Мёссбауэровская спектроскопия наночастиц core-shell типа

  • Вид работы:
    Дипломная (ВКР)
  • Предмет:
    Физика
  • Язык:
    Русский
    ,
    Формат файла:
    MS Word
    993,94 Кб
  • Опубликовано:
    2014-11-17
Вы можете узнать стоимость помощи в написании студенческой работы.
Помощь в написании работы, которую точно примут!

Мёссбауэровская спектроскопия наночастиц core-shell типа

Министерство образования и науки Российской Федерации

Федеральное государственное автономное образовательное

учреждение высшего профессионального образования

"КАЗАНСКИЙ (ПРИВОЛЖСКИЙ) ФЕДЕРАЛЬНЫЙ УНИВЕРСИТЕТ"







ВЫПУСКНАЯ КВАЛИФИКАЦИОННАЯ РАБОТА

Мёссбауэровская спектроскопия наночастиц core-shell типа













Казань - 2014

 

Содержание


Введение

Глава 1. Наночастицы core-shell типа и их приложения

Глава 2. Исследование динамики кристаллической решетки наночастиц методом ядерного гамма резонанса

.1 Модель Дебая твёрдого тела

.2 Некоторые способы изучения поверхности твёрдых тел

Глава 3. Изучение наночастиц core-shell типа созданных в макромолекулах жидкокристаллического дендримера поли(пропилен имина) второй генерации

.1 Исследованный образец и экспериментальная техника

.2 Применение модельно-зависимого метода к моделированию мёссбауэровских спектров магнитных наночастиц core-shell типа

.3 Низкотемпературные мессбауэровские исследования наночастиц core-shell типа созданных в макромолекулах жидкокристаллического дендримера поли(пропилен имина) второй генерации

Обсуждение результатов

Заключение

Список литературы

core shell наночастица мёссбауэровский

Введение


В настоящее время наночастицы core-shell применяются в различных областях науки и техники [1]. В частности известны применения магнитных флуоресцентных наночастиц как доставщиков лекарственных средств [2-4]; биметаллических Au/Ag наночастиц core-shell типа для обнаружения рака и опухолевых клеток в теле [5]. Железосодержащие частицы Fe (core) Fe2O3 (shell) использовались для обнаружения повреждённых молекул ДНК [6]. Наночастицы с ядром и оболочкой, сделанными из полупроводникови/или металла находят применения в современной спинтронике и наноэлектронике [7]. В некоторых частных случаях (например, в случае флуоресцентных наночастиц) определяющим являются свойства поверхности наночастицы. Так как именно поверхность взаимодействует с другим веществом или внешним полем. В случае наличия резонансного изотопа чувствительность Мёссбауэровской спектроскопии к локальным структурным и магнитным неоднородностям делает её одним из возможных методов исследования таких материалов. Различные модификации метода ядерного гамма-резонанса позволяют изучать поверхность твёрдого тела с разрешением вплоть до атомных слоёв в объёмных материалах. В случае достаточно малых наночастиц это становится возможным и в геометрии пропускания [8].

Изучение внутренней структуры, динамических, магнитных свойств и их особенностей в различных слоях наночастиц является важной задачей с точки зрения создания, управления свойствами и всевозможного применения композитов на базе наночастиц core-shell типа.

Целью данной работы являлось исследование динамики атомов поверхности наночастиц core-shell типа методом низкотемпературной мёссбауэровской спектроскопии.

Для достижения поставленной цели решались следующие задачи: были проведены низкотемпературные мёссбауэровские измерения наночастиц core-shell типа созданных в макромолекулах жидкокристаллического дендримера поли(пропилен имина) второй генерации; были развиты модельные представления для описания свойств наночастиц core-shell типа и выполнена их апробация; выполнен анализ и сравнение полученных результатов с данными полученными другими методами.

Глава 1. Наночастицы core-shell типа и их приложения


Из всевозможных видов наночастиц, частицы core-shellтипа получили наибольшее распространение, прежде всего благодаря простоте приготовления и важным физико-химическим свойствам. Часто ядро и оболочка отличаются не только физически, но и функционально, благодаря чему частица может выполнять сразу несколько функций одновременно. Такие наночастицы имеют огромное число приложений [1]. В биомедицинских целях наночастицы core-shell типа используются во-первых: как доставщики лекарственных средств [9-12]. Доставка лекарств в нужное место организма получила новое развитие с приходом нанотехнологий. В данном процессе лекарство сначала инкапсулируют в мезопористый материал, который уже имеет специальную поверхность, способную взаимодействовать с клеткой организма [13]. Чтобы выпустить содержимое препарата в клетку, наноноситель распадается для создания химически схожих с клеткой супрамолекулярных "ворот". Такой распад так же может быть стимулирован высокой температурой или светом. Если наночастицы покрыты флуоресцентно активным материалом, то они могут служить датчиками, которые позволяют прослеживать их передвижения и контролировать доставку лекарственных средств. Существует два типа доставки: активная и пассивная. В первом случае лекарство целенаправленно доставляется в нужное место организма, во втором благодаря физико-химическим и фармакологическим факторам лекарственные вещества накапливаются около нужных клеток [14,15]. Для активной доставки магнитные флуоресцентные наночастицы нашли наибольшее применение. Примерами таких наночастиц являются частицы с ядрами (core) железа, никеля, кобальта и суперпарамагнитными окислами железа и специальной биологически безвредной оболочкой (shell). В пустоты полимерного вещества внедряются лекарства и магнитные наночастицы. Такая система, в отличие от голой наночастицы, более биологически совместима и следовательно может быть использована для доставки лекарства, которым можно управлять даже в пределах живой клетки [2-4]. Во-вторых: как вещества, способные маркировать отдельные клетки [16-18].

Наночастицы могут быть использованы для изучения биологических клеток методами оптической и магнитной спектроскопии (ЯМР, ЭПР и т.д.), так как в этих методах оказываются полезными люминесцентные и магнитные свойства наночастиц. В некоторых случаях используют сразу два таких свойства частиц [19,20]. Для маркировки используют квантовые точки: они фотохимически и метаболически стабильны, достаточно ярки и имеют узкий настраиваемый и симметричный спектр. Однако у них есть такие недостатки как: тенденция к фотоокислению, токсичность и низкая растворимость в воде. Эти недостатки могут быть минимизированы путём покрытия их подходящим материаломдля дальнейшего использования [21].

Эффект поверхностного плазмона в Ag использовался для обнаружения опухолевой клетки. Такие наночастицы использовались для обнаружения опухолевых клеток у крыс. После попадания этих частиц на опухоль и воздействия излучением в течение 500 мс, флуоресцентный материал переизлучал и позволял обнаружить злокачественные клетки [19]. Аналогичный подход используется в томографии. Здесь используются магнитные наночастицы с ядром из железа, окиси железа, никеля, кобальта или суперпарамагнитной окиси железа и необходимой для конкретного случая оболочкой. У таких частиц лучшие времена релаксации, после присоединения к клетке они дают лучший контраст изображения [16, 22]. В-третьих: как биодатчики [13,17,19,20,22,23]. Датчики это устройства, которые измеряют физическую величину и конвертирует её из аналогового в цифровой сигнал. В биомедицине наночастицы используют как датчики для обнаружения повреждённых клеток, позволяют изучать свойства ДНК, РНК, глюкозы, холестерина и т.д. Частицу покрывают флуоресцентным веществом, которое может выступать в качестве датчика. Флуоресценция позволяет проследить за частицей, а её магнитные свойства позволяют нагревать нужное место посредством магнитного возбуждения [23]. Магнитные нанокомпозиты покрытые флуоресцентным материалом, металлом, кварцем или полимером используются как биоаналитические датчики [24]. Покрытые кварцем наночастицы ZnS/Mn используются как датчики ионов Cu2+ [25]. Так же нередко используются биметаллические наночастицы core-shell типа, например частицы Au/Ag применяются для обнаружения рака и опухолевых клеток в теле [5]. Главное ограничение таких частиц это требование их хорошего "крепления" с антителами. Такие частицы как Fe/Fe2O3 использовались для обнаружения повреждённой ДНК [6] Эти частицы прикрепляли к биологически активным белкам [26]. Полимерные core-shell наночастицы используются так же как материал при трансплантациях. Их core-shell структура может быть как полимер/полимер или как полимер/металл. Она, например, используются в зубных скобах - здесь в качестве ядра частицы выступает ультравысокомолекулярный полиэтилен, а оболочка - серебро [27].

Полый TiO2 покрытый высокоплотными полимерами полиакриламида используется для выделение нейромедиаторов из клеток, существующих в головном мозге [28]. Основными свойствами частиц, используемых при трансплантации и регенерации является сопротивление трению, высокая ударная вязкость и сопротивление коррозии. Для таких целей лучше подходят наночастицы состоящие из полимеров, биокерамики и других неорганических веществ[29].

В-четвёртых, в приложениях выращивания тканей [24]. Магнитные частицы, покрытые функциональным материалом, таким как благородный металл, полупроводник или соответствующая окись могут значительно улучшить свои физические свойства (оптические, активность катализатора, электрические, магнитные и тепловые) [29-31]. Химическое превращение из CO в CO2 с использованием нанокатализатора с ядром Au и оболочкой Fe2O3на подложке из SiO2 протекает намного эффективнее, чем с использованием наночастицы золота без оболочки [30]. Опыты так же показали, что результат не сильно зависит от типа оболочки (SiO2, C, Fe2O3) за исключением TiO2. Аналогично покрытие кварцем металлических ядер наночастиц из Fe, Co, Ni и Ru улучшает катализ при производствеводорода [31].

Наночастицы с ядром или оболочкой сделанными из полупроводника или металла одинаково важны в современной микроэлектронике [32,33]. Полимерные материалы легко обрабатываются, однако имеют малое значение диэлектрической постоянной. Обратными свойствами обладают керамические материалы. Особое место занимает комбинация этих материалов в виде наночастицы core-shell типа с керамическим ядром и тонкой оболочкой из полимера, которая обладает бóльшим значением диэлектрической постоянной, чем чистый полимер, одновременно такие частицы легче обрабатываются. Из-за их высокой ёмкости эти материалы так же используются в электронике [32,33].

Для сохранения физических и химических свойств различных наночастиц их покрывают особой оболочкой, чаще, например, кварцем: инертным материалом химически не взаимодействующим с ядром частицы. Это улучшает стабильность вещества ядра. Кроме того кварц оптически прозрачен для изучения ядра спектроскопическими методами [34].

Создание углеродных оболочек наночастиц из Li3V2(PO4)3 приводит к увеличению эффективности литиевых батарей [17] созданных на основе такого материала. К настоящему времени для наночастиц есть много другихпотенциально перспективных областей: пластмассы, резиновые материалы, чернила и другие [35-37]

Глава 2. Исследование динамики кристаллической решетки наночастиц методом ядерного гамма резонанса


2.1 Модель Дебая твёрдого тела


Эффект Мёссбауэра связан с резонансным взаимодействием γ-кванта с ядром, при котором квантовое состояние решетки не меняется. Поэтому с помощью эффекта Мёссбауэра, казалось бы, нельзя получить информацию о движении атомов в решетке и о фононном спектре твердых тел. Однако имеется возможность изучения фононного спектра атомов в твердых телах посредством эффекта Мёссбауэра [38]. Она заключается в зависимости безфононной части γ-лучей от колебательных свойств твердых тел.

Действительно,

 

где  - средний квадрат амплитуды колебания атома в направлении испускания γ-кванта, усредненный по интервалу времени, равному времени жизни уровня; λ - длина волны γ-кванта.

Выражение (1) может быть записано в ином виде:

 

 

 - энергия фотона. Для изотропного кристалла

 

Зависимость безфононной части f от спектра колебания выражается, как видно из формулы (1), через  Чтобы выяснить зависимость f от спектра колебания, рассмотрим, как связано  со спектром колебания атомов в кристалле.

В теории физики твердого тела кристалл представляется как система 3N осцилляторов с частотой  (N-число атомов). Полная средняя энергия, связанная с каждым осциллятором, равна

 

где -  число фононов на уровне

Кинетическая энергия кристалла, приходящаяся на j-й осциллятор (в случае гармонического осциллятора),  равна половине полной энергии, т.е.

 

С другой стороны,

 

Откуда

 

где  - смещение атомов от j-го осциллятора. Разделим обе части уравнения на  и просуммируем по всем j:

 

Далее перейдем от суммирования к интегрированию, вводя плотность распределения частот ρ(ω):

 

 

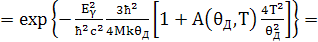
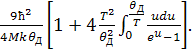
Из выражений (2) и (3) следует зависимость  от спектра колебания атомов в кристалле. Величины  и f зависят от спектра колебания интегрально. Поэтому, когда необходимо исследовать зависимость f от , измеряют f при различных температурах, т.е. снимают кривую зависимости  и путем сравнения  с теоретическими кривыми , вычисленными при различных , выбирают ту или иную модель кристалла.

В дебаевской модели твердого тела спектр частот колебания атомов имеет вид

ρ(ω)=A,

где А - нормировочных множитель, который находится из следующего условия:

 

Подставляя выражение (4) в (2), получим:

 

 

Введем температуру Дебая , равную

 

и проведем частичное интегрирование:

 

 

Обозначим  После замены переменных находим, что

 

 

Полученный в последнем выражении интеграл берётся численно и рассматривается как функция двух переменных:

 

 

Подставим это выражение в формулу (1.1):

 

 

 

 

 

2.2 Некоторые способы изучения поверхности твёрдых тел


Известно, что свойства поверхности тел различных веществ отличаются от свойств внутренних слоев, будь то жидкость или твердое тело. В твердом теле, в частности, фононный спектр атомов поверхностного слоя атомов будет значительно отличаться от спектра слоев внутренних. В частности, существует несколько путей изучения поверхности [39,40]. Для непосредственного изучения поверхности монокристалла необходимо высокоинтенсивное излучение, которое может быть получено на синхротроне. В работе [39] излучение синхротронного источника было использовано для изучения фононных спектров поверхностных атомных слоёв монокристалла железа, вырезанного в направлении (110). Схема эксперимента приведена на рисунке 1.

Рисунок 1 - Схема эксперимента для изучения поверхности с использованиемсинхротронного источника излучения [39]

Авторами работы [39] были определены плотности фононных состояний на поверхности (S), в приповерхностном слое (S-1) и в объеме (D) для Fe(110) (Рисунок 3). Графическое пояснение обозначений S, S-1 и D приведены на рисунке 2. Для внутренних слоев (случай D) наблюдается узкий бесфононный пик в районе 35 мэВ, который, очевидно, соответствует атомам, находящимся в основном состоянии фононного спектра. При приближении к поверхности, случай S-1, наблюдается сдвиг этого пика без заметного, в пределах погрешности эксперимента, изменения амплитуды. Такой подход для поверхностного слоя атомов, в случае S, позволяет обнаружитьсовершенно иную картину. Для атомов, находящихся в первом слое на поверхности, отсутствует сколько-нибудь значимая заселенность основного состояния фононного спектра.

Вторым возможным методом изучения поверхности твердых тел является низкотемпературная мёссбауэровская спектроскопия конверсионных электронов. В случае материала, имеющего один или несколько атомных слоев вещества, содержащего резонансные изотопы, на поверхности инертной матрицы, можно получить интересные результаты.

Рисунок 2 - Пояснение обозначений S, S-1 и D [39]

Рисунок 3 - Плотность фононных состояний на поверхности (S), в приповерхностном слое (S-1) и в объеме (D) для Fe(110) [39]

Такой метод был реализован вработе [40]. Были изучены моно- и мультиатомные слои железа созданные на поверхности золота (рисунок 4). Последующее изучение этого образца методом низкотемпературной конверсионной мёссбауэровской спектроскопии (КМС) позволило определить параметры сверхтонкого взаимодействия атомных слоёв поверхности.

Авторами были изученытриобразцасодержащие три (3 AL), два (2 AL) и один (1 AL) атомные слои (Рисунок 5).

Из рисунка 5 видно, что спектры всех трех атомных слоев существенно отличаются от спектра объемного α-железа. в случаях 2 ALи 3 ALнаблюдаются две компоненты магниторасщепленной структуры (Cи I) (таблица 1). В случае же монослоя1 AL появляются новые компоненты A и M, последняя из которых обладает большим квадрупольным расщеплением.

Рисунок 4 - Схематичное изображение мультиатомных слоёв железа на золоте [40]

Таблица 1 - Сверхтонкие магнитные поля монослоя, двойного и тройного слоя пленки Fe(001), заключенной между Au(001) [40]


Рисунок 5 - Спектры конверсионных электронов 1, 2 и 3 монослоев железа на золоте полученные при 80 К [40]

Глава 3. Изучение наночастицcore-shell типа созданных в макромолекулах жидкокристаллического дендримера поли(пропилен имина) второй генерации

 

.1 Исследованный образец и экспериментальная техника


Объектом исследования в данной работе являлся композит на базе наночастиц core-shell типа созданных в макромолекулах жидкокристаллического дендримера поли(пропилен имина) второй генерации. Первые результаты по исследованию этой системы опубликованы в работе [8]. Авторами обнаружена core(α-Fe), shell(γ-) организация наночастиц с изотропными суперпарамагнитными свойствами в широком диапазоне температур. Схема макромолекулы композита приведена на рисунке 6.

Рисунок 6 - Структурная формула макромолекулы дендримера поли(пропилен имина) второй генерации с инкапсулированными наночастицами core(α-Fe)-shell(γ-) типа [8]

Для изучения свойств нанокомпозита были проведены низкотемпературные мёссбауэровские измерения со сканированием по температуре. Спектры получены на мёссбауэровском спектрометре MS-1104EM №40-12 с источником 57Co в матрице родия в геометрии пропускания с модуляцией поглотителя. В качестве детектора использовался сцинтилляционный счетчик с кристаллом NaJ(Tl). Калибровка скоростной шкалы спектрометра проводилась по спектру стандартного образца нитропрусида натрия с пересчетом на α-Fe. Все изомерные сдвиги отсчитывались от центра тяжести спектра этого стандартного поглотителя. Низкотемпературные мёссбауэровские измерения в диапазоне температур 79-302 К проводились в проточном азотном криостате, зона набора спектра составляла ±0.5 К.

Математическая обработка всех спектров проводилась посредством оригинальной программы, написанной с помощью пакета прикладных программ MATLAB.

3.2 Применение модельно-зависимого метода к моделированию мёссбауэровских спектров магнитных наночастиц core-shell типа


Для анализа и математической обработки спектров был создан модельно-зависимый подход, в основе которого лежит пропорциональная зависимость площади соответствующей компоненты под спектром от объёма образца, содержащего резонансные изотопы [41]:

 где

 - площадь под соответствующей компонентой в спектре,

K(Ca) - функция эффективной толщины поглотителя,

f - фактор Мёссбауэра-Лэмба.

Поскольку все части наночастицы находятся в идентичных условиях в эксперименте данную формулу для i-ой части можно переписать в виде:

 где

Vi - объём соответствующей части наночастицы,

а - неизвестный, но одинаковый для всех частей коэффициент.

Структурная организация наночастиц core-shell типа схематически представлена на рисунке 7. Обычно такие частицы состоят из ядра (core), одной или нескольких оболочек (shell) существенно отличающихся по своим магнитным, оптическим и другим свойствам. Зная геометрию и размеры наночастиц используя вышеописанный подход можно получить следующие результаты:

)        Из отношения площадей соответствующих компонент можно провести сравнительный анализ f-факторов различных областей наночастиц и их зависимости от различных внешних факторов;

)        В приближении различных моделей твердого тела получать информацию о колебательных свойствах атомов различных областей наночастиц core-shell. Например, в модели Дебая из зависимости парциальной площади под компонентой в спектре от температуры можно оценить температуру Дебая;

)        Зная геометрию наночастиц, значения сверхтонких параметров и/или соотношения f-факторов можно решить обратную задачу - моделирование мёссбауэровского спектра.

Рисунок 7 - Схематическое изображение наночастицы, исследуемой в данной работе

Для апробации разработанного моделнозависимого подхода расчета мессбауэровских спектров были выполнены расчеты спектров наночастиц core-shell проявляющих магнитную сверхтонкую структуру. Спектры объектов в магнитноупорядоченном состоянии более информативны и являются дополнительной проверкой выбранного подхода к описанию интегральной формы спектра. Авторами статьи [43] были получены мёссбауэровские спектры наночастиц трёх видов, имеющих схожий химический состав и строение, отличающихся только размерами ядра и оболочки. Применяя, описанный выше модельно-зависимый метод и зная некоторые параметры, приведённые в оригинальной статье (таблица 2), был смоделирован спектр таких наночастиц (рисунок 8). Единственной переменной величиной во всех трёх спектрах были линейные размеры соответствующих частей наночастицы: радиус ядра и толщина оболочки.

Рисунок 8 - слева - экспериментальный мёссбауэровский спектр наночастиц (точки), моделенезависимый фитинг (линия) [43]; справа - расчетные спектры (моделезависимый подход)

Таблица 2 - Сверхтонкие параметры для core-shell наночастиц различных размеров [43]



3.3 Низкотемпературные мессбауэровские исследования наночастиц core-shell типа созданных в макромолекулах жидкокристаллического дендримера поли(пропилен имина) второй генерации


Для выяснения температурного поведения параметров сверхтонких взаимодействий для поверхностных атомов наночастиц со сложной структурной организацией были проведены низкотемпературные мёссбауэровские измерения в геометрии пропускания в диапазоне температур 79-302 К. Полученные экспериментальные спектры приведены на рисунке 10. Параметры математической обработки посредством оригинальной программы, созданной в среде MATLAB, приведены в таблице 3.

В результате расчетов была построена зависимость логарифма площади под компонентой, отвечающей поверхностному слою, от температуры (точки на рисунке 9) и проведена аппроксимация этой зависимости в рамках модели Дебая твёрдого тела (сплошная линия на рисунке 9).

Для обработки ассиметричной компоненты с большим квадруполем в оригинальной программе было введено нормальное распределение изомерного сдвига и квадрупольного расщепления. Результат расчета этих параметров приведен на рисунке 11.

Таблица 3 - параметры СТВ компоненты ,отвечающей поверхностному слою атомов

T±0,5 K

Qs±0,02 mm

Is±0,02 mm

S±0,1 %

79

2,93

0,22

15,4

100

2,93

0,23

15,7

2,90

0,23

14,4

140

2,91

0,22

13,2



Таблица 3 - параметры СТВ компоненты ,отвечающей поверхностному слою атомов (продолжение)

T±0,5 K

Qs±0,02 mm

Is±0,02 mm

S±0,1 %

160

2,91

0,21

12,8

180

2,88

0,22

10,9

200

2,89

0,18

9,1

220

2,89

0,19

7,4

240

2,84

0,18

5,1

260

2,83

0,19

4,3


Рисунок 9 - Зависимость логарифма площади компоненты, отвечающей поверхностному слою, от температуры. Сплошная линия соответствует аппроксимации в соответствии с моделью Дебая (формула 6)

Рисунок 10 - Спектры пропускания наночастиц core-shell типа созданных в макромолекулах жидкокристаллического дендримера поли(пропилен имина) второй генерации в диапазоне температур 79-302 К

Рисунок 11 - Распределение сверхтонких параметров δFe и QS дублета с большим значением квадрупольного расщепления

Обсуждение результатов


Согласно интерпретации, приведенной авторами работы [8], наиболее вероятной организацией наночастиц созданных в макромолекулах жидкокристаллического дендримера поли(пропилен имина) второй генерации является организация core-shell типа. В мессбауэровских спектрах ниже T~260К наблюдаются три различные компоненты: синглет и два дублета. Согласно работе [8] синглету соответствует ядро наночастицы (α-Fe), а дублету с меньшим значением квадрупольного расщепления (далее дублет 1) оболочка (γ-Fe2O3).

Авторы работы предполагают, что дублет с значением квадрупольного расщепления QS = 2.93 мм/с при T = 79 К (далее дублет 2) это сигнал от резонансных изотопов, находящихся на самой поверхности наночастицы находящихся в непосредственном контакте с молекулой дендримера. Компонента с большим квадрупольным расщеплением от атомов поверхности наблюдалась в низкотемпературных (80 К) экспериментах с регистрацией электронов конверсии в геометрии рассеяния "назад" от монослоёв железа созданных на золоте [40]. Такая величина расщепления в этом случае также является результатом влияния поверхности при формировании величин расщеплений вызванных сверхтонкими взаимодействиями.

Хорошо видно, что дублет2 в спектрах пропускания приведенных на рисунке 10 имеет существенно ассиметричный вид. Такая форма спектра удовлетворительно описывается только при введении распределения по сверхтонкм параметрам QS и δFe. При реализации моделнозависимого подхода решения обратной задачи такое распределение было реализовано.

Математическое описание всех спектров выполнено в приближении формы линии Лоренца. Для описания дублета 2 было введено нормальное распределение по сверхтонким параметрам δFe и QS (рисунок 11). Как видно из рисунка 11 для этой парциальной компоненты при увеличении изомерного сдвига квадрупольное расщепление убывало.

Температурная зависимость логарифма площади под дублетом 2 приведена на рисунке 9, из которой путём аппроксимации интегральной функцией (формула 5) была оценена температура ДебаяОбнаруженное значение температуры Дебая для атомов на поверхности равное хорошо согласуются с результатами полученными методом рентгеновской дифракции для наночастиц α-Fe2O3 в работе [42]. Авторами этой работы показано уменьшение температуры Дебая для объёмного α-Fe2O3 более чем в два с половиной раза до θД =107(4) К при уменьшении среднего размера частиц с 154.30 до 48.26 нм. Величина отражает результат влияния поверхности на плотность фононных состояний для атомов на границе твердого тела, хорошо согласуется с результатами синхротронных исследований на монокристаллах железа [39].

Заключение


Применение мёссбауэровской спектроскопии в геометрии пропускания к изучению НЧ с размерами ~ 1 нм позволяет получать информацию о структуре и свойствах НЧ вплоть до атомарных слоев, в том числе и на поверхности. Как и в работе [39] обнаружены значительные отличия в заселенности основного состояния фононного спектра для атомов поверхности. Обнаруженное значение температуры Дебая для атомов на поверхности равное θД =80 К также хорошо по порядку величины согласуются с результатами полученными методом рентгеновской дифракции для наночастиц α-Fe2O3 [42].


Список литературы


1. GhoshChaudhuri R. [Text] Core/shell nanoparticles: classes, properties, synthesis mechanisms, characterization, and applications / R. GhoshChaudhuri, S. Paria// Chemical reviews. - 2011. - Т. 112. - №. 4. - P. 2373-2433.

2. Lien Y. H. [Text] Preparation and characterization of thermosensitive polymers grafted onto silica-coated iron oxide nanoparticles / Y. H. Lien, T. M. Wu // Journal of colloid and interface science. - 2008. - Т. 326. - №. 2. - P. 517-521.

3. Santra S. [Text] Synthesis and characterization of silica-coated iron oxide nanoparticles in microemulsion: the effect of nonionic surfactants / S. Santra, R. Tapec, N.Theodoropoulou, J. Dobson, A. Hebard, W. Tan,//Langmuir. - 2001. - Т. 17. - №. 10. - P. 2900-2906.

4. Lee W. [Text] Redox-transmetalation process as a generalized synthetic strategy for core-shell magnetic nanoparticles / W. Lee [et al.] // Journal of the American Chemical Society. - 2005. - Т. 127. - №. 46. - P. 16090-16097.

5. Lee J. [Text] Simple Synthesis of Functionalized Superparamagnetic Magnetite/Silica Core/Shell Nanoparticles and their Application as Magnetically Separable High‐Performance Biocatalysts / J. Lee [et al.] // Small. - 2008. - Т. 4. - №. 1. - P. 143-152.

6. Wang X. [Text] Electrochemical sensing the DNA damage in situ induced by a cathodic process based on Fe@Fe2O3 core-shell nanoparticles and Au nanoparticles mimicking metal toxicity pathways in vivo / X. Wang, T. Yang, K. Jiao //Biosensors and Bioelectronics. - 2009. - Т. 25. - №. 4. - P. 668-673.

7. White M. A. [Text] "Click" Dielectrics: Use of 1, 3‐Dipolar Cycloadditions to Generate Diverse Core‐Shell Nanoparticle Structures with Applications to Flexible Electronics / M. A. White [et al.] // Macromolecular Rapid Communications. - 2008. - Т. 29. - №. 18. - P. 1544-1548.

8. Domracheva N. E. [Text] Magnetic Resonance and Mossbauer Studies of Superparamagneticγ- Nanoparticles Encapsulated into Liquid-Crystalline Poly(propylene imine) Dendrimers / N.E. Domracheva, A.V. Pyataev R.A. Manapov, M.S. Gruzdev//ChemPhysChem. - 2011. - Т. 12. - №. 16. - P. 3009-3019.

9. Laurent S. [Text] Magnetic iron oxide nanoparticles: synthesis, stabilization, vectorization, physicochemical characterizations, and biological applications / S. Laurent [et al.] // Chemical reviews. - 2008. - Т. 108. - №. 6. - P. 2064-2110.

10.Sounderya N., [Text] Use of core/shell structured nanoparticles for biomedical applications / N. Sounderya, Y. Zhang // Recent Patents on Biomedical Engineering. - 2008. - Т. 1. - №. 1. - P. 34-42.

11.Schartl W. [Text] Crosslinked spherical nanoparticles with core-shell topology //Advanced Materials. - 2000. - Т. 12. - №. 24. - P. 1899-1908.

12.Soppimath K. S. [Text] pH‐Triggered Thermally Responsive Polymer Core-Shell Nanoparticles for Drug Delivery / K. S. Soppimath, D. C. W. Tan, Y. Y. Yang // Advanced materials. - 2005. - Т. 17. - №. 3. - P. 318-323.

13.De M. [Text] Applications of nanoparticles in biology / M. De, P. S. Ghosh, V. M. Rotello // Advanced Materials. - 2008. - Т. 20. - №. 22. - P. 4225-4241.

14.Yokoyama M. [Text] Drug targeting with nano-sized carrier systems // Journal of Artificial Organs. - 2005. - Т. 8. - №. 2. - P. 77-84.

15.Vasir J. K.[Text] Nanosystems in drug targeting: opportunities and challenges / J. K. Vasir, M. K. Reddy, V. D. Labhasetwar//Current Nanoscience. - 2005. - Т. 1. - №. 1. - P. 47-64.

16.Sounderya N., [Text] Use of core/shell structured nanoparticles for biomedical applications / N. Sounderya, Y. Zhang // Recent Patents on Biomedical Engineering. - 2008. - Т. 1. - №. 1. - P. 34-42.

17.Knopp D. [Text] Review: bioanalytical applications of biomolecule-functionalized nanometer-sized doped silica particles / D. Knopp, D. Tang, R. Niessner // Analyticachimicaacta. - 2009. - Т. 647. - №. 1. - P. 14-30.

18.Nayak S. [Text] Folate-mediated cell targeting and cytotoxicity using thermoresponsivemicrogels / S. Nayak [et al.] // Journal of the American Chemical Society. - 2004. - Т. 126. - №. 33. - P. 10258-10259.

19.Kircher M. F. [Text] A multimodal nanoparticle for preoperative magnetic resonance imaging and intraoperative optical brain tumor delineation / M. F. Kircher [et al.] // Cancer research. - 2003. - Т. 63. - №. 23. - P. 8122-8125.

20.Tan W. [Text] Bionanotechnology based on silica nanoparticles / W. Tan [et al.] // Medicinal research reviews. - 2004. - Т. 24. - №. 5. - P. 621-638.

21.Pinaud F. [Text] Advances in fluorescence imaging with quantum dot bio-probes / F. Pinaud [et al.] // Biomaterials. - 2006. - Т. 27. - №. 9. - P. 1679-1687.

22.Qiang Y. [Text] Synthesis of core-shell nanoclusters with high magnetic moment for biomedical applications / Qiang Y. [et al.] // Magnetics, IEEE Transactions on. - 2004. - Т. 40. - №. 6. - P. 3538-3540.

24.Stanciu L. [Text] Magnetic particle-based hybrid platforms for bioanalytical sensors / L. Stanciu [et al.] //Sensors. - 2009. - Т. 9. - №. 4. - P. 2976-2999.

25.Dong B. [Text] Synthesis and characterization of the water-soluble silica-coated ZnS:Mn nanoparticles as fluorescent sensor for Cu2 ions / B. Dong [et al.] // Journal of colloid and interface science. - 2009. - Т. 339. - №. 1. - P. 78-82.

26.Qiu J. D. [Text] Facile preparation of magnetic core-shell Fe3O4@Au nanoparticle/myoglobin biofilm for direct electrochemistry / J. D. Qiu [et al.] // Biosensors and Bioelectronics. - 2010. - Т. 25. - №. 6. - P. 1447-1453.

27.Katti K. S. [Text] Biomaterials in total joint replacement // Colloids and Surfaces B: Biointerfaces. - 2004. - Т. 39. - №. 3. - P. 133-142.

28.Srivastava S. [Text] Composite layer-by-layer (LBL) assembly with inorganic nanoparticles and nanowires / S. Srivastava, N. A. Kotov // Accounts of chemical research. - 2008. - Т. 41. - №. 12. - P. 1831-1841.

29.Zhang X. F. [Text] Synthesis, structure and magnetic properties of SiO2-coated Fe nanocapsules / X. F. Zhang [et al.] // Materials Science and Engineering: A. - 2007. - Т. 454. - P. 211-215.

30.Yin H. [Text] Heterostructured catalysts prepared by dispersing Au@Fe2O3 core-shell structures on supports and their performance in CO oxidation / H. Yin [et al.] // Catalysis Today. - 2011. - Т. 160. - №. 1. - P. 87-95.

31.Yao L. H. [Text] Core-shell structured nanoparticles (M@ SiO2, Al2O3, MgO; M = Fe, Co, Ni, Ru) and their application in COx-free H2 production via NH3decomposition / L. H. Yao [et al.] // Catalysis today. - 2010. - Т. 158. - №. 3-4. - P. 401-408.

32.Maliakal A. [Text] Inorganic oxide core, polymer shell nanocomposite as a high K gate dielectric for flexible electronics applications / A. Maliakal [et al.] // Journal of the American Chemical Society. - 2005. - Т. 127. - №. 42. - P. 14655-14662.

33.White M. A. [Text] "Click" Dielectrics: Use of 1,3‐Dipolar Cycloadditions to Generate Diverse Core‐Shell Nanoparticle Structures with Applications to Flexible Electronics / M. A. White [et al.] // Macromolecular Rapid Communications. - 2008. - Т. 29. - №. 18. - P. 1544-1548.

34.Ung T. [Text] Controlled method for silica coating of silver colloids. Influence of coating on the rate of chemical reactions / T. Ung, L. M. Liz-Marzan, P. Mulvaney // Langmuir. - 1998. - Т. 14. - №. 14. - P. 3740-3748.

35.Chen Z. [Text] Ag nanoparticles-coated silica-PMMA core-shell microspheres and hollow PMMA microspheres with Ag nanoparticles in the interior surfaces / Z. Chen [et al.] // Colloids and Surfaces A: Physicochemical and Engineering Aspects. - 2006. - Т. 272. - №. 3. - P. 151-156.

36.Fitzgerald J. J. [Text] Dynamic studies of the molecular relaxations and interactions in microcomposites prepared by in-situ polymerization of silicon alkoxides / J. J. Fitzgerald, C. J. T. Landry, J. M. Pochan // Macromolecules. - 1992. - Т. 25. - №. 14. - P. 3715-3722.

37.Ogoshi T. [Text] Synthesis of organic-inorganic polymer hybrids having interpenetrating polymer network structure by formation of ruthenium-bipyridyl complex / T. Ogoshi [et al.] // Macromolecules. - 2002. - Т. 35. - №. 2. - P. 334-338.

38.Каипов, Д. К. Ядерный гамма-резонанс и сопутствующие ему процессы / Д.К. Каипов. - Алма-Ата: "Наука", КазССР, 1976. 172 с.

39.Slezak T. [Text] Phonons at the Fe (110) surface / T. Slezak [et al.] // Physical review letters. - 2007. - Т. 99. - №. 6. - P. 066103.

40.Karas W. [Text] CEMS studies of Au/Fe/Au ultrathin films and monoatomic multilayers / W. Karas [et al.] // physica status solidi (a). - 2002. - Т. 189. - №. 2. - P. 287-292.

41.Шпинель В. С. Резонанс гамма-лучей в кристаллах / В. С. Шпинель - Наука, 1969.- 407 с.

42.Jithender L.[Text] X-Ray Debye temperature study of Fe2O3 nanoparticles / L. Jithender, N. G. Krishna // International Journal of Engineering Science & Technology. - 2012. - Т. 4. - №. 6.

43.Bomatí‐Miguel O. [Text] Core-Shell Iron-Iron Oxide Nanoparticles Synthesized by Laser‐Induced Pyrolysis / O. Bomatí‐Miguel [et al.] // Small. - 2006. - Т. 2. - №. 12. - P. 1476-1483.

Похожие работы на - Мёссбауэровская спектроскопия наночастиц core-shell типа

 

Не нашли материал для своей работы?
Поможем написать уникальную работу
Без плагиата!
Без нейросетей!