Расчёт катушки индуктивности колебательного контура
СОДЕРЖАНИЕ
1. ЗАДАНИЕ
. РАСЧЁТ
.1
ОПРЕДЕЛЕНИЕ ИНДУКТИВНОСТИ
.2 ВЫБОР
МАТЕРИАЛА КАРКАСА
.3 ВЫБОР
РАЗМЕРОВ КАРКАСА
.4 РАСЧЁТ
ИНДУКТИВНОСТИ КАТУШКИ С УЧЕТОМ СЕРДЕЧНИКА
.5
ОПРЕДЕЛЕНИЕ ЧИСЛА ВИТКОВ
.6
ОПРЕДЕЛЕНИЕ ОПТИМАЛЬНОГО ДИАМЕТРА ПРОВОДА
.7 УЧЁТ
ВЛИЯНИЯ ЭКРАНА
.8 РАСЧЁТ
СОБСТВЕННОЙ ЕМКОСТИ КАТУШКИ
.9 РАСЧЁТ
ДОБРОТНОСТИ
ВЫВОД
Список использованных источников
1. ЗАДАНИЕ
Рассчитать катушку индуктивности колебательного контура на резонансной
частоте
. Емкость конденсатора
. Тип и материалы сердечников
,
и другие данные, необходимые для
расчета, приведены ниже:
МГц;
пФ;
Тип и материал сердечника: СЦР-1, Р-10;
Материал экрана: латунь.
Выбрать материал и размеры каркаса, тип намотки. Определить число витков N, оптимальный диаметр провода
, собственную ёмкость
[пФ], добротность Q, температурный коэффициент
индуктивности (ТКИ)
и температурный коэффициент частоты (ТКЧ)
. Выбрать тип конденсатора, класс
точности, группу стабильности.
Рисунок 1 - колебательный контур (схема электрическая)
- ёмкость контура;
- индуктивность контура;
Э - экран.
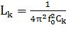
. РАСЧЁТ
.1 ОПРЕДЕЛЕНИЕ ИНДУКТИВНОСТИ
Рисунок 2 - электрическая эквивалентная схема замещения катушки
индуктивности
активные потери в диэлектрике за счёт поляризации;
активные потери в проводнике на высоких частотах за счет
поверхностного эффекта и эффекта близости;
собственная емкость катушки;
индуктивность контура.
В простейшем колебательном контуре, состоящем только из конденсатора и
катушки индуктивности происходит колебание энергии: энергия магнитного поля
катушки преобразуется в энергию электрического поля конденсатора и наоборот.
Электромагнитные колебания происходят по гармоническому закону, где
параметры меняются так:
,
,
Энергия:
Продифференцируем
с учётом того, что
=0,
,
.
=(
=0
,
где
- собственная частота колебательного контура.
(1)
расчётная формула индуктивности колебательного контура.
Подставим численные значения в формулу (1):
.2 ВЫБОР МАТЕРИАЛА КАРКАСА
катушка
индуктивность конденсатор сердечник
Каркас, являясь основой конструкции катушки, в большей
степени определяет её электрические параметры, технологичность и её стоимость.
Он должен быть удобным для намотки и крепления выводов, обеспечивать удобное
крепление, перемещение и надежную фиксацию сердечника (в данном случае СЦР-1
Р-10).
Материал каркаса должен вносить малые потери, обладать
малым температурным коэффициентом линейного расширения, нагревостойкостью,
холодостойкостью, быть прочным. Наиболее широкое применение в РЭА нашли
следующие материалы: полистирол, фенопласты, радиофарфор, ультрафарфор и
высокочастотный стеатитит. Целесообразней было бы выбрать в качестве материала
каркаса - ультрафарфор. Ультрафарфор практически не чувствителен к атмосферным
воздействиям, кроме того, потери у ультрафарфора начинают расти лишь при
повышении температуры сверх 100-200 С
. Из ультрафарфора изготовляются каркасы катушек
индуктивности для коротких волн, применяется для изоляции высокочастотных
цепей.
Электротехнические параметры ультрафарфора:
) Температурный коэффициент линейного расширения
((4,2÷5,5)∙106)
) Диэлектрическая проницаемость (Е = 7÷9)
) Плотность (3,5 мГ/м3)
) Электрическая плотность (20÷25
МВ/М)
) Тангенс угла диэлектрических потерь (tg𝛿 = 5 ∙ 10-4)
.3 ВЫБОР РАЗМЕРОВ КАРКАСА.
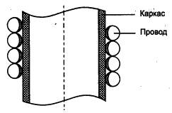
Ниже приведем рисунок катушки индуктивности:
Рисунок 3 - катушка индуктивности (с указанием всех геометрических
параметров катушки)
Из сводной таблицы «Параметры цилиндрических сердечников из карбонильного
железа» можно узнать такие данные:
,
. В случае использования цилиндрических резьбовых сердечников
наиболее часто применяют каркасы диаметром 4..10 мм. Для нашей катушки из
сводной таблицы «Диаметры каркасов» по предельному значению индуктивности
возьмём
,
.
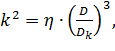
.4 РАСЧЁТ ИНДУКТИВНОСТИ КАТУШКИ С УЧЕТОМ СЕРДЕЧНИКА
Начнем расчёт данной катушки с определения её индуктивности с учетом
магнитного сердечника цилиндрического резьбового из карбонильного железа.
По формуле
, где (2)
(обычно указывается в технических заданиях);
, где (3)
начальное значение магнитной проницаемости сердечника;
коэффициент использования магнитных свойств;
поправочный коэффициент.
Рисунок 4 - определение коэффициентов с помощью графиков
Значения этих коэффициентов находят по графикам,
изображенным на рисунке 4, причем:

Начальное значение магнитной проницаемости сердечника определим из
таблицы «Параметры высокочастотных магнитных материалов»:
.
Таблица «Параметры высокочастотных магнитных материалов»
Подставим численные значения в формулу (2) и получим:
2.5 ОПРЕДЕЛЕНИЕ ЧИСЛА ВИТКОВ
Применяемые виды намотки можно разделить на однослойные и многослойные.
При однослойной намотке витки располагаются на цилиндрической поверхности
каркаса в один слой. При плотном расположении витков, разделяемых лишь
изоляцией провода, получается сплошная однослойная намотка при расположении
витков на некотором расстоянии друг от друга - намотка с шагом.
Однослойные катушки с шагом отличаются высокой добротностью (150 - 400) и
стабильностью; они в основном применяются в контурах KB и УКВ. Для повышения
точности намотки провода применяются нарезные каркасы, т. е. каркасы, на
поверхности которых сделана неглубокая (0,2 - 0,3d) спиральная канавка. Однако
погружение провода в диэлектрик каркаса несколько понижает добротность и
стабильность катушки.
Для высокостабильных катушек применяются специальные способы изготовления
намоток - тугая, горячая и осажденная или нанесенная намотки.
Так как нам нужно получить максимальную добротность и высокую
стабильность, то целесообразней выбрать однослойную намотку.
Из формулы для индуктивности
, где (4)
число витков;
;
коэффициент, зависящий от отношения длины катушки
к её диаметру-
.
Для однослойных катушек коэффициент
определяется cоотношением
При расчёте принимают, что диаметр каркаса равен диаметру катушки.
Подставим численные значения в формулу (5):
Полученная формула даёт возможность определить число витков только при
всех известных параметрах катушки. Вычислим число витков:
Получаем: число витков - 33.
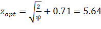
2.6 ОПРЕДЕЛЕНИЕ ОПТИМАЛЬНОГО ДИАМЕТРА ПРОВОДА
Оптимальный диаметр провода катушки рассчитывают при помощи
вспомогательного коэффициента:
- коэффициент, определяемый по графику на рисунке 6;
Между сопротивлением провода катушки и его диаметром
существует сложная зависимость, так как при этом изменяется проявление
поверхностного эффекта и эффекта близости.

Рисунок 6 - график для определения коэффициента
и влияние диаметра провода на сопротивление катушки

Найдем значение вспомогательного коэффициента:
Так как полученное значение
,то
(7)
Определим значение оптимального диаметра по формуле:
По оптимальному диаметру провода можно выбрать марку провода и тип
изоляции. Медные
обмоточные провода применяют для намотки катушек колебательных контуров,
трансформаторов, дросселей, электромагнитных реле. Диаметр провода определяется
плотностью тока, сопротивлением обмоток, соображениями удобства намотки и
надежностью. Для намотки катушек применяют провода в эмалевой изоляции марок
ПЭЛ, ПЭВ, комбинированной изоляции марок ПШО, ПШД, ПЭЛШО, ПЭШД, а также
литцендрат ЛЭШО и ЛЭШД.
С учётом оптимального диаметра провода, с соображениями удобства намотки
и надежностью провода - возьмем провод марки ПЭВ-1. Вид изоляции провода
выберем в зависимости от рабочей температуры обмотки, требуемой электрической
прочности - лучше всего подойдет один слой высокопрочной эмали. Диаметр провода
в изоляции будет равен 0.29 мм.
Проведем проверку подобранного диаметра провода:
, где
- коэффициент неплотности намотки, определяемый по диаметру
провода без изоляции;
диаметр провода в изоляции;
число витков
Таблица «Коэффициентов неплотности намотки в зависимости от диаметра»
Проверка показала, что при намотке 33 витков провода диаметром 0,29 мм ,
потребуется КИ длиной 10мм. Длина нашей КИ равна 10 мм, значит выбор сделан
правильно.
.7 УЧЁТ ВЛИЯНИЯ ЭКРАНА
Для устранения паразитных связей, обусловленных внешним электромагнитным
полем катушки, и для устранения влияния на катушку окружающего пространства
катушка экранизируется, т.е. располагается внутри замкнутого металлического
заземленного экрана.(рисунок 7).
Рисунок 7 - экранизированная катушка индуктивности
Экранирующее действие характеризуется отношением напряженности внешнего
поля катушки при наличии экрана к напряженности поля при его отсутствии. Для
экрана среднего качества, выполненного, например, в виде алюминиевого стакана,
это отношение равно приблизительно 0.05, что достаточно для большинства
случаев. Для увеличения экранирующего действия применяют двойные и даже тройные
экраны.
Под влиянием экрана изменяются параметры катушки: уменьшается её
индуктивность и увеличиваются сопротивление и собственная ёмкость. Добротность
экранированной катушки оказывается ниже добротности той же катушки при
отсутствии экрана. Изменение параметров катушки зависит от соотношения между ее
размерами и размерами экрана.
Для того чтобы индуктивность и добротность падали не более чем на 10%,
рекомендуются следующие соотношения между диаметрами экрана и катушки:
, где
- диаметр экрана. Таким образом, имеем:
;
При помещении катушки в экран ее индуктивность и добротность уменьшаются.
Индуктивность экранированной катушки составляет:
где L - индуктивность неэкранированной катушки;
k -
коэффициент связи между экраном и катушкой.
Для однослойных катушек:
(9)
где
- коэффициент, зависящий от отношения длины катушки к ее
диаметру.
Из графика, изображенного на рисунке 9, определяем коэффициент
Рисунок
9 - График для нахождения коэффициента
= 1,26;
Тогда
;
.
Теперь
определим индуктивность экранированной катушки:
Потери,
вносимые экраном в КИ можно определить по формуле:
(10)
По
формуле (10) имеем
, где
.
.8
РАСЧЁТ СОБСТВЕННОЙ ЕМКОСТИ КАТУШКИ
Обычно
конструкция катушки выбирается такой, чтобы она работала на частотах намного
ниже частоты собственного резонанса. Тогда ее с достаточной степенью точности
можно представить в виде эквивалентной схемы из идеальных сосредоточенных
элементов. В таком представлении параллельно катушке подключена ее паразитная
собственная емкость. Она образует с собственной индуктивностью катушки
параллельный колебательный контур, резонансная частота которого и является
частотой собственного резонанса катушки. Эта емкость зависит от материала и
формы каркаса, формы намотки, наличия экрана. Наименьшей собственной ёмкостью
обладают однослойные катушки, намотанные с шагом. (1-2 пФ). Многослойные
катушки обладают большей ёмкостью, величина которой резко зависит от способа
намотки. Например, емкость катушек с простой универсальной намоткой составляет
5-10 пФ, с перекрестной универсальной намоткой - 15-30 пФ, а с рядовой
многослойной намоткой может быть выше 50 пФ. Емкость рамочных катушек в виде
плоской спирали составляет 150-200 пФ.
Собственную
ёмкость однослойной катушки индуктивности можно рассчитать по формуле:
Где,
;
.
Существует
более альтернативный способ расчёта собственной ёмкости катушки индуктивности.
Этот способ можно встретить в книге - "Детали контуров радиоаппаратуры,
расчет и конструкция. В.А.Волгов 1954г.
<#"805246.files/image105.gif">, где
(12)
бственная
ёмкость в пФ;
коэффициент,
величина которого зависит от соотношения между шагом намотки и диаметром
провода, его значения даны на рисунке 8,а.
коэффициент,
который зависит от соотношения между длиной и диаметром катушки , его значения
равны на рисунке 8,б.
Рисунок 8 - графики значений коэффициентов k и
для расчета собственной емкости однослойных катушек
индуктивности
Глядя на графики, запишем значения этих коэффициентов:
,
.
Подставим численные значения в формулу (9):
-собственная ёмкость катушки индуктивности.
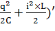
.9 РАСЧЁТ ДОБРОТНОСТИ
В катушках индуктивности помимо основного эффекта взаимодействия тока и
магнитного поля наблюдаются паразитные эффекты, вследствие которых
сопротивление катушки не является чисто реактивным и равным
. Наличие паразитных эффектов ведет к
появлению потерь в катушке, оцениваемых сопротивлением потерь
, которое определяет добротность
катушки индуктивности:
сопротивление току высокой частоты;
потери, вносимые сердечником;
потери, вносимые экраном;
потери в диэлектрике.
Потери складываются из потерь в проводах, диэлектрике, сердечнике и
экране.
Потери в проводах вызваны тремя причинами.
Во-первых, провода обмотки обладают омическим сопротивлением:
;
;
.
Во-вторых, сопротивление провода обмотки переменному току возрастает с
ростом частоты, что обусловлено поверхностным эффектом, суть которого состоит в
том, что ток протекает не по всему сечению проводника, а по кольцевой части
поперечного сечения. (Рисунок 9)
Рисунок 9 - поверхностный эффект
В-третьих, в проводах обмотки, свитой в спираль, проявляется эффект
близости, суть которого состоит в вытеснении тока под воздействием вихревых
токов и магнитного поля периферии провода, прилегающей к каркасу, в результате
чего сечение, по которому течёт ток, принимает серповидный характер, что
приводит к дополнительному возрастанию сопротивления провода. (рисунок 10)
Рисунок 10 - эффект близости
Выше был вычислен оптимальный диаметр провода
при котором сопротивление току
высокой частоты оказывается минимальным. Для однослойных катушек
лежит в пределах от 0.2 мм до 0.6
мм, для многослойных от 0.08 мм до 0.2 мм.
Произведем расчёт сопротивления току высокой частоты
по эмпирическим формулам. Рассчитаем
вспомогательный коэффициент:
, где
частота, Гц;
диаметр провода, см.
Для катушек, работающих на частотах не выше 10МГц(в нашем случае частота
равна 4.7 МГц), сопротивление
, вычисляется по формуле:
(15)
где d - диаметр провода без изоляции в см; N - число витков катушки;
k -
вспомогательный коэффициент.(z), G(z) - коэффициенты учитывающие влияние
поверхностного эффекта и эффекта близости. Их значения определяются при помощи
вспомогательного параметра:
Коэффициенты F(z) и G(z) определим по
таблице расположенной ниже: F(z)=2.254, G(z)=0.8609.
Тогда
Диэлектрические потери возникают в поле собственной емкости катушки через
диэлектрик и зависят от величины этой емкости, от качества материала каркаса и
от частоты. А также от тангенса диэлектрических потерь. Потери в диэлектрике
обусловлены тем, что между соседними витками катушки существует емкость, имеющая
две составляющих - емкость через воздух Сов и емкость через
диэлектрик Сод.
Рисунок 11 - рисунок потерь в диэлектрике катушки индуктивности
Диэлектрические потери можно определить по следующей формуле:
Где,
Подставим численные значения в формулу (12):
Потери, вносимые сердечником катушки индуктивности:
Потери, вносимые сердечником, могут быть найдены по следующей формуле:
Пусть катушка индуктивности находится в радиоприёмнике, тогда H=0;
Вычислим добротность по формуле (13):
Стабильность катушки характеризуется изменением её параметров под
воздействием температуры и влажности. Изменения индуктивности под влиянием
температуры характеризуются температурным коэффициентом индуктивности (ТКИ).
ТКИ катушки определяется способом намотки и качеством диэлектрика каркаса. Для
повышения температурной стабильности применяют каркасы из материала с малым
значением коэффициента линейного расширения. Этим требованиям в наибольшей
степени удовлетворяет керамика.
, (18)
где
- изменение частоты;
-
изменение температуры;
, (19)
где
- изменение индуктивности:
-
изменение температуры.
Определим
ТКИ:
- из
табличных данных;
для
керамического каркаса;
для
медного провода.
;
Определим
ТКЧ:
;
Конденсаторы,
применяемые в радиоэлектронной аппаратуре можно разделить на конденсаторы
постоянной ёмкости, конденсаторы переменной ёмкости и подстроечные
конденсаторы. Большое потребление конденсаторов постоянной ёмкости в
радиопромышленности привело к стандартизации наиболее употребительных типов и к
организации их массового производства. Выбор нужного типа конденсатора
производится на основании электрических характеристик. Емкость применяемых
конденсаторов лежит в пределах от нескольких пФ до нескольких тысяч мкФ, точная
величина ёмкости зависит от назначения конденсатора. Допустимые отклонения
ёмкости отдельных конденсаторов от установленного номинального значения
определяют класс точности. (Е6, Е12, Е24, E48, E96, E192).
Обычно отклонения для контурных конденсаторов -
.
В зависимости от назначения в РЭА применяют конденсаторы различных классов
точности. Блокировочные и разделительные конденсаторы обычно выбирают по II и III
классам точности, контурные конденсаторы обычно имеют I или 0 классы
точности, а фильтровые - IV, V и VI классы точности. Электрическая прочность
конденсаторов характеризуется значением напряжения пробоя и зависит в основном
от изоляционных свойств диэлектрика.
Номинальное
напряжение - это такое напряжение, при котором конденсатор может работать до
часов. Для повышения надежности РЭА конденсаторы
используют при напряжении, которое меньше номинального.
Стабильность
емкости определяется ее изменением под воздействием внешних факторов.
Наибольшее влияние на емкость оказывает температура. Ее влияние оценивают
температурным коэффициентом емкости (ТКЕ):
У
катушки ТКИ положительный, тогда конденсатор с отрицательным ТКЕ ставят, чтобы
частота настройки контура от температуры не уходила.
Изменение
емкости обусловлено изменением линейных размеров обкладок конденсатора и
диэлектрика, но в основном изменением диэлектрической проницаемости
диэлектрика. У высокочастотных конденсаторов величина ТКЕ не зависит от
температуры и указывается на корпусе конденсатора путем окраски корпуса в
определенный цвет и нанесения цветной метки. У низкочастотных конденсаторов
температурная зависимость емкости носит нелинейный характер. Температурную
стабильность этих конденсаторов оценивают величиной предельного отклонения
емкости при крайних значениях температуры. Стабильность конденсаторов во
времени характеризуется коэффициентом старения.
Потери
энергии в конденсаторах обусловлены электропроводностью и поляризацией. Их
характеризуют тангенсом угла диэлектрических потерь
Конденсаторы с керамическим диэлектриками имеют
.
Выбор
электрических конденсаторов, используемых в электронном устройстве, произведен
правильно, если тип и номинальные параметры конденсаторов (номинальная емкость,
номинальное напряжение и др.) обеспечивают с заданным уровнем надежности
требуемый режим работы электронной схемы. Если наряду с этим электрические
конденсаторы будут иметь минимальные стоимость, габариты и вес, то их выбор
произведен оптимально.
В
данном колебательном контуре целесообразней выбрать керамический конденсатор.
Он отличается высокими электрическими показателями, небольшими размерами и
невысокой стоимостью. Достоинством керамических конденсаторов является высокая
стабильность, возможность их изготовления с любым предварительно заданным
значением ТКЕ и очень малая собственная индуктивность. Достоинством их также
является возможность применения при относительно высоких температурах;
некоторым недостатком - трудность изготовления керамических конденсаторов
большой емкости.
В
итоге выбрали керамический конденсатор с номинальной ёмкостью 160 пФ : К10-2E-М150-
160пФ± 10% - В. ОЖО.460.034ГУ.
ВЫВОД
1) Индуктивность на резонансной частоте
=
) Материал каркаса ультрафарфор.
) Материал сердечника карбонильное железо (Р-10).
) Индуктивность катушки с сердечником
) Размеры каркаса: Диаметр катушки
;
длина катушки индуктивности
) Намотка: сплошная, однослойная, марка провода
ПЭВ-1-ГОСТ 7262-70, проволока медная с высокопрочной эмалью в качестве
изоляции.
) Число витков и оптимальный диаметр провода: N = 33,
.
) Учет влияния алюминиевого экрана:
;
Lэк=
;
;
9) Собственная емкость и добротность: Со=0,6 пФ; Q =75.
10) Параметры температурных коэффициентов:
;
Конденсатор: К10-2E-М150-
160пФ± 10% - В. ОЖО.460.034ГУ.
СПИСОК ИСПОЛЬЗОВАННЫХ ИСТОЧНИКОВ
1. Зеленский
А.В., Макарычев Ю.И. Радиокомпоненты дискретной функциональной электроники.
Куйбышев: Учебное пособие. -КуАИ,1986.-58с.
. Петров
К.С., Радиоматериалы, радиокомпоненты и электроника. СПб.: Питер,2003.-512с.
3. Волгов В.А. Детали контуров радиоаппаратуры. Расчет и
конструкция. 1954.-295с.
4. Андреев
В.М., Материалы микроэлектронной техники: Учеб. Пособие для вузов - М.: Радио и
связь, 1989.-352 с.: ил.
. Лернер М.
М. Выбор конденсаторов для электронных устройств. Москва, «Энергия», 1970.
Библиотека по радиоэлектронике. Выпуск 24.