|
Наименование
усилия.
|
Значение
усилия.
|
|
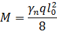
Максимальный
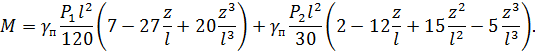
изгибающий момент для расчета по предельным состояниям первой группы,  , кН*м.158,5
|
|
|
Максимальная
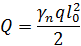
поперечная сила для расчета по предельным состояниям первой группы, Q
, кН.
|
116,4
|
|
Максимальный
изгибающий момент (от постоянной и кратковременной нагрузки) для расчета по
предельным состояниям второй группы,  , кН*м.135,5
|
|
|
Максимальный
изгибающий момент (от постоянной и длительной нагрузки) для расчета по
предельным состояниям второй группы,  кН*м.131,8
|
|
Расчетная схема для определения усилий в полке,
окаймленной двумя продольными и двумя поперечными ребрами плиты покрытия,
представляет собой защемленную по краям четырёхугольную пластинку (рисунок
2.3), загруженную равномерной нагрузкой.
Расстояние в свету между двумя поперечными
ребрами плиты (одно из этих ребер является средним) на уровне низа полки:
Рисунок 2.3 - Защемленная по краям полка,
окаймленная двумя продольными и двумя поперечными ребрами плиты покрытия.
Расстояние в свету между двумя продольными
ребрами плиты на уровне низа полки:
Расстояния 
и 
примерно равны и рассматриваемую
часть полки можно считать практически квадратной.
Равномерно распределенная нагрузка
для расчета полки плиты по предельным состояниям первой группы:
При расчете полки плиты по методу
предельного равновесия расчетное значение (для предельных состояний первой
группы) изгибающего момента на опорах и в середине пролетов (отнесенное к
полосе шириной 1 м):
Расчетная схема для определения
усилий в среднем поперечном ребре плиты покрытия приведена на рисунке 2.4.
Рисунок 2.4 - Расчетная схема для
определения усилий в среднем поперечном ребре плиты покрытия.
Расчетный пролет поперечного ребра
плиты равен расстоянию в свету между продольными ребрами на уровне низа
поперечного ребра:
Равномерно распределенная нагрузка
от веса поперечного ребра плиты (для расчета по предельным состояниям первой
группы):
Максимальное расчетное значение (для
предельных состояний первой группы) действующей на поперечное ребро плиты
распределенной нагрузки:
Минимальное расчетное значение (для
предельных состояний первой группы) действующей на поперечное ребро плиты
распределенной нагрузки:
Максимальный изгибающий момент для
расчета по предельным состояниям первой группы:
Максимальная поперечная сила для
расчета по предельным состояниям первой группы:
.4 Определение характеристик бетона
и арматуры
Примем бетон класса по прочности на
сжатие В 20.
Нормативное значение (расчетное
значение для предельных состояний второй группы) сопротивления бетона осевому
сжатию (призменная прочность) 
15,0 МПа.
Нормативное значение (расчетное
значение для предельных состояний второй группы) сопротивления бетона осевому
растяжению 
Расчетное значение сопротивления
бетона осевому сжатию для предельных состояний первой группы 
11,5 МПа.
Расчетное значение сопротивления
бетона осевому растяжению для предельных состояний первой 
0,90 МПа.
Примем передаточную прочность бетона
(прочность бетона к моменту его обжатия) 
Эту прочность следует назначать не
менее 15 МПа и не менее 50 % принятого класса бетона по прочности на сжатие.
Начальный модуль упругости бетона
при сжатии и растяжении 
Коэффициент ползучести 
2,8.
Примем в качестве предварительно
напряженной арматуры арматуру класса А600 по прочности на растяжение.
Нормативное значение (расчетное
значение для предельных состояний второй группы) сопротивления арматуры
растяжению 
Расчетное значение сопротивления
арматуры растяжению для предельных состояний первой группы 
.5 Расчет полки плиты покрытия на
действие изгибающего момента
Подбор арматуры полки плиты
выполняют как для изгибаемого элемента прямоугольного поперечного сечения
высотой:
и шириной
Рабочая высота поперечного сечения
полки плиты:
Определим вспомогательную величину:
Определим по таблице вспомогательную
величину 
.
Так как 
<
, то требуемая площадь поперечного
сечения продольной арматуры в растянутой зоне бетона:
Расстояние между осями стержней
продольной арматуры должно быть не более удвоенной высоты поперечного сечения
элемента, т.е. не более 100 мм. Примем десять стержней диаметром 4 мм класса
В500 с As= 126 мм2.
.6 Расчет поперечного ребра плиты
покрытия на действие изгибающего момента
Рабочая высота поперечного сечения
поперечного ребра плиты:
Определим по таблице вспомогательную
величину: 
Определим по таблице вспомогательную
величину: 
Значение 
, вводимое в расчет, принимают из
условия, что ширина свеса полки в каждую сторону от ребра должна быть не более:
Поперечное сечение поперечного ребра
плиты покрытия приводим к эквивалентному тавровому (рисунок 2.5). Ширина ребра
в запас прочности принята 50 мм.
Рисунок 2.5 - Эквивалентное
поперечное сечение поперечного ребра плиты покрытия.
Так как 
, то требуемая площадь поперечного
сечения продольной арматуры в сжатой зоне бетона :
следовательно, сжатой продольной
арматуры по расчету не требуется. Однако для приварки поперечной арматуры
ставятся сжатые продольные стержни таким же диаметром и классом, как и у
поперечной арматуры.
Проверим условие прохождения границы
сжатой зоны бетона в полке плиты:
т.е. граница сжатой зоны бетона
проходит в полке плиты, следовательно, площадь поперечного сечения продольной
арматуры определяется как для прямоугольного поперечного сечения шириной 
Определим вспомогательную величину:
Так как 
<
, то требуемая площадь поперечного
сечения продольной арматуры в растянутой зоне бетона:
Примем один стержень диаметром 12 мм
класса А400 с 
.7 Расчет поперечного ребра плиты
покрытия на действие поперечной силы
.7.1 Расчет по полосе между
наклонными сечениями
Условие прочности при расчете по
полосе между наклонными:
т.е. прочность по полосе между
наклонными сечениями обеспечена.
Строго говоря, при проверке
предыдущего условия необходимо принимать поперченную силу в нормальном сечении,
расположенном на расстоянии от опоры не менее 
. Но так как в том сечении величина
поперечной силы меньше, чем в опорном сечении, то условие прочности будет тем
более выполняться.
1.7.2 Расчет по наклонным сечениям
Условие прочности при расчете по наклонным
сечениям (первоначально поперечная арматура в расчет непринята):
т.е. прочность по наклонному сечению не
обеспечена, требуется поперечная арматура.
.8 Определение предварительных напряжений
арматуры
Предварительные напряжения арматуры без потерь:
Предварительные напряжения арматуры
(без потерь) принимают не более 
и не менее 
Потери предварительного напряжения
от релаксации напряжений арматуры при электрическом способе натяжения:
Потери предварительного напряжения
от температурного перепада 
(определяемого как разность
температур натянутой арматуры в зоне нагрева и устройства, воспринимающего
усилия натяжения єС):
Первые потери предварительного
напряжения (до передачи усилий натяжения на бетон):
Потери предварительного напряжения
от усадки бетона:
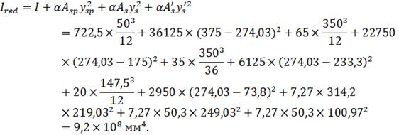
Для определения потерь
предварительного напряжения от ползучести бетона вычислим геометрические
характеристики половины поперечного сечения плиты (до оси симметрии). Эта часть
поперечного сечения приведена на рисунке 2.6.
Рисунок 2.6 - Часть поперечного
сечения плиты (до оси симметрии).
Коэффициент приведения арматуры к
бетону:
Площадь половины поперечного сечения
плиты:
В первом приближении примем диаметр
напрягаемой арматуры 20 мм: 
, а диаметр ненапрягаемой арматуры 8
мм с As = A's = 50,3 мм2.
Площадь половины приведенного
поперечного сечения плиты:
Статический момент половины
поперечного сечения плиты относительно нижней грани продольного ребра:

.
Расстояние от центра тяжести
половины приведенного поперечного сечения плиты до нижней грани продольного
ребра:
Расстояние от центра тяжести
половины приведенного поперечного сечения плиты до равнодействующей усилий в
продольной арматуре (предварительно напряженной и ненапряженной - нижней и
верхней):
Момент инерции половины приведенного
поперечного сечения плиты относительно его центра тяжести:
Усилие предварительного обжатия
бетона с учетом первых потерь предварительного напряжения:
Эксцентриситет усилия 
относительно центра тяжести половины
приведенного поперечного сечения плиты:
Максимальное сжимающее напряжение в
бетоне от действия усилия 
:
Это напряжение не должно превышать 
Коэффициент армирования:

Равномерно распределенная нагрузка
от веса половины плиты
q = 0,75
*2704 = 2028 Н/м.
Максимальный изгибающий момент от
этой нагрузки:
1.9 Армирование плиты покрытия
Армирование плиты покрытия показано на рисунке
2.8 (позиции 1, 5 и 6 - сетки; 2, 3 и 4 - каркасы; 7 - изделие закладное,
включающее монтажную (подъемную) петлю; 8 - предварительно напряженная
арматура).
плита бетон арматура колонна
Рисунок 2.8 - Армирование плиты покрытия.
2. Расчет колонны
.1 Опалубочный чертеж колонны
Опалубочный чертеж колонны К1 приведен на
рисунке 3.1 (позиция 2 - изделие закладное, предназначенное для монтажа
колонны; позиция 3 - изделие закладное, предназначенное для соединения колонны
и ригеля).
Рисунок 3.1 - Опалубочный чертеж колонны.
.2 Сбор нагрузок на колонну
Сбор нагрузок на колонну приведен в таблице 3.1.
При этом учтено, что нагрузки, передаваемые на
колонну через ригель, собираются с грузовой площади 36 м (на эту площадь
умножались значения нагрузок из таблицы 2.1).
Как и ранее по строке «Итого кратковременная
нагрузка» таблицы в расчет принята наибольшая из кратковременных нагрузок, т.
к. предполагается, что совместное действие кратковременных нагрузок не
допускается мероприятиями по эксплуатации резервуара.
Таблица 3.1 - Сбор нагрузок на колонну.
|
Вид
нагрузки.
|
Нормативное
значение (расчетное значение для предельных состояний второй группы), И
|
Коэффициент
надежности по нагрузке для предельных состояний первой группы
|
Расчетное
значение для предельных состояний первой группы, И
|
|
1
Постоянная нагрузка
|
|
|
|
|
а)
постоянная нагрузка, собранная на плиту покрытия
|
794592
|
__
|
911952
|
|
б)
вес ригеля
|
51834
|
1,1
|
57017
|
|
в)
вес колонны (участок от верха колонны до обреза фундамента длиной 2,6 м)
|
10712
|
1,1
|
11783
|
|
Итого
постоянная нагрузка
|
857138
|
__
|
980752
|
|
2
Временная нагрузка
|
|
|
|
|
2.1
Кратковременная нагрузка
|
|
|
|
|
а)
снеговые нагрузки для V-гo
снегового района
|
80640
|
1,4
|
112896
|
|
б)
нагрузки на участках обслуживания и ремонта оборудования
|
54000
|
1,3
|
70200
|
|
Итого
кратковременная нагрузка
|
80640
|
__
|
112896
|
|
2.2
Длительная нагрузка
|
|
|
|
|
а)
снеговые нагрузки для V-гo
снегового района (70 % от стр. 2.1 а)
|
56448
|
1,4
|
79027
|
|
Итого
длительная нагрузка
|
56448
|
__
|
79027
|
.3 Определение усилий в колонне
Расчетная схема для определения усилий в колонне
приведена на рисунке 3.2 (в запас принято, что вся нагрузка приложена к колонне
сверху).
Рисунок 3.2 - Расчетная схема для определения
усилий в колонне.
Длина колонны от верхнего ее края до обреза
фундамента l = 2600 мм.
Значения усилий в колонне сведены в таблицу 3.2.
Таблица 3.2 - Усилия в колонне.
|
Наименование
усилия.
|
Значение
усилия.
|
|
Максимальная
продольная сила (от постоянной и кратковременной нагрузки) для расчета по
предельным состояниям первой группы, N,
кН.
|
1093,6
|
|
Максимальная
продольная сила (от постоянной и длительной нагрузки) для расчета по
предельным состояниям первой группы,  , кН.1059,8
|
|
.4 Определение характеристик бетона и арматуры
Примем бетон класса по прочности на сжатие В 15.
Нормативное значение (расчетное
значение для предельных состояний второй группы) сопротивления бетона осевому
сжатию (призменная прочность): 
Расчетное значение сопротивления
бетона осевому сжатию для предельных состояний первой группы: 
Начальный модуль упругости бетона
при сжатии и растяжении: 

2.5 Армирование колонны
Армирование колонны показано на рисунке 3.3
(позиция 1 - каркас; 2 - изделие закладное, предназначенное для монтажа
колонны; 3 - изделие закладное, предназначенное для соединения колонны и
ригеля).
Рисунок 3.3 - Армирование колонны.
.
Расчет стеновой панели
3.1 Опалубочный чертеж стеновой панели
Опалубочный чертеж стеновой панели ПС2 приведен
на рисунке 4.1 (позиция 23 - изделие закладное, предназначенное для соединения
стеновой панели и плиты покрытия; позиции 17 и 18 - монтажные (подъемные)
петли). Толщина панели вверху 140 мм, а внизу 180 мм.
Рисунок 4.1 - Опалубочный чертеж стеновой
панели.
.2 Сбор нагрузок на стеновую панель
Сбор вертикальных нагрузок на стеновую панель
приведен в таблице 4.1. При этом учтено, что при расчете вертикальной полосы
шириной 1 м, мысленно вырезанной из стеновой панели, грузовая площадь
составляет 3 м (на эту площадь умножались значения нагрузок из таблицы 2.1).
Как и ранее по строке «Итого кратковременная
нагрузка» таблицы в расчет принята наибольшая из кратковременных нагрузок, т.
к. предполагается, что совместное действие кратковременных нагрузок не
допускается мероприятиями по эксплуатации резервуара.
Таблица 4.1 - Сбор вертикальных нагрузок на
стеновую панель.
|
Вид
нагрузки
|
Нормативное
значение (расчетное значение для предельных состояний второй группы), Н.
|
Коэффициент
надежности по нагрузке для предельных состояний первой группы.
|
Расчетное
значение для предельных состояний первой группы, Н.
|
|
1
Постоянная нагрузка
|
|
|
|
|
а)
постоянная нагрузка, передаваемая через плиту покрытия
|
66216
|
__
|
75996
|
|
в
том числе без веса грунта
|
9816
|
__
|
11136
|
|
б)
вес стеновой панели
|
13678
|
1,1
|
15046
|
|
Итого
постоянная нагрузка
|
79894
|
__
|
91042
|
|
Итого
постоянная нагрузка без веса грунта
|
23494
|
__
|
26182
|
|
2
Временная нагрузка
|
|
|
|
|
2.1
Кратковременная нагрузка
|
|
|
|
|
а)
снеговые нагрузки для V-гo
снегового района
|
6720
|
1,4
|
9408
|
|
б)
нагрузки на участках обслуживания и ремонта оборудования
|
4500
|
1,3
|
5850
|
|
Итого
кратковременная нагрузка
|
6720
|
__
|
9408
|
|
2.2
Длительная нагрузка
|
|
|
|
|
а)
снеговые нагрузки для V-гo
снегового района (70 % от стр. 2.1 а)
|
4704
|
1,4
|
6586
|
|
Итого
длительная нагрузка
|
4704
|
__
|
6586
|
Угол внутреннего трения грунта засыпки:
а) для предельных состояний первой группы:
б) для предельных состояний второй группы
Коэффициент горизонтального давления грунта:
а) для предельных состояний первой группы
б) для предельных состояний второй группы
Интенсивность горизонтального
активного давления грунта от его собственного веса на глубине 
вычисляют:
где 
- удельный вес грунта;

- коэффициент надежности по
нагрузке;

- глубина, на которой определяют
давление;

- коэффициент горизонтального
давления грунта.
Давление воды на глубине 
вычисляют:
где 
- удельный вес воды (10 кН/м3);

- коэффициент надежности по
нагрузке;

- глубина, на которой определяют
давление.
3.3 Определение усилий в стеновой панели
Расчетные схемы для определения усилий в
стеновой панели приведены на рисунках 4.2 (заполненный водой резервуар до
устройства засыпки) и 4.3 (порожний резервуар после устройства засыпки). В
запас принято, что вся вертикальная нагрузка приложена к стеновой панели
сверху, а уровень воды доходит до верха стеновой панели (возможна расчётная
ситуация, когда этот уровень на 200 мм ниже верха стеновой панели).
Рисунок 4.2 - Расчетная схема для определения
усилий в стеновой панели (заполненный водой резервуар до устройства засыпки).
Высоту стеновой панели от верхнего ее края до
обреза фундамента вычисляют по формуле:
где 
- высота резервуара;

- длина заделки стеновой панели в
фундамент (280 мм).
С учетом приведенной формулы имеем:
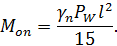
Максимальный изгибающий момент в
пролете при заполненном водой резервуаре до устройства засыпки вычисляют по
формуле:
где Pw -
максимальное давление воды;- высота стеновой панели от верхнего ее края до
обреза фундамента.
Этот момент действует на расстоянии
0,553 l от обреза фундамента.
Изгибающий момент в уровне обреза
фундамента при заполненном водой резервуаре до устройства засыпки вычисляют по
формуле:
Значения усилий в стеновой панели
при заполненном водой резервуаре до устройства засыпки сведены в таблицу 4.3.
Таблица 4.3 - Усилия в стеновой
панели при заполненном водой резервуаре до устройства засыпки.
|
Наименование
усилия.
|
Значение
усилия
|
|
Максимальный
изгибающий момент в пролете для расчета по предельным состояниям первой
группы,  , кН*м.10,9
|
|
|
Изгибающий
момент в уровне обреза фундамента для расчета по предельным состояниям первой
группы,  , кН*м.24,4
|
|
|
Продольная
сила (от постоянной нагрузки без учета веса грунта) для расчета по предельным
состояниям первой группы, N,
кН.
|
26,2
|
Значения 
и 
(учтены постоянная и
кратковременная нагрузка) для предельных состояний первой группы:
Рисунок 4.3 - Расчетная схема для определения
усилий в стеновой панели (порожний резервуар после устройства засыпки).
Изгибающий момент в поперечном сечении стеновой
панели, отстоящем от обреза фундамента на расстояние z,
вычисляют по формуле:
Максимальное значение изгибающего момента в
пролете действует на расстоянии от обреза фундамента, равном:
Значения усилий в стеновой панели при порожнем
резервуаре после устройства засыпки сведены в таблицу 4.4.
Таблица 4.4 - Усилия в стеновой панели при
порожнем резервуаре после устройства засыпки.
|
Наименование
усилия.
|
Значение
усилия
|
|
Максимальный
изгибающий момент в пролете для расчета по предельным состояниям первой
группы,  , кН*м.13,4
|
|
|
Изгибающий
момент в уровне обреза фундамента для расчета по предельным состояниям первой
группы,  , кН*м.26,9
|
|
|
Продольная
сила (от постоянной и кратковременной нагрузки) для расчета по предельным
состояниям первой группы, N,кН.
|
100,5
|
|
Продольная
сила (от постоянной и длительной нагрузки) для расчета по предельным
состояниям первой группы, Nl,
кН.
|
97,6
|
.4 Определение характеристик бетона и арматуры
Примем бетон класса по прочности на сжатие В 20.
Примем арматуру класса А600 по прочности на
растяжение.
Характеристики бетона и арматуры приведены в
подразделах 2.4 и 3.4 данной работы.
.5 Армирование стеновой панели
Армирование стеновой панели вычерчивать в рамках
курсового проекта не следует.
Список использованной литературы
1. Дукарский
Ю.М., Расс Ф.В., Семенов В.Б. Инженерные конструкции. - М.: КолосС, 2008. - 364
с.
2. Заикин
А.И. Железобетонные конструкции одноэтажных промышленных зданий: Учебное
пособие. - М.: АСВ, 2007. - 272 с.
3. Кувалдин
А.Н., Клевцова Г.С. Примеры расчета железобетонных конструкций зданий. - М.:
Стройиздат, 1976. - 288 с.
4. Пособие
по проектированию бетонных и железобетонных конструкций из тяжелого бетона без
предварительного напряжения арматуры (к СП 52-101-2003).
5. Пособие
по проектированию предварительно напряженных железобетонных конструкций из
тяжелого бетона (к СП 52-102-2004).
6. Справочное
пособие к СНиП 2.09.03-85 «Проектирование подпорных стен и стен подвалов». -
М.: Стройиздат, 1990.
7. Серия
1.442.1-1.87 «Плиты перекрытий железобетонные ребристые высотой 400 мм,
укладываемые на полки ригелей». Выпуск 1 «Предварительно напряженные плиты
шириной 3,0; 1,5 и 0,95 м. Рабочие чертежи».
8. Серия
3.900.1-10 «Конструкции железобетонные прямоугольных емкостных сооружений для
водоснабжения и канализации». Выпуск 0-0 «Общие указания».
9. Серия
3.900.1-10 «Конструкции железобетонные прямоугольных емкостных сооружений для
водоснабжения и канализации». Выпуск 0-1 «Панели стеновые плоские. Материалы
для проектирования».
10. Серия
3.900.1-10 «Конструкции железобетонные прямоугольных емкостных сооружений для
водоснабжения и канализации». Выпуск 1-1 «Панели стеновые плоские. Рабочие чертежи».
11. Серия
3.900.1-10 «Конструкции железобетонные прямоугольных емкостных сооружений для
водоснабжения и канализации». Выпуск 3-1 «Плиты покрытий, колонны, фундаменты
резервуаров. Рабочие чертежи».
12. СНиП
52-01-2003 «Бетонные и железобетонные конструкции. Основные положения».
13. СП
20.13330.2011 «Нагрузки и воздействия». Актуализированная редакция СНиП
2.01.07-85*.
14. СП
52-101-2003 «Бетонные и железобетонные конструкции без предварительного
напряжения арматуры».
15. СП
52-102-2004 «Предварительно напряженные железобетонные конструкции».
16. Типовой
проект 901-4-63.83 «Резервуары для воды прямоугольные железобетонные сборные
емкостью от 12000 до 20000 м3». Альбом V «Строительные изделия для
резервуаров емкостью 50-20000 м ».
17. Туров
А.И., Зоркин В.А. Проектирование конструкций железобетонных резервуаров:
Методические указания к курсовому проекту. - Благовещенск: ДальГАУ, 1999. - 35
с.
18. Федеральный
закон от 30 декабря 2009 г. N
384-ФЗ «Технический регламент о безопасности зданий и сооружений».
Приложение А
Основные условные обозначения.

- площадь поперечного сечения
элемента;

- ширина раскрытия трещины;

предельно допустимая ширина
раскрытия трещины;

- площадь приведенного поперечного
сечения элемента;

- площадь поперечного сечения
предварительно ненапрягаемой продольной арматуры, расположенной в растянутой
(наименее сжатой) в стадии эксплуатации зоне бетона;

- площадь поперечного сечения
предварительно ненапрягаемой продольной арматуры, расположенной в сжатой
(наиболее сжатой) в стадии эксплуатации зоне бетона;

- площадь поперечного сечения
предварительно напрягаемой продольной арматуры, расположенной в растянутой
(наименее сжатой) в стадии эксплуатации зоне бетона;

- площадь поперечного сечения
поперечной арматуры;

- расстояние от равнодействующей
усилий в предварительно ненапрягаемой продольной арматуре (расположенной в
растянутой (наименее сжатой) в стадии эксплуатации зоне бетона) до ближайшей грани
элемента;

- расстояние от равнодействующей
усилий в предварительно ненапрягаемой продольной арматуре (расположенной в
сжатой (наиболее сжатой) в стадии эксплуатации зоне бетона) до ближайшей грани
элемента;

- расстояние от равнодействующей
усилий в предварительно напрягаемой продольной арматуре (расположенной в
растянутой (наименее сжатой) в стадии эксплуатации зоне бетона) до ближайшей
грани элемента;

- ширина прямоугольного поперечного
сечения элемента (ширина ребра таврового или двутаврового поперечного сечения
элемента);

- ширина верхней полки таврового
или двутаврового поперечного сечения элемента;

- начальный модуль упругости бетона
при сжатии и растяжении;

- модуль упругости арматуры;

- эксцентриситет усилия обжатия Р
относительно центра тяжести приведенного поперечного сечения элемента;

- эксцентриситет усилия обжатия P
относительно центра тяжести приведенного поперечного сечения элемента;

- расстояние от точки приложения
усилия обжатия 
до центра тяжести растянутой
арматуры;
h - высота
поперечного сечения элемента;

- рабочая высота поперечного
сечения элемента;

- высота верхней полки таврового или
двутаврового поперечного сечения элемента;

- толщина засыпки резервуара
грунтом;

- момент инерции поперечного сечения
элемента относительно его центра тяжести;

- момент инерции приведенного
поперечного сечения элемента относительно его центра тяжести;

- конструктивная длина элемента;

- расчетная
длина элемента;

- длина площадки опирания элемента
на опору;

- изгибающий момент;

- момент среза (используемый при
расчете поперечной силы, воспринимаемой бетоном в наклонном сечении);

- момент образования трещин
(изгибающий момент, воспринимаемый нормальным сечением элемента при образовании
трещин);

- усилие предварительного обжатия
бетона с учетом полных потерь предварительного напряжения;

- усилие предварительного обжатия
бетона с учетом первых потерь предварительного напряжения;

- поперечная сила;

- распределенная нагрузка;

- усилие в поперечной арматуре на
единицу длины элемента (интенсивность хомутов);

- расстояние от центра тяжести
приведенного поперечного сечения элемента до ядровой точки;

- расчетное значение сопротивления
бетона осевому сжатию для предельных состояний первой группы;

- нормативное значение
сопротивления бетона осевому сжатию;

- передаточная прочность бетона
(прочность бетона к моменту его обжатия);

расчетное значение сопротивления
бетона осевому сжатию для предельных состояний второй группы;

- расчетное значение сопротивления
бетона осевому растяжению для предельных состояний первой группы;

нормативное значение сопротивления
бетона осевому растяжению;

- расчетное значение сопротивления
бетона осевому растяжению для предельных состояний второй группы;

- расчетное значение сопротивления
арматуры растяжению для предельных состояний первой группы;

- расчетное значение сопротивления
арматуры сжатию для предельных состояний первой группы;

- нормативное значение сопротивления
арматуры растяжению;

- расчетное значение сопротивления
арматуры растяжению для предельных состояний второй группы;

- расчетное значение сопротивления
поперечной арматуры (хомутов и отогнутых стержней) растяжению для предельных
состояний первой группы;

- статический момент поперечного
сечения элемента относительно растянутой (наименее сжатой) в стадии
эксплуатации грани элемента;

- шаг постановки поперечных
арматурных стержней (шаг хомутов);

- разность температур;

- высота сжатой зоны бетона;

- расстояние от центра тяжести
приведенного поперечного сечения элемента до растянутой (наименее сжатой) в
стадии эксплуатации грани элемента;

- расстояние от центра тяжести
приведенного поперечного сечения элемента до равнодействующей усилий в
ненапрягаемой продольной арматуре (расположенной в растянутой (наименее сжатой)
в стадии эксплуатации зоне);

- расстояние от центра тяжести
приведенного поперечного сечения элемента до равнодействующей усилий в
ненапрягаемой продольной арматуре (расположенной в сжатой (наиболее сжатой) в
стадии эксплуатации зоне);

- расстояние от центра тяжести
приведенного поперечного сечения элемента до равнодействующей усилий в
напрягаемой продольной арматуре (расположенной в растянутой (наименее сжатой) в
стадии эксплуатации зоне);

- момент сопротивления приведенного
поперечного сечения элемента; а - коэффициент приведения арматуры к бетону;

- коэффициент, учитывающий влияние
формы поперечного сечения элемента на момент образования трещин;

- коэффициент надежности по
нагрузке;

- коэффициент надежности по
ответственности;

- нормативное значение удельного
веса грунта засыпки;

- коэффициент, учитывающий
возможные отклонения предварительного напряжения;

- деформация усадки бетона;

- относительная деформация сжатого
бетона при напряжениях, равных 
.

- относительная деформация арматуры
растянутой зоны, вызванная внешней нагрузкой, при достижении в этой арматуре
напряжения, равного 
;

- коэффициент армирования;

- относительная высота сжатой зоны
бетона;

- относительная высота сжатой зоны
бетона, при которой предельное состояние элемента наступает одновременно с
достижением в растянутой арматуре напряжения, равного расчетному сопротивлению 
;

- напряжение в бетоне в стадии его
предварительного обжатия; gs - напряжение в арматуре; asp -
предварительное напряжение в арматуре;

- предварительное напряжение в
арматуре (с учетом первых потерь);

- предварительное напряжение в
арматуре (с учетом всех потерь);

- первые потери предварительного
напряжения (до передачи усилий натяжения на бетон);

- полные потери предварительного
напряжения (до и после передачи усилий натяжения на бетон);

- потери предварительного
напряжения от релаксации напряжений арматуры;

- потери предварительного
напряжения от температурного перепада;

- потери предварительного
напряжения от усадки бетона;

- потери предварительного напряжения
от ползучести бетона;

- коэффициент ползучести бетона;

- коэффициент влияния продольной
силы на поперечную силу, воспринимаемую бетоном в наклонном сечении;

- нормативное значение угла
внутреннего трения;

- коэффициент влияния продольной
силы на поперечную силу, воспринимаемую бетоном в наклонном сечении;

- нормативное значение угла
внутреннего трения;
Индексы.

- бетон;

- сжатие;

- трещина;

- нагрузка; полка двутаврового или
таврового поперечного сечения элемента;

- длительный;

- максимум;

- минимум;

- нормативный; надежный;

- предварительное напряжение;

- приведенный;

- сталь;

- предельное состояние второй
группы;

- усадка;

- опора;

- растяжение;

- суммарный, полный;

- предельный;

- стена.
Приложение Б
Характеристики бетона и арматуры.
Таблица Б.1 - Нормативные значения
(расчетные значения для предельных состояний второй группы) сопротивления бетона.
|
Вид
сопротивления
|
Нормативные
значения сопротивления бетона  и  и расчетные
значения сопротивления бетона для предельных состояний второй группы  и  МПа, при классе
по прочности на сжатие.
|
|
|
В10
|
В15
|
В20
|
В25
|
В30
|
В35
|
В40
|
В45
|
В50
|
В55
|
В60
|
|
Сжатие
осевое  , 7,511,015,018,522,025,529,032,036,039,543,0
|
|
|
|
|
|
|
|
|
|
|
|
|
Растяжение
осевое   0,851,101,351,551,751,952,102,252,452,602,75
|
|
|
|
|
|
|
|
|
|
|
|
|
|
|
|
|
|
|
|
|
|
|
|
|
Таблица Б.2 - Расчетные значения сопротивления
бетона для предельных состояний первой группы.
|
Вид
сопротивления
|
Расчетные
значения сопротивления бетона для предельных состояний первой группы  и  , при классе
бетона по прочности на сжатие.
|
|
В10
|
В15
|
В20
|
В25
|
В30
|
В35
|
В40
|
В45
|
В50
|
В55
|
В60
|
|
Сжатие
осевое,  6,08,511,514,517,019,522,025,027,530,033,0
|
|
|
|
|
|
|
|
|
|
|
|
|
Растяжение
осевое,  0,560,750,901,051,151,301,401,501,601,701,80
|
|
|
|
|
|
|
|
|
|
|
|
Таблица Б.3 - Значения начального модуля
упругости бетона при сжатии и растяжении.
|
Значения
начального модуля упругости бетона при сжатии и растяжении  , МПа, при
классе бетона по прочности на сжатие.
|
|
В10
|
В15
|
В20
|
В25
|
В30
|
В35
|
В40
|
В45
|
В50
|
В55
|
В60
|
|
19,0
|
24,0
|
27,5
|
30,0
|
32,5
|
34,5
|
36,0
|
37,0
|
38,0
|
39,0
|
39,5
|
Таблица Б.4 - Значения коэффициента ползучести
бетона.
|
Относительная
влажность воздуха окружающей среды, %
|
Значения
коэффициента ползучести  при классе
бетона на сжатие
|
|
В10
|
В15
|
В20
|
В25
|
В30
|
В35
|
В40
|
В45
|
В50
|
В55
|
В60
|
|
Выше
75
|
2,8
|
2,4
|
2,0
|
1,8
|
1,6
|
1,5
|
1,4
|
1,3
|
1,2
|
1,1
|
1,0
|
|
40-75
|
3,9
|
3,4
|
2,8
|
2,5
|
2,3
|
2,1
|
1,9
|
1,8
|
1,6
|
1,5
|
1,4
|
5,6
|
4,8
|
4,0
|
3,6
|
3,2
|
3,0
|
2,8
|
2,6
|
2,4
|
2,2
|
2,0
|
Таблица Б.5 - Нормативные значения (расчетные
значения для предельных состояний второй группы) сопротивления арматуры.
|
Арматура
класса
|
Номинальный
диаметр арматуры, мм
|
Нормативные
значения сопротивления растяжению  и расчетные
значения сопротивления растяжению для предельных состояний второй группы  , МПа
|
|
А240
|
6-40
|
240
|
|
А300
|
6-40
|
300
|
|
А400
|
6-40
|
400
|
|
А500
|
10-40
|
500
|
|
А540
|
20-40
|
540
|
|
А600
|
10-40
|
600
|
|
А800
|
10-32
|
800
|
|
А1000
|
10-32
|
1000
|
|
В500
|
3-12
|
500
|
Таблица Б.6 - Расчетные значения сопротивления
арматуры для предельных состояний первой группы.
|
Арматура
класса
|
Расчетные
значения сопротивления арматуры для предельных состояний первой группы, МПа
|
|
растяжению
|
сжатию,

|
|
продольной,
 поперечной
(хомутов и отогнутых стержней), 
|
|
|
|
А240
|
215
|
170
|
215
|
|
А300
|
270
|
215
|
270
|
|
А400
|
355
|
285
|
355
|
|
А500
|
435
|
300
|
435
(400)
|
|
А540
|
450
|
__
|
200
|
|
А600
|
520
|
__
|
470
(400)
|
|
А800
|
695
|
__
|
500
(400)
|
|
А1000
|
830
|
__
|
500
(400)
|
|
В500
|
415
|
300
|
415
(360)
|
Примечание - значения 
в скобках используют только при
расчете на кратковременное действие нагрузки.