Исследование поверхностной активности жидкостей

  • Вид работы:
    Курсовая работа (т)
  • Предмет:
    Физика
  • Язык:
    Русский
    ,
    Формат файла:
    MS Word
    1,39 Мб
  • Опубликовано:
    2015-05-21
Вы можете узнать стоимость помощи в написании студенческой работы.
Помощь в написании работы, которую точно примут!

Исследование поверхностной активности жидкостей

ВВЕДЕНИЕ

буксовый подвижной ремонт железнодорожный

Однокомпонентные системы жидкостей являются одной из увлекательных тем в области гидродинамики. Интерес к этим системам постоянно возрастает вследствие распространения их в природе и увеличения их участия в технологических процессах в энергетике, в химической и нефтеперерабатывающей промышленности.

Наиболее развитыми на сегодняшний день являются физико-химические методы исследования поверхностной активности жидкостей, основанные на применении пиктензиометрии - исследовании поверхностных свойств межфазной поверхности путем измерения поверхностного натяжения (ПН). Исследование при использовании этих методов, как правило, основано на анализе формы кривой (наличие пиков) зависимости поверхностного натяжения от времени эксперимента Ду(t). Скорость расширения площади поверхности влияет на высоту пика и его положение в течение времени. При наличии ПАВ на такой поверхности указанная зависимость имеет гистерезис (несовпадение кривых, описывающих увеличение и уменьшение площади), параметры которого зависят от скорости изменения площади поверхности, типа и концентрации ПАВ, а также от скорости адсорбции его молекул на межфазную поверхность.

Задачу объяснить это поведение адсорбции ставили перед собой ученые Бельгии M.Van Uffelen и P.Joos. В своей работе, опираясь на факты, полученные из исследования Van Voorst Vader`s, они рассказывали, что первоначально поверхность ПАВ находится в равновесии и если увеличить площадь поверхности с постоянной скоростью растяжения

 

и =dlnЩ/dt

где Щ - площадь поверхности и t - время),

поверхностное натяжение будет увеличиваться по сравнению с его равновесным значением. После этого периода стационарного состояния не наблюдается. Расширение поверхности должно быть экспоненциальное. Это необходимо для того, чтобы достичь ситуации, когда количество ПАВ на поверхности компенсируется за счет диффузии из объема

 

Щ= Щ0eиt ,

где Щ0 - площадь поверхности в момент времени t=0

Если поверхность расширена менее экспоненциально, например линейно

 

Щ = Щ0(1+бt),

 

где б=

(d Щ / dt = const), следует ожидать начальное увеличение поверхностного натяжения по сравнению с равновесным значением и через некоторое время его уменьшение. Иными словами, в определенное время, поверхностное натяжение должно достичь максимума (пик поверхностного натяжения на кривой у в зависимости от времени). Описание этого процесса, и подтверждение его экспериментально - есть цель работы M.Van Uffelen`s и P.Joos`s.

Моя задача заключалась в подтверждении их теории о достижении пиков при линейном изменении скорости.

В данной работе в качестве объекта изучения выбраны раствор органической кислоты и водные растворы солей органических кислот, существенно различающиеся поверхностной активностью и характерными скоростями адсорбции и десорбции. Исследования выполнены с помощью барьерной системы Ленгмюра-Блоджет и весов Вильгельми.

ГЛАВА 1. ОПРЕДЕЛЕНИЕ ПОВЕРХНОСТНОГО НАТЯЖЕНИЯ

Поверхностное натяжение г - это сила, действующая вдоль поверхности. При растяжении поверхности г совершает работу гdK (K - площадь поверхности), если высота поверхности и объем фазы неизменны. Таким образом, поверхностное натяжение можно определить как работу образования единицы новой поверхности путем растяжения старой поверхности. Это так называемое механическое определение поверхностного натяжения.

Обратимся теперь к термодинамике и запишем фундаментальное уравнение для энергии U малого равновесного участка поверхности с прилегающими (также равновесными) фазами б и в (жидкость - газ или жидкость - жидкость);

        (1.1.1)

где S - энтропия; мi и Ni - химический потенциал и количество (число молекул или молей) компоненты i в рассматриваемой системе соответственно; dA - работа; T - температура.

Величину у можно понимать как работу образования единицы новой поверхности путем разрезания объемной фазы при неизменном состоянии последней. Этим определением у отличается от данного выше механического определения г как работы образования единицы новой поверхности путем растяжения старой. Для равновесной жидкости обе величины совпадают, но, в общем случае (для неравновесных жидкостей или для твердых тел), величины у и г могут быть различными.

Используя уравнение (1.1.1), можно получить уравнение адсорбции Гиббса

          (1.1.2)

где  - избыток энтропии на единицу поверхности;  - абсолютная адсорбция (избыток на единицу поверхности) компонента i;  - главные радиусы кривизны поверхности; Ri - главные радиусы; Ci - соответствующие коэффициенты; m - избыток массы веществ на единицу поверхности .

Из уравнения адсорбции Гиббса для бинарной системы в терминах относительных адсорбций можно записать:

  (1.1.3)

где  - концентрация второго компонента в одной из объемных фаз.

Выражение (1.1.3) позволяет определить поверхностную активность вещества. Эффективным средством воздействия на поверхностное натяжение являются ПАВ, так как эти вещества способны понижать поверхностное натяжение, связанное с их адсорбцией. Чем сильнее адсорбируется вещество, тем выше его поверхностная активность.

Располагаясь на межфазной границе молекулы ПАВ часто образуют монослой, который обладает двумерным давлением и снижает поверхностное натяжение на величину г0-г (г0 - поверхностное натяжение чистого растворителя). Эти монослои называются также пленками Ленгмюра. Амфифильный характер ПАВ определяет ориентацию молекул на границе раздела (воздух/вода или масло/вода) таким образом, что полярная концевая группа погружена в воду, а длинная углеводородная цепь направлена в сторону воздуха, газа или масла.

1.1 Классификация параметров

.1.1 КЛАССИФИКАЦИЯ ПОВЕРХНОСТЕЙ

При изучении поверхностных явлений необходимо исследовать свойства фаз, поверхностей и гетерогенных систем.

Свойства веществ делятся на статические - система находится в равновесии, и в ней имеют место лишь молекулярно-кинетические движения, и динамические - в системе не установилось равновесие и происходит перенос массы, энергии, электрический зарядов или распространение механических и электромагнитных волн.

Поверхности подразделяются на подвижные (жидкость - газ и жидкость - жидкость) и неподвижные (твердое - газ, твердое - жидкость). В случае подвижных поверхностей определяемыми параметрами являются концентрация компонентов на поверхности, толщина неоднородного слоя, форма поверхности, поверхностное натяжение и давление, полная поверхностная энергия, работа адсорбции, электрические потенциалы, поверхностная вязкость, прочность и диффузия.

.1.2 КЛАССИФИКАЦИЯ ПАВ

ПАВ - вещества с определенными свойствами, строением и адсорбционной способностью. Выделяют два больших класса ПАВ

К первому классу относятся низкомолекулярные соединения дифильного характера, т.е. соединения, имеющие гидрофильную «голову» (одну или несколько полярных групп) и гидрофобный «хвост» (как правило, алифатическую цепь, иногда включающую и ароматическую группу). По химическим свойствам они разделяются на:

) анионоактивные (например, соли карбоновых кислот, алкилсульфаты, килсульфонаты);

) катионоактивные (например, четвертичные аммониевые основания, соли аминов);

) неионогенные (спирты, эфиры).

Ко второму классу относятся высокомолекулярные ПАВ, в которых чередуются гидрофильные и гидрофобные группы, равномерно распределенные по всей длине полимерной цепи. Примерами высокомолекулярных ПАВ могут служить поливиниловые спирты, желатина, казеина, полиакриламид.

.2 Методы измерения свойств и параметров поверхностей

Определение поверхностного натяжения - наиболее распространенное исследование при работе с ПАВ, так как на основе этих данных рассчитываются многие характеристики (адсорбция, работа адсорбции, поверхностная активность). На сегодняшний день общепризнанным стандартом исследования растворов ПАВ являются тензиометрические методы. Поверхностное натяжение зависит от химического состава смеси и отражает важные характеристики состава и состояния поверхностной фазы.

Существует два типа методов измерения поверхностного натяжения: статические и динамические. Первые предназначены для измерения характеристик поверхности в равновесном состоянии, когда поверхностный слой полностью сформировался. Динамические методы применяются для исследования поверхностной фазы в процессе ее становления, когда процессы адсорбции/десорбции формируют слой ПАВ на вновь образованной поверхности. В данной работе применяется один из статистических методов - метод Вильгельми.

МЕТОД ВТЯГИВАЮЩЕЙСЯ ПЛАСТИНКИ (МЕТОД ВИЛЬГЕЛЬМИ)

Тонкую платиновую пластинку подвешивают к коромыслу весов и касаются пластинкой жидкости, помещенной в широкий сосуд, чтобы избежать влияний стенки.

Замеряют усилие втягивания пластинки, уравновешивая втягивающую силу на весах так, чтобы положение пластинки не изменялось после соприкосновения с жидкостью. Пластинка втягивается в жидкость силами поверхностного натяжения, выталкивается архимедовой силой. Поверхностное натяжение рассчитывают по формуле

         (1.3.1)

где W - нагрузка на весах; сж - плотность жидкости; l, b и h - длина, ширина и толщина части пластинки, находящейся в жидкости, и - угол смачивания.

ИЗМЕРЕНИЕ ПОВЕРХНОСТНОГО ДАВЛЕНИЯ

Для измерения поверхностного давления наиболее широко используются метод Вильгельми и метод Ленгмюра. В первом методе тонкая пластинка стекла, кварца или другого материала частично погружается в жидкость. Различают две модификации метода.

. Измеряют изменение силы, действующей на пластину, погруженную на определенную глубину. Тогда

     (1.3.2)

где П - поверхностное давление, ДF - изменение силы, действующей на пластину, a, b - ширина и толщина погруженной части пластины.

Весы при погруженной частично в жидкость пластинке приводятся в равновесие. Перемещение пластины вызывает разбаланс, который фиксируется приборами.

. При постоянной приложенной к пластине суммарной силе измеряют изменение глубины погружения пластины:

       (1.3.3)

где с - плотность жидкости, g - ускорение свободного падения, h - глубина погружения пластины.

Если пластина достаточно тонкая, тогда величиной b пренебрегают и

    (1.3.4)

где h - глубина погружения пластины, Дh - изменение глубины погружения.

Для увеличения чувствительности метода уменьшают b или увеличивают периметр пластины.

МЕТОД ЛЕНГМЮРА

Данный метод напрямую связан с методом, описанным выше, так как измерение поверхностного давления проводят, используя пластинку Вильгельми. Как известно, граница раздела воздух/вода содержит избыточную свободную энергию, происхождение которой обусловлено различием окружающей среды между молекулами на поверхности и в объеме. Оценку этой межфазной свободной энергии можно провести измерением поверхностного натяжения у.


Рис.1. Схематическое представление равновесия пленки Ленгмюра

Этот двумерный аналог давления называется поверхностным давлением, П и определяется следующей зависимостью

(1.3.5)

Поверхностное давление измеряется методом пластины Вильгельми. В этом методе измерение проводится определением усилия, обусловленного поверхностным натяжением, которое воздействует на пластину, частично погруженную в субфазу.

ГЛАВА 2. Метод ленгмюра-блоджет и весов вильгельми

Следующая глава курсовой работы посвящена исследованиям, проведенным с помощью барьерной системы Ленгмюра-Блоджет и весов Вильгельми. Данный метод позволяет изучать поверхности в довольно широком диапазоне времен жизни от нескольких секунд и выше. Метод отличается также большей чувствительностью на малых концентрациях.

.1 ОПИСАНИЕ ЭкСПЕРИМЕНТАЛЬНой УСТАНОВКи

Описанные в данной главе эксперименты были проведены с применением барьерной системы Ленгмюра-Блоджет и весов Вильгельми. Была использована готовая промышленная установка KSV Minimicro (KSV Instruments Ltd., Финляндия). Фотография установки представлена на Рис.2. Лоток (1), в котором находится исследуемый раствор, изготовлен из материала Teflon для исключения стекания жидкости по краям. Термостатирование лотка обеспечивается циркуляцией воды по каналам, находящимся под лотком. Температура жидкости контролируется термопарой (3). Площадь свободной поверхности жидкости, находящейся в лотке, может изменяться в широких пределах перемещением подвижных барьеров (2) по поверхности лотка. Барьеры изготовлены из гидрофильного материала Delrin, и он достаточно тяжелый для исключения любой протечки монослоя ниже барьера. Поверхностное давление измеряется с помощью пластинки Вильгельми (4).

Силу втягивания пластинки измеряется с помощью электронных весов (5), показание которых передается на персональный компьютер с последующей обработкой специализированным программным обеспечением, поставляемым с прибором. Это же программное обеспечение позволяет в диалоговом режиме задавать параметры эксперимента.

Рис.2. Внешний вид установки KSV 2000

Погрешность измерения поверхностного натяжения составляет 0.01 mN/m

.1.1 ОПИСАНИЕ МАТЕРИАЛОВ И МЕТОДИКИ ИЗМЕРЕНИЙ

Перед началом каждого эксперимента проводилась очистка прибора по следующей схеме: лоток и барьеры промывались теплой водой с использованием специализированного моющего средства. Затем они помещались под проточную воду на значительное время, после чего замачивались в дистиллированной и деионизированной воде последовательно. Для получения особо чистой воды использовался прибор «Водолей» (1-ая степень чистоты по ГОСТ Р 52501-2005). Вся работа проводится в резиновых перчатках, для исключения загрязнения аппаратуры кожным жиром.

Дальнейшая очистка поверхности заключалась в очистке поверхности налитой в лоток воды. Раздвинув барьеры и обнулив показания их положения, лоток заполняется субфазой - деионизированная вода. Жидкость должна превышать уровень лотка не менее чем на 3 мм. Сближая барьеры (барьеры собирают ПАВ на поверхности), проводят несколько раз кончиком аспиратора вдоль обоих барьеров. Цель этой операции заключается в удалении ПАВ. После полного сближения барьеров проводится несколько раз кончиком аспиратора по поверхности между барьерами для удаления оставшихся ПАВ (Рис.4).

Рис. 4. Удаление примесей с барьеров всасыванием

Для очистки пластина Вильгельми нагревалась над пламенем горелки при температуре около 1200о С. После начала полного свечения пластины она извлекалась из пламени и после ее остывания погружалась в воду подвешенной к весам. Пластина должна быть покрыта водой на две трети и находиться перпендикулярно барьерам. Чистота поверхности определялась по показаниям весов после сближения барьеров.

Чистая вода не вызывает изменения поверхностного давления; поэтому любое изменение поверхностного давления вызвано примесями. Если изменение поверхностного давления при сжатии поверхности не превышает 0,2 mN/m, то поверхность воды можно считать достаточно чистой. При большем изменении показаний весов очистка лотка повторялась. После очистки вода откачивается, а лоток заливается исследуемым раствором.

В качестве объектов исследования были выбраны растворы солей жирных (органических) кислот в водном мольном (один моль вещества на литр воды) растворе калиевой щелочи. А также раствор каприловой кислоты (в работе, проведенной M.Van Uffelen`s и P. Joos`s, использовался раствор каприновой кислоты в том же растворе) в растворе смеси хлороводорода (0.01 N HCl) и хлорида натрия (0.09 N NaCl). Целью работы является исследование смеси близких по природе ПАВ, отличающихся в ряду только по некоторым параметрам. А также подтвердить опыт, проведенный M. Van Uffelen`s и P. Joos`s, в котором на графиках зависимости  были обнаружены максимумы. Выбранные соли - два члена ряда, каприлат и лаурат калия, отличающиеся по длине молекулы почти в два раза (8 и 14 атомов углерода в цепочке соответственно).

Раствор в лотке выдерживался перед каждым измерением в течение 20 мин для достижения равновесного распределения сурфактанта между поверхностной и объемной фазами.

Поскольку свойства исследуемых растворов (поверхностное натяжение, растворимость ПАВ в воде, коэффициент диффузии, скорость адсорбции и т.д.) зависят от температуры, измерения проводились при постоянной температуре образцов .

Предполагается использование водных растворов ПАВ в исследованиях, следовательно, начальным этапом проведения эксперимента является приготовление воды: ее дистилляция и деионизация. В обычной технической воде содержится множество примесей как органического, так и неорганического происхождения, которые, как правило, выступают в роли ПАВ по отношению к воде. Для приготовления растворов была использована вода высокой степени очистки (1-ая степень чистоты по ГОСТ Р 52501-2005). Для этого дистиллированная вода трижды пропускалась через ионообменные фильтры (деионизатор «Водолей», Химэлектроника, Москва) для удаления остаточных примесей. Среднее значение =(70,240,06) mN/m. Табличные значения для воды 71,96 mN/m при t=.

ГЛАВА 3. РЕЗУЛЬТАТЫ И ОБСУЖДЕНИЕ

Первая серия опытов была проведена в режиме работы прибора с постоянной скоростью движения барьеров для растворов лаурата, каприлата калия и каприловой кислоты по отдельности. Барьеры, расположенные на поверхности лотка, заполненного исследуемым раствором, раздвигались с фиксированной скоростью. После достижения заданного положения, барьеры останавливались. Экспериментальные данные по измерению изменения поверхностного давления за одно растяжения от времени эксперимента для растворов лаурата (а) и каприлата (б) и каприловой кислоты (в) с молярными концентрациями, равными 1/100 от ККМ (С(LaK) =  моль/л для лаурата, С(КaK) =  моль/л для каприлата и С(КK) =  моль/л для каприловой кислоты) представлены на Рис.5.


За начальное (нулевое) значение выбрано поверхностного давление, которое устанавливалось в системе перед началом проведения эксперимента, показания весов обнулялись перед началом каждой реализации. Разные кривые соответствуют различным скоростям движения барьеров.

Из графиков (Рис.5) видно, что расширение барьеров (увеличение площади поверхности) ведет к росту поверхностного давления.

На Рис.6 представлена та же зависимость для разных постоянных скоростей растяжения барьеров. Различные кривые соответствуют экспериментам с разными растворами.

Рис. 6. Зависимость изменения поверхностного давления от времени эксперимента для различных постоянных скоростей Vмм/мин: 2 (а), 10(б), 50 (в), 100(г) различных растворов: 1 - LaK; 2 -KaK; 3 - KK


Для сравнения посмотрим на график (Рис.7), полученный в результате опытов M. Van Uffelen`s, P. Joos`s. На рисунке скачки поверхностного натяжения приведены в зависимости от реального времени эксперимента для различных значений скорости растяжения барьеров.

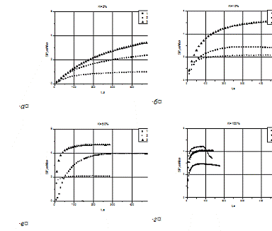
Так как в эксперименте явные максимумы обнаружены не были, переходим ко второй серии исследований. В них были проведены измерения в режиме движения барьеров с переменной скоростью, для тех же растворов, с теми же концентрациями (С=1/100 от ККМ).

Но помимо изменения режима движения барьеров (с постоянной переходим на переменную), также был   изменен механизм установки - с двухбарьерной системы мы перешли на одиночную. Один барьер двигался по направлению от пластинки с переменной скоростью (К,%), после достижения заданного положения барьер останавливался.

Экспериментальные данные по измерению изменения поверхностного давления за одно растяжения от времени эксперимента для растворов лаурата (а) и каприлата (б) и каприловой кислоты (в) с молярными концентрациями, равными 1/100 от ККМ (С(LaK) =  моль/л для лаурата, С(КaK) =  моль/л для каприлата и С(КK) =  моль/л для каприловой кислоты) представлены на Рис.8

Рис.8. Зависимость изменения поверхностного давления от времени эксперимента для растворов лаурата (а) и каприлата (б) и каприловой кислоты (в) с молярными концентрациями, равными 1/100 от ККМ (С(LaK) =  моль/л для лаурата, С(КaK) =  моль/л для каприлата и С(КK) =  моль/л для каприловой кислоты) для различных переменных скоростей движения барьера:

K,%: 1 - 2; 2 -10; 3 - 50, 4 - 100

На рис. 8 видно, что максимумы не наблюдаются лишь для малых K,%=2,10 (времени эксперимента, реализуемого на установке, не хватает для достижение пиков.

).

На рис. 9 представлена та же зависимость для различных переменных скоростей движения барьера. Различные кривые соответствуют экспериментам с разными растворами.

Рис.9. Зависимость изменения поверхностного давления от времени эксперимента для различных переменных скоростей K,%: 2 (а), 10(б), 50 (в), 100(г) различных растворов: 1 - LaK; 2 -KaK; 3 - KK

Осуществив эксперимент с переменной скоростью барьера, на графиках мы четко видим максимумы. Такое поведение системы может быть объяснено следующим образом. На поверхности раствора формируется монослой, т.е. поверхностная плотность достигает насыщения, наблюдается максимум поверхностного давления.

На рис. 10 представлена зависимость максимального времени изменения поверхностного давления (время достижения пика на графике) от К,%

Рис.10. Зависимость максимального изменения поверхностного давления от времени эксперимента для разных растворов (LaK, KaK, KK) с различными переменными скоростями движения барьера: K,%: 1 - 2; 2 -10; 3 - 50, 4 - 100

ЗАКЛЮЧЕНИЕ

поверхностный активность жидкость

ü  При помощи барьерной системы Ленгмюра-Блоджет и весов Вильгельми исследована динамика формирования поверхностной фазы в однокомпонентных растворах лаурата, каприлата калия и каприловой кислоты. Обнаружено, что при линейном расширении барьеров на графике зависимости поверхностного давления от времени эксперимента явных максимумов не наблюдается.

ü  Создана и протестирована однобарьерная экспериментальная установка для изучения свойств поверхностной фазы в однокомпонентных растворах ПАВ.

ü  Доказано что при переменных скоростях зависимость поверхностного давления от времени эксперимента нелинейная: при определенном времени наблюдается пик (максимум на графике).

СПИСОК ЛИТЕРАТУРЫ

1.         M. Van Uffelen, P. Joos // Adsorption kinetics with surface dilatation. 4. Peaktensiometry - adsorption to a linearly expanded surface // Belgium, 4 July 1933.

2.      Русанов А.И., Прохоров В.А. // Межфазная тензиометрия // Санкт-Петербург «Химия».

.        Руководство по установки KSV 2000.

Похожие работы на - Исследование поверхностной активности жидкостей

 

Не нашли материал для своей работы?
Поможем написать уникальную работу
Без плагиата!
Без нейросетей!