Источник питания светодиодного светильника

  • Вид работы:
    Отчет по практике
  • Предмет:
    Информатика, ВТ, телекоммуникации
  • Язык:
    Русский
    ,
    Формат файла:
    MS Word
    1,95 Мб
  • Опубликовано:
    2015-01-12
Вы можете узнать стоимость помощи в написании студенческой работы.
Помощь в написании работы, которую точно примут!

Источник питания светодиодного светильника

Содержание

Введение

. Постановка задачи на проектирование        

.1 Обоснование актуальности задачи и необходимости её решения

. Исследование существующих технических решений

.1 Патент на устройство управления освещением

.2 Драйвер для светодиодов

.3 Драйвер светодиодной лампы

.4 Светодиодный драйвер и система освещения его использующая

.5 Светодиодный драйвер с динамическим управлением мощностью для массива светодиодных модулей

.6 Драйвер светодиода с адаптивным алгоритмом для предзаряда запоминающего конденсатора

. Источники питания на импульсном преобразователе

.1 Особенности построения источников питания

.2 Однотактные преобразователи

.3 Двухтактные преобразователи  1

. Разработка схемы электрической структурной

Заключение

Список использованных источников

однофазный питание светодиодный светильник

Введение

Ещё недавно светодиоды и LED-подсветка были знакомы немногим, но в настоящее время интерес к ним растёт с каждым днём. Под светодиодом (light-emitting diode) понимается полупроводниковый прибор, способный создавать оптическое световое излучение при прохождении через него электрического тока.

Стремительно растущая популярность светодиодных светильников обусловлена множеством самых различных факторов - это их экономичность, безопасность, и высокая практичность (срок службы светодиодных матриц почти в сто раз превышает срок эксплуатации лампочки накаливания).

Применение мощных светодиодов является одним из перспективных методов освещения помещений. Современные светодиоды имеют высокий уровень светоотдачи (порядка 92-130 Лм/Вт), что превышает светоотдачу ламп накаливания примерно в 10 раз [1].

Кроме того, КПД светодиодного светильника выше, чем у широко распространенных на сегодняшний день ламп дневного света, утилизация которых требует особых мер, т.к. они содержат вредные для здоровья человека компоненты.

Для нормального функционирования светодиодного прибора, его необходимо обеспечить качественным источником питания (драйвером), который должен соответствовать параметрам выбранных светодиодов. Именно он определяет функциональные, светотехнические показатели и надежность устройства в целом.

В данной работе будет предложена реализация подобного устройства, где для управления будет использована специализированная микросхема стабилизатора тока, которая также имеет в своём составе управление корректором коэффициентом мощности.

Постановка задачи на проектирование

В дипломном проекте необходимо разработать однофазный источник питания светодиодного светильника стабилизированным током заданного уровня. Параметры должны соответствовать параметрам, заданным в техническом задании к проектированию.

Для проектирования источника питания необходимо исследовать процессы, протекающие в выбранном силовом преобразователе, а так же осуществить поиск уже существующих технических решений данной задачи.

.1 Обоснование актуальности задачи и необходимости её решения

Потребности человечества в освещении, и как следствие в энергопотреблении, непрерывно растут с каждым днём. Для этого необходимы дополнительные капиталовложения на строительство электростанций, выработку месторождений энергоносителей и последующую утилизацию растущих отходов производства. Очень остро стоит вопрос об альтернативных высокоэффективных источниках освещения, способных удовлетворить спрос на освещение, не наращивая при этом производства и затрат.

Новые источники освещения должны удовлетворять следующим условиям: небольшой размер ламп, долговечность и низкое энергопотребление. Светодиоды отвечают этим требованиям и являются основным претендентом на замену люминесцентным и лампам накаливания. В то время как все существующие на сегодняшний день источники освещения достигли своей максимальной световой эффективности, светодиоды приблизились только к 10% своих возможностей [2].

Светодиодные системы уличного освещения с резонансным источником питания достигает 120 люмен <#"801930.files/image001.jpg">Рисунок 2.1 - Драйвер для светодиодов

Изобретение касается схемы источника питания для светодиода (драйвера), включая подключение для питающего напряжения, схемы фильтра, выпрямителя GR, и промежуточного накопительного конденсатора С1, отдельной переключающей цепи стабилизатора, содержащей по крайней мере один выключатель S1 и трансформатор L2, к выходу которого подсоединен по крайней мере один светодиод, где диод VDl расположен между выпрямителем и элементом промежуточного накопительного конденсатора С1, где конденсатор C2 соединен к узлу между выпрямителем GR и диодом VD1, и упомянутый конденсатор C3 соединен вторым подключением к току светодиодов VD3-VD6 или трансформатору L2.

.3 Драйвер светодиодной лампы

№ публикации WO 2010/122463 Al. Осветительное устройство (100), состоит из источника тока (1) имеющего выходы (5; 6), основной группы (101) светодиодов (LEDl, i), соединенных последовательно, между выходами источника тока, по крайней мере одной вторичной (102) группы светодиодов (LED2, i), соединенных последовательно, в цепи источника тока, и управляемого ограничителя тока (120) размещенного последовательно к светодиодам (LED2, i) второй группы (102). В предпочтительном варианте управляемый ограничитель тока состоит из транзистора (T2), эмиттер-коллектор которого соединены последовательно со светодиодами (LED2, i) второй группы (102), токовго резистора (R2x) размещенного последовательно с упомянутой цепью эммитера-коллектора, операционного усилителя (121), выход которого подключен к базе транзистора, а инвертирующий вход соединен с резистором (R2x), а на не инвертирующий вход подано опорное напряжение.

.4 Светодиодный драйвер и система освещения его использующая

№ публикации WO 2010/041265 A2. Прибор для питания по крайней мере одного светодиода, содержащий переключающую ток схему, способную переключать входной токовый сигнал через модуляцию ширины импульса тока , контролировать максимумы переключенного токового сигнала и регулировать период, чтобы подавать и усиливать промежуточный токовый согласно требованиям по крайней мере одного светодиода, для обеспечения выходного тока.

.5 Светодиодный драйвер с динамическим управлением мощностью для массива светодиодных модулей

№ публикации WO 2009/114279 А2. Источник напряжения обеспечивает выходное напряжение на светодиодных модулях (102). Светодиодный драйвер (114) отслеживает падения напряжения на светодиодных группах, чтобы отследить минимальное из них, и регулирует выходное напряжение источника напряжения, поэтому минимальному значению. Драйвер (114) может регулировать выходное напряжение таким образом, чтобы изменить самое меньшее падение напряжение на группе светодиодов (модуле) до заданного порогового напряжения, чтобы гарантировать заданную величину тока через него с учетом модуляции ширины импульса (PWM) без чрезмерного энергетического потребления.

.6 Драйвер светодиода с адаптивным алгоритмом для предзаряда запоминающего конденсатора

№ публикации US 2009/0108775 A1. Драйвер обеспечивает управление множеством светодиодов, объединенных во множество последовательно- параллельных цепей в каждой из которых, по меньшей мере, один светодиод. Алгоритм включает в себя этап подачи напряжения на множество выходных каналов драйвера, этап установки тока для каждого выхода в течение определенного периода, измерение значения тока для каждого выхода за период, сравнение каждого измеренного значения с заданным значением, увеличение напряжения в случае, если его значение на выходе меньше заданного, определение выхода с наибольшим отклонением от заданного значения напряжения, и снижение общего питающего напряжения для установки этого наименьшего значения на всех выходах драйвера.

. Источники питания на импульсном преобразователе

.1 Особенности построения источников питания

Большинство источников питания на импульсном преобразователе строятся по обобщённой схеме [7], структура которой приведена на рисунке 1.2. Напряжение Uвх переменного тока поступает на вход помехоподавляющего фильтра ППФ, предназначенного для снижения высокочастотных помех от источника электропитания в сторону системы электроснабжения, и наоборот, из системы электроснабжения в сторону источника электропитания и нагрузки.

Бывает так, что напряжение сети поступает на сетевой выпрямитель ВС, а уже затем на помехоподавляющий фильтр, который рассчитан на прохождение выпрямленного или постоянного тока. Если входное напряжение подаётся от системы электроснабжения постоянного тока, то сетевой выпрямитель исключается из структурной схемы.

Рисунок 3.1 - Структурная схема одноканального источника питания на импульсном преобразователе

Напряжение с выхода выпрямителя ВС поступает на вход инвертора И, который содержит трансформатор Т, осуществляющий гальваническую развязку цепи нагрузки от системы электроснабжения и согласование выходного напряжения источника питания и входного напряжения нагрузки. Инвертор с трансформатором является импульсным преобразователем источника питания.

Напряжение от трансформатора поступает на выходной выпрямитель ВВ и далее через выходной фильтр на нагрузку.

Напряжение обратной связи Uос с выхода источника электропитания поступает в устройство управление УУ, которое обеспечивает стабилизацию или регулирование выходного напряжения, тока нагрузки. Для обеспечения защиты источника электропитания от перегрузок и короткого замыкания напряжения обратной связи по току поступает в устройство управления с трансформатора тока или выходного шунта.

Устройство управления может выполняться по различным схемам и отличатся способом регулирования выходного напряжения. При широтно - импульсной модуляции (ШИМ) осуществляется регулирование среднего значения напряжения на выходном фильтре ВФ за счёт изменения ширины однополярного импульса в однотактной схеме преобразователя или изменение длительности паузы напряжения инвертора в двухтактной схеме преобразователя при постоянстве частоты преобразования. При частотно-импульсной модуляции (ЧИМ) осуществляется регулирование выходного напряжения источника электропитания за счёт изменения частоты преобразования инвертора при сохранении длительности импульса.

Предварительный усилитель мощности ПУМ обеспечивает управление коммутацией силовых транзисторов инвертора, а также обеспечивает гальваническую развязку цепей база-эмиттер и база-коллектор транзисторов инвертора от устройства управления.

Дополнительный источник электропитания ДИЭП обеспечивает вспомогательными напряжениями устройство управления и предварительный усилитель мощности.

Рисунок 3.2 - Упрощенная структурная схема источника питания на импульсном преобразователе

При наличии двух и более выходных каналов обратная связь в схему управления подаётся лишь с одного выхода. Обычно выбирается канал с наибольшей выходной мощностью.

Существует упрощённая типовая функциональная схема источников питания на импульсном преобразователе, которая изображённая на рисунке 1.3 [8].

Переменное сетевое напряжение частотой 50 Гц выпрямляется диодным мостом и сглаживается фильтром ВФ1. Затем полученное постоянное напряжение с помощью инвертора И преобразуется в импульсное напряжение повышенной частоты. Импульсный трансформатор Т преобразует это напряжение в необходимое напряжение. Выпрямитель и фильтр ВФ2 сглаживает пульсации высокочастотного напряжения и питает нагрузку Rн. Изменяя ширину высокочастотных импульсов, можно управлять напряжением на нагрузке либо вести стабилизирующую обратную связь ОС на нагрузке.

Рассмотрим работу базовых схем однотактных и двухтактных импульсных преобразователей напряжения.

.2 Однотактные преобразователи

Однотактные преобразователи напряжения постоянного тока применяются в тех случаях, когда необходимо уменьшить количество компонентов силовой части схемы и упростить схему управления [7].

Примером однотактного преобразователя может быть понижающий преобразователь, в котором напряжение источника питания во всех режимах работы заведомо не ниже требуемого выходного напряжения для управления светодиодами.

Данная ситуация характерна при проектировании систем освещения, источником питания которых является сеть переменного тока 220 В или подобная. Это может быть освещение помещений, улиц, вагонов поездов, рекламная подсветка и пр. Сюда же можно отнести и источники света на транспорте с напряжением бортовой сети 12 В, 24 В.

Пример схемы понижающего (Back) преобразователя приведен на рисунке 3.3. Включение NCP1014 или подобного регулятора по схеме стандартного Back-преобразователя позволяет получить простое и дешевое решение для массового применения [9].

Рисунок 3.3 - Простой Back-регулятор без гальванической развязки на базе NCP1014

В зависимости от области применения осветительного прибора, особенно при питании преобразователя от сети, требуется наличие гальванической развязки. Ее можно организовать при проектировании драйвера на основе обратноходового преобразователя.

Рисунок 3.4 - Схема источника питания на основе ИС LT3799 с изолированным преобразователем типа flyback


.3 Двухтактные преобразователи

Для светильников большой мощности на практике применяются более сложные двухкаскадные схемы преобразования на основе двухтактных мостовых или полумостовых схем. Недостатком таких схем, по сравнению с предыдущими, является повышенная сложность и большее число элементов. Однако такие источники питания обеспечивают высокий КПД порядка 94% [11].

Пример двухтактной схемы приведен на рисунке 3.5 [11].

Рисунок 3.5 - Преобразователь с трансформаторной развязкой на базе полумостового резонансного LLC-инвертора

. Разработка схемы электрической структурной

На основании обзора известных технических решений разработаем схему электрическую структурную. Импульсные источники питания, в своём большинстве, строятся по бестрансформаторной схеме включения, т.е. вход образован сетевым выпрямителем и фильтром. Основной частью такого преобразователя является высокочастотный преобразователь.

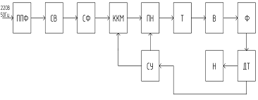
Электрическая структурная схема источника питания светодиодного светильника приведена на рисунке 4.1.

ППФ - помехоподавляющий фильтр;

СВ - сетевой выпрямитель;

СФ - сглаживающий фильтр;

ККМ - корректор коэффициента мощности;

ПН - преобразователь напряжения;

Т - трансформатор;

ДТ - датчик тока;

В - выпрямитель;

Ф - ёмкостный фильтр;

СУ - система управления;

Н - нагрузка.

Рисунок 4.1 - Схема электрическая структурная

ППФ - помехоподавляющий фильтр предназначен для подавления электромагнитных помех со стороны самого источника питания.

СВ - входной низкочастотный однофазный выпрямитель преобразует напряжение промышленной частоты 50 Гц в постоянное.

ККМ - корректор коэффициента мощности приближает коэффициент мощности к единице.

СФ - входной фильтр предназначен для компенсации токов рекуперации, которые обусловлены спецификой работы электромагнитных элементов на высокой частоте.

ПН - высокочастотный инвертор преобразует постоянное выпрямленное напряжение в высокочастотное.

Т - высокочастотный трансформатор понижает напряжение преобразователя до необходимой величины и обеспечивает эффективную передачу мощности на сигналах с быстрыми фронтами.

ДТ - датчик тока, используется для стабилизации заданного значения тока.

В - выходные высокочастотные выпрямители, которые преобразуют переменное высокочастотное напряжение в постоянное выпрямленное.

Ф - выходные высокочастотные фильтры, предназначены для фильтрации выходного высокочастотного напряжения.

СУ - система управления силовыми транзисторами. Используется принцип широтно-импульсной модуляции (ШИМ) с применением обратной связи по току. Задает частоту и длительность импульсов тока силовых ключей.

Н - нагрузкой является светодиодная линейка.

Теперь необходимо выбрать схемотехническое решение каждого из блоков. Для этого необходимо описать принцип работы ППФ, рассмотреть схемотехнические решения ККМ, выбрать преобразователь ПН, а также подобрать микросхему для системы управления ККМ и ПН.

Заключение

В результате прохождения преддипломной практики были выполнены следующие этапы:

поставлена задача на проектирование устройства и обоснована актуальность разработки;

выполнен патентный поиск по данному направлению;

исследованы различные схемы существующих аналогов;

на основании выполненного исследования разработана структурная схема устройства.

Далее планируется разработка схемы функциональной, а на её основании - электрической принципиальной. По результатам расчета принципиальной схемы необходимо провести математическое моделирование, которое подтвердит правильность расчёта устройства.

Список использованных источников

ГОСТ Р МЭК 60064-99. Лампы накаливания вольфрамовые для бытового и аналогичного общего освещения. Эксплуатационные требования [Текст]. - Введ.1997-09-30. - М. : Госстандарт России: Изд-во стандартов, 1997. - 56 с.

2 Эволюция светодиодов [Электронный ресурс]: перспективы светодиодного освещения. - Электрон. дан. - Режим доступа: <http://www.bonisvet.ru/sdiod/>, свободный. - Загл. с экрана.

Никифоров, С.Г. Реальный технический уровень современных светодиодов и осветительных приборов на их основе // Полупроводниковая светотехника. - 2011.-№ 6.-с.10 - 12.

Лампы натриевые высокого давления (ДНаТ) [Электронный ресурс]: конструкция, достоинства, недостатки. - Электрон. дан. - режим доступа: <http://www.kraskompleks.ru/usefullcontent/techdict/Lampi/natr/>, свободный. - Загл. с экрана.

Преимущества светодиодного освещения [Электронный ресурс]: параметры светодиодных источников света. - Электрон. дан. - режим доступа: <http://www.centerir.ru/led-practica/47-led-svet>, свободный. - Загл. с экрана.

Туркин, А. Полупроводниковые светодиоды: история, факты, перспективы // Полупроводниковая светотехника. - 2011.- № 5. -с.28 - 33.

Берёзин, О.К. Источники электропитания радиоэлектронной аппаратуры / О.К.Берёзин. - М.: «Три Л», 2000. - 400с.

ПЛАТАН [Электронный ресурс]: интернет-магазин по продаже электронных компонентов - Режим доступа к магазину:

Чемакин, Л. Компоненты ON Semiconductor для устройств питания сверхъярких светодиодов и светодиодных матриц // Новости электроники. - 2008.№10.

Груттер, Д. Новые драйверы светодиодов от компании Linear Technology // Полупроводниковая светотехника. - 2011.№2.-21 - 24 с.

Поляков, В.И., Высокодинамичный квазирезонансный инвертор для регулируемых источников питания светодиодных светильников / В.И. Поляков, И.В. Ошурков // Полупроводниковая светотехника. - 2011.-№ 6.-с.36 - 39 с.

Похожие работы на - Источник питания светодиодного светильника

 

Не нашли материал для своей работы?
Поможем написать уникальную работу
Без плагиата!
Без нейросетей!