
По уравнению
определяем состав жидкой фазы в долях единицы и
процентах:
(0,63);
Таким
образом, состав жидкой фазы в процентах и долях единицы равен:
С3Н8=39
(0,39);
С4Н10=61
(0,61);

.
3.
ЭКОНОМИЧЕСКАЯ ЧАСТЬ
Долгосрочные инвестиции в промышленное производство и транспорт
составляют основу развития экономики любой отрасли. Особенно важен этот фактор
для развития нефтегазодобывающей промышленности и трубопроводного транспорта,
требующих значительных сумм капиталовложений.
Методика оценки экономической эффективности инвестиций - один из
важнейших вопросов. Основное внимание в данной работе уделяется оценке
эффективности инвестиций на предприятиях нефтеперерабатывающей промышленности.
3.1 Методика оценки экономической эффективности
инвестиционных проектов
Инвестиции - средства (денежные средства, ценные бумаги, иное имущество,
в том числе имущественные права, имеющие денежную оценку),
Вкладываемые в объекты предпринимательской и (или) иной деятельности с
целью получения прибыли и (или) достижения иного полезного эффекта.
Различаются:
капиталообразующие (реальные) инвестиции (real investment), обеспечивающие создание и
воспроизводство фондов; состоят из капитальных вложений, оборотного капитала, а
также иных средств, необходимых для проекта;
портфельные инвестиции (portfolio investment) - помещение средств в финансовые
активы.
Капитальные вложения - инвестиции в основной капитал (основные средства),
в том числе затраты на новое строительство, расширение, реконструкцию и техническое
перевооружение действующих предприятий, приобретение машин, оборудования,
инструмента, инвентаря, проектно-изыскательские работы и другие затраты.
Проект - комплекс действий (работ, услуг, приобретений, управленческих
операций решений), направленных на достижение сформулированной цели.
Инвестиционный проект (ИП) - обоснование экономической целесообразности,
объема и сроков осуществления капитальных вложений, в том числе необходимая
проектно-сметная документация, разработанная в соответствии с законодательством
РФ и утвержденными в установленном порядке стандартами (нормами и правилами), а
также описанием практических действий по осуществлению инвестиций
(бизнес-план).
Эффективность инвестиционного проекта характеризуется системой
показателей, отражающих соотношение затрат и результатов применительно к
интересам его участников.
Необходимо различать понятия: экономическая эффективность (efficiency) и экономический эффект (effect).
Под экономическим эффектом в общем случае понимается величина экономии затрат
в рублях в результате осуществления какого-либо мероприятия или их
совокупности. В традиционных технико-экономических расчетах чаще всего
используется величина годового экономического эффекта, т.е. экономии средств за
год. Под экономической эффективностью понимается относительная величина,
получаемая в результате сопоставления экономического эффекта с затратами,
вызвавшими этот эффект. Причем это может быть простое отношение эффекта к
соответствующим затратам (efficiency ratio) и более
сложные отношения.
Анализ эффективности ИП основывается на моделировании денежных потоков (cash flow), складывающихся в течение всего срока жизни проекта.
Денежный поток (поток реальных денег) складывается из всех притоков и оттоков
денежных средств в некоторый момент времени (или на некотором шаге расчета).
Приток денежных средств равен величине денежных поступлений (результатов
в стоимостном выражении) на соответствующем шаге.
Отток равен платежам (затратам) на этом шаге.
Срок жизни проекта (расчетный период) должен охватывать весь жизненный
цикл разработки и реализации проекта вплоть до его прекращения. Срок жизни
проекта включает в себя следующие основные стадии (этапы):
инвестиционную;
эксплуатационную;
ликвидационную.
3.1.1 Показатели эффективности инвестиционных проектов
Для оценки экономической эффективности инвестиционных проектов могут
использоваться следующие критерии:
чистый дисконтированный доход (ЧДД);
индекс доходности (ИД);
внутренняя норма доходности (ВНД);
срок окупаемости с учетом фактора времени (дисконтирования).
Чистый дисконтированный доход определяется как сумма следующего вида:
(1)
или
,
где
- шаги расчета;
-
стоимостная оценка результата реализации проекта (приток денежных средств);
-
стоимостная оценка затрат, включая капитальные вложения (отток денежных
средств);
- срок
жизни проекта (расчетный период);
- ставка
(норма) дисконта;
- поток
реальных денег для проекта в целом или отдельного его участника;
-
коэффициент дисконтирования в момент времени
.
Расчетный
период разбивается на шаги, в пределах которых производится агрегирование
данных, используемых для оценки финансовых показателей. Шаги расчета
определяются их номерами (0,1…). Время в расчетном периоде измеряется в годах
или долях года и отсчитывается от фиксированного момента, принимаемого за
базовый (обычно в качестве базового принимается момент начала или конца
нулевого шага).
Норма
дисконта (привидения) отражает возможную стоимость капитала, соответствующую
возможной прибыли инвестора, которую он мог получить на туже сумму капитала,
вкладывая его в другом месте, при допущении, финансовые риски одинаковы для
обоих вариантов инвестирования. Другими словами, норма дисконта должна являться
минимальной нормой прибыли, ниже которой предприниматель счел бы инвестиции
невыгодными для себя.
Для
инвестиционного проекта в качестве нормы дисконта иногда используется ставка
процента, которая уплачивается получателем ссуды.
Если
из состава затрат
исключить капитальные вложения (инвестиции)
, то формула (1) примет следующий вид:
,
где
- затраты на t-м шаге без
учета капитальных вложений;
-
дисконтированные капитальные вложения, определяемые по формуле:
(2)
Если
разница между стоимостными оценками результатов и затрат
постоянна в течение всего срока жизни проекта
, то формула (2) может быть преобразована в следующий
вид:
В
данном случае величина
получена как сумма членов геометрической прогрессии.
Значения
коэффициентов
и
можно получить
из специальных таблиц дисконтированных величин.
Величину
можно представить в виде
,
где
- выручка от реализации продукции (услуг) на t-м
шаге;
-
амортизационные отчисления выплаты из прибыли на t-м шаге.
В
свою очередь:
,
где
- прибыль до налогообложения на t-м
шаге.
Следовательно:
,
где
- чистая прибыль на t-м шаге.
Если
рассчитанный ЧДД положителен, то прибыль инвестиций выше нормы дисконта и
проект следует принять. Если ЧДД равен нулю, то прибыльность равна норме
дисконта. Если ЧДД меньше нуля, то прибыльность инвестиций ниже нормы дисконта
и от проекта следует отказаться.
При
сравнении альтернативных проектов предпочтение должно отдаваться проекту с
большим значением ЧДД.
Индекс
доходности (ИД) определяется как отношение суммы дисконтированных эффектов к
сумме дисконтированных капитальных вложений:
или
.
Индекс
доходности тесно связан с ЧДД. Если ЧДД положителен, то ИД >1. Если ЧДД
отрицателен, то ИД <1. Если ИД>1, то проект эффективен; если ИД <1 -
неэффективен.
Внутренней
нормой доходности (ВНД) называется такое положительное число
, что при норме дисконта
чистый дисконтированный доход проекта обращается в 0,
при всех больших значениях Е - отрицателен, при всех меньших значениях Е -
положителен. Если не выполнено хотя бы одно из этих условий, считается, что ВНД
не существует.
Экономический
смысл показателя ВНД состоит в том, что он показывает максимальную ставку платы
за инвестиции, при которой они остаются безубыточными. Таким образом, ВНД может
трактоваться как нижний гарантированный уровень прибыльности инвестиционных
затрат.
ВНД
определяется из уравнения, которое можно записать в виде:
.
Для
оценки эффективности ИП значение ВНД необходимо сопоставлять с нормой дисконта
Е. Инвестиционные проекты у которых ВНД >Е, имеют отрицательный ЧДД и
поэтому неэффективны.
Сроком
окупаемости с учетом дисконтирования
называется
продолжительность периода от начального момента до момента окупаемости.
Моментом окупаемости с учетом дисконтирования называется тот наиболее ранний
момент времени в расчетном периоде, после которого текущий ЧДД становится и в
дальнейшем остается неотрицательным (иными словами, результаты реализации
проекта превышают первоначальные капитальные вложения и другие затраты).
При
определении срока окупаемости с учетом дисконтирования используется следующая
формула:
Расчет
срока окупаемости можно проводить графически.
Применение
программного продукта Microsoft Excel 5.0a
(русифицированная версия) позволяет автоматизировать расчет показателей ЧДД,
ВНД, срок окупаемости. С этой целью используются встроенные в Ms Excel стандартные финансовые функции. При этом в качестве
аргументов при проведении расчетов вводятся значения денежных потоков
.
Любой
инвестиционный проект должен оцениваться не изолированно, а рассматриваться с
учетом его связей с другими проектами и текущей деятельностью предприятия. В
простейшем случае, когда предприятие пытается реализовать только один новый
инвестиционный проект, необходимо рассмотреть, по меньшей мере, две
альтернативные возможности:
)
реализация проекта (ситуация «с проектом»)
)
отказ от реализации проекта (ситуация «без проекта»).
Приближенным
методом оценки ИП на действующем предприятии является так называемый приростный
метод. В этом случае в качестве выручки от реализации продукции, себестоимости
и других показателей проекта принимается изменение соответствующих показателей
по предприятию в целом, обусловленное реализацией проекта.
Для
расчета денежных потоков проекта могут использоваться различные виды цен:
базисные, прогнозные, мировые.
3.2 Сметная стоимость строительства и система сметных
нормативов в строительстве
Сметная
стоимость (сметная цена строительной продукции) является стоимостной оценкой
проектных решений, определенной на основе смет, которые в свою очередь
определяются на основе сметных нормативов.
Сметные
нормативы - это обобщенное название комплекса сметных норм, расценок и цен,
объединяемые в отдельные сборники. Вместе с правилами и положениями,
содержащими в себе необходимые требования, они служат для определения сметной
стоимости строительства.
Сметная
стоимость является основой для определения размера капитальных вложений,
финансирования строительства, формирования договорных цен на строительную
продукцию, расчетов на выполненные подрядные (строительно-монтажные,
ремонтно-строительные и др.) работы, оплаты расходов по приобретению
оборудования и доставки его на стройки, а также возмещения других затрат за
счет средств, предусмотренных сводным сметным расчетом.
Смета,
и сметные нормативы, на основе которых она составляется, являются инструментом
измерения технической и экономической обоснованности издержек. На необходимость
сметы прямо указывают статьи №743 и №746 Гражданского Кодекса, согласно которым
подрядчик обязан осуществлять строительство в соответствии с технической
документацией, определяющей объем работ и со сметой, определяющей цену работ.
Таким
образом, смета является совершенно необходимым инструментом для всех субъектов
инвестиционной деятельности, как для подрядчика - для определения издержек и
нормативной прибыли, так и для инвестора (заказчика) - для определения
требуемого лимита капитальных вложений.
Через
смету определяется стоимостная оценка фиксированных проектных решений на основе
сметных нормативов, которые устанавливаются Госстроем России и включается в
«Перечень нормативных документов по строительству, действующих на территории
Российской Федерации».
Основополагающим
документом, определяющим систему сметных нормативов и методику сметной
стоимости строительства, являются в данное время «Методика определения
стоимости строительной продукции на территории Российской Федерации» - МДС
81-35.2004 введенное постановлением Госстроя России от 5.03.2004 №15/1.
В
п.2.3. указанных в МДС 81-35.2004 приведена структура сметно-нормативной базы
системы ценообразования и сметного нормирования в строительстве, которая имеет
следующие виды сметных нормативов:
Государственные
сметные нормативы - ГСН;
Отраслевые
сметные нормативы - ОСН;
Территориальные
сметные нормативы - ТСН;
Фирменные
сметные нормативы - ФСН;
Индивидуальные
сметные нормативы - ИСН;
Действующая
система сметных нормативов может быть классифицирована следующим образом:
Нормативы
прямых затрат, которые включают в себя элементные сметные нормы и расценки,
ГЭСН-2001,ГЭСНм-2001.
Элементные
сметные нормы- ЭСН -84, СниР-91, включающие в себя элементные сметные нормы и
расценки, ГЭСН-2001,ГЭСНм-2001.Сборники сметных цен на строительные и монтажные
работы ЕРЕР-84,СНиР-91.ФЕР-2001,ТЕР-2001,ФЕРм-2001.
Сборники
сметных цен на материалы и конструкции в 4 частях.
Общие
положения (указания) по применению норм и расценок СНиП 4.02-91,СНиП 4.06.-91,
МДС 81-28.2001,МДС 81-29.2004.
Нормативы
накладных расходов и сметной прибыли - МДС 81-25.2001.
Нормативы
затрат на строительство временных зданий и сооружений -СНиР 4.09.91, ГСН -
81-05.2001.
Нормативы
дополнительных затрат, учитывающие отличие усредненных условий строительства,
учитываемые в главах 9-12 сводного сметного расчета в процентном отношении от
основных затрат или по расчету согласно решениям, принятых органами.
Например,
дополнительные затраты при производстве работ в зимнее время
(НДЗ-84,НДЗ-91,ГСН-81-01-02.2001), затраты на перевозку рабочих к месту
строительства, резерв средств на непредвиденные работы и затраты и т.п.
Нормативы,
указанные в п.1. могут быть определены как элементные, в то время как указанные
в п.3-5 являются укрупненными и определяются в процентах от прямых затрат.
К
укрупненным сметным нормативам относятся также: укрупненные показатели базисной
стоимости по видам работ (УПБС ВР), сборники показателей стоимости на виды
работ (сборники ПВР), укрупненные ресурсные нормативы (УРН) и укрупненные
показатели ресурсов (УПР) по отдельным видам строительства, сметные нормы
затрат на оборудование и инвентарь общественных и административных зданий
(НИАЗ), сметные нормы затрат на инструмент и инвентарь производственных зданий
(НИПЗ) и др.
Вместе
со «Сводом правил по определению стоимости строительства в составе
предпроектной и проектной сметной документации» (СП 81-01-94) все сметные
нормативы образуют сметно-нормативную базу системы ценообразования и сметного
нормирования в строительстве.
Объективно сложилось так, что на данные момент на территории РФ действуют
3 сметно-нормативные базы (СНБ), которые принято обозначать по году введения в
действие. Это:
Сметно-нормативная база 1984г. (СНБ-84);
Сметно-нормативная база 1991г. (СНБ-91);
Сметно-нормативная база 2001г. (СНБ-2001).
Сметно-нормативная база 2001г. является обязательной для объектов
строящихся за счет бюджетного финансирования.
Однако для объектов трубопроводного строительства, строящихся за счет
средств инвестора, ввиду отсутствия на данный момент федерального и
территориального сборника ФЕР (ТЕР) № 25 «Магистральные и промысловые
трубопроводы», инвестором ОАО «Татнефть» принято решение определять сметную
стоимость по СНБ-84 (ЕРЕР №25), базисно-индексным способом, с пересчетом в
текущий уровень цен по индексам, установленным Росстроем России.
В этом случае сметные нормативы 1984г. рассматриваются как фирменные, на
их основе и выполнены прилагаемые сметы.
Сметная стоимость строительства может определяться в следующих уровнях
цен: базисном и текущем.
Базисный уровень цен, определяется на основе сметных норм и цен,
установленных на фиксированную дату введения их в действие (на1.01.1984,
1.01.1991,1.01.2000г.);
Текущий (прогнозный) уровень цен, определяется на основе цен, сложившихся
ко времени составления цен или прогнозируемых к периоду осуществления
строительства.
Базисно-индексный метод основан на использовании системы текущих и
прогнозных индексов по отношению к стоимости, определенной в базисном уровне.
Для объектов, строительство которых финансируется за счет бюджета, применяются
индексы, устанавливаемые Госстроем России или Региональными центрами по
ценообразованию в строительстве (РЦЦС). По объектам, строительство которых
финансируется за счет внебюджетных средств (средств инвестора), индексы
устанавливаются (согласовываются) инвестором.
Ресурсный метод основан на калькуляции в текущих ценах ресурсов, необходимых
для реализации проектных решений. Калькулирование ведется на основе выраженной
в натуральных измерителях потребности в ресурсах: в затратах труда рабочих в
чел.-часах, механизмов - в маш.-часах, в материалах, конструкциях,
энергоносителях. Указанные ресурсы выделяются из состава проектных материалов
через применение государственных сметных норм - ГЭСН-2001 (ГЭСНм -2001).
Возможно применение территориальных и отраслевых элементных сметных норм
(ТЭСН и ОЭСН), согласованных с Госстроем России в установленном порядке.
Существуют также ресурсно-индексный и базисно-компенсационный методы
определения сметной стоимости, представляющие собой комбинацию описанных выше
методов. На стадии составления инвесторских смет, когда требуется определить
лимит средств, необходимых для строительства, предпочтительно применять базисно
- индексный метод, так как он позволяет использовать уже сформированную ценовую
базу на ресурсы.
Базисно - компенсационный метод становится единственно возможным, когда
требуется определить уровень затрат, а проектные решения окончательно не
определены, не детализированы и невозможно определить всю номенклатуру ресурсов
и соответственно их стоимость.
Ресурсный метод позволяет более точно определить сметную стоимость в
текущем уровне цен, однако является более трудоемким. Применение его при
определении стоимости крупных объектов затруднительно, так как требуется
отслеживать цены по очень широкой номенклатуре ресурсов, достигающей десятки
тысяч наименований. При ресурсном методе сложно осуществить контроль за
достоверностью текущих цен со стороны заказчика.
Как раз по этой причине принято решение: при составлении прилагаемых
использовать базисно-индексный метод на основе СНБ-84, вместо ресурсного метода
на основе ГЭСН-25 «Магистральные и промысловые трубопроводы».
Кроме того используют метод применения банков данных о стоимости ранее
построенных или запроектированных объектов- это использование стоимостных
данных по зданиям и сооружениям, аналогичным в данный момент. При использовании
этого метода стоимостные данные необходимо привести в один уровень сметных цен.
Для определения сметной стоимости строительства составляется сметная
документация, которая состоит из следующих основных документов:
локальная смета, которая являясь первичным сметным документом
составляется на отдельные виды затрат по зданиям и сооружениям на основе
объемов, определившихся при разработке рабочей документации ( рабочих
чертежей);
локальный сметный расчет, который составляется в случаях, когда объемы
работ и размеры затрат окончательно не определены и подлежат уточнению на
основе рабочей документации. Или когда проектные решения не могут быть
достаточно точно определены и уточняются в процессах строительства;
объектная смета объединяет в своем составе данные из локальных смет на объект
в целом и является сметным документом, на основе которого формируется
договорная цена на объект в составе стройки. В объектной смете учитываются в
процентном соотношении затраты на временные здания и сооружения, дополнительные
затраты, связанные с удорожанием работ в зимнее время. Другие лимитированные
(прочие затраты) по согласованию с заказчиком, а также часть средств резерва на
непредвиденные расходы м затраты, передаваемые подрядчику;
объектный сметный расчет, который объединяет в своем составе данные из
локальных сметных расчетов и локальных смет на объект в целом, подлежащих
уточнению;
сметные расчеты на отдельные виды затрат, которые составляются в тех
случаях, когда требуется определить лимит средств, необходимых для возмещения
затрат, которые не учтены сметными нормативами (различные компенсации,
установленные компетентными органами);
сводный сметный расчет стоимости строительства, который составляется на
основе объектных сметных расчетов, объектных смет и сметных расчетов на
отдельные виды затрат.
Сводный сметный расчет стоимости строительства является документом,
определяющим сметный лимит средств, необходимых для полного завершения
строительства объекта согласно проекту.
Утвержденный в установленном порядке сводный сметный расчет стоимости строительства
служит основанием для определения лимита капитальных вложений и открытия
финансирования строительства. Сводные сметные расчеты стоимости строительства
составляются и утверждаются отдельно на производственное и непроизводственное
строительство, что вызывает необходимость составления сводки затрат;
сводка затрат - это сметный документ, определяющий стоимость
строительства в случаях, когда наряду с объектом производственного назначения
составляется сметная документация на объекты жилищно-гражданского и другого
назначения.
К поэлементным нормативам в системе 1984г. относятся:
Элементные сметные нормы на строительные конструкции и работы (ЭСН);
Нормы для определения сметной стоимости эксплуатации строительных машин
(НЭМ) и сметные цены их эксплуатации (ЦЭМ);
Сметные цены на привозные и местные строительные материалы, изделия и
конструкции (СЦМ);
Сметные цены на перевозки грузов для строительства (СЦПГ);
Единые районные единичные расценки на строительные конструкции и работы
(ЕРЕР);
Расценки на монтаж оборудования (РМО).
В состав крупных сметных нормативов входят:
Нормы накладных расходов (НР);
Нормы плановых накоплений (ПН);
Сметные нормы затрат на строительство временных зданий и сооружений
(НВЗ);
Сметные нормы дополнительных затрат при производстве строительно-монтажных
работ в зимнее время (НДЗ);
Нормативы лимитированных затрат по объектной и сводной смете;
Нормы резерва средств на непредвиденные работы и затраты;
Укрупненные сметные нормы (УСН);
Прейскуранты на строительство зданий и сооружений (ПРЗС).
Сметная стоимость строительных и монтажных работ является ценой продукции
строительных предприятий, т.е. является аналогией плановой цене продукции
промышленных предприятий. Плановая цена продукции предприятия - это цена, по
которой одни государственные предприятия планируют продать свою продукцию
другим государственным предприятиям или снабженческо-сбытовым организациям.
Плановая цена предприятия состоит из полной плановой себестоимости работ и
планируемой общей прибыли предприятий. Аналогично сметная стоимость
строительных и монтажных работ состоит из прямых затрат, накладных расходов и
сметной прибыли.
3.2.2 Элементы сметной стоимости строительных и
монтажных работ
Сметная стоимость строительных или монтажных работ является ценой
продукции строительных предприятий.
Сметная стоимость строительных и монтажных работ состоит из прямых
затрат, накладных расходов и сметной прибыли.
Прямые затраты - расходы, непосредственно связанные с производством
строительных или монтажных работ. К прямым затратам, относятся:
затраты на материалы, изделия и конструкции, включая транспортные расходы
по их доставке до приобъектных (участковых) складов на строительной площадке;
заработная плата рабочих, занятых выполнением строительных или монтажных
работ (так называемая основная зарплата);
затраты по эксплуатации строительных машин и механизмов, требующихся для
выполнения работ.
Прямые (прямо пропорциональные) затраты определяются непосредственно по
объему работ: чем больше объем работ по проекту, тем больше прямых затрат.
Накладные расходы - затраты на обслуживание производственных процессов,
содержание аппарата управления и на выполнение организационных мероприятий.
В состав накладных расходов входят административно-хозяйственные расходы:
заработная плата руководящих, ИТР и служащих, основная дополнительная;
затраты на служебные командировки и перемещения работников аппарата
управления;
отчисления на содержание вышестоящих хозрасчетных организаций;
прочие административно-хозяйственные расходы (содержание легкового
транспорта для разъездов по трассе, отчисления в бюджет экономии от сокращения
административно-хозяйственных расходов).
Расходы по обслуживанию рабочих:
дополнительная заработная плата рабочих, занятых на
строительно-монтажных работах;
отчисления на социальное страхование;
затраты на содержание жилищно-коммунального хозяйства в линейном
строительстве;
затраты на охрану труда и технику безопасности;
отчисления профсоюзов на культурно-массовую и физкультурную
работу.
Расходы на организацию и производство работ:
содержание пожарной и сторожевой охраны;
содержание производственного оборудования и инвентаря, в том
числе амортизации, ремонт и перемещение производственных приспособлений и
оборудования;
износ малоценного и быстроизнашивающегося инвентаря и
инструмента;
износ временных приспособлений и устройств;
амортизация и текущий ремонт оборудования и помещений учебных
лабораторий и кабинетов;
нормативные работы и рационализация производства;
отчисления на научно-исследовательскую работу;
расходы по проектированию производства работ;
расходы по испытанию материалов и конструкций;
благоустройство и содержание строительных площадок;
вывозка строительного мусора и уборка улиц;
подготовка объектов строительства к сдаче;
производственные командировки;
перебазирование линейных строительных организаций и их
подразделений.
Прочие накладные расходы:
проценты, уплаченные, за вычетом полученных отчислений на
создание фонда премирования за внедрение новой техники и её освоение;
отчисления в фонд Министра;
оплата услуг буфетов и столовых;
содержание редакций многотиражных газет и радиогазет;
расходы по геодезическим расходам.
Сметная прибыль - это средства, предназначенные для покрытия расходов
подрядных организаций на развитие производства и материальное стимулирование
работников.В составе норматива сметной прибыли учтены затраты на:
отдельные федеральные, региональные и местные налоги и сборы, в т.ч.,
налог на прибыль организаций, налог на имущество, налог на прибыль предприятий
и организаций по ставкам, устанавливаемым органами местного самоуправления в
размере не выше 5 процентов;
расширенное воспроизводство подрядных организаций (модернизация
оборудования, реконструкция объектов основных фондов);
материальное стимулирование работников (материальная помощь, проведение
мероприятий по охране здоровья и отдыха, не связанных непосредственно с
участием работников в производственном процессе);
организацию помощи и бесплатных услуг учебным заведения
Таблица № 3.2
Сводный
сметный расчет стоимости строительства МАЗС г.Челябинска.
Сметная стоимость 58913,75 тыс.руб.
Составлен в ценах по состоянию на 2014г.
ООО «АЗС-Строй» г.Альметьевск»
(наименование организации)
СВОДНЫЙ СМЕТНЫЙ РАСЧЕТ СТОИМОСТИ СТРОИТЕЛЬСТВА
Строительство МАЗС по адресу: г.Челябинск,Крчатовский район,улица Мастеровая
(слева)
(наименование стройки)
|
№ №пп
|
Номера сметных расчетов и
смет
|
Наименование глав,
объектов, работ и затрат
|
Общая сметная стоимость
тыс. руб.
|
|
|
|
строительных работ
|
|
|
1
|
2
|
3
|
4
|
|
|
1
|
ЛС №2-1-1
|
Основные объекты
строительства МАЗС
|
16 814,344
|
|
|
|
Итого по Главе 2
|
16 814,344
|
|
|
|
Итого по Главам 1-2
|
16 814,344
|
|
|
СМР=8,56; ОБ=3,94
|
|
|
|
2
|
ЛС №3-1
|
Объекты подсобного и
обслуживающего назначения
|
25,362
|
|
|
ЛС №4-1
|
Объекты энергетического
хозяйства
|
7242,564
|
|
|
|
Итого по Главе 4
|
7267,926
|
|
|
|
Итого по Главам 1-4
|
24082,27
|
|
|
3
|
ГСН-81- 05-01-2001 п.5.9
|
Временные здания и
сооружения 1,35%
|
325,11
|
|
|
|
Итого по Главе 8
|
20528,554
|
|
|
|
Итого по Главам 1-8
|
44610,824
|
|
|
4
|
ГНС 81-05-02-2001 п.6.2
|
Производство работ в зимнее
время 2,2%
|
981,438
|
|
|
Пост. №51
|
Перевозка рабочих 2,5%
|
1115,271
|
|
|
Пост. №51
|
Разъездной характер работ
3,74%
|
1668,445
|
|
|
|
Итого по Главе 9
|
3765,154
|
|
|
|
Итого по Главам 1-9
|
48375,978
|
|
|
5
|
Договор №91
|
Предпроектные и проектные
работы
|
1752,648
|
|
|
6
|
МДС 81-35 2004 прил.8 п12.3
|
Авторский надзор 0,2%
|
96,752
|
|
|
|
Итого по Главе 12
|
96,752
|
|
|
|
Итого по Главам 1-12
|
48472,729
|
|
|
6
|
МДС 81-35.2004,п.4.96
|
Резерв средств на
непредвиденные работы и затраты 3%
|
1454,182
|
|
|
|
Итого Непредвиденные
затраты
|
1454,182
|
|
|
|
Итого с непредвиденными
|
49926,911
|
|
|
7
|
МДС81-35.2004,п.4.100
|
Средства на покрытие затрат
по уплате НДС 18%
|
8986,84
|
|
|
|
Итого Налоги
|
8986,84
|
|
|
|
Всего по сводному расчету
|
58913,75
|
|
|
|
|
|
|
|
4. БЕЗОПАСНОСТЬ И ЭКОЛОГИЧНОСТЬ ПРОЕКТА
4.1 Общие сведения о проектируемом объекте
Автозаправочная станция предназначена для заправки легкового и грузового
автотранспорта шестью видами жидкого моторного топлива: Аи-95, Аи-92, Аи-80 и
ДТ, ДТ-Евро, ДТ (зимнее), а также сжиженным углеводородным газом. Завоз топлива
осуществляется автомобильным транспортом (бензовозами и газовозами) объемом
секций до 9 м3.
В целях экологической безопасности все объекты МАЗС расположены на
отдельных площадках.
Для исключения выбросов паровоздушной смеси топлива в атмосферу при
сливных операциях применена линия рециркуляции паров по схеме «резервуар -
автоцистерна» и линия возврата паров «бензобак - резервуар».
Для сбора возможных проливов при топлива из автоцистерны предусмотрена
аварийная емкость V=10м3 с
соответствующим оборудованием.
Проектом предусмотрен замкнутый трубопровод рециркуляции паров жидкого
моторного топлива по схемам «Резервуар - АЦ», «ТРК - Резервуар», максимально
исключающий загазованность АЗС, а также система деаэрации паров топлива и
аварийного резервуаров сведенная в вентиляционную группу, расположенную на
отдельной площадке. Трубопроводы деаэрации выведены на 4,5м над уровнем
площадки, оборудованы дыхательными клапанами с огневым предохранителем и
запорной арматурой, которая закрыта в режиме заправки автомобилей и открыта на
соответствующей линии во время слива топлива из автоцистерны. Данная система
является системой закольцовки паров бензина.
Также предусмотрена система закольцовки паров сжиженного углеводородного
газа.
Рельеф местности спокойный ровный. Абсолютные отметки колеблются от
324,11 до 325,17м. Организация рельефа площадки решена методом проектных
горизонталей с учетом стока поверхностных вод, расположения внутриплощадочных
проездов и типа покрытия.
Технологические трубопроводы прокладываются подземно.
Наружное пожаротушение автозаправочного комплекса в количестве 14,2л/сек
предусматривается: передвижной пожарной техникой от четырех пожарных
резервуаров общей емкостью 200м3, а также при помощи первичных средств
пожаротушения, расположенных у мест заправок. Также проектом предусмотрено
устройство системы водяного орошения площадки автоцистерны СУГ.
Хозяйственно-бытовые стоки самотеком отводятся в проектируемый выгреб V=5м3, расположенный на территории
АЗС, с последующим вывозом на действующие очистные сооружения района.
Атмосферные осадки с территории АЗС отводятся по подземной сети в
резервуар - сборник V=25м3 с последующей
очисткой в локальной очистной установке сточных вод «БЛИК -2К». После очистки
поверхностные воды поступают в резервуар - сборник V=10м3, для использования поливов территории.
4.2 Промышленная безопасность
.2.1 Санитарно-защитные мероприятия
Безопасная эксплуатация объектов, сооружений и оборудования АЗС
обеспечивается выполнением требований межотраслевых правил по охране труда при
эксплуатации нефтебаз, складов ГСМ, стационарных и передвижных автозаправочных
станций, в строгом соответствии с «Правилами технической эксплуатации
автозаправочных станций (АЗС)» и законодательств по охране труда при
эксплуатации предприятий нефтепродуктообеспечения.
Общее руководство работой по охране труда возлагается на руководителя
организации. При организации работ по охране труда на АЗС следует учитывать
опасные свойства нефтепродуктов: испаряемость, токсичность, способность
электризоваться, высокая взрывопожароопасность.
4.2.2 Опасные свойства бензина
Бензин относится к легковоспламеняющимся жидкостям (ЛВЖ) и представляет
собой прозрачный летучий нефтепродукт с характерным запахом. Скорость
распространения пламени по поверхности зеркала бензина при обычных условиях
составляет от 10 до 15 м/с. ПДК - 100мг/м3.
Человек с нормальным обонянием ощущает запах паров бензина при
концентрациях их в воздухе около 400 мг/м3. Легкое отравление парами бензина
может наступить после 5-10 мин. пребывания человека в атмосфере с концентрацией
паров бензина в пределах от 900 до 3612 мг/м3. При отравлении парами бензина
появляются головная боль, головокружение, сердцебиение, психическое
возбуждение, беспричинная вялость, мышечные судороги, кашель, раздражение
слизистых оболочек носа, глаз. Кроме того, первыми признаками острого
отравления парами бензина являются понижение температуры тела, замедление
пульса и другие симптомы.
При концентрации паров бензина в воздухе свыше 2,2% (30г/м3) после 10-12
вдохов человек теряет сознание; свыше 3% (40г/м3) происходит молниеносное
отравление (2-3 вдоха) - быстрая потеря сознания и смерть.
С повышением температуры бензина или окружающей среды сила токсического
воздействия бензина резко повышается. При воздействии на кожу бензин может
вызвать кожные заболевания - дерматиты и экземы. Бензин не накапливается в
организме, но ядовитые вещества, растворенные в нем (тетраэтилсвинец), остаются
в организме.
4.2.3 Оказание первой помощи при отравлении
парами бензина
При отравлении парами бензинов пострадавшего необходимо вынести на свежий
воздух, освободить от стесняющей одежды, растереть конечности для улучшения
циркуляции крови, напоить крепким кофе или чаем. В холодное время года важно
согреть пострадавшего. При попадании бензина через рот следует промыть желудок
1,5-2л воды с 1-ой ст. ложкой питьевой соды, вызвать рвоту. В тяжелых случаях
необходимо вызвать врача, до его прибытия обеспечить вдыхание кислорода, паров
нашатырного спирта, при необходимости провести искусственное дыхание.
4.2.4 Меры безопасности при работе с дизельным
топливом
Меры предосторожности при работе с дизельным топливом такие же, как и при
работе с бензином. При загорании топлива следует применять распыленную воду,
пену углекислый газ, перегретый пар. При попадании на кожу дизтопливо следует
смывать теплой водой с мылом.
4.2.5 Охрана труда и техника безопасности
Все работники и специалисты, поступающие на АЗС, допускаются к
самостоятельной работе после прохождения вводного инструктажа по охране труда,
обучения, стажировки на рабочем месте и последующей проверки полученных знаний
специальной квалификационной комиссией.
Работники, допущенные к самостоятельной работе, проходят повторный
периодический инструктаж по правилам охраны труда и техники безопасности.
Повторный инструктаж и обучение для работников АЗС проводится ежеквартально, а
для специалистов - не реже одного раза в полугодие. По окончании обучения
работники должны сдать экзамены на знание правил техники безопасности,
инструкций по эксплуатации оборудования, пожарной безопасности и
электробезопасности в рамках выполнения своих служебных обязанностей. Лица, не
достигшие 18 лет, и беременные женщины к обслуживанию АЗС по основному
производству не допускаются.
В помещении операторной на видном месте должны быть вывешены
технологическая схема всех инженерных коммуникаций АЗС и плакаты по безопасному
ведению работ. Все работники обеспечиваются инструкциями по охране труда,
утвержденными в установленном порядке, а также средствами индивидуальной
защиты, спецодеждой, спецобувью согласно установленным перечням и нормам. Весь
персонал обучается способам оказания первой помощи пострадавшим при несчастных
случаях.
Для выполнения положений, предусмотренных действующими нормативными
документами, проектом предлагаются следующие мероприятия по охране труда и
технике безопасности:
размещение оборудования выполнено в строгом соответствии с
действующими нормами технологического проектирования, с соблюдением нормативных
расстояний между оборудованием, зданиями и сооружениями;
слив топлива в подземные резервуары герметизирован, с
исключением падающей струи, осуществляется через сливные муфты с быстросъемными
заглушками в присутствии заправщика и оператора АЗС при наличии заземления АЦ и
с выключенным двигателем АЦ;
управление колонками осуществляется дистанционно из помещения
операторной АЗС;
ТРК оборудованы устройствами автоматического отключения при
полном баке автомобиля клиента и предохранительными расцепителями;
для исключения движения огня по трубопроводам все технологические узлы и
модули обеспечены огнепреградителями, быстродействующими на закрытие
предохранительными клапанами и запорной арматурой;
электрооборудование, кабельная продукция, пусковая аппаратура приняты во
взрывобезопасном исполнении;
предусматривается защитное заземление нетоковедущих частей
электрооборудования;
оптимальные планировочные решения, размещение оборудования, конструктивные
особенности зданий и сооружений предполагают рациональную организацию рабочих
мест;
предусмотрена установка на территории АЗС необходимых дорожных,
информационных и предупредительных знаков;
скорость движения автотранспорта по территории АЗС ограничена до
5 км/час;
в проекте предусмотрены системы пожарной и охранной
сигнализации;
освещение рабочих мест принято расчетное в соответствии с
нормативными документами;
крышки люков резервуаров и колодцев, сливные муфты, наконечники
шлангов выполняются из искробезопасных материалов.
предусмотрен непрерывный автоматический контроль за
концентрацией паров бензина с подачей светового и звукового сигнала и
отключением электрического питания насосов линии выдачи;
все показатели работы технологического оборудования выведены в
операторную АЗС;
покрытие всех проездов предусмотрено бензомаслостойким из асфальтобетона,
по всему периметру АЗС ограждается бордюрным камнем высотой 150мм;
проектом предусмотрены первичные средства пожаротушения в
соответствии с ППБ 01-03.
При проведении любых ремонтных работ или мероприятий по техническому
обслуживанию оборудования АЗС должна временно прекратить свою работу по
заправке автомобилей.
Работы по зачистке емкостей от грязи должны выполняться звеном не менее
двух человек с применением противогаза и омедненного инструмента. На все виды
работ должны быть разработаны инструкции, а персонал - обучен и
проинструктирован с записью в специальном журнале, иметь соответствующий допуск
с указанием в нем ответственного за проведение работ лица.
На территории АЗС не допускается:
курить и пользоваться открытым огнем;
производить какие-либо работы, не связанные с приемом,
хранением, и отпуском топлива;
хранить в помещении легковоспламеняющиеся жидкости (ЛВЖ);
мыть руки, стирать одежду и протирать полы помещений ЛВЖ;
заправлять транспорт, водители которого находятся в нетрезвом
состоянии;
отпускать топливо в полиэтиленовые канистры и стеклянную тару;
производить слив топлива двух и более АЦ одновременно.
4.2.6 Требования охраны труда в аварийных
ситуациях
загорание АЗС;
неисправность в электрооборудовании;
утечки нефтепродукта из топливораздаточной колонки, резервуара;
загазованность в здании и в рабочей зоне вне помещения (свыше
ПДК=100 мг/м3);
пролив и перелив при приеме нефтепродуктов.
Во всех аварийных ситуациях следует немедленно отключить общий рубильник,
прекратить заправку автомашин, освободить территорию АЗС от автомобильной
техники, оповестить руководство организации, вызвать аварийную бригаду, сделать
соответствующие записи в журнале. При возникновении пожара необходимо вызвать
пожарную команду, оповестить поставщиков нефтепродуктов, приступить к тушению
пожара имеющимися средствами.
При проливе (переливе) нефтепродуктов прекратить все технологические
операции, локализовать и удалить пролитый нефтепродукт, место пролива засыпать
песком.
4.2.7 Организация и условия труда работников АЗС
Технологический процесс АЗС состоит из следующих основных видов работ:
Прием и слив ЖМТ через сливную ванну в заглубленные резервуары и прием и
слив СУГ из автоцистерны в резервуары для хранения сжиженного углеводородного
газа.
Хранение нефтепродуктов по маркам в заглубленных резервуарах.
Выдача нефтепродуктов через раздаточные колонки потребителю.
Мойка легковых автомобилей в проектируемом помещении автомойки с
соответствующим оборудованием, системой вентиляции, водоснабжения и
канализации.
Все работники обеспечены санитарно-бытовыми помещениями, состав и площади
которых определены из требований санитарных норм, технологии производства и с
учетом пожеланий заказчика. В проектируемом здании операторной предусмотрены
отдельные бытовые помещения для персонала АЗС и персонала автомойки, душевая,
санузлы с умывальниками, кладовая для хранения инвентаря и помещение для
посетителей.
Отопление, вентиляция, освещение рабочих мест и помещений выполнено в
соответствии с нормативными документами.
Водоснабжение - централизованное от проектируемого водовода. Подогрев
воды - при помощи электроводоподогревателей, отопление помещений - автономное
при помощи электрического котла.
Для выполнения своих функций работники АЗС и автомойки обеспечиваются
спецодеждой, спецобувью и средствами индивидуальной защиты в соответствии с
действующими нормами и, при необходимости, специальными приспособлении.
На АЗС предусмотрена громкоговорящая связь. Предусмотрена также
телефонная связь с основным диспетчерским пунктом, с поставщиками топлива,
ближайшей пожарной частью и правоохранительными органами. Номера телефонов
экстренного вызова должны быть указаны на планах локализации и ликвидации
аварий и пожаров, вывешены на видном месте в помещении операторной АЗС.
В бытовых помещениях необходимо предусмотреть аптечки с набором
необходимых медикаментов для оказания первой помощи пострадавшим.
4.3 Мероприятия по предотвращению пожаров
Все сооружения АЗС запроектированы в соответствии с требованиями СНиП II-89-80*, НПБ 111-98* и ППБ 01-03 с
соблюдением противопожарных и санитарных норм проектирования. Площадка
расположена на расстоянии 5м от автодороги с твердым покрытием на которой
предполагается строительство трубопровода водоснабжения Ду-300мм. Ближайший
проектируемый колодец с пожарным гидрантом будет расположен на расстоянии 20 м.
от въезда на проектируемую МАЗС. Проектом предлагается строительство четырех
подземных емкостей V=50 м3 каждая для
обеспечения АЗС запасом воды на случай пожара на период строительства
централизованного водоснабжения. Проектом предусмотрено два заезда на
территорию МАЗС.
4.3.1 Общие требования пожарной безопасности
К работе на АЗС должны допускаться работники только после прохождения
противопожарного инструктажа по предупреждению и тушению возможных пожаров на
объекте.
На АЗС приказом по подразделению должно быть назначено лицо,
ответственное за пожарную безопасность объекта. На видных местах как в
помещениях, так и на территории АЗС должны быть вывешены таблички с номерами
телефонов пожарной охраны.
Для персонала АЗС в установленном порядке должны быть разработаны
инструкции о мерах пожарной безопасности ведения любых
работ для каждого участка АЗС в соответствии с приложением 1, ППБ 01-03.
На АЗС распорядительным документом должен быть установлен противопожарный
режим:
определены и оборудованы места для курения;
установлен порядок уборки горючих продуктов, хранения
промасленной спецодежды;
определен порядок обесточивания электрического оборудования по
окончании рабочего дня и при пожаре;
разработан план локализации и ликвидации пожароопасных ситуаций
и пожаров на АЗС.
определен перечень и назначение журналов регистрации, учета и
сменных журналов.
Регламентированы:
порядок проведения временных огневых и других пожароопасных
работ;
порядок осмотра и закрытия помещений после окончания работы;
действия работников при обнаружении пожара;
определен порядок и сроки прохождения противопожарного
инструктажа и занятий по пожарно-техническому минимуму, а также назначены
ответственные лица за их проведение;
4.3.2 Здание операторной и мойки автомобилей
Категория здания операторной и мойки легковых автомобилей в соответствии
с НПБ 105-03 принята «Д», класс по ПУЭ - невзрыво- и непожароопасный. Степень
огнестойкости здания - IV.
Строительный объем составляет 1123 м3 < 5000м3, что позволяет не
предусматривать внутренний противопожарный водовод согласно нормам и правилам[11]
.
Для охраны материальных ценностей и раннего обнаружения возгорания в
помещениях операторной и мойки предусмотрена система пожарной сигнализации с
выводом сигналов на центральный пульт операторной, установлены звуковые и
световые извещатели.
С целью локализации местных очагов пожара в соответствии с НПБ 01-03,
приложение 3, таблицы 1, 2 для помещений категории «В» и «Д» и пожара класса А
предусмотрены следующие типы огнетушителей:
порошковые ОП-5, вместимостью 5л, заряд класса АВС(Е) - 2шт;
воздушно-пенные ОВП-10, вместимостью 10л, заряд класса АВС(Е) -
2шт;
углекислотные ОУ-5, вместимостью 5л - 2шт.
4.3.3 Технологическая площадка АЗС
Автозаправочная станция отнесена ко второй группе по пожарной опасности.
Взрывоопасные установки проектируемой МАЗС и характеристика топлива
представлены в таблице 4 и таблице 5 соответственно.
Таблица 4 - Взрывоопасные установки МАЗС
|
Н а и м е н о в а н и е у с
т а н о в к и
|
Категория по НПБ-105-03
|
Класс по ПУЭ-2002
|
|
Топливораздаточные колонки
(бензин и дизельное топливо)
|
Ан
|
В-1г
|
|
Резервуары для приема и
хранения ЛВЖ подземные (шахты)
|
Ан
|
В-1г
|
|
Площадка для автоцистерн
при сливе топлива, сливная ванна
|
Ан
|
В-1г
|
|
Дыхательные устройства
|
Ан
|
В-1г
|
Таблица 5 - Характеристика топлива по взрывоопасности
|
№
|
Показатели пожаровзрывоопасности
бензина
|
Аи-92
|
Аи-95
|
Аи-98
|
СУГ
|
|
1
|
Группа горючести
|
ЛВЖ
|
ЛВЖ
|
ЛВЖ
|
ЛВЖ
|
|
2
|
Концентрационные пределы
распространения пламени, % объемные
|
Нижний - 0,76 Верхний -
5,16
|
Нижний - 0,76 Верхний- 5,16
|
Нижний - 0,76 Верхний- 5,16
|
Нижний - 0,76 Верхний- 5,16
|
Так же проектом предусмотрены следующие противопожарные мероприятия на
АЗС:
устройство дорог с твердым покрытием, радиусы их поворота
обеспечивают возможность свободной эвакуации людей, транспортных средств, а
также заезд пожарной техники;
герметичный слив топлива из АЦ в резервуары обеспечивается
быстроразъемными муфтами в герметичной ванне, которая обеспечена приямком для
сбора и удаления возможных проливов по проектируемому трубопроводу в подземную
аварийную емкость V=10м3;
применено технологическое оборудование заводского изготовления,
исключающее проливы горючих материалов при работе в пределах параметров
рабочего режима эксплуатации;
предусмотрен контроль герметичности резервуаров в соответствии с
рекомендациями НПБ 111-98;
на въезде и выезде с территории АЗС предусмотрено устройство
повышенных участков (валиков) высотой 200 мм, а сама территория АЗС по
периметру ограждается бордюрным камнем h=150 мм. для локализации возможных проливов при нештатных
ситуациях;
площадка для АЦ ограждается бортовым камнем h=0,2м, обеспечен сбор утечек с
площадки;
помещения персонала АЗС отделены от помещений сервисного обслуживания
водителей и пассажиров противопожарными перегородками;
для организации переговорной и распорядительной связи
предусмотрена двухсторонняя переговорная связь типа ПГС связь, которая
устанавливается в операторной;
предусмотрена кнопка аварийного отключения электропитания ТРК и
вентиляторов;
электрощиты оборудованы автоматическими предохранителями, дверь
в щитовую заперта на замок, выполнена из огнестойкого материала;
предусмотрена молниезащита оборудования АЗС;
предусмотрены контейнеры с песком для сбора проливов и хранения
загрязненного песка;
наружные стены здания операторной и мойки выполнены из негорючих
материалов;
в здании операторной и мойки АЗС имеется так же эвакуационный
выход, который выходит в противоположную от ТРК сторону;
воздуховоды приточно-вытяжной вентиляции приняты из несгораемых
материалов;
для обнаружения возгорания и сообщении о месте его обнаружении
(в т. ч. возле сливной ванны и АЦ) в операторной АЗС предусматривается
установка прибора приемноконтрольного охранно-пожарного типа «Сигнал-20П»; в
сеть пожарной сигнализации включаются дымовые оптико-электронные извещатели ИП
212-45М и пожарные ручные извещатели ИПР-ЗСУ;
все нетоковедущие металлические части злектрооборудования
подлежат заземлению.
Проектируемая технологическая площадка АЗС до начала ввода в эксплуатацию
водовода пресной воды и проектируемого колодца с пожарным гидрантом
обеспечивается противопожарным запасом воды в четырех проектируемых подземных
емкостях объемом 50м3 каждая, которые предполагается расположить на площадке
АЗС;
порошковые ОП-5, вместимостью 5л, заряд класса АВС(Е) - 1шт; (на
4 заправочных островка);
воздушно-пенные ОВП-10, вместимостью 10л, заряд класса АВС(Е) -
1шт; (на 4 заправочных островка);
ОПП-50 порошковый передвижной вместимостью 50л, заряд класса АВС(У) -
2шт. (хранить в помещении операторной, размещать вблизи АЦ при сливе топлива).
Места размещения огнетушителей должны обозначаться соответствующими
указательными знаками.
Во всех производственных, административных, складских и вспомогательных
помещениях и на наружных установках на видном месте должны быть предусмотрены
таблички с указанием:
категории помещения по взрывопожарной и пожарной опасности;
класса взрывоопасных и пожароопасных зон [12];
работника, ответственного за пожарную безопасность;
инструкции о мерах пожарной безопасности;
номеров телефонов экстренного вызова.
В операторной АЗС должен быть в наличии полный комплект документации и
информации по АЗС: лицензия, сертификат, проектная документация, заключение о
приеме в эксплуатацию объекта, утвержденное госкомиссией в установленном
порядке, ПЛЛ.
4.4 Охрана окружающей среды
.4.1 Воздействие объекта на атмосферный воздух и
характеристика источников выброса загрязняющих веществ в период эксплуатации
Основными источниками выделения загрязняющих веществ являются:
Резервуарный парк
а) Жидкое моторное топливо
Слив в резервуары осуществляется самотеком при включенном двигателе
автоцистерны. Выделение загрезняющих веществ происходит при хранении и сливе
топлива. Выделяются следующие загрязняющие вещества: пентилены (амилены - смесь
изомеров), бензол, ксилол, смесь предельных углеводородов С1-С5 и С6-С10,
толуол, этилбензол, сероводород, углеводороды предельные С12-С19. При
заполнении резервуаров отпуск топлива на ТРК не производится. Одновременно
заполняется только один резервуар. Источник выбросов организованный - с помощью
дыхательного клапана резервуара;
б) Газообразное моторное топливо (СУГ)
Выделение загрязняющих веществ происходит при хранении и закачке топлива.
Выделяются следующие загрязняющие вещества: смесь предельных углеводородов
С1-С5, метилмеркаптан. При заполнении резервуаров отпуск топлива на ТРК не
производится. Одновременно заполняется только один резервуар. Источник выбросов
организованный - сбросная свеча резервуара.
Топливо - раздаточные колонки
а) Жидкое моторное топливо
Выделение загрязняющих веществ при наливе топлива в баки автомобилей.
Выделяются следующие загрязняющие вещества: пентилены(амилены - смесь
изомеров), бензол, ксилол, смесь углеводородов предельных С1-С5, С6-С10 и
С12-С19, толуол, этилбензол, сероводород. Источник выбросов неорганизованный -
бак автомобиля;
б) Газообразное моторное топливо (СУГ)
Выделение загрязняющих веществ происходит при закачке топлива в баллоны
автомобилей (отсоединение струбцины, выброс из шланга). Выделяются следующие
загрязняющие вещества: смесь углеводородов предельных С1-С5, метилмеркаптаны
(одорант). Источник выбросов неорганизованный - балон автомобиля.
Площадка автоцистерны ЖМТ
Доставка нефтепродуктов АЗС осуществляется бензовозами, один раз в два
дня. Выделение загрязняющих веществ происходит в результате сгорания дизельного
топлива при работе двигателя автоцистеры. Выделяются следующие загрязняющие
вещества: оксид азота (III),
диоксид азота, диоксид серы (ангедрид сернистый), керосин, углерод черный
(сажа), оксид углерода. Выброс загрязняющих веществ площадной.
Площадка автоцистерн газообразного топлива
Доставка СУГ на АЗС осуществляется автоцистерной, один раз в два дня.
Выделение загрязняющих веществ происходит в результате сгорания дизельного
топлива при работе двигателя автоцистеры (закачка азота происходит через
герметичную систему). Выделяются следующие загрязняющие вещества: оксид азота (III), диоксид азота, диоксид серы
(ангедрид сернистый), керосин, углерод черный (сажа), оксид углерода. Выброс
загрязняющих веществ площадной.
Стоянка легкового и грузового автотранспорта
Выделение загрязняющих веществ происходит при работе двигателя
автомобилей. В атмосферу выбрасываются: бензин, диоксид азота, керосин, оксид
углерода, деоксид серы, сажа.
Резервуар сбора ливневых вод
В атмосферу выбрасывается смесь углеводородов предельных С1-С5,
содержащихся в сточных водах. Источник выброса организованный - дыхательный
клапан резервуара.
Значения предельно-допустимой концентрации (ПДК) в атмосферном воздухе
населенных пунктов и класс опасности вредных веществ в период эксплуатации
представлены в таблице 6.
Таблица 6 - Концентрации и класс опасности вредных веществ
|
Вещество
|
Используемый критерий
|
Значение критерия, мг/
м3
|
Класс опасности
|
Суммарный выброс вещества
|
|
Диоксид азота
|
ПДК мр
|
0,2000000
|
3
|
0,017319
|
|
Оксид азота
|
ПДК мр
|
0,4000000
|
3
|
0,002814
|
|
Углерод
|
ПДК мр
|
0,1500000
|
3
|
0,001541
|
|
Диоксид серы
|
ПДК мр
|
0,5000000
|
3
|
0,001769
|
|
Сероводород
|
ПДК мр
|
0,0080000
|
2
|
0,000291
|
|
Оксид углерода
|
ПДК мр
|
5,0000000
|
4
|
0,096873
|
|
Пентилены (амилены, смесь
изомеров)
|
ПДК мр
|
1,5000000
|
4
|
0,047023
|
|
Бензол
|
ПДК мр
|
0,3000000
|
2
|
0,042275
|
|
Демитилбензол
|
ПДК мр
|
0,2000000
|
3
|
0,004995
|
|
Метилбензол
|
ПДК мр
|
0,6000000
|
3
|
0,038450
|
|
Этилбензол
|
ПДК мр
|
0,0200000
|
3
|
0,001096
|
|
Ментатиол
|
ПДК мр
|
0,0010000
|
4
|
0,000001
|
|
Бензин (нефтяной
малосернистый)
|
ПДКмр
|
5,0000000
|
4
|
0,001404
|
|
Алканы С12-С19,
углеводороды предельные С12-С19
|
ПДКмр
|
1,0000000
|
4
|
0,,103679
|
|
Смесь углеводородов
предельных С1-С5
|
ОБУВ
|
50,000000
|
|
1,420543
|
|
Смесь углеводородов
предельных С6-С10
|
ОБУВ
|
30,000000
|
|
0,732046
|
|
Керосин
|
ОБУВ
|
1,2000000
|
|
0,010749
|
|
Всего веществ
|
|
|
|
2,512867
|
|
в том числе твердых
|
|
|
|
0,001541
|
|
жидких/газообразных
|
|
|
|
0,119066
|
|
|
|
|
|
|
По данным приведенным в таблице 6 можно сделать следующие выводы. Фоновые
показатели загрязнения атмосферного воздуха не препятствуют эксплуатации АЗС. В
период эксплуатации в атмосферу ожидается выброс 2,5128671 т/год загрязняющих
веществ 18 наименований от 2 до 4 класса опасности.
4.4.2 Складирование (утилизация) отходов
Условия сбора и хранения отходов являются важным фактором степени
воздействия отходов на окружающую природную среду. Степень отходов на
окружающую среду напрямую связана со степенью соблюдений требований нормативных
документов в области сбора и хранения отходов.
Предельный объем временного накопления отходов на предприятии
определяется требованиями экологической безопасности, наличием свободных
площадей для их временного хранения с соблюдением условий безпрепядственного
подъезда транспорта для их погрузки и вывоза на объекты размещения,
периодичностью вывоза отходов.
При временном хранении отходов в нестационарных складах, на открытых площадках
без тары (навалом и насыпью) или в негерметичной таре должны соблюдаться
следующие условия:
Поверхность хранящихся насыпью отходов должна быть защищена от
воздействия атмосферных осадков и ветров (укрытие брезентом);
Поверхность площадки должна иметь искусственную водонепроницаемое и
химически стойкое покрытие (асфальт, керамзитобетон и.т.д.);
По периметру площадки должна быть предусмотрена обваловка и обособленная
сеть ливнестоков.
Периодичность вывоза отходов определяется классом опасности, физико-химическими
свойствами отходов, емкостью контейнеров для временного хранения и нормами
предельного накопления отходов, техникой безопасности,
взрыво-пожаробезопасностью отходов и грузоподъемностью транспортных средств
осуществляющих вывоз отходов.
На предприятии организованы централизованные места для сбора и временного
хранения отходов. По мере накопления отходы передаются для размещения на
специализированных объектах общегородского назначения.
К качественная характеристикам отходов относятся:
класс опасности для окружающей природной среды;
опасные свойства отходов, которые обусловлены содержанием химических
веществ, соединений и агрегатное состояние отходов.
Классификация (перечень), класс опасности и коды отходов приняты согласно
федеральному классификационному каталогу отходов.
4.4.3 Условия хранения отходов на площадке
Смешение отходов на всех стадиях сбора, хранения, транспортирования
недопустимо. Сбор хозяйственно-бытовых отходов в здании, операторной
осуществляется в многоразовые емкости или одноразовые пакеты, которые затем
накапливаются в стандартном металлическом крытом контейнере емкостью 0,75м3.
Смет с территории - в таком же контейнере, количество контейнеров - 2 шт.
Местом хранения контейнеров является специальное асфальтированная
площадка с отбортовкой. Выгрузка отходов из контейнеров осуществляется
транспортом специализированного предприятия.
Накопление песка загрязненного бензином осуществляется в ящики 0,7 м3 с
крышкой, расположенном на территории.
Вывоз отходов осуществляется по мере накопления. Договора на вывоз
отходов заключаются после сдачи объекта в эксплуатацию.
Мероприятия направленные на минимизацию воздействия отходов на окружающую
природную среду
Для выполнения экологических требований по обеспечению охраны природных
сред (растительности, почв, подземных вод и недр) от загрязнения отходами СМР
организуется система обращения с производственными и бытовыми отxодaми. Система
предусматривает:
использование отходов инертных строительных материалов,
образующихся в период СМР, в последующих технологических операциях
строительства объекта, что обеспечивает захоронение наименьшего количества
отходов и сохранение природных ресурсов;
осуществление регулярного вызова отходов к местам размещения и
переработки в период строительства объекта для исключения несанкционированного
размещения отходов и захламления территорий;
организацию раздельного сбора образующих отходов по их видам и
классам с тем, чтобы обеспечить их последующее размещение на предприятии по
переработке, а так же по вывозу на полигон для захоронения;
соблюдение периодичности вывоза отходов и захламления
территорий;
организацию раздельного сбора образующихся отходов по их видам и
классам с тем, чтобы обеспечить их последующее размещение на предприятии по
переработке, а также по вывозу на полигон для захоронения;
соблюдение периодичности вывоза отходов с участка проведения
работ, а также соблюдение условий передачи их на другие объекты для переработки
и захоронения;
соблюдение условий временного хранения отходов на участке проведения
работ в соответствии с требованиями природоохранного законодательства;
соблюдение санитарно-экологических требований к транспортировке
отходов;
заключение договоров на передачу отходов специализированным
организациям перед началом реконструкции.
отходы, образующиеся в период эксплуатации, передаются
организациям-приемщикам данного вида отхода.
передача опасных отходов специализированным организациям,
имеющим соответствующие лицензии на обращение с отходами;
4.5 Защита сооружений от прямых ударов молний
На АЗС проектом предусматривается молниезащита II категории, исходя из
того, что АЗС имеет категорию взрывоопасности В-1Г. Защите от прямых ударов
молнии подлежат дыхательные клапана резервуаров для топлива и пространство над
ними, ограниченного цилиндром высотой 2,5м и радиусом 5м. Поскольку дыхательные
клапана расположены друг от друга достаточно далеко, то для обеспечения их
молниезащиты нужно применить два молниеотвода высотой 18 и 20м в зависимости от
территории их действиях.
Расчет зоны защиты одиночного стержневого молниеотвода
Стандартной зоной защиты одиночного стержневого
молниеотвода высотой h является круговой конус высотой h0 < h, вершина
которого совпадает с вертикальной осью молниеотвода (рис. 1). Габариты зоны
определяются двумя параметрами: высотой конуса h0 и радиусом конуса на уровне
земли r0.
Рис. 1 - Зона защиты одиночного стержневого
молниеотвода М1 и М2.
По степени надежности защиты различают два типа зон:
А - степень надежности защиты превышает 99,5%;
Б - степень надежности защиты составляет 95-99,5%.
Связи между параметрами молниеотвода в зависимости от
типа зон защиты определены формулами
для зоны А
; (1)
; (2)
, (3)
где rX -
радиус горизонтального сечения на высоте защищаемого объекта, м; hX - наибольшая высота защищаемого
сооружения, м.
для зоны Б
; (4)
; (5)
. (6)
Расчетные формулы (1)-(6) пригодны для молниеотводов
высотой до 150 м. При более высоких молниеотводах следует пользоваться
специальной методикой расчета.
для сосредоточенных зданий и сооружений (дымовые
трубы, вышки, башни)
, (7)
где n -
среднегодовое число ударов молнии в 1 км2 земной поверхности в месте нахождения
здания или сооружения, 1/(км2·год); Выбор типа зоны защиты осуществляется в
зависимости от назначения, географического местоположения, классов взрыво и
пожароопасности защищаемого объекта, а также с учетом средней продолжительности
гроз в год.
Результаты расчетов по одиночному молниеотводу М1
показали :
1)H=20м
;
;
;
rx1=14,5м; rx2=17,77м;
)Н=18м:

Согласно РД 3421122-87 во взрывоопасную зону В1-Г
входит пространство в пределах
5м по горизонтали и по вертикали от устройств выброса
3м по горизонтали и по вертикали от технологических
аппаратов перекачивающих СУГ( насосного агрегата).
Также данным разделом предусмотрена молниезащита здания АЗС. Так как в
конструкции здания АЗС предусмотрены стальные формы, то установка
молниеприемной сетки не требуется.
Для защиты от вторичных проявлений молнии, статического электричества и
заноса высоких потенциалов по подземным коммуникациям предусматривается
присоединение к наружному заземляющему устройству резервуаров, технологических
трубопроводов, корпусов технологического оборудования.
Искусственный заземлитель электрооборудования ТРК выполняется в виде
контурного заземлителя с двумя уравнительными полосами. Вертикальные
заземлители из круглой стали Ф18 мм, длиной 3м забиваются в грунт на глубину
500м. К ним привариваются горизонтальные заземлители из стальной полосы 50х5мм.
Защита резервуаров с топливом выполняется замкнутым контуром из стали
полосовой 50х5мм, соединенных со сталью круглой Ø18мм длиной 3м, забиваемой на
глубину500м.
ЗАКЛЮЧЕНИЕ
Рынок автозаправочных станции растет с каждым днем, порождая между собой
жесткую конкуренцию. Последние тенденции на рынке Автозаправочных станции
показали, что строительство мелких АЗС с двумя-тремя топливо -заправочными
колонками стало далеко не выгодно. В настоящее время широкое развитие получило
строительство крупных автозаправочных комплексов с участками для заправки
автомобилей жидким моторным топливом разных видов и сжиженным углеводородным
газом, магазинами и мойками на территории АЗС. Кроме того с каждым днем все
больше внимания уделяется модернизации информационно-технологической
инфраструктуры предприятий автозаправочных комплексов.
На МАЗС г.Челябиск Курчатовского района по улице Мастеровой применено
следующее оборудование, обеспечивающее надежную и бесперебойную работу
комплекса:
введена в эксплуатацию система автоматизации работы АЗС;
вместо привычных стальных трубопроводов используются
полиэтиленовые трубы высокого качества;
для приема и хранения топлива применяются двустенные резервуары
для обеспечения их коррозионной стойкости и герметичности. Кроме того
резервуары снабжаются всем необходимым оборудованием (система переполнения
резервуара, линия газовозврата и огнепреградители, уровнемеры и.т.д.);
насосные агрегаты для перекачки топлива, исключающие образование
воздушных пробок в системе, а значит обеспечивающие бесшумную работу АЗС.
устройство слива топлива из автоцистерны выполнено в виде
законченного модуля, оснащенного линией рециркуляции паров с обратным клапаном
и приямок для сбора утечек топлива;
модернизированные топливораздаточные колонки с блокирующими
муфтами на шланге топливораздаточных пистолетов и топливораздаточными
пистолетами, оборудованными системой автоматического отключения подачи продукта
при заполнении бака клиента.
Так же особое внимание при проектных и монтажных работах на АЗС уделяется
охране труда и безопасности проекта.
На участке автозаправочной станции приняты все необходимые меры по
обеспечению пожарной безопасности:
установлены молниетводы вблизи резервуаров для хранения топлива,
навес над ТРК и крыша операторной выполнены из металла в следствии исключения
прямых ударов молнии;
на территории установлены резервуары с водой;
на всех пожароопасных участках установлены огнетушители.
Экологическая безопасность обеспечена.
По приведенным расчетам выявилось, что следствием осуществления
намечаемой деятельности по строительству и эксплуатации МАЗС в области
обращения с отходами является образование 109,31т отходов в период
строительства и образование 76,11 т/год в период эксплуатации.
Фоновые показатели загрязнения воздуха не препятствуют эксплуатации АЗС.
Даже при самых неблагоприятных условиях максимальные приземные концентрации
загрязняющих веществ, создаваемые выбросами объекта при строительстве,
удовлетворяют санитарно-гигиеническим нормам.
СПИСОК ИСПОЛЬЗОВАННОЙ ЛИТЕРАТУРЫ
1.Типовые расчеты при
сооружении и ремонте газонефтепроводов/ Л.И. Быков 
-
Санкт-Петербург: Недра, 2006. - 824 с.
.Бондарь, В.А. Операции с
нефтепродуктами. Автозаправочные станции / Е.И. Зоря, Д.В. Цагарелли - М. : ООО
"Паритет Граф", 2000. - 407с
.Гольянов, А.И. Газовые сети
и газохранилища/ А. И. Гольянов - Уфа: ООО Издательство научно-технической
литературы «Монография», 2004.
.Грознов, Г.А. Строительство
нефтебаз и автозаправочных станций/ Г.А. Грознов - М: «Недра», 1980.-303с.
.Едигаров, С.Г.
Проектирование и эксплуатация нефтебаз и газохранилищ/ С.Г. Едигаров, С.А
Бобровский -М., «Недра», 1973.-180 с.
. Лурье, М.В.
Трубопроводный транспорт нефтепродуктов/ М.В. Лурье, С.П. Макаров- М.: «Недра»,
1999.- 267 с.
. Типовые расчеты по
проектированию и эксплуатации нефтебаз и нефтепроводов: Учебное пособие для
ВУЗов / Тугунов П.И. [и др.]. - Уфа: ООО « Дизайн - Полиграф Сервис», 2002. -
658с.
. ТЭД 40-52-05 для
автомобильных газозаправочных станций, многотопливных автозаправочных станций,
пунктов наполнения бытовых баллонов.- Нижний Новгород, 2005г.
9. РД
34.21.122-87, «Инструкция по устройству молниезащиты зданий и сооружений»,
Государственный научно-исследовательский энергетический институт им. Г.М.
Кржижановского, 1987.
. НПБ 111-98*
- Автозаправочные станции. Требования пожарной безопасности;
. ППБ 01-03 -
Требования пожарной безопасности в Российской Федерации;
. ПУЭ-2002 -
Правила устройства электроустановок;
. СН 550-82
Инструкция по проектированию технологических трубопроводов из пластмассовых
труб
. СНБ 3.02.01
Склады нефти и нефтепродуктов
. СНиП
3.05.05.84 - Технологическое оборудование и технологические трубопроводы;