Определение потери мощности ЛЭП. Экономическое сечение по максимальной мощности. Выбор проводов по экономической плотности тока
Задача № 1.
Определение потери мощности ЛЭП
Определить потери мощности ВЛ
35 кВ длиной 22 км., по которым получает питание потребитель S2
= 14МВа, при коэффициенте нагрузки cosϕ2
= 0,85
Линия выполнена проводами марки
АС-95 расположенными горизонтально с расстоянием между ними d
= 2 м
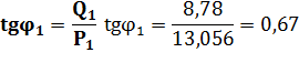
Найти величины cosϕ1
= ?; к.п.д. ЛЭП (η) = ?
Порядок расчета:
P2
= S2·cosφ
= 14·0,85 = 11,9 MBт
Q2
= S2·sinφ
= 14·0,53 = 7,42 МВар
P1
= P2
+ΔP
= 11,9 + 1,156 = 13,056
Q1
= Q2 +ΔQ
= 7,42 + 1,36 = 8,78
Задача № 2.
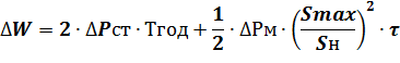
Определение потери электроэнергии
Определить потери
электроэнергии в 2-х трансформаторах подстанции работающих круглый год, если
максимальная мощность
Pmax
= 17 Мвт, cosφ
= 0,91
Параметры трансформатора:
/10 кВ тип ТД, мощность 10 МВа,
время использования:
Порядок расчета:
Smax
= Pmax/cosφSmax
=
17/0,91 = 18,68 Ма
τ=
(0,124 + Ти ·10-4)2·8760 час τ=
(0,124 + 6500 ·10-4)2·8760 = 5248 час
ΔРмном
= 60 кВт; ΔРстали
= 15,5 кВт
Потери электроэнергии в 2-х
трансформаторах
Задача № 3.
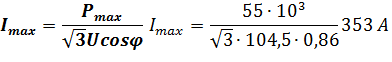
Экономическое сечение по максимальной мощности
Определить экономическое
сечение сталеалюминевых проводов двухцепной воздушной линии электропередачи
напряжением 110 кВ, если наибольшая нагрузка равна 55 тыс.кВт, а
время ее использования 5000 ч. Коэффициент мощности нагрузки cos
φ
= 0,86
Порядок расчета:
При Ти = 5000 ч
экономическая плотность тока jэк
для алюминиевых проводов равна 1,1 А/мм2
Экономическое сечение провода
каждой линии
Принимаем провода марки АС -
150
Задача № 4. Выбор
проводов по экономической плотности тока
Выбрать площадь сечения
алюминиевых проводов воздушной линии трехфазного тока напряжением 10 кВ
по экономической плотности тока для вариантов, когда площади сечения проводов
на участках линии различны и когда они постоянны по всей длине линии.
Значения нагрузок в киловаттах
и киловольт - амперах, а также длины участков в километрах указаны на рис. 1.
Время использования наибольшей нагрузки линии Ти = 4800 ч.
Находим токи на отдельных участках:
Порядок расчета:
Определяем площадь сечения
проводов для первого варианта. При Ти = 4800 ч находим
экономическую плотность тока jэк
= 1,1 А/мм2. Тогда
FAa
= IAa/jэк
= 86/1,1 = 78 мм2 (принимаем провод А-70)
Fab
= 73/1,1 = 66 мм2 (провод А-70)
Fbc
= 20/1,1, = 18 мм2 (провод А-25)
Fbd
= 26/1,1 = 23 мм2 (провод А-25)
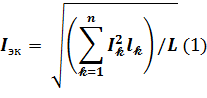
Чтобы определить площадь
сечения проводов при постоянстве ее по всей длине магистрали, по формуле (1)
находим эквивалентный ток:
Тогда площадь сечения провода
будет одинаковой по всей длине линии:
F
= 76,1/1,1 = 65,09 мм2, т.е. принимаем
провод А - 70
Задача № 5.
Наибольшая потеря напряжения в кабельной сети
Определить наибольшую потерю
напряжения в кабельной сети 6 кВ. Длины и площади сечения, медных жил кабелей
указаны на рис.2. Индуктивное сопротивление кабелей независимо от сечения можно
принять Х0 = 0,08 Ом/км. Активное сопротивление при площади сечения жил кабелей
16: 35 и 95 мм2 равны соответственно 1,15; 0,52 и 0,2 Ом/км.
Потерю напряжения до точки 4
определим по формуле
ΔUA4
= √3[J4cosφ4
R14+RA1)+
(J1cosφ1+J2cosφ2+J3cosφ3)+
RA1+J4sinφ4
(X14+XA1)+
(J1sinφ1+J2sinφ2+J3sinφ3)XA1]
ΔUA4
=
√3[44·0,87*(1,15*1+0,2*0,8)+ (122*0,98+88*0,78+22*0,99)*
0,2*0,8+44*0,493*(0,08*1,8)+(122*0,198+88*0,63+22*0,141)*0,08*0,8] = 159 B
Потерю напряжения до точки 3
определим по формуле
Наибольшая потеря напряжения ΔUA4
= 159 В
Задача № 6. Потеря
напряжения и мощности в линии
электроэнергия
трансформатор напряжение провод
Линия трехфазного переменного
тока напряжением 10 кВ питает две нагрузки (рис.3.). Вдоль всей линии подвешен
стальной многожильный провод ПМС-50. Среднегеометрическое расстояние между
проводами линии Dср =1,26 м.
Определить потерю напряжения в линии от пункта питания до наиболее удаленной
нагрузки, найти потерю активной мощности и выразить ее в процентах от мощности
нагрузок.
Для того чтобы определить
активное и внутреннее индуктивное сопротивление стальных проводов линии, необходимо
знать токи на участках линии:
Активное сопротивления проводов
на единицу длины:
R02
= 2,76 Ом/км; R01
= 2,85 Ом/км
Внутренние индуктивные
сопротивления:
Х02 =
0,28 Ом/км;Х01 = 0,42 Ом/км;
Внешнее индуктивное сопротивление
фазы трехфазной линии на единицу длины
Активные и индуктивные
сопротивления участков линии:
R1
= R01l1
= 2,85*3 = 8,55 Ом
R2
= R02l2
= 2,76*2,5 = 6, 9 Ом
Потеря напряжения в линии

Тоже в процентах от мощности
нагрузок