Оцінка витрати енергії на обігрівання житлових будівель мікрорайону
Анотація
електричний будинок теплоізоляційний
У дипломному проекті розроблено заходи щодо підвищення
ефективності енерговикористання комплексу житлових будівель, а саме утеплення
зовнішніх стін, встановлення на даху сонячних колекторів.
Проаналізовано вихідні дані, виконано розрахунок уточнення
перерізу проводів за економічними умовами та прийняті рішення по встановленню
економічно вигідного перерізу провідника.
На основі обрахованих значень струмів короткого замикання
перевірили обладнання на термічну та динамічну стійкість. Виявили умови роботи
споживачів під час КЗ. Провели розрахунок економічно доцільного
перерізупроводів. Обґрунтували доцільність інвестування у використання
поновлювальних джерел енергії.
ВСТУП
Безсистемна і надто повільна структурна перебудова економіки
України, висока внаслідок технологічної відсталості енергоємність основних
видів продукції, великі обсяги імпорту енергоносіїв, критична зношеність
основних фондів на електричних станціях є головними чинниками непомірно
високого рівня витрат паливно-енергетичних ресурсів на одиницю ВВП і ВНП, що
веде країну до економічної кризи, руйнації продуктивних сил та соціального
збурення в суспільстві.
Враховуючи зазначене, зрозуміло, що в Україні необхідно
якнайшвидше провести структурну перебудову її промислового комплексу з метою
оптимізації енергоспоживання та одночасної мінімізації імпорту енергоносіїв з
Росії. Поряд зі структурною перебудовою економіки для успішного вирішення
проблеми енергозабезпечення необхідно реалізувати низку організаційно-правових
і технічних заходів з енергозбереження. За одночасної реалізації
організаційно-правових заходів і суттєвих змін структури економіки обсяги
споживання енергоресурсів можна скоротити у 2-3 рази. Організаційно-правові
заходи задля енергозбереження - це розробка і запровадження законів,
стандартів, нормативів, податків на викиди шкідливих речовин, на використання
імпортованих енергоносіїв, налагодження обліку шляхом використання лічильників
ресурсів, державна підтримка впровадження нових ефективних видів техніки,
технологій, матеріалів тощо.
Надалі в енергоємних галузях економіки - металургії,
електроенергетиці, вугле-, нафто- і газовидобуванні та переробці, комунальному
господарстві - потрібно впроваджувати заходи, які потребують значних капітальних
витрат. Зважаючи на те, що більшість підприємств цих галузей є приватними,
налагодження державного регулювання і здійснення загальнодержавної технічної
політики щодо енергозбереження в інтересах країни будуть складними і
довготривалими процесами, які вимагають запровадження ефективних економічних і
правових стимулів.
Однак виключно організаційними заходами проблеми
енергозбереження не вирішуються, адже основний потенціал розв'язання їх мають
технічні заходи, які можна розглядати як другий етап програми енергозбереження.
Цей етап передбачає значні капіталовкладення як в енергозбереження, так і в
удосконалення енергетичної техніки та енерго ефективного обладнання. Питомі
капіталовкладення на створення 1 кВт встановленої потужності у 3-4 рази більші,
ніж на 1 кВт зекономленої. Тому енергозбереження має більш високий пріоритет в
порівнянні з модернізацією енергетики. Але неможливо буде обійтися без приросту
енергетичних потужностей, тобто необхідне інвестування і енергозбереження, і
розвитку енергетики.
Основний потенціал енергозбереження зосереджений у найбільш
енергомістких галузях економіки. Змістом заходів в цих галузях є модернізація
обладнання, оновлення технологічних процесів та застосування нових
ресурсоощадних матеріалів. Це дозволить, окрім економії ресурсів, підвищити
також якість виробів, що важливо для виходу на західні ринки.
Про нагальну потребу оптимізації структури промислового
комплексу свідчить той факт, що енергомісткість одиниці ВНП України
поступається усім розвинутим країнам світу, де цей показник нижчий у 2 - 10
разів.
Окрім цих міжгалузевих та загальнодержавних заходів,
необхідно через національні програми реалізувати цілу низку заходів щодо
енергозбереження в галузях. Такими галузевими, але важливими для всієї
економіки України заходами щодо енергозбереження є:
модернізація процесів регенерування брухту чорних металів та
виплавки чавуну (і сталі), підвищення якості сталі;
збільшення частки використання деталей із високоміцного
чавуну та пластмас до світового рівня;
оптимізація технологічних процесів виробництва шляхом
впровадження систем автоматичного контролю;
налагодження вітчизняного виробництва і масштабного
використання високоякісних енергоекономних освітлювальних ламп;
створення умов і стимулів для повторного використання деталей
машин, за належного рівня стандартизації цей потенціал може становити 60 - 80%
деталей;
обладнання електричних двигунів в устаткуванні
перетворювачами частоти для економного споживання електроенергії в період
неповного завантаження приводу, економія електроенергії може становити 20 -
30%;
оптимізація теплопостачання міст за рахунок використання
теплонасосних станцій для вилучення теплової енергії з вторинних низько
потенційних енергоресурсів (теплових викидів промисловості та комунального
господарства) і з природного середовища (озер, рік, морів, ґрунту, повітря);
налагодження випуску електричних лічильників для погодинного
обліку і запровадження диференційованих тарифів;
збільшення частки комбінованого виробництва електрики і тепла
за рахунок масштабного впровадження когенераційних та утилізаційних установок;
Економія в результаті реалізації зазначених вище заходів може
бути значно більшою від обсягів виробництва енергії на усіх АЕС України. Однак
слід мати на увазі, що енергозберігаючі заходи технічного характеру, тобто ті,
що потребують значних витрат, у багатьох випадках будуть реалізовуватися дуже
повільно. Без державної підтримки, запровадження фінансово-економічних стимулів
і штрафних санкцій буде складно реалізувати заходи з модернізації комунальної
енергетики та масштабного впровадження когенерації, утилізації, опанування
інших технологій з невисокою прибутковістю.
1.ЗАГАЛЬНА ХАРАКТЕРИСТИКА МІКРОРАЙОНУ ТА ЕНЕРГОВИТРАТИ
БУДІВЕЛЬ
.1 Загальна характеристика мікрорайону та будівель
Рис.1. Розміщення будинків на карті
Комплекс з восьми панельних будинків знаходиться у 1-й
температурній зоні, у Сихівському районі міста Львова. Житлові будинки
розташовані по вул. Кавалерідзе. Даними будинками опікується ЛКП "ТзОВ ЖЕП
"Стимул-Сихів"". Детальна інформація про будинки наведена у
табл. 1.1.
Таблиця 1.1
|
№
|
Вулиця
|
№ будинку
|
Буд. об`єм, м3
|
Площа, м2
|
К-ть підїздів
|
К-ть квартир
|
К-ть жителів
|
|
1
|
Зубрівська
|
7а
|
6705,37
|
2483,47
|
1
|
53
|
118
|
|
2
|
Зубрівська
|
11
|
16451,64
|
6093,20
|
3
|
105
|
290
|
|
3
|
Зубрівська
|
15
|
11103,75
|
4112,50
|
3
|
71
|
196
|
|
4
|
Зубрівська
|
19
|
11195,12
|
4146,34
|
2
|
75
|
197
|
|
5
|
Зубрівська
|
23
|
11348,69
|
4203,22
|
2
|
72
|
200
|
|
6
|
Зубрівська
|
25
|
16928,60
|
6269,85
|
2
|
110
|
298
|
|
7
|
Зубрівська
|
25а
|
22454,93
|
8316,64
|
4
|
143
|
396
|
|
8
|
Зубрівська
|
27
|
18676,33
|
6917,16
|
3
|
106
|
329
|
.2 Вхідні дані зі споживання енергоносіїв
Споживання енергоносіїв за 2012 р наведені у табл. 1.2 -1.13.
Таблиця 1.2 Споживання енергоносіїв за січень
|
Вулиця
|
№
|
Теплова енергія
|
Гаряча вода
|
Холодна вода
|
Газ
|
|
|
Гкал
|
мі
|
мі
|
мі
|
|
Зубрівська
|
7а
|
0
|
0
|
0,00
|
0
|
|
Зубрівська
|
11
|
137,46
|
327.9
|
853,70
|
3347
|
|
Зубрівська
|
15
|
91,14
|
250,74
|
581,98
|
1844,2
|
|
Зубрівська
|
19
|
76,84
|
257,74
|
650,98
|
2343,8
|
|
Зубрівська
|
23
|
98,34
|
218,00
|
533,00
|
2350,8
|
|
Зубрівська
|
25
|
114,88
|
308,58
|
789,74
|
2578,2
|
|
Зубрівська
|
25а
|
164,17
|
412,32
|
1107,64
|
3715,6
|
|
Зубрівська
|
27
|
196,37
|
332,00
|
896,00
|
855,6
|
Таблиця 1.3 Споживання енергоносіїв за лютий
|
Вулиця
|
№
|
Теплова енергія
|
Гаряча вода
|
Холодна вода
|
Газ
|
|
|
Гкал
|
мі
|
мі
|
мі
|
|
Зубрівська
|
7а
|
101,36
|
0
|
308,56
|
0
|
|
Зубрівська
|
11
|
121,63
|
337,3
|
872,94
|
3103,35
|
|
Зубрівська
|
15
|
158,99
|
220,58
|
532,32
|
1904,01
|
|
Зубрівська
|
19
|
99,44
|
253,58
|
682,32
|
2088,55
|
|
Зубрівська
|
23
|
122,33
|
241
|
593
|
2081,92
|
|
Зубрівська
|
25
|
150,62
|
271,86
|
705,19
|
2660,83
|
|
Зубрівська
|
25а
|
232,24
|
397,44
|
1019,43
|
3854,7
|
|
Зубрівська
|
27
|
226,56
|
349
|
937
|
915,71
|
Таблиця 1.4 Споживання енергоносіїв за березень
|
Вулиця
|
№
|
Теплова енергія
|
Гаряча вода
|
Холодна вода
|
Газ
|
|
|
Гкал
|
мі
|
мі
|
мі
|
|
Зубрівська
|
7а
|
50,11
|
0
|
337,04
|
0
|
|
Зубрівська
|
11
|
93,82
|
281,90
|
801,7
|
2930
|
|
Зубрівська
|
15
|
70,15
|
223,74
|
500,98
|
1753,8
|
|
Зубрівська
|
19
|
54,2
|
219,74
|
586,98
|
1990
|
|
Зубрівська
|
23
|
67,11
|
180
|
557
|
1868,8
|
|
Зубрівська
|
25
|
77,7
|
280,58
|
814,74
|
2578,4
|
|
Зубрівська
|
25а
|
118,04
|
388,32
|
1019,64
|
3349
|
|
Зубрівська
|
27
|
132,73
|
305
|
826
|
922,6
|
Таблиця 1.5 Споживання енергоносіїв за квітень
|
Вулиця
|
№
|
Теплова енергія
|
Гаряча вода
|
Холодна вода
|
Газ
|
|
|
Гкал
|
мі
|
мі
|
мі
|
|
Зубрівська
|
7а
|
10,5
|
0
|
333,04
|
0
|
|
Зубрівська
|
11
|
49,62
|
258,8
|
772,86
|
3572,37
|
|
Зубрівська
|
15
|
32,98
|
203,88
|
516,07
|
2189,42
|
|
Зубрівська
|
19
|
33,31
|
250,88
|
711,07
|
2414,68
|
|
Зубрівська
|
23
|
38
|
216
|
542
|
1834,74
|
|
Зубрівська
|
25
|
39,77
|
267,96
|
822,77
|
3020,84
|
|
Зубрівська
|
25а
|
55,57
|
419,84
|
1071,76
|
4309,39
|
|
Зубрівська
|
27
|
72,58
|
311
|
847
|
994,15
|
Таблиця 1.6 Споживання енергоносіїв за травень
|
Вулиця
|
№
|
Теплова енергія
|
Гаряча вода
|
Холодна вода
|
Газ
|
|
|
Гкал
|
мі
|
мі
|
мі
|
7а
|
0
|
0
|
325,52
|
0
|
|
Зубрівська
|
11
|
0
|
234,3
|
769,68
|
3000,07
|
|
Зубрівська
|
15
|
0
|
167,58
|
473,76
|
1954,4
|
|
Зубрівська
|
19
|
0
|
194,58
|
623,76
|
2107,72
|
|
Зубрівська
|
23
|
0
|
151
|
440
|
1641,19
|
|
Зубрівська
|
25
|
0
|
182,86
|
655,34
|
3560,38
|
|
Зубрівська
|
25а
|
0
|
290,44
|
1018,02
|
3862,44
|
|
Зубрівська
|
27
|
0
|
236
|
817
|
908,06
|
Таблиця 1.7 Споживання енергоносіїв за червень
|
Вулиця
|
№
|
Теплова енергія
|
Гаряча вода
|
Холодна вода
|
Газ
|
|
|
Гкал
|
мі
|
мі
|
мі
|
|
Зубрівська
|
7а
|
0
|
0
|
352,52
|
0
|
|
Зубрівська
|
11
|
0
|
259
|
725,8
|
2597,8
|
|
Зубрівська
|
15
|
0
|
175,2
|
471,44
|
17,59
|
|
Зубрівська
|
19
|
0
|
219,2
|
662,44
|
1950,6
|
|
Зубрівська
|
23
|
0
|
213
|
512
|
1880,8
|
|
Зубрівська
|
25
|
0
|
288,4
|
829,56
|
16,38,4
|
|
Зубрівська
|
25а
|
0
|
349,6
|
1026,92
|
3581
|
|
Зубрівська
|
27
|
0
|
299
|
845
|
894,67
|
Таблиця 1.8 Споживання енергоносіїв за липень
|
Вулиця
|
№
|
Теплова енергія
|
Гаряча вода
|
Холодна вода
|
Газ
|
|
|
Гкал
|
мі
|
мі
|
мі
|
|
Зубрівська
|
7а
|
0
|
0
|
314,04
|
0
|
|
Зубрівська
|
11
|
0
|
250
|
780,2
|
2855,27
|
|
Зубрівська
|
15
|
0
|
157,2
|
458,68
|
1822,51
|
|
Зубрівська
|
19
|
0
|
181,2
|
553,68
|
1940,11
|
|
Зубрівська
|
23
|
0
|
151
|
466
|
1868,07
|
|
Зубрівська
|
25
|
0
|
241,4
|
769,64
|
2549,65
|
|
Зубрівська
|
25а
|
0
|
325,6
|
1058,24
|
3559,6
|
|
Зубрівська
|
27
|
0
|
275
|
782
|
772,28
|
Таблиця 1.9 Споживання енергоносіїв за серпень
|
Вулиця
|
№
|
Теплова енергія
|
Гаряча вода
|
Холодна вода
|
Газ
|
|
|
Гкал
|
мі
|
мі
|
мі
|
|
Зубрівська
|
7а
|
0,00
|
18086,98
|
0,00
|
0,00
|
|
Зубрівська
|
11
|
0,00
|
14333,98
|
790,66
|
0,00
|
|
Зубрівська
|
15
|
0,00
|
9100,48
|
427,16
|
0,00
|
|
Зубрівська
|
19
|
0,00
|
10379,78
|
608,16
|
0,00
|
|
Зубрівська
|
23
|
0,00
|
8315,45
|
483,00
|
0,00
|
|
Зубрівська
|
25
|
0,00
|
41897,08
|
734,13
|
0,00
|
|
Зубрівська
|
25а
|
0,00
|
15060,85
|
944,21
|
0,00
|
|
Зубрівська
|
27
|
0,00
|
15584,20
|
846,00
|
0,00
|
Таблиця 1.10 Споживання енергоносіїв за вересень
|
Вулиця
|
№
|
Теплова енергія
|
Гаряча вода
|
Холодна вода
|
Газ
|
|
|
Гкал
|
мі
|
мі
|
мі
|
|
Зубрівська
|
7а
|
0
|
0
|
337,04
|
0
|
|
Зубрівська
|
11
|
0
|
268
|
775,72
|
2996,4
|
|
Зубрівська
|
15
|
0
|
185,2
|
522,44
|
1791,4
|
|
Зубрівська
|
19
|
0
|
205,2
|
608,44
|
1783,03
|
|
Зубрівська
|
23
|
0
|
175
|
552
|
1826,4
|
|
Зубрівська
|
25
|
0
|
268,4
|
908,56
|
2682
|
|
Зубрівська
|
25а
|
0
|
391,6
|
1142,92
|
3651,6
|
|
Зубрівська
|
27
|
0
|
296
|
865
|
819,2
|
Таблиця 1.11 Споживання енергоносіїв за жовтень
|
Вулиця
|
№
|
Теплова енергія
|
Гаряча вода
|
Холодна вода
|
Газ
|
|
|
Гкал
|
мі
|
мі
|
мі
|
|
Зубрівська
|
7а
|
9,43
|
0
|
352,04
|
0
|
|
Зубрівська
|
11
|
26,87
|
280,9
|
797,62
|
0
|
|
Зубрівська
|
15
|
19,03
|
189,74
|
521,98
|
0
|
|
Зубрівська
|
19
|
16,68
|
228,74
|
692,98
|
0
|
|
Зубрівська
|
23
|
17,59
|
184
|
503
|
0
|
|
Зубрівська
|
25
|
18,29
|
266,58
|
745,74
|
0
|
|
Зубрівська
|
25а
|
24,27
|
368,32
|
1040,64
|
0
|
|
Зубрівська
|
27
|
28,23
|
278
|
857
|
0
|
Таблиця 1.12 Споживання енергоносіїв за листопад
|
Вулиця
|
№
|
Теплова енергія
|
Гаряча вода
|
Холодна вода
|
Газ
|
|
|
Гкал
|
мі
|
мі
|
|
Зубрівська
|
7а
|
46,57
|
0
|
364,04
|
0
|
|
Зубрівська
|
11
|
84,85
|
246
|
729,72
|
0
|
|
Зубрівська
|
15
|
61,39
|
225,2
|
542,44
|
0
|
|
Зубрівська
|
19
|
55,22
|
212,2
|
588,44
|
0
|
|
Зубрівська
|
23
|
59,3
|
184
|
476
|
0
|
|
Зубрівська
|
25
|
91,75
|
274,4
|
790,56
|
0
|
|
Зубрівська
|
25а
|
118,37
|
382,6
|
1091,92
|
0
|
|
Зубрівська
|
27
|
139,73
|
302
|
896
|
0
|
Таблиця 1.13 Споживання енергоносіїв за грудень
|
Вулиця
|
№
|
Теплова енергія
|
Гаряча вода
|
Холодна вода
|
Газ
|
|
|
Гкал
|
мі
|
мі
|
мі
|
|
Зубрівська
|
7а
|
83,09
|
0
|
365,04
|
0
|
|
Зубрівська
|
11
|
112,61
|
283,9
|
790,62
|
0
|
|
Зубрівська
|
15
|
108,35
|
214,74
|
494,98
|
0
|
|
Зубрівська
|
19
|
84,92
|
196,74
|
555,98
|
0
|
|
Зубрівська
|
23
|
98,47
|
180
|
525
|
0
|
|
Зубрівська
|
25
|
126,63
|
269,58
|
755,74
|
0
|
|
Зубрівська
|
25а
|
173,21
|
369,32
|
1009,64
|
0
|
|
Зубрівська
|
27
|
181,75
|
323
|
939
|
0
|
Енергозабезпечення комплексу житловихбудівельпо вул.
Кавалерідзе та розробленнязаходів з енергоощадності
2. ФАКТИЧНІ ЕНЕРГОВИТРАТИ МІКРОРАЙОНУ ТА ЇХ АНАЛІЗ
.1 Графіки енергоспоживання та видатки (річні, місячні) для
різних видів енергоносіїв та води
Графіки споживання за рік різних енергоносіїв типового
будинку по вул. Зубрівській, 11наедено у табл. 2.1.
Таблиця 2.1 Споживання за рік різних енергоносіїв
|
Місяць
|
Теплова енергія
|
Гаряча вода
|
Холодна вода
|
Газ
|
|
Гкал
|
мі
|
мі
|
мі
|
|
січ
|
137,44
|
327,90
|
853,70
|
3347,00
|
|
лют
|
121,63
|
337,30
|
872,94
|
3103,35
|
|
бер
|
93,82
|
281,90
|
801,70
|
2930,00
|
|
кві
|
49,62
|
258,80
|
772,86
|
3572,37
|
|
тра
|
0,00
|
234,30
|
769,68
|
3000,07
|
|
чер
|
0,00
|
259,00
|
725,80
|
2597,80
|
|
лип
|
0,00
|
250,00
|
780,20
|
2855,27
|
|
сер
|
0,00
|
246,50
|
790,66
|
2896,25
|
|
вер
|
0,00
|
268,00
|
775,72
|
2996,40
|
|
жов
|
26,87
|
280,90
|
797,62
|
3012,65
|
|
лис
|
84,85
|
246,00
|
729,72
|
3125,36
|
|
гру
|
112,61
|
283,90
|
790,62
|
3256,42
|
Рис.2.1. Графік споживання теплової енергії
Рис.2.2. Графік споживання гарячої води
Рис.2.3. Графік споживання холодної води
Рис.2.4. Графік споживання газу
Оплата за енергоносії будинку по вулиці Зубрівськії 11
наведена у табл.2.2.
Таблиця 2.2 Оплата за рік різних енергоносіїв
|
Місяць
|
Теплова енергія
|
Гаряча вода
|
Холодна вода
|
Газ
|
|
грн
|
грн
|
грн
|
грн
|
|
січ
|
30209,34
|
6119,01
|
3285,88
|
2524,69
|
|
лют
|
27641,61
|
6300,32
|
3367,49
|
2352,80
|
|
бер
|
22741
|
5029,49
|
3143,8
|
2201,58
|
|
кві
|
15321,79
|
4775,39
|
3086,42
|
2686,84
|
|
тра
|
7020,86
|
4326,52
|
3207,79
|
2262,95
|
|
чер
|
7020,86
|
4724,07
|
2884,89
|
1963,29
|
|
лип
|
7020,86
|
4635,47
|
3218,56
|
2152,88
|
|
сер
|
7020,86
|
4600,32
|
3294,85
|
2175,44
|
|
вер
|
7020,86
|
4888
|
3106,26
|
2250,66
|
|
жов
|
26341,56
|
10865,03
|
7459,62
|
2262,87
|
|
лис
|
24363,52
|
7657,21
|
3496,83
|
2347,52
|
|
гру
|
31667,05
|
6512,63
|
3219,25
|
2445,97
|
.2 Засоби вимірювання енергоспоживання
Облік споживання електроенергії, яка подається першою
кабельною лінією здійснюєтьсябагато тарифним лічильником.
Рис.2.5. Багатотарифний електронний лічильник енергії фірми
“Комунар”
Опис:
Багатотарифний електронний лічильник енергії класу точності
1,0 призначений для обліку в трьох тарифному режимі активної енергії в ланцюгах
перемінного струму прямого включення, а також використання в складі
систематизованих систем контролю й обліку електроенергії.
Лічильник забезпечує установку 4-х варіантів тарифів:
літні робочі дні;
літні вихідні або святкові дні;
зимові робочі дні;
зимові вихідні або святкові дні;
кількість тарифів - 3 з можливістю зовнішнього керування
включення тарифів (зони пік, напівпік, нічна зона).
Лічильник забезпечує видачу на індикатор наступних даних:
відлік і індикацію поточного часу (годинник, хвилини) і дати
(число, місяць і рік);
номер тарифу;
витрата енергії по всіх тарифних зонах.
При відключенні напруги всі накопичені дані зберігаються не
менш двох років. (При відсутності живлення дані на індикатор не видаються).
Параметри, що підлягають видачі на індикатор, видаються по черзі натисканням
кнопки (перегляд), розташованої на передній панелі лічильника.
Лічильник має світлову індикацію про наявність напруги в
кожній із трьох фаз, енергії по всіх тарифних зонах.
Лічильник має світлову індикацію про включення тарифу і
миготливу індикацію про заміну потужності.
Облік споживання електроенергії, яка подається другою
кабельною лінією здійснюється одно тарифним лічильником.
Однофазний однотарифний лічильник електроенергії енергомера
РЄ 101 S6 145М6. Стійкий до кліматичних, механічних і електромагнітних впливів.
Захищений від несанкціонованого доступу.
Клас точності -1.
Число вимірювальних елементів -1.
Номінальна (максимальна) сила струму, А -5 (60); 10 (100).
Номінальна фазна / лінійна напруга, В - 230 + -44.
Діапазон робочих температур -(-40 +70).
Мінімальне напрацювання на відмову, годин -160000.
Середній термін служби, років -30.
2.3 Розрахунок фактичних питомих витрат енергоресурсів,
визначення класу будівлі
Для визначення класу енергетичної ефективності будівлі нам
потрібна витрата тепла на 1м2. Розрахункове значення питомої
тепловитрати на опалення будинку за опалювальний період визначається за
формулою:
буд= Qр/ S
Клас енергетичної ефективності визначають з [8] за значенням:
[(qбуд-Еmax) / Еmax]•100%,
де Еmax - нормативне максимально допустиме значення
тепловитрати на опалення, для будинків від 8 до 9 поверхів, для першої
температурної зони Еmax = 79 кВт*год/м2.
За різницею розрахункового або фактичного значення питомих
тепловитрат,qбуд, й максимального допустимого значення, Emax,
(qбуд-Emax/Emax)*100% визначаютьклас
енергетичної ефективності будинку.
Дані щодо класу енергетичної ефективності будинків
мікрорайону, згідно з таблицею 1 додатку, наведені у табл 2.3.
Таблиця 2.3 Клас енергетичної ефективності
|
№
|
Назва вулиці
|
Номер будинку
|
qбуд, кВт*год/м2
|
Різниця між qбуд та Еmax, %
|
Клас ефективності
|
|
1
|
Зубрівська
|
7а
|
96,328
|
21,934
|
D
|
|
2
|
Зубрівська
|
11
|
119,644
|
51,448
|
E
|
|
3
|
Зубрівська
|
15
|
153,281
|
94,026
|
F
|
|
4
|
Зубрівська
|
19
|
117,973
|
49,333
|
E
|
|
5
|
Зубрівська
|
23
|
138,658
|
75,517
|
E
|
|
6
|
Зубрівська
|
25
|
114,933
|
45,485
|
E
|
|
7
|
Зубрівська
|
25а
|
123,877
|
56,806
|
E
|
|
8
|
Зубрівська
|
27
|
108,126
|
F
|
3. РОЗРАХУНОК ЕЛЕКТРИЧНОГО НАВАНТАЖЕННЯ БУДІВЕЛЬ ТА МІКРОРАЙОНУ
3.1 Методика розрахунку навантаження житлових
будинків
Розрахункове навантаження групових мереж
освітлення загально будинкових приміщень житлових будинків (сходових кліток,
вестибюлів, технічних поверхів, підвалів, горищ, колясоч- них), а також житлових
приміщень гуртожитків слід визначати за світлотехнічним розрахунком з
коефіцієнтом попитуKnon, що дорівнює 1.
Житла (квартири) щодо оснащеності побутовими
електроприладами та їх розрахункових навантажень умовно поділяються на три
види:
· - житла (квартири)
в будинках масового будівництва, споруджених чи споруджуваних із загальною
площею від 35 м2 до 95 м2 включно та заявленою
(встановленою) потужністю електроприймачів до 30 кВт включно;
· - житла
(квартири) в багатоквартирних будинках, споруджених чи споруджуваних із
загальною площею від 50 м2 до 300 м2 включно та заявленим
замовником високим рівнем комфортності, що відповідає встановленій потужності
електроприймачів від 30 кВт до 60 кВт включно;
· - житла
(квартири) в котеджах, будинках, споруджених чи споруджуваних із розрахунку, як
правило, на одну родину із загальною площею від 150 м2 до 600 м2
включно та заявленим замовником високим рівнем комфортності, що відповідає
встановленій потужності електроприймачів від 60 кВт до 140 кВт включно.
Для жител 1-го виду (квартир у багато - та
малоквартирних будинках, будинків на одну родину і будиночків на ділянках
садівничих товариств) встановлюються п'ять рівнів електрифікації та відповідні
їм нормативні розрахункові питомі навантаження:
I - житла (квартири) з плитами
на природному газі;
II - житла (квартири) з
плитами на скрапленому газі та на твердому паливі;
III - житла (квартири) з
електричними плитами потужністю до 8,5 кВт включно;
IV - житла (квартири) з
електричними плитами потужністю до 10,5 кВт включно;
V - будиночки на ділянках
садівничих товариств.
Для жител 2-го виду встановлюються два рівні
електрифікації та відповідні їм нормативні розрахункові питомі навантаження:
VI - житла (квартири) з
плитами на природному газі;
VII - житла (квартири) з
електричними плитами потужністю до 10,5 кВт включно.
Встановлені нормативи питомих електричних
розрахункових навантажень і враховують застосування в житловому приміщенні
побутових кондиціонерів повітря та комфортного електричного доопалення у межах
7-15 % від загальної потреби в теплі з розрахунку 60-120 Вт на 1 м2до
опалюваної площі.
3.2 Розрахунок електричного навантаження під`їздів будівель та
будівель в цілому
Розрахункове навантаження групи жител з
однаковим питомим електричним навантаженням приведене до лінії живлення, вводу
в житловий будинок, шин напругою 0,4 кВ ТП, визначаємо за формулою:
Ржм = Ржп • N,
деРЖп - питоме розрахункове
електричне навантаження одного житла (квартири), залежно від прийнятого рівня
електрифікації та кількості квартир, приєднаних до даної ланки електромережі,
кВт/житло;
N- кількість жител (квартир), приєднаних до
вводу, лінії, ТП.
Визначаємо навантаження житлового будинку № 11, якщо відомо,
що житло в цьому будинку щодо оснащеності побутовими електроприладами
відноситься до першого виду згідно з встановленими нормами з однаковим
електричним навантаженням. Будинок має 3 під'їзди, 9 поверхів і 105 квартири.
Квартири оснащені плитами на природному газі:
Ржм= 105*0,99 = 103,95 кВт
Знаходимо реактивне навантаження житла :
жм=Ржм
*tgцкв=103,95*0,2=20,79кВар
де Qжм- реактивне
навантаження житла,tgцкв - вибираємо за табл.2 додатку.
Знаходимо повне навантаження житла:
жм=√Ржм2+Qжм2=√103,95+20,792=106
кВА
Розрахункове електричне навантаження освітлення загально
будинкових приміщень розраховуємо за формулою:
осв.р.=Росв.в.*Nп*Кпопос.р,
деРосв.в=1,2 кВт - встановлена потужність робочого
освітлення на під’їзд для 9-и поверхового будинку;п - кількість під’їздів;
Кпопос.р - коефіцієнт попиту для робочого
освітлення, таблиця 3 додатку.
Розраховуємо електричне навантаження освітлення житлового
будинку №11:осв.р.= 1,2*3* 0,8=2,88 кВт
Знаходимо реактивне електричне навантаження освітлення:
осв.р=Pосв.р *tgц= 2.88*1=2.88 кВар,
де tgц = 1 - коефіцієнт потужності для розрахунку мереж
освітлення з лампами розжарювання.
Знаходимо реактивне електричне навантаження освітлення:
осв.р=√Росв.р2+Qосв.р2=√2.882
+2.882 =4,07 кВА
Визначаємо силове навантаження житлового будинку за з
урахуванням того, що як силове навантаження використовуються ліфти:
Рсил=∑Рл * Кпл = 3 * 0,8 =2,4 кВт
де Рл-встановлена потужність електродвигуна кожного з ліфтів
за паспортом, кВт;
Кпл-коефіцієнт попиту для ліфтів, що визначається за табл. 4
додатку, залежно від кількості ліфтових установок і кількості поверхів будинку;
Визначаємо реактивне навантаження ліфтів:
сил=Рсил*tgцс=2,4*1,17=2,8кВар,
де tgцс-знаходимо з табл. 2додатку.
Визначаємо повне силове навантаження
сил= √(Рсил2+Qсил2)=√2,42+
2,82=3,69 кВА
Визначаємо розрахункове активне навантаження житлового
будинку в цілому:
Рбуд.ж =Ржм +
Куп * Рсил + Pосв.р = 103,95+0,9*2,4+2,88=108,99 кВт,
Де Куп = 0,9 -коефіцієнт участі в максимумі навантаження
квартир і силових електроприймачів житлового будинку навантажень вбудованих і
прибудованих приміщень.
Визначаємо реактивне навантаження житлового будинку:
буд.ж=Рж*tgц+0,9∑Рс*tgцс + Pосв.р*tgц=103.95*0,2+0,9*
3* *1,17 + 2.88*1=26,2кВар
Значення коефіцієнтів потужності для квартир з плитами на
природньому газі і для ліфтових установок встановлюємо за табл.2додатку.
Визначаємо повне навантаження житлового будинку
буд.ж=√(Рбуд.ж2+Q2буд.ж)= √(108,992+26,22)=109,47
кВА
Аналогічно визначаємо всі навантаження житлових будинків і
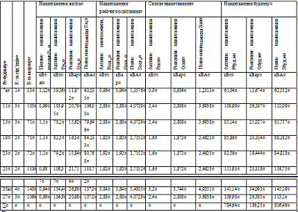
результати зводимо в таблицю 3.1.
Таблиця 3.1. Навантаження житлових будинків
4.РОЗРОБЛЕННЯ СХЕМИ ЕЛЕКТРОПОСТАЧАННЯ МІКРОРАЙОНУ
.1 Картограма електричних навантажень
Картограма навантажень - це розміщення на аркуші кругів,
площі котрих у вибраному масштабі відповідають розрахунковим навантаженням
цехів.
Картограма навантажень дозволяє встановити найвигідніше місце
розташування розподільних або цехових ТП і максимально скоротити протяжність
розподільних мереж.
Для розрахунку радіуса кола користуємося формулою:
де: m - масштаб для визначення радіуса кола;i -
радіус кола
Рі - потужність навантаження і-го цеху.
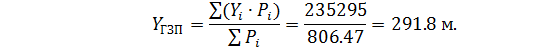
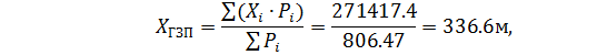
За даними таблиці3.1 визначаємо координати центру
електричних навантажень підприємства за формулами:
Побудуємо картограму навантажень житлового будинку,якщо
відомо,що повне навантаження житлового будинку Sз.ж = 112.09 кВт,а силове
навантаження складає Sсил= 3,69 кВт.
Сектор кола, що показує величину силового навантаження у
загальному навантаженні житлового будинку визначаємо так:
б =
*360)
/ 
=
(3,69*360) / 112,09 = 11,86 мм
Таблиця 4.1 Координати центрів цехів та радіуси кіл картограми
|
№ будинку
|
Xі, м
|
Yі, м
|
Sі, кВA
|
ri, мм
|
Sс.і, кВA
|
б
|
|
7а
|
610,0
|
46,7
|
62,55294
|
2,44
|
1,23
|
7,09
|
|
11
|
570,0
|
106,7
|
112,0942
|
3,27
|
3,69
|
11,86
|
|
15
|
550,0
|
190,0
|
85,75781
|
2,86
|
3,69
|
15,51
|
|
19
|
426,7
|
293,3
|
88,18244
|
2,90
|
2,46
|
10,05
|
|
23
|
373,3
|
400,0
|
84,81895
|
2,85
|
2,46
|
10,45
|
|
25
|
166,7
|
340,0
|
114,7579
|
3,31
|
2,46
|
7,73
|
|
25а
|
183,3
|
403,3
|
145,1994
|
3,72
|
4,93
|
12,21
|
|
27
|
63,3
|
413,3
|
113,1031
|
3,29
|
3,69
|
11,76
|
Генплан мікрорайону має такий вигляд:
Рис.4.1. Генплан житлового мікрорайону
.2Розрахунок перерізу ліній електропостачання
Спочатку виберемо переріз лінії на вході у квартиру по вул. Зубрівській
11. Визначимо розрахунковий струм, попередньо порахувавши навантаження квартири
за питомим показником ( Pжп = 5 кВт ):
Відповідно розрахунковий струм буде рівним:
Iр=Pр/Uн;
р.кв=5000/220
= 22.7А
Отже по допустимому струму (Ідоп = 27 А) з таблиці 5 додатку вибираємо
кабель ВВГнг 3Ч4.
Розраховуємо переріз лінії на вході у будинок по вул. Зубрівській 11 та
переріз найбільш завантаженої лінії( будинки за № 23 та 25а) за техніко
економічними умовами.
Розрахунковий струм складає:
р=Sр/(
*Uн);
р11=112.1/(1,73*0,4)
= 162А;рн.з=230/(1,73*0,4) = 332А;
Таблиця 4.2 Умови вибору (перевірки) перерізів струмоведучих частин
(переріз провідників вибирається аналогічно КЛ до 1000 В)
|
Режим роботи
|
№ п/п
|
Умови вибору
|
Вид електропередачі
|
|
|
|
повітряна лінія
|
кабельна лінія
|
шино провід
|
|
|
|
|
<1000 В
|
>1000 В
|
|
|
Робочий
|
1
|
Економічний фактор
|
+
|
+
|
+
|
+
|
|
2
|
Нагрів робочим струмом
|
-
|
+
|
+
|
-
|
|
3
|
Коронний розряд, механічна міцність
|
+
|
-
|
-
|
-
|
|
4
|
Втрати напруги в робочому режимі
|
+
|
+
|
+
|
+
|
|
5
|
Перевантаження в нормальному режимі
|
-
|
+
|
-
|
-
|
|
Післяаварійний
|
6
|
Втрати напруги в п/а режимі
|
+
|
+
|
+
|
+
|
|
7
|
Нагрів струмом в п/а режимі
|
+
|
+
|
+
|
+
|
|
Аварійний
|
8
|
Термічна стійкість
|
+
|
-
|
+
|
+
|
|
9
|
Електродинамічна стійкість
|
-
|
-
|
-
|
+
|
.2.1 Економічний фактор - економічно оптимальний переріз
Визначається Fек за техніко-економічними розрахунками,
результати якого наведені у розділі 4.2.1.
Для ліні, що живить будинок по вул. Зубрівській 11 вибираємо
кабель з перерізом 4Ч120 (Ідоп = 270 А), а для найбільш завантаженої лінії - 2
чотирижильні кабелі з перерізом по185 (Ідоп = 690 А) з таблиці 6 додатку.
.2.2 Нагрів робочим струмом
В робочому режимі струмоведучі частини не повинні нагріватись
понад допустиму температуру, що забезпечується при виконанні умови:
Ір≤Ідоп·kпр,
Ідоп - максимально допустимий струм для даного перерізу;пр -
коефіцієнт прокладання, який враховує умови прокладання (земля, вода),
температуру середовища, число поряд прокладених кабелів.
Для ліні, що живить будинок по вул. Зубрівській 11 спочатку
знайдемо повне навантаження і струми у робочому режимі:
.1 ≤270·1
Для найбільш завантаженої лінії:
.3 ≤ 690·1
.2.4 Втрати напруги в нормальному режимі
Умова перевірки
ДU≤ДUдоп
Фактична втрати напруги в нормальному режимі
Для ліній 6-10 кВ величина ДUдоп=±5%
Для будинку по вул. Зубрівській 11:
,4 ≤ 5
Для найбільш завантаженої лінії:
,5 ≤ 5
4.2.6 Втрати напруги в після аварійному режимі
В післяаварійному режимі допускається додаткове пониження напруги ще на
5%
.2.7 Нагрів струмом в п/а режимі
Знаходять струм лінії в після аварійному режимі.
При 100% резервуванні навантаження Іпа=2·Іроб,
При неповному резервуванні навантаження Іпа<2·Іроб,
Для ліній, які живлять одиночні ЕП Іпа=2·Іроб.
В після аварійному режимі повинна виконуватись умова
Іпа≤Ідоп·kпр·kпер
Для повітряних ліній і струмопроводівkпер=1.3
Для КЛ kпер залежить від попереднього завантаження КЛ і
тривалості перевантаження.
Спочатку знайдемо повне навантаження у п/а режимі:
≤ 690·1·1.3
Вибір
економічно оптимального перерізу провідника
Під час проектування системи електропостачання або окремих її
елементів з метою вибору найбільш доцільного варіанту виконання даного об’єкту
проводиться аналіз технічних та економічних його характеристик. Під технічними
розуміють надійність енергопостачання, зручність експлуатації, тривалість
споживання, обсяг поточних і капітальних ремонтів, ступінь автоматизації тощо.
Основними економічними характеристиками є початкові капітальні та
експлуатаційні витрати.
Вибір економічно доцільного варіанту виконання об’єкту може
проводитись на основі методу зведених витрат або методу чистої зведеної вартості.
Визначимо оптимальний коефіцієнт завантаження трансформатора
за методом чистої зведеної вартості (ЧЗВ).
Згідно методу ЧЗВ ефективність реалізації довільного заходу
(проекту) оцінюється на основі прогнозу руху грошових коштів за весь період
життєдіяльності цього заходу (проекту) з врахуванням зміни вартості грошей у
часі. Зміна вартості обумовлена втратами власника коштів у зв’язку відкладеною
реалізацією попиту (потреб), недоотриманим прибутком, інфляцією та ризиком і
невизначеністю повернення вкладених коштів у майбутньому.
У методі ЧЗВ рух коштів у майбутньому зводиться
(дисконтується) до часу оцінки (початку діяльності) проекту.
Нинішня вартість коштів n-го майбутнього року
визначається наступним чином:
,
де:
- нинішня вартість коштів майбутнього року;
-
вартість (потік) коштів майбутнього року;
-
коефіцієнт дисконтування;
r -
процентна ставка.
У випадку визначення оптимального коефіцієнта завантаження
трансформаторів врахований наступний рух грошових коштів (витрат і вигод)
проекту. Витрати проекту становлять початкові капіталовкладення у трансформатор
(підстанцію) до введення його в експлуатацію та експлуатаційні витрати на
протязі усього терміну служби трансформатора. В експлуатаційні витрати входить
вартість обслуговування і ремонту трансформатора та вартість втрат
електроенергії в ньому.
Вигоди (зиск) від реалізації проекту зі встановлення трансформаторів на
підстанції виокремити у даному випадку важко, оскільки цей проект є лише
частиною загального проекту спорудження підприємства, у якому отримуються
вигоди від реалізації кінцевої продукції.
Прогнози руху потоків грошових коштів проекту за n років, його
використання в табличній формі наведений в табл. 4.1.2. Експлуатаційні витрати
на ремонт і обслуговування та вартість втрат електроенергії позначені
відповідно Ср.о та СЕ. Усі витрати коштів
внесені зі знаком „-”, а вигоди - „+”.
Таблиця 4.3 Прогноз руху
потоків грошових коштів проекту
|
Рік
|
Витрати
|
Вигоди (зиск)
|
Річний потік грошових коштів
|
Ставка дисконту
|
Зведена вартість коштів
|
Кумулятивний потік коштів
|
|
капітальні
|
експлуатац.
|
|
|
|
|
|
|
0
|
-K
|
0
|
0
|
-K
|
1
|
-K
|
-K
|
|
1
|
0
|
-(Cр.о.+ +СЕ)
|
0
|
-(Cр.о.+СЕ)
|
(1+r)-1
|
-(Cр.о.+ +СЕ)×(1+r)-1
|
-K-(Cр.о.+СЕ)× (1+r)-i
|
|
2
|
0
|
-(Cр.о.+ +СЕ)
|
0
|
-(Cр.о.+СЕ)
|
(1+r)-2
|
-(Cр.о.+ +СЕ)×(1+r)-2
|
-K-(Cр.о.+СЕ)×
|
|
…
|
|
|
|
|
|
|
|
|
n
|
0
|
-(Cр.о.+ +СЕ)
|
0
|
-(Cр.о.+СЕ)
|
(1+r)-n
|
-(Cр.о.+ +СЕ)×(1+r)-n
|
-K-(Cр.о.+СЕ)×
|
Використання системи енергозабезпечення об’єкту й, зокрема,
кабельної лінії, як одного з її елементів, не приносить явно вираженого доходу,
а тому у розрахунках варіантів систем енергозабезпечення складову доходу часто
не враховують.
У цьому випадку загальні витрати коштів даного варіанту за n
років експлуатації зведені до початку першого року експлуатації у аналітичній
формі матимуть вид (знак мінус упущено)
,
де:
К-капіталовкладення
варіанту;
Ср.о- відрахування на ремонт, обслуговування і амортизацію;
Се - вартість втрат електроенергії;
r -
процентна ставка;
і-
термін служби обладнання;
(1+r)-i =КД - коефіцієнт дисконтування.
Експлуатаційні витрати на ремонт і обслуговування та вартість
втрат електроенергії в лінії знаходяться з рівнянь
,
деЕр.о - частка вартості ремонту і обслуговування
лінії, вирахувана через капіталовкладення (в.о.);
R - активний опір лінії;
с - питомий опір провідника;
L, F - довжина лінії і переріз провідника;
I - струм в лінії;
-
вартість електроенергії.
Втрати потужності за розрахункового
струму Ір=161.9 А складають:
Для перерізу 120 мм2:

2*R*L =3*161.92*0.258*0,327=
6.65кВт;
Для перерізу 185 мм2:

2*R*L =3*332.42*0.168*0,217
= 12.1кВт;
∆W = ∆P*ф;
Для перерізу 120 мм2:
∆W =6.65*2000 = 13298 кВт*год.
Для перерізу 185 мм2:
∆W =12.1*2000 = 24102 кВт*год.
Звідси вартість втрат електроенергії:
Се=
*С0;
де С0-вартість електроенергії.
Для перерізу 120 мм2:
Се=13298 *1,32= 17.6тис.грн.
Для перерізу 185 мм2:
Се=24102 *1,32=31.8тис.грн
Експлуатаційні витрати на ремонт і обслуговування знаходяться
з рівняння:
ро=Ер.о. * К;
де К-капіталовкладення(в тис .грн.),
Еро=0.065бо=6,5%
Для перерізу 120 мм2:
Cро=38.6*0,065=2.51грн.
Для перерізу 185 мм2:
Cро=77.7*0,065=5.05грн.
Загальні витрати коштів за n років:
=K+(Cpo+Се)*КД;
де КД-коефіцієнт дисконтування.
Для мого випадку сума КД= 6.81
Для перерізу 120 мм2:
В=38.6+(2.51+17.6) * 6.81= 175.2 тис
грн.
Для перерізу 185мм2:
В=77.7+(5.05+31.8) * 6.81= 406.4 тис
грн.
Результати вибору кабелів для будинку
по вул. Зубрівській, 11 та будинків найбільш завантаженої лінії наведено у
таблицях 4.3 і 4.4 відповідно.
Таблиця 4.3 Дисконтовані витрати на кабеля, що живлять
будинок по вул. Зубрівській, 11
Таблиця 4.4 Дисконтовані витрати на кабеля, що живлять
будинки найбільш завантаженої лінії
.3 Розрахунок струмів короткого замикання
Призначенням розрахунку струму КЗ є перевірка обладнання на
термічну та динамічну стійкість. Виявлення умов роботи споживачів під час КЗ.
Спершу слід скласти розрахункову та заступну схеми для
розрахунку струму короткого замикання (рис 5.1).
Рис.4.2. Розрахункова та заступні схеми
Спочатку вибираємо потужність трансформатора:
Розраховуємо параметри заступної схеми:
- параметри трансформатора (ТМ
- 400/10)
де 
-
напруга досліду короткого замикання, %;

-
номінальна потужність трансформатора, кВА;

-
номінальна напруга трансформатора, кВ;
де 
-
втрати короткого замикання, кВт.
Провівши розрахунки отримаємо наступне:
- параметри кабельної лінії
(АВВГ 4х120)=0.258 Ом/км; хо=0,0258 Ом/км; L=0,327 км
де 
-
опір кабельної лінії на 1 км, Ом/км;

-
довжина кабельної лінії, км.
де 
-
індуктивний опір кабельної лінії, QUOTE
км
Ом/км.
Отже активний та реактивний опори кабельної лінії становлять:

=0,258*0,327=0,084
Ом;

=0,0258*0,327=0,0084
Ом.
Обчислюємо результуючий опір усіх елементів:
Розраховуємо усталене значення струму КЗ за формулою:
Перевірка кабелю за термічною стійкістю:
де t = 0,5 - час спрацювання захисту;
с -функція, що становить 90 А*с/
.
- параметри кабельної лінії (2
х ВВГнг4х185)=0.168 Ом/км; хо=0,0168 Ом/км; L=0,217км
де 
-
опір кабельної лінії на 1 км, Ом/км;

-
довжина кабельної лінії, км.
де 
-
індуктивний опір кабельної лінії, QUOTE
км
Ом/км.
Отже активний та реактивний опори кабельної лінії становлять:

=
2 * 0,168 * 0,217 = 0,07 Ом;

=
2 * 0,0168 *0,217=0,01 Ом.
Обчислюємо результуючий опір усіх елементів:
Розраховуємо усталене значення струму КЗ за формулою:
Перевірка кабелю за термічною стійкістю:
де t = 0,5 - час спрацювання захисту;
с - функція, що становить 90 А*с/
.
З наведених вище розрахунків зрозуміло, шо вибраний переріз задовольняє
умову перевірки за термічною стійкістю.
5. ВИТРАТИ ЕНЕРГІЇ НА ОБІГРІВАННЯ ЖИТЛОВИХ БУДІВЕЛЬ МІКРОРАЙОНУ
5.1
Розрахунок потреби теплоти за енергетичним балансом будинку
Для визначення потреб тепла за методом енергетичного балансу
знаходять складові витрат тепла і його надходжень у будівлю, які наведені у
табл.5.1.
Таблиця 5.1
|
Витрати тепла
|
Надходження тепла
|
|
стіни
|
теплопостачання
|
|
вікна
|
сонячна радіація
|
|
стеля
|
технологічне обладнання
|
|
підлога
|
система освітлення
|
|
інфільтраційні
|
персонал
|
|
вентиляційні
|
|
|
додаткові
|
|
Зведення всіх складових надходжень і витрат теплоти в
тепловому балансі приміщення визначає дефіцит або надлишок теплоти. Дефіцит теплоти
вказує на необхідність встановлення у приміщенні системи опалення (СО).
Теплову потужність СО будинку, можна визначити, склавши
баланс втрат теплоти приміщень для холодного періоду року, у вигляді
де 
-
тепловтрати через захищення приміщення,Вт; 
-
тепловтрати на нагрівання інфільтраційного повітря, Вт; 
-
регулярний тепловий потік, який надходить в кімнати і кухні житлових будинків,
Вт.
Теплову потужність СО будинку з герметичними вікнами можна
визначити за таким тепловим балансом
де 
-
втрати теплоти на нагрівання припливного вентиляційного повітря (кількість
вентиляційного зовнішнього повітря приймають з розрахунку однократного
повітрообміну за годину), Вт; 
-
кількість теплоти, утилізованої з викидного вентиляційного повітря, Вт.
З врахуванням теплоти сонячної радіації тепловий баланс
набуде вигляду
де 
-
розрахункова кількість теплоти сонячної радіації, що надходить у приміщення
будинку, Вт.
Тепловтрати
через захищення
Тепловтрати через захищення 
дорівнюють
сумі втрат теплоти через зовнішні захищення приміщення, а також втрат або
надходжень теплоти через внутрішні захищення (
);

враховують,
якщо температура повітря у сусідніх приміщеннях нижча або вища на 3°С і більше
від температури у даному приміщенні.
Для спрощення розрахунків тепловтрати приміщеннями розбивають на основні
тепловтрати через зовнішні огородження, та додаткові.
Основні тепловтрати
Основні тепловтрати складаються з тепловтрат через окремі
огородження приміщення (стіни, вікна, двері, підлогу, стелю), що визначаються
за формулою
де 
-
площа огородження, 
;

-
температура внутрішнього та зовнішнього повітря, °С; 
-
опір теплопередачі огородження, 
.
Тепловтрати приміщення, які приймаються за розрахункові при
виборі теплової потужності системи опалення, визначаються як сума розрахункових
втрат тепла через всі його зовнішні огорожі. Крім цього, повинні враховуватись
втрати чи надходження тепла через внутрішні огорожі: якщо температура повітря в
сусідніх приміщеннях нижче або вище температури в даному приміщенні на 3°С і
більше.
Термічний опір утеплюючи шарів у кожній зоні додають до опорів 
так,
що умовний опір теплопередачі 
є
рівним
На орієнтацію огороджень величину добавки приймають відносно сторін
світу (рис. Помилка! Джерело посилання не знайдено.) незалежно від призначення
будівлі.
Додаткові тепловтрати на орієнтацію розраховують для всіх вертикальних
і похилих до вертикалі зовнішніх захищень.
Рис.5.1. Значення додаткових
тепловтрат через зовнішні захищення
На обдування огородження вітром. Якщо розрахункова зимова
швидкість вітру не перевищує 5 м/с, то добавка на обдування приймається в
розмірі 5% тепловтрат для огороджень, захищених від вітру, і 10% - для
незахищених. Огородження вважається захищеним, якщо відстань по висоті від
верху огородження до верху захищаючого його протилежного будинку більше 1/5
відстані між ними.
На висоту приміщення. При висоті приміщення громадських
будівель більше 4 м величин тепловтрат через всі огородження збільшується на 2%
на кожен метр висоти понад 4 м, але не більш 15%. Ця добавка не поширюється на
сходові клітки. Сходові приміщення - це переважно високі приміщення, тому для зменшення
тепловтрат їх доцільно зонувати (розбивати на ізольовані по висоті зони).
У виробничих приміщеннях, де температури повітря під
перекриттям і в робочій зоні можуть відрізнятися одна від одної у більших
межах, ніж у приміщеннях громадських будівель, додаткові втрати тепла
визначаються розрахунком з урахуванням розподілу температури по висоті.
На продування приміщення додається 5% до втрат тепла через
вертикальні огородження.
На проникання холодного повітря, через зовнішні двері при
їхньому відкриванні. Приймаються наступні величини добавок: у громадських
будівлях при відсутності в зовнішніх дверях повітряних завіс і проходженні
через двері за 1 год. 500-600 чоловік - 400-500% від основних втрат тепла через
ці двері.
Оскільки ця додача значна, то з метою її зменшення входи в
будинки необхідно передбачити з тамбуром, шлюзом або обладнати обертовими
дверима. У багатоповерхових будинках будь-якого призначення при подвійних
дверях без тамбура між ними - 100%, при подвійних, але з тамбуром - 80% і при
одинарних дверях без тамбура - 65%
Наінфільтрацію зовнішнього повітря. У житлових і громадських
3-8-поверхових будинках з подвійним склінням і при відсутності приточної
вентиляції ця добавка враховується в розмірі від 5 до 20% основних тепловтрат у
залежності від кількості поверхів будинку і поверху, що розраховується.
Варто знати, що в суспільних і виробничих приміщеннях з
великою кількістю вікон і ліхтарів втрати тепла в результаті інфільтрації
повітря можуть досягати значних розмірів - до 40-50% і більше основних
тепловтрат.
План будівлі
Рис.5.2. План будівлі по вул.
Зубрівській 11Опір теплопередачі термічно однорідної непрозорої огороджувальної
конструкції розраховується за формулою
RУ =
,
де бв, бз -
коефіцієнти тепловіддачі внутрішньої і зовнішньої поверхонь огороджувальної
конструкції, Вт/(м2 · К), які приймаються згідно з таблицею 7
додатку;
Rі - термічний опір і-го
шару конструкції, м2 · К/Вт;
лip - теплопровідність матеріалу i-го
шару конструкції в розрахункових умовах експлуатації, Вт/(м · К);
Втрати тепла
Рис.5.3. План огороджувальної конструкції
Опір зовнішньої стіни дорівнює:
Rзс
=
0,528 м2 · К/Вт
Опір огороджувальної конструкції підвалу дорівнює:
Rпд=
=
0,524 м2 · К/Вт
Опір горищного перекриття дорівнює:
Rгп=
=
0,543 м2 · К/Вт
Таблиця 5.2Будівельні характеристики огороджень
|
Назва конструкцій.
|
Тип
|
розмір
|
площа
|
кіль- кість
|
орієнтація
|
tвн
|
tзовн
|
Rтепл
|
|
|
а, м
|
в, м
|
м2
|
|
|
єС
|
°С
|
м2 °С/Вт
|
|
Перекриття горища1
|
Г1
|
82
|
21
|
1722
|
1
|
-
|
18
|
-19
|
0,543
|
|
Підлога1
|
П1
|
82
|
21
|
1722
|
1
|
-
|
18
|
-19
|
0,524
|
|
Стіна1
|
С1
|
82
|
24,3
|
1262
|
1
|
Пн
|
18
|
-19
|
0,528
|
|
-Вікна 1
|
В1
|
2,05
|
1,8
|
81,18
|
196
|
Пн
|
18
|
-19
|
0,75
|
|
Стіна2
|
С2
|
82
|
24,3
|
1262
|
1
|
Пд
|
18
|
-19
|
0,528
|
|
-Вікна 2
|
В2
|
2,05
|
1,8
|
81,18
|
196
|
Пд
|
18
|
-19
|
0,75
|
|
Стіна3
|
С3
|
5,5
|
24,3
|
133,65
|
1
|
Зх
|
18
|
-19
|
0,528
|
|
Стіна 4
|
С4
|
5,5
|
24,3
|
133,65
|
1
|
Сх
|
18
|
-19
|
0,528
|
Тепловтрати через огороджувальні конструкції обчислимо за
формулою:
=s *(tв-tз)*(1+к) * 1/Rк
де s-площа огороджувальної конструкції, в цьому
випадку зовнішня стіна;з - розрахункова температура повітря (-19 градуси);в -
температура в квартирі ( 18 градусів);
к-коефіцієнт на орієнтацію стіни(приймається від
0,05 до 0,1)к - опір огороджувальної конструкції
Обчислимо тепловтрати для стіни 1:=(1992.6-
730,62)*(18-(-19))*(1+0,05)*(1/0,528) = 146693 Вт
За цим прикладом ми обчислимо тепловтрати через
решту огороджувальних конструкцій будинку і внесемо їх у таблицю:
Таблиця 5.3 Тепловтрати будівлі
|
Вид конструкції
|
Тепловтрати, Вт
|
|
Горище
|
123230,80
|
|
Підлога
|
127582,84
|
|
Стіна 1
|
146693,05
|
|
Вікна 1
|
37846,12
|
|
Стіна 2
|
146693,05
|
|
Вікна 2
|
37846,12
|
|
Стіна 3
|
9839,17
|
|
Стіна 4
|
9839,17
|
|
Сума
|
639570,32
|
Сумарні тепловтрати будівлі при середньорічній температурі
складуть:
сер = (tвн- tсер /tвн- tзов)
* Qmax = (18- (-0,2)) /18 -(-19) * 639570,32 *10-6 =
314600 Вт
Втрати теплоти за опалювальний сезон за нормативних умов складуть:
втр до = Qсер* N0 * 24 * 10-3 =
314,6 * 191 *24 * 10-3 = 1442,1 МВт·год =
= 1240,2 Гкал.
Питомі втрати теплоти крізь огороджувальні конструкції
становлять:
0К до = Qвтр до/Fоп = 1442,1*103/
6093.2 = 236,7 кВт*год/м2
Витрати теплоти на нагрівання інфільтрованого повітря
визначаються за формулою:
11 = 0,28*Ln *с*c( tвн - tзв)*k = 0.28 * 2,7 * 1.213 * (18-
(-0.2))* 1=16,7 Вт/м2
Для повітрообміну прийняти 2,7 м3/год на 1 м2
опалюваної площі
Загальна потужність тепловтрат будівлі за рахунок
повітрообміну складе:
Q11 = q11 * Sопал * 10-3
= 16,7 * 6093.2 * 10-3 = 101,7 кВт
Загальні тепловтрати за опалювальний сезон за рахунок
повітрообміну складуть:
оп = Q11 * N0 * 24 * 10-3=101,7*
191 *24 * 10-3 =466,2МВт·год = 401Гкал.
Питомі інфільтраційні втрати теплоти становлять:
0і = Qоп/Fоп = 466,2 / 6093.2 = 76,5
кВт*год/м2
Додаткові втрати теплоти знайдемо як 10% від отриманих втрат
доддо= 0,1(Qоп+Qвтр до )=0,1(466,2 + 1442,1)
= 190,8 МВт·год
Енергетичний баланс будівлі до термомодернізації
Таблиця 5.4 ВИТРАТИ ТЕПЛА
|
Складові витрат
|
Витрати тепла
|
|
МВт год
|
%
|
|
стіни
|
705,9
|
33,6
|
|
вікна
|
170,7
|
8,1
|
|
горище
|
277,9
|
13,2
|
|
підлога
|
287,7
|
13,7
|
|
інфільтраційні
|
466,2
|
22,2
|
|
додаткові
|
190,8
|
9,1
|
|
Всього
|
2099,123
|
100,0
|
Нижче наведено тепловтрати крізь огороджувальні конструкції у
відсотках
Рис.5.4. Діаграма тепловтрат крізь огороджувальні конструкції
Енергетичний баланс будівлі.
Надходження тепла Надходження теплоти від перебування людей у
приміщеннях розраховувати виходячи з таких умов: тепловиділення дорослої людини
у стані спокою становить 105 Вт:
люд = Qлюд11 * Nлюд11 * tроб*
(N0-Nвих) = 105 * 290 * 16 * (191 - 60) =
= 63.8МВт = 54.9 Гкал
Надходження теплоти за рахунок сонячної радіації (прямої і
розсіяної) знаходиться за даними нижченаведеної таблиці, (МДж/м2/місяць,
для широти 52°).
Таблиця 5.5
|
Місяці
|
01
|
02
|
03
|
04
|
05
|
06
|
07
|
08
|
09
|
10
|
11
|
12
|
|
Пн
|
0
|
0
|
110
|
176
|
206
|
212
|
130
|
0
|
0
|
0
|
0
|
|
ПнСх/ПнЗх
|
0
|
0
|
152
|
243
|
332
|
370
|
340
|
268
|
191
|
110
|
0
|
0
|
|
Сх/Зх
|
143
|
210
|
365
|
459
|
512
|
512
|
518
|
457
|
371
|
263
|
166
|
121
|
|
ПдСх/ПдЗх
|
371
|
424
|
572
|
557
|
573
|
514
|
511
|
542
|
530
|
490
|
392
|
305
|
|
Пд
|
495
|
566
|
692
|
558
|
497
|
427
|
452
|
520
|
584
|
611
|
543
|
475
|
Кількість сонячних днів протягом опалюваного сезону становить
30.
Знаходимо середньодобову потужність сонячної енергії для
опалювального сезону:
МДж/(м2·доб).
Надходження теплоти за рахунок сонячної радіації за опалювальний сезон
складуть:
*ев
жв =18,61*730.62*30*10-3ев жв =
154,2 МВт·год.
Значення коефіцієнтів затінення світлового прорізу жв
=0,6 і відносного проникнення сонячної радіації, ев=0,63
вікон приймаються з ДБН В 2.6-31-2006.
Надходження теплоти від освітлювальних приладів та
технологічного устаткування.
Оскільки нам не задана потужність системи освітлення,
приймемо, що проектне питоме навантаження освітлення на одиницю площі підлоги
становить 10 Вт/м2. Загальна встановлена потужність освітлювальних приладів
тоді становитиме
Росв = 10·6093.2 =60.932 кВт.
Враховуючи коефіцієнт технічної справності освітлювальних
приладів 0,9, коефіцієнт одночасності увімкнення 0,85 та середньодобову
тривалість увімкнення 4 год на протязі опалювального сезону визначимо річне
споживання електричної енергіїосв= 60.932·0,9·0,85·4·191= 35612 кВт·год= 30.6
Гкал.
Таблиця 5.6 Енергетичний баланс будівлі. НАДХОДЖЕННЯ ТЕПЛА
|
Складові теплонадходжень
|
Надходження тепла
|
|
МВт·год
|
%
|
|
Сонячна радіація
|
154,2
|
7,3
|
|
Система освітлення
|
35,6
|
1,7
|
|
Персонал
|
63,8
|
3,0
|
|
Теплопостачання
|
1845,5
|
87,9
|
|
Всього
|
2099,1
|
100
|
Надходження теплоти в будинок у відсотках показано нижче
Рис.5.5. Діаграма надходжень теплоти в будинок
Як видно з діаграми надходжень теплоти у будинок майже всю їх
кількість складає теплопостачання. Тому, щоб зменшити потребу у тепло
надходженні потрібно зменшити тепловтрати через огороджувальні конструкції.
6. РОЗРАХУНОК ТЕРМОМОДЕРНІЗАЦІЇ БУДІВЛІ
.1
Проектування теплоізоляційної оболонки будинків за теплотехнічними показниками
її елементів
Для зовнішніх огороджувальних
конструкцій опалюваних будинків та споруд і внутрішніх конструкцій, що
розділяють приміщення, температура повітря в яких відрізняється на 3 °С та
більше, обов'язкове виконання умов:
Упр ≥ R qmin
,
Дtпр ≤ Дtcг
ф в min>tmin
,
де RУпр- приведений
опір теплопередачі непрозорої огороджувальної конструкції чи непрозорої частини
огороджувальної конструкції (для термічно однорідних огороджувальних
конструкцій визначається опір теплопередачі), приведений опір теплопередачі
світлопрозорої огороджувальної конструкції, м2 · К/Вт;
R q min- мінімально допустиме
значення опору теплопередачі непрозорої огороджувальної конструкції чи
непрозорої частини огороджувальної конструкції, мінімальне значення опору
теплопередачі світлопрозорої огороджувальної конструкції, м2 · К/Вт;
Дtпр- температурний
перепад між температурою внутрішнього повітря і приведеною температурою
внутрішньої поверхні огороджувальної конструкції, °С;
Дtcг- допустима за
санітарно-гігієнічними вимогами різниця між температурою внутрішнього повітря і
приведеною температурою внутрішньої поверхні огороджувальної конструкції, °С;
ф в min- мінімальне
значення температури внутрішньої поверхні в зонах теплопровідних включень в
огороджувальній конструкції, °С;
tmin - мінімально допустиме значення
температури внутрішньої поверхні при розрахункових значеннях температур
внутрішнього й зовнішнього повітря, °С.
Мінімально допустиме значення R qminопору
теплопередачі непрозорих огороджувальних конструкцій, світлопрозорих
огороджувальних конструкцій і дверей житлових і громадських будинків
встановлюється згідно з таблицею 1 залежно від температурної зони експлуатації
будинку, що приймається згідно з таблицею 8 додатку.
У разі реконструкції будинків, що
виконується з метою їх термомодернізації, допускається для непрозорих огороджувальних
конструкцій приймати значення R qminзгідно з
таблицею 8 додатку з коефіцієнтом 0,8.
.2 Розрахунок термомодернізації будівель
Враховуючи особливості житлових багатоповерхових будинків для
зменшення тепловтрат через огороджувальні конструкції ми можемо модернізувати
зовнішні стіни,горишне перекриття та перекриття над підвалом до сучасних
будівельних норм. На даний момент опори теплопередачі цих конструкцій
становлять 0,349, 0,364 та 0,345 м2 · К/Вт відповідно. А при
сучасних нормах вони повинні становити 3,33, 1,29 і 4,95м2 · К/Вт.
Отже нам потрібно розрахувати товщину теплоізоляційного матеріалу -
бетони ніздрюваті «Бетоль» для зовнішніх стін (
=0,042).
Рис.6.1. Утеплена огороджувальна конструкція
Необхідна товщина для зовнішніх стін:
=3,33
м2 · К/Вт
х= 0,15 м = 15 см
Необхідна товщина для горищного перекриття:
=4,95
м2 · К/Вт
х= 0,22 м = 22 см
Необхідна товщина для підвалу :
=1,29
м2 · К/Вт
х=0,16 м = 16 см
Розрахуємо тепер вартість утеплення будівель:
Обчислюємо вартість утеплення стін, знаючи попередньо її площу -
2791,26 
,
вартість роботи - 160 грн/
і вартість теплоізоляційного матеріалу - бетони ніздрюваті «Бетоль» товщиною 14
сантиметрів - 132 грн/
.
Отже вартість утеплення стін дорівнює:
Цзс=(160+132)*2791,26 =815048 грн
Тепер обчислимо вартість утеплення горищного перекриття, при тому, що
тут вартість пінопласту становить 192 грн/
.
Цгп=(160+132)*1722=502824 грн
Тепер обчислимо вартість утеплення перекриття над підвалом, при тому,
що тут вартість пінопласту становить 132 грн/
.
Цпп=(160+132)*1722=502824 грн
Тоді загальна вартість тепло модернізації:
∑Цтм=Цгп+Цзс+Цпп
∑Цтм=815048 + 502824 + 502824=1 820 696 грн
.3 Техніко-економічне обґрунтуваннятермомодернізації
Розрахуємо економічно доцільність утеплення з урахуванням
опорів огороджувальх конструкцій, які є нормативними.
Спершу обчислимо тепловтрати для стіни 1 будинку під №11.
Тепловтрати через огороджувальні конструкції ми обчислимо за
формулою:
=s *(tв-tз)*(1+к) * 1/Rк
де s-площа огороджувальної конструкції, в цьому
випадку зовнішня стіна;з - середня температура за опалювальний період (-19
градуси);в - температура в квартирі ( 20 градусів);
к-коефіцієнт на орієнтацію стіни(приймається від
0,05 до 0,1);к - опір огороджувальної конструкції.c1=(1992,6-
730,62)*(18-(-19))*(1+0,05)*(1/3,3) = 23458,3 Вт
Тепловтрати стіни при середньорічній температурі складуть:
сер = (tвн- tсер /tвн- tзов)
* Qc1 = (18- (-0,2)) /18 -(-19) *
23458.3 *10-6 = 11539 Вт
За цим прикладом ми обчислимо тепловтрати через
решту огороджувальних конструкцій будинку і внесемо їх у табл.6.1.
Таблиця 6.1 Тепловтрати через огороджувальні
конструкції після термомодернізації
|
Вид конструкції
|
Тепловтрати, Вт
|
|
Горище
|
13515,09
|
|
Підлога
|
17839,92
|
|
Стіна 1
|
23458,34
|
|
Вікна 1
|
37846,12
|
|
Стіна 2
|
23458,34
|
|
Вікна 2
|
37846,12
|
|
Стіна 3
|
1573,43
|
|
Стіна 4
|
1573,43
|
|
Сума
|
157110,77
|
Сумарні тепловтрати будівлі при середньорічній температурі
складуть:
сер = (tвн- tсер /tвн- tзов)
* Qmax = (18- (-0,2)) /18 -(-19) * 157110,8 *10-6 = 77282
Вт
Отже, оскільки тепловтрати через зовнішні
огороджувальні конструкції змінились, то заощадження у тепловтратах всієї
будівлі після термомодернізації складе:
втрпісля= (qвтр до - qвтр після)*191*24*10-6
= (314600 - 77282)*191*24*10-6 = = 1197 МВт*год,
що рівне 57 %.
Відповідно потреба у теплопостачанні також зменшиться:
теплопос. н = Qтеплопос. н
- Qвтрпісля
= 1846 - 1197 = 649 МВт*год
Складові тепло надходжень будуть виглядати так:
Таблиця 6.2
|
Складові теплонадходжень
|
Надходження тепла
|
|
МВт·год
|
%
|
|
Сонячна радіація
|
154,2
|
17,1
|
|
Система освітлення
|
35,6
|
3,9
|
|
Персонал
|
63,8
|
7,1
|
|
Теплопостачання
|
648,8
|
71,9
|
|
Всього
|
902,47
|
100
|
Надходження тепла після модернізації у відсотках показана у
діаграмі:
Рис.6.2. Діаграма надходжень тепла після модернізації
Тепер маючи величину теплопостачання нашого будинку після модернізації
ми можемо визначити питоме теплопостачання для даного будинку на 
,
що знадобиться нам для розрахунків в інших будинках:
Qп=648,8*103/16451.64= 39,4 Вт/
Сумарна потреба мікрорайону у теплопостачанні становить:
∑Qн=Q11н+(V∑* Qп
)=648,8+(98412.79* 39,4) =4530 МВт*год
Отже, порівнявши сумарні тепловтрати будинку, а також мікрорайону до і
після модернізації ми можемо оцінити суму заощаджень, її вартість та порахувати
термін окупності заходу.
Заощадження енергії після модернізації будинку по вул.
Зубрівська 11:
Qвтр.після=1196,7 МВт*год
Вартість цього заощадження становитиме:
Ц11 = Qвтр.після* с = 1197 * 103
*0,189 = 226160 Грн,
де с = 0,189 Грн/кВт*год - тариф на теплову енергію.
Термін окупності заходу по модернізації:
Ток = ∑Цтм
/ ∑ЦЗ = 1820696 / 226160 = 8 років.
.4 Енергетичний паспорт будівлі
Таблиця 6.3 Загальна інформація
|
Дата заповнення ( рік, місяць, число)
|
20. 11. 2014
|
|
Адреса будинку
|
Україна, Львівська обл., м. Львів, вул.
Зубрівська, 11
|
|
Розробник проекту
|
-
|
|
Адреса і телефон розробника
|
-
|
|
Шифр проекту будинку
|
-
|
|
Рік будівництва
|
1985
|
Таблиця 6.4 Розрахункові параметри
|
Найменування розрахункових параметрів
|
Позначення
|
Одиниці вимірювання
|
Величина
|
|
|
1
|
Розрахункова температура внутрішнього повітря
|
tв
|
oC
|
18
|
|
|
2
|
Розрахункова температура зовнішнього повітря
|
tз
|
oC
|
-19
|
|
|
3
|
Розрахункова температура теплого горища
|
tвг
|
oC
|
2
|
|
|
4
|
Розрахункова температура техпідпілля
|
tц
|
oC
|
5
|
|
|
5
|
Тривалість опалювального періоду
|
zoп
|
доба
|
191
|
|
|
6
|
Середня температура зовнішнього повітря за
опалювальний період
|
toп з
|
oC
|
-0.2
|
|
|
7
|
Розрахункова кількість градусо-діб опалювального
періоду
|
Dd
|
oC×доба
|
-
|
|
|
Таблиця 6.5 Геометричні, теплотехнічні та
енергетичні показники
|
|
|
Показник
|
Позначення і розмірність показника
|
Нормативне Значення показника
|
Розрахункове (проектне) значення показника
|
Фактичне значення показника
|
|
|
1
|
2
|
3
|
4
|
5
|
|
|
Геометричні показники
|
|
|
12
|
Загальна площа зовнішніх огороджувальних конструкцій
будинку
|
FУ, м2
|
--
|
-
|
7696.5
|
|
|
В тому числі:
|
|
|
|
|
|
|
- стін
|
Fнп, м2
|
--
|
-
|
2791.26
|
|
|
- вікон і балконних дверей
|
Fсп, м2
|
--
|
-
|
1461.24
|
|
|
- вітражів
|
Fсп, м2
|
--
|
-
|
-
|
|
|
- ліхтарів
|
Fсп, м2
|
--
|
-
|
-
|
|
|
- покриття (суміщених)
|
Fд, м2
|
--
|
-
|
-
|
|
|
- горищних перекриттів (холодного горища)
|
Fд, м2
|
--
|
-
|
1722
|
|
|
- перекриттів теплих горищ
|
Fд, м2
|
--
|
-
|
-
|
|
|
- перекриттів над техпідпіллями
|
Fц1, м2
|
--
|
-
|
-
|
|
|
- перекриттів над неопалюваними підвалами і
підпіллями
|
Fц2, м2
|
--
|
-
|
1722
|
|
|
- перекриттів над проїздами і під еркерами
|
Fц3, м2
|
--
|
-
|
-
|
|
|
- підлоги по ґрунту
|
Fц, м2
|
--
|
-
|
-
|
|
|
13
|
Площа опалюваних приміщень
|
Fh, м2
|
--
|
-
|
6093.2
|
|
|
14
|
Корисна площа (для громадських будинків)
|
Fl, м2
|
--
|
-
|
-
|
Площа житлових приміщень і кухонь
|
Fl, м2
|
--
|
-
|
-
|
|
|
16
|
Розрахункова площа (для громадських будинків)
|
Fl, м2
|
--
|
-
|
-
|
|
|
17
|
Опалюваний об’єм
|
Vh, м3
|
--
|
-
|
16451.64
|
|
|
18
|
Коефіцієнт скління фасадів будинку
|
F
|
--
|
-
|
0.34
|
|
|
19
|
Показник компактності будинку
|
kк буд
|
--
|
-
|
0.46
|
|
|
Теплотехнічні та енергетичні показники
|
|
|
Теплотехнічні показники
|
|
|
1
|
2
|
3
|
4
|
5
|
|
|
20
|
Приведений опір теплопередачі зовнішніх огороджень
|
R∑пр, м2×oC/Вт
|
-
|
-
|
-
|
|
|
- стін
|
R∑прст
|
3,3
|
3,3
|
0,528
|
|
|
- вікон і балконних дверей
|
R∑пр в
|
0,75
|
0,75
|
0.75
|
|
|
- вітражів
|
R∑ пр вт
|
-
|
-
|
-
|
|
|
- ліхтарів
|
R∑ пр л
|
-
|
-
|
-
|
|
|
- вхідних дверей, воріт
|
R∑првд
|
0,5
|
0,5
|
0.5
|
|
|
- покриттів (суміщених)
|
R∑пр п
|
-
|
-
|
-
|
|
|
- горищних перекриттів (холодних горищ)
|
R∑пр г
|
4,95
|
4,95
|
0,543
|
|
|
- перекриттів теплих горищ (включаючи покриття)
|
R∑прпг
|
-
|
-
|
-
|
|
|
- перекриттів над техпідпіллями
|
R∑прпт
|
-
|
-
|
-
|
|
|
- перекриттів над неопалюваними підвалами або підпіллями
|
R∑прпн
|
3,75
|
3,75
|
0,524
|
|
|
- перекриттів над проїздами
|
R∑прпп
|
-
|
-
|
-
|
|
|
підлоги по грунту
|
R∑прпд
|
-
|
-
|
-
|
|
|
Енергетичні показники
|
|
|
21
|
Розрахункові питомі тепловитрати
|
qбуд, кВт .год/м2,
[кВт .год/м3]
|
- -
|
58 21,5
|
237 88
|
|
22
|
Максимально допустиме значення питомих тепловитрат
на опалення будинку
|
Emax, кВт .год/м2,
[кВт .год/м3]
|
- -
|
- -
|
- -
|
|
23
|
Клас енергетичної ефективності
|
|
-
|
E
|
F
|
|
|
|
|
|
|
|
|
|
|
|
|
|
|
|
Таблиця 6.6 Висновки за результатами оцінки енергетичних
параметрів будинку
|
Вказівки щодо підвищення енергетичної ефективності
будинку
|
|
Рекомендовано:Провести роботи по збільшенню опору
теплопередачі огороджувальних конструкцій шляхом їх утеплення
теплоізоляційними матеріалами.
|
Таблиця 6.7
|
Паспорт заповнений:
|
|
Організація
|
НУ «ЛП»
|
|
Адреса и телефон
|
Україна, Львівська обл., м. Львів, вул.
С. Бандери, 28а.
|
|
|
|
|
Відповідальний виконавець
|
Ст. гр. ЕНМс - 21 Байцар Ю. І.
|
7.РОЗРОБЛЕННЯ ЗАХОДІВ З ПІДВИЩЕННЯ ЕФЕКТИВНОСТІ
ВИКОРИСТАННЯ ЕЛЕКТРИЧНОЇ ЕНЕРГІЇ
Так як, у всіх будинках даного мікрорайону в
якості технічного освітлення використовують лампи розжарювання, які вважаються
енерговитрат ними, тому пропоную замінити їх більш ефективними -
люмінесцентними лампами.
Переваги енергозберігаючих люмінесцентних ламп
Світлова віддача люмінесцентної лампи в
середньому в п’ять разів більше, ніж в лампи розжарювання. Для прикладу:
світловий потік люмінесцентної лампи 20 Вт приблизно дорівнює світловому потоку
лампи розжарювання 100 Вт. Відповідно енергозберігаючі лампи дозволяють
понизити вжиток електроенергії приблизно на 80% без втрати звичного для вас
рівня освітленості кімнати.
Розрахуємо вартість потужності технічного
освітлення для будинку по вул. Зубрівській 11.
Потужність встановленого освітлення на під’їзд
складається з двох ламп розжарювання при вході у під’їзд та двох ламп
розжарювання на кожен поверх ( 9 поверхів):
освуст1 = (2 * Pл1 +9 * (2 * Рл1)) =
(2 * 60 +9 * (2 * 60))= 1200 Вт,
де Рл1= 60 Вт - потужність лампи розжарювання.
Далі розрахуємопотужність ламп технічного
освітлення для всього будинку:
освуст.буд1 = Pосвуст1 * N
= 1200 * 3 = 3600 Вт
де N = 3 - к-ть під`їздів.
Відповідно до кількості під`їздів розрахуємо
встановлену потужність технічного освітлення всього мікрорайону:
освуст.мкр1 = Pосвуст1 * N
= 1200 * 20 = 24000 Вт = 24 кВт
Розраховуємо вартість спожитої потужності
технічним освітленням мікрорайону за рік за умови його роботи - 6 год/добу:
Ц1 = Pосвуст.мкр1 * с * 6* 365 =24*
0,32 * 6 * 365 = 16819,2 Грн
Де с = 0,32 Грн/ кВт * год - тариф на
електроенергію.
Тепер розрахуємо кількість спожитої потужності
люмінесцентними лампами, її вартість, а також вартість самих ламп. Враховуючи
що за світловіддачею люмінесцентна лампа потужністю 12 Вт відповідає лампі
розжарювання потужністю 60 Вт
Рис.7.1. Люмінесцентна лампа
Розрахункова потужність технічного освітлення з
використанням люмінесцентних ламп на під`їзд становитиме:
освуст2 = (2 * Pл2 +9 * (2 * Рл2)) = (2 * 12 +9
* (2 * 12))= 220 Вт,
Відповідно до кількості під`їздів розрахуємо встановлену
потужність технічного освітлення всього мікрорайону:
освуст.мкр2 = Pосвуст2 * N = 220 * 20
= 440 Вт = 0,44 кВт
Розраховуємо вартість спожитої потужності технічним
освітленням мікрорайону за рік за умови його роботи - 6 год/добу:
Ц2 = Pосвуст.мкр2 * с * 6* 365 =0,44* 0,32 * 6 *
365 = 308,35 Грн
Вартість люмінесцентної лампи потужністю 12 вт становить
9,2 грн, тому вартість заміни всіх ламп у мікрорайоні становитиме:
Цл = N * 9.2 = 400 * 9.2 = 3680 грн.
Заощадження після проведення модернізації становитиме:
∆Ц = Ц1 - Ц2 - Цл = 16819,2 - 308,35 - 3680 =
12830,85
Термін окупності даного заходу становитиме:
Ток = Ц1 / ∆Ц = 16819,2 / 12830,85 = 1,31 = 1 рік 3
місяці 22 дні.
8.СИСТЕМА КОНТРОЛЮ ТА ОПЕРАТИВНОГО ПЛАНУВАННЯ ВИКОРИСТАННЯ
ЕНЕРГОРЕСУРСІВ НА ОБ’ЄКТІ
У сучасній практиці багатьох країн світу діяльність в галузі
енергозбереження носить назву енергетичний менеджмент (Energymanagement).
Вперше це поняття з'явилося в 70-х роках минулого сторіччя в економічно
розвинених країнах Західної Європи, у США і Японії. Під цим терміном прийнято
розуміти самостійну область знань, науку, методологію, а також практичний
інструментарій здійснення процесу управління використанням усіх видів
паливно-енергетичних ресурсів (ПЕР). Причому мається на увазі, що управління
використанням енергоресурсів повинно забезпечувати розумні, технічно та
економічно обґрунтовані потреби людини в паливі та енергії, забезпечити
мінімальний негативний вплив на навколишнє середовище, а також умови для
ефективного використання ресурсного та інвестиційного потенціалу будь-якогогосподарського
об'єкта.
Постановка проблеми. В Україні ще з часів колишнього СРСР
контроль та управління ефективністю використання паливно-енергетичних ресурсів
в усіхгалузяхсуспільного виробництва, зокрема і в бюджетній сфері,
традиційноздійснювались на основі системи нормування питомих витрат палива та
енергії.
Однак досвід багатьох попередніх десятиліть, а також останніх
10…15 років свідчить, що діюча в нашій державі система нормування питомих
витрат ПЕР має низку суттєвих недоліків, які не дозволяють вважати відповідні
норми, що встановлюються для різних підприємств, організацій та установ на
основі діючих методик, достатньо обґрунтованими і прогресивними.
Отже, на підставі таких недосконалих «еталонів»
енергоефективності не може бути вироблена оптимальна стратегія
енергозбереження, не може правильно здійснюватись економічне стимулювання
підвищення ефективності енерговикористання, не можуть коректно застосовуватись
штрафні санкції за нераціональне використання ПЕР, тобто, не може здійснюватись
якісне, дієве управління використанням палива та енергії. Все зазначене повною
міроюстосуєтьсятакож об’єктів бюджетної сфери, в тому числі, і навчальних
закладів.
Одним з найбільш очевидних недоліків існуючої системи
нормування питомих витрат паливно-енергетичних ресурсів є проблема вибору
одиниць вимірювання обсягувиробництва продукції, виконання роботи чи надання
послуг, по відношенню до яких слід встановлювати відповідні норми
енергоспоживання. Невирішеним це питаннязалишається і для закладів освіти. Це призводить
до того, що норми питомоївитратипалива та енергії, що визначаються для
навчальних закладів, є величинами дуже нестабільними у часі, здебільшого,
суттєво різними навіть для однорідних за призначенням об’єктів, і тому
встановлюються у вигляді досить широкихінтервалів їх значень.
До того ж, для поступового підвищення ефективності
використання палива та енергії, підтримки вже досягнутого її рівня не достатньо
тільки стратегічного (довгострокового) управління енергозбереженням на об'єкті.
Необхідно здійснювати також оперативне управління ефективністю використання
ПЕР. З цієї точки зору існуюча система нормування питомих витрат палива та
енергії є абсолютно непридатною.
Виходячи з зазначених міркувань та звертаючи увагу на
зарубіжний досвід, стає очевидним, що в нашій державі є необхідним якомога
скоріше активізувати наукові дослідження в напрямку розробки, експериментальної
перевірки та впровадження сучасних підходів та методів контролю і управління
ефективністю енерговикористання,альтернативних нормуванню питомих витрат
паливно-енергетичних ресурсів,зокрема, і для закладів освіти.
На думку авторів, одним з доцільних та перспективних
напрямків таких досліджень є аналіз та розвиток теоретичних основ і практичного
досвіду застосуваннясистем енергетичного менеджменту для вирішення задач
контролю та управлінняенергоефективністю виробничо-господарських об’єктів.
Зокрема, що стосується оперативного управління ефективністю
використання ПЕР, в будь-якій системі енергоменеджменту створюється і постійно
функціонує підсистема з аналогічною назвою. Ця підсистема являє собою
сукупність певної кількості однакових за призначенням елементів. У теорії і
практиці енергетичного менеджменту в країнах Західної Європи, США, Японії ці
елементи мають назвусистемконтролю і планування енергоспоживання
(MonitoringandTargetingSystems або системи КіП).
Метою створення і функціонування систем КіП, крім
оперативного управління ефективністю використання ПЕР, є також моніторинг
реально досягнутих результатіввпровадження проектів енергозбереження на об'єкті
управління.
Слід зазначити, що методологія створення та функціонування
подібних систем в колишньому Радянському Союзі розроблялася ще у 80-ті роки
минулого сторіччя, проте результати роботи у цьому напрямі, отримані у тому
числі в Україні, практичного застосування не знайшли, оскільки вони суперечили
основним принципам діючої на той час системи контролю та управління
ефективністю використання ПЕР.
Автори цієї статті здійснюють наукові дослідження в напрямку
удосконалення та подальшого розвитку методів оперативного контролю ефективності
використання паливо-енергетичних ресурсів на різних виробничо-господарських
об’єктах, базуючись як на вітчизняному, так і на зарубіжному досвіді виконання
цієї функції в системах енергетичного менеджменту.
Актуальність дослідження. Забезпечення раціонального
використання паливно-енергетичних ресурсів, практичне вирішення задач
енергозбереження в усіх галузях національної економіки на сьогоднішній день є
однією з найбільш актуальних, можна сказати, життєво важливих проблем для всіх
держав Східної Європи, в тому числі, і для України.
На думку авторів, об’єктивне, обґрунтоване вирішення питання
кількісноїоцінки та контролю рівня ефективності енерговикористання на різних
виробничо- господарських об’єктах є однією з необхідних, можна сказати,
ключових умов досягнення помітних практичних результатів у сфері
енергозбереження. Тільки на основі коректного вирішення цієї задачі на всіх
рівнях управління суспільним виробництвом можуть успішно виконуватись принципово
важливі функціїуправління енергозбереженням як на рівні держави, так і на рівні
окремих підприємств, організацій та установ.
Основні результати дослідження. Очевидно, що найбільш реально
контролювати ефективність використання ПЕР може тільки експлуатаційний персонал
підприємства або організації. Виходячи з цих міркувань, в зарубіжній практиці
системи контролю і планування енергоспоживання будують виключно для локальних
технологічних об’єктів (для окремих установок, машин, агрегатів, технологічних
ліній,процесів тощо). З цієї причини на будь-якому виробничо-господарському
об'єкті, як правило, створюють досить велику кількість систем КіП. Крім того,
вибір саме таких,локальних об'єктів для побудови систем контролю і планування
енергоспоживання є виправданим також необхідністю дотримання умови, щоб
відповідні об'єкти мали єдиний облік витрат палива або енергії, а також, у міру
можливості, управлялися мінімальним числом операторів. Очевидно також, що на
будь-якому технологічному об'єкті необхідно створювати стільки окремих,
незалежних систем планування і контролю енергоспоживання, скільки видів палива
та енергії на ньому використовується.
Методологія побудови традиційних системКіП універсальна, що
дозволяє застосовувати їх для оперативного контролю ефективності використання
будь-якого виду палива або енергії. Однак при цьому необхідно розуміти, що
система КіП сама пособі не є енергозберігаючим заходом, тобто, не забезпечує
енергозбереження на відповідному об'єкті, а лише створює умови для підтримання
ефективності використання паливно-енергетичних ресурсів на заданому рівні і
періодичного, цілеспрямованого підвищення цього рівня.
Численні систем контролю і планування енергоспоживання,
створені на виробничо-господарських об'єктах багатьох країн Західної Європи, зокрема,
у Великобританії, стали логічним розвитком багаторічної практики періодичного
проведення на цих об'єктах енергетичних аудитів, результати яких являють собою
свого роду «моментальну фотографію» ситуації у сфері споживання палива та
енергії, яка постійно змінюється.
Функціонування системи контролю і планування енергоспоживання
на будь- якому об'єкті можна представити у вигляді схеми, яка відображає певний
алгоритм контролю ефективності енерговикористання, тобто, основні функції
системКіП та послідовність їх виконання.
В основу побудови таких систем покладено встановлення
залежності обсягу споживання палива або енергії на будь-якому об'єкті від низки
показників (чинників), які істотно впливають на енергоспоживання. Тому
створення системи контролю і планування енергоспоживання на технологічному
об'єкті починається зі збору фактичних даних про витрату палива або енергії, а
також про результати відповіднихтехнологічних процесів і умови їх протікання
(наприклад, обсяг випущеної продукції або виконаної роботи, тривалість роботи
обладнання, основні параметри технологічного процесу, зовнішніх умов тощо).
В практиці зарубіжних країн оперативний контроль ефективності
використання палива та енергії в системах КіП, як правило, здійснюється
щотижня. Тому збір вихідних даних для побудови такої системи на будь-якому
об’єкті здійснюється, як мінімум, протягом 5…10 тижнів.
Зібрані вихідні дані у подальшому аналізуються в двох
аспектах. Перш за все, аналізується динаміка зміни у часі обсягів споживання
палива або енергії на об'єкті.
Якщо енергоспоживання на даному об'єкті має нерівномірний
характер, то додатково аналізується, які саме виробничі або технологічні
чинники і наскільки суттєво впливають на зміну обсягу витрати палива або
енергії на об'єкті.
На підставі виконаного аналізу наявних вихідних даних
робиться наступний крок побудови системи контролю і планування енергоспоживання
- визначаються так звані планові змінні, тобто, деякий «нормативний» рівень
споживання палива або енергії на об'єкті. З цією метою для даного об'єкта
встановлюється відповідний «стандарт» енергоспоживання. Такий «стандарт»
необхідно мати, щоб в подальшому у процесі контролю енергоефективності
порівнювати з ним фактичні значення витрати палива або енергії. При цьому
«стандарт» енергоспоживання повинен представляти собою деякий максимально
реалістичний прогноз «нормативного» рівня витрати того чи іншого
паливно-енергетичного ресурсу, який необхідно і можливо досягти на даному
об'єкті.
При цьому необхідно звернути увагу на важливу особливість таких
систем - контроль ефективності використання палива або енергії в системах КіП
на відміну, наприклад, від системи нормування їх питомих витрат,здійснюється
безпосередньо на підставі фактичних обсягів споживання ПЕР, отриманих за
допомогою відповідних приладів обліку.
Отже, «стандарт» енергоспоживання в системі КіП являє собою
деяку математичну модель обсягу витрати відповідного виду палива або енергії в
залежності від значень виробничих і технологічних параметрів, які суттєво
впливають на нього.
«Стандарт» енергоспоживання може бути встановлений у вигляді
константи, якщо жоден з наявних виробничих і технологічних параметрів істотно
не впливають на витрату палива або енергії на об'єкті. Якщо ж на споживання
відповідного паливо-енергетичного ресурсу істотно впливають один або декілька з
наявних чинників, то «стандарт» встановлюють у вигляді рівняння одно факторної
або багатофакторної, як правило, лінійної регресії. При цьому в традиційних
методиках побудови систем КіПпри встановленні «стандартів» не рекомендується
використовувати більше трьох параметрів, що істотно впливають на
енергоспоживання об'єкта, що розглядається.
Таким чином, «стандарт» енергоспоживання, що встановлюється в
будь-якій системі КіП, являє собою деяку «норму» абсолютної, а не питомої витрати
палива або енергії. Така «норма» не є «ідеальною», тобто мінімально необхідною
для даного об'єкту, як норма питомої витрати енергії в традиційному її
розумінні. Тим не менш «стандарт» енергоспоживання, як правило, є достатньо
обґрунтованим, оскільки він цілком відповідає даному об'єкту і конкретним
умовам його функціонування (параметрам технологічного процесу, зовнішніх умов
тощо). Тобто «стандарт» енергоспоживання досить добре відображає рівень
ефективності використання палива або енергії, реально досягнутий на даному
об'єкті.
До того ж, «стандарт» енергоспоживання в системі КіП
встановлюється не у вигляді конкретного числового значення, як це зазвичай
робиться при встановленні норм питомої витрати енергії, а як вже було сказано,
у вигляді деякої математичної моделі споживання енергії, тобто, у вигляді свого
роду «енергетичної характеристики» об’єкту, що розглядається. Тобто, «стандарт»
енергоспоживання являє собою не тільки достатньо обґрунтовану «норму»
споживання палива чи енергії на даному об’єкті, але є також достатньо гнучким
«еталоном» ефективного використання відповідного енергоресурсу, який враховує
можливі зміни обсягів продукції, параметрів технологічного процесу, а також
зовнішніх, в тому числі, кліматичних умов виробництва.
Після того, як «стандарт» енергоспоживання встановлений в
аналітичному і, за можливості, в графічному вигляді, можна вважати, що побудова
системи КіП на даному об'єкті завершена, і дана система вже може
застосовуватися для оперативного контролю ефективності використання палива або
енергії.
Однак, як свідчить практика, традиційні системи КіП
недоцільно та й неможливо успішно застосовувати безпосередньо для контролю
ефективності використання палива або енергії на об'єкті. Такі системи, швидше,
являють собою дієвий «інструмент» для оперативного контролю результатів
впровадження тих чи інших заходів з енергозбереження. Це означає, що, перш ніж
система КіП почне функціонувати, необхідно не тільки встановити відповідний
«стандарт» енергоспоживання, але також визначити і реалізувати на даному
об'єкті деякий енергозберігаючий захід. Тільки в цьому випадку експлуатаційному
персоналу об'єкта може бути поставлена достатньою мірою обґрунтована задача
постійно забезпечувати таке використання палива або енергії, щоб фактичні
обсяги їх споживання не перевищували встановленого «стандарту». Очевидно, що
при цьому експлуатаційний персонал повинен також систематично збирати
статистичні данні про роботу об'єкта, необхідні для нормального функціонування
на ньому системи КіП.
Періодичний контроль ефективності використання палива чи
енергії на будь- якому об’єкті (або контроль результатів впровадження на ньому
відповідного енергозберігаючого заходу) в традиційних системах КіП може
здійснюватись графічно, тобто, безпосередньо за графіком «стандарту»
енергоспоживання або шляхом побудови спеціального графіка, який у зарубіжній
практиці називають графіком кумулятивної суми (графіком CUSUM).
Системи КіП, що будуються і функціонують таким чином,
зарекомендували себе як дієвий «інструмент» оперативного контролю ефективності
використання палива та енергії. Зарубіжний досвід побудови та застосування
численних систем контролю і планування енергоспоживання на багатьох
виробничо-господарських об’єктах підтверджує, що такі системи, без сумніву,
являють собою практичний інтерес для вітчизняних фахівців з енергетичного
менеджменту як один з можливих напрямків розвитку методів оперативного контролю
ефективності використання паливної енергетичних ресурсів.
Методологія створення та застосування таких систем приваблює,
перш за все, простотою та незначними витратами часу на здійснення контролю
енергоефективності, що саме і дозволяє оперативно вирішувати цю задачу. Причому
період контролю ефективності використання палива чи енергії на будь-якому
об’єкті з застосуванням систем КіП, в принципі, може бути дуже коротким,
наприклад, рівним одній добі, зміні чи навіть одній годині.
Однак, як показали результати дослідження, в теоретичному та
методологічному відношенні методики побудови та застосування систем КіП, що
традиційно використовуються в зарубіжних країнах, мають низку суттєвих
недоліків, спрощень та невирішених питань, які не дозволяють безпосередньо,
«механічно» застосувати їх в умовах України або інших держав СНД для контролю
та управління ефективністю енерговикористання.
9. ВИКОРИСТАННЯ ПОНОВЛЮВАНИХ ЕНЕРГОРЕСУРСІВ
Сонячні батареї
Сьогодні більше 2
мільярдів людей на планеті досі залежать від дарів, газу і гасу для
приготування їжі і обігріву приміщень. Ці джерела палива, а також відсутність
доступу до електрики призводять до значних негативних наслідків для здоров'я,
довкілля і економічного розвитку.
Нині впровадження
альтернативних джерел енергії, автономних і децентралізованих, в багатьох
країнах вигідніше, як з економічної, так і з екологічної точки зору. Викопне
паливо стає джерелом енергії вчорашнього дня, яке не може забезпечити стійкий
розвиток людства в довгостроковій перспективі. Сьогодні в майбутнє сміливо
заглядають інші форми енергії, одна з яких - ЕНЕРГІЯ СОНЦЯ.
Східна Європа - сонячний
регіон, тому застосування сонячних фотоелектричних панелей тут, особливо
актуально.
Сонячні колектори
призначені для перетворення сонячної енергії у теплову для підігріву води на
побутові потреби та підтримки системи опалення. Завдяки конструктивним
удосконаленням та високому коефіцієнту абсорбції (95%) сонячні колектори
ефективно працюють майже 9 місяців на рік. Скло колекторів ударостійке, та
гарантує механічну стійкість до атмосферних опадів (граду), чи попадання
твердих предметів. Використання незамерзаючої рідини (розчину гліколю)
забезпечує роботу колекторів за низьких температур повітря - до -30°С. Системи
сонячного теплопостачання, якщо вони правильно розраховані та якісно
змонтовані, вважаються одними із найбільш надійних та довговічних.
Сонячний колектор - у
ньому відбувається перетворення сонячної енергії в теплову. Відбір тепла
виробляється за допомогою прокачування через його канали рідкого теплоносія.
Колектори необхідно орієнтувати у південному напрямку (припустиме відхилення
без істотного зниження ефективності до 60 °). Однак можливий варіант монтажу
двох груп колекторів: одна група на захід, інша на схід. Для досягнення
максимальної ефективності в літній період, кут нахилу повинен складати 25-35 °.
Для сонячних колекторів
які експлуатуються цілий рік (ефективність у літній період знижується, а в інші
збільшується) кут нахилу повинен складати близько 40-60 °. Під кутом 90 °
встановлюються колектора, робота яких розраховується в зимовий період, зокрема
для систем опалення.
Бак-теплообмінник-акумулятор.
Особливістю роботи систем сонячного опалення є необхідність акумулювання
сонячної теплової енергії з метою її використання в різний час доби. Це можливо
зробити за допомогою використання в системі бака-акумулятора. Дана необхідність
зумовлена нестабільність сонячного випромінювання протягом доби, у той час як
гаряча вода і опалення необхідні постійно, навіть у той час, коли воно взагалі
відсутнє. Ефективність установки значно залежить від правильності вибору обсягу
бака-акумулятора.
Всі баки повинні встановлюватися
в приміщеннях захищених від атмосферних впливів.
З точки зору використання
водонагрівачів в геліосистемах можна виділити кілька типів:
- Вертикальні баки
непрямого нагріву, можуть використовуватися в системах як з природною
циркуляцією, так і з примусовою циркуляцією теплоносія:
а.) з одним
теплообмінником, застосовується в геліосистемах, коли площа одного
теплообмінника достатня для відбору теплової енергії від встановлюваної площі
сонячних колекторів і немає необхідності догріву від одно контурних котлів (як
дублююче джерело, встановлюється електричний ТЕН або догрів здійснюється за
допомогою двоконтурних котлів)
Рис.9.1. Вертикальний бак
непрямого нагріву з одним теплообмінником
б.) з двома
теплообмінниками, застосовується в геліосистемах, для дублювання від одно
контурних котлів, а також, якщо є необхідність відбору теплової сонячної
енергії на опалення, якщо ви монтуєте котельню і плануєте в майбутньому
встановити геліоустановки, доцільно використовувати одно контурний котел і бак
з двома теплообмінниками (на верхній підключити котел).
Рис.9.2. Вертикальний бак
непрямого нагріву з з двома теплообмінниками
Горизонтальні баки
непрямого нагріву, об'єм бака 125-200 літрів, встановлюється в геліосистемах з
природною циркуляцією теплоносія, якщо немає можливості розташувати бак
вертикального виконання, в інших випадках рекомендується використовувати баки
вертикального виконання.
Контролер є обов'язковим
елементом геліосистем з примусовою циркуляцією теплоносія. Він здійснює
контроль стану і керування процесом нагріву від сонця геліосистеми, а також
може керувати іншими теплотехнічними процесами в загальній системі. Контролер
отримує від датчиків температури інформацію і вибирає необхідний режим роботи.
Ефективність та безпека геліосистеми в значній мірі залежать від контролера,
закладених у нього алгоритмів роботи, надійності елементів.
Насосна станція
використовується в системах з примусовою циркуляцією (така система на 30%
ефективніше системи з природною циркуляцією) і призначена для забезпечення
циркуляції теплоносія в колекторному колі. Гідравлічний опір колекторного кола
досить мало, що дає можливість використовувати малопотужні насоси, споживана
потужність яких мізерно мала в порівнянні з отриманою тепловою енергією від
сонячних колекторів.
Розрахуємо кількість
енергії, яка потрібна для забезпечення гарячою водою мешканців буд по вул.
Зубрівській 11.
Спочатку порахуємо добову
потребу у теплі для обігріву води на 1 особу:
тд =
(1+z)*с*c*(t2 - t1)/3600 = (1+0.5)*1000*4186*(55 -
10)/3600 =
= 4.7 кВт * год;
де z - коефіцієнт
енергетичних втрат системи;
с - питома густина води;
с - питома теплоємність
води;1 - температура холодної води;2 - температура
гарячої води.
Тепер розраховуємо
загальну річну потребу енергії на гаряче водопостачання:
Qт=Qтд*d+0.8*
Qтд*( t2- t1л/ t2-t1з) *
(N-d) *0.239 = 4.7*191+0.8*4.7*(55-15/55-5)*(365-191)*0.239 = 1.42 МВт*год/рік;
де d - нормативна
тривалість опалювального сезону у конкретно визначеному регіоні України;1л
- температура холодної води влітку;1з - температура холодної води
взимку;- кількість днів роботи системи.
Далі рахуємо скільки
енергії потрібно для всього будинку:
11 = Qт * Nл = 1,42
* 290 = 411,8 МВт*год/рік.
Вартістьцієї енергії при
тарифі с = 1,32 грн/кВт*год становить:
Ц11 = Q11*
с = 411,8* 1,32 = 543576 грн
Тепер розраховуємо
кількість і вартість сонячних колекторів, які б задовольнили 25 % потреб
будинку у енергії для нагріву води.
Нижче наведено
характеристики сонячного колектора:
Таблиця 9.1
Характеристики сонячного колектора СВК-А-30
|
Кількість труб, (шт.)
|
30
|
|
Пікова потужність Вт
|
1846
|
|
Площа абсорбції / апертури, (м2)
|
2.41/2.81
|
|
Ємність теплообмінника, (л)
|
2.07
|
|
H (мм)
|
2000
|
|
W (мм)
|
2440
|
|
S (мм)
|
1216
|
|
Вага, кг
|
97
|
|
Ціна, грн
|
14773
|
В середньому в одному дні - є 6 сонячних годин. В наступній
формулі порахуємо скільки таких годин є в цілому році :
Г=365*6=2190 год.
Визначаємо кількість енергії, яку виробить колектор за рік:
Епан= Г*0.25= 2190*1,846=4042,7 кВт*год
На основі даних з таблиці, ми можем обрахувати скільки
потрібно панелей сонячних колекторів потужністю
1,846кВт для забезпечення 25 %річних потреб
будинку у теплоті для нагріву води:
пан=Q0,25 / Епан
= (411,8*0,25 * 103) / 4042,7 = 25шт.
Визначаємо кількість енергії, яку вироблять ці колектори за
рік:
Епан р= Епан * 25 = 4042,7 * 25 =
102950 кВт*год
Визначаємо вартість енергії, яку вироблять ці панелі за рік
Це/е= Епан р * с = 102950 * 1,32 =
135894 грн.
Тариф 1 кВт*год електроенергії для даного будинку становить с
=1.32 грн.
Далірахуємо скільки коштує 25сонячних колекторів:
Цпан=Цкол.п * 25 * k = 14773 * 25 * 1,5
= 553988 грн,
де k - коефіцієнт, що враховує витрати на обслуговування
колекторів.
Обраховуємо скільки за рік ми заощаджуємо в грошах:
Ц сон.ен. = Ц11 -
Це/е=543576 - 135894 = 407682грн.
Обраховуємо за скільки ці сонячні колектори окупляться, якщо
не буде зростати ціна на електроенергію:
Ток = (Це/е + Цпан) / Ц сон.ен. =
(135894+ 553988) /407682= 1,7 роки.
Виконавши дані розрахунки я визначив, що найбільш економічно
вигідним в плані терміну окупності є використання сонячних колекторів потужністю 1,8кВт, для даного будинку на 25 - 50 % від
загальних потреб на нагрівання води, тому для даного будинку я б
встановив саме таке число колекторів.
10. ОХОРОНА ПРАЦІ
.1 Пожежна небезпека житлових будинків та гуртожитків
Від загальної кількості пожеж, які виникають в Україні біля
80% приходяться на житлові будинки.
Особливостями пожежної небезпеки житлових будинків та
гуртожитків є:
• наявність великої кількості людей різного віку, стану
здоров’я, що збільшує час їх евакуації та ускладнює процес евакуації;
• необхідність залучення пожежної спец. техніки, необхідної
для евакуації людей;
• значно більший необхідний час евакуації людей (велика
висота будівель, велика протяжність евакуаційних шляхів);
• швидке розповсюдження диму по сходовим клітинам, ліфтовим
шахтам, сміттєпроводам, вентканалам та ззовні будівлі.
Протипожежний захист житлових будинків та гуртожитків висотою
до 9-ти поверхів
Керівні документи:
. СНіП 2.08.01-89 “Жилыездания”.
. СНіП 2.01.02-85 “Противопожарныенормы”.
. ДБН 360-92 “Планування та забудова місцевих і сільських
поселень”.
. ППБ в Україні.
Вимоги до території
Для проїзду пожежних автомобілів п.б. улаштовані проїзди
шириною не менше 3,5 м або смуга шириною 6 м з двох поздовжніх сторін багато
секційних будинків і з усіх сторін односекційних житлових будинків;
Між житловими будинками та гуртожитками, а також до будівель
іншого призначення п.б. протипожежні розриви, які залежать від їх С.В.;
П.б. наскрізні проїзди між будинками на відстані не більше
300 м один від одного, а при периметральній забудові - не більше 180 м. П.
3.11. /3/;
На проїздах повинні бути роз’їзні майданчики (шириною 6 м і
довжиною 15 м на відстані не більше 75 м один від одного);
Тупикові проїзди п.б. довжиною не більше 150 м і повинні
закінчуватись поворотним майданчиком.
Вимоги до будівель
Будівлі м.б. любої ступені вогнестійкості в залежності від
кількості поверхів та площі пожежного відсіку;
В будівлях І-ІІІ С.В. висотою три поверхи та більше, між
секційні не несучі стіни та перегородки, а також перегородки відділяючі
загальні коридори від інших приміщень в будівлях любої поверховості, повинен
мати М.В.= 0,75 г;
Міжквартирні не несучі стіни та перегородки повинні мати М.В.
= 0,5 г та нульову межу розповсюдження вогню. В будівлях ІІІ С.В. м.б. між квартирні перегородки з межею
розповсюдження вогню до 40 см. п. 1.13 /1/;
Між кімнатні перегородки: (шафні, збірно-розбірні, з дверними
прорізами та розсувні) в будівлях усіх С.В. м.б. з горючих матеріалів. П. 1.13
/1/;
Приміщення громадського призначення, розташовані в підвальних
та цокольних поверхах повинні бути відділені від приміщень житлової частини
протипожежними перегородками І-го типу (0,75 г) та перекриттям 3-го типу (0,75
г) без прорізів з виходом назовні п. 1.46 (СНіП 2.08.01-89); лікарняні
приміщення п.б. відділені п/п стінами з М.В. 2,5 г. (СНіП 2.08.01-89);
Технічні, підвальні та цокольні поверхи п.б. розподілені на
відсіки F = 500 м2 в несекційних будівлях, а в секційних - по секціям
протипожежними перегородками І-го типу (0,75 г). В кожному відсіці (секції)
п.б. не менше 2-х вікон (люків) розміром 0,9х1,2 м. П. 1.45 /1/;
Приміщення розміщені в підвалах і призначені для розміщення
інженерного обладнання п.б. відокремлені від інших приміщень п/п перегородками
з М.В. 0,75 г. П. 2.4. /СНіП 2.01.02-85/;
Сміттєзбірна камера п.б. відокремлена від інших приміщень п/п
перегородками та перекриттям з М.В. = 1 г. Вона повинна мати самостійний вхід
ізольований від входу в будівлю глухою стіною. П. 1.54 /1/;
Сходові клітки та ліфтові холи п.б. відокремлені від інших
приміщень та поверхових коридорів дверима обладнаними само закриваючим
механізмом з ущільненням в притулках. П. 1.20 /1/;
Вхідні двері в квартири повинні бути металевими протиударними
і мати межу вогнестійкості не менше 0,6 години. Затверджені технічні умови
“Блоки дверні металеві протиударні з підвищеними теплотехнічними та
протипожежними якостями”. (Наказ Держбуду України №70 від 03.04.98 р., згідно
якого п. 1.20 СНіП 2.08.01-89 “Жилыездания” викладено в новій редакції).
.2 Природне освітлення приміщення ЖКГ
Природне і штучне освітлення, нормування
Природне і штучне освітлення в приміщеннях регламентується
нормами ДБН В.2.5-28-2006 залежно від характеристики зорової роботи, найменшого
розміру об'єкта розрізнення, розряду зорової роботи (І-VIII), системи
освітлення, характеристики фону, контрасту об'єкта розрізнення з фоном.
Об'єктрозрізнення - церозглядуваний
предмет, окремайогочастиначи дефект, якіпотрібнорозрізняти в процесі роботи.
Оцінка природного освітлення на
виробництвівнаслідокйогозмінзалежновід часу доби, пори року й атмосферних умов
проводиться у відноснихпоказниках - за допомогою коефіцієнта природної
освітленості КПО. Цей коефіцієнт і прийнято як нормовану величину.
На значення КПО впливають розмір і
конфігурація приміщення, розміри і розташування світлоприймачів, відбивна
здатність внутрішніх поверхонь приміщення та його затінюючих об'єктів. Залежно
від призначення приміщення і розташування в ньому світло прорізів КПО
нормується від 0,1 до 10%. Норми природнього освітлення приміщень встановлені
окремо (табл. 1ДБН В.2.5-28-2006):
• при верхньомуабоверхньому і бічному
освітленні;
• при бічному освітленні, як при
природньому, так і при сполученому. При односторонньому бічному освітленні
нормується мінімальне значення КПО на відстані 1 м відстібни, найбільш
віддаленої від вікна, а при двосторонньому боковому - в центрі приміщення.
У приміщеннях із верхнім чи
комбінованим освітленням нормується середнє значення КПО на робочій поверхні
(не ближче 1 м від стін). У побутових приміщеннях значення КПО має бути не
меншим, ніж 0,25%.
Освітлення нормується для кожного приміщення та робочого
місця, виходячи з умов зорової роботи. Згідно з ДБН В2.5-28 -2006 працівники,
що обслуговують системи енергозабезпечення громадської будівлі, виконують
зорову роботу малої точності (розряд зорової роботи -5). Для такого розряду
зорової роботи КПО становить 3% при природньому освітлені, верхньому або
комбінованому та 1,8% при суміщеному освітлені, верхньому або комбінованому.
Мінімальна освітленість від штучного освітлення при загальному освітленні
складає 200 люкс. Розрахунок природного освітлення приміщень полягає у
визначенні площі світлових отворів, необхідної для забезпечення нормативних
вимог до освітленості (коефіцієнта природної освітленості). Проводжу розрахунок
необхідної площі і кількості вікон для приміщення ІТП. Нормативне значення КПО е0для
роботи з ІТП складає 1,2 %. За місцевістю та орієнтацією в просторі світлових
отворів (Львів, Пн) знаходжу значення коефіцієнта світлового клімату, який
враховує особливості світлового клімату: m = 0,75
Розрахункове значення КПО визначається за формулою
н = е0 x mн = е0 x m = 1,2 х
0,75 = 0.9
Площа вікон при боковому освітленні визначається за допомогою
наступного співвідношення
=
0,9*1,4*1*13/(0,45*1,8 ) = 20.22
де Sв - площа світлових отворів (вікон чи ліхтарів), які є в
зовнішніх стінах освітлюваного приміщення
;
-
площа підлоги приміщення,
;
=
6 х 4 = 24 м2
=
0.9 - розрахункове значення КПО для заданого світлового клімату;
=
13,0 % - коефіцієнт світлової характеристики вікон при односторонньому
освітленні, глибині приміщення 4-1 =3, відношенні довжини приміщення до глибини
6/3=2,0 і відношенні глибини до висоти освітлювального отвору 3/(1,755+0,2)=1,53;
=
1,4 - коефіцієнт запасу; (для приміщень з чистим повітрям)
=1,8
коефіцієнт, що враховує підвищення КПО завдяки світлу відбитому від поверхонь.
-
загальний коефіцієнт світло пропускання вікна, який дорівнює
=
0,6 х 0,75 х 1,0 х 1 х 1,0 = 0,45
де
= 0,6 - коефіцієнтпропусканнясвітламатеріалом (скло
віконне, листове, армоване);
=
0,75 - коефіцієнт, якийвраховуєвтратисвітла в оправісвітловогоотвору
(металевіпалітурки);
=
1,0 - коефіцієнт, який враховує втрати в несучих конструкціях (гладка стеля);
=
1 - коефіцієнт, який враховує втрати в сонцезахисних пристроях (регульовані
жалюзі, що збираються в штори внутрішні);
=
1,0 - коефіцієнт, який враховує втрати в захисній сітці (відсутня);в=
20,22*24/100 4,85 м2
Визначення площі вікна.
S1 = 2,05 х 1,8 = 3,7 - площа одного вікна
Необхідна кількість вікон:
в = Sв / S1 = 4,85/ 3,7 =1,3шт
Приймаємо, що для забезпечення
нормативного рівня КПО при суміщеному природному односторонньому освітленні в
приміщенні ІТП слід обладнати 2 вікна розмірами 2,05 х 1,8 м.
.3 Ліфти, їх призначення,
устаткування, умови експлуатації
Ліфти призначені для переміщення людей та
вантажівміжповерхами. Вони поділяються на пасажирські, вантажопасажирські,
вантажні з провідником, вантажні без провідника, вантажні малі
вантажопідйомністю до 160 кг включно (площа підлоги кабіни - 0,9 м2,
висота - 1,0 м).
Основним нормативно-правовим документом, який
регламентує безпечну експлуатацію ліфтів є "Правила будови і безпечної
експлуатації ліфтів". Відповідно до цього документа перед пуском у роботу
ліфтивсіх типів, крім вантажних малих вантажопідйомністю до 160 кг включно,
підлягають реєстрації в органах Держнаглядохоронпраці (теперДержгірпромнагляд).
Цей же орган видає дозвіл щод експлуатації ліфта на підставі акта технічної
готовності та результатів первинного технічного опосвідчення. Періодичні
технічні опосвідчення проводяться не рідше ніж один раз на рік і включають
огляд, статичне та динамічне випробовування.
Відповідальність за технічний стан та безпечну
експлуатацію ліфтів покладаються наказом на особу з технічної адміністрації
підприємства, якій належить ліфт, або на особу зі спеціалізованої організації,
яка здійснює за договором нагляд за ліфтами.
Ліфти повинні бути оснащені запобіжними та
блокувальними пристроями. Найважливішими з таких пристроїв є: дверні контакти,
автоматичні дверні затвори, уловлювачі, кінцеві вимикачі, обмежувачі швидкості
та вантажопідйомності.
Двері ліфтової шахти повинні мати контакти, що
унеможливлюють пуск кабіни при відкритих дверях. Шахтні двері необхідно
забезпечити затворами, які автоматично закриваються при підійманні кабіни з
рівня даного поверху на будь-яку відстань і не відкриваються за відсутності кабіни
на даному поверсі.
Уловлювачі, якими оснащують ліфти, призначені для
утримання кабіни в шахті у випадку обриву чи послаблення канатів, а також при
збільшенні швидкості її руху вниз на 40 % і більше у порівнянні з номінальною.
Ліфти необхідно оснастити кінцевими вимикачами,
які призначені для автоматичної зупинки приводу ліфта у випадку переходу
кабіною верхнього чи нижнього крайнього положення більше ніж на 0,2 м.
Шахти ліфтів огороджуються з усіх сторін і на всю
висоту металевими листами товщиною не менше 1 мм чи металевою сіткою з
діаметром дроту 1,2 мм.
Ліфти, їх складові частини, прилади та пристрої
безпеки повинні відповідати вимогам цих Правил і чинних нормативних документів.
Оснащеність для виконання робітз монтажу, ремонту
та технічного обслуговування ліфтів повинна бути згідно з вимогами ДСТУ
36.1-009-99
Основні розміри ліфтів повинні відповідати:
- пасажирських класів I,
II, III і VI - вимогам ДСТУ ISO 4190-1:2001;
вантажних класу IV у
супроводі людей - вимогам ДСТУ ISO 4190-2:2001;
Пристрої керування,
сигналізації та додаткові пристрої повинні відповідати вимогам ДСТУ ISO
4190-5:2001.
Вантажопідйомність,
перевезення пасажирів та вантажів
Не дозволяється
перевезення в кабіні ліфта пасажирів і (або) вантажів загальною масою, яка
перевищує вантажопідйомність ліфта. У ліфта самостійного користування корисна
площа підлоги повинна визначатись залежно від його вантажопідйомності згідно з
табл.10.1.
Таблиця 10.1 Корисна
площа підлоги кабіни
|
Номінальне навантаження маса, кг
|
Максимальна внутрішня площа підлоги
кабіни,м2
|
Номінальне навантаження, маса,кг
|
Максимальна внутрішня площа підлоги
кабіни,м2
|
Номінальне навантаження,маса,кг
|
Максимальна внутрішня площа підлоги
кабіни,м2
|
|
100
|
0,37
|
630
|
1,66
|
1125
|
2,65
|
|
180
|
0,58
|
675
|
1,75
|
1200
|
2,80
|
|
225
|
0,70
|
750
|
1,90
|
1250
|
2,90
|
|
300
|
0,90
|
800
|
2,00
|
1275
|
2,95
|
|
375
|
1,10
|
825
|
2,05
|
1350
|
3,10
|
|
400
|
1,17
|
900
|
2,20
|
1425
|
3,25
|
|
450
|
1,30
|
975
|
2,35
|
1500
|
3,40
|
|
525
|
1,45
|
1000
|
2,40
|
1600
|
3,56
|
|
600
|
1,60
|
1050
|
2,50
|
2000
|
4,20
|
Устаткування ліфтів
Устаткування електричних
ліфтів з тяговим і жорстким приводом та гідравлічних ліфтів повинно відповідати
вимогам ДСТУ EN 81-1:2003 і ДСТУ EN 81-2:2003.
Двері шахти повинні
відповідати вимогам глави 7 ДСТУ EN 81-1:2003 та ДСТУ 81-2:2003.
Кабіна, противага і
балансувальний вантаж повинні відповідати вимогам глави 8 ДСТУEN81-1:2003 та
ДСТУ EN81-2:2003.
Підвісна система,
компенсація та обмеження швидкості електричних ліфтів повинні відповідати
вимогам глави 9 ДСТУ EN81-1:2003.
Підвісна система і засоби
проти вільного падіння, спуску з перевищеною швидкістю і сповзання кабін
повинні відповідати вимогам глави 9 ДСТУEN 81-2:2003.
Напрямні, буфери і
кінцеві вимикачі повинні відповідати вимогам глави 10 ДСТУ EN81-1:2003 та
ДСТУEN81-2:2003.
Привод повинен відповідати
вимогам глави 12 ДСТУ EN 81-1:2003 та ДСТУ EN 81-2:2003.
Електричне устаткування,
пристрої і електропроводка повинні відповідати вимогам глави 13 EN 81-1:2003 та
ДСТУ EN 81-2:2003 та мати пристрої безпеки, перелік яких наведений у додатку А
ДСТУ EN 81-1:2003 та ДСТУ EN 81-2:2003.
Дозволяється в режимі
"Ревізія" здійснювати рух кабіни під час шунтування вимикачів
контролювання зачинення і замикання дверей шахти контактом(ами) при виконанні
умов, зазначених у пункті 14.2.1.3 ДСТУ EN 81-1:2003 та ДСТУ EN 81-2:2003.
Мінімальний діаметр
тягових канатів повинен бути не менше:
8мм - для ліфта, в якому
дозволяється транспортування людей;
6мм - для ліфта, в якому
не дозволяється транспортування людей.
Діаметр каната, який
приводить у дію обмежувача швидкості, повинен бути не менше 6мм.
Для з'єднання противаги з
кабіною канатами, які огинають напрямні блоки, обминаючи лебідку, кількість
окремих канатів, на яких необхідно підвішувати противагу, крім противаги
вантажного малого ліфта, повинно бути не менше двох. У вантажного малого ліфта
в указаному випадку дозволяється підвішувати противагу на одному канаті.
Кількість канатів ліфту показано в табл.10.2.
Таблиця 10.2 Кількість
окремих канатів ліфту
|
Вид ліфта
|
Тип лебідки
|
|
барабанна
|
з канатотяговим шківом
|
|
Кількість окремих канатів,не менше
|
|
В якому дозволяється транспортування
людей
|
2
|
3
|
|
В якому не дозволяється транспортування
людей,крім вантажно малого
|
2
|
2
|
|
Вантажно малий
|
1
|
2
|
Перелік запобіжних комплектувальних виробів:
· пристрої для
блокування дверей шахти.
· пристрої для
запобігання падінню кабіни та не контрольованому руху вгору;
· пристрої, що
обмежують швидкість;
· буфери
(амортизатори) енергонакопичувального типу нелінійні або з гасінням зворотного
руху (пружинні буфери, пружинні накладки);
· буфери (амортизатори)
енергорозсіювального типу (гідравлічні буфери, буфери тертя);
· запобіжні
пристрої, які монтуються до затискачів гідравлічних силових систем, якщо вони
служать для запобігання падінню;
· електричні
пристрої у вигляді запобіжних вимикачів.
Розрахунок силового
навантаження ліфтів будинків
Визначаємо навантаження ліфтів житлового будинку №11, коли
відомо, що будинок має 3 під'їзди, 9 поверхів і 105 квартир.
Розв'язання.
Визначаємо силове навантаження житлового будинку з
урахуванням того,що як силове навантаження використовуються ліфти відповідно до
рекомендацій табл.7 Додатку:
Рсил = ∑Рл * Кпл = 3 * 0,8 = 2,4 кВт,
де Рл - встановлена потужність електродвигуна кожного з
ліфтів за паспортом, кВт;
Кпл-коефіцієнт попиту для ліфтів, що визначається з табл. 4
додатку, залежно від кількості ліфтових установок і кількості поверхів будинку;
Визначаємо реактивне навантаження ліфтів:
сил=Рсил*tgцс= 2,4 * 1,17 = 2,8 кВар,
де tgцс- знаходимо з табл. 2 додатку.
Визначаємо повне силове навантаження ліфтів:
сил=√Рсил2+Qсил2=√2,42
+ 2,82 = 3,69 кВА
Знаходимо струм лінії:
І л =Sсил/
*Uн*nл=
3,69 /
*0,4*3)=
1.8 А
де n - кількість ліній, що живлять ТП.
Визначаємо переріз ліній:
л=І л/Jек= 1,8 /1,4= 2,5 мм
деJек - економічна густина струму (додаток, таблиця
9).
СПИСОК ЛІТЕРАТУРИ
1.Эффективное энергоиспользование и
альтернативнаяэнергетика/ А.И. Криволапое, И. Классен, Э.П. Островский, В.Ф.
Резцов, И.И. Стоянова: Под ред. А.К. Шидловского- К.: Українські енциклопедичні
знання, 2000.
. Гительман Л.Д., Мардер Л.И., Мызин А.Л. Разработка
направлений и исследование эффективности использованиепотенциала
энергосбережения в энергоснабжающей системе Екатеринбургской области// В кн.:
Формирование рыночных отношений в энергетике. - Коми: Научный центр УрОРАН,
1994.
. ПУЕ Главы 1.1-1.6,1.8. ПУЭ-86 (шестоеиздание,
переработанное и дополненное). Министерствоэнергетики и электрификации СССР,
1986 г.
. Зеркалов Д.В. Правова основа енергозбереження.
Довідник. К.: Дакор, КНТ, 2008. (Серия Енергозбереження в Україні).
.Эффективное энергоиспользование и
альтернативнаяэнергетика/ А.И. Криволапое, И. Классен, Э.П. Островский, В.Ф.
Резцов, И.И. Стоянова: Под ред. А.К. Шидловского- К.: Українські енциклопедичні
знання, 2000.
. ГНД34.09.104-2003 Методика складання структури
балансу електроенергії в електричних мережах0,38-150 кВ, аналізу його складових
і нормування технологічних витрат електроенергії.
7. ДБН В.2.5-23:2010
Проектування електрообладнанняоб'єктів цивільного призначення.
8. ДБН В.2.6-31:2006 Теплова ізоляція
будівель.
ДОДАТКИ
Таблиця 1. Енергетична класифікація будинків
|
Класи енергетичної ефективності будівлі
|
Різниця у % розрахункового або фактичного значення
питомих тепловтрат, qбуд, від максимально допустимого значення,
Еmax, [(qбуд-Еmax) / Еmax]•100%
|
|
A
|
Мінус 50 та менше
|
|
B
|
Від мінус 49 до мінус 10
|
|
C
|
Від мінус 9 до плюс 5
|
|
D
|
Від плюс 6 до плюс 25
|
|
E
|
Від плюс 26 до плюс 75
|
|
F
|
Плюс 76 та більше
|
Таблиця 2. Значення розрахункових коефіцієнтів потужності cos
ф і реактивного навантаження tg ф житлових будинків
|
Лінія живлення
|
Розрахунковий коефіцієнт
|
|
потужності С08 9
|
реактивного навантаженняtg 9
|
|
Квартири з електричними плитами та без побутових
кондиціонерів повітря
|
0,98
|
0,20
|
|
Квартири з електричними плитами і побутовими
кондиціонерами повітря
|
0,93
|
0,40
|
|
Квартири з плитами на природному, зрідженому газі,
на твердому паливі
|
0,96
|
0,29
|
|
Квартири з плитами на природному, зрідженому газі,
твердому паливі та з побутовими кондиціонерами повітря
|
0,92
|
0,43
|
|
Загальнобудинкове освітлення: - з лампами розжарювання; - з люмінесцентними лампами
|
1,00 0,92
|
0,00 0,43
|
|
Господарські насоси, вентиляційні установки та інші
санітарно-технічні пристрої
|
0,80
|
0,75
|
|
Ліфти
|
0,65
|
1,17
|
|
Примітка 1. Коефіцієнт потужності лінії, яка живить
один електродвигун, приймається за каталожними даними цього двигуна. Примітка
2. Коефіцієнт потужності групових ліній освітлення з розрядними лампами
приймають згідно з 3.35.
|
Таблиця 3. Коефіцієнти попиту для розрахунку навантажень
робочого освітлення мережі і вводів громадських, адміністративних і побутових
будинків
|
Організації, підприємства та установи
|
Кпоп залежно від установленої потужності
робочого освітлення, кВт
|
|
10
|
15
|
25
|
50
|
100
|
200
|
400
|
Понад 500
|
|
Готелі, спальні корпуси й адміністративні приміщення
санаторіїв, будинків відпочинку, пансіонатів, турбаз, дитячих таборів;
побутові будинки промпідприємств
|
0,80
|
0,70
|
0,60
|
0,50
|
0,40
|
0,35
|
0,30
|
0,30
|
|
Підприємства громадського харчування, дитячі
ясла-садки, навчально-виробничі майстерні профтехучилищ
|
0,90
|
0,85
|
0,80
|
0,75
|
0,70
|
0,65
|
0,60
|
0,50
|
|
Організації і установи управління, адміністративні
будинки промпідприємств, установи фінансування, кредитування і страхування,
загальноосвітні школи, спеціальні навчальні заклади, навчальні корпуси
профтехучилищ, підприємства побутового обслуговування, торгівлі, перукарні
|
0,95
|
0,90
|
0,85
|
0,80
|
0,75
|
0,70
|
0,65
|
0,60
|
|
Проектні, конструкторські організації,
науково-дослідні інститути
|
1,00
|
0,95
|
0,90
|
0,85
|
0,80
|
0,75
|
0,70
|
0,65
|
|
Актові зали, конференц-зали (освітлення залу і
президії), спортзали, культові будинки і споруди
|
1,00
|
1,00
|
1,00
|
1,00
|
1,00
|
-
|
-
|
-
|
|
Клуби і будинки культури
|
0,90
|
0,80
|
0,75
|
0,70
|
0,65
|
0,55
|
-
|
-
|
|
Кінотеатри
|
0,90
|
0,80
|
0,70
|
0,65
|
0,60
|
0,50
|
-
|
-
|
|
Примітка. Коефіцієнт попиту для встановленої
потужності робочого освітлення, не зазначеної у таблиці, визначається
інтерполяцією.
|
Таблиця 4. Коефіцієнти попиту для будинків з ліфтами
|
Кількість ліфтових установок
|
К„опя - Для будинків заввишки
|
|
до 12 поверхів
|
12 і більше поверхів
|
|
2-3
|
0,80
|
0,90
|
|
4-5
|
0,70
|
0,80
|
|
6
|
0,65
|
0,75
|
|
10
|
0,50
|
0,60
|
|
20
|
0,40
|
0,50
|
|
25 і більше
|
0,35
|
0,40
|
|
Примітка. Коефіцієнт попиту при кількості ліфтових
установок, не вказаної в таблиці, визначається інтерполяцією.
|
Таблиця 5. Допустимий тривалий струм для кабелів і шнурів з
гумовою і полівінілхлоридною ізоляцією з мідними жилами
|
Переріз струмопровідної жили, мм2
|
відкрито
|
Струм, А, для кабелів, прокладених в одній трубі
|
|
|
Двох одножильних
|
Трьох одножил
|
Чотирьох одножил
|
Одного двожильного
|
Одного трьохжильного
|
|
0,5
|
11
|
-
|
-
|
-
|
-
|
-
|
|
0,75
|
15
|
-
|
-
|
-
|
-
|
-
|
|
1
|
17
|
16
|
15
|
14
|
15
|
14
|
|
1,2
|
20
|
18
|
16
|
15
|
16
|
14,5
|
|
1,5
|
23
|
19
|
17
|
16
|
18
|
15
|
|
2
|
26
|
24
|
22
|
20
|
23
|
19
|
|
2,5
|
30
|
27
|
25
|
25
|
25
|
21
|
|
3
|
34
|
32
|
28
|
26
|
28
|
24
|
|
4
|
41
|
38
|
35
|
30
|
32
|
27
|
|
5
|
46
|
42
|
39
|
34
|
37
|
31
|
50
|
46
|
42
|
40
|
40
|
34
|
|
8
|
62
|
54
|
51
|
46
|
48
|
43
|
|
10
|
80
|
70
|
60
|
50
|
55
|
50
|
|
16
|
100
|
85
|
80
|
75
|
80
|
70
|
|
25
|
140
|
115
|
100
|
90
|
100
|
85
|
|
35
|
170
|
135
|
125
|
115
|
125
|
100
|
|
50
|
215
|
185
|
170
|
150
|
160
|
135
|
|
70
|
270
|
225
|
210
|
185
|
195
|
175
|
|
95
|
330
|
275
|
255
|
225
|
245
|
215
|
|
120
|
385
|
315
|
290
|
260
|
295
|
250
|
|
150
|
440
|
360
|
330
|
-
|
-
|
-
|
|
185
|
510
|
-
|
-
|
-
|
-
|
|
|
|
240
|
605
|
-
|
-
|
-
|
-
|
-
|
|
300
|
695
|
-
|
-
|
-
|
-
|
-
|
|
400
|
830
|
-
|
-
|
-
|
-
|
|
|
Таблиця 6. Допустимий тривалий струм для кабелів з
алюмінієвими жилами з паперовою просоченою оливоканіфольною і нестікаючими
масами ізоляцією в свинцевій або алюмінієвій оболонці, що прокладаються в землі
|
Переріз струмопровідної жили, мм2
|
Струм, А, для кабелів
|
|
одножильних до 1 кВ
|
двожильних до 1 кВ
|
трьохжильних напругою, кВ
|
чотирижильних до 1 кВ
|
|
|
|
До 3
|
6
|
10
|
|
|
6
|
-
|
60
|
55
|
-
|
-
|
-
|
|
10
|
110
|
80
|
75
|
60
|
-
|
65
|
|
16
|
135
|
ПО
|
90
|
80
|
75
|
90
|
|
25
|
180
|
140
|
125
|
105
|
90
|
115
|
|
35
|
220
|
175
|
145
|
125
|
115
|
135
|
|
50
|
275
|
210
|
180
|
155
|
140
|
165
|
|
70
|
340
|
250
|
220
|
190
|
165
|
200
|
|
95
|
400
|
290
|
260
|
225
|
205
|
240
|
|
120
|
460
|
335
|
300
|
260
|
240
|
270
|
|
150
|
520
|
385
|
335
|
300
|
275
|
305
|
|
185
|
580
|
-
|
380
|
340
|
310
|
345
|
|
240
|
675
|
-
|
440
|
390
|
355
|
-
|
|
300
|
770
|
-
|
-
|
-
|
-
|
-
|
|
400
|
940
|
-
|
-
|
-
|
-
|
-
|
|
500
|
1080
|
-
|
-
|
-
|
-
|
-
|
|
625
|
1170
|
-
|
-
|
-
|
-
|
|
|
800
|
1310
|
-
|
-
|
-
|
-
|
|
Таблиця 7. Розрахункові значення коефіцієнтів тепловіддачі
внутрішньої, бв, та зовнішньої, бз, поверхонь
огороджувальних конструкцій
|
Тип конструкції
|
Коефіцієнт тепловіддачі, Вт/(м2 К)
|
|
бв
|
бз
|
|
Зовнішні стіни, дахи, покриття, перекриття над проїздами
плоскі та з ребрами при відношенні висоти ребра h до відстані між гранями b
сусідніх ребер h/b ≤ 0,3 h/b> 0,3
|
8,7 7,6
|
23 23
|
|
Перекриття горищ та холодних підвалів
|
8,7
|
12
|
|
Перекриття над холодними підвалами та технічними
поверхами, що розташовані нижче рівня землі
|
8,7
|
6
|
|
Вікна, балконні двері, вітражі та світлопрозорі
фасадні системи
|
8,0
|
23
|
|
Зенітні ліхтарі
|
9,9
|
23
|
Таблиця 8. Мінімально допустиме значення опору теплопередачі
огороджувальної конструкції житлових та громадських будинків (Rqmin)
|
№ поз.
|
Вид огороджувальної конструкції
|
Значення Rqmin, м2 ·К/Вт,
для температурної зони
|
|
|
І
|
ІІ
|
|
1
|
Зовнішні стіни
|
3,3
|
2,8
|
|
2
|
Суміщені покриття
|
5,35
|
4,9
|
|
3
|
Горищні покриття та перекриття неопалювальних горищ
|
4,95
|
4,5
|
|
4
|
Перекриття над проїздами та неопалювальними
підвалами
|
3,75
|
3,3
|
|
5
|
Світлопрозорі огороджувальні конструкції
|
0,75
|
0,6
|
|
6
|
Вхідні двері в багатоквартирні житлові будинки та в
громадські будинки
|
0,5
|
0,45
|
|
7
|
Вхідні двері в малоповерхові будинки та в квартири,
що розташовані на перших поверхах багатоповерхових будинків
|
0,65
|
0,6
|
Таблиця 9. Економічна густина струму jек, А/мм2