Общественное здание с несущим каркасом и большепролетными конструкциями зала
Содержание
1.
Объемно-планировочное решение
1.1
Общая характеристика здания
1.2
Основные объемно-планировочные параметры
1.3
Функциональные схемы
1.4
Выполнение противопожарных и санитарно-гигиенических требований
1.5
Технико-экономические показатели
1.6
Расчет зрительного зала
1.7
Теплотехнический расчет
2.
Конструктивное решение
2.1
Элементы каркаса
2.2
Стены и перегородки
2.3
Лестницы
2.4
Конструкции зального помещения
3. Инженерные
сети
Список
литературы
1. Объемно-планировочное решение
.1 Общая характеристика здания
Запроектированное здание является кинотеатром со зрительным залом на 300
мест.
Данный проект разработан для строительства в г. Казань.
Количество этажей - 2.
Подвал и техподполье не проектировались.
Двухэтажный клуб включает в себя 23 помещения, названия и площади которых
указаны в экспликации помещений в графической части курсовой работы.
На первом этаже располагаются: зрительный зал, киноплощадка, фойе с
буфетной стойкой, подсобная буфета, курительная, кабинет директора, плакатная и
столярная мастерская, комната персонала, кладовая, санитарный узлы, кассовый
вестибюль, венткамера, тепловой пункт, аккумуляторная, кислотная,
электрощитовая, насосная.
На втором этаже располагаются: кинопроекционная на 3 поста,
кинопроекционная на 2 поста, венткамера, перемоточная, радиоузел.
1.2 Основные объемно-планировочные параметры
Данное здание имеет габариты 51,00*45 метра. Максимальная высота здания
10,4 - м. Сетка колонн составляет 6*6, 3*6 и 3*3 метров.
Данное здание имеет помещения, перекрываемые большепролетными
конструкциями покрытия.
Здание имеет каркасную конструктивную систему с продольным расположением
ригелей. Объемно-планировочная система: смешанная.
Зрительный зал является необходимым планировочным элементом кинотеатра.
Зал предназначается для проведения собраний, показа фильмов, концертных
программ, театральных постановок (профессиональных спектаклей в выездном
оформлении и любительских спектаклей).
Форму зрительных залов целесообразно избирать согласно требованиям
комфортной видимости, а также с учетом композиционного решения здания.
1.3 Функциональные схемы
1 этаж
этаж
1.4 Выполнение противопожарных и санитарно-гигиенических
требований
Особенностями общественных зданий являются сосредоточение в них большого
числа людей и размещение в некоторых видах зданий легковозгораемых, огнеопасных
материалов. Поэтому принимаются специальные меры с целью уменьшения возможности
возникновения пожара, ограничения его распространения в здании, облегчения
борьбы с огнем, сохранения прочности и устойчивости, обеспечения быстрой и
безопасной эвакуации людей и ликвидации последствий пожара.
Для повышения пожарной безопасности помещения отделяются огнестойкими,
противопожарными ограждающими конструкциями. Помещения при сцене должны иметь
самостоятельные выходы наружу. Занавес должен иметь предел огнестойкости 2,5 -
3 часа.
Важным противопожарным мероприятием является обеспечение надежной и
быстрой эвакуации людей. В качестве эвакуационных путей предпочтительно
применение двухмаршевых лестниц. В общественных зданиях с залами вместимостью
от 300 человек система пожарного водопровода должна обеспечивать орошение
каждой точки помещения не менее чем двумя струями воды. Для отделочных работ,
оборудования залов большой вместимости и путей эвакуации людей следует отдавать
предпочтение несгораемым и трудносгораемым материалам.
Естественное освещение создает необходимые условия для жизнедеятельности
людей, имеет существенное оздоровительное значение и положительно влияет на их
психофизиологическое состояние.
Размеры светопроемов и их размещение в наружных стенах обеспечивают
необходимый уровень освещения.
Очищение воздушной среды достигается частично при воздухообмене.
Инсоляция, то есть облучение прямыми солнечными лучами, имеет существенное
гигиеническое значение. Ориентация окон по сторонам света, величина оконных
проемов и солнцезащитные устройства должны обеспечить требуемое время инсоляции
помещений и предохранять их от излишней солнечной радиации.
Требуемые параметры воздушной среды (температура, влажность, степень
чистоты воздуха, скорость его движения) обеспечиваются центральными системами
отопления и искусственной приточно-вытяжной вентиляцией или системами
кондиционирования воздуха.
В концертных и зрительных залах помимо тщательной изоляции от внешних
шумов следует создавать хорошую акустику.
1.5 Технико-экономические показатели
Общая площадь общественного здания определяется как сумма площадей всех
этажей (включая технические, мансардный, цокольный и подвальные).Площадь этажей
зданий следует измерять в пределах внутренних поверхностей наружных стен.
Площадь антресолей, переходов в другие здания, остекленных веранд, галерей и
балконов зрительных и других залов следует включать в общую площадь здания.
Площадь многосветных помещений следует включать в общую площадь здания в
пределах только одного этажа.
При наклонных наружных стенах площадь этажа измеряется на уровне пола.общ
= 1334,75 м2.;
Полезная площадь общественного здания определяется как сумма площадей
всех размещаемых в нем помещений, а также балконов и антресолей в залах, фойе и
т.п., за исключением лестничных клеток, лифтовых шахт, внутренних открытых
лестниц и пандусов.пол = 1246,85 м2.
Расчетная площадь общественных зданий определяется как сумма площадей
всех размещаемых в нем помещений, за исключением коридоров, тамбуров,
переходов, лестничных клеток, лифтовых шахт, внутренних открытых лестниц, а
также помещений, предназначенных для размещения инженерного оборудования и инженерных
сетей.расч = 1191,45 м2.
В общую, полезную и расчетную площади зданий не включается:
. площадь подполья для проветривания здания, проектируемого для
строительства на вечномерзлых грунтах, чердака;
. площадь технического подполья (технического чердака) при высоте
от пола до низа выступающих конструкций менее 1,8 м;
. площадь лоджий, тамбуров, наружных балконов, портиков, крылец,
наружных открытых.
Коэффициент
характеризует отношение расчетной площади здания
к общей площади
:
,
К1=
= 0,9
Строительный объем здания определяется как сумма строительного объема
выше отметки ±0.00 (надземная часть) и ниже этой отметки (подземная часть).
Строительный объем надземной и подземной частей здания определяется в
пределах ограничивающих поверхностей с включением ограждающих конструкций,
световых фонарей, куполов и др., начиная с отметки чистого пола каждой из
частей здания.
Строительный объем определяется без учета выступающих архитектурных
деталей и конструктивных элементов, подпольных каналов, портиков, террас,
балконов, объема проездов и пространства под зданием на опорах (в чистоте), а
также проветриваемых подполий под зданиями, проектируемыми для строительства на
вечномерзлых грунтах.
Строительный объем здания составляет:
Vстр
= 11548,7 м3.
Коэффициент К2 характеризует отношение строительного объема Vзд к общей площади здания Sобщ.
К2= Vзд / Sобщ.
К2=

=8,6
Коэффициент
К2 зависит от принятой высоты помещения, размеров лестниц и
коридоров.
При
определении этажности здания в число этажей включаются все надземные этажи, в
том числе технический этаж, мансардный, а также цокольных этаж, если верх его
перекрытия находится выше средней планировочной отметки земли не менее чем на 2
м.
Подполье
для проветривания под зданиями, проектируемыми для строительства на
вечномерзлых грунтах, независимо от его высоты, в число надземных этажей не
включается.
При
различном числе этажей в разных частях здания, а также при размещении здания на
участке с уклоном, когда за счет уклона увеличивается число этажей, этажность
определяется отдельно для каждой части здания.
Технический
этаж, расположенный над верхним этажом, при определении этажности здания не
учитывается.
Этажность
данного здания составляет 2 этажа.
1.6 Расчет зрительного зала
Расчет видимости
Рисунок 1
Габариты зрительного зала 24,4´12,4´7,6 м.
число рядов - 19;
ширина ряда - 0,9 м;
длина ряда - 8 м;
число человек в ряду - 16.
Размеры экрана:
ширина - 8,0 м;
высота - 3,6 м.
Расчетная точка видимости F находится в середине нижней кромки экрана.
Вычислим высоту расположения последнего ряда мест относительно пола по
формуле:
,
где
- подъем последнего ряда мест;
-
расстояние от расчетной точки до спинок кресел последнего ряда;
-
расстояние от расчетной точки до спинок кресел первого ряда;
-
расстояние от уровня глаз зрителя до верхней точки его головы (луч зрения
следующего зрителя);
- ширина
ряда;
-
уровень расчетной точки видимости по отношению к уровню глаз зрителя первого
ряда.
Уровень
глаз сидящего зрителя первого ряда над полом - 1,2 м.
хп=
22,9
х1
= 6,7
с=0,12
- для кинопросмотров.
h0 = 1,9-1,2=0,3
Hп = 
=5,69
Высота
ряда:
r =
n- кол-во рядов
-1
r =
=0,32
Расчет акустики
Рассчитать
реверберацию зрительного зала клуба на 400 мест.
Объем
зала
.
Общая
площадь внутренних поверхностей
.
Данные,
необходимые для расчета, сводим в таблицы.
Таблица 1 Определение эквивалентной площади звукопоглощения ограждающих
поверхностей
|
Поверхности, материалы
|
Площадь звукопоглощения , м2
|
Значение коэф-та и эквивалентной площади звукопоглощения , м2 на частотах, Гц
|
|
|
|
125
|
500
|
2000
|
|
|
|
|
|
|
|
|
|
|
Потолок - Цилиндрические сегменты из трёхмиллиметровой фанеры, покрытой мягким
оргалитом, длина хорды 70 см, стрела выноса 32 см
|
302,5
|
0,3
|
90,7
|
0,35
|
105,8
|
0,28
|
84,7
|
|
Боковые стены, задняя стена
- Штукатурка гипсовая сухая
|
445,6
|
0,01
|
4,4
|
0,02
|
8,9
|
0,06
|
26,7
|
|
Пол, не занятый местами для
зрителей - паркет
|
99,9
|
0,04
|
3,9
|
0,07
|
0,06
|
5,9
|
|
Проем сцены
|
62
|
0,2
|
12,4
|
0,3
|
18,6
|
0,3
|
18,6
|
|
∑
|
|
|
111,4
|
|
140,2
|
|
135,9
|
|
|
|
|
|
|
|
|
|
|
|
Таблица 2 Определение эквивалентной площади звукопоглощения слушателей и
кресел
|
Поверхности, материалы
|
Число
|
Значение и эквивалентной площади звукопоглощения , м2 на частотах, Гц
|
|
|
|
125
|
500
|
2000
|
|
|
|
|
|
|
|
|
|
|
Сидящие зрители - 70%
заполнения
|
201,6.
|
0,25
|
50,4
|
0,4
|
80,64
|
0,45
|
90,72
|
|
Свободные кресла -
полумягкие с тканевой обивкой
|
86,4.
|
0,08
|
6,9
|
0,15
|
12,96
|
0,2
|
17,28
|
|
∑
|
|
|
57,3
|
|
93,6
|
|
108
|
|
|
|
|
|
|
|
|
|
|
для
частоты 125 Гц
;
для
частот 500 и 2000 Гц
.
=57,3+54,6+111,4
= 222,3 ;
;
.
;
Расчетное
время реверберации
;
с
Определяем
оптимальное время реверберации по графику (рис. 6 СНиП 23-03-2003 «Защита от
шума»):
,
.
Выводы
Так как разница между
и
на всех
частотах меньше 10%, то условия по времени реверберации удовлетворяется.
-
образуется небольшое эхо, можно было бы увеличить звукопоглощение на этой
частоте.
Это
можно сделать, используя тканевые портьеры и дорожки, которые увеличивают
звукопоглощение на средних частотах. Если же появится необходимость
использования специальных звукопоглощающих материалов, то их следует размещать
в верхней зоне стен и по периметру потолка.
1.7 Теплотехнический расчет
Коэффициент
теплоотдачи внутренней поверхности ограждающей конструкции - 
= 8,7 
;
Коэффициент,
учитывающий зависимость положения наружной поверхности ограждающих конструкций
по отношению к наружному воздуху - n=1;
Климатические параметры:
-
расчётная температура наружного воздуха (Температура наружного воздуха наиболее
холодной пятидневки (обеспеченностью 0,92) 
= -32°С;
продолжительность
отопительного периода (со средней суточной температурой наружного воздуха ≤
8°С) - 
=215сут.;
средняя
температура отопительного периода (со средней суточной температурой наружного
воздуха ≤ 8°С) - 
= -5,2 °С
Градусо-сутки отопительного периода

;
Требуемое сопротивления теплопередаче

;
a = 0,0003 ;
b=1,2;
Рисунок
2 Конструкция стены
Таблица
3 Параметры материалов наружной стены
|
материал
|
Плотность  ,
кг/м3коэффициент теплопроводности, λ, Вт/(м*К)толщина слоя, δ, м
|
|
|
|
1. Керамический пустотный
кирпич
|
1200
|
0,52
|
0,25
|
|
2 . Минеральный ваты
|
100
|
0,050
|
δ
|
|
3. Пенобетон
|
1100
|
0,53
|
0,12
|
2,7=0,5+0,23+

= 0,1
Утеплитель
- 100мм

= 2,7+
=2,85
,85>2,7
Условие
по теплопроводности выполняется.
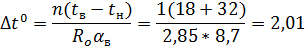
Температурный перепад:
2,01<4,5
Температурный перепад соответствует санитарно-гигиеническим требованиям.
Общая толщина стены : 120+250+100=470мм
2. Конструктивное решение
.1 Элементы каркаса
Фундаменты - свайные железобетонные сборные, стаканного типа.
Колонны сечением 400´400.
Ригели толщиной 600 мм длиной 3 и 6 м.
Перекрытия выполнены из сборных железобетонных пустотных панелей, высотой
200 мм монтируемых на цементно-песчаном растворе. К монтажным петлям плит с
шагом не более 3 метров привариваются металлические анкера, для лучшей взаимной
работы между панелями. Для обеспечения жесткости каркаса здания используются
связевые плиты - рядовые и пристенные.
Плиты опираются ригели.
Диафрагма жесткости предусмотрена в лестничной клетке.
Проектом предусмотрено устройство плоской крыши над всем зданием, кроме
зрительного зала. Водоотвод внутренний, через водоприемные воронки и стояки
ливневой канализации.
.2 Стены и перегородки
планировочный каркас теплотехнический помещение
Наружные стены - кирпичные самонесущие - 470 мм
Внутренние стены и перегородки запроектированы из силикатного
кирпича. Стены выполняются толщиной 380 мм, а перегородки - 250 и 120 мм.
Перегородки в помещениях с мокрым и влажным режимом выполнены из полнотелого
керамического кирпича, крепление перегородок к несущим конструкциям выполняется
с помощью ершей. Перегородки армируются проволокой 203Вр1 через 5 рядов.
2.3 Лестницы
Лестница в проектируемом здании сборная железобетонная по серии 1.151-1,
вып.1; 1.152-7,вып. 1; 1.155-1, вып.1. Ширина лестничной клетки 2,6 метра.
Зазор 100 мм оставлен в противопожарных целях. Ширина ступени 1200 мм, длина
ступени 300 мм, высота ступени 150 мм.
Количество подъемов в одном марше - 12.
Число маршей в лестничной клетке - 2.
.4 Конструкции зального помещения
Покрытие над зрительным залом - ферма.
3. Инженерные сети
Вентиляция проектируемого кинотеатра предусматривается вытяжная с
естественным побуждением. Вытяжка осуществляется через каналы в кирпичных
стенах с выбросом воздуха через вентиляционные шахты, выведенные выше уровня
кровли
Предусматривается также централизованное отопление, холодное и горячее
водоснабжение.
Вокруг кинотеатра выполняется магистральный пожарный хозяйственно -
питьевой водопровод с колодцами, в которых установлены пожарные гидранты.
Канализация выполняется с врезкой в колодцы внутриквартальной
канализации.
Энергоснабжение выполняется от городской подстанции с запиткой по две
секции двумя кабелями - основной и запасной. Встроенные помещения запитываются
отдельно, через свои электрощитовые.
Из внутриквартальной телефонной сети подводится телефонный кабель и в
зависимости от возможности городской телефонной станции осуществляется
подключение к городской телефонной сети.
Мусоропровод внешний. Накапливается мусор в мусорных тележках,
погружается в мусоросборные машины и вывозится на городскую свалку отходов.
Список литературы
1. Конструкции гражданских зданий: Учеб. пособие для вузов/
Т.Г. Маклакова, С.М. Нанасова, Е.Д. Бородай, В.П. Житков; Под ред. Т.Г.
Маклаковой. - М.: Стройиздат, 1986. - 135 с.: ил.
. Конструкции гражданских зданий. Учебник для вузов. Под ред.
М. С. Туполева.- М.:Стройиздат, 1973.
. СНиП 21-01-97 Пожарная безопасность зданий и сооружений.
. ГОСТ 6629-74 Двери деревянные внутренние для жилых и
общественных зданий.
. ГОСТ 11214-86 Окна и балконные двери деревянные с двойным
остеклением для жилых и общественных зданий.
. СНиП 2.08.02-89* Общественные здания и сооружения.
. Шершевский И. А. Конструирование гражданских зданий. - Л.:
Стройиздат, 1086.
. А. Казбек-Казиев. Архитектурные конструкции. - М.: Высшая
школа, 1989. - 342 с.