Построение профиля трассы

  • Вид работы:
    Курсовая работа (т)
  • Предмет:
    Строительство
  • Язык:
    Русский
    ,
    Формат файла:
    MS Word
    276,11 Кб
  • Опубликовано:
    2014-12-18
Вы можете узнать стоимость помощи в написании студенческой работы.
Помощь в написании работы, которую точно примут!

Построение профиля трассы

Введение

Геодезические работы в строительстве выполняются в определенном объеме и с указанной точностью, которые обеспечивают при размещении и возведении объектов строительства соответствие геометрических параметров проектной документации требованиям строительных норм и правил. Работы разделяются на следующие основные виды: съемочные, трассировочные, разбивочные, а также исполнительные съемки, наблюдения за деформациями объектов строительства.

Разбивочные работы ведутся непосредственно в период строительства и предназначаются для выноса с проекта на местность осей и точек зданий, сооружений. Исполнительные съемки осуществляются в процессе строительства и при его завершении с целью контроля за выполнением и качеством строительно-монтажных работ. Наблюдения за деформациями объектов строительства проводятся с начала их возведения и до окончания строительства и, при необходимости, продолжаются в период эксплуатации.

В состав геодезических работ, связанных с их выполнением непосредственно на строительной площадке, входят:

·        создание геодезической разбивочной основы для строительства, включающей построение разбивочной сети строительной площадки и вынос в натуру основных или главных разбивочных осей зданий и сооружений, магистральных и внеплощадочных линейных сооружений, а также для монтажа технологического оборудования;

·        разбивка внутриплощадочных, кроме магистральных, линейных сооружений или их частей, временных зданий (сооружений);

·        создание внутренней разбивочной сети зданий на исходном и монтажном горизонтах и разбивочной сети для монтажа технологического оборудования, если это предусмотрено в проекте производства геодезических работ или в проекте производства работ, а также производство детальных разбивочных работ;

·        геодезический контроль точности геометрических параметров зданий и исполнительные съемки законченных объектов или их отдельных частей с составлением исполнительной геодезической документации;

·        геодезические измерения деформаций оснований, конструкций зданий (сооружений) и их частей, если это предусмотрено проектной документацией, установлено авторским надзором или органами государственного надзора.

Геодезические работы приступают выполнять после предусмотренной проектной документацией расчистки территории, освобождения ее от строений, подлежащих сносу, и вертикальной планировки.

1. Общие понятия о разбивочных работах

Разбивочные работы являются одним из основных видов инженерно-геодезической деятельности. Выполняют их для определения на местности планового и высотного положения характерных точек и плоскостей строящегося сооружения в соответствии с рабочими чертежами проекта.

Разбивочные работы диаметрально противоположны съемочным. При съемке на основании натурных измерений определяют координаты точек относительно пунктов опорной сети. Точность этих измерений зависит от масштаба съемки. При разбивке же, наоборот, по координатам, указанным в проекте, находят на местности положение точек сооружения с заранее заданной точностью. При разбивочных работах углы, расстояния и превышения не измеряют, а откладывают на местности. В этом основная особенность разбивочных работ.

Весь процесс разбивки сооружения определяется общим геодезическим правилом перехода от общего к частному. Разбивка главных и основных осей определяет положение всего сооружения на местности, т. е. его размеры и ориентирование относительно сторон света и существующих контуров местности. Детальная же разбивка определяет взаимное положение отдельных элементов и конструкций сооружения.

Разбивочные работы - это комплексный взаимосвязанный процесс, являющийся неотъемлемой частью строительно-монтажного производства. Поэтому организация и технология разбивочных работ целиком зависит от этапов строительства.

В подготовительный период на местности строят плановую и высотную геодезическую разбивочную основу соответствующей точности, определяют координаты и отметки пунктов этой основы. Затем производится геодезическая подготовка проекта для перенесения его в натуру.

Непосредственную разбивку сооружений выполняют в три этапа:

·        На первом этапе производят основные разбивочные работы. По данным привязки от пунктов геодезической основы находят на местности положение главных или основных разбивочных осей и закрепляют их.

·        На втором этапе, начиная с возведения фундаментов, проводят детальную строительную разбивку сооружений. От закрепленных точек главных и основных осей разбивают продольные и поперечные оси отдельных строительных элементов и частей сооружения, одновременно определяя уровень проектных высот. Детальная разбивка производится значительно точнее, чем разбивка главных осей, поскольку она определяет взаимное расположение элементов сооружения, а разбивка главных осей - лишь общее положение сооружения и его ориентирование. Если главные оси могут быть определены на местности со средней квадратической ошибкой 3 - 5 см, а иногда и грубее, то детальные оси разбивают со средней квадратической ошибкой 2 - 3 мм и точнее.

·        Третий этап заключается в разбивке технологических осей оборудования. На этом этапе требуется наибольшая точность (в отдельных случаях - доли миллиметра).

2. Методы подготовки данных для перенесения проектов зданий и сооружений на местность

Разбивкой сооружений, или вынесением проекта в натуру, называют геодезические работы, выполняемые на местности для определения планового и высотного положения характерных точек и плоскостей строящегося сооружения согласно рабочим чертежам проекта. Разбивочными элементами, с помощью которых определяют на местности плановое и высотное положение отдельных точек проектируемых зданий и сооружений, являются расстояния, углы и отметки точек.

Геодезическая подготовка проекта осуществляется следующими способами: аналитическим, графоаналитическим, графическим.

·        При аналитическом способе все проектные данные находят путем математических вычислений.

·        Графоаналитический способ - способ при котором часть исходных данных для проектирования берется графическим путем с топографического плана, а остальные данные определяются аналитически.

·        Сущность графического метода состоит в определении всех необходимых данных: расстояний, дирекционных углов и координат непосредственно на генеральном плане при помощи чертёжных принадлежностей.

3. Способы перенесения на местность проектов зданий и сооружений и их точность

)Способ полярных координат наиболее универсальный и заключается в следующем. Допустим, необходимо вынести на местность проектную точку А сооружения , координаты которой Х и У заданы проектом или определены графически по плану. Необходимо наличие на стройплощадке не менее двух геодезических пунктов, один из которых находится вблизи точки А, например. Тригонометрические пункты 1 и 2 с известными координатами (рис.1). Для построения точки необходимо знать полярный угол β и длину d, которые получают решением обратной геодезической задачи при геодезической подготовке проекта к выносу в натуру. По полученным значениям при помощи теодолита строят угол β и по этому направлению откладывают рулеткой длину. Полученная точка будет являться искомой точкой А.

Рис. 1

разбивочный чертеж местность здание

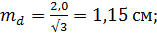
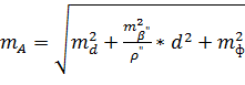
Точность разбивки точки А:


где mA-СКП определения положения точки А; md - СКП построения (отложения) проектного расстояния; mβ" - СКП построения проектного угла (секунд); mф - СКП фиксации точки на местности; d- длина линии Ι - ΙΙ; ρ"=206265 - значение радиана в секундах.

)Способ прямоугольных координат (перпендикуляров) применяют преимущественно при наличии на стройплощадке строительной сетки и при разбивке зданий от красных линий кварталов или осей проездов. Особенность способа состоит в том, что все проектные углы являются прямыми, а проектные расстояния получаются, как разности координат точек сооружений и строительной сетки. На рис.3 MNKF - квадрат строительной сетки, А/1 и А/2 - точки пересечения основных осей А-А, 1-1, 2-2. В результате геодезической подготовки были определены длины: для выноса точки А/1 - ∆ХA/1; ∆УA/2 точки А/2 - ∆ХA/1; ∆УA/2. Порядок вынесения точки на местность следующий. По створу линии MF от точки M откладываем проектное расстояние ∆УA/1 и получаем вспомогательную точку Д. В этой точке устанавливается теодолит и строится прямой угол в направлении оси 1-1. Отложив по этому направлению проектное расстояние ∆ХA/1, получим на местности проектную точку А/1. Погрешность т положения разбивочной точки:


где mX, mY - СКП построения длин ∆X и ∆Y;

m90" - СКП построения прямого угла;

Рис.2

)Способ прямой угловой засечки применяют при выносе на местность точек, значительно удаленных от пунктов геодезической сети, а также в тех случаях, когда местность неудобная для производства линейных измерений лентами или рулетками. Сущность способа заключается в определении, а затем построении на местности углов β1, β2 (рис.3), образованных опорной стороной- II и направлениями I-А/1 и II - А/1. Определяемая точка А/1 получается как пересечение направлений, образованных проектными углами β1 и β2, Значения углов β1 и β2 вычисляют как разность дирекционных углов соответствующих сторон треугольника Ι-А/1-ΙΙ. Дирекционные углы сторон получают решением обратной задачи по координатам точек.

СКП прямой угловой засечки:

 

где mβ - СКП отложения углов β₁ и β₂; b - расстояние между опорными пунктами(базис засечки).

Рис.3

При разбивках этим способом следует избегать значений углов в треугольнике менее 30° и более 150°.

)Способ линейных засечек (рис.5) применяют при вынесении на местность проектных точек, близко расположенных от опорных геодезических пунктов. Положение проектной точки А/1 получают пересечением дуг окружностей с радиусом d1 и d2, центрами которых служат геодезические пункты. Длины d1 и d2 получают из решения обратной задачи по координатам пунктов, при этом d1, и d2 не должны превышать длины мерного прибора (ленты или рулетки). При этом могут пользоваться не только пункты геодезической основы, но и створные точки (например, точка К), расположенные на твердых сторонах.

Погрешность построения проектной точки на местности

 

где md - СКП отложения расстояний d1 и d2; φ - угол пересечения направлений d1 и d2.

Рис. 4

)Способ створной засечки состоит в том, что определяемая точка получается на пересечении двух взаимно перпендикулярных лучей по сторонам Ι-Ι' и II - II' (рис.6), закрепленных на местности за пределами сооружения. Этот способ широко применяется при разбивке сооружений прямоугольной конфигурации, а при расстояниях между створными точками в пределах 20-30м. практикуется образование створов с помощью монтажных проволок (струн), натягиваемых в двух взаимно-перпендикулярных направлениях.

Рис.5

4. Составление разбивочного чертежа

Знаки на проектных точках устанавливают в створе линии, на которую опираются проектные границы. Однако если место постановки знака попадет на дорогу, в промоину, болото и др., то знак ставят в стороне от опорной линии, но на проектной границе.

При достаточно надежном геодезическом обосновании для перенесения проекта, когда не требуется повторных измерений, расчетов и внесения поправок в размеры сторон участков, измерения выполняют обычно быстро, задерживается лишь постановка знаков. Поэтому нужно, чтобы было не менее чем 2 - 3 пары землекопов с хорошо отточенными лопатами. Они ставят граничные знаки в отмеченных землеустроителем точках на месте

кольев. У этих точек землеустроитель оставляет знаки, на них масляной краской записывает номера полей, между которыми эти знаки устанавливаются. Чтобы постановка знаков в отмеченных точках была достаточно точной, по одной линии (в створе), место постановки каждого знака берется в крест или в створ. Для этого на расстоянии 2- 3 м от точки, отмеченной колом, ставят четыре тонких колышка, так чтобы место постановки знака было в точке ·пересечения соединяющих их линий. После этого копают яму и ставят в нее знак, проверяя его положение по колышкам. Иногда вместо колышков прокапывают на земле бороздки, а к одной из них, куда должна быть направлена грань между надписями номеров полей, прокапывают еще бороздку в виде стрелки. Тогда рабочие смогут достаточно точно поставить знак, правильно ориентировав его в соответствии с надписями. Знаки окапывают курганами высотой 0,3 - 0,5 м и диаметром 1 , 5 - 2 м. Вокруг кургана прокапывают канаву, землю из которой насыпают на курган. Все границы между полями и участками, дорог и скотопрогонов пропахивают в одну борозду.

Разбивочный чертеж составляют только после нанесения на проектный план всех проектных линий спроектированных объектов и записей на нем всех отрезков (промеров) и углов, необходимых для перенесения проекта в натуру. Он является техническим документом, также как абрис теодолитной съемки, прикладывается к техническому делопроизводству и свидетельствует о порядке и правильности выполнения полевых работ. Им предусматривается такой порядок перенесения проекта, который обеспечит наибольшую производительность труда исполнителя, сократит холостые передвижения рабочей силы и позволит выполнить работы с требуемой точностью.

5. Полевые работы по вынесению на местность основных осей здания. Закрепление осей. Обноска и ее виды

Разбивочные работы для строительства здания начинают с вынесения на местность его основных осей, роль которых обычно исполняют линии, определяющие контур здания в плане. Основные оси закрепляют на местности в местах их пересечения и ставят створные знаки на продолжениях осей (рис. 18.1). Створные знаки располагают в местах, свободных от предстоящих строительных работ, на расстоянии не менее 15 м от контура здания и удобных для установки геодезических приборов и выполнения измерений.

Положение точек закрепления осей определяют в ходе составления проекта, где указывают их проектные координаты x, y, выраженные в единой для проекта системе координат. В этой же системе координат должны быть выражены и координаты пунктов геодезической разбивочной сети.

На местность точки закрепления осей выносят обычно способом полярных координат. Так, для вынесения точки Б5 (см. рис. 1) электронный тахеометр устанавливают на пункте 7 разбивочной сети, ориентируют зрительную трубу на пункт 6 и по координатам точек Б5, 7, 6 вычисляют разбивочный угол b1 и расстояние d1. Поворачивая алидаду, откладывают вычисленный угол, ориентируя трубу в направлении на Б5. Перемещая в этом направлении отражатель, откладывают расстояние d1. Найденное положение точки Б5 закрепляют. Правильность выноса точки контролируют измерениями с другого пункта сети с вычислением фактически полученных координат точки.

Рис. 1. Схема вынесения и закрепления на местности основных осей здания:

Закрепление точек выполняют: в земле - обрезком рельса, штыря или трубы с бетонным якорем, на существующих сооружениях - специальными марками. По результатам закрепления осей составляют акт разбивки осей здания и исполнительный чертеж.

Закрепление осей на обноске. Виды обноски.

Оси зданий часто закрепляют на обноске, при помощи которой удобно выполнять детальную разбивку здания, в частности, разбивку осей внутренних стен. На обноске фиксируют положение всех осей: главных, основных и детальных. Обноску устраивают в виде сплошного ограждения (круговая обноска), либо ограждения, состоящего из отдельных секций (разреженная обноска), либо ограждения только столбами (створная обноска).

Иногда применяют инвентарную обноску. Она состоит из металлических полых якорей, забиваемых в землю на глубину 0,7 м, в отверстия которых устанавливают металлические стойки, несущие трубчатые штанги. На штанге передвигаются муфты (хомутик с табличкой, обозначающей наименование оси), которая может быть закреплена в любом месте. Якоря расставляют так, чтобы стойки не попали на оси здания. Положение осей на обноске фиксируют передвижением муфт (хомутиков).


Независимо от вида обноска должна соответствовать следующим требованиям: Стороны ее должны быть параллельны продольным и поперечным осям сооружения, а доски и штанги - прямолинейными и горизонтальными. Верхний уровень обноски рационально размещать или на уровне чистого пола этажа, или на расстоянии целого числа метров над уровнем дна котлована. Для контроля незыблемости обноски в процессе строительства основные оси дополнительно закрепляют грунтовыми знаками, размещенными под обноской. Контроль производится отвесом. Для сохранения обноски иногда ее строят после подготовки котлована.

Для разбивки осей на обноске теодолит устанавливают в одной из точек основной оси и ориентируют по ней, например по линии 1-1У. Затем передают трубой и закрепляют оси или гвоздями на ребрах досок, или муфтами (хомутиками) на штангах обноски: сначала точку 4*, а после поворота через зенит - точку 1*. Отложив теодолитом угол 90, фиксируют на обноске ось 2**-1**.

Все построения теодолитом проводят при двух положениях вертикального круга, каждый раз намечают точку и при допустимом расхождении в их положении принимают и фиксируют окончательную среднюю. Теперь по доскам или штангам обноски откладывают рулеткой расстояние а и в и фиксируют точки 2*, 3*, 3**,4**. Пользуясь линиями 2*-3* и 3**-4** как створами, сносят на землю точку S и измеряют в ней контрольный угол 2*S4**, который должен быть равен проектному.

В зависимости от точности разбивки отклонение угла не должно превышать 10-30. После этого разбивают все промежуточные оси. Фактическое расстояние не должно отличаться от проектного расстояние между осями более чем на 2 мм. Окончательное положение осей на обноске фиксируют гвоздями или муфтами, обозначают несмываемой краской с указанием обозначения оси. Межсекционные и пролетные оси, сохранность которых должна быть обеспечена на длительный период, закрепляют створными знаками.

6. Зачистка дна котлована до проектной отметки

В состав геодезических работ при устройстве котлована входят:

вынос нижнего контура котлована;

вынос верхнего (внешнего) контура котлована;

нивелирование внешнего контура котлована по квадратам;

периодические исполнительные съемки в процессе выемки грунта;

зачистка дна и откосов котлована;

исполнительная съемка котлована.

Вынос нижнего контура котлована выполняют от основных осей сооружения, предварительно вынесенных на обноску. Для этого через гвозди, закрепляющие основные оси на обноске, натягивают капроновые нити или тонкую проволоку, точки их пересечения проектируют на землю отвесом и обозначают кольями.

Вынос верхнего контура котлована и его закрепление кольями выполняют от внутреннего контура отложением отрезка , величину которого вычисляют по глубине котлована А и уклону откоса I.

Периодические исполнительные съемки выполняют с целью вычисления текущих объемов земляных работ, а также для контроля за выемкой грунта, чтобы не допустить его излишней выемки и не нарушить естественный грунт.

Зачистка дна с необходимой точностью выполняется по кольям, которые предварительно устанавливают на проектную высоту по всей площади котлована через 5-10 м друг от друга в вырытых для этого углублениях.

Исполнительная съемка котлована выполняется от основных осей, которые переносят на дно котлована после его окончательной зачистки. Для этого внешний и внутренний контуры привязывают к основным осям сооружения, а также выполняют нивелирование дна по квадратам со стороной 3-5 м. По результатам съемки составляют исполнительный чертеж котлована. На чертеже указывают: расстояние от контуров котлована (нижнего и верхнего) до основных осей сооружения; отметки поверхности внешнего контура до начала выемки грунта; исполнительные отметки и проектную отметку дна котлована. Отклонения исполнительных отметок должны быть не более 2-3 см.

7. Определение объема грунта при разработке котлована

Подсчет объемов разрабатываемого грунта сводится к определению объемов различных геометрических фигур. При этом допускается, что объем грунта ограничен плоскостями, отдельные неровности не влияют значительно на точность расчета.

Для подсчета объема котлована используют следующие формулы:

 

d - длина стороны котлована внизу; d' - длина котлована наверху; в - короткая сторона котлована внизу; в' - наверху; h - глубина котлована;

Объем грунта в котловане можно вычислить и по такой формуле:

V=h(Sниз+Sверх+Sсред)/6 ,

где Sниз=db; Sверх=d'b'=(d+2hm)(b-2hm), где m - показатель крутизны или отношение высоты откоса к его заложению (m=h/c)

. Вынос осей здания на дно котлована

После исполнительной съемки котлована и установления соответствия котлована проекту на дно котлована переносятся оси.

Перенесение осей здания (сооружения) на дно котлована производится способом створных засечек с точек закрепления осей, расположенных вне зоны земляных работ, или с помощью обноски, струн и отвесов.

При способе створных засечек теодолит устанавливают над точкой закрепления оси здания (сооружения) или над обноской на поверхности. Визируют на противоположную точку оси и, наклонив трубу, закрепляют створ в котловане двумя точками. Для контроля проектирование выполняют в обратном направлении. Таким образом переносят все оси здания (сооружения) и на дне котлована по этим точкам натягивают струны. При необходимости створ сдвигают на наружные грани конструкций фундамента.

В глубоких котлованах на дне строят обноску на высоте 0,8-1,5м над основанием котлована и на нее створными засечками передают основные оси со знаков их закрепления так же, как это делают на поверхности земли. Дальнейшую разбивку фундамента выполняют по обноске. В этом случае обноску на поверхности не строят.

Основным способом точной передачи отметок в котлован является способ геометрического нивелирования. Если в результате постоянного контроля за выемкой грунта установлено, что до проектной отметки осталось в пределах 10см, то выполняют точную передачу метки в котлован. Перед этим на дне котлована закладывают не менее двух грунтовых временных реперов или марок. На бровке укрепляют кронштейн или наклонный брусок для подвеса рулетки. К нижнему концу рулетки подвешивают груз и опускают его в сосуд с жидкостью предотвращения колебаний. Отметку передают с помощью одного переносного или двух нивелиров. На рабочий репер Р1 и на репер на дне котлована Р2 устанавливают рейки. Посередине между рулеткой реперами устанавливают нивелир (или два нивелира). Берут отсчеты по рейкам а и б и одновременно отсчеты по рулетке c и d. Отметку репера Р2вычисляют по формуле:

2 = Нp1 + а - б - (с - d)

Разбивка оси принимается и проверяется по акту. Отклонение габаритных размеров здания по строительной обноске не должно превышать 5 мм для размеров до 10 м и 20 мм при размерах здания до 100 м и более.

В процессе строительства периодически производится контроль правильности положения обноски.

9. Исполнительная съемка

Исполнительные съемки входят в состав технологического процесса строительства, поэтому очередность и способ их выполнения, технические средства и требуемая точность измерений зависят от этапов строительно-монтажного производства. Исполнительной съемке подлежат части зданий и конструктивные элементы, от точности положения которых зависит точность выполнения работ на последующих этапах, а также прочность и устойчивость здания в целом. Эти требования по существу и определяют поэтапный выбор параметров исполнительной съемки.

На этапе нулевого цикла исполнительную съемку выполняют после устройства котлована, свайного поля, сооружения фундамента, стен и перекрытий технического подполья. При устройстве котлована съемку производят после зачистки дна и откосов. При этом определяют относительно осей внутренний контур, а нивелированием по квадратам - отметки дна. Для свайного поля путем перенесения осей на оголовки определяют положение свай в плане и нивелированием оголовков - по высоте.

При монтаже монолитных фундаментов исполнительную съемку производят после окончания бетонирования и затвердевания бетона. Для съемки в плане на фундаменты вновь переносят разбивочные оси, от которых измеряют положения фундаментов. По высоте нивелируют поверхность фундаментов в точках пересечения осей и между ними, примерно через 5 м. Аналогично производят съемку сборных фундаментов, перенося оси на все их элементы. При съемке по высоте сборных фундаментов стаканного типа определяют отметки дна стаканов.

Заключение

Ни одно из современных строительств не обходится без геодезических работ. Они предшествуют, сопровождают и завершают процесс строительства.

Геодезические работы на строительной площадке относятся к числу первоочередных в общем комплексе изысканий. На основе полученного в результате съемки топографического плана крупного масштаба разрабатывается генеральный план строительной площадки, на котором проектируют здания, сооружения, транспортные пути, инженерные сети и др. Не менее важное значение приобретает топографический план при проектировании строительного генерального плана, на котором намечают весь комплекс вспомогательных и временных зданий и сооружений. Топографический план служит, кроме того, исходным материалом для составления рабочих чертежей вертикальной планировки, архитектурно-строительных чертежей зданий, сооружений и различных инженерных сетей.

Для перенесения проектов зданий и сооружений на местность используют геодезическую основу, созданную на строительной площадке в виде полигонометрической сети или строительной сетки. От пунктов геодезической основы разбивают на местности положение главных осей зданий и сооружений, от которых затем производят детальную разбивку частей зданий.

В ходе строительства делают различные контрольные измерения, которые одновременно с разбивочными работами обеспечивают возведение зданий и сооружений в соответствии с их запроектированными размерами и формами.

Список используемой литературы

1. . Геодезия : учеб. пособие для студентов высш. учеб. заведений / А.В. Маслов, А.В. Гордеев, Ю.Г. Батраков.- М.: Колос, 2006.-598 с.

. Геодезия и топография: учебник для студ.вузов/ Г.Д.Курошев, Л.Е.Смирнов. - 2-е изд., стер. - М.: Издательский центр «Академия», 2008. - 176 с.

. Клюшин Е.Б. Инженерная геодезия / Е.Б. Клюшин, М.И., Киселев, Д.Ш.Михелев. - 4-е изд., испр. - М.: Академия, 2000. - 480 с.

. Поклад Г.Г. Геодезия / Г.Г. Поклад, С.П. Гриднев. - М.:Академический проспект, 2007 - 592 с.

. Маслов А.В. Геодезия / А.В. Маслов, А.В. Гордеев, Ю.Г. Батраков. - М.: КолосС, 2006. - 598с.

. Кулешов Д.А. Инженерная геодезия для строителей / Д.А.Кулешов, С.Е Стрельников. - М.: Недра, 1990. - 256 с.

. Яковлев Н.В., Беспалов Н.А., Глумов В.П. и др. Практикум по высшей геодезии.: Учебное пособие для вузов - М.: Недра, 2008- 382 с.

. Левчук Г.П., Новак В.Е., Конусов В.Г. Прикладная геодезия: Основные методы и принципы инженерно - геодезический работ. - М.: Недра 2009;

ПРИЛОЖЕНИЕ

ВЫЧИСЛЕНИЕ РАЗБИВОЧНЫХ ДАННЫХ ДЛЯ ВЫНЕСЕНИЯ НА МЕСТНОСТЬ ПРОЕКТА СООРУЖЕНИЯ. СПОСОБОМ ПРЯМОУГОЛЬНЫХ КООРДИНАТ

Координаты точек Б/1,Б/4,А/1,А/4 определяют графически по генплану.

 

 

 

 

 

 

 

 

Решение обратной геодезической задачи.

 

 

 

 

 

 

 

 

 

 

Вычисление разбивочных углов и длин линий.

 

 

 

 

Для контроля можно вычислить дополнительный разбивочный угол :

 

 

 

 

 

 

 

Поправки длины:

Вычисляем наклонное расстояние  и  по формуле . Для этого по генплану определяют отметки точек I, II, Б/1, Б/4.

 

 

 

 

Вычисляем превышения.

 

 

Вычисляем поправки за наклон линии к горизонту.

 

 

Поправка в длину линии за компарирование рулетки.

 

 

Поправка в длину линии за температуру.

 

 

Значение откладываемых на местности линий будет складываться из суммы проектного значение и поправок.

 

 

Допустимая погрешность построения длины линии.

 

Допустимая погрешность построения угла.

 

Точность разбивки.

 

 

Построение верхней бровки котлована.

Точки пересечение основных осей. Определяют графически по генплану.

 

 

 

 

Абсолютная отметка чистого пола первого этажа.

 

 

Абсолютная отметка дна котлована.

 

 

Вычисляем превышение между черной (фактической) отметкой каждой из точек пересечения основных осей и абсолютной отметкой дна котлована (глубина котлована в данной точке):

 

 

 

 

 

Величина заложения S.

n=2.0=1.0см.

 

 


 

 

Похожие работы на - Построение профиля трассы

 

Не нашли материал для своей работы?
Поможем написать уникальную работу
Без плагиата!
Без нейросетей!