Кавитационные явления
Аннотация
В данной работе рассматривается кавитация, как
явление, её положительные и отрицательные свойства. Проведён анализ
кавитационного воздействия на жидкость. Показано, что кавитация существенно
влияет на технологические процессы. Приведён пример зависимости качественных
параметров насосов российских и зарубежных аналогов от кавитационного
коэффициента быстроходности.
Введение
Приведён литературный обзор явления кавитация. В
последнее время все больше появляется критических статей, в которых раскрывают
как полезные, так и вредные качества этого явления. В предложенной работе
рассматривается влияние кавитации на технологические процессы. Кавитация
является гидродинамическим явлением и зависит от гидродинамических качеств
рабочих органов машины и физических свойств жидкости. В центробежном насосе
кавитация может возникнуть как на движущихся, так и на неподвижных элементах
проточной части и она сопровождается признаками, отрицательно сказывающимися на
работе насоса. Основными задачами этой работы является анализ проявления
кавитационных явлений в технологических процессах и выявление положительных и
отрицательных сторон кавитации.
1. Кавитация как явление
Кавитация - это нарушение сплошности жидкости,
которое происходит в тех участках потока, где давление, понижаясь, достигает
некоторого критического значения. Этот процесс сопровождается образованием
большого числа пузырьков, наполненных преимущественно парами жидкости, а также
газами, выделившимися из раствора. Находясь в области пониженного давления,
пузырьки увеличиваются и превращаются в большие пузыри-каверны. Затем они
уносятся потоком в область с давлением выше критического, где разрушаются
практически бесследно вследствие конденсации заполняющего их пара. Таким
образом, в потоке создается довольно четко ограниченная кавитационная зона,
заполненная движущимися пузырьками.
Физический процесс кавитации
близок процессу закипания жидкости. Основное различие между ними заключено в
том, что при закипании изменение фазового состояния жидкости происходит при
среднем по объёму жидкости давлении равном давлению насыщенного пара, тогда как
при кавитации среднее давление жидкости выше давления насыщенного пара, а
падение давления носит локальный характер.
В настоящее время широко
распространена теория о существовании в любом объеме реальной жидкости своего
рода “слабых мест” или “ядер” кавитации, характерной особенностью которых
является наличие в них нерастворившегося газа. Было сделано достаточно много
предположений о возможном строении таких ядер кавитации. Интересная гипотеза
была высказана в 1945 г. В соответствии с этой гипотезой ядра кавитации
представляют собой твердые частицы гидрофобного вещества с трещинами,
содержащими нерастворившийся газ. По мнению других авторов, ядрами кавитации
являются мельчайшие пузырьки нерастворившегося газа, защищенные сферической
оболочкой из органических веществ. Эта идея основана на предположении, что если
в жидкости имеется даже очень малое количество органических примесей, то это
должно повлечь за собой адсорбцию этих примесей на поверхности газового
пузырька с образованием на ней органического мономолекулярного слоя. Наличие
такого слоя существенно снижает силы поверхностного натяжения на границе
взаимодействия жидкости и газа, препятствует диффузии газа в окружающую жидкость
и обеспечивает пузырьку дополнительную прочность. Этот газ всегда содержится в
жидкости, и при местном снижении давления начинает интенсивно выделяться внутрь
кавитационных пузырьков.
Поскольку под воздействием
переменного местного давления жидкости пузырьки могут резко сжиматься и
расширяться, то температура газа внутри пузырьков колеблется в широких
пределах, и может достигать нескольких сот градусов по Цельсию. Имеются
расчётные данные, что температура внутри пузырьков может достигать 1500 градусов
Цельсия. Следует также учитывать, что в растворённых в жидкости газах
содержится больше кислорода в процентном отношении, чем в воздухе, поскольку
максимум деаэрации приходится на минимум статического давления и максимум
температуры в системе, Воздух, растворенный в воде содержит приблизительно 35,6
% кислорода по сравнению с 21% долей в обычном воздухе, и поэтому газы в
пузырьках при кавитации химически более агрессивны, чем атмосферный воздух.
Образование кавитационной зоны
хорошо демонстрируются на примере протекания жидкости через трубу с местным
сужением (расходомер Вентури, сопло). Возрастание скорости течения в сжатом
сечении обусловливает уменьшение статического давления на этом участке.
Постепенное увеличение расхода жидкости приводит к тому, что при достаточно
большой скорости течения давление в месте сужения падает до критического
значения и возникает кавитация.
Подводя некоторый итог всему
изложенному, можно отметить, что имеется три группы факторов, влияющих на
возникновение и последующее развитие кавитации:
) загрязнение жидкости,
образующее ядра кавитации и определяющее их число;
) физические свойства жидкости;
) гидродинамические
характеристики потока.
. Кавитация в лопастных насосах
Нормальный рабочий процесс
лопастных насосов сопровождается уменьшением давления и образованием в
элементах проточной части зон, давление в которых может достигать критического
значения с точки зрения возникновения кавитации.
Кроме того, в центробежных
насосах может происходить дополнительное, не предусмотренное рабочим процессом
понижение давления, что в значительной мере увеличивает опасность возникновения
кавитации. Это понижение может носить общий характер или быть вызвано какими-то
местными изменениями в потоке.
Причинами общего падения
давления могут быть:
) уменьшение абсолютного
давления в системе, связанное с повышением высоты местности или вызванное
особенностями эксплуатации насоса (например, в случае забора жидкости из
резервуара, находящегося под разрежением);
) увеличение геометрической
высоты всасывания сверх рекомендуемой;
) возрастание давления
насыщенных паров вследствие увеличения температуры перекачиваемой жидкости;
) добавочные потери энергии во
всасывающей линии насоса, вызванные, например, засорением входного устройства.
Местное снижение давления может
происходить в результате одной из следующих причин:
) увеличение скорости течения
жидкости вследствие сжатия потока;
) отклонения линий тока от их
нормальной траектории при повороте потока или при обтекании выступающих
элементов;
) отрыва потока от направляющих
поверхностей;
)неровности и шероховатости
обтекаемых поверхностей;
) динамического взаимодействия
потоков в областях сопряжения нескольких направляющих поверхностей;
) пульсаций давления в
турбулентных струях (следах) за отдельными рабочими элементами;
) наличия вторичных потоков в
различных зазорах и щелях между вращающимися и неподвижными элементами.
Как правило, зона кавитации
наблюдается вблизи зоны всасывания, где жидкость встречается с лопастями
насоса. Вероятность возникновения кавитации тем выше
§ чем ниже давление на входе в
насос;
§ чем
выше скорость движения рабочих органов относительно жидкости;
§ чем
более неравномерно обтекание жидкостью твердого тела (высокий угол атаки
лопасти, наличие изломов, неровностей поверхности и т. п.)
У классических центробежных
насосов часть жидкости из области высокого давления проходит через щель между
рабочим колесом и корпусом насоса в зону низкого давления. Когда насос работает
с существенным отклонением от расчетного режима в сторону повышения давления
нагнетания, расход утечек через уплотнение между рабочим колесом и корпусом
возрастает (из-за увеличения перепада давления между полостями всасывания и
нагнетания). Из-за высокой скорости жидкости в уплотнении возможно появление
кавитационных явлений, что может привести к разрушению рабочего колеса и
корпуса насоса. Как правило, в бытовых и промышленных случаях режим кавитации в
рабочем колесе насоса возможен при резком падении давления в системе отопления
или водоснабжения: например, при разрыве трубопровода, калорифера или
радиатора. При резком падении давления в зоне рабочего колеса насоса образуется
вакуум, вода при низком давлении начинает вскипать. При этом напор резко
падает. Режим кавитации приводит к эрозии рабочего колеса насоса, и насос
выходит из строя.
Возникновение кавитации
непосредственно связано с высотой всасывания лопастного насоса. Перед пуском
насоса в работу всасывающий трубопровод должен быть заполнен водой. Необходимым
условием отсутствия кавитации в насосе является:

(1.1)
где Pн.п.
- давление насыщенного пара.
Превышение
удельной энергии жидкости при входе в насос над удельной энергией паров этой
жидкости, приведенное к центру тяжести входного сечения, называется
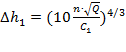
кавитационным запасом ∆h (м).
Рудневым
С.С. Была предложена формула для определения минимального кавитационного запаса
в первом критическом режиме:

(1.2)
Коэффициент
С1 изменяется в зависимости от формы входной кромки лопастей, их
кривизны, шероховатости поверхности и размеров насоса. В расчетах уменьшение С1
иногда определяют в зависимости от изменения гидравлического к.п.д.
Иногда
допускают работу насоса во втором критическом режиме.
В настоящее время производят огромное количество
насосов самых различных типов. Для сравнения различных типов насосных колес в
теории центробежных насосов применяют коэффициент быстроходности ns
, который позволяет объединять различные колеса в группы по признаку их
геометрического подобия. Коэффициент быстроходности определяют по формуле при
оптимальном режиме работы насоса, т.е. при максимальном значении КПД. Следует
иметь в виду, что он является размерной величиной, но на практике этот коэффициент
принято считать условно безразмерным и его размерность обычно не указывается.

(1.3)
Коэффициент быстроходности является
показателем, определяющим форму рабочего колеса, соотношение его основных
размеров и, в значительной мере, вид энергетических характеристик насоса.
Отсюда следует, что коэффициент 
может быть использован и для
сравнения между собой кавитационных качеств насосов различных типов. Обычно
применяют следующую классификацию рабочих колес центробежных насосов:
) тихоходные, ns = 50-100;
) нормальные, ns = 100-200;
) быстроходные, ns = 200-350.
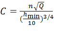
С.С. Руднев предложил исключить
напор из числа факторов, определяющих кавитационные качества насоса, и ввел
новый критерий, вытекающий из выяснений условий подобия при кавитации.

(1.4)
Формула
1.4 может быть представлена как:

(1.5)
и в таком виде она совпадает по
форме с выражением для определения коэффициента быстроходности ns.
Различие заключается лишь в том, что вместо напора H
в нее входит кавитационный запас hmin
Это сходство формы уравнений привело к тому, что постоянную C
называют кавитационным коэффициентом быстроходности.
Г. Вислиценус, Р. Ватсон и И.
Карасик подтвердили правильность
предложения
С.С. Руднева, получив
аналогичную формулу исходя из связи удельной частоты вращения насоса и
коэффициента кавитации Тома.
Экспериментальная проверка
показала правомерность предложенного критерия и практическую пригодность его
для оценки кавитационных качеств. Полученные при этом значения постоянной C для
насосов с различным коэффициентом быстроходности приведены в таблице 1.1:
Таблица 1.1 - Значения
постоянной C для насосов с
различным коэффициентом быстроходности.
|
ns
|
…
50-70
|
70-80
|
80-150
|
150-200
|
|
С
|
…600-700
|
800
|
800-1000
|
1000-2000
|
Для насосов некоторых специальных
конструкций, в частности с предвключенным осевым колесом, постоянная достигает
очень высоких значений: C=2500÷3000.
В качестве примера рассмотрим
зависимости КПД и кавитационных качеств нескольких типоразмеров отечественных и
зарубежных центробежных насосов.
|
Типоразмер
насоса
|
Q,
м3/ч
|
H,
м
|
n,(об/мин)
|
кпд,
%
|
∆h, м
|
ns
|
c
|
D0
|
|
B-NM65/160A/A
|
60
|
37
|
2900
|
68
|
4
|
91
|
744
|
81
|
|
B-NMS80/200B/A
|
90
|
55
|
2900
|
65
|
4,2
|
83
|
878
|
92
|
|
B-NM80/160B/A
|
90
|
33
|
2900
|
65
|
4,2
|
122
|
878
|
92
|
|
B-NMS100/200E
|
100
|
30
|
2900
|
65
|
5
|
138
|
812
|
96
|
|
B-NMS100/200D
|
100
|
36
|
2900
|
65
|
5
|
120
|
812
|
96
|
|
B-NM100/200C
|
100
|
45
|
2900
|
65
|
5
|
102
|
812
|
96
|
|
B-NM65/200A/A
|
50
|
56
|
2900
|
56
|
4,5
|
61
|
76
|
Таблица 1.3 - КПД и
кавитационные качества нескольких типоразмеров отечественных центробежных
насосов.
|
Типоразмер
насоса
|
Q,
м3/ч
|
H,
м
|
n,(об/мин)
|
кпд,
%
|
∆h, м
|
ns
|
c
|
D0
|
|
КМЛ2
100/120
|
60
|
50
|
2900
|
65
|
3,8
|
73
|
773
|
81
|
|
КМЛ2
100/140
|
90
|
18
|
2900
|
68
|
3,5
|
192
|
1007
|
92
|
|
КМЛ2
100/160
|
90
|
20
|
2900
|
68
|
3,5
|
177
|
1007
|
92
|
|
КМЛ2
100/180
|
100
|
38
|
2900
|
70
|
3,8
|
115
|
998
|
96
|
|
КМЛ2
100/200
|
100
|
44
|
2900
|
70
|
3,8
|
103
|
998
|
96
|
|
КМЛ
80-80-200б
|
100
|
32
|
2900
|
75
|
4
|
131
|
960
|
96
|
|
КМЛ
80-80-200
|
50
|
50
|
2900
|
73
|
66
|
803
|
76
|
Таблица 1.4 - КПД и
кавитационные качества нескольких типоразмеров американских центробежных
насосов.
|
Типоразмер
насоса
|
Q,
м3/ч
|
H,
м
|
n,(об/мин)
|
кпд,
%
|
∆h, м
|
ns
|
c
|
D0
|
|
L3DF4-1-1/4
|
60
|
28
|
2900
|
63
|
3,8
|
73
|
773
|
81
|
|
L5DF4-1-1/4
|
90
|
23
|
2900
|
65
|
3,5
|
192
|
1007
|
92
|
|
L7DF4-1-1/4
|
90
|
35
|
2900
|
68
|
3,5
|
177
|
1007
|
92
|
|
TL35D54-1-1/4
|
100
|
30
|
2900
|
55
|
3,8
|
115
|
998
|
96
|
|
TL37DF4-1-1/4
|
100
|
28
|
2900
|
60
|
3,8
|
103
|
998
|
96
|
|
XL5DF4-1-1/4
|
100
|
20
|
2900
|
63
|
4
|
131
|
960
|
96
|
|
XL7DF4-1-1/4
|
50
|
38
|
68
|
3,2
|
66
|
803
|
76
|
Где Q
-подача насоса в оптимальном режиме (м3/с)
H - напор насоса в
оптимальном режиме (м)
n - частота вращения
насоса (об/мин)
D0-
расчетный диаметр входа в колесо, рассчитываемый по формуле
∆h - кавитационный запас
в оптимальном режиме
ns-
коэффициент быстроходности
С -
кавитационный коэффициент быстроходности.
По данным таблиц 1.2, 1.3, 1.4
построим график зависимости к.п.д. от коэффициента быстроходности
Рисунок 1 - Оценка уровня к.п.д. и
коэффициента быстроходности для D0 =70-100 мм
На графике рис.1 даны значения
к.п.д. нескольких итальянских, отечественных и американских консольных
моноблочных линейных центробежных насосов с одинаковой частотой вращения и
подачей насоса в зависимости от коэффициента быстроходности для диапазона
размеров 
= 70-100 мм. Видно, что к.п.д.
данных насосов приближаются к наивысшим достигнутым значениям. Следовательно,
эти насосы можно выбирать в качестве аналогов для проектирования насосов.
Относительно представленного графика отечественные насосы более выгодны, чем
зарубежные. Насосы из примера относятся к средним.
Аналогично
рассмотрим график зависимости к.п.д. от кавитационного коэффициента
быстроходности на рис.2, который вычисляется для оптимального режима работы
центробежного насоса, т.е. при подаче и напоре, которые соответствуют
максимальному к.п.д. насоса.
Рисунок 2 - Оценка уровня к.п.д. и
кавитационных качеств насоса для D0 =70-100 мм
Зависимость, показанная на рис.3 составлена для
выбранных насосов к.п.д. которых на несколько единиц ниже наивысшего для
соответствующих размеров D0.
Однако можно сказать, что при модернизации
указанных в примере насосов с соответствующей подачей и напором нужно
стремиться к к.п.д. 80-90 %.
Пользуясь приведенными выше данными, можно из
многих предлагаемых более обоснованно выбрать наиболее экономичный насос,
обеспечивающий снижение себестоимости продукции, которая вырабатывается с
помощью насоса. Это облегчит проблемы энергоснабжения и энергосбережения.
Рисунок 3 - Кавитационные качества
насосов
При этом не стоит забывать о надежности насоса
(различные материалы, технология, качество сборки, обслуживание), а также то,
что насос работает в динамически изменяемой системе трубопроводов, задвижек,
клапанов. Чем ближе характеристика системы будет к оптимальной зоне
характеристики насоса, и большее количество времени насос будет работать в этой
зоне, тем больше будет сэкономлено.
. Положительные и отрицательные качества
кавитации
Химическая агрессивность газов
в пузырьках, имеющих к тому же высокую температуру, вызывает эрозию материалов,
с которыми соприкасается жидкость, в которой развивается кавитация. Эта эрозия
и составляет один из факторов вредного воздействия кавитации. Второй фактор
обусловлен большими забросами давления, возникающими при схлопывании пузырьков
и воздействующими на поверхности указанных материалов.
Поэтому кавитация во многих
случаях нежелательна. Например, она вызывает разрушение гребных винтов судов,
рабочих органов насосов, гидротурбин и т. п., кавитация вызывает шум, вибрации
и снижение эффективности работы.
Когда схлопываются
кавитационные пузыри, энергия жидкости сосредотачивается в очень небольших
объемах. Тем самым, образуются места повышенной температуры и возникают ударные
волны, которые являются источниками шума. Шум, создаваемый кавитацией, является
особой проблемой на подводных лодках (субмаринах), так как из-за шума их могут
обнаружить. При разрушении каверн освобождается много энергии, что может
вызвать повреждения. Эксперименты показали, что вредному, разрушительному
воздействию кавитации подвергаются даже химически инертные к кислороду вещества
(золото, стекло и др.), хотя и намного более медленному. Это доказывает, что
помимо фактора химической агрессивности газов, находящихся в пузырьках, важным
является также фактор забросов давления, возникающих при схлопывании пузырьков.
Кавитация ведёт к большому износу рабочих органов и может значительно сократить
срок службы винта и насоса. В метрологии, при использовании ультразвуковых
расходомеров, кавитационные пузыри модулируют волны, излучаемые расходомером,
что приводит к искажению его показаний.
Хотя кавитация нежелательна во
многих случаях, есть исключения. Например, сверхкавитационные торпеды, используемые
военными, обволакиваются в большие кавитационные пузыри. Существенно уменьшая
контакт с водой, эти торпеды могут передвигаться значительно быстрее, чем
обыкновенные торпеды. Так сверхкавитационная торпеда “Шквал”, в зависимости от
плотности водной среды, развивает скорость до 500 км/ч. Кавитация используется
при ультразвуковой очистке поверхностей твёрдых тел. Специальные устройства
создают кавитацию, используя звуковые волны в жидкости. Кавитационные пузыри,
схлопываясь, порождают ударные волны, которые разрушают частицы загрязнений или
отделяют их от поверхности. Таким образом, снижается потребность в опасных и
вредных для здоровья чистящих веществах во многих промышленных и коммерческих
процессах, где требуется очистка как этап производства.
В промышленности кавитация
часто используется для гомогенизации (смешивания) и отсадки взвешенных частиц в
коллоидном жидкостном составе, например, смеси красок или молоке. Многие
промышленные смесители основаны на этом принципе. Обычно это достигается благодаря
конструкции гидротурбин или путём пропускания смеси через кольцевидное
отверстие, которое имеет узкий вход и значительно больший по размеру выход:
вынужденное уменьшение давления приводит к кавитации, поскольку жидкость
стремится в сторону большего объёма. Этот метод может управляться
гидравлическими устройствами, которые контролируют размер входного отверстия,
что позволяет регулировать процесс работы в различных средах. Внешняя сторона
смесительных клапанов, по которой кавитационные пузыри перемещаются в
противоположную сторону, чтобы вызвать имплозию (внутренний взрыв),
подвергается огромному давлению и часто выполняется из сверхпрочных или жестких
материалов, например, из нержавеющей стали, стеллита или даже
поликристаллического алмаза (PCD).
Также были разработаны
кавитационные водные устройства очистки, в которых граничные условия кавитации
могут уничтожить загрязняющие вещества и органические молекулы. Спектральный
анализ света, испускаемого в результате сонохимической реакции, показывает
химические и плазменные базовые механизмы энергетической передачи. Свет,
испускаемый кавитационными пузырями, называется сонолюминесценцией.
Кавитационные процессы имеют высокую разрушительную силу, которую используют
для дробления твердых веществ, которые находятся в жидкости. Одним из
применений таких процессов является измельчение твердых включений в тяжёлые
топлива, что используется для обработки котельного топлива с целью увеличения
калорийности его горения.
4. Пути предотвращения
кавитации
Уменьшить вредное влияние кавитации можно
впуском воздуха во всасывающий трубопровод, увеличением диаметра и укорочением
подводящего трубопровода, уменьшением подачи или частоты вращения.
Кавитационные качества насосов зависят от его
параметров. Увеличение числа лопастей рабочего колеса насоса с высоким ns
или уменьшение его в насосах с низким ns
приводит к уменьшению кавитационного запаса на входе. Для уменьшения ∆h
необходимо обеспечить равномерное распределение скоростей на входе в рабочее
колесо.
Входные элементы
лопастей рабочего колеса можно спроектировать так, что они будут создавать
вторичные токи на входе, подкручивающие основной поток непосредственно перед
входом на лопасть. Предварительное закручивание потока за счет внутренней
энергии снижает ∆h.
Эффективными
мероприятиями по повышению антикавитационных качеств насоса является установка
перед рабочим колесом первой ступени предвключенного осевого колеса или шнека.
Предвключенное колесо или шнек создает дополнительный подпор на входе в
центробежное колесо, обеспечивая бескавитационную его работу. Само устройство
работает в условиях развитой кавитации или суперкавитации, что, несмотря на
применение специальных материалов, приводит к кавитационному разрушению его.
Для уменьшения кавитационных разрушений применяют мероприятия, несколько
снижающие гидродинамические качества предвключенных устройств. Эффективным
мероприятием является увеличение радиального зазора δ между лопастями и втулкой или выполнение клиновидного уступа на
тыльной стороне лопасти. Применение предвключенных колес позволяет довести
коэффициент C до средних значений C -
2500÷3000 и выше.
Заключение
Кавитация
встречается в различных отраслях промышленности и несет в себе как полезные так
и вредные качества. В нефтяной промышленности с кавитацией часто сталкиваются
при транспортировки нефти, так как присутствуют большие скорости потока и
перепады давлений, что является благоприятными факторами для ее возникновения.
При добычи сталкиваются при нагнетании воды в скважину, в основном это явление
присуще центробежным насосам, поэтому одним из наиболее важных параметров
насоса является кавитационный запас, не соблюдая который можно прийти к поломке
тех или иных частей насоса. На основании сделанного обзора проведены сравнения
итальянских, отечественных и американских насосов, по итогам которого можно
сказать, что отечественные насосы по своим кавитационным показателям выгоднее
чем иностранные.
кавитация жидкость насос быстроходность
Список
использованных источников
Карелин В.Я., Кавитационные явления в центробежных и осевых
насосах.[текст] - М.: «МАШИНОСТРОЕНИЕ», 1975. - 336 с.
Михайлов А.К., Малюшеноко В.В. Лопастные насосы.[текст] Теория
расчет и конструирование. - М.: «МАШИНОСТРОЕНИЕ», 1977. - 325 с.
Руднев С.С., Панаиотти С.С. Влияние газосодержания жидкости на
кавитационные характеристики., - «Труды ВНИИГидромаша», 1968, вып 38, с 3-17.
Шмель В.Б. Оптимальные параметры определяющие кавитационные качества
центробежных насосов.- «Труды ВИГМа»: , 1958.- вып. XXII, с. 3-48.
Гидротехника (Италия) - Насосы и насосное оборудования - Дюкон
Crane Pumps & Systems