|
Первая
цифра шифра
|
Размеры
котлована и траншеи в плане по дну, м
|
Группа,
вид грунта и его объёмная масса, т/м3
|
Глубина
котлована и траншеи, м
|
|
2
|
Котлован
круглый радиусом = 13; Траншея 315*2,1.
|
I группа; Лесс
мягкий; Объёмная масса = 1,6
|
h 1= 3,4 h 2= 2,1
|
|
Последняя
цифра шифра
|
Расстояние
вывозки в отвал, км
|
Средняя
скорость движения автосамосвала, км/ч
|
Растительный
слой грунта
|
|
9
|
2
|
30
|
Вывозится
|
.
ПРОЕКТИРОВАНИЕ ПРОИЗВОДСТВА ЗЕМЛЯНЫХ РАБОТ
2.1 Определение состава процессов и объемов
работ при устройстве котлована и траншеи
Комплекс работ по устройству котлована и траншеи
можно разделить на следующие простые процессы:
срезка растительного слоя грунта на территории
строительной площадки;
погрузка и транспортирование растительного слоя
грунта;
разработка грунта в котловане и траншее;
транспортирование разработанного в котловане
грунта;
зачистка дна котлована и траншеи.
.2 Определение объемов работ по разработке
грунта в котловане и траншее
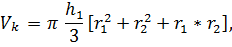
Объем прямоугольного в плане котлована с
откосами (рис. 2.1.) без рельефа местности определяется по формуле:
где 
радиусы котлована понизу и поверху,
м; h1 - глубина
котлована, м.
Радиус котлована поверху
определяется по формуле:

mh1;
где m -
показатель крутизны откоса, определяемый по табл. 1 [2] или по данным прил. 1
[1].
Произведем вышеперечисленные расчеты
и нарисуем полученный результат на рис. 2.1.

;
Vк = 
(
) = 2050 м3.
Рис.2.1Котлован круглый.
Для разработки грунта в котловане
принимается экскаватор «драглайн» Э-302, вместимостью ковша со сменной режущей
кромкой 0,4
. Длина стрелы 10,5м; наибольший
радиус копания 10,1м; наибольшая глубина при концевом проходе 7м.
Объем траншеи определяется из
условия постоянного поперечного сечения по формуле:
Vm = FL,
где F - площадь
поперечного сечения траншеи, м2; L - заданная
длина траншеи, м.
Горизонтальное заложение (проекция)
откоса к его высоте определяется по формуле:

= m*h2 ,
где m -
показатель крутизны откоса, или коэффициента откоса, который определяется по
табл. 1 [2] или по данным прил. 1 [1].
Площадь поперечного сечения траншеи
определяется по формуле:
F = h2 (
+ 
).
Произведем вышеперечисленные расчеты
и нарисуем полученный результат на рис. 2.2

= 0,5*2,1 = 1,05 м;
F = 2,1*(1,05
+ 1,4) = 5,145 м2;
Vm = 5,145*315
= 1620,68 м3.
Рис.2.2 Поперечное сечение траншеи.
2.3 Определение объемов работ по
срезке растительного слоя грунта с котлована и траншеи
Площадь срезки растительного слоя в
квадратных метрах определяется размерами котлована поверху с добавлением с
каждой стороны выемки полосы шириной 5 м для прямоугольного котлована с
добавлением к радиусу по верху выемки 5 м для круглого котлована и 6 м для
траншеи.
Площадь срезки растительного слоя по
всей площади котлована определяется по формуле:
S р.с.к = 

Площадь срезки растительного слоя
траншеи определяется по формуле:
Sp.c.m =(L+12)(2a′+b+12).
Толщина растительного слоя hp.c. равна 0,15
м; грунт без корней и примесей природной влажности.
Объем работ по срезке растительного
слоя по всей площади котлована определяется по формуле:
Vp.c.к = 
hp.c.
Объем работ по срезке растительного
слоя траншеи определяется по формуле:
Vp.c.т =
( L+12)(L+12)(2a′+b+12) hp.c.
S р.с.к = 3,14*
= 1661,06 м2 ;
Sp.c.m = (315+12) *
(2*1,05+1,4+12) = 5068,5 м2 ;
Vp.c.к = 3,14*
* 0,15 = 249,159 м3 ;
Vp.c.т = (315+12) *
(2*1,05+1,4+12) * 0,15 = 760,275 м3.
.4 Определение объемов работ по
зачистке дна котлована и траншеи
При разработке грунта экскаватором
на дне котлована и траншеи остается недобор грунта, величина которого hн принимается
равной 0,1м. Объем недобора V н.к м3,
по всей площади котлована определяется по формуле:
V н.к = π
hн.
Объем недобора Vн.m, м3,
по всей площади траншеи определяется по формуле:
Vн.m = b′Lhн
С учетом вышеизложенного общий объем
работ по срезке растительного слоя грунта определятся по формуле:
V р.с = Vp.c.к + Vp.c.т
Общий объем работ по разработке
грунта экскаватором в котловане определяется по формуле :
Vэ.к = Vк - Vр.с.к - Vн.к
Общий объем работ грунта
экскаватором в траншее определяется по формуле:
Vэ.m = Vm -Vp.c.т - Vн.m
Произведем выше перечисленные
расчеты и нарисуем полученный результат на рис. 2.3.
V н.к = 3,14*
*0,1 = 53,066 м3;
Vн.m =
1,4*315*0,1 = 44,1 м3 ;
V р.с =
249,159+760,275 =1009,434 м3 ;
Vэ.к =
2050-249,159-53,066 = 1747,78 м3 ;
Vэ.m = 1620,68 -
760,275 - 44,1 = 816,305 м3.
2.5 Подбор комплектов машин для производства
земляных работ
Срезка растительного слоя выполняется согласно
[3]: бульдозерами с шириной расчистки до 30 м или грейдерами с перемещением
грунта к краю полосы.
Разработка грунта в котлованах осуществляется
одноковшовыми экскаваторами с рабочим оборудованием прямая и обратная лопата,
драглайн. Траншеи могут разрабатываться одноковшовыми экскаваторами с рабочим
оборудованием обратная лопата или драглайн. В каждом конкретном случае
учитываются вид грунта, размеры выемки и другие условия. В зависимости от вида
грунта ковш экскаватора может быть с зубьями или с режущей кромкой.
Ориентировочная ёмкость ковша экскаватора в
зависимости от объёма работ принимается по прил. 2 [1]. Более плотные грунты
целесообразно разрабатывать экскаватором прямая лопата, лёгкие - обратная
лопата, драглайн. Для экскаваторов с рабочим оборудованием прямая лопата
необходимо учитывать глубину копания.
Наименьшая глубина копания, обеспечивающая
полное наполнение ковша за одно черпание, принимается в прил. 3 [1]. Если
глубина копания меньше глубины котлована или траншеи, то разработка грунта
производится в несколько слоёв. Разработка грунта в котловане и траншее
нормируется по [3].
Грунт, разрабатываемый экскаватором в котловане,
транспортируется в отвал. Грунт, разрабатываемый экскаватором в траншее,
складируется на строительной площадке. Рекомендуемая грузоподъёмность
автосамосвалов, в зависимости от ёмкости ковша экскаватором и расстояния
транспортирования грунта (5,6 км), принимается по прил. 4[1], а марка машин- по
прил. 5[1]. Для обеспечения непрерывной работы экскаватора с погрузкой грунта в
транспорт рассчитывается необходимое количество автосвалов по формуле.
где Тц - время одного цикла автосамосвала, мин; tp-расчётная
продолжительность погрузки, мин; L
- расстояние транспортирования грунта, км; Vcp-
средняя скорость движения автосамосвала, мин.
Время погрузки автосамосвала определяется по
формуле:

где Q
- грузоподъёмность автосамосвала, т;Нмвр- норма времени,
маш. - ч/100м3; γ- плотность
грунта, т/м3.
Согласно [5]:
) для срезки растительного слоя принимаем
бульдозер марки ДЗ-8 на базе трактора Т-100, который обеспечивает норму времени
разработки 1000 м² очищенной
поверхности за 0,84 маш-ч;
2) для разработки грунта котлована
принимаем экскаватор-«драглайн» марки Э-302, вместимостью ковша со сплошной
режущей кромкой 0,4 м³
длина
стрела 10,5 м; наибольший радиус копания 10,1м; наибольшая глубина при концевом
проходе 7 м; который обеспечивает норму времени разработки 100 
за 3,1 маш-ч;
) для разработки грунта в траншее
принимаем одноковшовый экскаватор марки ЭО-3311 со сплошной режущей кромкой,
оборудованный обратной лопатой, который обеспечивает норму времени разработки
100 
за 2,6 маш-ч;
) в качестве автомобиля-самосвала
для выполнения транспортировки грунта на 2 км выбран УРАЛ-555710
грузоподъемностью 7т.
3. ТЕХНОЛОГИЯ И ОРГАНИЗАЦИЯ ЗЕМЛЯНЫХ РАБОТ
В этом разделе приводятся технические
характеристики принятых машин, описывается технология и организация работ по
заданному варианту.
Совместная работа экскаватора и автосамосвалов
(1,2,3) изображается в виде графика (рис. 3.1)
Рис.3.1. График совместной работы экскаватора и
автосамосвалов.
.1 Подготовительные и вспомогательные процессы
Подготовительные и вспомогательные процессы
должны обеспечивать качественное и безопасное производство работ и в
зависимости от местных условий и типа возводимого земляного сооружения включают
разбивку земляных сооружений, водоотлив и понижение уровня грунтовых вод,
временное крепление стенок выемок, искусственное закрепление грунтов. В нашем
варианте применяется один подготовительный процесс - процесс разбивки земляных
сооружений.
Разбивка сооружений состоит в установлении и
закреплении их положения на местности. Разбивку осуществляют с помощью
геодезических инструментов и различных измерительных приспособлений.
Разбивку котлована начинают с выноса и
закрепления на местности створными знаками основных рабочих осей, в качестве
которых обычно принимают главные оси I-I и II-II (рис.3.2, а).
Обноска разового использования (рис.3.2, в)
состоит из вкопанных деревянных столбов и прикрепленным к ним досок. Доска
должна быть толщиной не менее 40 мм, иметь обрезную грань, обращенную кверху, и
опираться не менее чем на три столбика (рис. 3.2, г). Для пропуска
транспортных средств в обноске организованы разрывы.
На обноску переносят основные разборчивые оси и,
начиная от них, размечают все остальные оси. Все оси закрепляют на обноске
гвоздями или пропилами и нумеруют. Размеры котлована поверху, понизу и другие
характерные его точки отмечают хорошо видимыми колышками.
Для траншеи устраивают только поперечные
обноски, которые располагают на прямых участках через 50 м, на закруглениях -
через 20 м (рис. 3.2, д). Обноску устраивают также на всех пикетах и
точках перелома профилях [3].
Рис. 3.2. Схема разбивки котлованов и траншей.
а - схема
разбивки котлована; б - схема обноски; в - элементы обноски
разового использования; г - инвентарная металлическая обноска; д -
схема разбивки траншеи; I-I и II-II - главные оси здания; III-III - оси стен
здания; 1- границы котлована; 3 - проволока (причалка); 4 - отвесы; 5 - доска;
6 - гвоздь; 7 - стойка.
.2 Разработка грунта механическим методом
Экскаватор с оборудованием драглайн используется
преимущественно при разработке широких котлованов, выемок, каналов, так как
свободно подвешенный на длинной стреле ковш позволяет вести копание на
значительном расстоянии от места стоянки самой машины. Экскаватор-драглайн
предназначен для разработки мягких, а с предварительным рыхлением и скальных
грунтов ниже уровня стоянки и из-под воды с выгрузкой их в отвал, а иногда с
погрузкой на транспорт. . Основными рабочими параметрами экскаваторов при
разработке выемок являются: максимально возможная глубина копания (резания) - Н,
, наибольший радиус копания Rр,
радиус выгрузки RB,
высота выгрузки HB
(рис 3.3).
Рис. 3.3. Схема рабочих параметров экскаватора -
драглайн.
Разработку ведут или боковым забоем, когда
экскаватор перемещается по бровке выемки параллельно ее оси, или лобовым
забоем, когда экскаватор перемещается по оси выемки и разрабатывает грунт на
«себя» .
Боковым забоем разрабатывают широкие выемки.
Лобовым забоем разрабатывают узкие выемки с укладкой грунта в отвал по одну или
обе стороны либо с погрузкой его на транспорт.
Рис.3.4 Схемы работы экскаватора - драглайн.
а - лобовая
проходка; б - боковая проходка.
Автотранспорт в зависимости от условий работы
может располагаться по верху разработки (рис.3.4, а) или по подошве
забоя (рис.3.4, б).
Согласно [5] нами был принят одноковшовый
экскаватор-драглайн Э-302 со сплошной режущей кромкой. Представим его
технические характеристики в таб. 3.1.
|
Показатель
|
Единица
измерения
|
Марка
экскаватора Э-302
|
|
Вместимость
ковша
|
М³
|
0,4
|
|
Длина
стрелы
|
М
|
10,5
|
|
Наибольший
радиус копания
|
М
|
10,1
|
|
Наибольший
радиус выгрузки
|
М
|
10,1
|
|
Наибольшая
глубина при концевом проходе.
|
М
|
7
|
Экскаватор с обратной лопатой используют при
разработке грунтов, которые находятся ниже уровня экскаватора, и
преимущественно при рытье небольших котлованов и траншей (рис. 3.5).
Рис. 3.5 Схема рабочих параметров одноковшового
экскаватора с рабочим оборудованием "обратная лопата".
Разработку грунта ведут ниже уровня стоянки
экскаватора боковым забоем (рис 3.6) с погрузкой грунта в транспорте средства.
Рис.3.6 Схемы работы экскаватора со сменным
оборудованием обратная лопата.
3.3 Разработка недобора грунта
Разработка недобора грунта в котловане и траншее
осуществляется рабочими вручную.
.4 Срезка растительного слоя бульдозерами
Согласно [5] нами был принят бульдозер марки
ДЗ-18 на базе трактора Т-100. Представим его технические характеристики в табл.
3.2.
Таблица 3.2 - Технические характеристики
бульдозера:
|
Наименование
показателя
|
Марка
бульдозера ДЗ-8
|
|
Тип
отвала
|
Неповоротный
|
|
Длина
отвала, м
|
3,03
|
|
Высота
отвала, м
|
1,1
|
|
Управление
|
Канатное
|
|
Мощность,
кВт (л.с.)
|
79
(108)
|
|
Марка
трактора
|
Т-100
|
|
Масса
бульдозерного оборудования, т
|
1,58
|
4.ТЕХНИКА БЕЗОПАСНОСТИ ПРИ ПРОИЗВОДСТВЕ ЗЕМЛЯНЫХ
РАБОТ
Участники производства работ в населенных
пунктах или на территории организации во избежание доступа посторонних лиц
должны быть ограждены. Запрещается разрабатывать грунт растительного слоя и
перемещать его при движении на подъем или под уклон с углом наклона более
указанного в паспорте применяемой машины. При остановке бульдозера на
длительный период необходимо заглушить двигатель, опустить отвал на землю и
заморозить бульдозер. Во время работы двигателя категорически запрещается
находиться в пространстве между трактором и рамой бульдозера. Запрещается во
время работы бульдозера нахождение людей в радиусе 10 м от работающего бульдозера,
при срезке грунта растительного слоя запрещается:
o Работать на неисправных машинах;
o На ходу смазывать машину, устранять
неисправности, регулировать машину, входить в машину и выходить из нее;
o Оставлять машину при работающем
двигателе;
o Находиться на машинах или в
непосредственной близости к ним посторонним лицам.
При срезке грунта растительного слоя необходимо
выполнять следующие требования:
o в ночное время машина должна иметь
габаритные световые сигналы и фары для освещения пути движения;
o при одновременной работе двух
бульдозеров друг за другом расстояние между ними должно составлять не менее 10
метров;
o при перерывах в работе машина должна
быть заторможена.
Извлечённый из выемки грунт растительного слоя
необходимо размещать на расстоянии не менее 0,5м от бровки этой выемки.
Погрузка грунта растительного слоя на
автосамосвалы должна производиться со стороны заднего или бокового борта.
После окончания работы машинист должен поставить
машину на место, отведенное для ее стоянки, выключить двигатель, перекрыть
подачу топлива, в зимнее время слить воду из системы охлаждения во избежание ее
замерзания, очистить машину от грязи и масла, подтянуть болтовые соединения,
смазать трущиеся части. Кроме того, машинист должен убрать пусковые приспособления,
тем самым, исключить всякую возможность запуска машины посторонним лицам. На
время стоянки машина должна быть заторможена, а рычаги управления поставлены в
нейтральное положение. При передаче смены необходимо сообщить сменщику о
состоянии машины и всех обнаруженных неисправностях [4].
5. КАЛЬКУЛЯЦИЯ ТРУДОВЫХ ЗАТРАТ МАШИННОГО ВРЕМЕНИ
строительный котлован земляной
Калькуляция затрат труда составляется на основе
объёмов работ, принятых способов производства работ и сборника ЕНиР 2 «Земляные
работы». Калькуляция затрат труда и затрат машинного времени выполняется по
форме и отображена в табл. 5.1.(Приложение)
6. ГРАФИК ПРОИЗВОДСТВА РАБОТ
График производства работа определяет
последовательность и продолжительность выполнения строительных процессов. В основу
составления графика заложены следующие принципы: выполнение работ ведется в
строгой технологической последовательности; максимально совмещение по времени
отдельных процессов; двухсменная работа едущих машин. Процессы по срезке
растительного слоя грунта, разработке котлована и траншеи, зачистке дна
котлована выполняются последовательно.
График производства работ выполняется по форме и
отображен в табл. 6.1.(Приложение)
7. ТЕХНИКО-ЭКОНОМИЧЕСКИЕ ПОКАЗАТЕЛИ ПРИ
ПРОИЗВОСТВЕ ЗЕЛЯНЫХ РАБОТ
. Общая продолжительность работ Т = 9 дн.
. Нормативная трудоемкость земляных работ Qн
=
40,95 чел.-дн
. Проектная трудоемкость земляных работ
Qпр=∑
(NiTimi)=
Qпр
= 40,5 чел.-дн
. Производительность земляных работ
П = 101,1%
Исходя из полученных расчетов продолжительности
земляных работ, видно, что нормативная трудоемкость земляных работ превышает
проектную на 0,9%. Из чего следует сделать вывод, при заданном темпе работ,
рабочие смогут выполнить поставленный им объем работ, гораздо быстрее, чем
предполагалось по норме. Возможно, руководству строительной организации стоило
бы поощрить работников премией или каким-либо поощрением, за своевременно
выполненную и качественно проделанную работу, особенно, если при этом
строительства сжатые сроки.
СПИСОК ИСПОЛЬЗУЕМЫХ ИСТОЧНИКОВ
1. А. А. Локтева, Г.М. Соломонова
Производство земляных работ : методические указания и задания к выполнению
контрольной работы для студентов специальностей 270102.65 «Промышленное и
гражданское строительство», 080502.65 «Экономика и управление на предприятии (в
строительстве)» дневной ускоренной, заочной и заочно-ускоренной форм обучения.
- Хабаровск : Изд-во Тихоокеан. гос. ун-та, 2011. - 24с.
2. Теличенко В. И. Технология
строительных процессов : учеб. для строит. вузов: в 2 ч./ В. И. Теличенко, О.
М. Терентьев, А. А. Лапидус. - 2-е изд., испр и доп. - М.: Высш. шк., 2005.-
Ч.1. - 198 с.; Ч.2. - 393 с.
. А. А. Афанасьев Технология
строительных процессов : учебник/ под ред. Н. Н. Данилова и О.М. Терентьева -
2-е изд., перераб. - М. : Высш. шк., 2000. - 464 с.
. СНиП 3.02.-87. Земляные
сооружения, основания и фундаменты. - М. : Стройиздат, 1988. - 128 с.
. ЕНиР. Сборник Е2. Земляные
работы. В 3 вып. Вып. 1. Механизированные и ручные земляные работы/ Госстрой
СССР. - М. : Стройиздат, 1988. - 224 с.
. СНиП 12-04-2002.
Безопасность труда в строительстве. В 2ч. Ч.2 Строительное производство. - М.
Книга-сервис, 2003. - 48 с.
ПРИЛОЖЕНИЕ
Таблица 5.1 - Калькуляция затрат труда и затрат
машинного времени
График производства работ