Разработка возбудителя для осуществления канального кодирования и модуляции сигнала по стандарту DVB-T
Аннотация
Ушбу
битирув-малакавий ишида телевизион сигналларни DVB-T
стандартида узатиш учун
мўлжалланган рақамли телевизион узаткич тадқиқ килинган.
Шунингдек, сигнални модулляциялаш ва каналли кодлашни амалга ошириш вазифасини
бажарувчи кузгатувчи ишлаб чиқилган.
Аннотация
В данной
выпускной-квалификационной работе проведено исследование
цифрового телевизионного передатчика для организации вещания в стандарте DVB-T.
Разработан возбудитель для осуществления канального кодирования и модуляции
сигнала.
Summary
In this
final qualification work the research
on digital television
transmitter for DVB-T standard
is provided. The exciter for channel coding and modulation of the television
signal is designed.
Оглавление
Введение
1. Обзорная часть
.1 Состав, основные параметры и
общие технические характеристики цифрового телевизионного передатчика
.2 Классификация и анализ
технических решений, тактико-технических характеристик цифрового телевизионного
передатчика
.3 Современные цифровые технологии и
особенности построения ТВ передатчиков для DVB-T
1.4 Распределение частотных ресурсов
основных соотношений для расчета напряженности поля
.5
Определение радиуса зоны обслуживания
2. Требования к спектральной
характеристике, виду модуляции и другим параметрам, налагаемым стандартом DVB-T
.1 Вариант ТВ передатчика в системе
НЦТВ
.2 Проектирование сетей наземного
телевизионного вещания на основе стандарта DVB-T
.3 Примеры построения телевизионного
вещания в стандарте DVB-T
в некоторых странах
2.4
Концепция внедрения телевещания
в стандарте
DVB-T
в
Республике
Узбекистан
.5 Сравнительная оценка
эффективности использования частотных ресурсов и ЭИМ
3. Разработка
возбудителя для осуществления канального кодирования и модуляции сигнала по
стандарту DVB-T
.1 Организация интерактивной
системы в НЦТВ
.2 Категории интерактивных
мультимедийных услуг
.3 Условный доступ (УД) в системах
цифрового ТВ вещания стандарта DVB-T
.
Охрана труда и техника безопасности
.1 Техника безопасности при работе с
ПК
4.2 Пожарная
безопасность
.3 Меры по
профилактике и противопожарной безопасности
Выводы
Список использованной литературы
Введение
Телевизионное вещание в аналоговых системах PAL,
SECAM и NTSC различных стандартов ведется в диапазонах метровых и дециметровых
волн около 30 лет и во всем мире сложились широко развитые сети телевизионного
вещания, обеспечивающие доставку телевизионных программ потребителям.
Одновременно происходило совершенствование аппаратно-студийных средств и
развитие в последние годы цифровой техники позволило создать и внедрить в
практику формирования и обработки видео и аудио сигналов, цифровую и
компьютерные технологии, значительно повышающие качество программных продуктов
и расширяющие технические возможности их создания. Однако, существующие сети,
ориентированные на передачу аналоговых сигналов, не позволяют реализовать в
полной мере возможности, которые открываются при использовании цифровых
технологий, как при производстве программных продуктов, так и при представлении
новых видов услуг потребителям.
Поддержка банковской системы,
модернизация, техническая реконструкция и диверсификация производства, широкое
внедрение инновационных технологий во все сферы народного хозяйства - вот
верный путь преодоления мирового финансово-экономического кризиса и выхода
Узбекистана на новые рубежи в мировом рынке. [1].
В связи с этим, одна из ключевых задач
глобального информационного общества - преодоление цифрового разрыва,
трактуемого как неравенство граждан в доступе к современным цифровым
коммуникационным технологиям и предоставляемым ими услугам, а также превращение
цифрового разрыва в цифровые возможности. Интерактивное же цифровое ТВ вещание
является важной составляющей ГИО (глобального информационного общества) и
представляет собой не только вид вещания, но и мощное средство инфокоммуникаций.
Для ускорения преодоления
цифрового разрыва был предложен новый глобальный подход и разработан пакет
стандартов, которые предусматривают внедрение многофункционального
интерактивного цифрового вещания с использованием в переходный период гибридных
аналого-цифровых технологий и сопровождаются преобразованием абонентских
терминалов (STB) в гамму
программируемых устройств, дополнительно решающих многие инфокоммуникационные
задачи. Это интерактивность и медиаметрия (измерение аудитории), мобильный
прием мультимедиа, использование цифровых архивов, дистанционное беспроводное
управление всем информационным комплексом, абонент массового оповещения при
стихийных бедствиях и ликвидации их последствий.
Основой международной
стандартизации в данной области стала глобальная модель цифровой системы
вещания. Она постепенно совершенствовалась и дополнялась с учетом новых
социальных заказов и прогресса в технологиях. Первая модель системы цифрового
ТВ вещания была рассмотрена в 1989 году.
Модель содержит модуль вещания,
а поскольку обязательным атрибутом становится массовая интерактивность, в
модель включен интерактивный модуль и что самое важное, двунаправленная шина,
обеспечивающая эту интерактивность. Тем самым подчеркивается конвергенция и
неразрывность вещания, телекоммуникаций и компьютерных технологий.
Радиосистемы абонента, впервые
предложенные для приема ТВ программ и обратных интерактивных сообщений в
соответствующих полосах частот в последние годы развились в универсальные
системы беспроводной связи, например, WI-FI.
Bluetooth, UWB
home RF
и другие
Ряд преимуществ даёт
дистанционное беспроводное управление домашним инфокоммуникационным комплексом,
универсальными радиосистемами абонента с помощью цифровой приставки к ТВ
приемнику (STB).
Для повышения привлекательности
перехода на цифровое ТВ вещание была поставлена задача преобразования
ограниченных первоначально функций абонентских терминалов STB
(они были предназначены лишь для приема программ цифрового вещания), в
многоцелевые интерактивные устройства, способные обслуживать вещание и многие
инфокоммуникационные службы. При этом благодаря достижению
многофункциональности программными средствами, стоимость таких устройств
практически не возрастает.
Исходя из выше изложенного
задачи разработки многофункциональной цифровой передачи это устройства,
обеспечиваемого подачу многопрограммного цифрового наземного ТВ вещания и
дополнительно современных услуг является актуальной. Магистерская диссертация
состоит из введения, трех глав, заключения и списка использованной литературы,
в которых рассмотрены вопросы проектирования исходя из частотных ресурсов и
технических возможности нашей республики.
В процессе проектирования также
учтены основные положения, включенные в концепцию внедрения цифрового
телевизионного и звукового вещания республики Узбекистан в стандарте DVB-T.
1. Обзор и анализ известных технических решений,
современных технологий используемых в ТВ передатчиках наземного вещания
.1 Состав, основные параметры и общие
технические характеристики цифрового телевизионного передатчика
Для черно-белого телевидения в разных странах
мира используют 10 стандартов, различающихся между собой числом строк (625 или
525), частотой полей (50…60 Гц), частотой строк (15 625 или 15 750 Гц), полосой
частот видео- и радиоканала (включая сигналы звукового сопровождения), видом
модуляции несущей звука (ЧМ или АМ), разносом несущих частот видео- и звукового
сигналов и некоторыми другими характеристиками.
По способу передачи сигналов цветности различают
три основные системы совместимого с черно-белым изображением цветного
телевидения: SECAM, NTSC
и PAL.
При квадратурной ФМ используют одну поднесущую
на частоте 3,5795 МГц (NTSC)
или 4,4336 МГц (PAL).
Сигнал на поднесущей частоте с помощью фазовращающей цепи разделяется на две составляющие,
сдвинутые одна относительно другой на 900, что позволяет каждую из
составляющих модулировать своим цветоразностным сигналом.
NTSC (National
Television
System Color)
- первая система цветного телевидения, нашедшая практическое применение. Она была
разработана в США и уже в 1953 г. принята для вещания, а в настоящее время
вещание по этой системе ведется также в Канаде, большинстве стран Центральной и
Южной Америки, Японии, Южной Корее и Тайване. Именно при ее создании были
выработаны основные принципы передачи цвета в телевидении.
PAL (Phase Alternation Line). В системе PAL
(широко применяется в странах Центральной и Западной Европы, а также в КНДР,
КНР и в некоторых странах азиатского континента) сигналы цветности так же, как
и в системе NTSC, передаются
с помощью квадратурной фазовой модуляции 4-ФМ (QPSK),
однако фаза поднесущей одного из модулированных сигналов поочередно от строки к
строке изменяется на 180є.
SECAM (Sequentiel
Couleur A Memoire) - первоначально была предложена во Франции еще в 1954г., но
регулярное вещание после длительных доработок было начато только в 1967
одновременно во Франции и СССР [3]. В настоящее время она принята также в
Восточной Европе, Монако, Люксембурге, Иране, Ираке и некоторых других странах.
Таковы общие принципы кодирования цвета в
различных видеосистемах телевидения. Но этим многообразие стандартов не
ограничивается. Дело в том, что для формирования полного телевизионного сигнала
к видео необходимо добавить звук, а полученный так называемый низкочастотный телевизионный
сигнал передать через эфир путем модуляции гармоники одного из доступных
радиоканалов (48,5...66 МГц - первый частотный диапазон, 76...100 МГц - второй
частотный диапазон, 174...230 МГц - третий частотный диапазон, 470...790 МГц -
четвертый частотный диапазон). И здесь даже в рамках одной системы существуют
различия, связанные с конкретной шириной спектра видеосигнала и его разносом со
звуковой частью, полярностью амплитудной модуляции радиоканала изображения и
типом модуляции радиоканала звука.
1.2 Классификация и анализ технических решений,
тактико-технических характеристик цифрового телевизионного передатчика
В последние 10-15 лет во всем мире интенсивно
ведутся работы по переходу к цифровым. Переход к цифровым методам передачи
обычно, связывают с резким улучшением качественных показателей
видеоизображения. Системы многопрограммного цифрового ТВ вещания встраиваются в
существующие частотные планы распределения телевизионных каналов,
предусматривающие полосу пропускания 8 МГц.
При организации цифрового ТВ могут
использоваться те же передающие станции, которые действуют для передачи
аналоговых программ. Причем, поскольку передача цифровых программ может
осуществляться в тех же полосах частот, что и существующие аналоговые каналы,
то значительная часть пользователей сможет принимать новые программы без
модификации своих антенных систем. Применение существующих передающих станций и
тех же полос частот, в которых сейчас работают аналоговые передающие станции,
значительно снижает затраты пользователей и вещательных организаций при
внедрении цифрового ТВ.
Кроме того, прием сигналов при использовании
модуляции OFDM более устойчив к многолучевому распространению, которое
характерно для густонаселенных районов, особенно при приеме на переносные и
подвижные приемники. Достоинством метода OFDM является также возможность
подавления небольших участков спектра излучения, соответствующих, например,
частотам несущих изображения и звука аналогового телевизионного сигнала
совмещенного канала, что обеспечивает защиту от помех аналоговых и цифровых
служб.
Частотные параметры телевизионного сигнала
системы DVB-T ориентированы на существующие европейские частотные планы и
обеспечивают эфирную совместимость её с действующими аналоговыми телевизионными
передачами, что позволяет внедрять цифровое телевидение в полосах, отведённых
для ТВ вещания без изменения частотных
планов и ограничения работающих станций. При разработке системы DVB-T
обращалось внимание на совместимость её сигналов с РЭС других служб, работающих
в тех же полосах частот.
В ходе этих испытаний решались следующие задачи:
проверка ЭМС работы ТВ передатчиков аналогового
и цифрового вещания;
оценка качества разработанного отечественного
оборудования цифрового ТВ вещания;
сопряжение сети НЦТВ с кабельными и спутниковыми
распределительными сетями;
определение границ зоны обслуживания цифровым
вещанием; - контроль и измерение основных параметров.
Важнейшая задача системного проекта состояла в
разделении на составные части системы, представляющей сложную цепочку взаимодействующих
компонентов сети ТВ вещания от студии до терминала пользователя, и в
определении типовых интерфейсов.
Особое внимание уделяется комплексным испытаниям
аппаратуры в опытных зонах, в ходе которых определяется правильность выбранных
направлений разработки устройств, просматривалось уточнение параметров
аппаратуры, изучение мешающего взаимовлияния цифровых и аналоговых каналов.
Затронутые выше проблемы можно решить, используя
для ТВ вещания в цифровом формате и III
диапазон волн, по крайней мере, для трансляции наиболее привлекательных для
населения программ (табл.1).
Такое решение послужит основанием для разработки
гибридных передатчиков диапазона МВ (пока такая работа даже не ставилась перед
промышленностью). В документах международного союза электросвязи предусмотрено
использование для цифрового ТВ и диапазона метровых волн, а иностранные фирмы
производят гибридные передатчики - МВ и ДМВ диапазонов.
Вторая проблема - это территориальное и
частотное планирование, увеличение числа программ, транслируемых в одном
населенном пункте.
Таблица
1
Характеристики передатчиков для вещания в
различных диапазонах
|
Диапазон
|
МВ-I
|
МВ-III
|
ДМВ-IV
|
ДМВ-V
|
|
Вид
модуляции
|
Аналог
|
Аналог
|
Цифра
|
Аналог
|
Цифра
|
Аналог
|
Цифра
|
|
Мощность
передатчика, кВт
|
5
|
5
|
1,4
|
20
|
5
|
20
|
5
|
|
Усиление
передающей антенны, дБ
|
7,8
|
10
|
10
|
12,6
|
12,6
|
12,6
|
12,6
|
|
Высота
подвеса антенны, м
|
200
|
230
|
230
|
240
|
240
|
240
|
240
|
|
Потери
в фидере, дБ
|
0,55
|
1,25
|
1,25
|
2,1
|
2,1
|
2,3
|
2,3
|
|
Излучаемая
мощность, дБкВт
|
14,2
|
15,8
|
10,2
|
23,5
|
17,5
|
23,3
|
17,3
|
|
Напряженность
поля, дБмкВ/м
|
50
|
55
|
48
|
65
|
53
|
68
|
57
|
|
Радиус
зоны обслуживания, км
|
70,8
|
66
|
69,4
|
52,2
|
62,9
|
47,0
|
55,3
|
|
|
|
|
|
|
|
|
|
При организации многопрограммной наземной сети
ТВ вещания нужно решить ряд задач, в частности: увеличение частотного ресурса и
более эффективное его использование, модернизация радиопередающих центров;
совершенствование принципов и методов планирования сети. Можно существенно
увеличить частотный ресурс, высвободив полосы частот, предусмотренные для
вещания, но на деле используемые другими службами. Есть и другие резервы выделение
для ТВ вещания 60-69-го каналов, расширение полос частот для систем
беспроводного доступа, особенно для систем типа MMDS.
.3 Современные цифровые технологии и особенности
построения ТВ передатчиков для DVB-T
Поясним основные этапы обработки сжатых цифровых
телевизионных сигналов и цифрового потока данных в передающем и приемном
устройствах наземного телевизионного вещания в модификации стандарта DVB-T.
Аналоговые сигналы видео- и аудиоканалов
поступают на вход своих кодеров, где преобразуются в сжатые цифровые сигналы
стандарта MPEG-2. Далее
три цифровых потока (видео, аудио и данных) поступают на блоки формирования
программного потока MPEG-2
и мультиплексора. К мультиплексору подводятся опорные и синхронизирующие
сигналы, позволяющие разделить на приемной стороне цифровые потоки видео-,
аудиосигналов и данных, а также выделить сигналы, передаваемые для оценки
состояния радиоканала и об используемых режимах модуляции.
Видеоканал.
Видеоканал преобразуется в цифровой поток с помощью алгоритма MPEG-2. MPEG-2 -
это целое семейство совместимых цифровых стандартов сжатия телевизионных
сигналов с различной степенью сложности используемых алгоритмов (ISO/IEC
13818-2). В спутниковом вещании в настоящий момент используется так называемый
основной уровень с форматом разложения на 576 строк в кадре и 720 отсчетов на
строку. Для сжатия видеоданных строятся кадры трех типов. Кадры типа - I
(interfarme) - это полные кадры, сжатые по методу, аналогичному JPEG. Такой
метод позволяет добиться различной степени компрессии - выше сжатие - больше
потерь качества изображения и наоборот. Кадры типа - Р (predicted -
предсказанные) получаются с использованием алгоритмов компенсации движения и
предсказания вперед по предшествующим кадрам. В Р-кадрах, если сравнивать их с
I-кадрами, в три раза выше достижимая степень сжатия видеоданных. Кадры типа -
В (bidirectional - двунаправленные) получаются четырьмя различными алгоритмами
в зависимости от характера видеоданных. B-кадры содержат изменения относительно
предыдущих и последующих кадров, используемых в качестве опорных. Это наиболее
сжатые кадры.
Звуковой канал. Звуковые каналы преобразуются в
цифровой поток по нескольким алгоритмам. Вообще, звуковой канал с CD-качеством
звука (дискретизация 44.1 кГц ) требует скорости передачи до 1400 бит/Сек, что
недопустимо много. Использование сжатия по методу MPEG Audio Уровня 3 позволяет
добиться сжатия аудиоданных в 4-12 раз.
Уровень 1 сжимает данные 1:4 и требует скорости 384 кбит/Сек, Уровень 2 сжимает
в 6-8 раз и требует скорости 256..192 кбит/Сек, а Уровень 3 - в 10-12 раз и
требует 128..112 кбит/Сек для стереосигнала.
Синхронизация.
Синхронизация
обеспечивается эталонным генератором 27 МГц
на приемной стороне. Для подстройки частоты и фазы эталонного генератора
периодически должно передаваться Поле Эталонных часов - PCR (Program Clock
Reference). Кроме того, как уже говорилось, видеопоток содержит Метки Времени
DTS и PTS.
Стандарт сжатия видео изображения.
MPEG-2 - это целое семейство взаимосогласованных совместимых цифровых подстандартов
сжатия
телевизионного
сигнала с различной степенью сложности алгоритмов. Стандарт предусматривает 5
профилей:
1. Простой (simple) - для реализации видеопотока
без В-кадров
. Главный (main) - для реализации всех уровней,
но без масштабируемости.
. Масштабируемый по отношению сигнал/шум (SNR
scalable)
. Пространственно масштабируемый
(spatiallyscalable)
5. Профессиональный (professional 4:2:2),
пространственно масштабируемый и масштабируемый по отношению сигнал/шум.
Каждый из этих профилей можно подразделить на 4
уровня:
. Низкий (LL)
. Главный (ML)
. Высокий 1440 (Н1440)
. Высокий (HL)
В профиле простой используется наименьшее число
операций: компенсация движения и гибридное дискретное косинусное преобразование
(ДКП). Профиль главный содержит дополнительную операцию - предсказание по двум
направлениям, что улучшает качество изображения.
Профиль, масштабируемый, по отношению сигнал/шум
предусматривает повышение устойчивости системы при снижении отношения
сигнал/шум. Поток видеоданных разделяют на две части:
Программный поток. Программный поток объединяет
элементарные потоки, образующие телевизионную программу. При формировании
программного потока образуются блоки из PES-пакетов в рис. 1. Блок содержит
заголовок блока, системный заголовок (необязательный), за которым следует
некоторое количество PES-пакетов.
Рис. 1. Формирование программного потока
Длина блока программного потока может быть
произвольной, единственное ограничение - заголовки блока должны появляться не
реже, чем через 0,7 секунды. Это связано с тем, что в заголовке содержится
важная информация - опорное системное время. Системный заголовок содержит
информацию о характеристиках программного потока, например, максимальная
скорость передачи данных, число видео и звуковых элементарных потоков. Декодер
использует эту информацию, для того, чтобы решить, может ли он декодировать
этот программный поток.
Транспортный поток. Транспортный поток может
объединять пакетные элементарные потоки, переносящие данные нескольких программ
с независимыми временными базами. Он состоит из коротких пакетов фиксированной
длины (188 байтов). Элементарные потоки видео, звука и дополнительных данных
разбиваются на фрагменты, равные по длине полезной нагрузке транспортного
пакета (184 байта) и мультиплексируются в единый поток, который приведен на
рис. 2.
Это процесс подчиняется ряду ограничений:
первый байт каждого PES- пакета элементарного
потока должен быть первым байтом полезной нагрузки транспортного пакета; каждый
транспортный пакет может содержать данные лишь одного PES-пакета;
если PES-пакет не
имеет длину, кратную 184 байтам, то один из транспортных пакетов не заполняется
данными PES-пакета полностью. В этом случае избыточное пространство заполняется
полем адаптации.
Рис. 2. Формирование транспортного потока
Рис. 3. Преобразование данных и телевизионных
сигналов в передатчике DVB-T
Расщепление транспортного потока, в случае
необходимости, позволяет сформировать два потока с разным уровнем приоритета.
Поток, обозначенный пунктиром, имеет низший приоритет (несколько меньшую
помехоустойчивость), но вместе с тем обеспечивает повышенную скорость передачи
данных. Поток высшего приоритета имеет повышенную степень кодовой защиты от
помех. Таким способом реализуется возможность передачи телевизионных программ в
двух вариантах; программа низшего приоритета передается с повышенной четкостью
(при хорошем прохождении сигналов качество изображения будет высоким). При
плохом сигнале передается программа пониженной четкости, но с высшим
приоритетом защиты, что позволяет обеспечить равноценное качество изображения.
В случае изменения условий приема пользователь может переключать приемник с
одного канала на другой, выбирая лучший.
Синхронизация. Принцип постоянной задержки.
Кадры телевизионного изображения поступают на вход кодера MPEG-2 с постоянной
частотой, точно с такой же частотой должны воспроизводиться кадры
телевизионного изображения на выходе декодера приведена на рис. 4. Это
означает, что общая задержка в системе, представляющая собой сумму задержек
отдельных элементов системы, должна быть постоянной.
Рис. 4. Принцип компрессии с постоянной
задержкой
Объем
данных, необходимый для представления кодированных изображений, не является
постоянной величиной. Он зависит от детальности изображения, от наличия быстро
перемещающихся объектов, от способа кодирования (I,B и P изображения
характеризуются разными объемами данных). Энтропийное кодирование формирует
слова с переменной длиной. А для равномерной загрузки канала связи, данные
должны следовать с постоянной скоростью. Проблема решается за счет
использования буфера кодера (данные поступают в буфер с переменной скоростью, а
выходят - с постоянной).
Кодированные изображения (блоки доступа), в силу
отмеченных особенностей кодирования, поступают в декодер с переменной частотой,
но воспроизводиться должны с постоянной частотой, равной частоте кадров.
Проблема решается за счет буфера в декодере.
Рандомизация.
Рандомизация
(скремблирование) цифрового потока, что позволяет улучшить условия
электромагнитной совместимости с другими системами.
Внешнее кодирование и перемежение.
В
системе внешнего кодирования для защиты всех 188 байтов транспортного пакета
(включая байт синхронизации) используется код Рида-Соломона [5]. В процессе
кодирования к этим 188 байтам добавляется 16 проверочных байтов. При
декодировании на приемной стороне это позволяет исправлять до восьми ошибочных
байтов в пределах каждого кодового слова длиной 204 байта.
Внутреннее кодирование.
Внутреннее кодирование в системе вещания DVB-T основано на сверточном коде. Оно
принципиально отличается от внешнего, которое является представителем блоковых
кодов. При блоковом кодировании поток информационных символов делится на блоки
фиксированной длины, к которым в процессе кодирования добавляется некоторое
количество проверочных символов, причем каждый блок кодируется независимо от
других. При сверточном кодировании поток данных также разбивается на блоки, но
гораздо меньшей длины, их называют "кадрами информационных символов".
Внутреннее перемежение и формирование
модуляционных символов.
Внутреннее перемежение в системе DVB-T тесно связано с модуляцией несущих
колебаний. Оно фактически является частотным перемежением, определяющим
перемешивание данных, которые модулируют разные несущие колебания. Это довольно
сложный процесс, но именно он является основой принципов модуляции OFDM в
системе DVB-T.
Допустим, что необходимо передать в одном радиоканале
4 ТВ-программы с высоким качеством изображения. В этом случае скорость
цифрового потока для одной ТВ-программы может быть выбрана в пределах 7...8
Мбит/с, и соответственно для 4-х ТВ-программ необходимо передать цифровой поток
28...32 Мбит/с исходя из
этих данных по табл. 2.
Таблица
2
|
Вид
модуляции
|
Биты
на поднесущую
|
Внутренний
коэффициент кодирования
|
Скорость
кодирования
|
|
|
|
1/4
|
1/8
|
1/16
|
1/32
|
|
QPSK
|
2
|
Ѕ
|
4.98
|
5.53
|
5.85
|
6.03
|
|
2
|
2/3
|
6.64
|
7.37
|
7.81
|
8.04
|
|
2
|
ѕ
|
7.46
|
8.29
|
8.78
|
9.05
|
|
2
|
5/6
|
8.29
|
9.22
|
9.76
|
10.05
|
|
2
|
7/8
|
8.71
|
9.68
|
10.25
|
10.56
|
|
16-QAM
|
4
|
Ѕ
|
9.95
|
11.06
|
11.71
|
12.06
|
|
4
|
2/3
|
13.27
|
14.75
|
15.61
|
16.09
|
|
4
|
ѕ
|
14.93
|
16.59
|
17.56
|
18.10
|
|
4
|
5/6
|
16.59
|
18.43
|
19.52
|
20.11
|
|
4
|
7/8
|
17.42
|
19.35
|
20.49
|
21.11
|
|
64-QAM
|
6
|
Ѕ
|
14.93
|
16.59
|
17.56
|
18.10
|
|
6
|
2/3
|
19.91
|
22.12
|
23.42
|
24.13
|
|
6
|
ѕ
|
22.39
|
24.88
|
26.35
|
27.14
|
|
6
|
5/6
|
24.88
|
27.65
|
29.27
|
30.16
|
|
6
|
7/8
|
26.13
|
29.03
|
30.74
|
31.67
|
Сверточные коды с относительными скоростями:
1/2, 2/3, 3/4, 5/6, 7/8, в результате чего скорость цифрового потока после
помехоустойчивого кодирования увеличится в число раз, равное единице, деленной
на относительную скорость кода.
Исходя из этих данных табл. 2 не зависят от
режима модуляции 8К или 2К, так как при переходе от режима 8К к режиму 2К с
уменьшением числа несущих в 4 раза одновременно в 4 раза увеличивается скорость
передачи данных на каждой несущей.
Таблица
3
Основные параметры системы с модуляцией COFDM
|
Модификация
|
8К
|
2К
|
|
Длительность
рабочего интервала, мкс
|
896
|
224
|
|
Число
несущих в спектре группового сигнала
|
6817
|
1705
|
|
Частотный
разнос несущих, Гц
|
1116
|
4464
|
|
Ширина
радиоспектра группового сигнала, МГц
|
7,61
|
7,61
|
|
Относительная
длительность защитного интервала
|
1/4,
1/8, 1/16, 1/32
|
1/4,
1/8, 1/16, 1/32
|
|
Длительность
защитного интервала, мкс
|
224;
112; 56; 28
|
56;
28; 14; 0
|
|
Длительность
символа сообщения, мкс
|
1120;
1008; 952; 924
|
280;
252; 238; 231
|
|
Территориальный
разнос между передатчиками в одночастотной сети, км
|
67;
34; 17; 8,4
|
17;
8,4; 4,2; 2
|
1.4 Распределение частотных ресурсов основных
соотношений для расчета напряженности поля
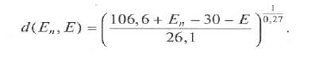
В свободном пространстве, однородной не
поглощающей среде с е = 1, радиоволны распространяются прямолинейно, ослабляясь
с увеличением расстояния. Действующее значение напряженности электромагнитного
поля (Eд) в мВ/м определяется уравнением:
(1)
где: Рпер - мощность передатчика,
кВт;пер - коэффициент усиления передающей антенны в направлении
точки приема относительно полуволнового вибратора;- расстояние между передающим
и приемным пунктами, км.
Для удобства расчетов напряженность поля иногда
выражается в децибелах по отношению к напряженности поля, равной 1 мкВ/м и
обозначается дБ·мкВ/м или dBмV/м:
(2)
Общей особенностью для метровых и дециметровых
волн является то, что они распространяются, в основном, в пределах прямой
видимости. Напряженность поля убывает с увеличением расстояния от передающей
антенны. У границы зоны прямой видимости возникают колебания уровня
напряженности поля из-за отгибания поверхности земли (явление дифракции) и
искривленные траектории за счет преломления в атмосфере (явление рефракции).
Ввиду отражения от поверхности земли и преломления, обусловленного неоднородным
строением атмосферы, в точку приема приходят две или более волн со случайными
фазами и амплитудами. На распространение волн также влияют метеорологические
условия (температура, влажность, давление и т.д.), рельеф местности и многое
другое. Оптическая дальность TV станции определяется радиусом Земли:
(3)
где H и h - высоты передающей и приемной антенн
соответственно, м.
Радиовидимость несколько больше оптической из-за
частичной дифракции и слабой рефракции в нижних слоях атмосферы увеличивается
примерно на 15%. С учетом этого, радиовидимость:
(4)
Очевидно, что длина волны играет важное значение
в определении радиуса зоны охвата покрытия. Если аналоговое вещание большей
частью ведется в диапазонах МВ (в мегаполисах - в диапазоне ДМВ из-за более
свободного частотного ресурса), то DVB вещание преимущественно осуществляют в
диапазонах ДМВ из-за большей дальности радиосвязи. Так, например, на средних и
больших расстояниях хорошо работает формула Б.А. Веденского:
(5)
из которой собственно следует, что с повышением
частоты (т.е. с уменьшением длины волны - л) напряженность электромагнитного
поля Е увеличивается.
Необходимо также учесть тот факт, что
коэффициент усиления приемной антенны пропорционален частоте. Так, если на
частоте 200 МГц коэффициент усиления антенны Gа составляет 8…10 dB
(типовое значение), то на частоте 800 МГц - порядка 14…16 dB (также типовое
значение).
Значительно более точная формула по расчету
напряженности поля получена специалистом в области радиоприемных устройств
к.т.н. С.Н. Песковым:
(6)
Данная формула имеет расхождение с
Рекомендациями ITU-R Р.1546-1 не более ±2 dB в наихудших точках и может быть
использована для любых частот, что создает ее неоспоримые преимущества при
проведении расчетов.
1.5
Определение радиуса зоны обслуживания
Все модели начисления оплаты за использование
радиочастотного спектра (РЧС), исходя из занимаемого излучением передатчика
многомерного частотно-территориально-временного ресурса, требуют определения
территориального ресурса, занятого излучением каждого передатчика или
излучениями сети передатчиков. В автоматизированных системах управления
использованием РЧС, осуществляющих процесс частотного планирования и присвоения
частот передатчикам на основе сложных и точных моделей расчета условий
распространения радиоволн и зон обслуживания передатчиков (или линий
радиосвязи) в том числе с использованием цифровых топографических карт, такие
расчеты не представляют труда и могут осуществляться автоматически на основе
тех же моделей. В том случае, когда процесс частотного планирования и
присвоения частот не автоматизирован и осуществляется вручную на основе таблиц
или графиков частотно-территориального разноса, определение террито-риального
ресурса для целей начисления оплаты за использование спектра превращается в
самостоятельную задачу, требующую той или иной оптимизации применительно к
передатчикам различных классов излучений.
Для передатчиков звукового и
телевизионного вещания территориальный ресурс, занятый излучением передатчика,
может быть вполне отождествлен с размером зоны обслуживания передатчика в км2.
Кривые распространения радиоволн, приведенные
для примера на рис. 5 и 6 (из Рекомендации ITU-R
P.370-7
соответственно) представляют собой зависимости напряженности поля в ОВЧ и УВЧ
диапазонах в дБ (µ В/м) от различных параметров для сухопутных трасс.
Частота: 30-250МГц (диапазоны I,
II, III);
земля; 50% времени; 50% позиций; h2=10м;
∆h=50м; напряженности
поля (дБ(µV/m)
для 1кВт
- - - - -Свободное пространство
Рис. 5. Кривые распространения радиоволн в
диапазон частот 30-250МГц
Кривые также соответствуют
различным высотам передающей антенны и высоте приемной антенны, равной 10м.
Кривые даются для ряда значений эффективной высоты передающей антенны от 37.5
до 1200 м. Кривые представлены для случая, когда параметр, характеризующий
неоднородность местности, равен 50 м., то есть соответствует обычной
среднепересеченной местности. Эффективная высота передающей антенны hef
определяется как ее высота относительно среднего уровня поверхности Земли в
пределах между расстояниями 3 и 15 км от передатчика в направлении приемника.
Процедуры расчета значений hef,
используемых для определения радиуса зоны обслуживания, представлены ниже.
Частота: 450-1000МГц (диапазоны IV,
V); земля; 50%
времени; 50% позиций; h2=10м;
∆h=50м; напряженности
поля ( дБ(µV/m)
для 1кВт
- - - - - Свободное пространство
Рис. 6. Кривые распространения радиоволн в
диапазоне частот 450-1000 МГц
Границы зон обслуживания определяются значениями
минимально-используемой напряженности поля Еmu,
которые обычно используются для целей частотного планирования. Их величины
приведены в табл. 4.
Таблица
4
Значения минимально используемой напряженности
поля Еmu
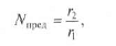
Величины радиуса зоны обслуживания R, полученные
по кривым рис. 5 и 6 при различных значениях эффективной излучаемой мощности
(ЭИМ) Рef
эффективной высоты передающей антенны hef
и для значений минимально-используемой напряженности поля, приведенных в
таблице 4, представлены в таблицах 5-7 ниже. ЭИМ определяется как:
Pef=P + Gt + з(дБВт)
(7)
Для целей данной методики предложено принять з =
0 для всех случаев. Необходимо заметить, что при больших мощностях и низких
антеннах и, особенно, для нижних частот, расчетный радиус зоны обслуживания
превышает расстояние до радиогоризонта.
Следует упомянуть, что данные
рис. 5 и 6 без любого изменения масштаба соответствуют данным таблиц 7 для
рядов, соответствующих 30 дБВт (поскольку 1 кВт соответствует 30 дБВт).
Таблица
5
Радиус зоны обслуживания в км для телевидения на
частотах ниже 76 МГц, Ети = 48 дБ(µ В/м)
Таблица
6
Радиус зоны обслуживания в км для телевидения на
частотах ниже 76-108 МГц Ети = 52 дБ(µ В/м)
Таблица
7
Радиус зоны обслуживания в км для телевидения на
частотах ниже 108-230 МГц Ети = 55 дБ(µ В/м)
Таблица
8
Радиус зоны обслуживания в км для телевидения на
частотах ниже 230-528 МГц Ети = 65 дБ(µ В/м)
Таблица
9
Радиус зоны обслуживания в км для телевидения на
частотах ниже 528 МГц Ети = 70 дБ(µ В/м)
2. Требования к спектральной характеристике,
виду модуляции и другим параметрам, налагаемым стандартом DVB-T
.1 Вариант ТВ передатчика в системе НЦТВ
Более мощные передатчики на 500, 1000 и 2000 Вт
имеют общий высокочастотный усилитель для сигналов изображения и звукового
сопровождения, который выполнен, как правило, на твердотельных усилительных
элементах.
Выходные каскады телевизионных передатчиков
мощностью от 5 до 25 кВт выполняются, как правило, на лампах. Все телевизионные
передатчики при комплектовании соответствующим возбудителем могут работать на
любом канале МВ и ДМВ диапазонов (48…790 МГц).
Переход из аналогового режима вещания
осуществляется путем замены возбудителя. В передатчиках, имеющих два
возбудителя, могут быть установлены либо два одинаковых возбудителя, либо один
может быть аналоговым возбудителем, а второй цифровым. При наличии в
передатчике двух разных возбудителей переход из одного режима вещания в другой
осуществляется автоматически после выбора возбудителя на блоке управления.
Одним из основных отличий цифровых передатчиков
является то, что уровень внеполосных излучений должен укладываться в маску
допуска, установленную стандартом DVB-T. Для этого в особых случаях необходимо
использовать дополнительный фильтр внеполосных излучений.
Возбудители (как для аналогового, так и для
цифрового вешания) имеют одинаковую структуру. Исходный сигнал формируется
модуляторами по промежуточной частоте, а затем с помощью преобразователя
переносится в рабочий канал. Все возбудители имеют в своем составе
предкорректор, который обеспечивает коррекцию искажений последующего тракта передатчика.
Гибридные (аналого-цифровые) передатчики III-V
телевизионных диапазонов предназначены для организации вещания как в
традиционном аналоговом, так и в цифровом режиме стандарта DVB-T.
Возбудители для цифрового вешания обеспечивают
формирование COFDM-сигнала в соответствии с европейским стандартом EN 300744.
Типовая структура цифрового телевизионного
радиопередатчика эфирного наземного телевещания взят из европейского стандарта
на методы измерений в системах DVB
ETSI NR
101
290
(2001-05) который приведен на рис. 7.
Задачей цифрового телевизионного
радиопередатчика системы DVB-T
является согласование сигнала с выхода транспортного мультиплексора MPEG-2
с характеристиками канала передачи наземного телевещания (канала
распространения радиоволн).
Рис. 7. Структура цифрового телевизионного
радиопередатчика
Радиопередатчик системы DVB-T,
использующий вид модуляции COFDM
MPEG-2 кодированного
телевизионного сигнала, можно разбить на два модуля:
) устройство адаптации, перемежения и канального
кодирования пакетированного транспортного потока MPEG-2;
) устройство модуляции OFDM
обработанного цифрового транспортного потока (цифрового потока символов OFDM).
Выделение особенностей построения первого модуля
можно осуществить путем определения функций устройства адаптации, перемежения и
канального кодирования. Передаваемый на него пакетированный транспортный поток
кодера MPEG-2
представляет собой поток данных изображения, звука, а также дополнительной
информации. Условие передачи этой информации должны быть закодированы в виде
пакетов транспортного потока MPEG-2,
то есть предоставлять собой контейнер, приспособленный для доставки
пакетированных данных в условиях наземного телевидения.
В состав первого модуля входят следующие функциональные
блоки:
Устройство адаптации и рандомизации
транспортного потока MPEG-2,
служащее для объединения последовательности транспортных пакетов в группы по
восемь и превращения пакетированного потока в квазислучайный.
Внешний блоковый кодер помехоустойчивого
кодирования, предназначенный для защиты от байтовых ошибок в транспортном
пакете MPEG-2. Внешний
блоковый кодер строится на основе кодера Рида-Соломона.
Устройство внешнего перемежения данных,
предназначенное для изменения порядка следования байтов в пакетах, защищенных
от ошибок.
Внутренний сверточный кодер помехоустойчивого
кодирования, используемый для защиты от битовых ошибок [6]. Он работает со
специально организованными кадрами информационных символов. Внутренний
сверточный кодер строится на основе кодера Витерби.
Устройство внутреннего частотного перемежения и
отображения. Устройство выполняет битовое и символьное перемешивание данных для
последующей модуляции множества поднесущих колебаний.
В состав второго модуля входят следующие
функциональные блоки:
Формирователь модулирующих частот (первичный
квадратурный модулятор) с использованием задающего генератора опорных сигналов.
Модулятор OFDM,
предназначенный для многолучевой модуляции поднесущих с ортогональным
разделением.
- Преобразователь частоты, служащий для
преобразования сигнала DVB-T
промежуточной частоты в радиочастотный (эфирный) сигнал DVB-T.
Выходные каскады телевизионных передатчиков
мощностью от 5 до 25 кВт выполняются, как правило, на лампах. Все телевизионные
передатчики при комплектовании соответствующим возбудителем могут работать на
любом канале МВ и ДМВ диапазонов (48…790 МГц).
Таблица
10
Основные параметры передатчика
|
Наименование
параметра
|
Норма
|
|
1.
Номинальные выходные мощности радиосигнала, кВт, выбирают из ряда
|
0.25,
0.5, 0.75, 1, 1.5, 2, 2.5, 3, 3.5, 4, 5, 7.5, 10, 20
|
|
2.
Изменение выходной мощности при медленных колебаниях напряжения сети от плюс
10% до минус 15% номинального значения при частоте (50±1)Гц, относительно
номинального значения выходной мощности, дБ, не более
|
±0.25
|
|
3.Номинальное
выходное сопротивление, Ом
|
50(75)
|
|
4.
КСВН
|
≤1.3
|
|
5.
Допустимое отклонение несущей частоты от номинального значения, не более
|
±100Гц
|
|
6.
Входной сигнал
|
Множество
транспортных потоков MPEG-2, полученных на выходах
мультиплексоров MPEG-2
|
|
7.
Модуляция несущих
|
QPSK, 16-QAM или 64-QAM
|
|
8.
Коэффициент кодирования
|
1/2,
2/3, 3/4, 5/6, 7/8
|
|
9.
Защитный интервал активной длины символа
|
1/4,
1/8, 1/16, 1/32
|
|
10.
Неравномерность частотной характеристики (без выходного фильтра) в полосе от
минус 3.8 до 3.8МГц, не более
|
±0.5дБ
|
|
11.
Неравномерность частотной характеристики (с выходным фильтром) в полосе: от
минус 3.5 до 3.5МГц, не более от минус 3.8 до 3.5МГц и от 3.5 до 3.8МГц, не
более
|
±0.5дБ ±0.5дБ/-1дБ
|
|
12.
Значения интермодуляционных продуктов (без выходного фильтра) на частотах
минус 4.3 и 4.3МГц, не более
|
|
|
13.
Значения интермодуляционных продуктов (с выходным фильтром) на частотах: -
6.0 и 6.0МГц, не более - 10.0 и 10.0МГц, не более - 12.0 и 12.0МГц, не более
|
-45 -45 -70
|
|
14.
Уровень побочных излучений: для передатчиков I-III
диапазонов, не более для передатчиков IV-V
диапазонов от номинальной пиковой мощности
|
|
|
15.
Коэффициент битовых ошибок (BER) после декодера Витерби,
не более
|
10-6
|
|
16.
Режим модуляции OFDM
|
8k
(2k)
|
|
17.
Внешний код
|
Рида-Соломона
(188, 204, t=8)
|
|
18.
Параметры модуляции
|
б
=1 - неиерархическая; б = 2,4 иерархическая
|
Фильтр подавления внеполосных излучений
передатчика предназначен для установки в выходной тракт, обеспечивая передачу
сигнала передатчика в рабочем канале и подавление его внеполосных излучений в
полосе частот соседних каналов. Для выполнения маски допуска выходного сигнала
стандарта DVB-T фильтр должен иметь следующие характеристики:
неравномерность коэффициента передачи в полосе
пропускания ДFn -[f0 ± 3,6] МГц <0,5 дБ;
величина подавления в полосе задерживания в трех
вариантах:
31
- [f0 ± (4,83-6,0) МГц] <15 дБ;
величина подавления в полосе задерживания в трех
вариантах:
32
= [ia ± (6,0-16,0) МГц] <30 дБ;
КБВ в полосе пропускания ДFn >0,9;
потери рассеяния не более 0,5 дБ;
неравномерность ГВЗ в полосе частот [f0 ± 3,5]
МГц <250 нc.
Построение фильтра, отвечающего всей
совокупности предъявленных требований, облегчает и упрощает построение
высокочастотного тракта передатчика, но является весьма сложной задачей.
2.2 Проектирование сетей наземного
телевизионного вещания на основе стандарта DVB-T
По всему миру широкое развитие получило
аналоговое телевидение, и многие страны достигли охвата более 99% населения, по
меньшей мере, двумя или тремя национальными сетями. Параллельно работает
большое количество местных сетей, имеющих меньшие зоны покрытия. Необходимость
достижения большого процента охвата приводит к использованию многих
телевизионных передатчиков. Излучаемая ими мощность охватывает широкий диапазон:
от почти 1 МВт эффективной излучаемой мощности (э.и.м.) для крупных станций,
обслуживающих большие зоны, до менее чем 1 Вт э.и.м. для малых станций,
предназначенных для обслуживания, возможно, нескольких сотен человек.
Аналоговые телевизионные системы (PAL, SECAM)
очень чувствительны к помехам, создаваемым другими аналоговыми ТВ сигналами, и
требуют высоких защитных отношений по совмещенному каналу (примерно от 30 дБ до
45 дБ, в зависимости от величины смещения частоты). Кроме того, соседние
каналы, как правило, не могут использоваться в одних и тех же местах передачи.
Помимо этого, аналоговые ТВ системы не могут работать в конфигурации
одночастотной сети (ОЧС), в которой соседние передатчики охватывают
перекрывающиеся зоны обслуживания одними и теми же программами по одним и тем
же РЧ каналам. Поэтому существующие аналоговые службы планируются в
конфигурации многочастотной сети (МЧС), охватывающей смежные зоны обслуживания
по различным РЧ каналам. Одни и те же РЧ каналы повторно используются только в регионах,
отстоящих на большое расстояние, чтобы избежать вредных помех в совмещенном
канале.
Вследствие этого телевизионный охват
характеризуется интенсивным использованием каналов ОВЧ/УВЧ с большими зонами, в
которых данный канал не может использоваться повторно из-за высоких защитных
отношений, требующихся для аналоговых систем. Общее количество наличных РЧ
каналов (максимум 10 каналов на ОВЧ и 48 каналов на УВЧ, по крайней мере, в
Районе 1), позволяют организовать только 2 программы в диапазоне ОВЧ и 3-5 программ
на зону покрытия, если требуется высокая защита от помех. Более эффективное
использование спектра могло бы быть достигнуто за счет применения методов
точного смещения частот.
Аналоговые многочастотные сети обычно
основываются на нескольких относительно мощных передатчиках, расположенных по
возможности на холмах или горах. Подача программ на них осуществляется по
кабельным или радиолиниям, а иногда через спутник или по оптическому волокну.
Следует отметить, что современные сети
аналогового телевидения используют большой процент наличного спектра диапазонов
ОВЧ/УВЧ и работают в конфигурации многочастотных сетей со средней или большой
плотностью передатчиков. В каждой зоне обслуживания большое количество РЧ
каналов не может повторно использоваться для мощных аналоговых служб из-за
возможных помех. Поскольку цифровые системы могут иметь значительно меньшую
чувствительность к шумам и помехам, этот спектр можно было бы использовать для
введения служб цифрового телевидения, способных работать при меньших уровнях
э.и.м. (Однако необходимо позаботиться о том, чтобы эти цифровые службы не
создавали помех существующим аналоговым службам.)
Цифровые ТВ системы по сравнению с аналоговыми
системами могут предоставить улучшенные РЧ характеристики с точки зрения эффективности
использования спектра и требований к мощности.
Прежде всего, цифровые системы позволяют вести
многопрограммное вещание: в одном канале шириной 8 МГц в режиме временного
мультиплексирования временным разделением каналов могут быть переданы от 2 до 4
программ стандартной четкости (ТВСЧ), со скоростью примерно 6 Мбит/с каждая.
Полная пропускная способность от 12 до 24 Мбит/с также может быть выделена для
ТВ стандартов более высокого качества, таких как ТВ повышенной четкости (ТВПЧ,
требующее примерно от 10 до12 Мбит/с на программу) или ТВВЧ (требующее примерно
24 Мбит/с на программу). Системы с более высокой пропускной способностью,
конечно, требуют более высокого минимального отношения C/N.
Цифровые системы могут быть значительно менее
чувствительны к шумам и помехам, особенно когда эффективность использования
спектра в системе не велика и применяются сложные методы модуляции и
исправления ошибок. Это может обеспечить возможность работы при низких уровнях
э.и.м. (в зависимости от модуляции), снижая тем самым помехи существующим
аналоговым службам.
Тем не менее, следует учитывать, что лучшие
системы модуляции и исправления ошибок показывают очень крутые характеристики
отказов; цифровая система может работать в неблагоприятных условиях приема без
ошибок декодирования, но повышение уровня шума или помехи на 1-2 дБ может
внезапно прервать обслуживание. Вследствие этого в процедуры планирования
должен быть заложен значительный запас, чтобы обеспечить доступность
обслуживания для большого процента мест приема и большого процента времени.
Системы цифровой модуляции и канального
кодирования могут обеспечивать различные компромиссы между эффективностью
использования спектра и устойчивостью к шумам и помехам. Например, при
фиксированном приеме подходящая эффективность использования спектра может быть
порядка 4 бит/с/Гц (т. е. полезная скорость передачи в канале шириной 8 МГц
составит примерно 24 Мбит/с), тогда как при статическом приеме на портативное
оборудование более подходящей величиной может быть 1-2 бит/с/Гц.
Одночастотные сети.
Все
передатчики в одночастотной сети (ОЧС) используют один и тот же канал. Они
имеют общую зону покрытия и не могут работать независимо. Концепции
многочастотных и одночастотных сетей, в принципе, основаны на одной и той же
топологии сети, а именно на использовании основных передатчиков и если
необходимо, вспомогательных передатчиках для перекрытия мертвых зон.
Эффективность использования спектра
рассматривается в качестве основного преимущества концепции одночастотных сетей
по сравнению с многочастотными. Эффективность использования спектра является
важным свойством в ситуации, когда ресурсов спектра недостаточно, например, на
начальной фазе внедрения цифрового телевидения, когда большая часть ТВ спектра
все еще занята аналоговыми службами, а также на долгосрочный период, когда
необходимо будет предоставить большое количество программ, чтобы сделать
цифровое телевидение привлекательным для потребителя.
Современные аналоговые службы работают в
многочастотных сетях. В диапазоне УВЧ, используя 40 наличных каналов, можно
получить от 2 до 4 хорошо защищенных аналоговых программ с полным охватом (в
зависимости от географической ситуации в отдельной стране). Цифровые системы
будут более эффективны, чем аналоговые.
Можно предположить, что при использовании
многочастотных сетей можно реализовать 3-6 сетей полного охвата; при 4
программах на канал общее количество достигнет
12-24 программ.
Можно предположить, что при использовании ОЧС
количество сетей полного охвата (и количество доставляемых программ) будет в
два-три раза выше. Если бы целью охвата было обслуживание только наиболее
плотно населенных зон, то количество наличных каналов теоретически могло бы
быть около 40. Все эти числа основаны на теоретических рассуждениях, а при
практических рассмотрениях необходимо проверять факт за фактом, например,
принимать во внимание службы в соседних странах.
Планирование ОЧС.
Поскольку и многочастотные и одночастотные сети базируются на одной и той же
топологии передающей сети, ОЧС, в принципе, могут использовать сетевую
структуру существующих многочастотных аналоговых сетей. Вообще можно ожидать,
что в ОЧС может понадобиться очень немного вспомогательных передатчиков для
перекрытия мертвых зон, потому что напряженность поля в них имеет более
равномерное распределение.
Основная проблема, с которой столкнулись при
внедрении служб DVB-T, основанных на ОЧС, состоит в том, что большая часть ТВ
спектра занята аналоговыми службами, использующими структуру многочастотных
сетей. Даже если существуют некоторые неиспользуемые присвоения (в данной
стране), которые могли бы быть использованы цифровым телевидением, они могут
быть заняты только на ограниченное время для реализации обслуживания большой
зоны, основанной на ОЧС, так как сеть может функционировать в режиме ОЧС только
при условии, что ее канал свободен во всей зоне обслуживания. Если же еще
существуют аналоговые службы, использующие данный канал, - и возможно это будет
продолжаться все время, пока будет находиться в эксплуатации какая-нибудь
национальная или региональная аналоговая служба, - то подверженные влиянию
аналоговые передатчики должны быть сдвинуты по частоте. Среди этих передатчиков
будут и основные станции, охватывающие
значительную часть населения. Сомнительно, что имеет смысл производить эту
реорганизацию аналоговой службы, сопровождаемую большими затратами со стороны
вещателей и потребителей, если она будет позднее ликвидирована. Однако возможны
подходящие конфигурации каналов, которые делают это преобразование практически
возможным. В частности, для сетей малых зон, содержащих только два или три
передатчика большой мощности, ОЧС могут быть применимы и привлекательны.
Сети ОЧС в большой зоне образуются на основе не
менее двух до нескольких десятков передатчиков большой мощности, вместе с
объединенными передатчиками средней и малой мощности. Они предоставляют лучший
способ обеспечения высокой эффективности использования спектра, присущей ОЧС.
В том случае, когда для новых цифровых служб
распределяется группа новых частот, осуществляется прямое введение нескольких
национальных ОЧС и малых ОЧС для выполнения требований региональных программ.
Этот сценарий может быть в равной степени применим к долгосрочной ситуации с
цифровым телевидением, когда будут ликвидированы аналоговые службы.
Станция большой мощности:
Станция
с э.и.м. более чем 10 кВт и эффективной высотой антенны, обычно превышающей 150
м.
Станция средней мощности:
Станция
с э.и.м. в пределах от 100 Вт до 10 кВт (включительно) и эффективной высотой
антенны обычно в диапазоне от 75 до 150 м.
Станция малой мощности:
Станция
с э.и.м. менее 100 Вт и эффективной высотой антенны обычно менее чем 75 м.
цифровой телевизионный канальный
кодирование
2.3 Примеры построения телевизионного вещания в
стандарте DVB-T
в некоторых странах
Основными современными системами цифрового
наземного ТВ вещания являются: система DVB- Т, разработанная в Европе, и
система ATSC, созданная в США.
Введение цифрового наземного ТВ в Европе
сталкивается с большими трудностями вследствие огромного числа передатчиков,
действующих в полосах ОВЧ и УВЧ. Особенно остро проблема стоит в центре Европы,
где перегруженность полос чрезвычайно велика, в то время как в окраинных
странах - Великобритании, скандинавских странах, Португалии - положение более
благополучное. Это обуславливает различные возможности развертывания наземных
цифровых сетей ТВ в разных европейских странах.
Например, в Великобритании уже в 1996 году на
рассмотрение парламенту был представлен законопроект, в соответствии с которым
в диапазоне УВЧ выделяются каналы для передачи шести мультиплексированных
цифровых потоков, четыре из которых обеспечат охват 90% населения страны, а
остальные два - до 70%. Эти шесть национальных каналов со скоростью передачи
данных 24 Мбит/с должны передавать около 24 программ.
Шесть новых цифровых каналов предоставляются
существующим организациям наземного вещания (BBC1, BBC2, ITV, Channel 4, S4C,
Channel 5), общественной службе радиовещания и новым службам гарантируется
определенный процент участия.
Таким образом, цифровое наземное ТВ в
Великобритании будет развернуто уже в ближайшее время и сможет составить
рыночную конкуренцию цифровым кабельным и спутниковым сетям.
В Нидерландах около 95% домов имеют доступ к
кабельному ТВ. В основном кабельные сети передают 20-30 программ, включая три
общественные. Существует три наземные телевизионные сети с охватом около 100%
территории, а также сеть цифрового спутникового вещания для передачи
коммерческих ТВ программ.
После проведения исследования рынка путем
соответствующих опросов населения выяснилось, что для успешного внедрения
цифрового наземного ТВ вещания требуется:
обеспечить возможность приема ТВ программ на
переносные приемники;
обеспечить стоимость, сопоставимую с другими
системами передачи;
обеспечить достаточное количество передаваемых
программ.
Поэтому в Нидерландах цифровая наземная ТВ сеть
с передачей 12-20 программ планируется для обслуживания:
домов, не охваченных кабельными сетями;
второй или третьей ТВ сети в/около домов с
кабельным приемом;
кемпингов и мест отдыха на открытом воздухе.
Предполагается возможность приема наземного
цифрового ТВ на переносные приемники во всех городских зонах.
В Германии, расположенной в центре Европы,
сложилось иное положение. В этой стране введение цифрового ТВ, по мнению
организаций общественного вещания, трудно вследствие интенсивного использования
диапазонов ОВЧ/УВЧ системами аналогового ТВ вещания, а также другими службами.
Существующие аналоговые службы будут играть ведущую роль в течение еще
определенного времени.Telecom предполагает, что введение DVB-T начнется в
ближайшее время на локальной/региональной основе в больших городах и зонах с
высокой плотностью населения. Для начала внедрения необходимо выделить около 5
каналов, кандидатами в которые вначале рассматривались каналы из полосы 470-790
МГц (каналы 21-60 диапазона УВЧ). Но существующая загрузка этих каналов ставит
под сомнение такую возможность, поэтому, вероятно, будут выделены каналы из
полосы 790-862 МГц (61-69 ТВК), но не для использования в одночастотных сетях.
Обращает на себя внимание стремление ряда стран
форсировать внедрение систем цифрового вещания.
Уже в середине 1998 г. предполагается начать
регулярное вещание в Великобритании, Испании, Германии, Швеции. Еще целый ряд
стран запланировал начало передач на 1999 г. В настоящее время идет массовое
направление на координацию и регистрацию заявок на частотные присвоения
радиостанциям и сетям цифрового телевидения. Администрации связи России
поступили на координацию заявки от Финляндии, Швеции, Литвы, Эстонии. Швеция
заявила на координацию более 120 станций НЦТВ.
2.4
Концепция внедрения телевещания
в стандарте
DVB-T
в
Республике
Узбекистан
Для Узбекистана, как интенсивно развивающегося в
настоящее время государства, важны скорейшая разработка и осуществление
программы внедрения сетей наземного цифрового и звукового вещания, иначе
возникнет отставание в удовлетворении потребностей общества, а также возрастут
трудности в координации станций радиовещательной службы, расположенных в
координационных зонах с соседними странами.
Цели и задачи Концепции
определение основных этапов внедрения наземного
цифрового телевизионного и звукового вещания в Узбекистане; определение
последовательности и масштаба действий для выбора формата наземного цифрового
телевизионного и звукового вещания;
изучение и анализ тенденций в мире в области
наземного цифрового телевизионного и звукового вещания;
выработка рекомендаций по внедрению цифровых
технологий на сетях телевизионного и звукового вещания Узбекистане.
Вывод об ориентации Узбекистана на систему
DVB-T, хотя и отражен в Решении ГКРЧ №3/4 от 15.08.2002 г. "О закреплении
полос радиочастот для развития цифрового телевизионного и радиовещания",
однако необходимо произвести опытную эксплуатацию оборудования системы DVB-T в
условиях Узбекистана, и лишь затем формулировать рекомендации по формату
системы.
Последняя (по времени) Ассамблея радиосвязи МСЭ
(июнь 2003 г.), которая предшествовала ВКР-03, одобрила предложения по
преодолению цифрового разрыва, указав на значимость ускорения внедрения
цифрового ТВ-вещания, основанного на глобальном подходе, предусматривающем
преобразование традиционного аналогового ТВ-вещания в новую компоненту
информационного общества - цифровое многофункциональное интерактивное
ТВ-вещание с обеспечением инфокоммуникационных услуг при экономии радиоспектра
за счет компрессии сигналов и эффективных методов модуляции (рис. 19). При этом
учитываются реалии переходного периода "аналог-цифра" с помощью
использования гибридных аналого-цифровых технологий и STB, дополнительно
обеспечивающих многие услуги, а также экологическую защиту зрителей.
Для ускорения внедрения цифрового вещания
необходимой стадией является разработка частотных планов.
В связи с этим МСЭ проводит в 2004-2006 гг.
Региональную конференцию радиосвязи (РКР) по планированию службы цифрового
наземного вещания в полосах частот 174-230 МГц и 470-862 МГц в зоне, которая
охватывает и территорию Узбекистана, с соответствующей защитой существующих и
планируемых служб.
Зона планирования этой конференции значительно
превосходит зоны Европейской конференции, которая в 1961 г. проводилась в
Стокгольме.
РКР 2004/2006 имеет особое значение потому, что
ее решения, подобно решениям Стокгольмской конференции в 1961 г. и Женевской в
1989 г., на десятилетия станут основой функционирования и развития
аналого-цифровых сетей вещания многих стран.
Задача первой сессии конференции (май 2004 г.,
Женева) - принятие технических основ частотного планирования и рассмотрение
путей перевода на цифровой режим национальных сетей телерадиовещания.
Вторая сессия конференции, на которой должно
быть заключено соглашение и приняты разработанные частотные планы, намечена на
конец 2005 г. или начало 2006 г. Многими странами согласование частотных планов
в соответствии с решениями собрания по планированию цифрового наземного
ТВ-вещания (г.Честер, Великобритания, июль 1997 г.) было начато на базе
защитных отношений системы наземного цифрового ТВ-вещания DVB-T
.
Специфической особенностью данной РКР являются
также коренные отличия понятия "система" в цветном аналоговом и
цифровом наземном ТВ-вещании.
В первом случае суть этого значения связана со
способами кодирования сигналов яркости и цветоразностных сигналов и модуляцией
цветовых поднесущих в кодере студии при соответствующем декодировании в
телевизоре СЕКАМ или НТСЦ, ПАЛ.
Во втором случае понятие "система"
связано с процессами обработки сигналов ТВ-программы, осуществляемых в основном
в модуляторе ТВ-радиостанции с последующей демодуляцией и декодированием в
телевизоре. Поэтому интерес к этой конференции, в том числе и к выбору системы
для сетей цифрового наземного ТВ-вещания, заметно повышен у операторов таких
сетей и кабельного телевидения.
Сложность разработки национальных частотных
планов цифрового наземного вещания связана с размерами территории стран, их
природными условиями, временными поясами, различной плотностью населения.
Составителям плана предстоит учитывать каждую телестанцию, не забывая при этом
и о спутниковом, кабельном и компьютерном (Интернет) цифровом вещании в
стационарных и мобильных условиях в соответствии с его основными задачами.
Увеличение количества сжатых цифровых ТВ-программ в одном стандартном
радиоканале позволит высвободить часть каналов, используемых в аналоговом
ТВ-вещании. Отметим, что
частотные планы наземного ТВ- и звукового вещания тесно связаны с частотными
планами КТВ, потому что частотные каналы, использующиеся в данном городе для
наземного вещания, здесь могут оказаться ограниченными для применения в
системах КТВ. Поэтому подготовка к РКР выходит за рамки составления планов
только для наземного вещания. Следует считать целесообразным параллельную
разработку частотных планов для КТВ.
Подготовка к защите национальных сетей вещания
должна базироваться на концепции внедрения цифрового ТВ-вещания. После
завершения РКР каждое из государств-участников получит тот конкретный частотный
ресурс, который ему удастся защитить. Странам, заинтересованным в модернизации
своей инфраструктуры вещания (в т.ч. Узбекистану и граничащим с ним
государствам), предстоит согласовать между собой размещение и характеристики
уже существующих и новых передающих станций. В этих строго ограниченных рамках
им предстоит работать многие десятилетия.
В настоящее время в Узбекистане эксплуатируется
сеть распространения программ телевидения (телевизионного вещания)
протяженностью свыше 22000 канало-км и каналов радиовещания (звукового вещания)
протяженностью около 15000 км в симплексном исчислении. Из них по современным
цифровым магистралям РРЛ и ВОЛС организовано каналов телевидения - около 16000
км и свыше 13000 км - каналов радиовещания.
Кроме каналов телевидения и радиовещания,
арендуемых для распространения государственных программ, по цифровым РРЛ и ВОЛС
организованы каналы для передачи внеплановых телерадиопрограмм по заявкам ТРК
РУз из каждого областного центра в г. Ташкенте.
Эти каналы дают возможность доставлять в г. Ташкент оперативную
телерадиоинформацию, организовать передачи типа "Телемост" и т.д.,
однако каналы для этих целей используются редко. Имеется техническая
возможность организации передачи телевизионных сигналов по наземным РРЛ в
страны СНГ: Россию, Туркменистан, Таджикистан, Казахстан, а также обмена с
зарубежными странами информацией по спутниковым каналам через спутник системы
"Интелсат".
В 2004 году около 4000 км телевизионных каналов
аналоговых РРЛ будет выведено из эксплуатации и переведено в режим работы
цифровых РРЛ и ВОЛС; в итоге программы телевидения и радиовещания по цифровым
РРЛ и ВОЛС будут доведены к 14 РТС дополнительно к действующим 25 РТС.
Развитие наземного цифрового телевизионного
вещания в Узбекистане. Под
сетями наземного цифрового телевизионного вещания (НЦТВ) понимается
совокупность средств, с помощью которых в пределах зон обслуживания
осуществляется решение задач обеспечения многопрограммного ТВ вещания с
возможностью приема на стационарные и переносные приемники, передачи больших
объемов дополнительной информации и многоцелевой интерактивности (при
организации обратных каналов).
Сети НЦТВ должны являться частью сети связи
Узбекистана, ее дополнением и расширением. Услуги сетей НЦТВ обеспечиваются
операторами этих сетей.
На первом этапе потребуется создать оснащенные
современной аппаратурой опытные участки (зоны) со смешанным (аналоговым и
цифровым) телевизионным вещанием для сбора статистических данных о качестве
предоставляемых услуг в зависимости от конкретных параметров систем передачи и
приема, об электромагнитной совместимости действующих и новых (цифровых)
радиоэлектронных средств.
В испытаниях должны участвовать наземные
средства распределения и вещания телевизионных программ. После анализа результатов
испытаний необходимо перейти к разработке норм и адаптации для Узбекистана уже
имеющихся зарубежных стандартов на цифровое телевизионное вещание.
Необходимо, чтобы вещательные компании
Узбекистана приняли активные участке в создании опытных участков и в
комплексной изыскательской работе по проблемам первого этапа внедрения
цифрового телевизионного вещания в Узбекистане.
На втором этапе осуществить подготовку и
выполнение широкомасштабной "Программы модернизаций сети телерадиовещания
на территории Узбекистана" и учесть рекомендации РКР 2004-2006 гг.
Передающая сеть телевизионного вещания
Узбекистана создавалась на протяжении многих лет, в настоящее время
эксплуатируется без всеобъемлющего технологического обновления и к настоящему
времени отчасти физически и морально устарела. Ее техническая база не полностью
отвечает требованиям, предъявляемым к современным телекоммуникационным
(телевизионного и звукового вещания) средствам и сетям. Необходимо подготовить
программу действий для модернизации действующих объектов передающей эфирной
сети телевизионного вещания, которая способствовала бы обеспечению обновления
технических средств, снижению энергоемкости объектов и излучаемых мощностей
электромагнитного поля радиосигналов, более рациональному использованию РЧС.
Реализация программы должна обеспечить предоставление на всей территории
Узбекистана не только услуг в области телевещания (в том числе интерактивных) и
радиовещания, но также услуги видеоконференцсвязи, доступ к сети Интернета,
передачу данных и любой другой информации в цифровом формате, а также быть
способной к адаптации к изменению ситуации.
. Наземное цифровое телевизионное и звуковое
вещание на территории Узбекистана целесообразно внедрять поэтапно. Поэтапное
внедрение, на наш взгляд, должно состоять из следующих этапов:
2005 год - тестовое цифровое телевизионное и
звуковое вещание в пределах одной выбранной локальной зоны, во время которого
будут определены работоспособность и возможности выбранных тестируемых систем;
2006 год - регулярное цифровое телевизионное и
звуковое вещание в пределах одной или нескольких зон, выбранных на территории
Узбекистана, при этом системы для этого этапа должны быть построены на основе
коммерческой эксплуатации (системы должны обеспечивать достаточно большой выбор
телевизионных и звуковых программ и дополнительных услуг);
2007-2008 годы - расширение эксплуатации систем
цифрового телевизионного и звукового вещания на центры вилоятов (областей) и
крупные города;
2009-2015 годы - разворачивание общенациональной
сети наземного цифрового телевизионного и звукового вещания.
Этап тестового вещания. На этом этапе выбирается
система вещания (телевизионного и звукового), включающая системы кодирования,
мультиплексирования на N
программ, передатчик, измерительный приемник и небольшое количество приемников
для испытания; на этом этапе определяется зона покрытия, количество программ на
канал, параметры модуляции, отрабатывается, в частности, методика применения
одночастотных ретрансляторов. Длительность проведения этапа - 1 год.
.5 Сравнительная оценка эффективности
использования частотных ресурсов и ЭИМ
В настоящее время в соответствии со
Стокгольмским планом 1961 г. в Европе для телевидения используются следующие
диапазоны вещания:
I (47-68 МГц); II (76-100 МГц) - только в восточноевропейских
странах; III (174-230 МГц); IV (470-582 МГц);V (582-862 МГц).
В странах СЕРТ, по результатам выполнения
Детального Исследования Радиоспектра (фаза II), введение НЦТВ планируется
начать в диапазоне 470-862 МГц, при этом предлагается не использовать частоты
этой полосы для расширения действующих аналоговых сетей. Кроме того,
предлагается по возможности прекращать использование полосы 47-68 МГц для
телевизионного вещания. Передачи сигналов ЦТВ должна быть организована с
использованием одной несущей, модулированной сигналами одной или несколько
программ ЦТВ с временным уплотнением.
Внеполосные излучения.
Спектр
сигнала ЦТВ не должен выходить за пределы спектральной маски приведенной на
рисунке 8.
Рис.
8. Спектральная маска
ЦТВ полосой 8МГц (Р = от 39дБВт до 50дБВт
В таблице 11 приведены значения внеполосных
излучений относительно максимально излучаемой мощности несущей.
Таблица
11
|
Частота
(МГц) относительно центра канала полосой 8МГц
|
Относительный
уровень (дБ) с шириной полосы измерения 4кГц
|
|
-20
|
-99
|
|
-12
|
-91
|
|
-4.2
|
67.8
|
|
-3.81
|
32.8
|
|
3.81
|
32.8
|
|
4.2
|
-67.8
|
|
12
|
-91
|
|
20
|
-99
|
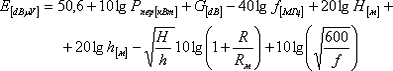
При проектировании систем наземного
телерадиовещания следует определить минимальное значение напряженности поля,
необходимое для обеспечения желаемого качества приема в присутствии шумов и
воздействии помех от других передатчиков.
Так как на расстоянии R
(радиус зоны обслуживания) напряженность поля является случайной величиной,
зависящей от времени T
и мест расположения приемной и передающей станции L,
то обычно при расчетах используют медианные значения напряженности поля по
местоположению и времени E
(L, T),
т.е. E (50, 50). В месте
приема учитывают две составляющие помех: флуктуирующую, уровень которой во
времени и постоянную, уровень последней мало изменяется во времени. При
расчетах напряженности поля помех для телерадиовещательных каналов метрового
диапазона принято нормировать уровень флуктуационной помехи, превышаемый не
более чем в 10% времени, а в дециметровом диапазоне - в 1% времени.
Эффективная излучаемая мощность радиопередатчика
- это произведение мощности на коэффициент полезного действия (КПД) фидера и на
коэффициент усиления антенны по мощности.
Обычно эффективную излучаемую мощность Ризл
выражают в децибелах относительно 1 кВт:
Ризл = Рпд + Gпд
- Аф, дБкВт, (8)
где Рпд = 10 log
P кВт, мощность
передатчика, дБкВт; Gпд
- коэффициент усиления передающей антенны относительно полуволнового вибратора;
Аф = dфlф,
дБ, dф -
погонное затухание фидера на 1 м его длины, дБ/м, lф
-
длина фидера, м; dф
= 10 log з, дБ -
соотношение между затуханием в фидере в децибелах и коэффициентом полезного
действия з (з - безразмерная величина).
Расчеты напряженности поля с учетом неровностей
поверхности достаточно сложны, хотя и являются приближенными, имеющими
полуэмпирический характер. Все многообразие земных и водных поверхностей сводят
к пяти условным классификациям типов местности:
равнинная или водная поверхность;
среднепересеченная (равнинно-холмистая);
сильнопересеченная (холмистая);
гористая;
очень высокие горы.
При этом учитывается среднее значение высот
холмов или гор от подошвы до вершины на расчетной трассе.
Подобные детальные расчеты необходимы при
проектировании систем телерадиовещания с радиусом зоны обслуживания от 10…15 км
до 100 км, на трассах до 10 км сферичность Земли можно не учитывать.
В современных многоканальных системах
телерадиовещания радиус зоны передатчика, как правило, не превышает 5…6 км.
Поэтому проектирование сетей с мощностью передатчиков до 10 Вт и приеме на
коллективные приемные устройства достаточно провести расчеты напряженности поля
в точке приема, превышаемые в Е% времени по соотношению:
Е(Т) = Е0 + V(50%) +
дE(T) + F(Д,
ц), (9)
где Е0 - напряженность поля в
свободном пространстве, дБ; V(50%)
- годовая медиана (среднее значение) множителя ослабления, дБ; дE(T)
- отклонение значения напряженности поля от медианы в заданном проценте времени
Т, дБ; F(Д,
ц) - коэффициент,
учитывающий снижение излучаемой мощности диаграммой направленности в
вертикальной (Д) и горизонтальной
(ц) плоскостях по
сравнению с максимальным.
Первые два члена выражения Е(Т) определяют
годовое значение напряженности Е(50%).
Величину V(50%)
в метровой и нижней части ДМВ диапазонов для открытых трасс равнинной или
равнинно-холмистой местности при разных высотах антенн передатчика и приемника
можно принять равным дE(T).
Величина дE(T)
определяется по формуле:
дE(T)
= утК(Е), (10)
где ут - стандартное отклонение
временного распределения, дБ; К(Е) - безразмерная величина, распределенная по
логарифмически нормальному закону с нулевой медианой и стандартным отклонением,
равным единице (определяется по графикам в зависимости от действующей высоты
передающей антенны и длины трассы).
Стандартное отклонение временного распределения,
дБ, в метровом и дециметровом диапазонах волн для мест приема, расположенных на
расстояниях до 10 км от передатчиков, определяется по формуле:
ут = 6,5 [1 - exp(-0,036R)]
или из табл. 12
Таблица
12
Значения ут для расстояний R,
км
|
R, км
|
2
|
4
|
6
|
8
|
10
|
|
ут,
дБ
|
0,45
|
1
|
1,2
|
1,6
|
1,9
|
При проектировании систем телерадиовещания в
крупных городах с разно этажной застройкой следует, в основном, ориентироваться
на результаты измерений напряженности поля сигнала и помех в предполагаемых
местах приема.
Напряженность поля. В свободном пространстве,
однородной непоглащающей среде с е = 1, радиоволны распространяются
прямолинейно, ослабляясь с увеличением расстояния. Действующее значение
напряженности электромагнитного поля (Eд) в мВ/м определяется уравнением:
(11)
где: Рпер - мощность передатчика,
кВт;пер - коэффициент усиления передающей антенны в направлении
точки приема относительно полуволнового вибратора;- расстояние между передающим
и приемным пунктами, км.
Для удобства расчетов напряженность поля иногда
выражается в децибелах по отношению к напряженности поля, равной 1 мкВ/м и
обозначается дБ·мкВ/м или dBмV/м:
(12)
Общей особенностью для метровых и дециметровых
волн является то, что они распространяются, в основном, в пределах прямой
видимости. Напряженность поля убывает с увеличением расстояния от передающей
антенны. У границы зоны прямой видимости возникают колебания уровня
напряженности поля из-за огибания поверхности земли (явление дифракции) и
искривленные траектории за счет преломления в атмосфере (явление рефракции).
Ввиду отражения от поверхности земли и преломления, обусловленного неоднородным
строением атмосферы, в точку приема приходят две или более волн со случайными
фазами и амплитудами [9]. На распространение волн также влияют
метеорологические условия (температура, влажность, давление и т.д.), рельеф
местности и многое другое. Оптическая дальность TV станции определяется
радиусом Земли :
(13)
где H и h - высоты передающей и приемной антенн
соответственно, м.
Радиовидимость несколько больше оптической из-за
частичной дифракции и слабой рефракции в нижних слоях атмосферы увеличивается
примерно на 15%. С учетом этого, радиовидимость:
(14)
Таблица
13
(15)
В левой колонке по вертикали указана ЭИМ, дБВт,
в верхнем ряду по горизонтали - эффективная высота подвеса передающей антенны
над уровнем земли, м. В этом примере параметры брались одинаковыми для обеих
станций.
Как видно из табл. 13, значение коэффициента
существенно (в несколько раз) изменяется в зависимости от параметров
рассматриваемых станций. Кроме того, в случае, если параметры станций будут
значительно отличаться, приведенная таблица неприменима
Следовательно, для получения коэффициента запаса
по расстоянию потребуется использование большого количества таблиц и учет
значительного числа параметров ТВ станций. Поэтому необходимо модернизировать
метод расчета коэффициента, чтобы снизить влияние нелинейности кривых
распространения на его величину.
Коэффициент нормирования определяется на основе
расчетов.
) Защитное отношение по зеркальным каналам
близко к защитному отношению по соседним и составляет -27 дБ.
) При влиянии цифрового сигнала на аналоговый
защитные отношения для зеркальных каналов (n
+ 8) и (n + 9) одинаковы.
) В цифровом вещании защитные отношения по
верхнему и нижнему соседнему каналу совпадают.
Для передатчика с ЭИМ 1 кВт, формула для расчета
расстояния с учетом ЭИМ мешающей станции выглядит следующим образом:
(16)
Формула для расчета критерия разнесения имеет
вид

(17)
или
(18)
Как и в случае расчета ЭМС,
выполнение критерия территориального разноса проверяется в обоих направлениях
между двумя
станциями. Только если исследуемая станция удовлетворяет критериям со всеми
другими действующими станциями, ее работа может считаться возможной.
При проведении расчетов ЭМС часто
ввиду сложной электромагнитной обстановки соглашаются со значительным обужением
зоны обслуживания исследуемой станции. (Обужением зоны обслуживания называют
сокращение ос размеров вследствие возрастания помех от одной или нескольких
мешающих станций.) Превышение полем помехи значения минимальной используемой
напряженности ноля на границе зоны станции на 2-3 дБ не лишит ее возможности
работы, а только сократит зону обслуживания. Следовательно, поскольку
рассмотренный критерий предназначен для качественной оценки возможности
использования тех или иных частот, даже относительная ошибка в пределах 10-15%
не является существенной для принятия решения. Более того, при рассмотрении исследуемой
станции нужно иметь некоторый «запас гибкости» в том случае, когда обужение
зоны обслуживания в определенных пределах является приемлемым.
В то же время зоны обслуживания
других существующих станций при вводе в эксплуатацию исследуемой требуют более
жесткой защиты. Чтобы иметь возможность дифференцированного подхода,
целесообразно ввести понятие предельно допустимого обужения зоны обслуживания
ТВ станции. Предельно допустимое обужение лучше всего выразить как отношение
радиуса зоны после обужения к первоначальному
(19)
где r1 и r2 - радиусы
зоны обслуживания полезной станции в направлении на мешающую станцию до и после
начала работы мешающей станции, соответственно.
В этом случае в формуле (5) вместо
величины Емин ..пол следует использовать величину (Емин ..пол
- ДЕмин . пол ), в которой поправка ДЕмин . пол
определяется по формуле
(20)
или
(21)
Поскольку для исследуемой станции допускается
обужение зоны обслуживания, при подборе частот для новых станций целесообразно
использовать величины Nпред.
пол = 0,7-0,8. Если рассматривается уже действующая станция сети, зона
обслуживания которых должна защищаться, 0,95-1.
В случае, если полезная и мешающая станция имеют
разную поляризацию излучаемого сигнала, поправка на поляризационную развязку
должна добавляться в формуле (5) к защитному отношению А. Средняя величина
поляризационной развязки для диапазонов III-V составляет 18 дБ. Это
обеспечивает дополнительный выигрыш в уменьшении территориального разноса при
частотном планировании, но редко используется на практике ввиду того, что
различные ТВ каналы принимаются одной антенной, а их сигналы должны иметь
одинаковую поляризацию.
Рассмотренный критерий является достаточно
приблизительным, однако его точность вполне приемлема для целей
предварительного подбора частот, составления планов и оценки загруженности
спектра, которая осуществляется методом рассмотрения эталонных тестовых
станций, возможность работы которых исследуется во всех узлах гипотетической
сетки на местности с определенным шагом на местности в рамках заданного
географического региона.
При использовании данного метода полученная с
его помощью конфигурация сети должна проверяться путем проведения более
подробных вычислений с учетом особенностей распространения сигнала и рельефа
местности. Погрешность приведенного предварительного критерия оценки совместимости,
прежде всего, связана с тем, что не учитывается возможное суммарное действие
полей нескольких помех, которое может оказывать несколько большее влияние, чем
это предусмотрено критерием, что приведет к зоны обслуживания по отношению к
идеальной.
В большинстве задач частотного планирования это
является допустимым. В противном случае критерий несколько ужесточается путем
включения в него эмпирического запаса на возможное суммирование полей помех в
форме положительной поправки к защитному отношению, которая обычно не превышает
3-4 дБ.
Глава 4.
Охрана труда и техника безопасности
.1 Техника безопасности при работе с ПК
Многочисленные пользователи персональных
компьютеров часто забывают, а порой и просто не знают о том, что длительная
работа за компьютером негативно сказывается на многих функциях нашего
организма:
· высшей нервной деятельности
· эндокринной, иммунной и
репродуктивной системах
· на зрении и костно-мышечном аппарате
человека
Что это может означать для простого человека? И
можно ли от этого защититься?
Компьютер (особенно монитор) является
источником:
· электростатического поля
· электромагнитных излучений в
низкочастотном, сверхнизко-частотном и высокочастотном диапазонах (2 Гц - 400
кГц)
· излучения оптического диапазона
(ультрафиолетового, инфракрасного и видимого света)
· рентгеновского излучения
Во время работы компьютера лучевая трубка
видеомонитора создает ионизирующее (рентгеновское излучение). Однако в
современных мониторах оно незначительно, так как надежно экранизируется и
сравнимо с естественным радиационным фоном, а в жидкокристаллических мониторах
практически сведена к нулю.
Электромагнитное излучение неблагоприятно
действует на зрение, вызывает снижение работоспособности, головные боли.
Поэтому расстояние от лица человека до монитора должно быть не менее 60-70 см.
Электростатическое поле способствует оседанию
пыли и аэрозольных частиц на лице, шее, руках, что может вызвать у людей, особо
чувствительных к подобному воздействию негативные кожные реакции - сухость,
аллергию. В отличие от ЭЛ мониторов жидкокристаллические мониторы можно назвать
почти «зелеными» устройствами, сберегающими здоровье людей. Без особых опасений
за здоровье с ними могут работать и женщины, и дети. Неподвижная и напряженная
поза оператора, в течение длительного времени прикованного к экрану монитора,
приводит к усталости и возникновению болей в позвоночнике, шее, плечевых
суставах.
Во время работы за компьютером необходимо
соблюдать правильную осанку.
Рис.19
Работа с дисплеем предполагает, прежде всего
визуальное восприятие отображенной на экране монитора информации, поэтому
значительной нагрузке подвергается зрительный аппарат работающих с ПК.
Рис. 20. Правильное
положение за компьютером
Помещение во время работы с компьютером должно
быть хорошо освещено. Освещение в помещениях ПК должно быть смешанным:
естественным, - за счет солнечного света, - и искусственным.
Запрещается работа с компьютером в темном или
полутемном помещении!!
Рабочее место с ПК должно располагаться по
отношению к оконным проемам таким образом, чтобы естественный свет падал сбоку,
предпочтительнее слева. Следует избегать большого контраста между яркостью экрана
и окружающего пространства. Оптимальным считается их выравнивание, размещение
рабочих мест относительно друг друга, окон и стен помещения.
Рис. 21
Работа компьютера сопровождается акустическими
шумами, включая ультразвук
Снизить уровень шума в помещении, где находится
компьютер можно использованием звукопоглощающих материалов. Дополнительным
звукопоглощением служат занавеси из плотной ткани.
Статистика свидетельствует, что работа за
компьютером нарушает нормальное течение беременности, повышает вероятность
выкидыша и часто является причиной появления на свет детей с врожденными
пороками, из них наиболее существенными бывают дефекты развития головного
мозга.
Не рекомендуется работать за ПК больше двух
часов подряд без перерыва. Симптомы CVS
(СКС - синдрома компьютерного стресса) у части пользователей обнаруживаются
через 2 ч. непрерывной работы перед экраном, у большинства - через 4 ч. и
практически у всех - через 6 ч.
СКС проявляется головной болью, воспалением
слизистой оболочки глаз, повышенной раздражительностью, вялостью и депрессией,
сонливостью, утомляемостью, не проходящей усталостью (даже после отдыха),
головными болями, болями в разных частях тела, нарушением визуального
восприятия, ухудшением сосредоточенности и работоспособности.
В процессе работы по возможности, чтобы
уменьшить отрицательное влияние монотонности, следует менять тип и содержание
деятельности.
Через каждые 45-60 минут следует устраивать
перерывы продолжительностью 10-20 минут, во время которых рекомендуется
выполнять комплексы физических упражнений.
Нельзя работать при плохом самочувствии и перед
сном. Это разрушает нервную систему, нарушает сон.
Хотя картина воздействия компьютеров на организм
человека, описанная выше, выглядит довольно мрачной, нужно помнить, что
подобные последствия возможны лишь в случае абсолютного игнорирования мер
безопасности и гигиенических норм.
Профилактические и оздоровительные методики и
технологии отечественных и зарубежных авторов позволят свести к минимуму негативное
воздействие компьютера на Ваше здоровье, сделать работу на ПК приятным и
увлекательным занятием.
4.2 Пожарная безопасность
Возникновение пожара
Пожар - это горение вне
специального очага, которое не контролируется и может привести к массовому поражению
и гибели людей, а также к нанесению экологического, материального и другого
вреда.
Горение - это химическая
реакция окисления, сопровождающаяся выделением теплоты и света. Для
возникновения горения требуется наличие трех факторов: горючего вещества, окислителя
и источника загорания. Окислителями могут быть кислород, хлор, фтор, бром, йод,
окиси азота и другие. Кроме того, необходимо чтобы горючее вещество было
нагрето до определенной температуры и находилось в определенном количественном
соотношении с окислителем, а источник загорания имел определенную энергию.
Наибольшая скорость горения
наблюдается в чистом кислороде. При уменьшении содержания кислорода в воздухе
горение прекращается. Горение при достаточной и надменной концентрации
окислителя называется полным, а при его нехватке - неполным.
Выделяют три основных вида
самоускорения химической реакции при горении: тепловой, цепной и
цепочно-тепловой. Тепловой механизм связан с экзотермичностью процесса
окисления и возрастанием скорости химической реакции с повышением температуры.
Цепное ускорение реакции связано с катализом превращений, которое осуществляют
промежуточные продукты превращений. Реальные процессы горения осуществляются,
как правило, по комбинированному (цепочно-тепловой) механизму.
Процесс возникновения горения
подразделяется на несколько видов.
Вспышка - быстрое сгорание
горючей смеси, не сопровождающееся образованием сжатых газов.
Возгорание - возникновение
горения под воздействием источника зажигания.
Воспламенение - возгорание,
сопровождающееся появлением пламени.
Самовозгорание - явление
резкого увеличения скорости экзотермических реакций, приводящее к возникновению
горения вещества при отсутствии источника зажигания.
Самовоспламенение -
самовозгорание, сопровождается появлением пламени.
Взрыв - чрезвычайно быстрое
(взрывчатое) превращение, сопровождающееся выделением энергии с образованием
сжатых газов.
Основными показателями пожарной
опасности являются температура самовоспламенения и концентрационные пределы
воспламенения.
Температура самовоспламенения
характеризует минимальную температуру вещества, при которой происходит резкое
увеличение скорости экзотермических реакций, заканчивающееся возникновением
пламенного горения.
Температура вспышки - самая
низкая (в условиях специальных испытаний) температура горючего вещества, при
которой над поверхностью образуются пары и газы, способные вспыхивать в воздухе
от источника зажигания, но скорость их образования еще недостаточна для
последующего горения.
Горючими называются вещества,
способные самостоятельно гореть после изъятия источника загорания.
По степени горючести вещества
делятся на: горючие (сгораемые), трудногорючие (трудносгораемые) и негорючие
(несгораемые).
К трудногорючим относятся такие
вещества, которые не способны распространять пламя и горят лишь в месте
воздействия источника зажигания.
Негорючими являются вещества,
не воспламеняющиеся даже при воздействии достаточно мощных источников зажигания
(импульсов).
Горючие вещества могут быть в
трех агрегатных состояниях: жидком, твердом и газообразном. Большинство горючих
веществ независимо от агрегатного состояния при нагревании образует
газообразные продукты, которые при смешении с воздухом, содержащим определенное
количество кислорода, образуют горючую среду. Горючая среда может образоваться
при тонкодисперсном распылении твердых и жидких веществ.
Из горючих газов и пыли
образуются горючие смеси при любой температуре, в то время как твердые вещества
и жидкости могут образовать горючие смеси только при определенных температурах.
В производственных условиях
может иметь место образование смесей горючих газов или паров в любых
количественных соотношениях. Однако взрывоопасными эти смеси могут быть только
тогда, когда концентрация горючего газа или пара находится между границами
воспламеняемых концентраций.
Минимальная концентрация
горючих газов и паров в воздухе, при которой они способны загораться и
распространять пламя, называющееся нижним концентрационным пределом
воспламенения .
Максимальная концентрация
горючих газов и паров, при которой еще возможно распространение пламени,
называется верхним концентрационным пределом воспламенения.
Указанные пределы зависят от
температуры газов и паров: при увеличении температуры на 100°С величины нижних
пределов воспламенения уменьшаются на 8-10%, верхних - увеличиваются на 12-15%.
Пожарная опасность вещества тем
больше, чем ниже нижний и выше верхний пределы воспламенения и чем ниже
температура самовоспламенения.
Пыли горючих и некоторых не
горючих веществ (например алюминий, цинк ) могут в смеси с воздухом образовать
горючие концентрации.
Наибольшую опасность по взрыву
представляет взвешенная в воздухе пыль. Однако и осевшая на конструкциях пыль
представляет опасность не только с точки зрения возникновения пожара, но и
вторичного взрыва, вызываемого в результате взвихривания пыли при первичном
взрыве.
Минимальная концентрация пыли в
воздухе, при которой происходит ее загорание, называется нижним пределом
воспламенения пыли.
Поскольку достижение очень
больших концентраций пыли во взвешенном состоянии практически нереально, термин
"верхний предел воспламенения" к пылям не применяется.
Воспламенение жидкости может
произойти только в том случае, если над ее поверхностью имеется смесь паров с
воздухом в определенном количественном соотношении, соответствующим нижнему
температурному пределу воспламенения.
.3 Меры по профилактике и
противопожарной безопасности
Мероприятия по пожарной
профилактике разделяются на организационные, технические, режимные и
эксплуатационные.
Организационные мероприятия:
предусматривают правильную эксплуатацию машин и внутризаводского транспорта,
правильное содержание зданий, территории, противопожарный инструктаж и тому
подобное.
Технические мероприятия:
соблюдение противопожарных правил и норм при проектировании зданий, при устройстве
электропроводов и оборудования, отопления, вентиляции, освещения, правильное
размещение оборудования.
Эксплуатационные мероприятия -
своевременная профилактика, осмотры, ремонты и практика тушения пожаров
наибольшее распространение получили следующие принципы прекращения горения:
1)
изоляция
очага горения от воздуха или снижение концентрации кислорода путем разбавления
воздуха негорючими газами (углеводы СО i
< 12-14%).
2)
охлаждение
очага горения ниже определенных температур;
3) интенсивное торможение
(ингибирование) скорости химической реакции в пламени;
4) механический срыв пламени
струей газа или воды;
5) создание условий
огнепреграждения (условий, когда пламя распространяется через узкие каналы).
Выводы
Цифровые технологии позволяют реализовать
многопрограммное телевизионное (ТВ) расширить номенклатуру и качество
телекоммуникационных услуг.
Разработка технологии DVB-T
базировалась на существующих европейских телевизионных стандартах. Поэтому
исходно в нем была принята нынешняя чересстрочная развертка с форматом 4:3,
частотой полукадров 50 Гц, разрешением 625 строк и тремя вариантами ширины радиоканала
- 8 МГц, 7 МГц и 6 МГц.
Что зона уверенного приема сигналов цифрового
телевидения зависит от выбранного режима модуляции. Были подтверждены расчетные
радиусы зоны обслуживания цифрового передатчика 500 Вт при высоте подвеса
антенны 82,5м: 30 км - «хорошего» качества обслуживания и 40 км для
«удовлетворительного».
Дело в том, что искажения сигналов при их
переотражениях от окружающих объектов и многолучевом распространении радиоволн
являются непременной особенностью передачи сигналов в наземном ТВ. Именно для
борьбы с такими искажениями и была специально разработана модуляция COFDM.
Сущность метода OFDM
заключается в том, что для передачи цифровых данных одновременно используется
очень большое количество несущих колебаний, а весь передаваемый цифровой поток
распределяется по этим несущим. Несущие колебания ортогональны, поэтому можно
декодировать сигнал даже в случае, если есть небольшое перекрывание частот
отдельных несущих.
Список использованной литературы
1. «Мировой финансово-экономический
кризис, пути и способы преодоления кризиса в условиях Узбекистана». И.А.
Каримов. - Т.: «Узбекистан», 2009. - 56 стр.
2. «Концепция внедрения наземного
цифрового телевизионного и звукового вещания в Республике Узбекистан» Приказ
УзАСИ №43 от 28.02.2005 г.
3. В.И. Павлов. Цифровое
телерадиовещание в инфокоммуникациях России. «Электросвязь» №6, 2002г.
. В.Е. Джакония, А.А. Гоголь,
Я.В. Друзин, Н.А. Ерганжиев, С.Э. Коганер, П.М. Копылов, В.И. Лисогурский, О.В.
Украинский. «Телевидение» Система цветного телевидения SECAM.
262-стр
. М.Г. Локшин. Построение
современной наземной сети телерадиовещания: проблемы и предложения.
«Электросвязь», №4, 2005 г.
. Ю.Б. Зубарев, М.И.
Кривошеев, И.Н. Красносельский. Цифровое телевизионное вещание. Внешнее
кодирование и перемежение 356-стр.
7. O'z
DSt 1048:2004
Телевизионные радиопередатчики
цифровые
I-V
диапазонов
8. Broadcasting
№3, 2005 г
. Международный союз
электросвязи (МСЭ). Справочник по ЦНТВ Цифровое наземного телевизионное вещание
в диапазонах ОВЧ/УВЧ
10. 3. Хулицки (Польша).
Интерактивные услуги на платформе цифрового ТВ вещания. «Электросвязь» №10/2000
Приложения
Рис. 13
Рис. 14
Рис. 15
Рис. 16
Рис. 17
Рис. 18