|
Вид станционного парка
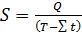
|
Полезная длина путей, м
|
Средняя ширина междупутья, м
|
Объем приносимого снега за зиму, м3/м
|
Толщина слоя снега, м
|
Дальность отвоза снега, км
|
Средняя скорость движения поезда на разгрузку, км/ч
|
|
Е
|
1100
|
6,4
|
140
|
0,52
|
4,4
|
19
|
Содержание
Введение
1. Выбор конструкции верхнего строения пути и определение
классификации пути
.1 Определение грузонапряженности на заданном участке
1.2 Определение классификации пути
.3 Определение норм переодичности выполнение
ремонтно-путевых работ
2. Построение поперечных профилей земляного полотна
.1 Расчет глубины водоотводных канав
2.2 Поперечные профили земляного полотна на перегоне
.3 Поперечные профили основной площади земляного полотна
на раздельных пунктах
3. Организация основных работ по капитальному ремонту пути
.1 Определение фронта работ в «окно»
3.2 Расчет длин рабочих поездов
.3 Расчет продолжительности «окна»
.4 Техника безопасности при ремонте пути
4. Расчет основных параметров и размеров обыкновенного
стрелочного перевода
.1 Расчет радиусов остряков и стрелочных углов
4.2 Расчет длины рамного рельса
.3 Расчет размеров крестовины
.4 Определение длин контррельсов и усовиков
.5 Расчет основных геометрических и осевых размеров
стрелочного перевода
.6 Неисправности стрелочного перевода
5. Расчет элементов стрелочной улицы и длин путей
станционного парка
6. Организация работ по отчистки путей и уборки снега
6.1 Организация снегоборьбы
6.2 Организация технологии очистки путей на станции
.3 Определение объема убираемого снега и
продолжительности цикла работы снегоуборочной машины
Заключение
Список используемых источников
Введение
Железнодорожный транспорт является важнейшей составной частью
экономической системы России. Он перевозит почти 90% всех грузов и более 30%
пассажиров.
Железнодорожный транспорт состоит из многих взаимно действующих между
собой и взаимозависящих друг от друга отраслей, которые составляют в целом единый
хозяйственный организм, единую систему.
Железнодорожный путь выполняет тяжелую работу в трудных условиях.
Находясь под воздействием подвижных нагрузок и природных явлений (ветра, влаги,
температуры, органического мира), обеспечивая непрерывность и безопасность
движения поездов, он должен служить в любое время года, дня и ночи.
Путевое хозяйство является одной из главнейших отраслей железнодорожного
транспорта. Оно включает собственно железнодорожный путь и комплекс
хозяйственных предприятий и производственных подразделений, предназначенных для
обеспечения нормальной работы железнодорожного пути и проведения его планово -
предупредительных ремонтов.
Основой ведения путевого хозяйства является текущее содержание и
своевременные ремонты пути. Для обеспечения безопасности и бесперебойности
движения поездов с установленными скоростями железнодорожный путь должен
находиться всегда в исправном состоянии и соответствовать требованиям Правил
технической эксплуатации железных дорог РФ.
В силу важнейшего значения путевого хозяйства ему уделяется большое
внимание. За последние годы выполнены значительные работы по усилению и
совершенствованию путевого хозяйства, основными направлениями которых стали
увеличение мощности пути за счет укладки тяжелых рельсов, железобетонных шпал,
щебеночного балласта, увеличение протяженности бесстыкового пути, усиление
искусственных сооружений и земляного полотна, повышение оснащенности путевого
хозяйства современными машинами, механизмами и автоматизация путевых работ,
расширение ремонтной базы, совершенствование управления путевым хозяйством.
1.
Выбор конструкции верхнего строения пути и определение классификации пути
.1 Определение грузонапряженности на заданном участке
Грузонапряженность участка является одним из основных эксплуатационных
факторов, влияющих на конструкцию железнодорожного пути. Грузонапряженность в
тонно-километрах брутто на километр в год определяется по формуле:

(1.1)
где

, 
- масса
брутто грузовых, пассажирских поездов, т;

, 
-
количество грузовых, пассажирских поездов;
б
- коэффициент неравномерности движения поездов принимается равным 0,95.
Массу
пассажирских поездов принять 1000 т.
Производим
расчет на участке АБ:
Производим
расчет на участке БВ:
1.2 Определение классификации пути
Система ведения путевого хозяйства основана на классификации путей в
соответствии с распоряжением ОАО «РЖД» от 27 июля 2009 г № 1393. Согласно
данному распоряжению классификация пути определяется в зависимости от главных
эксплуатационных факторов, определяющих работу пути - грузонапряженности и
скоростей движения поездов, вхождение линий в основные грузовые и пассажирские
направления.
Классы путей представляют собой сочетание групп и категорий, обозначаются
арабскими цифрами. Классификация пути состоит из сочетания класса, группы и
категории пути. Классификация пути устанавливается с помощью таблицы 1.1.
Таблица 1.1 - Классификация путей
|
Группа пути
|
Грузонапряженность, млн.
ткм брутто/км в год
|
Категория пути и допустимые скорости движения поездов, км/ч (числитель-пассажирские, знаменатель-грузовые
поезда)
|
|
|
С
|
1
|
2
|
3
|
4
|
5
|
6
|
|
|
|
|
|
|
|
|
40 и менее
|
|
|
Главные пути
|
|
А
|
Более 80
|
1
|
1
|
1
|
1
|
2
|
2
|
3
|
|
Б
|
51-80
|
1
|
1
|
1
|
2
|
2
|
3
|
3
|
|
В
|
26-50
|
1
|
1
|
2
|
2
|
3
|
3
|
4
|
|
Г
|
11-25
|
1
|
1
|
2
|
3
|
3
|
4
|
4
|
|
Д
|
6-10
|
1
|
2
|
3
|
4
|
4
|
4
|
4
|
|
Е
|
5 и менее
|
-
|
-
|
-
|
4
|
4
|
5
|
5
|
|
|
|
|
|
|
|
|
|
|
|
|
|
Классификация пути определяется в зависимости от грузонапряженности и
скоростей движения поездов. Категория поездов определяется в зависимости от
скорости движения поездов и записывается через дробь: в числителе указывается
скорость движения пассажирских поездов, а в знаменателе - скорость грузовых.
Зная группу и категорию пути можно определить класс пути (пересечение групп и
категорий).
Определим классификацию пути на участке АБ:
Грузонапряженность равна 42,5 млн. т км. Брутто/км в год, значит группа
пути для этого участка - В. Скорость на участке равна 129 км/ч, значит
категория - 1. На пересечении категории и группы пути определяем класс - 1.
Запишем классификацию пути: 1В1.
Определим классификацию пути на участке БВ:
Грузонапряженность равна 34,5 млн. т км. Брутто/км в год, значит группа
пути для этого участка - В. Скорость на участке равна 79 км/ч, значит категория
- 4. На пересечении категории и группы пути определяем класс - 3.
Запишем классификацию пути: 3В4.
В зависимости от количества пропущенных пассажирских и пригородных
графиковых поездов, независимо от значения грузонапряженности, путь должен быть
ниже:
· 1-го класса (более 100 поездов в сутки);
· 2-го класса (31-100 поездов в сутки);
· 3-го класса (6-30 поездов в сутки);
Приемо-отправочные и другие станционные пути, предназначенные для
безостановочного пропуска поездов со скоростями 40 км/ч и более относятся к
3-му классу.
Станционные пути, не предназначенные для безостановочного пропуска
поездов, при установленных скоростях 40 км/ч, а также специальные пути,
предназначенные для обращения подвижного состава с опасными грузами,
сортировочные пути и подъездные пути со скоростями движения 40 км/ч относятся к
4-му классу. Остальные станционные, подъездные и прочие пути относятся к 5-му
классу.
Пути сортировочных горок классифицируют в зависимости от объемов
среднесуточной переработки вагонов:
- Сортировочные горки большой и повышенной мощности
(переработка в среднем за сутки 3500 вагонов и выше) или при числе путей в
сортировочном парке от 17 до 29 относятся к 3 классу;
- Сортировочные горки средней мощности (переработка в среднем
за сутки от 1500 вагонов до 3500 вагонов) или при числе путей в сортировочном
парке от 17 до 29 относятся к 3 классу;
- Сортировочные горки малой мощности (переработка в среднем за
сутки от 250 вагонов до 1500 вагонов) или при числе путей в сортировочном парке
до 16 включительно относятся к 4 классу;
Таблица 1.2 - Основные типы и характеристики верхнего строения пути в
зависимости от класса пути
|
Классы путей
|
|
Типы и характеристика верхнего строения пути
|
|
Рельсы Р65, новые термоупрочнённые, категории В и Т1
|
Рельсы Р65, старогодные, I группы годности; I и II
группы годности, репрофилированные
|
Рельсы Р65, старогодные, II и III
группы годности
|
Рельсы Р65, старогодные, III
группы годности
|
|
Скрепления новые
|
Скрепления новые и старогодные (в т.ч. отремонторованные).
|
|
Балласт щебёночный с толщиной слоя: 40 см - под железобетонными шпалами; 35 см - под деревянными шпалами
|
Балласт щебёночный с толщиной слоя под шпалой: 30 см - под
железобетонными; 25 см - под деревянными
|
Балласт всех типов с толщиной слоя под шпалой не менее 20
см
|
|
Толщина песчаной подушки 20 см
|
|
Наименьшая ширина плеча балластной призмы, см
|
|
40/45*
|
35/40*
|
25/40*
|
|
Наименьшая ширина обочины земляного полотна, см
|
|
50
|
45
|
40
|
|
Размены балластной призмы - в соответствии с поперечными
профилями
|
|
Виды работ при замене верхнего строения пути
|
|
Капитальный ремонт пути на новых материалах
|
Капитальный ремонт пути
|
Примечание. В числителе указываются значения для звеньевого пути при
деревянных шпалах; в знаменателе - для бесстыкового пути на железобетонных
шпалах.
.3 Определение норм периодичности выполнения ремонтно-путевых работ
Работы по техническому обслуживанию пути подразделяются на следующие
основные виды: капитальный ремонт пути на новых материалах; сплошная замена
рельсов (на отдельных участках - по разрешению ОАО «РЖД»), сопровождаемая
работами в объеме среднего ремонта пути; капитальный ремонт пути на старогодных
материалах; усиленный средний ремонт пути; средний ремонт пути; подъемочный
ремонт пути; планово-предупредительная выправка пути; шлифовка рельсов; другие
ремонтные работы.
Капитальный ремонт пути на новых материалах (Кн) предназначен
для полной замены выработавшей ресурс рельсошпальной решетки на путях 1-го и 2
- го классов и восстановления несущей способности балластной призмы, а также
включает в себя работы по верхнему строению пути, восстановлению водопропускной
способности водоотводов.
В состав Кн входят следующие основные работы: замена
рельсошпальной решетки на новую; замена стрелочных переводов на новые того же
типа; очистка щебеночной балластной призмы на глубину в соответствии с
проектом, но не ниже 40 см; срезка обочин земляного полотна; доведение размеров
балластной призмы до требуемых размеров; выправка, подбивка и стабилизация пути
с постановкой на проектные отметки в профиле; ликвидация многорадиусности
кривых, очистка и планировка водоотводов; срезка и уборка загрязнителей
балласта; сварка плетей до длины блок - участка или перегона; шлифование
поверхности катания рельсов.
Капитальный ремонт пути на старогодных материалах (Крс)
предназначен для замены рельсошпальной решетки на более мощную или менее
изношенную на путях 3 - 5-го классов (стрелочных переводов на путях 4 - 5-го
классов), смонтированную из старогодных рельсов, новых и старогодных шпал и
скреплений.
Капитальный ремонт пути на старогодных материалах может выполняться как
комплексно со снятием и укладкой путевой решетки кранами, так и раздельным
способом с заменой рельсов, скреплений, шпал.
Усиленный средний ремонт пути (УС) предназначен для повышения несущей
способности балластной призмы и земляного полотна, включая основную площадку,
приведения отметки продольного профиля пути к проектной и др. Выполняются
следующие работы: очистка щебня; вырезка балласта слабых пород; формирование и
уплотнение новой балластной призмы; срезка обочин; ликвидация пучин; замена
скреплений и шпал; сплошная замена подрельсовых прокладок; выправка пути в
плане и профиле; одиночная смена дефектных рельсов; регулировка зазоров в
звеньевом пути; смазка и закрепление закладных и кламмных болтов и др.
Средний ремонт пути (С) выполняется для восстановления дренирующих и
прочностных свойств балластной призмы и повышения степени равнопрочности
верхнего строения пути.
Средний ремонт включает в себя: сплошную очистку щебеночного балласта на
глубину под шпалой не менее 25 см или обновление загрязненного балласта других
видов на глубину не менее 15 см под шпалой. Остальные работы те же, что и
сопутствующие УС, а также очистка водоотводов.
Подъемочный ремонт пути (П) предназначен для восстановления
равноупругости подшпального основания путем сплошной подъемкой и выправкой пути
с подбивкой шпал, а также для замены некоторых шпал и частичного восстановления
дренирующих свойств балласта.
При подъемочном ремонте выполняются: сплошная выправка пути с подъемкой
на 5-6 см и подбивкой шпал, добавлением балласта; локальная очистка
загрязненного щебня в шпальных ящиках и за торцами шпал в местах появившихся
выплесков на глубину не менее 10 см ниже подошвы шпал, а при других видах
балласта - частичная замена загрязненного балласта на чистый; замена негодных
шпал, скреплений; очистка водоотводов и другие работы.
Планово-предупредительная выправка пути (В) предназначена для
восстановления равноупругости подшпального основания и уменьшения степени
неравномерности отступлений по уровню и в плане, а также просадок пути. Она
включает в себя: сплошную выправку пути с подбивкой шпал, рихтовку; замену
негодных шпал и скреплений; регулировку стыковых зазоров; сплошное закрепление
клеммных и закладных болтов при скреплении КБ, ЖБР; другие работы, входящие в
перечень текущего содержания пути, если они требуются.
Исходя из классификации пути, выбранной в предыдущем пункте, необходимо
определить нормы периодичности капитального ремонта пути с использованием
таблицы 1.3.
Определив виды путевых работ и очередность их выполнения за межремонтный
цикл, необходимо определить нормативную потребность проведения путевых работ
(км/год) по капитальному ремонту пути по всем заданным участкам, используя
формулу

, (1.2)
где

-
грузонапряженность участка, млн т·км брутто на 1 км в год;

-
количество лет, соответствующих нормативному периоду между капитальным ремонтом
пути, лет (см. таблицу 1.3);

-
развернутая длина участка пути данного класса, км (см. исходные данные);

-
тоннаж, соответствующий нормативному периоду между капитальным ремонтом пути,
млн т брутто (см. таблицу 1.3);

-
коэффициент, учитывающий дополнительные (местные) эксплуатационные факторы
(берется от 0,8 до 1,2).
На
участке АБ:
На участке БВ:
Таблица 1.3 - Среднесетевые нормы периодичности реконструкции и
капитальных ремонтов пути на новых, старогодных материалах и ремонтные схемы
|
Классификация путей
|
Нормативные сроки в зависимости от типа подрельсового основания, млн т/годы
|
Виды путевых работ и очередность
их выполнения за межремонтный цикл
|
|
1АС; 1А1; 1А2; 1А3; 1БС;
1Б1; 1Б2; 2А4; 2А5; 2Б3; 2Б4
|
700
|
600
|
(Кн),В, С, В, (Кн)
|
|
1ВС; 1В1; 2В2; 2В3
|
700
|
600
|
(Кн), В, В, С, В, П, (Кн)
|
|
1ГС;1Г1; 2Г2; 1ДС; 2Д1
|
1 раз в 30 лет
|
1 раз в 18 лет
|
(Кн), В, В, С, В, П, (Кн)
|
|
3А6; 3Б5; 3Б6; 3В4; 3В5;
4В6
|
700
|
600
|
(Крс), В, В, С, В,П, (Крс)
|
|
3Г3; 3Г4; 4Г5; 4Г6
|
700
|
1 раз в 18 лет
|
|
|
3Д2; 4Д3; 4Д4; 4Д5; 4Д6
|
1 раз в 35 лет
|
1 раз в 20 лет
|
|
|
4Е3; 4Е4; 5Е5; 5Е6
|
1 раз в40 лет
|
1 раз в 25 лет
|
|
Потребность
промежуточных видов путевых работ 
по
участкам определяется исходя из соответствующих им работ определяется по
формуле, (км/год)

, (1.3)
где

-
нормативная потребность работ по капитальному ремонту пути, км/год;

-
количество повторений работ данного вида за период между капитальными ремонтами
пути.
Формула 1.3 считается столько раз, сколько различных видов ремонта.
Исходя из таблицы 1.3, на участке АБ будут выполняться следующие работы:
«((Кн), В, В, С, В, П, (Кн))» Значит:
Исходя из таблицы 1.3, на участке БВ будут выполняться следующие работы:
«(Крс), В, В, С, В,П, (Крс)». Значит:
Приведенные расчеты по всем участкам сводятся в таблицу 1.4.
Таблица 1.4.
|
Участок
|
L, км
|
Конструкция верхнего строения пути
|
Г, млн т*км на км в год
|
vmax, км/ч
|
Классификация пути
|
Коэффициент f,
учитывающий местные эксплуатационные условия
|
Нормативная периодичность для Кн и Кро
|
Схемы путевых работ в период между Кн (Крс)
|
Нормативная потребность путевых работ li, км/год
|
|
|
|
|
|
|
|
Т, млнт брутто
|
N, лет
|
|
Кн
|
Крс
|
С
|
П
|
В
|
|
АБ
|
120
|
БЖ
|
42,5
|
129
|
1В1
|
0,857
|
700
|
-
|
В, В, С, В, П
|
17
|
-
|
8,5
|
25,5
|
|
БВ
|
160
|
ЗД
|
34,5
|
79
|
3В4
|
1
|
600
|
-
|
В, В, С, В, П
|
-
|
18,4
|
9,2
|
9,2
|
18
|
2.
Построение поперечных профилей земляного полотна
.1 Расчет глубины водоотводных канав
Размеры поперечного сечения канавы устанавливают с расчетом пропуска
максимального расчетного расхода воды. Наименьшую глубину канав определяют
получаемой расчетной величины с прибавлением 0,2 м для возвышение бровки канавы
над расчетным уровнем воды. Глубина канавы и её ширина по дну должна быть не
менее 0,6 м. Крутизна продольного уклона канавы i должна быть не менее 0,002. Откосы канавы в глинистых грунтах,
суглинках, супесях и песках крупных и средней крупности делают крутизной 1:1,5.
Фактический расход в канаве определяется по формуле, м3/с

, (2.1)
где щ - площадь «живого сечения» (занятого водой) канавы, м2;
х - средняя скорость протекания воды м/с;
Площадь живого сечения канавы определяется по формуле

, (2.2)
где a - ширина дна канавы, (см. рис. 2.1)
м;
h - глубина
воды в канаве, м;
m -
коэффициент крутизны (заложение откоса);
Смоченный периметр канавы, м

. (2.3)
Гидравлический радиус определяется по формуле, м

. (2.4)
Скорость течения воды в канаве, м/с

, (2.5)
где

-
коэффициент, зависящий от шероховатости поверхности дна канавы и
гидравлического радиуса, определяется по таблице 2.1.

- уклон
дна канавы.
Таблица
2.1 - Значение коэффициента С в зависимости от гидравлического радиуса R
|
Род русла канавы
|
Гидравлический радиус
|
|
R =0,05
|
R=0,1
|
R =0,2
|
R =0,3
|
R =0,4
|
R =0,5
|
R =1
|
|
Мощение булыжником, бутовая глыбовая кладка, хорошо
уплотненные стенки в грунте
|
23,1
|
27,3
|
32,2
|
35,3
|
37,8
|
39,7
|
46,0
|
Поперечный профиль канавы приведен на рисунке 2.1
Рисунок 2.1 - Поперечный профиль канавы
Таблица 2.2 - Средние скорости течения воды м/с, в зависимости от средней
глубины воды в канаве
|
Грунты канав. Тип укрепления для искусственных сооружений
|
Глубина воды в канаве
|
|
h= 0,4 м
|
h= 1,0 м
|
h=2,0 м
|
h= 3,0 м и более
|
|
Грунты канав
|
|
Песок мелкий
|
0,2-0,35
|
0,3-0,45
|
0,4-0,55
|
0,4-0,6
|
|
Гравий мелкий
|
0,65-0,8
|
0,75-0,85
|
0,8-1,00
|
0,9-1,1
|
|
Искусственные сооружения
|
|
Одерновка плашмя
|
0,9
|
1,2
|
1,3
|
1,4
|
|
Одерновка в «стенку»
|
1,5
|
1,8
|
2,0
|
2,2
|
|
Наброска из камня размерами 15-20 см
|
3,0-3,5
|
3,35-3,8
|
3,75-4,3
|
4,1-4,65
|
|
Наброска из камня размерами 20-30 см
|
3,5-3,85
|
3,8-4,35
|
4,3-4,7
|
4,65-4,9
|
|
Одиночное мощение на слое щебня не менее 10 см при размерах
камня 15-25 см
|
2,5-3,5
|
3,0-4,0
|
3,5-4,5
|
4,0-5,0
|
|
Бетонные лотки с гладкой поверхностью
|
10,0-13,0
|
12,0-16,0
|
13,0-19,0
|
15,0-20,0
|
|
Бетонные откосные плиты
|
5,0-6,5
|
6,0-8,0
|
7,9-10,0
|
7,5-12,0
|
|
Гладкие деревянные лотки при течении воды вдоль волокон
|
8,0
|
10,0
|
12,0
|
14,0
|
Определим
расчетную глубину h и продольный уклон i дна
трапецеидальной канавы. Грунт - песок мелкий. Заданный расход воды 
.
Примем
глубину канавы 
, ширину
канавы понизу 
и уклон
дна 
.
Площадь
«живого сечения» канавы составит:

.
Смоченный
периметр этого сечения 
Гидравлический
радиус 
м.
По
таблице 2.1 определяем коэффициент С методом интерполяции для значения 
и
коэффициент С принимает значение 
.
Скорость течения воды в канаве 
.
Расчетный
расход воды 
.
Расхождение
расчетного расхода воды 
с
заданным составило 1% , что является допустимым
По
таблицы 2.2 находим, что допускаемая скорость при глубине канавы 0,6 м не
превышает 0,45 м/с, что меньше расчетной скорости. Поэтому необходимо
предусмотреть укрепление откосов. Согласно таблице 2.2 канаву нужно укрепить бетонными
плитами или укрепить дно канавы щебнем, а откосы - одерновкой.
2.2 Поперечные профили земляного полотна на перегоне
Наиболее распространенными поперечными профилями земляного полотна,
принимаемыми при проектировании железнодорожных путей, являются выемки или насыпи. Поперечные профили земляного полотна состоят из
следующих элементов: основная площадка земляного полотна, откосы, водоотводные
канавы, резервы и т.д.
Основная площадка земляного полотна - это верхняя поверхность, на которой
размещается верхнее строение пути. Ширина основной площадки земляного полотна
(В) и форма поверхности регламентируются СТН Ц-01-95.
На однопутных линиях поперечное очертание верха земляного полотна имеет
трапецеидальную форму. На двухпутных линиях сливная призма имеет треугольную форму. Основная площадка однопутного и двухпутного земляного
полотна из раздробленных скальных, дренирующих крупнообломочных и дренирующих
песчаных грунтов принимается горизонтальной. Ширина основной площадки на
перегонах принимается согласно поперечному профилю балластной призмы,
построенному в разделе 1.2, но не менее значений, указанных в таблице 2.3.
Таблица 2.3 - Ширина основной площадки земляного полотна новых линий на
прямых участках пути
|
Вид грунта насыпи
|
Ширина основной площадки, в зависимости от категории
железнодорожной линии, м
|
|
Скоростные и особо грузонапряженные
двух путные участки, I
|
I и II
|
III
|
IV
|
|
Глинистые и другие недренирующие
|
11,7
|
7,6
|
7,3
|
7,1
|
|
Скальные, крупнообломочные и песчаные дренирующие
|
10,7
|
6,6
|
6,4
|
6,2
|
Крутизна откосов насыпей зависит от вида грунта, высоты насыпи и
климатических условий. Насыпи из раздробленных скальных слабовыветривающихся и
выветренных грунтов, крупнообломочных, песков гравелистых, крупных и средней
крупности могут иметь крутизну откосов 1:1,5 при высоте H ≤ 6 м. В
остальных случаях крутизна откосов нормирована и при Н ≤ 12 м разделенная
для верхней части высотою до 6 м и нижней. В этом случае верхней части
придается крутизна 1:1,5, а нижней 1:1,75.
Отвод поверхностных вод, поступающих к насыпям или стекающих с их откосов
к искусственным сооружениям, осуществляется водоотводными канавами или
резервами. При явно выраженном поперечном уклоне местности, когда поступление
воды к насыпям возможно только с верховой стороны, водоотводные канавы и резервы
устраиваются только с нагорной стороны. Откосы резервов, забанкетных канав и
водоотводных канав следует проектировать не более 1:1,5. Размеры водоотводных
канав и кюветов принимаются из раздела 2.1.
Крутизна откосов выемок проектируется из условия обеспечения их надежной
устойчивости и назначается 1:1,5.
При поперечном уклоне местности положе 1:5 кавальеры рекомендуется
размещать с двух сторон, при косогорности от 1:5 до 1:3 преимущественно с
низовой стороны.
Поперечные профили насыпи и выемки вычерчиваются в масштабе 1:100. Для
участка АБ вычерчивается поперечный профиль насыпи, для участка БВ
вычерчивается поперечный профиль выемки.
Поперечный профиль насыпи приведен на рисунке 2.2, поперечный профиль
выемки приведен на рисунке 2.3.
.3 Поперечные профили основной площадки земляного полотна на раздельных пунктах
Ширина основной площадки земляного полотна на раздельных пунктах
устанавливается в соответствии с проектируемым путевым развитием. Поперечное
очертание верха земляного полотна станционных площадок, в зависимости от числа
путей и вида грунта, следует проектировать односкатным или двускатным. При
значительной ширине площадки допускается применение пилообразного поперечного
профиля.
Крутизна поперечного уклона верха земляного полотна в сторону водоотводов
устанавливается в зависимости от вида грунта земляного полотна, особенностей
климатических зон, числа путей, располагаемых в пределах каждого ската. Для
недренирующих грунтов крутизна составляет 0,02.
Планировку поверхности балластной призмы на станционной площадке следует
проектировать, придавая уклону среднюю крутизну, применительно к крутизне
уклона поперечного профиля земляного полотна, но не более 0,03. При этом
надлежит руководствоваться, что поперечные профили на промежуточных станциях
всех типов, а также на обгонных пунктах и разъездах поперечного типа, следует
проектировать, двускатными, с направлением скатов в разные стороны от оси
междупутья между главными путями.
Ширина основной площадки земляного полотна на раздельном пункте, м,
определяется по формуле, м

, (2.6)
где E - расстояние между осями станционных путей, 5,3 м;0 -
расстояние от оси крайнего пути до бровки земляного полотна, принимается равным
3,5 м;
n -
количество путей на раздельном пункте.
Посчитаем основную площадку земляного полотна на раздельном пункте

Поперечный
профиль основной площадки земляного полотна на раздельном пункте приведен на
рисунке 2.4.
ремонт земляной железнодорожный стрелочный
3. Организация основных работ по
капитальному ремонту пути
Капитальный ремонт пути выполняется в соответствии с проектом, составной
частью которого является проект организации работ, включающий технологические
процессы. Технологические процессы устанавливают последовательность выполнения
отдельных работ повремени, темп работ, число работников основного производства,
потребность в машинах, механизмах, инструменте.
В курсовом проекте принимается комплексное проведение капитального
ремонта.
Тип машин и механизмов при капитальном ремонте выбирается в зависимости
от характеристики верхнего строения пути (до и после его ремонта) и состава
выполняемых при этом работ. Для типовых условий состав работ приведен в
сборниках технологических процессов, периодически издаваемых ЦП ОАО «РЖД».
Для выполнения основных работ в «окно» применяется несколько комплектов
машин.
Ведущей машиной в каждом комплекте является путеукладочный кран, задающий
темп всей цепочке машин. Марки укладочных кранов выбираются в зависимости от
характеристик укладываемых и снимаемых звеньев путевой решетки.
3.1 Определение фронта работ в «окно»
Суточная
производительность ПМС в 

, (3.1)
где

-
заданная годовая программа, км;

- срок
выполнения программы, рабочие дни;

- число
дней резерва на случай непредоставления «окно», несвоевременного завоза
материалов верхнего строения пути, ливневых дождей и других причин.
Можно
принять 
Фронт
работ в «окно» (км) определяется по формуле

, (3.2)
где
n - период предоставления «окон».
Полученное
расчетом 
округляется
до ближайшего большего значения, кратного 25,0 м.
Исходные
данные 
, 
; 
.
Суточная
производительность ПМС 
.
Фронт
работ в «окно» 
.
Ближайшее
большее значение кратное 25,0 м является 1,75 км/ «окно». В расчетах принимаем
1,75 
.
.2 Расчет длин рабочих поездов
Успешная работа ПМС в «окно» в значительной степени зависит от
своевременного и правильного формирования рабочих поездов. В зависимости от
характера выполняемой работы на перегоне эти схемы могут быть различными.
Однако они должны соответствовать типовым схемам установленным Инструкцией по
обеспечению безопасности движения поездов при производстве путевых работ. Длины
поездов рассчитывают в соответствии с длинами отдельных единиц подвижного
состава (по осям автосцепок), м, см. таблицу 3.1.
Таблица 3.1 - Характеристика длины применяемых машин при производстве
ремонтных работ
|
Наименование
|
Длина, м
|
|
Тепловоз серии ТЭ3
|
34
|
|
Платформа четырехосная грузоподъемностью 60т
|
14,6
|
|
Моторная платформа
|
16,2
|
|
Хоппер-дозатор ЦНИИ-2 вместимостью кузова 36 м310,4
|
|
|
Электробалластер ЭЛБ-3
|
50,5
|
|
Укладочный кран УК-25
|
43,9
|
|
Выправочно-подбивочно-отделочная машина ВПО-3000 с вагоном
для обслуживания персонала
|
27,7+24,5
|
|
|
12,6
|
Длина
путеразборочного 
и длина
путеукладочного 
поезда
определяется по формуле:

, (3.3)
где

- число
четырехосных платформ для перевозки рельсошпальных решеток;

- длина
четырехосной платформы, м (см. таблицу 3.1);

- длина
соответственно путеразборочного крана, моторной платформы, локомотива, м (см.
таблицу 3.1);

- количество
моторных платформ.
Число
четырехосных платформ для перевозки рельсошпальных решеток определяется по
формуле

, (3.4)
где

- число
платформ под одним пакетом (при рельсах длиной 12,5 м 
=1,
рельсах длиной 25 м 
=2);

- длина
звена, м (см. исходные данные);

- число
звеньев в пакете, (см. таблицу 3.2).
Таблица 3.2 - Количество звеньев в пакете
|
Род шпал и тип рельсов
|
Количество звеньев
|
|
Железобетонные, Р50
|
5
|
|
Железобетонные, Р65
|
4
|
При
расчете длины путеукладочного поезда принять длину звена 
=25м.
В
путеразборочный и путеукладочный поезда включаются моторные платформы, а их
количество определяется с помощью формулы

. (3.5)
По
прибытии путеразборочного и путеукладочного поездов на место производства работ
составы разделяют на две части. Перемещение первой части состава производится
путеукладочным краном, второй части -локомотивом. Первую часть состава,
перемещаемую укладочным краном, определяют по формуле

. (3.6)
Вторая
часть состава, перемещаемая локомотивом, определяется по формуле

. (3.7)
Длина
хоппер-дозаторного состава определяется в зависимости от объема выгружаемого
балласта и ёмкости хоппер-дозаторного вагона.
Щебень
выгружается в «окно» дважды, один раз после путеукладочного состава, а второй
раз - после выправки и подбивки пути машиной ВПО-3000. Длина каждого
хоппер-дозаторного состава определяется отдельно по формуле

, (3.8)
где

- объем
выгруженного щебня на 1 км, 
;

- объем
щебня в одном хоппер-дозаторе, 
, (см.
таблицу 3.1);

- длина
одного хоппер-дозатора, м, (см. таблицу 3.1);

- длина
вагона для обслуживания персонала,
;
При
производстве окна применяются: тепловоз серии 2ТЭ10, хоппер-дозаторы ЦНИИ-ДВ3,
длина укладываемых и снимаемых рельсов 25 м, тип рельсов Р-65 железобетонные,
объем щебня выгруженного в окно 
, тип
используемого крана УК-25.
Число
четырехосных платформ для перевозки рельсошпальных решеток
Количество
моторных платформ, включаемых в состав путеразборочного поезда
Длина
путеразборочного поезда

.

составит
Вторая
часть состава, перемещаемая локомотивом, составит
При
определении длины путеукладочного необходимо определить количество четырехосных
платформ.
Число
четырехосных платформ для перевозки рельсошпальных решеток
Количество
моторных платформ, включаемых в состав путеукладочного поезда
Длина
путеукладочного поезда

составит
Вторая
часть состава, перемещаемая локомотивом, составит
Длина первого хоппер-дозаторного состава составит
Длина второго хоппер-дозаторного состава составит
Вычерчиваем схему расположения машин и рабочих поездов на месте
производства работ с указанием всех полученных расчетом величин (рисунок 3.1).
Рисунок
3.1 - Схема расположения машин и рабочих поездов 1 - Электробалластер ЭЛБ-3; 2
- вторая часть путеразборочного поезда; 3 - первая часть путеразборочного
поезда; 4 - планировщик; 5 - первая часть путеукладочного поезда; 6 - вторая
часть путеукладочного поезда; 7 - 
с
четырехосной платформой; 8 - первый состав хоппер-дозаторов; 9 -
выправочно-подбивочно-отделочная машина; 10 - второй состав хоппер-дозаторов;
11 - 
.
3.3 Расчет продолжительности «окна»
Необходимая продолжительность «окна» может быть определена по формуле,
мин.

, (3.9)
где

- время,
необходимое на разворот работ перед укладкой пути путеукладочным краном;

- время,
необходимое для укладки новой путевой решетки;

- время,
необходимое на привидение пути в исправное состояние после укладки последнего
звена.
Время
разворота при капитальном ремонте пути, мин

, (3.10)
где

- время
на оформление закрытия перегона, пробег машин к месту работ и снятие напряжения
с контактной сети, принять равным 14 мин;

-
интервал времени между вступлением в работу ЭЛБ-3 и началом работ по
разболчиванию стыков

-
интервал времени между началом работ по разболчиванию стыков и вступлением в
работу путеразборочного поезда;

-
интервал времени между вступлением в работу путеразборочного и путеукладочного
поездов
Интервал

, мин,
между вступлением в работу ЭЛБ-3 и началом работ по разболчиванию стыков
определяется временем, необходимым для того, чтобы ЭЛБ-3 прошел расстояние,
равное длине участка, занятого самой машиной, бригадой по разболчиванию стыков
и разрыву в 50 м по условиям техники безопасности.

, (3.11)
где

- дина
электробалластера ЭЛБ-3, м (см. Таблицу 3.1);

- длина
участка, занятого бригадой по разболчиванию стыков, 
;

- норма
машинного времени на отрыв 1 км пути, мин, 
.

-
коэффициент, учитывающий время на отдых и пропуск поездов по соседнему пути.
Для однопутных линий 
, для
двухпутных линий зависит от количества пар поездов пропущенных по соседнему
пути. При количестве пар поездов до 12 
, от 13
до 18 
, от 19
до 24 
, свыше
24 
.
Интервал

(мин)
между вступлением в работу бригады по разболчиванию стыков и началом работ по
снятию звеньев рельсошпальной решетки

(3.12)
где

- длина
путеразборочного поезда, м.
Интервал

определяется
временем, необходимым для разборки пути на длине 100 м, мин

, (3.13)
где

- норма
машинного времени на разборку одного звена, мин.
Может
быть принято: 
, при 
; 
, при 
.
Время,
необходимое для укладки новой решетки с инвентарными рельсами, мин.

, (3.14)
где

- норма
машинного времени на укладку одного звена, мин;

-
протяжение фронта работ в «окно» в звеньях путевой решетки;

- длина
звена новой путевой решетки с инвентарными рельсами, м; 
.
Норма
машинного времени на укладку одного звена при железобетонных шпалах
=1,9
мин/зв., при деревянных шпалах 
=1,7
мин/зв.
Время
на приведение пути в исправное состояние и сворачивания работ, мин

, (3.15)
где

- время,
необходимое на укладку рельсовых рубок, 
;

- время,
необходимое на выправку пути машиной ВПО-3000 на участке, занятом путевыми
машинами после укладки последнего звена;

- время
между окончанием выправки пути машиной ВПО-3000 и выгрузкой балласта из второго
хоппер-дозаторного состава, выполняющего выгрузку щебня для отделочных работ;

- время
между окончанием работ по выгрузке щебня из второго хоппер-дозаторного поезда и
выправкой пути в местах отступлений по уровню после прохода ВПО-3000;

- время
для разрядки ВПО-3000 и вывода машин с перегона, мин, (
).
Интервал
времени, необходимый на выправку пути машиной ВПО-3000 на участке, занятом
путевыми машинами после укладки последнего звена

(3.16)
где

- длина
путеукладочного поезда, м;

- длина
ВПО-3000 с вагоном для обслуживающего персонала и локомотивом, м (см. таблицу
3.1);

- норма
машинного времени на выправку 1 км пути, мин, 
;

- длина
первого хоппер-дозаторного состава, м;
Интервал времени, мин, между началом рихтовки пути с установкой рельсов;
соединителей и выгрузки щебня из хоппер-дозаторов определяется по формуле

(3.17)
где

- фронт
работ бригады занятой установкой рельсовых соединителей,
;

-
скорость выгрузки щебня 3000 м/ч
Интервал
между окончанием выправки пути машиной ВПО-3000 и выгрузкой балласта из второго
хоппер-дозаторного состава, выполняющего выгрузку щебня для отделочных работ

(3.18)
где

- длина
второго хоппер-дозаторного состава, м.
Интервал
между окончанием работ по выгрузке щебня из второго хоппер-дозаторорного поезда
и выправкой пути в местах отступлений по уровню после прохода ВПО-3000

, (3.19)
где

- фронт
работ бригады занятой выправкой пути, принять 
, м.
Интервал
времени, мин, между началом поставки накладок со сболчиванием стыков и
рихтовкой пути с установкой рельсовых соединителей определяется по формуле

, (3.20)
где

фронт
работ бригад занятых рихтовкой пути и установкой рельсовых соединителей
(ориентировочно 
).
Для
рассчитанных значений в предыдущих пунктах определим продолжительность «окна»
Время
между вступлением в работу ЭЛБ-3 и началом работ по разболчиванию стыков
Время
между началом работ по разболчиванию стыков и вступлением в работу путеразборочного
поезда
Время
между вступлением в работу путеразборочного и путеукладочного поездов
Время
разворота, при капитальном ремонте пути
Время
необходимое для укладки новой путевой решетки
Время,
необходимое на выправку пути машиной ВПО-3000 на участке, занятом путевыми
машинами после укладки последнего звена
Время
между началом рихтовки пути с установкой рельсовых соединителей и выгрузки
щебня из хоппер-дозаторов
Время
между началом поставки накладок со сболчиванием стыков и рихтовкой пути с
установкой рельсовых соединений
Время
между окончанием выправки пути машиной ВПО-3000 и выгрузкой балласта из второго
хоппер-дозатора состава, выполняющего выгрузки щебня для отделочных работ
Время
между окончанием работ по выгрузки щебня из второго хоппер-дозаторного поезда и
выправкой пути в местах отступлений по уровню после перехода ВПО-3000
Время,
необходимое на приведение пути в исправное состояние после укладки последнего
звена
Продолжительность
«окна»

3.4 Техника безопасности при ремонте пути
Ремонт сооружений и устройств должен производиться при
обеспечении безопасности движения и техники безопасности, как правило, без
нарушения графика движения поездов.
Ремонтные работы должны проводится в период специально
предоставленных «окон»
Запрещается: приступать к работам до ограждения
сигналами места производства или препятствия, опасного для движения; снимать
сигналы, ограждающие препятствия или место производства работ, до устранения
препятствия, полного окончания работ, проверки состояния пути, сооружений и
контактной сети, соблюдения габарита.
Для выполнения работ по текущему содержанию пути, искусственных
сооружений, контактной сети и устройств СЦБ должны предоставляться
предусматриваемые в графике движения поездов технологические «окна»
продолжительностью 1.5 - 2 ч, В технологические «окна» выполняются работы по
текущем) содержанию пути, как с применением путевых машин, так и без них, а
также другие ремонтные работы, если вызываемый их производством перерыв в
движении поездов не превышает 2 ч.
При производстве работ по текущему содержанию пути комплексами машин,
специализированными бригадами и механизированными колоннами предоставляются
окна продолжительностью 3 - 4 ч в соответствии с порядком, установленным
начальником железной дороги.
«Окна» для ремонтных и строительных работ предоставляются, как правило, в
светлое время суток с учетом отведения 2-3 ч светлого времени после окончания
«окна» для приведения пути, контактной сети и других сооружений и устройств в
надлежащее состояние.
На участках, где «окна» в графике движения поездов предусматриваются в
темное время суток, руководитель работ обязан обеспечить освещение места
производства работ в соответствии с установленными нормами.
Закрытие перегона для производства работ на однопутном участке, а на
двух- или многопутном участке одного или нескольких путей производится с
разрешения начальника отделения железной дороги и по согласованию с начальником
службы перевозок (при отсутствии отделения - начальника железной дороги), если
оно не вызывает изменения установленных размеров движения с соседними дорогами.
Если такое закрытие вызывает изменение установленных размеров движения поездов
на соседние железные дороги, оно может быть разрешено начальником дороги по
согласованию с Департаментом управления перевозками.
О предстоящем закрытии перегона на однопутном участке, на двух- и
многопутном участке одного или нескольких путей начальник отделения (при
отсутствии отделения - заместитель начальника железной дороги) не позже чем за
сутки уведомляет соответствующих руководителей работ.
Восстановление действия существующих устройств СЦБ и связи или
электроснабжения (если работа их нарушалась) производится после установки и
подключения работниками пути всех перемычек и соединителей к рельсам и по
получении уведомления соответственно от электромеханика (старшего
электромеханика) СЦБ и связи или энергодиспетчера.
Ответственность за безопасность движения поездов при производстве путевых
работ на пути и искусственных сооружениях несет руководитель работ. К колоннам
ПМС и строительным организациям, выполняющим путевые работы, распоряжение
начальника дистанции пути на все время производства работ, связанных с
ограничением скорости движения поездов или с закрытием перегона,
прикомандировывается работник дистанции пути по квалификации не ниже дорожного
мастера.
Работники дистанции пути проверяют правильность ограждения места работ,
своевременно уведомляют начальника дистанции пути о даче заявок на выдачу
предупреждений по требованиям ПМС и строительных организаций и об их отмене, а
также систематически проверяют качество выполнения работ.
Места производства работ с нарушением целостности и устойчивости пути и
сооружений, а также препятствия на пути и около него в габаритах приближения
строений ограждают переносными сигналами с выдачей в необходимых случаях
предупреждений на поезда. От путевых бригад и работников, руководящих
передвижением транспортных средств на пути, а также от локомотивных и поездных
бригад требуется в этих случаях проявление особой бдительности.
Переносные сигналы и сигнальные знаки применяются типовые; они имеют
установленную окраску и приспособление для укрепления, обеспечивающие хорошую
их устойчивость.
Для установки и охраны переносных сигналов на пути руководитель работ
выделяет сигналистов из числа работников бригады, выдержавших необходимое
испытание. Сигналисты должны иметь головные уборы желтого цвета и этим
отличаться от других работников железнодорожного транспорта.
Места производства путевых работ с нарушением
целостности и устойчивости пути и сооружений, а также препятствия на пути и
около него в пределах габарита приближения строений ограждаются переносными
сигналами с выдачей в необходимых случаях предупреждений на поезда. Не
допускается приступать к работам, связанным с нарушением целостности и
устойчивости пути, не оградив место работ соответствующими сигналами.
Переносные красные сигналы устанавливаются с обеих сторон
перегона на расстоянии 50м от границ ограждаемого участка В зависимости от
руководящего спуска и максимальной допускаемой скорости движения поездов на
перегоне укладывается по 3 петарды и на расстоянии 200м от первой, ближней к
месту работ петарды, в направлении от места работ устанавливаются переносные
сигналы уменьшения скорости.
Переносные сигналы уменьшения скорости и петарды
должны находиться под охраной сигналистов, стоящих с ручными красными сигналами
в 20м от первой петарды в сторону места работ. Переносные красные сигналы
должны находиться под наблюдением руководителя работ.
Схемы ограждения препятствий и мест производства работ
на однопутном участке приведены на рис. 3.4 - а, на одном из путей двухпутного
участка - на рис. 3.4 - б, на обоих путях двухпутного участка - на рис. 3.4 -
в. При производстве работ развернутым фронтом (более 200 м) места работ
ограждаются порядком, указанным на рис. 3.4 - г.
А)
Б)
В)
Г)
Рисунок 3.4 - Схемы ограждения препятствий и мест
производства работ
4. Расчет основных параметров и размеров обыкновенного стрелочного
перевода
4.1 Расчет радиусов остряка и стрелочных углов
При
расчете стрелки принимается, что по форме в плане криволинейный остряк делается
секущего типа. В этом случае (рисунок 4.1) рабочие грани рамного рельса и
остряка пересекаются в начале острия под углом 
называемым
начальным углом остряка. Угол между рабочей гранью рамного рельса и
касательной, проведенной к рабочей грани остряка в корне, называется полным
стрелочным 
углом.
На протяжении всей длины рабочая грань остряка очерчивается одним радиусом R0.
Рисунок
4.1 - Криволинейный остряк секущего типа одного радиуса 
Синус начального стрелочного угла остряка определяется
по формуле

, (4.1)
где

-
максимальный зазор между гребнем колеса и рамным рельсом (при ширине колеи 120
мм), 
=0,036;

-
допускаемая скорость движения по боковому направлению, м/с;

-
допускаемое значение показателя потери кинетической энергии, м/с.

-
наибольшее допускаемое значение центробежного ускорения, возникающего в начале
остряка при переходе к очертанию с радиусом 
, м/с2.
Начальный
стрелочный угол равен

. (4.2)
При
одинарной кривизне остряка радиус 
, м,
определяется по формуле

, (4.3)
Полный
стрелочный угол при остряках одинарной кривизны, град

. (4.4)
Центральный
угол 
определяется
по формуле, град

, (4.5)
где

- длина
криволинейного остряка принимается согласно заданию, м.
Производим
расчет стрелочного перевода при следующих исходных данных. Тип рельсов Р75, 
, марка
крестовины 1/12, конструкция крестовины - цельнолитая, 
, 
, 
.
Синус
начального стрелочного угла остряка


.

Центральный
угол

Полный
стрелочный угол

; 
.2
Расчет длины рамного рельса
Полная
длина рамного рельса (рисунок 4.2) зависит от длины остряка, принятого типа
корневого крепления, а также от принятой длины переднего вылета рамного рельса.
Рисунок
4.2 - Расчетная схема для определения переднего вылета рамного рельса
Длина
рамного рельса в стрелочных переводах с двойной кривизной определяется по
формуле, мм

, (4.6)
где

- длина
переднего вылета рамного рельса;

- длина
заднего вылета рамного рельса;

-
проекция криволинейного остряка на рамный рельс.
Длина
переднего вылета рамного рельса находится из условия рациональной раскладки
переводных брусьев и определяется по формуле, мм

, (4.7)
где

-
нормальный стыковой пролет: для рельсов Р75 и Р65 при стыке на весу 
мм, для
рельсов Р50 
мм;

-
нормальный стыковой зазор, принимаемый равным 8 мм;

-
промежуточный пролет между осями брусьев под стрелкой, принимается равным 50;

-
расстояние от оси первого флюгарочного бруса до острия остряка у современных
переводов 
мм.

- число
промежуточных пролетов под передним вылетом рамного рельса при марке крестовины
1/12 
.
Проекция
криволинейного остряка на рабочую грань рамного рельса, мм

. (4.8)
Задний
вылет рамного рельса устанавливается исходя из возможности и удобства монтажа
корневого крепления остряка и стыкового скрепления рамного рельса по формуле

, (4.9)
где

-
расстояние между осями в корне остряка, принимается равным 
;

-
стыковой зазор в корне остряка, принимается равным 4-8 мм;

-
количество промежуточных пролетов под задним вылетом рамного рельса,
принимается равным 
Стандартная
длина рамных рельсов составляет 12,5 м или 25 м.
Длина
переднего вылета рамного рельса

Проекция
криволинейного остряка

Задний
вылет рамного рельса

Длина
рамного рельса

Примем
стандартную длину рамного рельса равную 25 м.
4.3 Расчет размеров крестовины
Длина
крестовины слагается из минимальных длин её передней 
и
хвостовой 
частей.
Математическим центром крестовины 
называется
точка пересечения продолжения рабочих кантов сердечника крестовины.
Теоретическая
длина крестовины определяется в зависимости от ее типа, конструкции и марки, а
также из условия обеспечения некоторых конструктивных требований.
Теоретическую
(минимальную) длину передней части цельнолитой крестовины принимают такой,
чтобы внешние накладки в стыке не заходили за первый изгиб усовиков, т.е. за
горло крестовины (рисунок 4.3).
Рисунок 4.3 - Цельнолитая крестовина
При
этом должен быть предусмотрен конструктивный запас 
,
обеспечивающий свободную установку накладок с учетом допусков в изготовлении
как накладок, так и усовиков. Расстояние между рабочими гранями усовиков в
месте их первого изгиба называется горлом крестовины и обозначается 
.
Передняя часть крестовины 
определяется
по формуле, мм

, (4.10)
где

- число
марки крестовины;

- ширина
желоба в горле крестовины, определяемая из условия пропуска по крестовине
экипажей с самой узкой насадкой колес и предельно изношенными по толщине
гребнями принять равным 68 мм;

- длина
двухголовой накладки приведена в таблице 4.1;

-
конструктивный запас, принять равным 15 мм.

-
стыковой зазор, принять равным 0.
Таблица 4.1 - Данные для расчета минимальных размеров крестовин
|
Тип рельса
|
Ширина, мм
|
Длина двухголовой накладки, мм
|
Высота рельса, мм
|
Высота головки рельса, мм
|
|
головки по низу
|
головки в расчетной плоскости
|
подошвы
|
|
|
|
|
Р75
|
75
|
72
|
150
|
920
|
192
|
46,0
|
Теоретическая
(минимальная) длина 
хвостовой
части крестовины, мм

(4.11)
где

- ширина
подошвы рельса;

- ширина
головки рельса в расчетной плоскости;
-
конструктивное расстояние (в мм) между подошвами рельсов в хвосте крестовины,
обеспечивающее установку примыкающих рельсов без строжки их подошв.
Полная
теоретическая (минимальная) длина крестовины будет равна:

. (4.12)
Значение углов б и их тригонометрических функций для
ряда марок крестовин 1/13 приведены в таблице 4.2. Эти данные используются при
расчете крестовин далее - при определении основных геометрических размеров
перевода.
Таблица 4.2 - Значение углов б и их тригонометрических функций для ряда
марок крестовин
|
Марки крестовин
|
Углы б и их тригонометрические функции
|
|
б
|
|
|
|
|
|
|
1/13
|
|
0,076696
|
0,038376
|
0,997054
|
0,07692
|
0,038404
|
Передняя часть крестовины

Теоретическая
(минимальная) длина хвостовой части крестовины

Полная
теоретическая (минимальная) длина крестовины

4.4 Определение длин контррельсов и усовиков
Назначение контррельса - обеспечить безопасность и
плавность прохождения тележки экипажа через вредное пространство крестовины.
Необходимо предотвратить удар гребня колеса в острие сердечника и плавно
направить гребень в соответствующий желоб крестовины. Для этого основная
рабочая часть контррельса должна перекрывать вредное пространство крестовины, а
ширина желоба контррельса быть в пределах допусков. Расчетная схема определения
длин контррельсов и усовиков приведена на рисунке 4.4. Из рисунка видно, что
полная длина контррельса равна ее проекции на прямое направление и определяется
по формуле

, (4.13)
где

- длина
основной рабочей части, мм;

, 
- длина
первого и второго отгибов, мм.
Длина
основной рабочей части контррельса определяется по формуле

, (4.14)
где

- ширина
сердечника, где возможна полная передача вертикального давления колеса, принять
равным 40 мм;

- запас
длины средней части контррельса, 
мм.
Рисунок
4.4 - Схема определения размеров контррельсов и усовиков
Длина
первого отгиба контррельса определяется по формуле

, (4.15)
где

- ширина
желоба в основной рабочей части, принять равным 44 мм;

- ширина
желоба первого отгиба, принять равным 64 мм;

- угол
отвода контррельса.
Угол
отвода определяется по формуле

(4.16)
где

-
допустимое значение эффекта удара в отведенную часть контррельса,

м/с;

-
максимальная скорость движения по прямому пути, принять как 
, м/с.
Полная
длина усовика определяется по формуле

, (4.17)
где

, 
,- длина
заднего первого и второго отгиба, мм.

, (4.18)
где

- ширина
желоба в основной прямой рабочей части, принять равным 45 мм;

- ширина
желоба заднего переднего отгиба, принять равным 64 мм;

- угол
отвода усовика.
Длину
второго отгиба контррельса и усовика принять равным 150 мм.
Величину
угла отвода усовика принять равной величине отвода контррельса.
При
расчете длины усовика требуется выдержать условие

, (4.19)
Угол отвода

длина
основной рабочей части контррельса

длина
первого отгиба контррельса

полная
длина контррельса

длина
первого отгиба усовика

полная
длина усовика

Проверка
условия длины усовика

.5
Расчет основных геометрических и осевых размеров стрелочного перевода
Основными
геометрическими размерами стрелочного перевода (рисунок 4.5) являются:
−
теоретическая длина стрелочного перевода 
;
−
практическая длина стрелочного перевода 
;
−
радиус переводной кривой R ;
−
длина прямой вставки перед математическим центром крестовины 
.
Теоретическая
длина 
стрелочного
перевода − это расстояние от острия остряка до математического центра
крестовины, мм, определяется по формуле:

, (4.20)
Радиус
переводной кривой 
принимается
равным радиусу остряка 
.
Рисунок
4.5 - Схема в рабочих гранях с указанием основных геометрических размеров
обыкновенного стрелочного перевода
Величина
прямой вставки 
(мм), обеспечивающей
прямолинейное движение железнодорожного экипажа до входа его в горло
крестовины, определяется по формуле

, (4.21)
где

- ширина
колеи, мм.
Практическая
длина стрелочного перевода (расстояние от переднего стыка рамного рельса до
хвостового стыка крестовины) определяется из выражения, мм

. (4.22)
Основными осевыми размерами стрелочного перевода, необходимыми для
разбивки на местности, являются (рисунок 4.5):

- расстояние
от начала остряка до центра стрелочного перевода 
, мм;

-
расстояние от центра стрелочного перевода до математического центра крестовины,
мм;

-
расстояние от начала рамных рельсов до центра стрелочного перевода, мм;

-
расстояние от центра стрелочного перевода до хвостовой части крестовины, мм.
Указанные
осевые размеры стрелочного перевода определяются с использованием следующих
формул:

(4.23)

(4.24)

(4.25)

(4.26)
Предельный
столбик располагается там, где расстояние между осями смежных путей равно 4100
мм. Следовательно, расстояние от оси прямого пути до предельного столбика 
мм.
Расстояния,
определяющие положение предельного столбика устанавливаются по формуле

(4.27)
Величина
прямой вставки

Теоретическая
длина стрелочного перевода

Практическая
длина стрелочного перевода

Расстояние
от центра перевода до математического центра крестовины

Расстояние
от начала остряка до центра перевода Ц

Расстояние
от начала рамных рельсов до центра перевода

Расстояние
от центра перевода до хвостовой части крестовины

Расстояние
до предельного столбика

.6
Неисправности стрелочного перевода
Рельсы и стрелочные переводы на главных и станционных путях по мощности и
состоянию должны соответствовать условиям эксплуатации (грузонапряженности,
осевым нагрузкам и скоростям движения поездов).
Нормы износа рельсов и стрелочных переводов устанавливаются инструкцией
ОАО «РЖД»
Не допускается эксплуатировать стрелочные переводы и глухие пересечения,
у которых допущена хотя бы одна из следующих неисправностей:
• разъединение стрелочных остряков и подвижных сердечников крестовин с
тягами;
• отставание остряка от рамного рельса, подвижного сердечника крестовины
от усовика на 4мм и более, измеряемое у остряка и сердечника тупой крестовины
против первой тяги, у сердечника острой крестовины - в острие сердечника при
запертом положении стрелки;
• выкрашивание остряка или подвижного сердечника, при котором создается
опасность набегания гребня, и во всех случаях на железнодорожных путях не
общего пользования для стрелочных переводов марки 1/7 и положе, симметричных
марки - 1/6, выкрашивание длиной:
На главных путях 200мм и более
На приемо-отправочных путях 300мм и более
На прочих станционных путях 400мм и более
• понижение остряка против рамного рельса и подвижного сердечника против
усовика на 2мм и более, измеряемое в сечении, где ширина головки остряка или
подвижного сердечника поверху 50мм и более;
• расстояние между рабочей гранью сердечника крестовины и рабочей гранью
головки контррельса менее 1472мм;
• расстояние между рабочими гранями головки контррельса и усовика более
1435мм;
• излом остряка или рамного рельса;
• излом крестовины (сердечника, усовика или контррельса);
• разрыв контррельсового болта в одноболтовом или обоих в двухболтовом
вкладыше.
Стрелочные переводы должны иметь крестовины следующих марок:
• на главных и приемо-отправочных путях - не круче 1/9, а симметричные -
не круче 1/6;
• на прочих путях, кроме специальных и передвижных - не круче 1/7, а
симметричные - не круче 1/4,5;
• на подгорочных путях - не круче - 1/9;
• на специальных путях при перевозке чугуновозов, тележек со слитками -
не круче 1/6, а симметричные - не круче - 1/3,5;
• при перевозке чугуновозов, шлаковозов, тележек со слитками на
реконструируемых заводах - не круче 1/5, а симметричные - не круче 1/3,5;
• на путях обращения ковшей миксерного типа - не круче 1/7, а
симметричные - не круче 1/4,5;
• на передвижных путях карьеров и отвалов - не круче 1/9, а симметричные
- не круче 1/6.
Вертикальный износ рамных рельсов, остряков, усовиков и сердечников
крестовин и порядок эксплуатации их при превышении норм износа устанавливаются
инструкцией ОАО «РЖД».
5. Расчет элементов стрелочной улицы и длин путей станционного парка
Стрелочная улица - путь, образованный рядом стрелочных
переводов, на котором последовательно расположены на расчетном расстоянии
стрелочные переводы, предназначенные для соединения группы параллельных
станционных путей. Стрелочные улицы применяются при проектировании
приемо-отправочных парков станций. Исходными данными для расчета стрелочной
улицы являются:
расстояние между путями стрелочной улицы (е);
марки стрелочных переводов (М);
прямые вставки между стрелочными переводами.
На рисунке 5.1 приведена расчетная схема оконечной
стрелочной улицы
Рисунок 5.1 - Станционный парк вида трапеции с разной
длиной путей
Расстояние (d) между
предельными столбиками соседних путей определяется по формуле, м

. (5.1)

В
данном разделе курсового проекта необходимо начертить схему заданного
станционного парка в произвольном масштабе (рисунок 5.2), определить полезную
длину каждого пути парка учитывая, что применяется марка крестовины,
используемая в 4-м разделе.
Полезной
длиной пути является расстояние, в пределах которого можно устанавливать
подвижной состав без нарушения габаритов и безопасности движения по смежным
путям. В рисунке 5.2 полезная длина путей определяется по предельным столбикам.
Расчет
полезной длины путей рекомендуется выполнить в виде таблицы 5.1.
Таблица
5.1 - Определение полезной длины путей в станционном парке
|
№ пути
|
Формула расчета
|
Полезная длина пути, м
|
|
1
|
|
1100
|
|
3
|
|
834
|
|
5
|
|
668
|
|
7
|
|
585
|
|
9
|
|
917
|
|
׀0
|
|
1100
|
Ðèñóíîê 5.2 - Âèäû
ñòàíöèîííûõ
ïàðêîâ
6. Îðãàíèçàöèÿ
ðàáîò ïî î÷èñòêå
ïóòåé è óáîðêå
ñíåãà
6.1 Îðãàíèçàöèÿ
ñíåãîáîðüáû
Ñíåãîçàíîñèìûå
ó÷àñòêè ïóòè
õàðàêòåðèçóþòñÿ
äâóìÿ ïðèçíàêàìè:
êàòåãîðèåé çàíîñèìîñòè,
çàâèñÿùåé îò
ïîïåðå÷íîãî ïðîôèëÿ
çåìëÿíîãî ïîëîòíà;
ñòåïåíüþ çàíîñèìîñòè,
îïðåäåëÿåìîé
êîëè÷åñòâîì
ñíåãà, ì3/ì ïóòè, ïðèíîñèìîãî
ê ïóòè ñ âåðîÿòíîñòüþ
ïîâòîðåíèÿ îäèí
ðàç â 15-20 ëåò.
Ñòåïåíü ñíåãîçàíîñèìîñòè
ó÷àñòêîâ, ñðåäñòâà
è ñïîñîáû çàùèòû
ïóòè îò ñíåæíûõ
çàíîñîâ îïðåäåëÿþòñÿ
ïî òàáëèöå 6.1 ñ ó÷åòîì
ìåñòíûõ óñëîâèé.
Òàáëèöà 6.1 - Õàðàêòåðèñòèêà
ñðåäñòâ çàùèòû
ïóòè îò ñíåæíûõ
çàíîñîâ â çàâèñèìîñòè
îò ðàñ÷åòíîãî
ãîäîâîãî îáúåìà
ìåòåëåâîãî ñíåãîïðèíîñà
|
Îáúåì ïðèíîñèìîãî
ñíåãà çà çèìó,
ì3/ì
|
Ñðåäñòâà è
ñïîñîáû çàùèòû
ïóòè îò ñíåæíûõ
çàíîñîâ
|
|
Ñëàáîçàíîñèìûå ó÷àñòêè
äî 100
|
Îäíî-, äâóõïîëîñíûå
ëåñîíàñàæäåíèÿ
èëè îäíî-äâóõðÿäíûå
ùèòîâûå ëèíèè
|
|
Ñðåäíåçàíîñèìûå ó÷àñòêè
- 101-300
|
Äâóõ-, òðåõïîëîñíûå
ëåñîíàñàæäåíèÿ
èëè ïîñòîÿííûé
çàáîð âûñîòîé
äî 5,5 ì èëè çàáîð
îáëåã÷åííîãî
òèïà âûñîòîé
4-5 ì
|
|
Ñèëüíîçàíîñèìûå
ó÷àñòêè - 301-600
|
Òðåõ-, ÷åòûðåõïîëîñíûå
ëåñîíàñàæäåíèÿ
èëè îäèí-äâà ðÿäà
ïîñòîÿííûõ çàáîðîâ
âûñîòîé äî 5,5 ì
èëè çàáîð îáëåã÷åííîãî
òèïà âûñîòîé
4-5 ì
|
|
Îñîáî ñèëüíîçàíîñèìûå
ó÷àñòêè - áîëåå
600
|
×åòûðåõïîëîñíûå
è ñ áîëüøèì ÷èñëîì
ëåñîíàñàæäåíèÿ
èëè äâà ðÿäà ïîñòîÿííûõ
çàáîðîâ âûñîòîé
äî 5,5 ì èëè äâà ðÿäà
çàáîðîâ îáëåã÷åííîãî
òèïà âûñîòîé
5 ì, ñíåãîïåðåäóâàþùèå
çàáîðû. Ïåðåïðîôèëèðîâàíèå
ñíåãîçàíîñèìûõ
ó÷àñòêîâ çåìëÿíîãî
ïîëîòíà â ñíåãîçàíîñèìûå
ïðîôèëè
|
Íàèëó÷øèìè
ñðåäñòâàìè çàùèòû
æåëåçíûõ äîðîã
îò ñíåæíûõ çàíîñîâ
ÿâëÿþòñÿ æèâûå
çàùèòû, ïåðåíîñíûå
ùèòû, ïîñòîÿííûå
çàáîðû è ñíåãîâûå
ãàëåðåè.
Äëÿ çàùèòû òåððèòîðèè
ñòàíöèè îò ñíåæíûõ
çàíîñîâ ïðèìåíÿþòñÿ
êîíòóðíûå îãðàæäåíèÿ.
Íà êðóïíûõ ñòàíöèÿõ
è óçëàõ ïðèìåíÿþò
òàêæå è âíóòðèñòàíöèîííóþ
çàùèòó ñ ðàñ÷åòîì
ïîëíîãî çàäåðæàíèÿ
ïåðåíîñèìîãî
ñíåãà.
Ê ïîñòîÿííîé
êîíòóðíîé ñòàíöèîííîé
çàùèòå îòíîñÿòñÿ
ëåñîíàñàæäåíèÿ
è ïîñòîÿííûå
çàáîðû, ê âðåìåííîé
çàùèòå - ïåðåíîñíûå
ìàëîãàáàðèòíûå
ùèòû.
Çàùèòíûå
ëåñîíàñàæäåíèÿ
äîëæíû îòâå÷àòü
ñëåäóþùèì òðåáîâàíèÿì:
à) ïîëíîñòüþ
çàäåðæèâàòü ðàñ÷åòíîå
êîëè÷åñòâî ñíåãà;
á) âñòóïàòü
â ðàáîòó â íàèáîëåå
ìîëîäîì âîçðàñòå;
â) ñîñòîÿòü
èç öåííûõ è äîëãîâå÷íûõ
ëåñíûõ ïîðîä;
ã) áûòü óñòîé÷èâûìè
ïðîòèâ ïîëîìîê,
ïðîèñõîäÿùèõ
îò îòëîæåíèé
ñíåãà;
ä) çàùèùàòü
ïóòè îò âûõîäà
ñêîòà;
å) ïîçâîëÿòü
øèðîêî ìåõàíèçèðîâàòü
ðàáîòû ïî âûðàùèâàíèþ
è ñîäåðæàíèþ
ëåñîíàñàæäåíèé;
æ) ñîõðàíÿòü
ñíåãîçàäåðæèâàþùèå
ñâîéñòâà â ïåðèîä
ëåñîâîçîáíîâèòåëüíûõ
ðàáîò.
Ðèñóíîê 6.1 - Äâóõïîëîñíûå
è òðåõïîëîñíûå
ëåñîíàñàæäåíèÿ
 ðàéîíàõ
ñ íåáëàãîïðèÿòíûìè
ïî÷âåííî-êëèìàòè÷åñêèìè
óñëîâèÿìè, ãäå
çàòðóäíåíî èëè
íåâîçìîæíî âûðàùèâàíèå
ëåñîíàñàæäåíèé,
çàùèòó çàíîñèìûõ
ó÷àñòêîâ îñóùåñòâëÿþò
ñ ïîìîùüþ ïîñòîÿííûõ
çàáîðîâ.
 ðåçóëüòàòå
îïûòà è èññëåäîâàíèé
ñíåãîñáîðíîñòè
ðàçëè÷íûõ êîíñòðóêöèé
ùèòîâ óñòàíîâëåíû
òðè èõ òèïà. Ùèòû
1-ãî òèïà ðàçìåðîì
2
1.5 ì ñ ïëîùàäüþ
ïðîñâåòîâ 47% îáùåé
ïëîùàäè ïðèìåíÿþò
ãëàâíûì îáðàçîì
íà äîðîãàõ þæíîé
ïîëîñû åâðîïåéñêîé
÷àñòè ñòðàíû,
ãäå áûâàþò ìåòåëè
ñ âëàæíûì ñíåãîì;
2-ãî òèïà ðàçìåðîì
2
2 ì ñ ïëîùàäüþ
ïðîñâåòîâ 43% ïðèìåíÿþò
áîëüøåé ÷àñòüþ
â ñåâåðíûõ è öåíòðàëüíûõ
ðàéîíàõ; 3-ãî òèïà
ðàçìåðîì 2
1.5 ì ñ ïëîùàäüþ
ïðîñâåòîâ 37% ïðåäíàçíà÷àþòñÿ
ãëàâíûì îáðàçîì
äëÿ äîðîã Ñèáèðè,
ãäå äëÿ çàäåðæàíèÿ
ñóõîãî è î÷åíü
ïîäâèæíîãî ñíåãà
ïðè áîëüøèõ ñêîðîñòÿõ
âåòðà òðåáóåòñÿ
áîëåå ãóñòàÿ
îáðåøåòêà.
Ðèñóíîê
6.2 - Çàáîð îáëåã÷åííîãî
òèïà
Ùèòû ñòàâÿò
íà òàêîì ðàññòîÿíèè
îò ïóòè, ÷òîáû
ê êîíöó çèìû êðàé
ñíåãîâîãî âàëà
íå ïîïàë íà ïóòü.
Òèïîâûå ùèòû
ñòàâÿò íà ðàññòîÿíèè
30 ì îò áðîâêè îòêîñà
âûåìêè (íà íóëåâûõ
ìåñòàõ - îò áðîâêè
çåìëÿíîãî ïîëîòíà)
â ðàéîíàõ, ãäå
òðåáóåòñÿ íå
áîëåå òðåõ ïåðåñòàíîâîê
ùèòîâ çà çèìó,
è íà ðàññòîÿíèè
50 ì - ïðè áîëüøåì
êîëè÷åñòâå ïåðåñòàíîâîê.
Ùèòîâóþ ëèíèþ
ñòàâÿò ïàðàëëåëüíî
îñè ïóòè áåç ðåçêèõ
óãëîâ â ïëàíå.
Âåðõ ùèòîâîé
ëèíèè äîëæåí
ïðåäñòàâëÿòü
ïëàâíóþ ëèíèþ.
Ðåøåò÷àòûå
ùèòû 2-ãî òèïà
âûñîòîé 2 ì ñ ïðîñâåòîì
ó ïîâåðõíîñòè
çåìëè 25 ñì ìîãóò
ñîáðàòü ñíåãà
ïðèìåðíî 35 ì3 íà
1 ì; îáðàçóþùèéñÿ
ïðè ýòîì âàë çà
ùèòîì è îòëîæåíèå
ñíåãà ïåðåä ùèòîì
ìîãóò ïðèîñòàíîâèòü
äàëüíåéøóþ ðàáîòó
ùèòîâ, è ñíåãîâåòðîâîé
ïîòîê áóäåò ïåðåíîñèòü
ñíåã íàä íèìè.
 ýòîì ñëó÷àå
òðåáóåòñÿ ïåðåñòàíîâêà
ùèòîâ. Ïîýòîìó,
ïî ìåðå îáðàçîâàíèÿ
ñíåæíûõ îòëîæåíèé
ó ùèòîâ äî 2/3 èõ
âûñîòû, ãðåáåíü
ñíåãîâîãî âàëà
ñðåçàþò ïî âñåé
äëèíå, è ðàáîòîñïîñîáíîñòü
ùèòîâ íà íåêîòîðîå
âðåìÿ âîññòàíàâëèâàåòñÿ.
Åñëè æå â áëèæàéøåå
âðåìÿ îæèäàåòñÿ
ìåòåëü, òî ùèòû
ñðàçó ïåðåñòàâëÿþòñÿ.
Ïåðâóþ ïåðåñòàíîâêó
ùèòîâ ïðîèçâîäÿò
â ñòîðîíó ïîëÿ
íà ðàññòîÿíèå
20 ì, à ñëåäóþùèå
ïåðåñòàíîâêè
- â ñòîðîíó ïóòè
íàâåðõ ñíåãîâîãî
âàëà. Ïðè òàêîé
ñèòóàöèè íàèáîëåå
ýôôåêòèâíûìè
ÿâëÿþòñÿ ùèòû
ñ ðàçðÿæåííîé
íèæíåé ÷àñòüþ,
êîòîðûå ïîçâîëÿþò
ñîáèðàòü ñíåæíûé
âàë îáúåìîì äî
80-90 ì3/ïîã.ì áåç ïåðåñòàíîâêè.
Îïåðàòèâíûé
ïëàí ñíåãîáîðüáû
âêëþ÷àåò:
- ñõåìàòè÷åñêóþ
êàðòó îãðàæäåíèÿ
âñåõ ñíåãîçàíîñèìûõ
ó÷àñòêîâ ïóòè;
- âåäîìîñòü
ðàññòàíîâêè
è îðãàíèçàöèè
ðàáîòû ñíåãîî÷èñòèòåëåé
è
- ñíåãîóáîðî÷íûõ
ìàøèí;
- ïëàí ïðèâëå÷åíèÿ
îò äðóãèõ ïðåäïðèÿòèé
è îðãàíèçàöèé
äîïîëíèòåëüíîé
ðàáî÷åé ñèëû
è òðàíñïîðòíûõ
ñðåäñòâ äëÿ óáîðêè
ñíåãà â ïåðèîäû
èíòåíñèâíûõ
ñíåãîïàäîâ è
ìåòåëåé è ëèêâèäàöèè
èõ ïîñëåäñòâèé;
- îðãàíèçàöèþ
ðàáîò ïî î÷èñòêå
ïóòåé íà ïåðåãîíàõ,
ñòàíöèÿõ è óçëàõ,
óâÿçàííóþ ñ ãðàôèêîì
äâèæåíèÿ ïîåçäîâ,
ìàíåâðîâîé ðàáîòîé
â åäèíóþ òåõíîëîãèþ
ðàáîòû ñòàíöèé;
- ïîðÿäîê èñïîëüçîâàíèÿ
ñðåäñòâ ïíåâìàòè÷åñêîé
îáäóâêè è ýëåêòðîîáîãðåâà
ñòðåëîê.
Âñå ñòàíöèîííûå
ïóòè ïî î÷åðåäíîñòè
èõ î÷èñòêè äåëÿòñÿ
íà òðè î÷åðåäè.
Ê ïåðâîé î÷åðåäè
îòíîñÿòñÿ: ãëàâíûå,
ïðèåìîîòïðàâî÷íûå,
íàèáîëåå äåÿòåëüíûå
ñîðòèðîâî÷íûå
ïóòè, ìàíåâðîâûå
âûòÿæêè, ïóòè
ñòîÿíêè âîññòàíîâèòåëüíûõ
è ïîæàðíûõ ïîåçäîâ,
ñíåãîî÷èñòèòåëåé
è ñíåãîóáîðî÷íûõ
ñîñòàâîâ ñ ðàñïîëîæåííûìè
íà íèõ ñòðåëî÷íûìè
ïåðåâîäàìè, ãîðëîâèíû
ïðèåìîîòïðàâî÷íûõ,
ñîðòèðîâî÷íûõ
ïóòåé, ïóòè ê ñêëàäàì
òîïëèâà è âûòÿæêè
ñîñòàâîâ ñî ñòàíöèè.
Êî âòîðîé î÷åðåäè
îòíîñÿòñÿ îñòàëüíûå
ñîðòèðîâî÷íûå
ïóòè, ïóòè äåïîâñêèå
ê ñêëàäàì ìàòåðèàëîâ
è ìàñòåðñêèì
è âñå ñòðåëî÷íûå
ïåðåâîäû, ðàñïîëîæåííûå
íà íèõ. Ê òðåòüåé
î÷åðåäè îòíîñÿòñÿ
âñå ïðî÷èå ñòàíöèîííûå
ïóòè.
Ïðîèçâîäñòâî
ðàáîò ïî î÷èñòêå
ñòàíöèîííûõ
ïóòåé îò ñíåãà
îñíîâûâàåòñÿ
íà ñëåäóþùèõ
ïðèíöèïàõ:
à) âûïîëíåíèå
èõ äîëæíî áûòü
òåñíî óâÿçàíî
ñ ïðèåìîì, îòïðàâëåíèåì
ïîåçäîâ è ìàíåâðàìè
âíóòðè ñòàíöèè.
Äëÿ ýòîé öåëè äâèæåíèå
ñíåãîóáîðî÷íûõ
ìàøèí ïëàíèðóåòñÿ
â ïëàíàõ-ãðàôèêàõ
ðàáîòû ñòàíöèé.
Ïîñëåäîâàòåëüíîñòü
î÷èñòêè ðàçëè÷íûõ
ïàðêîâ óñòàíàâëèâàåòñÿ
ñ ó÷åòîì èõ âàæíîñòè
äëÿ âûïîëíåíèÿ
ïîåçäíûõ è ìàíåâðîâûõ
îïåðàöèé, çàíÿòîñòè
ïóòåé è ïîãîäíûõ
óñëîâèé. Ðóêîâîäèò
äâèæåíèåì ñíåãîóáîðî÷íûõ
ìàøèí íà÷àëüíèê
ñòàíöèè èëè ñïåöèàëüíûé
îïåðàòèâíûé
äåæóðíûé. Ðóêîâîäèòåëü
ñíåãîóáîðî÷íîé
ìàøèíû äîëæåí
èìåòü ðàäèîñâÿçü
ñ äèñïåò÷åðîì.
á) ðàáîòû ïî î÷èñòêå
ïóòåé îò ñíåãà
äîëæíû íîñèòü
ïðåäóïðåäèòåëüíûé
õàðàêòåð, òåì
áîëåå, ÷òî ñîâðåìåííûå
ñíåãîóáîðùèêè
ïðè íåîáõîäèìîñòè
ìîãóò î÷èùàòü
êîëåþ ïî ïîâåðõíîñòè
øïàë.
â) ìàêñèìàëüíîå
èñïîëüçîâàíèå
ñíåãîóáîðî÷íûõ
ìàøèí ïîçâîëÿåò
ðåçêî óìåíüøèòü
äîëþ ðó÷íîãî òðóäà
è ñîêðàùàåò ïðîäîëæèòåëüíîñòü
î÷èñòêè ñòàíöèîííûõ
ïóòåé.
Î÷èñòêà ïóòåé,
ñòðåëî÷íûõ ïåðåâîäîâ
è ãîðëîâèí âêëþ÷àåò
î÷èñòêó ñíåãà,
ïîãðóçêó åãî
â ïîëóâàãîíû
ñíåãîóáîðî÷íûõ
ìàøèí èëè íà
ïëàòôîðìû ñïåöèàëüíî
ôîðìèðóåìûõ ñíåãîâûõ
ïîåçäîâ, âûâîç
ñíåãà è âûãðóçêó
â çàðàíåå óñòàíîâëåííûõ
ìåñòàõ. Î÷èñòêà
ïóòåé îò ñíåãà
íà ïðîìåæóòî÷íûõ
ñòàíöèÿõ ïðîèçâîäèòñÿ,
êàê ïðàâèëî, ñíåãîî÷èñòèòåëÿìè
è ñòðóãàìè; óáîðêà
ñíåãà íà ñîðòèðîâî÷íûõ,
ó÷àñòêîâûõ è
êðóïíûõ ïàññàæèðñêèõ
ñòàíöèÿõ îñóùåñòâëÿåòñÿ
ñíåãîóáîðî÷íûìè
ìàøèíàìè (îñíîâíûå
òåõíè÷åñêèå
õàðàêòåðèñòèêè
ñíåãîî÷èñòèòåëåé
è ñíåãîóáîðî÷íûõ
ìàøèí.
Òåõíîëîãèÿ
î÷èñòêè çàâèñèò
îò òèïà è ÷èñëà
èìåþùèõñÿ ñíåãîóáîðî÷íûõ
ìàøèí, íåîáõîäèìîå
÷èñëî êîòîðûõ
â ñâîþ î÷åðåäü
îïðåäåëÿåòñÿ
îáúåìîì ñíåãà,
ïîäëåæàùåãî óáîðêå,
ïðîèçâîäèòåëüíîñòüþ
çàãðóçî÷íîãî
óñòðîéñòâà è
ñêîðîñòüþ ìàøèíû,
äàëüíîñòüþ òðàíñïîðòèðîâêè
ñíåãà ê ìåñòàì
åãî âûãðóçêè,
à òàêæå èíòåíñèâíîñòüþ
äâèæåíèÿ ïîåçäîâ
è ðàáîòû ñòàíöèè.
Ãëàâíûå è äâà
ïðèåìî - îòïðàâî÷íûõ
ïóòè â ïðåäåëàõ
âñåõ ðàçäåëüíûõ
ïóíêòîâ î÷èùàþò
ñíåãîî÷èñòèòåëÿìè
ïðè ïðîõîäå íà
ó÷àñòêå âî âðåìÿ
ñíåãîïàäîâ. Â
ïàðêå ïðèáûòèÿ
â ïåðâóþ î÷åðåäü
î÷èùàþò ïóòü,
íà êîòîðûé áóäóò
ïðèíèìàòü ïîñëåäóþùèå
ïîåçäà. Ïðè ýòîì
èñïîëüçóåòñÿ
äâóõ- èëè îäíîñòàäèéíàÿ
òåõíîëîãèÿ ðàáîò.
Ïðè äâóõñòàäèéíîé
òåõíîëîãèè ñíà÷àëà
äâóõïóòíûì ñíåãîî÷èñòèòåëåì
è (èëè) ñòðóãîì
ïîñëåäîâàòåëüíî
î÷èùàþò ïóòè
ïåðåâàëêîé ñíåãà
íà îäèí èç ïóòåé,
à çàòåì óáèðàþò
ñîáðàííûé ñíåã
ñíåãîóáîðî÷íîé
ìàøèíîé. Áîëåå
ïðîèçâîäèòåëüíîé
ÿâëÿåòñÿ îäíîñòàäèéíàÿ
òåõíîëîãèÿ óáîðêè
ñíåãà - ñ èñïîëüçîâàíèåì
ñíåãîóáîðî÷íûõ
ìàøèí ïîñëåäíèõ
âûïóñêîâ, â êîòîðûõ
î÷èñòèòåëüíûå
ùåòêè êðåïÿòñÿ
íå â ñåðåäèíå
ìàøèíû, à íà çàäíåé
ñòîðîíå êðûëüåâ,
÷òî ïîçâîëÿåò
óáèðàòü ñíåã
çà îäèí ïðîõîä.
Ïðè î÷èñòêå
ñòðåëî÷íûõ ïåðåâîäîâ
è ãëóõèõ ïåðåñå÷åíèé
îò ñíåãà â ïåðâóþ
î÷åðåäü î÷èùàþò
ïðîñòðàíñòâî
ìåæäó ðàìíûìè
ðåëüñàìè è îñòðÿêàìè
ñòðåëîê, òÿãè
ýëåêòðîïðèâîäîâ,
ïîäâèæíûå ñåðäå÷íèêè
êðåñòîâèí, êîíòððåëüñîâûé
è êðåñòîâèííûå
æåëîáà. Ïåðèîäè÷åñêàÿ
î÷èñòêà îò ñíåãà
ñòðåëî÷íûõ ïåðåâîäîâ
ïðîèçâîäèòñÿ
ùåòî÷íûìè ñíåãîóáîðî÷íûìè
ìàøèíàìè ÖÍÈÈ,
ñîñòîÿùèìè èç
îäíîãî ïîëóâàãîíà,
îáîðóäîâàííîãî,
êàê è ñàìîõîäíàÿ
ìàøèíà ÑÌ, ðîòîðîì-ïèòàòåëåì,
òðàíñïîðòåðîì
è äðóãèìè óñòðîéñòâàìè.
Äëÿ òåêóùåé íåïðåðûâíîé
î÷èñòêè ñòðåëîê
ïðèìåíÿþò ïíåâìîî÷èñòèòåëüíûå
è ýëåêòðîîáîãðåâàòåëüíûå
óñòðîéñòâà ñ
ðó÷íûì èëè (äëÿ
öåíòðàëüíûõ ñòðåëî÷íûõ
ïåðåâîäîâ) àâòîìàòèçèðîâàííûì
äèñòàíöèîííûì
óïðàâëåíèåì ñ
ïîñòà ýëåêòðè÷åñêîé
öåíòðàëèçàöèè
(ÝÖ) èëè ñòðåëî÷íîãî
ïîñòà. Ïíåâìîîáäóâêà
èñïîëüçóåòñÿ
ïðè ñóõîì ñíåãå
â òå÷åíèå 2-4 ÷ ñ
íà÷àëà ñíåãîïàäà
èëè ìåòåëè. Ïîñëå
ýòîãî ñíåãîóáîðî÷íûìè
ïîåçäàìè èëè
äðóãèìè ñðåäñòâàìè
óáèðàþò ñíåæíûå
âàëû, îáðàçóåìûå
ó ñòðåëî÷íûõ
ïåðåâîäîâ â ðåçóëüòàòå
ðàáîòû ïíåâìîîáäóâî÷íûõ
óñòðîéñòâ.
6.2 Îðãàíèçàöèÿ
î÷èñòêè ïóòåé
íà ñòàíöèè è
îïèñàíèå ñíåãîóáîðî÷íîé
ìàøèíû
- ïåðåãîííîå
âðåìÿ õîäà ñíåãîî÷èñòèòåëÿ;
- âðåìÿ âûäà÷è
ëîêîìîòèâîâ
ïîä ñíåãîî÷èñòèòåëü
èëè ñíåãîóáîðî÷íûé
ïîåçä;
- ïîñëåäîâàòåëüíîñòü
ðàáîò íà ñòàíöèÿõ
è ïðîäîëæèòåëüíîñòü
êàæäîé èç íèõ;
- ìåñòî
è ïîðÿäîê ñìåíû
ëîêîìîòèâíûõ
áðèãàä, áðèãàä
ñíåãîî÷èñòèòåëåé
è ñíåãîóáîðî÷íîé
òåõíèêè;
- ìåñòî
è ïðîäîëæèòåëüíîñòü
ýêèïèðîâêè ëîêîìîòèâîâ
è ñíåãîóáîðî÷íûõ
ïîåçäîâ.
Äëÿ îðãàíèçàöèè
ðàáîò ïî óáîðêå
ñíåãà ñî ñòàíöèè
êàæäûé ïàðê ñòàíöèè
ðàçáèâàþò íà
îòäåëüíûå çîíû
- íà ñòðåëî÷íûå
ãîðëîâèíû è ñòàíöèîííûå
ïóòè. Äëÿ ýòîãî
íà ñõåìó ñòàíöèè
íàíîñÿò ãðàíèöû
ãîðëîâèí è ïàðêîâûõ
ïóòåé, óêàçûâàþò
ìåñòà âûãðóçêè
ñíåãà è èõ åìêîñòü,
ìåñòà îòñòîÿ
ñíåãîóáîðî÷íûõ
ïîåçäîâ è ñíåãîî÷èñòèòåëåé
â çèìíèé ïåðèîä.
Óáîðêà ñíåãà
íà ñîðòèðîâî÷íûõ,
ó÷àñòêîâûõ è
êðóïíûõ ïàññàæèðñêèõ
ñòàíöèÿõ îñóùåñòâëÿåòñÿ
ñíåãîóáîðî÷íûìè
ïîåçäàìè. Ïðè
îñîáî ñèëüíûõ
ñíåãîïàäàõ âîçìîæíî
êîìïëåêñíîå èñïîëüçîâàíèå
ñíåãîóáîðî÷íûõ
ïîåçäîâ, ñíåãîî÷èñòèòåëåé
è ñòðóãîâ. Î÷èñòêà
ïóòåé îò ñíåãà
íà ïðîìåæóòî÷íûõ
ñòàíöèÿõ òàêæå
ïðîèçâîäèòñÿ
ñíåãîî÷èñòèòåëÿìè
è ñòðóãàìè.
Ñíåãîóáîðî÷íàÿ
ìàøèíà ÑÌ-2 - íàèáîëåå
ðàñïðîñòðàí¸ííàÿ
- ãðóçèò ñíåã
èëè çàñîðèòåëè
â ïîëóâàãîíû
ñíåãîóáîðî÷íîãî
ïîåçäà. Ðàáî÷èé
îðãàí ìàøèíû
- ù¸òî÷íûé ðîòîðíûé
ïèòàòåëü, âðàùàåòñÿ
äâèãàòåëåì ïåðåìåííîãî
òîêà. Çàáèðàåìûé
ïèòàòåëåì èëè
íîæîì ñíåã ïîäà¸òñÿ
íà êîíâåéåð, ñîñòîÿùèé
èç íàêëîííîé
(ïîä óãëîì 30°) è ãîðèçîíòàëüíîé
÷àñòåé. Íîñîâàÿ
÷àñòü êîíâåéåðà
â òðàíñïîðòíîì
ïîëîæåíèè ïîäíèìàåòñÿ
íà 400 ìì. Äëÿ çàáîðà
ñíåãà ñ ìåæäóïóòüÿ
â ãîëîâíîé ÷àñòè
ìàøèíû óêðåïëåíû
äâà êðûëà ñ øèðèíîé
çàõâàòà 5,1 ì. Ïîñåðåäèíå
ìàøèíû ðàñïîëîæåíî
óñòðîéñòâî äëÿ
ñêîëêè ëüäà èëè
óïëîòí¸ííîãî
ñíåãà íà 80 ìì íèæå
ãîëîâêè ðåëüñîâ
øèðèíîé 4 ì. Îíî
ñîñòîèò èç ñðåäíåé
è äâóõ áîêîâûõ
÷àñòåé.  òðàíñïîðòíîì
ïîëîæåíèè ñðåäíÿÿ
÷àñòü óñòðîéñòâà
ïîäíÿòà, à áîêîâûå
óáðàíû â ãàáàðèò.
Ó ïðîìåæóòî÷íîãî
ïîëóâàãîíà ïîëîì
ñëóæèò íàêëîííûé
ïëàñòèí÷àòûé
êîíâåéåð, à ó êîíöåâîãî
ïîëóâàãîíà - äâà
êîíâåéåðà: ïëàñòèí÷àòûé
(íàçûâàåòñÿ çàãðóçî÷íûì
èëè íàêîïèòåëåì)
è âûáðîñíîé èëè
ïîâîðîòíûé, ñìîíòèðîâàííûé
íà ïîâîðîòíîì
êðóãó; îí ìîæåò
óñòàíàâëèâàòüñÿ
ïåðïåíäèêóëÿðíî
ïóòè. Ó âñåõ êîíâåéåðîâ
ýëåêòðè÷åñêèé
ïðèâîä, ñîñòîÿùèé
èç ýëåêòðîäâèãàòåëÿ
è ðåäóêòîðà. Ýëåêòðîäâèãàòåëè
ïîäêëþ÷àþò ê ýëåêòðîñòàíöèè
ìàøèíû ÑÌ-2. Êîíâåéåðû
ñîñåäíèõ ïîëóâàãîíîâ
ïåðåêðûâàþò äðóã
äðóãà: ñíåã ìîæíî
ïåðåìåùàòü âäîëü
âñåãî ñîñòàâà,
ïðè ýòîì îí íå
ïðîñûïàåòñÿ ìåæäó
ïîëóâàãîíàìè.
Ñíåã, çàáèðàåìûé
ïèòàòåëåì èëè
íîæîì ìàøèíû
ÑÌ-2, ïîïàäàåò íà
êîíâåéåð, à çàòåì
â ïåðâûé ïðîìåæóòî÷íûé
ïîëóâàãîí, ãäå
íàêàïëèâàåòñÿ
ñëîé îïðåäåë¸ííîé
òîëùèíû. Äàëåå
ñíåã ïîäà¸òñÿ
â ïîñëåäóþùèå
ïîëóâàãîíû ïîêà
íå çàïîëíèò êîíöåâîé
âàãîí, ïîñëå ÷åãî
ïîåçä äâèæåòñÿ
íà ðàçãðóçêó,
â ïðîöåññå êîòîðîé
ñíåã ïîâîðîòíûì
êîíâåéåðîì îòáðàñûâàåòñÿ
âëåâî èëè âïðàâî,
íà ðàññòîÿíèå
äî 10ì.
Âðåìÿ, íåîáõîäèìîå
äëÿ óáîðêè ñíåãà
â öåëîì íà ñòàíöèè
è ïî ïàðêàì, êîëè÷åñòâî
ðåéñîâ ñíåãîóáîðî÷íûõ
ïîåçäîâ, ðàññ÷èòûâàþò
â çàâèñèìîñòè
îò:
êîëè÷åñòâà
âûïàâøåãî ñíåãà;
âûñîòû ñíåãîîòëîæåíèÿ
íà ïóòè;
ïëîòíîñòè
ñíåãà;
êîýôôèöèåíòà
óïëîòíåíèÿ ñíåãà
ïðè çàãðóçêå;
ïðîèçâîäèòåëüíîñòè
ìàøèí;
âìåñòèìîñòè
ïîëóâàãîíîâ
è ñòåïåíè èõ çàïîëíåíèÿ.
Ðèñóíîê 6.3 - Ñíåãîóáîðî÷íûé
ïîåçä ÑÌ-2: à - ìàøèíà
ÑÌ-2À; á, â - ïðîìåæóòî÷íûé
è êîíöåâîé (ðàçãðóçî÷íûé)
ïîëóâàãîí; 1 - áîêîâîå
êðûëî; 2, 23 - ýëåêòðîäâèãàòåëè
ïðèâîäà ðîòîðà
è ùåòîê; 3, 24 - ïíåâìîöèëèíäðû
êðûëüåâ; 4 - êðàíû
óïðàâëåíèÿ; 5 - ìàøèííîå
îòäåëåíèå; 6 - ïðèâîä
êîíâåéåðà; 7 - äèçåëü;
8 - ãåíåðàòîð; 9 - àêêóìóëÿòîðíàÿ
áàòàðåÿ; 10 - áîêîâûå
ëüäîñêàëûâàòåëè;
1 - öèëèíäð óïðàâëåíèÿ
áîêîâûìè ëüäîñêàëûâàòåëÿìè;
12 - ðàìà ìàøèíû;
13 - ñðåäíèé ëüäîñêàëûâàòåëü;
4, 17 - ïíåâìîöèëèíäðû
ïîäúåìà: ñðåäíåãî
ëüäîñêàëûâàòåëÿ;
ðîòîðíîãî ïèòàòåëÿ;
15 - êîíâåéåð; 16 - òåëåæêà;
18 - ïîäðåçíîé íîæ;
19 - ïèòàòåëü; 20 - çàùèòíûé
êîçûðåê; 21 - öèëèíäð
óïðàâëåíèÿ êîçûðüêîì;
22 - áîêîâûå ùåòêè;
23 - ýëåêòðîäâèãàòåëü
ïðèâîäà áîêîâûõ
ùåòîê; 25,28 - ïðèâîä
êîíâåéåðà; 26, 27, 30 - êîíâåéåðû:
ïëàñòèí÷àòûé,
íàêîïèòåëü ïîâîðîòíûé;
29 - ïîâîðîòíûé êðóã;
31 - ðûõëèòåëü
Òàáëèöà
6.2 - Òåõíè÷åñêàÿ
õàðàêòåðèñòèêà
ñíåãîóáîðî÷íûõ
ìàøèí
|
Ïàðàìåòð
|
ÑÌ-2
|
|
Ïðîèçâîäèòåëüíîñòü,
ì3/÷
|
1200
|
|
Òîëùèíà î÷èùàåìîãî
ñëîÿ ñíåãà, ì
|
0,8
|
|
Øèðèíà ïîëîñû,
î÷èùàåìîé, ì:
ïèòàòåëåì
|
2,145
|
|
êðûëüÿìè
|
5,1
|
|
Øèðèíà çàõâàòà
ëüäîñêàëûâàòåëÿ,
ì
|
3,66
|
|
Çàãëóáëåíèå
ëüäîñêàëûâàòåëÿ,
ìì
|
80
|
|
Òðàíñïîðòíàÿ
ñêîðîñòü, êì/÷
|
70
|
|
×àñîâàÿ ñèëà
òÿãè, êÍ
|
-
|
|
Âìåñòèìîñòü
ïðîìåæóòî÷íîãî
ïîëóâàãîíà, ì3
|
125
|
|
Âìåñòèìîñòü
ãîëîâíîãî è êîíöåâîãî
ïîëóâàãîíîâ,
ì3
|
-
|
|
Ìàññà, ò:
|
|
|
ìàøèíû
|
80
|
|
ïðîìåæóòî÷íîãî
ïîëóâàãîíà
|
36,5
|
|
êîíöåâîãî
ïîëóâàãîíà
|
39
|
Ïðè ýòîì íåîáõîäèìî
ó÷åñòü çàòðàòû
âðåìåíè íà:
ïîãðóçêó;
ïåðåñòàíîâêó
ñíåãîóáîðî÷íîãî
ïîåçäà ñ îäíîãî
ïóòè íà äðóãîé;
ïðîåçä ê ìåñòó
âûãðóçêè;
âûãðóçêó
ñíåãà èç êóçîâà;
ñîãëàñîâàíèå
ìàðøðóòà;
ñëåäîâàíèå
ñíåãîóáîðî÷íîãî
ïîåçäà îáðàòíî
ê ìåñòó ðàáîòû;
ñêîðîñòü
äâèæåíèÿ ñíåãîóáîðî÷íîãî
ïîåçäà.
Èòîãîâûå
äàííûå äëÿ êàæäîé
ðàñ÷åòíîé òîëùèíû
ñíåæíîãî ïîêðîâà
ïî êàæäîìó ïàðêó
ñòàíöèè ñâîäÿò
â âåäîìîñòü.
 ñîðòèðîâî÷íîì
ïàðêå â ïåðâóþ
î÷åðåäü î÷èùàþò
è óáèðàþò ñíåã
ñ ãîðî÷íîé ãîðëîâèíû
è ñîðòèðîâî÷íûõ
ïóòåé íà ðàññòîÿíèè
150 - 200 ì îò áàøìàêîñáðàñûâàòåëåé
âãëóáü ïàðêà.
Òàêóþ óáîðêó
ñíåãà íàèáîëåå
ýôôåêòèâíî âûïîëíÿòü,
äâóìÿ ñíåãîóáîðî÷íûìè
ïîåçäàìè.
Ïåðâûé ñíåãîóáîðî÷íûé
ïîåçä íàïðàâëÿåòñÿ
â ñòîðîíó ãîðêè,
à åãî ëîêîìîòèâ
íàõîäèòñÿ ñî
ñòîðîíû ïàðêà
ïðèåìà. Ïðè òàêîì
ðàñïîëîæåíèè
óìåíüøàåòñÿ
÷èñëî çàåçäîâ
íà ïóòü è óëó÷øàþòñÿ
óñëîâèÿ ïðîèçâîäñòâà
ìàíåâðîâîé ðàáîòû
íà ïîäãîðî÷íûõ
ïóòÿõ.
Âòîðîé ñíåãîóáîðî÷íûé
ïîåçä ïðèñòóïàåò
ê ðàáîòå ïî îêîí÷àíèè
óáîðêè ñíåãà
ñ ó÷àñòêîâ òîðìîçíûõ
ïîçèöèé è óáèðàåò
ñíåã íà ïóòÿõ
ñîðòèðîâî÷íîãî
ïàðêà çà ïðåäåëàìè
òîðìîçíûõ ïîçèöèé.
Åñëè íà ïóòè
èìåþòñÿ îòäåëüíî
ñòîÿùèå âàãîíû,
òî ïî óêàçàíèþ
ìàíåâðîâîãî
äèñïåò÷åðà èëè
äåæóðíîãî ïî ãîðêå
èõ ïðèöåïëÿþò
ê ëîêîìîòèâó
è îñàæèâàþò íà
ãîðêó äî òåõ ïîð,
ïîêà ãîëîâíàÿ
ñíåãîóáîðî÷íàÿ
ìàøèíà íå äîñòèãíåò
íà÷àëà î÷èñòêè
ïóòè â ñòîðîíó
ïàðêà. Çàòåì ñíåãîóáîðî÷íûé
ïîåçä â ðàáî÷åì
ñîñòîÿíèè äâèæåòñÿ
â ñòîðîíó ãîðëîâèíû
ïàðêà ôîðìèðîâàíèÿ
è îñóùåñòâëÿåò
î÷èñòêó ïóòè
îò ñíåãà. Âàãîíû
ïîäòÿãèâàþò
ê ïðåäåëüíîìó
ñòîëáèêó ýòîé
ãîðëîâèíû è îòöåïëÿþò.
Ïðè áîëüøîé ãðóïïå
âàãîíîâ íà ñîðòèðîâî÷íîì
ïóòè â ïîìîùü
ëîêîìîòèâó ñíåãîóáîðî÷íîãî
ïîåçäà âûäåëÿþò
ãîðî÷íûé ëîêîìîòèâ.
Ïîñëå î÷èñòêè
îäíîãî èëè íåñêîëüêèõ
ïóòåé ïàðêà äî
ïîëíîé çàãðóçêè
ñíåãîì ïîåçä
îòïðàâëÿåòñÿ
ïîä âûãðóçêó,
à çàòåì âîçâðàùàåòñÿ
ê ôðîíòó óáîðêè
ñíåãà.
Öèêë ïîâòîðÿåòñÿ
äî ïîëíîé óáîðêè
ñíåãà ñ ïóòåé
ïàðêà.
 ïàðêàõ ïðèåìà
è îòïðàâëåíèÿ
ïîåçäîâ âî âðåìÿ
ñíåãîóáîðî÷íûõ
ðàáîò ïóòè äîëæíû
çàíèìàòüñÿ ïîåçäàìè
è ñîñòàâàìè
â ñîîòâåòñòâèè
ñ òåõíîëîãè÷åñêèì
ïðîöåññîì ìåõàíèçèðîâàííîé
î÷èñòêè è óáîðêè
ñíåãà ñ ïóòåé
ñòàíöèè ñ òàêèì
ðàñ÷åòîì, ÷òîáû
áûëà âîçìîæíîñòü
îðãàíèçîâàòü
ðàáîòó ñíåãîî÷èñòèòåëåé
è ñíåãîóáîðî÷íûõ
ïîåçäîâ áåç äîïîëíèòåëüíûõ
ìàíåâðîâ ïî ïåðåñòàíîâêå
ñîñòàâîâ.
6.3 Îïðåäåëåíèå
îáúåìà óáèðàåìîãî
ñíåãà è ïðîäîëæèòåëüíîñòè
öèêëà ðàáîòû
ñíåãîóáîðî÷íîé
ìàøèíû
 êóðñîâîì ïðîåêòå
íåîáõîäèìî îïðåäåëèòü
îáúåì óáèðàåìîãî
ñíåãà ñ ïóòåé
ïàðêà, ïðèâåäåííîãî
â ðàçäåëå 5 â ñîîòâåòñòâèè
ñ çàäàíèåì.
Ïëîùàäü î÷èñòêè
ñíåãà ïî îäíîìó
ïóòè, ì2,

, (6.1)
ãäå

- ïîëåçíàÿ
äëèíà ïóòè, ì.
(ñì. òàáëèöó 5.1);

- ñðåäíÿÿ
øèðèíà ìåæäóïóòüÿ,
ì.
Îáúåì
íåóïëîòíåííîãî
ñíåãà, ïîäëåæàùåãî
óáîðêå ñ îäíîãî
ïóòè, ì3,

, (6.2)
ãäå

- òîëùèíà
ñëîÿ ñíåãà, ì.
Îáùèé
îáúåì ñíåãà,
ïîäëåæàùèé óáîðêå
ñ ïóòåé ïàðêà,
ì3,

, (6.3)
Ïîãðóçî÷íàÿ
âìåñòèìîñòü
ñíåãîóáîðî÷íîãî
ïîåçäà q îïðåäåëÿåòñÿ
èç â2+8ûðàæåíèÿ,
ì3

, (6.4)
ãäå

- âìåñòèìîñòü
ïðîìåæóòî÷íîãî
ïîëóâàãîíà, ì3;

- ÷èñëî
ïðîìåæóòî÷íûõ
ïîëóâàãîíîâ;

- âìåñòèìîñòü
êîíöåâîãî ïîëóâàãîíà,
ì3.
×èñëî
ðåéñîâ ñíåãîóáîðî÷íîãî
ïîåçäà, íåîáõîäèìûõ
äëÿ î÷èñòêè ãðóïïû
ïóòåé îò ñíåãà:

, (6.5)
ãäå

- êîýôôèöèåíò
çàïîëíåíèÿ ïîëóâàãîíà
ñíåãîì (0,8-0,9).
Ïðîäîëæèòåëüíîñòü
îäíîãî öèêëà
ðàáîòû ñíåãîóáîðî÷íîãî
ïîåçäà 
áåç
ó÷åòà ïðîñòîåâ,
ñâÿçàííûõ ñ ïîåçäíîé
è ìàíåâðîâîé
ðàáîòîé ñòàíöèè,
îïðåäåëèòñÿ ïî
ôîðìóëå, ìèí

, (6.6)
ãäå

, 
- âðåìÿ,
íåîáõîäèìîå
äëÿ ñîãëàñîâàíèÿ
è ïîäãîòîâêè
ìàðøðóòà ñîîòâåòñòâåííî
ê ìåñòó ðàáîòû
è ïîñëå çàãðóçêè
ê ìåñòó âûãðóçêè
ñíåãà, 
;

- âðåìÿ
ñëåäîâàíèÿ ê
ìåñòó ðàáîò, 
;

- âðåìÿ
íà óñòàíîâêó
ðàáî÷èõ îðãàíîâ
ìàøèíû, 
;

- âðåìÿ
ñëåäîâàíèÿ ê
ìåñòó âûãðóçêè;

- âðåìÿ
íà óñòàíîâêó
âûáðîñíîãî òðàíñïîðòåðà
â ðàáî÷åå ñîñòîÿíèå
è òðàíñïîðòíîå
ïîëîæåíèå ïîñëå
çàãðóçêè, 
;

- âðåìÿ
ðàçãðóçêè ñîñòàâà,

.
Âðåìÿ
çàãðóçêè ñíåãîóáîðî÷íîãî
ïîåçäà, ìèí

, (6.7)
ãäå

- ïðîèçâîäèòåëüíîñòü
çàãðóçî÷íîãî
óñòðîéñòâà ñíåãîóáîðî÷íîé
ìàøèíû, 
.
Âðåìÿ
ñëåäîâàíèÿ ê
ìåñòó âûãðóçêè,
ìèí

, (6.8)
ãäå

- äàëüíîñòü
îòâîçà ñíåãà,
êì;

- ñðåäíÿÿ
ñêîðîñòü äâèæåíèÿ
ïîåçäà íà ðàçãðóçêó,

.
Îáùàÿ
ïðîäîëæèòåëüíîñòü
óáîðêè è âûâîçà
ñíåãà îäíîé ìàøèíîé,
ìèí

. (6.9)
Âåäîìîñòü ìàøèíèçèðîâàííîãî
âûïîëíåíèÿ ñíåãîóáîðî÷íûõ
ðàáîò â ïàðêå ïðèåìà
è îòïðàâëåíèÿ
ïðèâåäåíà â òàáëèöå
6.2.
Ïðîèçâåäåì ðàñ÷åòû.
Ïëîùàäü î÷èñòêè
ñíåãà ïî îäíîìó
ïóòè:






Îáúåì
íåóïëîòíåííîãî
ñíåãà, ïîäëåæàùåãî
óáîðêå ñ îäíîãî
ïóòè:






Îáùèé
îáúåì ñíåãà,
ïîäëåæàùèé óáîðêå
ñ ïóòåé ïàðêà:

Ïîãðóçî÷íàÿ
âìåñòèìîñòü
ñíåãîóáîðî÷íîãî
ïîåçäà q îïðåäåëÿåòñÿ
èç âûðàæåíèÿ:

×èñëî
ðåéñîâ ñíåãîóáîðî÷íîãî
ïîåçäà, íåîáõîäèìûõ
äëÿ î÷èñòêè ãðóïïû
ïóòåé îò ñíåãà:

Âðåìÿ
çàãðóçêè ñíåãîóáîðî÷íîãî
ïîåçäà:

Âðåìÿ
ñëåäîâàíèÿ ê
ìåñòó âûãðóçêè:

Ïðîäîëæèòåëüíîñòü
îäíîãî öèêëà
ðàáîòû ñíåãîóáîðî÷íîãî
ïîåçäà 
áåç
ó÷åòà ïðîñòîåâ,
ñâÿçàííûõ ñ ïîåçäíîé
è ìàíåâðîâîé
ðàáîòîé ñòàíöèè:

Îáùàÿ
ïðîäîëæèòåëüíîñòü
óáîðêè è âûâîçà
ñíåãà îäíîé ìàøèíîé:

Òàáëèöà
6.2 - Âåäîìîñòü ñíåãîóáîðî÷íûõ
ðàáîò
|
Íîìåð ïóòè
|
1
|
3
|
5
|
7
|
9
|
10
|
|
Ïîëåçíàÿ äëèíà
ïóòè
|
1100
|
834
|
668
|
585
|
917
|
1100
|
|
Òîëùèíà ñëîÿ
ñíåãà  Ïëîùàäü î÷èñòêè
ñíåãà, ì2704053384275374458697040
|
|
|
|
|
|
|
|
|
Îáúåì íåóïëîòíåííîãî
ñíåãà, ì3
|
3661
|
2776
|
2223
|
1947
|
3052
|
3661
|
|
Ñïîñîá î÷èñòêè
è óáîðêè ñíåãà
|
ÑÌ-2
|
|
Íåîáõîäèìîå
÷èñëî ðåéñîâ
äëÿ âûâîçà ñíåãà
|
5
|
4
|
4
|
4
|
4
|
4
|
|
Âðåìÿ çàíÿòèÿ
ïóòåé áåç ó÷åòà
ïîåçäíîãî äâèæåíèÿ,
ìèí
|
403
|
319
|
319
|
319
|
319
|
319
|
|
Ïîëíîå âðåìÿ
ðàáîòû â ãðóïïå
áåç ïîåçäíîãî
äâèæåíèÿ, ìèí
|
2000
|
Çàêëþ÷åíèå
 äàííîé êóðñîâîé
ðàáîòå ïî çàäàííûì
äàííûì ÿ íàó÷èëñÿ
îïðåäåëÿòü êëàññèôèêàöèþ
ïóòè, îçíàêîìèëñÿ
ñ íîðìàìè ïåðèîäè÷íîñòè
âûïîëíåíèÿ ðåìîíòíî-
ïóòåâûõ ðàáîò,
ñòðîèòü ïîïåðå÷íûé
ïðîôèëü íàñûïè
è âûåìêè ïî ðàñ÷åòàì
ãëóáèíû âîäîîòâîäíûõ
êàíàâ, òàêæå ÷åðòèòü
ïîñòðîåíèå ïîïåðå÷íîãî
ïðîôèëÿ îñíîâíîé
ïëîùàäêè çåìëÿíîãî
ïîëîòíà íà ðàçäåëüíîì
ïóíêòå.
Íàó÷èëñÿ ñîñòàâëÿòü
ïðîåêò ïî îðãàíèçàöèè
îñíîâíûõ ðàáîò
ïî êàïèòàëüíîìó
ðåìîíòó ïóòè
è ïîñòðîåíèå
ãðàôèêà îñíîâíûõ
ðàáîò â îêíî. Èçó÷èë
òåõíèêó áåçîïàñíîñòè
ïðè ðåìîíòå ïóòè
è ñõåìó îãðàæäåíèÿ
ìåñòà ïðîèçâîäñòâà
ðàáîò.
Îçíàêîìèëñÿ
ñ êîíñòðóêöèÿìè
ñòðåëî÷íûõ ïåðåâîäîâ,
èõ îñíîâíûìè
ýëåìåíòàìè, ìàðêàìè
èñïîëüçóåìûõ
êðåñòîâèí, îñîáåííîñòÿìè
óêëàäêè, âû÷åðòèë
ýïþðó ñòðåëî÷íîãî
ïåðåâîäà.
Òàêæå óçíàë,
êàê íóæíî ïðîèçâîäèòü
ðàñ÷åò ýëåìåíòîâ
ñòðåëî÷íîé óëèöû
è äëèí ïóòåé ñòàíöèîííîãî
ïàðêà, îïðåäåëÿòü
ïîëåçíóþ äëèíó
êàæäîãî ïóòè
ïàðêà.
Èçó÷èë îðãàíèçàöèþ
ðàáîò ïî î÷èñòêå
ïóòåö è óáîðêå
ñíåãà. Óçíàë
÷òî íóæíî äëÿ
çàùèòû òåððèòîðèè
ñòàíöèè îò ñíåæíûõ
çàíîñîâ, êàêèå
ñðåäñòâà ïðèìåíÿþòñÿ
äëÿ çàùèòû îò
ñíåãà, èç êàêèõ
ïóíêòîâ ñîñòîèò
ïëàí ñíåãîáîðüáû,
à òàêæå êàêèå
ñóùåñòâóþò ñíåãîóáîðî÷íûå
ìàøèíû.
Ñïèñîê èñïîëüçóåìûõ
èñòî÷íèêîâ
1. Êðåéíèñ Ç.Ë.,
Ïåâçíåð Â.Î. Æåëåçîäîðîæíûé
ïóòü: ó÷åáíèê.
- Ì.: ÃÎÓ «Ó÷åáíî-ìåòîäè÷åñêèé
öåíòð ïî îáðàçîâàíèþ
íà æåëåçíîäîðîæíîì
òðàíñïîðòå», 2009.
- 432 ñ.
2. Àìåëèí Ñ.Â.
Óñòðîéñòâî è
ýêñïëóàòàöèÿ
ïóòè / Ñ.Ñ. Àìåëèí,
Ã.Å. Àíäðååâ. - Ì.:
Òðàíñïîðò, 1986. - 238 ñ.
3. Æåëåçíîäîðîæíûé
ïóòü / Ò.Ã. ßêîâëåâà
. - Ì.: Òðàíñïîðò,
2001. - 372 ñ.
. Êîìïëåêñíàÿ
ìåõàíèçàöèÿ
ïóòåâûõ ðàáîò
/ Â.Ë. Óðàëîâ
- Ì.: Ìàðøðóò,
2004. - 382 ñ.
. Òåõíè÷åñêîå
îáñëóæèâàíèå
è ðåìîíò æåëåçíîäîðîæíîãî
ïóòè / ïîä. ðåä. Ç.Ë.
Êðåéíèñ. - Ì.: ÓÌÊ
ÌÏÑ Ðîññèè, 2001. -
768 ñ.
. Èíñòðóêöèÿ
ïî ñèãíàëèçàöèè
íà æåëåçíûõ äîðîãàõ
Ðîññèéñêîé Ôåäåðàöèè.
- Ì. 2011. - 128 ñ.
. Ïðàâèëî
òåõíè÷åñêîé
ýêñïëóàòàöèè
æåëåçíûõ äîðîã
Ðîññèéñêîé Ôåäåðàöèè.
- Ì.: Òðàíñèíôî
ËÒÄ, 2011. - 256 ñ.
. Èíñòðóêöèÿ
î ïîðÿäêå ïîäãîòîâêè
ê ðàáîòå â çèìíèéïåðèîä
è îðãàíèçàöèè
ñíåãîáîðüáû
íà æåëåçíûõ äîðîãàõ
ÎÀÎ «ÐÆÄ» - Ì.: ÈÊÖ
«Àêàäåìêíèãà»,
2006. - 156 ñ.
Ðàçìåùåíî
íà Allbest.ru