Механизация строительно-монтажных и погрузочно-разгрузочных работ
ВВЕДЕНИЕ
Увеличение объемов и рост темпов промышленного и
гражданского строительства в нашей стране, предусмотренные основными
направлениями развития народного хозяйства, требуют постоянного
совершенствования средств механизации строительных и монтажных работ.
Механизация строительно-монтажных и
погрузочно-разгрузочных работ в настоящее время осуществляется специальными
системами машин, обеспечивающими высокие темпы и индустриальные методы
производства работ. Одними из основных машин в таких системах являются
подъемно-транспортные машины, к которым предъявляются следующие требования:
Большая маневренность и независимость
передвижения не только в пределах той или иной строительной площадки, но и
между ними;
Возможность использования на различных видах
работ;
Минимальные объемы и трудоемкость по монтажу и
демонтажу самой машины, по подготовке площадок для ее эксплуатации, а также по
перебазированию с объекта на объект.
Перечисленным требованиям наиболее полно
отвечают автомобильные стреловые самоходные краны общего назначения, в том
числе стреловым в телескопической или выдвижной стрелой и башенно-стреловым
оборудованием. Поэтому эти машины являются ведущими при производстве многих
монтажных, погрузочно-разгрузочных и других работ на строительстве.
В различных отраслях народного хозяйства
автомобильные стреловые краны составляют около 4/5 всего парка стреловых
самоходных кранов. Выпуск автомобильных стреловых самоходных кранов возрастает
большими темпами. Большими сериями выпускались краны грузоподъемностью 4-16 т,
оснащенные различными видами стрелового и башенно-стрелового оборудования:
КС-1562А, КС-2561Д и КС-2561Е, КС-3561А, КС-3562А с гидравлическим приводом.
Специальные конструкторские бюро министерств и
заводов ведут работу по дальнейшему совершенствованию серийно выпускаемых
машин, повышению их технико-экономических показателей, улучшению условий труда
машинистов.
В процессе модернизации выпускаемых машин
повышается их грузоподъемность, опорно-поворотные устройства, кабины и другие
узлы. Большое внимание уделяется совершенствованию систем управления, удобству
работы в кабинах кранов, облегчению проведения технического обслуживания и
ремонта. Разрабатываются новые виды сменного рабочего оборудования, требующие
для монтажа и демонтажа минимальных затрат ручного труда. Начато освоение
серийного производства принципиально новых автомобильных стреловых самоходных
кранов LIBHHER, КАТО NK - 500 MS (40т) 1985г, КАТО NK - 750 VS (60т) 1985г, LTM
1300/1 - LIBHHER (72т), LTM 1160/2 - LIBHHER (60т) 2001г.
Применение телескопических стрел с
гидравлическим приводом подъема стрелы и выдвижения ее секций, а также
гидравлических выносных опор значительно сокращает время приведения кранов в
выполнения отдельных операций по перемещению груза.
Машины оснащаются различными датчиками по
контролю грузоподъемности, опускание и подъема каната, гидравлическими
выносными опорами, специальными грузозахватными органами.
Важнейшим условием повышения экономической
эффективности применения кранов является повышение профессионального мастерства
и культурно-технического уровня кадров, обслуживающих машины.
1. ТЕХНИЧЕСКОЕ ОБОСНОВАНИЕ ТЕМЫ
ДИПЛОМНОГО ПРОЕКТА
.1 Современное состояние и тенденции
развития грузоподъемной техники
грузоподъемный кран грейфер
безопасность
Одной из самых трудоемких операций, выполняемых
грузоподъемной машиной, является загрузка ее грузонесущего органа заданным
количеством материала. Для сыпучих материалов эта задача наилучшим образом
решается применением грейферных механизмов (см. рис. 1.1), в которых процесс
загрузки идет автоматически. При эксплуатации грузоподъемных машин, оснащенных
грейферами рациональных конструкций и параметров, производительность их
значительно повышается.
Грейферные краны широко применяют при
погрузочно-выгрузочных работах, в промышленности и на транспорте, а также для
специальных технологических целей - проходки вертикальных стволов шахт, подъема
взорванной породы. В металлургической и машиностроительной промышленности
грейферы применяют для подготовки и подачи шихты на шихтовых и скрапных дворах,
для работы на рудных дворах, подачи и уборки формовочных материалов в литейных,
уборки стружки, лома и т.д. В строительстве грейферы применяют на земляных
работах (при рытье глубоких ям), для подачи инертных материалов в бункеры
бетонных заводов и при погрузочно-разгрузочных роботах на складах.
Грейферы применяют для перемещения больших масс
круглых лесоматериалов на предприятиях лесной, деревообрабатывающей и
целлюлозно-бумажной промышленности, на лесных складах угольных шахт,
лесоперевалочных базах и т.д. Спроектированы и вводятся в эксплуатацию
грейферные механизмы для круглого леса.
В сельском хозяйстве грейферы используют на
кормоподготовке, уборке, погрузке, выгрузке и на других работах.
В настоящее время грейферные механизмы
завоевывают новые области применения в промышленности и на транспорте, позволяя
механизировать и автоматизировать процессы погрузки и выгрузки материалов.Для
изучения тенденций развития грузоподъемных машин были проведены патентные
исследования с целью изучения основных направлений развития и модернизации
подъемно транспортных машин. ( табл.1).
Техническим результатом изобретения является
возможность использования данной конструкции одноканатного грейфера в качестве
сменного оборудования к кранам, возможность быстрой навески грейфера, что
расширяет технологические возможности. Кроме того, конструкция одноканатного
грейфера проста в управлении и надежна в работе.
Одноканатный грейфер (рис 1.2.) содержит корпус
1, закрепленные на оси 10 челюсти 5, подвижные 2 и неподвижные 3 тяги,
подвижную траверзу 6, крюк 9 для зацепления с осью 10 крепления челюстей 5,
закрепленный посредством оси 7 на конце подвижной траверзы 6, блок 8,
установленный на оси крепления крюка 9, канат15, огибающий блок 8, цепь 12,
соединяющую крюк с подвижной траверсой6 и закрепленную на последней посредством
оси, балласты 11 и 14, один из которых установлен на оси 10 крюк выполнен с
сопряженной с зевом крюка направляющей для оси 10 крепления челюстей 5, длина
которой равна или больше половины длины цепи, а расстояние между осью крепления
крюка на конце подвижной траверсы и осью крепления челюстей равно расстояние
между осью крепления крюка на подвижной траверсе и осью крепления цепи к ней и
равно длине цепи.
Рис. 1.1 - Одноканатный грейфер: 1 - подвижная
траверса; 2 - цепь; 3 - неподвижная стойка; 4 - проушина; 5 - корпус; 6 -
грейферный механизм; 7 - челюсть; 8 - ось; 9 - направляющие ролики; 10 - канат
1.2 Патентный поиск
Для изучения тенденций развития грузоподъемных
машин были проведены патентные исследования с целью изучения основных
направлений развития и модернизации подъемно транспортных машин. ( табл.1).
Техническим результатом изобретения является
возможность использования данной конструкции одноканатного грейфера в качестве
сменного оборудования к кранам, возможность быстрой навески грейфера, что
расширяет технологические возможности. Кроме того, конструкция одноканатного
грейфера проста в управлении и надежна в работе.
Одноканатный грейфер (рис 1.2.) содержит корпус
1, закрепленные на оси 10 челюсти 5, подвижные 2 и неподвижные 3 тяги,
подвижную траверзу 6, крюк 9 для зацепления с осью 10 крепления челюстей 5,
закрепленный посредством оси 7 на конце подвижной траверзы 6, блок 8,
установленный на оси крепления крюка 9, канат15, огибающий блок 8, цепь 12,
соединяющую крюк с подвижной траверсой6 и закрепленную на последней посредством
оси, балласты 11 и 14, один из которых установлен на оси 10 крепления челюстей
5, а два вторых закреплены на крюке посредством крюка 9, при этом крюк выполнен
с сопряженной с зевом крюка направляющей для оси 10 крепления челюстей 5, длина
которой равна или больше половины длины цепи, а расстояние между осью крепления
крюка на конце подвижной траверсы и осью крепления челюстей равно расстояние
между осью крепления крюка на подвижной траверсе и осью крепления цепи к ней и
равно длине цепи.
Рис. 1.2 - Одноканатный грейфер
Технический результат изобретения достигается
тем, что одноканатный грейфер, содержащий корпус, закрепленные на оси челюсти,
подвижные и неподвижные тяги, соединенные посредством осей с челюстями,
подвижную траверсу, один конец которой связан с осью соединения одних тяг с
соответствующей челюстью, крюк для зацепления с осью крепления челюстей,
закрепленный посредством оси на втором конце подвижной траверсы, блок,
установленный на оси крепления крюка, канат, огибающийблок, снабжен цепью,
соединяющий крюк с подвижной траверсой и закрепленной на последней посредством
оси, балластами, один из которых установлен на оси крепления челюстей, а два
вторых балласта закреплены на крюке посредством оси, которая смещена
относительно оси, проходящей через центр тяжести крюка, при этом крюк выполнен
с сопряженной с зевом крюка направляющей для оси напряжения челюстей, длина
которой равна или больше половины длины цепи, а расстояние между осью крепления
крюка на втором конце подвижной траверсы и осью крепления челюстей равно
расстоянию между осью крепления крюка на втором конце подвижной траверсы и осью
крепления цепи на ней и равно длине цепи.
Одноканатный грейфер снабжен двумя пластинами,
приваренные в корпусе и направляющим устройством для каната, один конец
которого закреплен в корпусе, между пластинами, с помощью пальца, а второй
крепиться к коушу.
Одноканатный грейфер работает следующим образом:
он подается на опорную поверхность. В момент прикосновения ослабевает канат и
ось вместе с блоком, подвижной траверсой и крюком под собственным весом
опускается, высвобождая крюк из зацепления с осью. Затем канат подтягивается,
освобожденная ось под действием собственного веса и балласта опускается,
высвобождая челюсти.
Одноканатный грейфер раскрыт, готовый зачерпнуть
сыпучий грунт. Затем грузовой канат отпускается, опуская грейферный канат
вместе с осью, блоком и крюком. Крюк, удерживаемый, в определенном положении
при помощи цепи ложится своей направляющей на ось.
Затем грузовой канат подтягивается вверх,
поднимая грейферный канат вместе с осью, блоком и крюком. Крюк скользит по
направляющей по оси в зев. Челюсти одноканатного грейфера закрылись с грузом.
Одноканатный грейфер подается на место выгрузки
грунта. Цикл повторяется: высвобождается грейферный канат, опускается ось
вместе с блоком, подвижной траверзой и крюком. Высвобождается крюк от
зацепления с осью. Челюсти раскрываются при подтягивании грейферного каната,
груз высыпается. Одноканатный грейфер на место загрузки может подаваться в
раскрытом состоянии, при этом время цикла уменьшается.
В результате патентного поиска было отобрано
более близкое по характеру к теме дипломного проекта, описание изобретения к
патенту № 2090484. Автор изобретения: Боос Е. А., Зайцев А.С., Богучарский
П.Ф., Кружилин Н.А. «Одноканатный грейфер».
Патент №1 (2090484)
Рисунок 1.3 - Чертеж грейфера по патенту
2090484: 1 - подвижная траверса; 2 - цепь; 3 - неподвижная стойка; 4 -
проушина; 5 - корпус; 6 - грейферный механизм; 7 - челюсть; 8 - ось; 9 -
направляющие ролики; 10 - канат
Патент №2 (724429)
Рисунок 1.4 - Чертеж грейфера по патенту 724429:
1,2 - челюсти; 3 - траверса; 4 - копир; 5 - подвижная штанга; 6 - тяга; 7 -
втулка; 8 - палец; 9,10 и11,12 - направленные выступы верхние и нижние; 13 -
вертикальный паз; 14,15 - скосы; 16 - серьга; 17 - скос; 18 - впадина
Рисунок 1.5 - Чертеж грейфера по патенту 420536:
1,2 - челюсти; 3 - шарнир; 4 - нижняя траверса; 5 - ось; 6 - замок; 7 - контр
груз; 8 - ролик; 9 - цепь; 10 - падающий рычаг; 11 - блок; 12 - шарнир; 13 -
верхняя траверса; 14,15 - тяга; 16 - коуш; 17 - грейферный канат; 18 - кольцо;
19 -амортизаторы; 20 - упор
Таблица 1.1 - Перечень патентных документов,
отобранных при поиске по теме «Модернизация автомобильного крана типа КС»
|
Страна
поиска
|
Вид
и номер охранного документа
|
Индекс
ипк
|
Дата
приоритета, дата публикации
|
Авторы
|
Заявитель
Патентовладелец
|
Название
изобретения
|
|
1
|
2
|
3
|
4
|
5
|
6
|
7
|
|
СССР
|
2090484
|
6
В 66 С 3/06
|
20.09.94
20.09.97
|
Боос
Е.А., Зайцев А.С., Богучарский П.Ф., Кружилин Н.А
|
Акционерное
общество «Донецкий экскаватор»
|
Одноканатный
грейфер
|
|
СССР
|
724429
|
В
66С 3/06
|
28.05.74
30.03.80
|
Ерогодский
А.А., Руфов В.А., Черницын Е.А.
|
Сыктывкарский
механический завод
|
Грейфер
|
|
СССР
|
420536
|
В
66С 3 06
|
29.04.72
25.03.74
|
Капцан
В.Е., Шайхтудинов Г.Б., Шарапов М.И.
|
Магнитогорский
дважды ордена Ленина и ордена Трудового Красного Знамени металлургический
комбинат им. В. И. Ленина
|
Одноканатный
грейфер
|
|
СССР
|
863504
|
В
66 С 3/06
|
21.12.79
15.09.81
|
Кривко
В.К.
|
-
|
Одноканатный
грейфер
|
|
СССР
|
901238
|
В
66 С 3/06
|
22.05.80
30.01.82
|
Туркин
А.К.
|
-
|
Одноканатный
грейфер
|
|
СССР
|
779276
|
В
66С3/06
|
25.12.78
15.11.80
|
Перфильев
И.П., Цыбденов Ю.Д.
|
Улан
- Удэнскийлокомативо-вагоноремонтный завод
|
Одноканатный
грейфер
|
|
СССР
|
1557069
|
В
66 С 3/06
|
19.05.87
15.04.90
|
Бузин
Е.Г.
|
Никопольский
завод ферросплавов
|
Грейфер
|
|
СССР
|
867847
|
В
66 С 3/10
|
31.08.79
30.09.81
|
Куковинец
В.Н, Абсалямов Р.И., Гридасов СИ.
|
Запорожский
ордена Октябрьской Революции и Ордена Трудового Красного Знамени
автомобильный завод «Коммунар»
|
Одноканатный
грейфер
|
|
СССР
|
1576475
|
В
66 С 3/06
|
11.04.88
07.07.90
|
Блинов
Ю.Е., Красников СА.
|
-
|
Грейфер
|
|
СССР
|
880949
|
В
66 С 3/10
|
29.11.79
15.11.81
|
Псарев
А.Ф.
|
-
|
Грейфер
|
Патент №4 (863504)
Рисунок 1.6 - Чертеж грейфера по патенту 863504:
1 - шток; 2 - нижняя траверса; 3 - челюсти; 4 - тяга; 5 - верхняя траверса: 6,7
- корпус; 8 - канаты; 9 - серьга; 10 - собачки; 11 - пружины
Патент №5 (901238)
Рисунок 1.7 - Чертеж грейфера по патенту 901238:
1 - челюсти; 2 - ось; 3 - нижняя траверса; 4 - направляющие; 5 - верхняя
траверса; 6 - тяги; 7,8 - блоки; 9 - фиксации; 10 - канат
Патент №6 (779276)
Рисунок 1.8 - Чертеж грейфера по патенту 779276:
1,2 - челюсти; 3,4 - тяги; 5 - верхняя траверса; 6 - подвижная траверса; 7
-грейферный трос; 8,9 - полиспастный блок; 10 - двурогий крюк; 11 - серьга; 12
-ролик; 13 - подпружиненный упор
Патент №7 (1557069)
Рисунок 1.9 - Чертеж грейфера по патенту
1557069: 1 - челюсти; 2 - жесткие тяги; 3 - нижняя траверса; 4 - ось; 5 -
верхняя траверса; 6 - направляющие ролики; 7 - вертикальная штанга; 8 - упоры;
9 - петля; 10 -захват; 11 - планка; 12 - пластинчатая пружина
Патент №8 (1576475)
Рисунок 1.10 - Чертеж грейфера по патенту
1576475: 1 - челюсти; 2 - ось; 3 - подпружиненные упоры; 4 - траверса; 5 -
вертикальная стойка; 6 - выемка; 7 - продольная прорезь; 8 - щеки; 9 - штанга;
10 - цепь; 11 - серьга
Патент №9 (880949)
Рисунок 1.11 - Чертеж грейфера по патенту1.3
Характеристика базовой машины: 1,2 - челюсти; 3 - нижняя траверса; 4 -
телескопическая штанга; 5 - верхняя траверса; 6 - грузы; 7 - блоки; 8 - канаты;
9, 12 - оси; 10 - петля; 11 -поворотная створка; 13 - система тяг; 14-16 -
шестерни; 17 - рычаг; 18 -рукоятка; 19 - валик; 20 - фиксатор рычага; 21 -
подпружиненный фиксатор; 22 - упор
Краткая техническая характеристика крана с
гидравлическим приводом приведена в таблице 1.2:
Таблица 1.2 - Краткая техническая характеристика
крана с гидравлическим приводом
|
Наименование
указателей
|
Величина
|
|
1
|
2
|
|
Тип
крана
|
На
автомобильном ходу с
|
|
телескопической
стрелой
|
|
Модель
крана
|
КС-5473А
|
|
Грузоподъемность,
т
|
28
|
|
Время
полного изменения вылета крюка, мин
|
0,7-0,8
|
|
Скорость
телескопирования стрелы - номинальная,
|
12,0-15,0
|
|
м/мин
|
|
|
Допускаемый
угол наклона установки крана
|
3°
|
|
Габаритные
размеры в транспортном положении, м
|
|
|
-
Длина
|
12,0
|
|
-
Ширина
|
2,5
|
|
-
Высота
|
3,46
|
|
Радиус
описываемый поворотной частью, м
|
3,05
|
|
Масса
крана, т:
|
|
|
-
в состоянии эксплуатационной готовности
|
28,6
|
|
Масса
основных частей крана /конструкционная/, т:
|
|
|
-
шасси комплектное
|
14,9
|
|
-
поворотная часть /комплектная с контргрузом,
|
7,8
|
|
без
стрелы/
|
|
|
-
телескопическая стрела
|
5,2
|
|
-
удлинитель
|
0,54
|
Автомобильный кран состоит из неповоротной и
поворотной частей, связанных между собой опорно-поворотным устройством (см.
рис. 1.12).

Рисунок 1.12 - Самоходный кран с телескопической
стрелой грузоподъемностью 28 т.: 1 - ходовое устройство; 2 - ходовая рама; 3 -
поворотная рама; 4 - выносные опоры; 5 - противовес; 6 - телескопическая
стрела; 7 - грузовой полиспаст; 8 - гидравлический цилиндр подъема стрелы; 9 -
крюковая подвеска; 10 - кабина; 11 - грузовой канат
Это устройство передает нагрузки (грузовой
момент вертикальные и горизонтальные силы) от поворотной части крана на
неповоротную, а также обеспечивает возможность вращения поворотной части
относительно неповоротной. Неповоротная часть крана состоит из ходового
устройства 1 и ходовой рамы 2,оборудованной выносными опорами 4. У кранов с
гидравлическим приводом устанавливают масляный бак.
Ходовая рама 2 представляет собой
пространственную сварную конструкцию, которая опирается на шасси автомобиля и
на которой крепится опорно-поворотное устройство 8.Ходовая рама передает
нагрузки от поворотной части на основании через шасси автомобиля или выносные
опоры 4. Выносные опоры 4 представляют собой устройство, смонтированное на
ходовой раме и используемые для увеличения опорного контура крана в рабочем
состоянии.
Поворотная часть крана состоит из поворотной
платформы, исполнительных механизмов, кабины машиниста 10, и стрелового
оборудования.
Поворотная платформа состоит из поворотной рамы
8 (основание поворотной части крана), устанавливаемой на опорно-поворотное
устройство, противовеса 5 (дополнительного груза), закрепленного на поворотной
части крана для уравновешивания его во время работы, и кожуха, защищающего
исполнительные механизмы крана и их привод от внешних воздействий.
Исполнительные механизмы крана устанавливают на поворотной раме 3.
Изменения угла наклона телескопической стрелы 6
осуществляется гидравлическим цилиндром 8. Подъем и опускание груза
производятся грузовой лебедкой, установленной на поворотной раме 3 или на
хвостовой части телескопической стрелы.
Выдвижные и телескопические стрелы кранов
снабжаются специальными исполнительными механизмами для их выдвижения.
Кабина 10, в которой размещены органы управления
краном и сидение машиниста, оборудована необходимыми указателями, системой
сигнализации и системами жизнеобеспечения (вентиляцией, отоплением). Стреловое
оборудование (стрела, грузовой полиспаст и грузозахватное устройство)
обеспечивает действие грузозахватного устройства в зоне рабочего крана.
Телескопическая стрела состоит из трех секций коробчатого сечения из стали
большой прочности и низким содержанием компонентов сплава. Длина стрелы
изменяется от 10 метров до 31, выдвижение секций бесступенчатое и
синхронизированное. Внутри стрелы помещен гидроцилиндр телескопирования и
канатная система (полиспаст) синхронизированного движения третьей секции.
2. ОБЩИЙ РАСЧЕТ КРАНА С ГРЕЙФЕРОМ
.1 Выбор формы челюстей
Вопрос о форме челюстей является одним из
основных при проектировании грейферного механизма. Конструкцию других узлов
грейфера, технологию их изготовления, метод сборки и т.д. определяют главный
образом в зависимости от принятой формы челюстей. Челюсть грейфера (рис. 2.1)
должна иметь такую форму, которая обеспечивала бы наибольшее заполнение ковша,
наименьшие сопротивления при заполнении (наименьший расход энергии), наилучшее
опорожнение грейфера при раскрытии челюстей, наименьшую деградацию хрупких
материалов в ковше и наименьшую динамическую нагрузку на канат.
Опыты позволяют установить, что для всей группы
мелких сыпучих материалов (пески всех сортов, мелкий уголь, цемент и др.) лучшей
формой челюстей являются полукруглая. Такая форма пригодна и для экскавации
грейфером песчаных грунтов.
Рисунок 2.1 - Форма челюсти грейфера
Наблюдения, проведенные над грейферами,
работающими с различными материалами, показывают, что их заполнение в меньшей
степени зависит от насыпного веса зачерпываемого материала и в большей степени
- от крупности и формы кусков, абразивности материала и его состояния
(плотности, влажности, липкости и т.д.). Так, при зачерпывании материалов с
одинаковыми размерами кусков достигался одинаковый коэффициент заполнения,
хотянасыпной вес керченской руды (ум = 1,37 m/м3) на 60% меньше, чем чиатурской
марганцевой руды (ум = 2,2 m/м3).В то же время при зачерпывании тем же
грейферомболее легкого материала - кокса (ум = 0,6 m/м3), но с размерами кусков
до 150 мм, коэффициент заполнения падает до 0,8-0,9.
При полукруглой форме челюстей мелкий сыпучий
материал перемещается по днищу челюсти с наименьшими затратами энергии.
При выборе формы челюстей должны быть учтены не
только условия наилучшего заполнения ковша, но и условия наилучшего его
опорожнения.
2.2 Процесс опускания канатного
грейфера на материал
Опускание порожнего грейфера на зачерпываемый
материал является первой операцией цикла работы грейферного крана. От того, как
проходит опускание, будет зависеть положение грейфера на материале, величина
скорости, с которой происходит встреча его с материалом, а также величина
предварительного внедрения челюстей в материал.
С точки зрения наиболее благоприятного положения
грейфера на материале в начальный момент зачерпывания необходимо, чтобы его
задняя стенка занимала положение, близкое к вертикальному. Уменьшение угла в
этот момент является нежелательным, так как при ударе о материал происходит
быстрое закрывание челюстей.
Опускание грейфера в зависимости от системы
грейферного кранового механизма и конструкции самого грейфера протекает
различно. Для однократных грейферов раскрытое положение челюстей при опускании
обеспечивается либо специальными запорными устройствами, либо отъединением
траверсы от головки.
Для двух- и четырехканатному грейферу при
подвеске к электрореверсивному двухбарабанному подъемному механизму с жесткой
кинематической связью барабанов и роторов двигателя скорости всех частей
грейфера (головки, траверзы, челюсти и др.) при опускании одинаковы, и,
следовательно, грейфер останется раскрытым при встрече с зачерпываемым
материалом.
При опускании грейфера, подвешенного к
двухбарабанной фрикционной лебедке с независимой системой привода, необходимо
усилием в подъемном и замыкающем канатах преодолеть сопротивления вращению
барабанов в сторону опускания; при этом (в процессе опускания) грейфер может
остаться раскрытым только в том случае, если оба каната все время передают на
грейфер одинаковое усилие. Однако наличие грейферного полиспаста для выигрыша в
силе и потерь на трение во всех сопряжениях грейферного механизма усилие от
подъемного механизма, усилие от подъемного каната на головке грейфера и усилие
на траверзе от ветвей замыкающего каната неодинаково.
2.3 Проверка устойчивости крана с
грейфером
Стреловые самоходные краны являются
свободностоящими машинами, устойчивость которых против опрокидывания
обеспечивается только их собственным весом.
Для кранов различают испытательную устойчивость,
грузовую устойчивость, т.е. устойчивость крана в рабочем состоянии против
действия всех возможных нагрузок в рабочем состоянии и собственную
устойчивость, т.е. устойчивость крана в нерабочем состоянии при отсутствии
полезных нагрузок и возможном опрокидывании назад, в сторону, противоположную
расположению стрелы.
2.3.1 Испытательная устойчивость
Кран необходимо проверять расчетным путем
(рис.2,2), при этом кран должен быть установлен на твердой горизонтальной
площадке в безветренной зоне, с грузом на 25% превышающего номинального, в этом
положении должно соблюдаться условие:
|
(2.1)
|
|
(2,2)
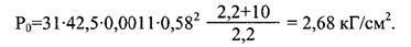
где G = 286 кН - вес крана;= 70 кН -
вес груза;- 2,6 м - половина опорного контура (расстояние от оси вращения крана
до ребра опрокидывания);
А = 4,5 м - вылет крана;
С - расстояние от оси вращения крана
до центра тяжести крана м.
Используя данные момента
восстанавливающего Мо = 857,4 кН • м вес крана G = 286 кН, получим
(2.3)
Рисунок 2.2 - Расчетная схема
испытательной устойчивости2.3.2 Коэффициент грузовой устойчивости
Он определяется как отношение
разницы моментов от веса всех частей крана и моментов (рис.2.3), от
дополнительных нагрузок (ветровых, инерционных, центробежных) к моменту,
создаваемому рабочим грузом относительно того же ребра опрокидывания, при этом
кран должен быть расположен на площадке, с допускаемым уклоном, не превышающего
требования инструкций по эксплуатации. Ветер рабочего состояния направлен в
сторону уклона и механизмы крана совершают движения, разрешенные инструкцией по
эксплуатации. Эти коэффициенты определяются для двух расчетных положений
стрелы:
а) стрела направлена в сторону
уклона и перпендикулярна к ребру опрокидывания.
б) стрела направлена в сторону
уклона, но расположена под углом 45° к ребру опрокидывания.
В этом положении должно соблюдаться
условие
(2.4)
где Муд - удерживающий момент крана,
кН • м;- момент центробежной силы, действующий на груз при его вращении
относительно оси поворота крана, кН ∙ м;
М2 - момент сил инерции груза и
стрелы при неустановившемся движении механизма подъема, кН ∙ м;
МЗ - момент сил инерции груза при
неустановившемся движении механизма подъема, кН ∙ м.
М4 - момент сил инерции груза при
неустановившемся движении механизма передвижения крана, кН ∙ м;
М5 - момент силы инерции крана при
неустановившемся движении механизма передвижения крана, кН ∙ м;
М6, М7 - момент илы инерции стрелы и
груза при неустановившемся движении механизма изменения вылета соответственно в
горизонтальной и вертикальной плоскостях, кН ∙ м;
М8, М9 - момент сил ветра,
действующих соответственно на крани груз, кН ∙ м;
Мгр - момент от сил груза, кН ∙м.
Муд =
G[(b+c)costo - h1sinL0]= 210[(2,4+1,02)0,998-2,4-0,05] = 690,9, кНм;
Мук = 442,9, кНм.
(2.5)
где Lo =3° - максимальный угол
наклона крана.
Момент сил инерции груза и стрелы
при повороте крана
(2,6)
где Q = 70 - вес груза;= 0,75 об/мин
- частота вращения крана;
А = 4,5 - вылет крана;
= LcsinL0+hk=21,7-0,98+2,l=23,2 м;
к -2,1м- высота корневого шарнира
стрелы от опорного контура.
Рисунок 2.3 - Расчетная схема
грузовой устойчивости
(2,7)
Момент сил инерции груза и стрелы
при повороте крана (учитывается только при расположении стрелы под углом 45° к
ребру опрокидывания)
(2.8)
где Gnp - приведенная масса стрелы к
ее голове.
(2.9)
= 7 т масса грейфера с грузом;
п = 0,75 об/мин - частота вращения;
А = 4,5 м - вылет груза;= 26.3 высота головки
стрелы;
Н - расстояние от головки стрелы до центра
тяжести груза, принимаем Н = 14 м с учетом габарита груза и минимальной высоты
подъема;= 1.5 - время неустановившегося движения механизма вращения.
Момент силы инерции поднимаемого груза
(2.10)
где Q = 7 т - масса грейфера с грузом;= 0.14 м/с
- скорость подъема;- 0.46 с - время неустановившегося движения механизма
подъема;
А = 4,5 м - вылет груза А = 4,5 ∙
0,707=3,18 м;
в = 2,6 - расстояние от оси вращения крана до
ребра опрокидывания.
Принимая, что оно проходит через наружную кромку
опорных кранов катков.
- при расположении стрелы под углом
450
Момент силы инерции груза при
передвижении крана с грузом 0,5 Q:
поперек пути М4 = 0 вдоль пути
движения
(2.11)
где VK = 0,5 скорость передвижения крана;- время
установленное движением крана;
Н = 14 - высота подъема груза.
Поскольку кран с максимальным грузом не
передвигается, то принимаем для данного расчетного случая М4 = 0.
Момент силы инерции крана при передвижении крана
МS= GVкh1/tк , (2.12)
где h1- вертикальная координата центра тяжести
крана h1= 1,7.
При положении стрелы поперек пути М5 = 0 по тем
же соображениям. Приположении стрелы вдоль пути найдем по формуле (2.12)
Момент сил инерции груза и стрелы при изменении
вылета:
в горизонтальном положении
(2.13)
В вертикальном положении
(2.14)
где Gnp = 1,22 т масса стрелы, приведенная к
головке стрелы;= 5,4 с - время пуска механизма изменения вылета;'2,V"2 -
горизонтальная и вертикальная составляющая скорости перемещения стрелы;
'2=V'sinL; V"2= 2cosL;=0,188 м/с;'2= 0,188
0,85 = 0,16 м/с;"2= 0,188-0,22 = 0,04 м/с;
= 23,3 м - высота от основания крана до головки
стрелы
= hk+LcsinL=23,3 м.
Тогда
- стрела под углом 450
Момент сил ветра, действующий на
кран для всех положений
М8=ΣWiPi= WcPi+WкрP2 (2.15)
Wcpl = Lcbcφccosαmaxqkcn (Lc/2
sinαmax+hk) = 21,7∙2,4∙0,3∙0,22∙0,125∙1,25∙l,02∙l(21,7/2.0,85+2,l)
= 6,2 кНм, (2.16)кpp2 = hкрBкpqknh= 3,57∙2,5∙0,125∙10,5∙1,02∙1∙
(3∙57/2)= 2,53 кНм, (2.17)= 6,2+2,53=8,73 кНм
М9 = 20-0,125-1,25-1-23,3 = 72,8 кНм
Момент от груза:
гp=Q(A-b)= 280(4,5-2,6) = 420 кНм,
(2.18)
Момент от груза при расположении
стрелы под 45° к ребру опрокидывания
гp=Q (Acos45°-b)= 280(4,5-0,707-2,6)
= 156 кНм,
Тогда коэффициент грузовой
устойчивости крана: поперек пути
К1=
(691-13,2-12,77-14,64-0,33-8,73-72,8)/420=1,3
при расположении стрелы под 45° к
ребру опрокидывания
К2=(443-13,2-82,3-4,74-14,64-1,12-8,73-72,8)/156=1,57
3. РАСЧЕТ ПАРАМЕТРОВ ГРЕЙФЕРА
.1 Силы, действующие на грейферный
механизм в процессе зачерпывания
В процессе зачерпывания действуют силы
сопротивления, которые могут быть сведены к трем группам:
силы, связанные с перемещением режущего контура
челюсти, состоящего из постоянного по длине горизонтального участка (равного
ширине челюсти) и двух наклонных участков боковых щек челюстей, длина которых
изменяется в зависимости от ординаты погружения челюсти;
силы, связанные с перемещением зачерпываемого
материала по наклонной плоскости, образуемой в процессе смыкания днище челюсти;
силы, связанные с сопротивлениями трения
материала, находящегося внутри ковша, об оставшийся массив материала и о стенки
ковша, а также трения наружных стенок ковша о наружный (охватывающий) массив
материала.
Инерционные силы, действующие на грейферный
механизм в процессе зачерпывания, в большинстве случаев, как отмечалось выше,
незначительны, поэтому ими пренебрегаем и рассматриваем статистическую задачу.
Выведенные формулы, базирующиеся на указанных
выше группах сил сопротивления, получили подтверждение при сравнении
результатов аналитических расчетов с данными экспериментальной проверки.
Поэтому можно считать, что эти силы и являются следствием тех действительных
физических процессов, которые протекают в период смыкания челюстей и заполнения
их зачерпываемым материалом.
Ниже приводятся основные теоретические расчеты
для определения зачерпывающей способности грейфера Qmили, при заданной величине
Qm, необходимого собственного веса грейфера в зависимости от
физико-механических свойств зачерпываемого материала и параметров грейфера.
Теория процесса зачерпывания дана для
двухчелюстных симметричных канатных грейферов - доминирующего типа грейферов,
применяемых в народном хозяйстве. Выведенные зависимости могут быть
использованы и для других типов грейферов.
Величины сил (рис.3.1) сопротивления могут быть
определены по нижеследующим зависимостям.
Сила сопротивления на ноже челюсти
(3.1)
где В - длина ножа, равная ширине челюсти;
δ - толщина ножа;
ρо- удельное
сопротивление резанию мелкого сыпучего материала или сопротивление внедрению
деформатора (для кусковых сыпучих материалов).
Сил сопротивления на двух наклонных боковых
участках ножа
(3.2)
где у - текущее значение вертикальной ординаты
погружения ножа челюсти;
В - текущий угол поворота челюсти.
Расчетной величиной сопротивления R3 для всего
процесса принимается текущее значение этого сопротивления, исходя из линейного
закона изменения его от R3 = Ro до R3 = Rk.
Следовательно
=Rk-( Rk- Ro)x/x0, (3.3)
Сопротивление R4 при зачерпывании материала
возникает под действием пассивного давления
(3.4)
3.2 Расчет одноканатного грейфера
Расчет грейферного механизма должна
рассматриваться для двух вариантов:
когда известна емкость грейфера Vгp и вес
зачерпнутого материала Qм, а необходимо определить вес и параметры грейфера,
удовлетворяющие условию требуемой зачерпывающей способности;
когда известен вес и параметры грейфера, а
требуется определить его зачерпывающую способность при работе с различными
материалами.
В первом случае исходными данными должны быть
емкость проектируемого грейфера Vгp и физико-механическая характеристика
зачерпываемого материала (насыпной вес γм,
размер кусков, угол внутреннего трения φо,
коэффициент трения о металл, угол естественного откоса τ0
и
др.). Если грейфер должен работать с несколькими материалами, то такие данные
должны быть по всей группе материалов.
Во втором случае исходными данными являются:
действительная емкость грейфера Vгp, собственный вес грейфера Qгp и вес
отдельных его частей, кратность полиспаста αn, параметры
грейфера (L, В, р, δ, r, r3, β0, βк,
αн,
αк)
и значения φ0, f, τ0 b и τ
материалов,
с которыми будет работать грейфер.
Прежде всего необходимо определить минимальный
собственный вес грейфера Qгpmin, при котором возможно обеспечение надлежащей
жесткости и прочности конструкции.
Рисунок 3.1 - Схема сил, действующих на
одноканатный грейферный механизм
Исходя из технической характеристики
автомобильного крана, грузоподъемность равна 28 т, а при вылете стрелы на 9м,
грузоподъемность составляет 7т, исходя из этого, следует стремиться к тому,
чтобы собственный вес грейфера, необходимый из условия обеспечения требуемой
зачерпывающей способности, в наибольшей степени приближался к Qгpmin.
Величина Qгpmin может быть установлена по
нижеследующей эмпирической зависимости, выведенной на основании оценки
прочности и жесткости ковша грейфера в зависимости от его размеров и величины
погонной нагрузки:
(3.5)
где В - ширина челюсти;- раскрытие грейфера;
γм- насыпной вес зачерпываемого
материала;
Т0 - коэффициент жесткости, принимаемый для
углеродистых сталей 1,5;- коэффициент, учитывающий влияние размера кусков
материала; для мелкого сыпучего материала do = 0,8, для материала с величиной
кусков до 100 мм d0 = 1; для материала с величиной кусков больше 100 мм do
=1,2;гp - расчетный объем грейфера.
Формула применима для ψ
= B/L = 0,35-0,75 (параметр грейфера).
ГОСТ 8572-57 распространяется на
одно-двухчелюстные грейферы, предназначенные для перегрузки материалов с
насыпным весом 0,5-2,8 m/м3 при размере кусков не более 300 мм. Емкости
грейферов (рис.3.2) по этому ГОСТу должны выбираться из следующего ряда: 0,4;
0,5; 0,6;0,8; 1,0; 1,2; 1,6; 2,0; 2,5; 3,2; 4,0; 5,0; 6,3; 8,0; 10,0.
Отклонения фактических емкостей грейферов от номинальных не должны превышать +
5%.
Следующим этапов расчета является определение
необходимого собственного веса Qгp, исходя из условия обеспечения требуемой
зачерпывающей способности.
Для этого используем следующую формулу (3.6):
(3.6)
Величины, входящие в эту формулу,
устанавливаются следующим образом:гp =Vгрγм
- расчетный вес зачерпываемого материала;
α1, α2, α3, α4 - коэффициенты,
характеризующие распределение общего веса грейфера между частями:
(3.7)
(3.8)
(3.9)= 0.5Qгр=QD+
QB ; QD = 0.5 Q4 (3.9)
При проектировочном расчете можно задаться
значениями α1= 0,25; α3 = 0,45; α4 = 0,10. Как
следует из рекомендации распределения весов между частями грейфера, на вес
траверзу приходиться 20% общего веса грейфера, т.е. а2 = 0,2.
В последующем вес траверзы и, следовательно,
величина α1должны уточняться
по условию получения наименьшего требуемого веса, обеспечивающего раскрытие
челюстей пустого грейфера при работе на кране с приводом по формуле (3.11):
(3.11)
где Sb - полное сопротивление вращению
замыкающего барабана в сторону опускания груза;
β'о= 1,1 -4,15 -
коэффициент запаса;
Т'о - коэффициент, характеризующий сопротивление
канатного полиспаста при данном сопротивлении на блоках;
С'1 С'3 - величины, зависящие от размеров
челюсти.
Для уменьшения Gтmin необходимо уменьшить
величинуТ'о; что может быть достигнуто установкой блоков полиспаста над
подшипниках качения.
При проектировочном расчете грейфера следует
также выбрать форму челюстей и задаться отношением некоторых размеров
грейферов, в частности, р/r и г3/г. Для длиннозвеньевых симметричных грейферов
р/r - 1,2; r3/r = 0,8.
Угол наклона днища в конца зачерпывания следует
устанавливать в зависимости от факторов. Для зачерпывания сыпучих материалов из
условия наименьших энергетических затрат угол наклона днища в замкнутом
состоянии α = 12 15°. Расчетный же угол αк
должен учитывать влияние задней стенки днища, поэтому ак можно принимать равным
20°. Этот угол в качестве расчетного принимается и при полукруглом днище.
Величину Ri определяем по формуле (3.1) :
= Вδро
(3.12)
где В - ширина челюсти.
Было установлено, что для получения наименьших
энергетических затрат средняя величина погружения челюсти должна быть принята в
пределах
(3.12)
Без большой погрешности величину Уср можно
принимать: для мелких сыпучих материалов
(3.13)
для крупных сыпучих материалов
(3.14)
С другой стороны, величина В должна
устанавливаться в зависимости от крупности и плотности материала. При этом
следует пользоваться параметром ψ = B/L, наилучшие
значения которого можно считать:
а) для крупнокускового неуплотненного материала
0,45;
б) для крупнокускового свеженасыпанного и
мелкого сыпучего неуплотненного материала 0,6;
в) для мелкого сыпучего свеженасыпанного
материала 0,75.
= BLhcp м3, (3.15)
для мелких сыпучих материалов -
гр = 0,286 В3/ψ,
(3.16)
для крупнокусковых материалов -
гр = 0,25В2/ψ,
(3.17)
Пользуясь вышеприведенными значениями ψ,
получены
указанные в таблице значения ширины челюсти для грейферов различной емкости в
зависимости от материла.
При проектировании грейфера, предназначаемого
для зачерпывания крупнокусковых материалов, ширина челюсти В должна также
проверяться по гранулометрическим данным материала. Необходимо, чтобы В >Зα,
где
α
- наибольший
размер захватываемых кусков.
Толщина ножа 5 должна устанавливаться из условия
обеспечения достаточной жесткости днища. Эту величину можно предварительно
определить по эмпирической зависимости:
δ=ωγМ√Vгр,
(3.18)
где ω = 0,012 - для
мелких сыпучих материалов;= 0,014 - для крупнокусковых материалов;
γм - насыпной вес
зачерпываемого материала в т/м3;гp - емкость грейфера в м3. На челюстях
грейферов, предназначенных для зачерпывания крупнокусковых материалов (размеры
кусков более 100 мм), обладающих большой прочностью (руда, камни),
целесообразно устанавливать зубья. Применение таких челюстей для мелких
материалов, а также для крупных кусковых, но обладающих небольшой агрегативной
прочностью (уголь), нецелесообразно. Количество зубьев No можно определять по
формуле (округлив до ближайшего целого числа):= 4В.
Величину Ro определяем по формуле:
(3.19)
В проектировочном расчете величина γ
принимается
как расчетная глубина первоначального заглубления грейфера при эксплуатации γ0расч.Ее
можно определить по следующим зависимостям:
(3.20)
Для кусковых материалов
(3.21)
где L - раскрытие челюстей;
θ - угол челюсти.
Определение коэффициентов кр, к2, кК и кф. Из
предыдущего следует, что расчет зачерпывающей способности грейфера, а также
определение его собственного веса требуют введения ряда коэффициентов,
учитывающих те или иные факторы.
Такими коэффициентами являются:
кр - учитывающий перенос равнодействующей всех
сил сопротивления на нож челюсти; величина кр по экспериментальным данным лежит
в пределах 0,75-0,8;
к2 и кК - учитывающие некоторые данные
зачерпываемого материала, а именно угол скольжения материала τ,
угол
трения материала о стальную поверхность днища φ, угол
внутреннего трения φ0 и среднюю
величину заглубления челюстей;
кф - учитывающий влияние формы челюсти.
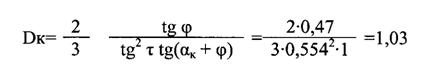
Коэффициент к2 определяем по формуле:
, (3.22)
где γМ - насыпной
вес зачерпываемого материала
τ = τ0 -φ0/2 (τ0 - угол
естественного откоса материала), (3.23)
θ - угол челюсти.
αср - средний угол, образуемый
днищем с горизонтом:
αср = (αн - αк)/2 (3.24)
где αн-начальный
угол, образуемый задней стенкой днища и материалом при внедрении челюсти;
αк-конечный угол, образуемый
задней стенкой днища и горизонталью при сомкнутом состоянии челюстей.
Коэффициент кк определяется по
формуле:
(3.25)
Коэффициент кф учитывает влияние
формы челюсти, а также связанное с этим трение наружной поверхности днища об
оставшийся формы челюсти в зависимости от степени заполнения ковша.Последняя
зависит от веса грейфера и кратности полиспаста.
Величины Т1, Т2, Т3, А3, А4 и А5
определяются по графикам, приведенным на рис [5] по двум параметрам: обобщенной
величине С и приведенной кратности полиспаста n.
В зависимости от принятой системы
опор блоков канатного полиспаста устанавливается к.п.д. блока ηδи далее, по
известной причине кратности полиспаста αn - значение приведенной
кратности полиспаста n:
(3.26)
Значение обобщающей величины С
найдем по формуле:
(3.27)
Величина р0 - удельное сопротивление
резанию (при зернистых, порошкообразных и пылевидных материалах) или внедрению
(при крупнокусковых материалах) - определяется в зависимости от глубины
погружения челюсти, физико-механических данных зачерпываемого материала,
среднего размера кусков а' и толщины ножа δ:
где τ - начальное
сопротивление.
При расчете определение р0 ведется
по средней глубине погружения
(3.29)
Расчетный размер кусков а' и
устанавливается либо непосредственным определением среднего типичного куска,
либо по нижеприведенным расчетным размерам (в мм):
Кусковые материалы: Крупнокусковые
(каменный уголь) 160
Среднекусковые (уголь) - 110
Мелкокусковые (щебень, гравий) - 60
Зернистые материалы: Крупнозерновые
(зерно, гравий мелкий) - 10
Мелкозерновые (песок) - 2
Порошкообразные материалы (песок
мелкий и др.) - 0,5,
Пылевидные материалы (цемент,
пылеуголь и др.) - 0,05.
Для сортированных грузов
(3.30)
где amin и amax - соответственно
наименьший и наибольший размер кусков.
Для рядовых грузов, если вес группы
наибольших кусков меньше 10% веса пробы, то а' = 0,8 αмах; если же
вес группы наибольших кусков больше 10% веса пробы, тоа = αмах.
Значение величины начального
сопротивления сдвигу τ'
желательно
уточнять в каждом отдельном случае, так как при длительном хранения материала
(в течение нескольких месяцев) величина х может значительно возрасти.
Затем последовательно определяются
значения требуемых собственных весов грейфера при различной кратности
полиспаста, выбирается вес, который наиболее близко подходит к минимальному по
условиям обеспечения достаточной прочности и жесткости грейфера. Этим
устанавливается требуемая кратность полиспаста. Если при большой кратности
полиспаста может быть обеспечено зачерпывание материала грейфером, имеющим вес,
меньший, чем Qгpmin, то выбранную кратность полиспаста необходимо уменьшить,
увеличив тем самым вес грейфера до величины Qгp>Qгpmin. Следовательно,
расчетным весом в этом случае будет вес Qгpmin.
Однако возможен случай, когда
увеличение кратности полиспаста даже до предельного значения (а' = 8) не
уменьшает требуемого веса грейфера (по условиям обеспечения его зачерпывающей способности)
до веса Qгpmin. В этом случае в качестве расчетного веса принимают вес грейфера
Qгp.
По полученному весу грейферу и
принятым значениям α1
α2 , α3 и
α4
конструируют
отдельные узлы грейфера. Сводные данные по физико-механическим показателям различных
сыпучих материалов, необходимые при расчетах по вышеприведенным формулам, даны
в приложении.
Рассмотрим работу грейфера (объемом
2м3) с различными материалами.
а) Для перевалки сухого крупного
песка
(γм= 1,45т/м ; а' = 2мм).
1. Ширина челюсти
(3.31)
Для мелкосыпучего неуплотненного материала ψ=
0,6, т.е.
(3,32)
. Следовательно, раскрытие челюстей
Минимальный вес грейфера из условия
обеспечения достаточной прочности и жесткости найдем по формуле (3.5):
(3.33)
При изготовлении грейфера из стали
Ст. 3 (ТО = 1,5)
При изготовлении грейфера из мал о
легированных сталей (То =1,2)
.
Принимаем распределение весов между
частями грейфера в следующих пропорциях:
Принимаем челюсть, имеющую в конце
смыкания угол αк = 12°
(челюсть формы №3). С учетом влияния задней стенки принимаем расчетный угол αк = 12°.
Начальный угол установки челюсти αн = 90°, следовательно
средний угол αср = 55°.
Угол челюсти γ
= 75°.
6. Толщина ножа челюсти найдем по
формуле (3.18):
Δ=0,012γМ√Vгр
= 0,012∙1,45√2=0,0219 м.
Принимаем δ =22мм.
. Задаемся размером p/r = 1,2 и r3/r
= 0,8.
(3.32)
Принимаем р = 1450мм, следовательно,
. Физико-механические показатели
зачерпываемого материала: коэффициент внутреннего трения f = 0,48 (φ=25°40'); начальное
сопротивление материала сдвигу τ'=0; угол естественного откоса материала τо=45°; угол
скольжения материала при зачерпывании найдем по формуле (3.23):
9. Среднее заглубление челюсти найдем по формуле
(3.29):
. Расчетное удельное давление ро на глубине
Уср при размере кусков
α'=2мм найдем по
формуле (3.28):
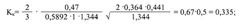
. Определяем значение коэффициентов к2 и кк по
формулам (3.22), (3.25):
Принимаем Кр = 0,8
. Определяем величины R1 и R0 сопротивления на
ноже
Здесь
Определим обобщенную величину С по формуле
(3.27)
. Вес материала, подлежащего зачерпыванию, по
расчетной емкости грейфера найдем по формуле (3,5)
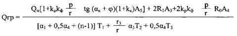
. Определяем требуемый собственный вес грейфера
при полиспостности:
По обобщенной величине С = 0,178 и приведенной
кратности полиспаста ап = 2 по [5] определяем T1 = 52; Т2 = 50; Т3 = 45; А3 =
95; А4 = 30; А5 = 13; тогда
Таким образом, по условиям обеспечения требуемой
зачерпывающей способности, а также прочности и жесткости собственный вес
грейфера должен быть равен 2260 кг и при изготовлении его из стали Ст. 3
(кратность полиспаста αп=2).
б) Рассчитаем грейфер на перегрузке
среднекускового свеженасыпанного угля.
Расчет проводится аналогично предыдущему.
Емкость Vгp = 2м3; перегружаемый материал - среднекусковой свеженасыпанный
уголь (средний размер кусков α' = 100 мм);
γм
= 1,1 m/м3; τ0 = 45°, φ0 = 30° (f0 = 0,58); φ0 =
27°37' (fо = 0,58);
Угол скольжения материала при зачерпывании
найдем по формуле (3.23):
Ширину челюсти В, величину раскрытия L, угол θ,
размеры
о/r, р и rЗ/r, форму челюстей и распределение весов между частями грейфера
принимаем по предыдущему.
Проверяем достаточность толщины ножа для работы
грейфера на двух материалах:
Из условия прочности собственный вес грейфера
должен быть: при изготовлении из стали Ст.З
При изготовлении из легированной стали
Расчетное удельное давление на глубине Уср =
42,5 см
Коэффициенты К2 и Кк найдем по формулам (3.22) и
(3.25):
Величины R1 и R0 найдем по формулам (3.1) и
(3.19)
Принимаем У0расч = 19 см.
Обобщающую величину С найдем по формуле (3.27):
Вес материала, подлежащего зачерпыванию,
определим по формуле (3.5):
Определим требуемый собственный вес грейфера при
полиспастности αn = 2 и
к.п.д. блоков:
По графикам [5] определяем
Вышеприведенный расчет позволяет сделать
следующие выводы:
Если грейфер изготовить для погрузки песка и
угля, его вес должен быть 2260 кг.
Если грейфер изготовить только для погрузки
угля, его вес должен быть 1980 кг при изготовлении из стали Ст.З (кратность
полиспаста αп = 2) или 1580 кг
при изготовлении из малолегированной стали.
Если грейфер сделать для погрузки песка , его
вес должен быть 2165 кг при изготовлении из стали Ст.З (αп
= 2) или 1670 кг при изготовлении из малолегированной стали
Таким образом, наиболее рациональным является
грейфер, выбранный по п.1.
3.3 Проверочный расчет одноканатного
грейфера
Проверочный расчет проводится, если требуется
выяснить, какова зачерпывающая способность грейфера, вес и параметры которого
известны, когда он работает на сыпучих материалах с различной сопротивляемостью
зачерпыванию р0.
Для одной половины грейфера вес материала,
который он может зачерпнуть, определяем по формуле(3.33):
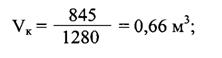
и для всего грейфера Qm= 2Qxmax.
Зачерпывающую способность грейфера следует
определять методом двух последовательных приближений, так как обобщающая
величина С, по которой определяют коэффициенты Ть Т2, Т3, A3, А4 и А5,сама
зависит от коэффициента к2, зависящего, в свою очередь, от веса зачерпываемого
материала.
. Определяем величину первоначального
заглубления уо, отвечающую силовым возможностям данного грейфера (критической
глубине погружения). Исходным для этого является следующая формула (3.34):
(3.34)
Определяем по формулам [5] значение
коэффициентов E1, Е2 и Ез, далее по номограмме или расчетным путем по формуле
Кардано-Тартальи [5] определяют величину z = у0/р, откуда у0 = zp.
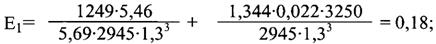
Определим зачерпывающую способность грейфера
емкостью Vгp = 2,0 м3.
Определяем
С учетом влияния днища принимаем для расчетов αн
= 20°.
Рассчитаем грейфер на перегрузке булыжника.
Данные по материалу:
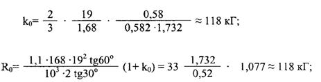
Определяем величину Ro иКо по
формулам (3.19) и (3.25):
Для вычисления Ro и к0необходимо
определить величину первоначального заглубления у0. Ее определяют либо
пользуясь формулой (141), либо по номограмме [5].
В обоих случаях необходимо вычислить
коэффициенты E1, Е2 и Е3 по формуле (3.34):
Индекс 0 означает, что рассматривается начальное
положение. В формулу для определения Ео входит угол ψ0,
величину
которого можно определить по формуле (3.35):

После подстановки значений El, Е2 и ЕЗ уравнение
(135) примет вид:
По номограмме [5] определяем уо/р = 0,11; у0 =
1,3-0,115 = 0,145м; тогда
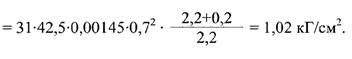
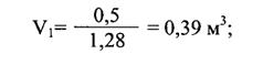
Для определения QM, принимаем Qxmaxj = 500 кГ;
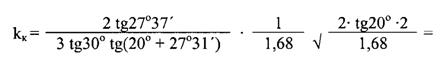
Для С = 0,64 и n = 5,19 по графикам, приведенный
на рисунке [5], имеем: T1 = 2,2; Т2 = 1,7; Т3 = 2,25; A3 = 6,1; А4 = 0,85; А5 =
1,05. Подставляем в формулу, имеем:

Для С~1,08 и п =5,19Т]= 0,6; Т2 = 0,5; Т3 =
0,61; А3 = 1,6; А4= 0,25; А5 = 0,35; тогда
следовательно, общий вес
зачерпнутого материла
Коэффициент заполнения
Определим значение коэффициентов N1
,N2 и N3:
По номограмме определяем ук/р = 0,204;
следовательно,
Определяем коэффициенты а и b для построения
кривой зачерпывания
У =Уо + a(Xmax- х) + b (хmах - х)2;
У =0,145+0,677∙0,12-0,418∙ 0,122=
0,145+0,081-0,006= 0,22;
У =0,145+0,677∙ 0,22-0,418∙0,222=
0,145+0,149-0,02 =0,27;
У =0,145+0,677∙0,42-0,418∙0,422=
0,145+0,285-0,074= 0,356;
У =0,145+0,677∙0,62-0,418∙622=
0,145+0,042-0,16 =0,4;
У =0,145+0,677∙0,82-0,418∙0,822=
0,145+0,555-0,282= 0,418;
У = 0,145+0,677∙1,02-0,418∙ 1,022=
0,145+0,69-0,435 =0,4;
У =0,145+0,677∙1,22-0,418∙0,222=
0,145+0,825-0,62 =0,35;
У =0,145+0,677∙1,42-0,418∙1,422=
0,145+0,96-0,84 =3,265.
По полученным значениям ординат погружения
челюсти в течение процесса зачерпывания строим кривую зачерпывания 1.
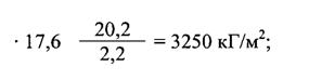
Грейфер работает на перегрузке каменного угля
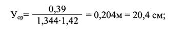
Крупностью а' = 80мм; ум = 1,02 m/м3; φ
= 25° (f = 0,47); φ0 = 29° (f0 = 0,55); τ' =0; τ = 45°-2972 =
30°30'.
Определяем величины, входящие в формулу для
вычисления Ro. Аналогично находим основные величины, зависящие только от
геометрических и весовых параметров грейфера: Е0= 1,168; Н20= 5,46; Н30= 5,69;
b1 = 1,28; Н40 = 0,225, и величины, зависящие от рода перегружаемого материала:
С2 = 0, D2 = 0,25; П0 = 1,62.
После упрощения уравнение примет
следующий вид:
по номограмме [5] уо/р = 0,20; у0 = 1,3∙0,20
= 0,26м; тогда
Коэффициент заполнения
Величины, зависящие от материала (из варианта I)
: Н1к = 1,89; ψ = 34о21'
По номограмме определяем [5] ук/р = 0,45; ук =
1,3∙0,45 = 0,585 м; тогда
У =0,26+0,22∙0,12+0,01∙0,122=0,26+0,026+0,0001
=0,28;
У =0,26+0,22∙0,22+0,01∙0,222=0,26+0,048+0,00012=0,31;
У =0,26+0,22∙0,42+0,01∙0,422=0,26+0,092+0,00016=0,35;
У =0,26+0,22∙0,62+0,01∙0,622=0,26+0,136+0,004=0,4;
У =0,26+0,22∙0,82+0,01∙0,822
=0,26+0,18+0,006=0,44;
У =0,26+0,22∙1,02+0,01∙1,022
=0,26+0,22+0,01=0,49;
У =0,26+0,22∙1,22+0,01∙1,222=0,26+0,27+0,014=0,534;
У =0,26+0,22∙1,42+0,01∙1,422=0,26+0,31+0,015=0,585;
По полученным данным строим кривую зачерпывания
2. Аналогично рассчитываем для песка и строим кривую 3.
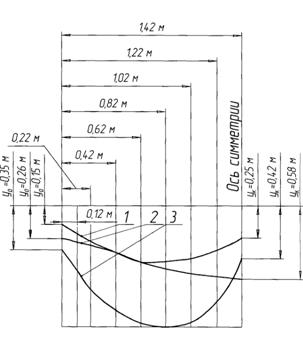
Рисунок 3.3 - Кривые зачерпывания для булыжника
(1), угля (2), песка (3)
4. ТЕХНОЛОГИЯ ИЗГОТОВЛЕНИЯ ДЕТАЛИ
.1 Определение годового объема
выпуска деталей, размер партии деталей и типа производства
Годовой объем выпуска деталей с учетом поставок
запасных частей ремонтным и эксплуатационным хозяйствам, рассчитывается по
формуле:
(4.1)
где m - количество одноименных деталей на одной
машине m = 2 шт;
γ - количество деталей
изготовляемых в качестве запасных частей в процентах (20-30%);
δ - процент возможного
брака при обработке (5 = 1-3%).
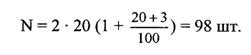
Годовой объем выпуска деталей равен
Размер партий деталей, одновременно запускаемых
в производство:
(4.2)
где t - количество рабочих дней, на которых
необходимо иметь для бесперебойной работы сборочного цеха для средних деталей
t= 10 дней Ф - число рабочих дней в году, Ф = 247
В зависимости от количества деталей в партии и
размеров по т 2.2 п/у по выполнению технологического раздела дипломных проектов
выбираем мелкосерийное производство.
4.2 Обоснование способа получения
заготовки
Данная деталь изготовлялась из крупного проката
о 45 мм. Именно этот способ получения заготовки обусловлен тем, что прокат и
полученная в процессе последующей обработки ось имеет одинаковую форму сечения.
Диаметр проката выбираем равным45% для того,
чтобы избежать снятие большого слоя количества металла, что позволяет экономить
на металле не доводя процесс обработки до расточки металла, что экономически
целесообразно.
4.3 Определение размера припусков на
обработку поверхностей
Величина линейного припуска на обработку
поверхности тела вращения определяется по формуле:
(4.3)
ГдеТ - глубина дефектного поверхностного слоя,
полученного на предшествующем переходе или изготовлении заготовки;- высота
неровностей поверхностей на предшествующем переходе;
Ζ- суммарность
пространственных отклонений взаимосвязанных поверхностей, оставшихся после
выполнения предшествующего перехода;
Е - погрешность установки заготовки при
выполненном переходе.
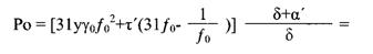
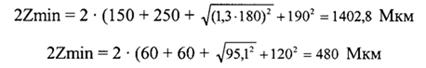
Минимальный припуск на черновое точение:
Общий припуск равен Zmin = 2148,8
Мкм
Максимальный припуск на обработку
рассчитывается по следующей формуле:
(4.4)
где δ i -1 - допуск по
размеру на предшествующем переходе;
δi- допуск по размеру на
вспомогательном переходе.
Максимальный припуск черновое
точение:
=701 + 500 - 340 = 861 Мкм
Максимальный припуск на чистовое
точение:
= 240 + 340 + 170 = 410 Мкм
Максимальный припуск на шлифование:
Zmax= 130 +170 - (-9) = 309 Мкм
Zmax = 2(861 +410 + 309) =3160 Мкм
Действительный припуск на обработку в партии
заготовок меняется в пределах от Zmax до Zmin.
Стандартный крупный прокат ø
45.
Припуск на разрезку детали и механическую
обработку детали торца выбираем из таблицы № 24.
Припуск на резку - 4 мм.
Припуск на механическую обработку торца - 2мм.
Итого расчетная длина равна:
4.4 Определение режимов обработки
заготовки
При работе за станком различают следующие
режимы: резанье, устанавливается в такой последовательности:
Определяется глубина резанья;
Исходя из глубины, устанавливается подача;
По глубине, подаче и стойкости инструмента
определяется скорость, сила и мощность резанья.
Подача при черновой обработке выбирается с
учетом ограничивающих её факторов. Жесткость и прочность системы, мощность
привода станка. При чистовой обработке max допустимая подача исходя из частоты
обработки определяется по формуле:
(4.5)
где S- max высота микронеровностей на
обрабатываемой поверхности, Мкм;радиус закругления при вершине резца в плане,
мм;- глубина резанья, мм;
φ, φ1- главный и
вспомогательный угол в плане резца;
Сн, х, у, u, z - коэффициенты степени, зависящие
от обработки материала.
Для стали Сн = 0,008; у = 1,4; и = 0,7; х = 0,1;
z = 0,35.
Подачу при черновом точении выбираем по таблице
(0,5 - 0,9) мм/об.
Выбираем станок токарно-винторезный 1К62.
Техническая характеристика
Число оборотов, об/мин (9- 1800),
Число ступеней оборотов - 21,
Число ступеней подач - 16,
Подача, мм/об - (0,065-0,91).
Подача при чистовом точении:
Выбранная подача для чернового и
расчетная для чистового корректируется по станку, для этого составляется ряд
подач:
(4.6)
где φ - коэффициент
геометрической погрешности,
(4.7)
где Smax, Smin - соответственно max и min
значение подач; z- число ступеней подач.
Полученное значение округляем до ближайшего
стандартного у = 1,12.
Составляем ряд подач
Для чернового точения S = 0,702 мм/об, чистового
- S = 0,398 мм/об скорость резания рассчитываем по формуле:
, (4.8)
Скорость резания при чистовой
обработке
По расчетной скорости определяем частоту
вращения по формуле (4.9):
(4.9)
где d - диаметр обрабатываемой поверхности.
Частота вращения при черновой обработке
Частота вращения при чистовой обработке
Ряд чисел оборотов, для корректировки частоты
вращения
Стандартный знаменатель φ
= 1,26
= 9; n2 =11,34; n3 = 14,29; n4 = 20; n5 = 26,68;
n6 = 40,58; n7 = 55; n8 =75,73; n9 = 110,17; n10 =140; n11 = 180,76; n12 =
230,36; n13 =300; n14 = 360,5; n15 = 458,76; n16 = 565,24; n17= 725,10; n18 =
900,61; n19 = 1100; n20 = 1425; n21 = 1800
Для чернового точения n = 900 об/мин; для чистового
находим действительную скорость резания n = 110 об/мин.
(4.10)
Скорость резания при черновом точении
Скорость резания при чистовом точении
Для проверки возможности осуществления выбранных
режимов проводим проверку по ограничивающим факторам.
Эта сила резания Pz определяет расходную
мощность Ne на резанье.
Мощность резания
,
Полученную мощность сравниваем с мощностью
главного движения станка.
(4.12)
где η - КПД
станка (л = 0,7 - 0,8)
Расчет сверлильной операции
Выбираем подачу для сверлении
Для выполнения данной операции выбираем станок
радиально-сверлильный 24-55.
Наибольший ø сверления
= 35 мм.
Число оборотов шпинделя 25 - 2500 об/мин.
Число ступеней оборотов шпинделя 12.
Число ступеней передач 12. Подача шпинделя 0,06
- 1,22 мм/об.
Мощность электродвигателя станка 2,8 кВт.
(4.13)
Ближайший стандартный знаменатель φ
= 1,26
Из этого ряда выбираем требуемые подачи. Для ø
4,9 - 5 = 0,15 мм/об.
Скорость резания определяем по формуле:
(4.14)
где Cv - постоянная;- диаметр инструмента;-
общий направляющий коэффициент на скорость резания для ø
4,9
По расчетной скорости находим обороты шпинделя
Получение значения частоты вращения шпинделя
корректируем по станку, выбирая ближайшее меньшее.
(4.15)
Ближайший стандартный знаменатель φ
=1,58. Составляем
ряд оборотов шпинделей об/мин.
для сверления отверстия
Находим действительные скорости:
Для проверки выбранных режимов обработки
проводим проверку
Крутящий момент при сверлении
Основная сила при сверлении Ро=Ср ДySyKp
значение См и Ср и показатели степени выбираем для расчета отверстия ø
20 мм.
Мощность резанья:
(4.17)
Расчетную мощность сравниваем с мощностью
станка:
(4.18)
4.5 Определение нормы времени и
квалификации рабочих
При определении нормы времени на механическую
обработку одной детали определяем норму времени отдельно на каждую операцию.
Находим основное время по формуле, (4.19):
(4.19)
где L - расчетная длина обработки с учетом
врезания и перегиба инструмента
(4.20)
где l - фактическая длина обрабатываемой
поверхностивр; lпр - соответственно длина врезания и перегиба инструмента;-
число рабочих ходов инструмента;- минутная подача инструмента;= Son,- подача,
мм/об;-частота вращения заготовки.
Основное время на черновое точение:
Основное время на чистовое точение
Основное время на центрирование
Здесь использованы данные о подаче и частоте
времени на сверлильную операцию.
Вспомогательное время используется на выполнение
вспомогательных переходов, установку, переустановку, снятие заготовки, пуск и
остановка, изменение режимов и контроль качества заготовки и т.д.
Вспомогательное время на:
черновое точение 0,35 + 0,16 = 0,51 мин.
чистовое точение 0,35 + 0,42 = 0,77 мин.
центрирование 2 • (0,35 + 0,16) = 1,02 мин.
Основное время на обработку равно сумме
основного времени на каждую операцию:
Также вспомогательное:
Сумма основного и вспомогательного времени
составляет оперативное время:
Время операционного и технического обслуживания
рабочего места и перерывов определяется по формуле в (%) от оперативного. Норма
времени:
(4.21)
где Lto,Loo, Lф - соответственно процентное
соотношение времени технического, организационного обслуживания рабочего места
и перерывов от оперативного.
Штучное - калькуляционное время
где Тпз - подготовительно-заключительное время;-
количество деталей в партии,
Основное время на сверление отверстий найдем по
формуле , (4.22):
(4.22)
где L- глубина сверления, мм;- величина врезания
(4.23)
где d- диаметр инструмента- угол в плане заточки
сверла L2 для глухих отверстий равно 0,
для сквозных в зависимости от диаметра
инструмента принимаем 1…3 мм.
Вспомогательное время
Оперативное время на сверление
Штучно-калькуляционное время на сверло
5. РАСЧЕТ ТЕХНИКО-ЭКОНОМИЧЕСКИХ
ПОКАЗАТЕЛЕЙ
Народнохозяйственный экономический эффект
рассчитывают на всех этапах разработки машины от технического задания до
серийного производства. На стадии технического задания результаты расчета
народнохозяйственного экономического эффекта позволяют сделать вывод о
экономической целесообразительности разработки данной конструкции с конкретными
технико-экономическими показателями или о необходимости их изменения.
Расчетные экономические показатели используются
также при обосновании уровня лимитной цены новой техники. На этапе постановки новой
техники на серийное производство показатели экономического эффекта используются
для расчета договорных и прейскурантных цен, а также доплат к ним за улучшение
отдельных технико-экономических, социальных и экологических показателей.
Критерием народнохозяйственной экономической
эффективности является снижение удельных приведенных затрат на единицу
продукции, вырабатываемой новой техникой, по сравнению с базисной (заменяемой)
техникой.
Удельные приведенные затраты являются
комплексным критерием народнохозяйственной эффективности, наиболее полно
отражающим как технические (через производительность), так и экономические
(через текущие и капитальные затраты) показатели машины.
В качестве базисной техники принимают лучший
серийный или рекомендованный Государственной комиссией к серийному производству
образец, а на стадии технического задания - запроектированный отечественный
образец техники, предназначенный для выполнения аналогичных технологических
процессов.
Если новая техника предназначена для выполнения
различных технологических процессов (универсальная техника) и не имеет
аналогов, то для каждого технологического процесса принимают соответствующую
базисную технику. Если новая техника входит в состав комплекта машин или
технологической линии и влияет на их показатели, то сопоставляются комплекты
машин, технологические линии в целом или их самостоятельные участки. Если новая
техника предназначена для технологического процесса, осуществляемого вручную,
сравнение производится с ручным трудом.
Экономический эффект определяется путем
сопоставления приведенных затрат по базисной и новой технике в расчете на объем
продукции, вырабатываемой новой техникой в течение срока службы. Для расчета
эффекта по базисной и новой технике последовательно определяют: годовую эксплуатационную
производительность; капитальные затраты потребителя; годовые текущие затраты,
связанные с эксплуатацией техники.
Экономический эффект от применения новой техники
с точки зрения хозрасчетных интересов эксплуатирующей организации определяется
как превышение стоимостной оценки результатов над стоимостной оценкой затрат.
5.1 Определение капитальных затрат
Капитальные вложения потребителя включают
оптовую цену техники, затраты на первоначальную доставку и монтаж, а также
соответствующие капитальные вложения потребителя, связанные с эксплуатацией
техники.
Капитальные вложения (5.1)
(5.1)
где Цб-балансовая стоимость техники
(автомобильного крана КС - 5473А);
Кс - сопутствующие капиталовложения, связанные с
эксплуатацией техники.
Значения Кс принимают из сметно-финансовых
расчетов по строительной части проекта, если имеются существенные различия в
капитальных вложениях по сравниваемым вариантам.
В нашем случае
(5.2)
где Цопт - оптовая цена машины (руб.);б -
коэффициент, учитывающий затраты на первоначальную доставку техники и монтаж.
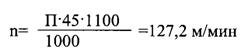
5.2 Расчет годовой эксплуатационной
производительности и качества машино-часов работы крана в году
Годовую эксплуатационную производительность
сравниваемых вариантов техники определяют применительно к одинаковым
технологическим процессам. Если имеются данные о годовой производительности
базисной и новой техники в одних и те же условиях эксплуатации, следует
использовать указанные фактические данные. В других случаях, в том числе при
определении экономического эффекта на этапах разработки новой техники, годовую
эксплуатационную производительность определяется по формуле:
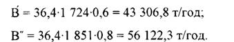
В = Вэч • Тр • Кпр • ед • прод/год (5.3)
где Вэч - эксплуатационная среднечасовая
производительность; Кпр - коэффициент учитывающий внутрисменные простои; Тр -
число работы (часов) техники в году.
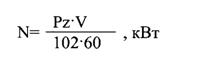
Часовая эксплуатационная производительность
рассчитывается по формуле:
Вэч=Втч• Кт (5.4)
где ВТЧ - техническая часовая производительность
по утвержденной документации;
Кт - коэффициент перехода от технической
производительности к эксплуатационной Кт = 0,7
Вбтэч = 52 • 0,7 = 36,4 т/ч. Внтэч = 52 • 0,7 =
36,4 т/ч.
Количество Машино-часов работы техники в году
определяем по формуле (5.5)
(5.5)
где Тф - годовой фонд рабочего времени,
дни;средняя продолжительность смены, час tCM= 8,2 час;
КСМ - коэффициент сменности
ДР
- простои во всех видах технического обслуживания и ремонта, приходящиеся на 1
час работы дни/час.П - продолжительность одной перебазировки, дни;
Тоб
- продолжительность работы техники на одном объекте, час.
Количество ТО и ремонтов межремонтный цикл
определяют по формуле
(5.6)
Тр = 5 000∙ 1,3 = 6 500 ч
(5.8)
Межремонтный цикл определяется по формуле (5.9)
(5.9)
Кч - коэффициент перехода мото-часов в
машино-часы
Простои во всех видах технического обслуживания
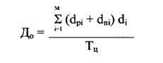
и ремонтов равны:
(5.10)
где dpi - продолжительность пребывания техники в
i-ом ремонте или техническое обслуживание;- продолжительность ожидания ремонта,
доставка в ремонт и обратно;число i-ых ремонтов и техобслуживания за
межремонтный цикл;
Тц - межремонтный цикл;
м - число разновидностей ремонтов и
техобслуживаний за межремонтный цикл.
маш.-ч
Коэффициент изменения производительности НТ по
сравнению с БТ
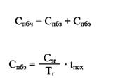
5.3 Расчет годовых текущих затрат
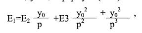
Текущие затраты складываются из суммы затрат
(5.11)
Сор - затраты на амортизацию фондов;
Сзп - затраты на заработную плату машиниста,
управляющего машиной;
Ст - затраты на топливо;
Сто,тр - затраты на техническое обслуживание и
текущий ремонт машин;
Сом - затраты на смазочные и обтирочные
материалы;
Смг - затраты на масло для гидросистемы;
Ссо - затраты на сменную снастк.у
Затраты на амортизацию фондов определяются по
формуле (5.9):
(5.9)
Цб - стоимость машины;
На - норма амортизационных отчислений на полное
восстановление фон-капитальный ремонт;
На = 12%;
На' = 6% - норма амортизационных отчислений на
рековацию фондов;
На'' = 6% - норма амортизационных отчислений на
капитальный ремонт фондов.

Затраты на заработную плату машинистов,
управляющих машинами, принимаются с учетом численности звена и
квалификационного состава машинистов:
(5.13)
где Кр - средний районный коэффициент;
Кр = 1,07;
λ - коэффициент,
учитывающий премии, λ = 1,3;
n - число рабочих, занятых управлением машиной в
одну смену, n = 1;Тi - часовая тарифная ставка рабочего VI разряда ,CТi= 23,5
руб.;
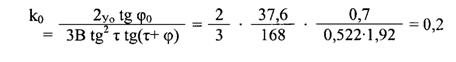
Затраты на топливо определяются по формуле
(5.11)
(5.11)
где ЦТi- цена топлива i-ro вида руб/кг;
ЦТi= 7,5 руб/кг;Тi - часовой расход топлива i-ro
вида кг/час;- количество часов работы технического топлива i-ro вида ;
М - число видов топлива.
Часовой расход i-ro сорта топлива, определяется
по формуле (5.12)
(5.12)
где NeH - номинальная мощность двигателя,
л.с;он- удельный расход топлива при номинальной мощности г/лс.с час;
Кдм - коэффициент использования двигателя по
мощности за рабочий цикл
Кдв - коэффициент использования двигателя по
времени; Kn - коэффициент, учитывающий изменение расхода топлива в зависимости
от степени использования двигателя по мощности;
Кх - коэффициент, учитывающий снижения расхода
топлива при холостой работе двигателя;
,03 - коэффициент, учитывающий расход топлива в
период запуска и регулировки работы двигателя и машины в начале смены.
В нашем расчете:
Отсюда
Затраты на все виды ремонтов включает в себя:
затраты на техническое обслуживание, текущий
ремонт;
затраты на капитальный ремонт.
Так как затраты на капитальный ремонт были
подсчитаны выше и равны:
Произведем расчет затрат на техническое
обслуживания и текущий ремонт крана:
(5.16)
где Сзп - заработная плата ремонтных рабочих
(руб.);
Срм - стоимость ремонтных материалов и запасных
частей, руб.
(5.17)
где Ту - продолжительность межремонтного цикла,
час;
λ - коэффициент
премиальных доплат ремонтным рабочим, λ = 1,3;
Ср - часовая тарифная ставка ремонтных рабочих,
Ср = 20,1 руб.;- количество i-ых ремонтов и технических обслуживании за
межремонтный цикл;; - трудоемкость i-ых видов технических обслуживании и
ремонтов, чел./час.
где К - коэффициент перехода от заработной платы
к затратам на запасные части и материалы К = 2;
Тогда общие затраты на техническое обслуживание
и текущий ремонт равны:
(5.18)
где Vr- объем масла, залитого в гидросистемы,
дм3,- объемная масса жидкости, кг/дм , j =0,865;
Цм- фактическая цена гидравлической жидкости с
учетом затрат на ее доставку к обслуживаемой машине, руб./кг
К1 - коэффициент доливок гидравлической
жидкости, принимаем равным К1=1,5;мr - периодичность замены гидравлической
жидкости в гидросистеме машины, маш.-час, tмr= 4000маш.-час
Затраты на смазочные материалы рассчитываются по
формуле (5.19)
Ссм = 0,19 ∙ Ст(5.19)
где 0,19 - коэффициент перехода от стоимости
топлива к стоимости смазочных материалов;
Ст - стоимость топлива, руб.;
Затраты на сменную оснастку (к которой относят
материалы и комплектующие изделия, которые в процессе работы периодически
заменяют и ремонтируют) определяются по формуле (5.20):
(5.20)
где 0,01 - коэффициент перехода от стоимости
машины к стоимости сменной оснастки;
Цб - балансовая цена машины, руб.;
Затраты на перебазировку с объекта на объект
строительно-дорожных машин (крана) зависит от степени мобильности машины и
способов их перемещения.
Автомобильный кран перемещается своим ходом
(5,21)
где СПбч - затраты на одну перебазировку;
Тг - число часов работы техники в году;
Тоб - число часов работы техники на одном
объекте;
СПбч складываются из заработной платы машиниста
Спбз и расходов, связанных с перебазировкой крана СПбЭ
|
|
(5.22)
(5.23)
|
где tncx - продолжительность переезда машины
своим ходом.
Спбэ = Сэ∙tncx/Тr(5.25)э = Cкр + Сто,тр +
С см + Смг + Ссо (5.26)
кр- затраты на капитальный ремонт, руб;
Стр - затраты на техобслуживание и текущий
ремонт, руб;
Ст - затраты на топливо, руб.;
Ссм - затраты на смазочные и обтирочные
материалы, руб.;
Смг - затраты на гидравлическую жидкость, руб.;
Ссо - затраты на сменную оснастку, руб.
Сбтпбэ = 374101/1724∙1,67 = 375,6 руб.
Снтпбэ = 416306/1851∙1,67 = 361,5 руб.
Сбтпбу = 375,6+54,6=430,2 руб.
Снтпбу = 361,5+54,6 = 416,1 руб.
Сбтпб = 430,2∙1724∙2,5/3200 = 5794
руб.
Снтпб = 416,1∙1851∙2,5/3200 = 6017
руб.
Таблица 3 - Калькуляции годовых текущих затрат
|
Статьи
затрат
|
Сумма
затрат
|
|
Б
|
|
1.
Амортизационные отчисления
|
162000
|
194220
|
|
2.
Заработная плата машинистов
|
56355
|
60506
|
|
3.
Затраты на топливо
|
28926
|
27950
|
|
4.
Затраты на ТО и ТР крана
|
99767,4
|
107116,8
|
|
5.
затраты на гидравлическую жидкость
|
1452,3
|
1558,5
|
|
6.
Затраты на смазочные материалы
|
54960
|
53110
|
|
7.
Затраты на сменную оснастку
|
8500
|
9265
|
|
9.
Затраты на перебазировку техники
|
552,9
|
5794
|
|
ИТОГО:
Годовые затраты
|
412514,1
|
454299,1
|
5.4 Определение экономического
эффекта
Экономический эффект за срок службы новой
техники определяется как разность полных приведенных затрат по сравниваемым
вариантам техники:
(5.27)
где Zy', Zy" - удельные приведенные затраты
по сравниваемым вариантам;
В"- годовая эксплуатационная
производительность суммирования;коэффициент суммирования годовых эффектов за
срок службы новой техники с учетом фактора времени.
За расчетный год принимаем годовой год серийного
производства F= 1,5965
А"- годовой объем производства
(5.28)
где С - годовые текущие затраты;
Ен - нормативный коэффициент эффективности
капитальных вложений, Ен = 0,15;
К - капитальные вложения;
В', В"- годовая эксплуатационная
производительность по базовой и новой технике.
Экономический эффект от внедрения новой техники
составил 189950 руб. Если годовой выпуск кранов составляет 20 единиц техники,
то экономический эффект от внедрения новой техники составит:
Э = (18,87-16,75) • 1,5965 • 56122,3- 20 =
3799008 руб.
5.5 Дополнительные показатели проекта
К дополнительным показателям проекта относятся
показатели металлоемкости и удельного расхода топлива.
Определения сравнительной металлоемкой
продукции.
Металлоемкость конструкции по базовой и новой
технике определяется с учетом затрат, материалов, запасных частей и
комплектующих изделий за весь срок службы техники.
Удельную металлоемкость рассчитывают по формуле:
(5.29)
где F -масса техники, кг;
Км - коэффициент использования материала, Км =
0,76.
Экономия материала за год:

Определение удельного расхода топлива:
(5.30)
где Wt- часовой расход топлива.
Годовая экономия топлива составит:
(5.32)
где В" - годовая эксплуатационная
производительность
Годовая экономия топлива составит 27605 руб.
Удельная себестоимость (5.33)

6. ТЕХНИКА БЕЗОПАСНОСТИ ПРИ РАБОТЕ
ГРУЗОПОДЪЕМНОГО КРАНА С ГРЕЙФЕРОМ
.1 Характеристика опасных и вредных
факторов работы машины
Случаи производственного травматизма при работе
на машинах могут иметь место по техническим, организационным и
психофизиологическим причинам в зависимости от таких факторов, как:
конструирование без достаточного учета
требований охраны труда;
неисправное состояние машин;
самопроизвольное перемещение машин и их
подвижных частей;
потеря устойчивости машинной в результате
совместного действия нескольких факторов (основные и дополнительные нагрузки,
изменение условий опирания и др.);
разрыв тросов;
поломка шкивов, блоков, осей и других деталей
вследствие наличия в них дефектов (иногда скрытых) и др.
Рассмотрим основные положения, обеспечивающие
безопасность при эксплуатации большинства строительных машин и станков,
особенно кранов, при эксплуатации которых происходит наибольшее количество
несчастных случаев:
проектирование конструкций машин с учетом их
безопасной безопасности;
устойчивость машин в процессе их эксплуатации;
прочность и надежность машин;
наличие ограждений и установление «опасных зон»;
безопасные скорости движения;
автоматизация;
сигнализация;
освещенность рабочих мест;
) электробезопасность;
индивидуальные защитные приспособления;
обучение и инструктаж рабочих, а также
мероприятия организационного порядка.
Устойчивость любой строительной машины является
необходимым условием безопасной ее эксплуатации, устойчивость обеспечивается
(для стационарных машин) правильной установкой на надежное основание в строго
горизонтальном и вертикальном положениях.
Поскольку определить точно значение
опрокидывающего момента часто не предоставляется возможным из-за непредвиденных
(аварийных) нагрузок, в практике применяют коэффициент запаса устойчивости Ку,
характеризующий вероятность перегрузки:
Коэффициенты грузовой устойчивости (см. п.2.3) с
учетом дополнительных нагрузок и уклона основания крана. Они определяются, как
отношение разницы моментов от веса всех частей крана и моментов, от
дополнительных нагрузок (ветровых, инерционных, центробежных) к моменту,
создаваемому рабочим грузом относительно того же ребра опрокидывания, при этом
кран считается установленным на твердой наклонной площадке, ветер рабочего
состояния направлен в сторону уклона и все механизмы крана одновременно
совершают рабочие движения.
В реальных практически условиях эксплуатации
грузоподъемных кранов на стройках моменты опрокидывающих сил от дополнительных
нагрузок, вызываемых воздействием ветра, непостоянны по величине, изменяются во
времени и могут превысить расчетные значения при ветре ураганной силы.
Моменты опрокидывающих сил от основных нагрузок
могут возрастать при изменении условий опирания машины на основание или
подкрановый путь например, при появлении продольного или поперечного уклона
подкранового пути в результате неравномерной просадки земляного полотна или
балласта при воздействии дождей, ветра и др. Одновременно снижается суммарная
величина моментов удерживающих сил при невыгодном направлении действия моментов
опрокидывающих сил. Сочетания указанных фактов может приводить к потомкам и
авариям машин, кранов, сопровождающихся несчастными случаями.
Действия инерционных сил в некоторых случаях
может вызвать падение машин в момент принудительной остановки.
Характеристики грузоподъемности стреловых кранов
приводится в каталогах строительных машин и имеет гиперболической кривой. Для
увеличения устойчивости передвижных стреловых кранов применяют дополнительные
опоры в виде выдвижных балок или кронштейнов, опирающихся на домкраты. Такие
упоры (аутригеры) увеличивают поперечную базу кранов и повышают коэффициент
грузовой устойчивости за счет перемещения ребра опрокидывания в сторону груза.
Устойчивость мачтовых подъемников, применяемых
для монтажа конструкций, во время работы достигается предварительным натяжением
расчалок или вант при помощи лебедок и полиспастов. Подбор вант производится в
зависимости от грузоподъемности установкой вантовых растяжек из троса примерно
через 8 м по высоте. Свободные концы вантовых растяжек крепятся к якорям или
устойчивым конструктивным деталям возводимого блока.
В жилищно-гражданском строительстве несчастные
случаи относительно часто возникают в процессе доставки строительных и
отделочных материалов, сантехнического и электромонтажного оборудования и
других грузов к рабочим местам на все этажи строящихся здании, т.е. в условиях
вертикального транспорта. Основными факторами производственного травматизма при
эксплуатации грузовых строительных подъемников в процессе подачи указанных
материалов являются:
падение рабочих с платформ подъемников при
производстве разгрузочно-погрузочных работ;
падение поднимаемых грузов с платформ и
травмирование рабочих, находящихся в опасной зоне;
падение платформ при нахождении на них рабочих и
грузов;
падение предметов с верхних этажей и
травмирование людей, выполняющих погрузочно-разгрузочные работы внизу;
оборудование платформ самодельными удлинителями
для подъема длинномерных материалов;
неудовлетворительные условия труда мотористов;
недостаточный технический надзор за состоянием
подъемников со стороны инженерно-технического персонала;
отсутствие достаточно обоснованных способов и
видов сигнализации между мотористом и рабочими, участвующими в производстве
погрузочно-разгрузочных работ, выполняемых на различных этажах;
отсутствие на большинстве подъемников самых
необходимых приборов и приспособлений, контролирующих процесс перемещения
грузоподъемного крана, таких, как ограничитель грузоподъемности ограничитель
крайнего нижнего положения платформы, а также приспособлений для точной
остановки напротив оконного проема, перекрытия или крыши.
На грузоподъемные машины воздействуют различные
факторы - рабочие нагрузки, ветровой напор и инерционные силы, учитываемые в
расчетах их прочности и особенно устойчивости. В этих расчетах учитываются
также в определенных пределах отклонения положения машин в пространстве от их
нормального расчетного положения связи с возможными уклонами опорных плоскостей.
Однако в практике встречается превышение
расчетных значений, которое вызывает травматизм.
Поясним это положение на примерах.
Попытка подъема краном груза, превышающего
грузоподъемность на данном вылете стрелы, а также подъема примерзшего к земле
груза приводит к перегрузке и падению крана (потере устойчивости). В этом
случае применение автоматических ограничителей грузоподъемности (с
корректированием на вылет стрелы) исключает аварию.
При подъеме груза, если он дошел до крайнего
верхнего положения (упора), а механизм подъема продолжает работать, возможен
обрыв троса и падение груза.
Мгновенное снятие нагрузки с упруго-напряженной
инструкции крана вызывает обратный удар и в соответствующих условиях
опрокидывания крана в сторону противовеса. Здесь автоматическое отключение
электропривода механизма подъема не допускает обрыва троса, а следовательно,
исключает аварию.
Во время работы крана усилился ветер и ветровое
давление превысило предельные значения, при которых кран еще сохраняет
устойчивостью Водитель, работая без специальных приборов, не может оценить
значение ветрового напора, а следовательно, не может оценить значение ветрового
напора, а следовательно, и предотвратить опрокидывание крана. В таких случаях
применение сигнальных аппаратов позволяет своевременно принять меры,
устраняющие аварию.
Следовательно, необходимым условием безопасной
эвакуации грузоподъемных и других строительных машин является оснащение их
устройствами и приспособлениями, ограничивающими возможности возникновения
опасных ситуаций.
Приборы и устройства безопасности по их
назначению можно подразделить на следующее:
ограничители движения (подъема груза,
передвижения крана, вращения крана, вылета стрелы);
устройства, обеспечивающие устойчивость машин
(противоугонные захваты, выносные опоры, ограничители грузоподъемности и
грузового момента);
приборы, сигнализирующие состояние устойчивости
(ветромеры, указатели вылета стрелы, указатели кренов); приборы освещения и
сигнализации.
Ограничители грузоподъемности предназначены для
автоматического отключения механизма подъема груза, если масса поднимаемого
груза на крюке при данном вылете стрелы будет превышать установленную
грузоподъемность для этого вылета на 10%.Точность срабатывания ограничителей
должна быть до 3%. Кроме того, они не должны реагировать на кратковременные
импульсы продолжительностью до 0,8с. Ограничители грузоподъемности применяют на
кранах, имеющих постоянную грузоподъемность при любом вылете стрелы, и большей
частью включаются в систему грузового полиспаста.
Воздействие шума и вибрации на организм человека
С физиологической точки зрения шум
рассматривается как звуковой процесс, неприятный для восприятия, мешающий
разговорной речи и неблагоприятно влияющий на здоровье человека. Звуковой
анализатор человека реагирует на изменение частоты, интенсивности,
направленности и тембра звука. Человек способен различать звуки в диапазоне
частот от 16 до 20 ООО Гц. Границы восприятия звуковых частот неодинаковы для
различных людей, они зависят от возраста и индивидуальных особенностей. Колебания
с частотой ниже 20 Гц (инфразвук) и с частотой свыше 20 000 Гц (ультразвук)
хотя и не вызывают слуховых ощущений, но объективно существуют и производят
специфическое физиологическое воздействие на организм человека. В настоящее
время установлено, что длительное воздействие шума вызывает в организме
различные неблагоприятные для здоровья изменения. Посредством органа слуха шум
проникает в организм человека и воздействует на нервную систему, в результате
чего изменяется кровяное давление, ослабляется внимание, нарушается острота
зрения, происходят сдвиги в вестибулярном аппарате, значительно увеличивается
расход энергии при одинаковой физической нагрузке, замедляется скорость
психических реакций. Степень тяжести воздействия шума на организм зависит от
времени воздействия и интенсивности шума. Комплекс изменений, возникающий в
организме под влиянием шума, в последнее время медиками рассматривается как
«шумовая болезнь».
При оценке воздействия вибрации необходимо
различать общие вибрации, вызывающие сотрясения всего организма, и местный,
вовлекающие в колебательное движение только отдельные органы. Действие местных
вибраций не ограничивается органами, находящими в соприкосновении с
вибрирующими деталями машин, их воздействие оказывает влияние на центральную
нервную систему и через нее рефлекторно влияет на другие органы человека. Под
влиянием вибрации наибольшие изменяя, происходят в нервной и
сердечно-сосудистой системах.
Неблагоприятное действие вибрации в начальной
стадии выражается в виде утомления, головной боли, болях в суставах кистей и
пальцах, повышенной раздражительности. Общая вибрация вызывает в организме
более выраженные и стойкие изменения, чем местная. При длительной работе на
вибрационном оборудовании у рабочего может развиться «вибрационная болезнь»,
характеризующаяся нарушениями функций различных органов и прежде всего
периферической и центральной нервной системы. Начало болезни диагностируется по
характерным изменениям сосудов, пальцев рук, которые проявляются в виде
повышенной чувствительности к охлаждению, болях в суставах рук и пальцев.
Медико-физиологические исследования убедительно показывают, что
производственный шум и вибрация ведут к снижению производительности труда,
увеличению числа ошибочных действий, повышенному расходу физических и
нервно-психических сил. Проверенные исследования показали, например, что при
выполнении сложных работ в помещении с уровнем шума 80-90 дБ рабочий в среднем
должен затратить 20% больше физического и нервных усилий, чтобы иметь
производительность труда, достигаемую при шуме 70 дБ. В среднем можно считать,
что' снижение шума на 6-10 дБ ведет к росту производительности труда на 10-12%.
На современном этапе развития техники не всегда
удается снизить уровни вибрации и шума до допустимых пределов. Поэтому при
нормировании исходят из того, что работа возможна не в наилучших, а приемлемых
условиях, т.е. когда вредное воздействие вибрации и шума не проявляется или
проявляется незначительно.
Нормирование вибрации и шумов осуществляется в
зависимости от секторального состава, временных характеристик и
продолжительности воздействия.
Производственные шумы делятся на низкочастотные
до 300 Гц, среднечас-тонные до 800 Гц и высокочастотные свыше 800 Гц. По
характеру спектра шумы подразделяются на тональные, в которых явно
прослушиваются звуки с ярко выраженным одним тоном, и широкополосные, в которых
представлены звуки многих частот и нет выраженных тональных составляющих. По
временным характеристикам шумы бывают стабильные, у которых уровень звукового
давления изменяется незначительно (до + ЗдБ), импульсивные и прерывистые
(непостоянные). Нормирование импульсного шума производится по эквивалентному
уровню звука.
Эквивалентный уровень непостоянного шума
представляет собой уровень постоянного, широкополосного неимпульсного шума,
оказывающего такое воздействие на человека, как и непостоянный шум. Величину
рассчитывают на основании изменений уровней звука (в дБ) в течении
определенного промежутка времени.
Установление безопасных скоростей движения машин
и их деталей
Для грузоподъемных машин важнейшими параметрами,
способствующими возникновению травматизма, являются скорости движения самой
машины, ее частей и поднимаемых грузов. Воздействие этих факторов на машину
оказывается наибольшим в период неустранившегося движения, т.е. в период
возрастания скорости от нуля до расчетного значения, когда действуют ускорения,
вызывающие динамичность воздействия усилий на конструкцию грузоподъемных и
некоторых других машин.
Установившееся движение в работе грузоподъемной
машины наступает, когда достигнута заданная скорость движения машины или ее
рабочего органа (барабана, лебедки, ходового колеса, поворотного круга и т.п.).
В каждом рабом движении, например, башенного
крана, есть три периода: пуск (разгон), установившееся движение и остановка (торможение).
Увеличение производительности механизма требует,
чтобы время пуска и торможения были наименьшими. Однако при расчете машин это
время принимается из условия, что динамичность нагрузок не превышает
допускаемых значений, что особенно важно для башенных кранов с высоким
расположением центра тяжести против опрокидывания.
Применяемые в построечных мастерских и на
предприятиях строительной индустрии станки для обработки дерева и металлов, для
шлифования, точки инструментов и другое оборудование работают со значительными
окружными скоростями. Превышение этих скоростей в ряде случаев может привести к
разрушению вращаемых деталей и вызвать несчастные случаи. Задача инженера
состоит именно в том, чтобы выбрать такой режим эксплуатации машин, при котором
была бы обеспечена максимальная производительность труда при безопасных
условиях работы.
Обязанности обслуживающего персонала
Для управления и обслуживания автомобильного
крана назначают машиниста и слесарей, а для обслуживания кранов с электрическим
приводом, кроме этого, электрослесаря.
Машинист перед назначением на работу должен
пройти специальное медицинское освидетельствование, надлежащее обучение и
аттестацию в соответствии с указаниями. Аттестуя машинистов, квалификационная
комиссия, в состав которой должен входить представитель органа
Госгортехнадзора. Результаты аттестации оформляют протоколом. Выдержавшие
экзамены получают удостоверение машиниста за подписью председателя комиссии. В
удостоверении указывают тип крана, к управлению которым он допущен. Во время
работы машинист и стропальщик должны иметь при себе удостоверение с
фотокарточкой.
Допуск к работе указанных лиц оформляют приказом
по предприятию.
При перерыве в работе по специальности более
одного года машинист должен пройти проверку знаний в квалификационной комиссии
предприятия, а затем стажировку для восстановления практических навыков.
Кроме того, проводят периодическую проверку
знаний в объеме производственных инструкций не реже одного раза в 12 месяцев;
при переходе указанных лиц с одного предприятия на другое; по требованию лица,
ответственного по надзору, или инспектора Госгортехнадзора. Результаты проверки
оформляют записью в журнале. Участие инспектора Госгортехнадзора в
периодической проверке необязательно.
Обслуживающий персонал обязан наблюдать за
автомобильным краном и его оборудованием, неукоснительно соблюдать все правила
техники безопасности и правила, предусмотренные инструкциями по эксплуатации
крана, твердо знать и строго руководствоваться в своей работе Правилами
устройства и безопасной эксплуатации грузоподъемных кранов.
Особенности эксплуатации в зимнее время
Зимний период эксплуатации кранов является одним
из наиболее трудных. В этот период ухудшаются дорожные условия из-за снежных
заносов и гололеда, а температура воздуха нередко опускается до минус 30-40°С.
При этом возрастает вязкость смазочных материалов, ухудшаются испаряемость
бензина и процесс смесеобразования горючего и воздуха, падают электрические
характеристики аккумуляторных батарей. Все это затрудняет пуск двигателей,
работу механизмов, а труд машиниста становится более ответственным и тяжелым.
Производительная и бесперебойная работа автомобильных кранов в осеннее зимний
период зависит от качества подготовки их к работе при низких температурах и
знания обслуживающим персоналом специфики работы кранов вН2> этих условиях.
Подготовительные работы по переводу крана на зимнюю эксплуатацию проводят при
сезонном техническом обслуживании, которое приурочивают к очередному (по
графику) техническому обслуживанию. При этом проверяют и подготавливают к зиме
все системы и механизм двигателя, узлы трансмиссии и крановой установки,
системы управления краном, а также кабину машиниста.
В зимнее время в систему охлаждения заливают
воду, подогретую до 60-70°С, или незамерзающие смеси (антифризы). Заправлять
охлажденный двигатель кипящей водой недопустимо, так как это может вызвать
трещины в водяной рубашке двигателя. Во время заправки водой радиатор должен
быть полностью закрыт утепляющим чехлом. Первые 2-3 ведра подогретой воды заливают
при открытых спускных кранах в радиаторе и блоке двигателя, что способствует
лучшему прогреву двигателя.
Для облегчения запуска двигателей при низких
температурах топливный насос и топливные фильтры рекомендуется подогревать
горячей водой. На эксплуатационных базах в зимнее время организуют прогрев
двигателей горячей водой или паром. Это повышает готовность кранов к работе.
При временных остановках крана нужно
периодически пускать двигатель и поднимать температуру жидкости в системе
охлаждения.
Смазочную систему и картер двигателя промывают
чистым маловязким маслом, которое заливают в систему, через 10-15 мин работы
двигателя на холостых оборотах масло сливают. После этого систему заполняют
зимним маслом. При запуске двигателя следят за показателями масляного
манометра. Работа двигателя под нагрузкой допускается только при рабочем
давлении масла в системе.
При подготовке аккумуляторной батареи к зиме в
первую очередь доводят плотность электролита до такой величины, при которой он
не сможет протирать металлоконструкции топливом, т.к. в этом случае пленка
краски становится хрупкой и легко повреждается при механических воздействиях.
Применяемые смазочные материалы должны соответствовать указанным в инструкциях
по эксплуатации крана зимой. Во избежание обледенения штоки гидроцилиндров не
должны находиться длительное время открытыми, т.к. образовавшийся на них лед
может повредить резиновые кольца уплотнений.
При низкой температуре воздуха перед пуском
крана в работу гидросистему необходимо прогревать Для этого пуск насосов
начинают на минимальных оборотах двигателя, затем их постепенно увеличивают до
номинальной величины. После 5-10 мин работы насосов на холостом ходу выполняют
рабочие операции без груза в течение 10-15 мин, последовательно включая
гидромоторы рабочих механизмов. Только после этого приступают к выполнению
рабочих операций. Зимой для создания благоприятных условий работы в кабине
крана устанавливают отопительные приборы.
Перед началом работы двигатель прогревают до тех
пор, пока температура жидкости в системе охлаждения не повысится до 50°С. Это
требование обусловлено тем, что при работе двигателя под нагрузкой износ его
деталей резко увеличивается с понижением температуры, а мощность и
экономичность при этом падают.
После длительной стоянки крана при температуре
воздуха ниже - 30оС первые 15-20 мин следует двигаться со скоростью, не
превышающей 15-20 км/ч, избегая ударов шин о неровности дороги, так как
переохлажденная резина теряет
6.2 Обеспечение безопасности работы
машины с грейфером
Организация службы по соблюдению правил техники
безопасности при работе кранов с грейфером должна осуществляться в соответствии
с «Типовым положением о службе по технике безопасности в строительно-монтажных
организациях и на предприятиях строительной индустрии». Ответственность за
состояние техники безопасности на рабочих местах ответственность несут мастер и
производитель работ.
Машинист должен знать и строго соблюдать правила
техники безопасности, обеспечивающие безаварийную работу крана и безопасные
условия труда.
Машинист должен быть постоянно готовым
реагировать на изменяющуюся обстановку в рабочей зоне, он должен быстро и
безошибочно действовать в состоянии эмоционального напряжения, вызванного
аварийной ситуацией. Большое значение для машинистов имеет быстрота реакции.
Машинист с замедленной реакцией может опоздать выполнить необходимые действия
при внезапном возникновении опасности и, как следствие, совершить аварию.
Практика показывает, что часть нарушений безопасных условий труда связана с
состоянием машиниста. При управлении краном на машиниста действуют
разнообразные факторы, влияющие на его работоспособность: техническое состояние
крана, продолжительность работы, эргономические данные (шум, вибрация,
температура в кабине, загазованность, обзорность, усилия на рычагах и педалях),
подготовленность рабочей зоны.
Машинисту запрещается:
поднимать грузы, масса которых превышает
грузоподъемность крана при данном вылете;
подтягивать груз к крану;
поднимать груз неизвестной массы, засыпанный
землей или какими-либо предметами, примерзший к земле;
поворачивать или поднимать груз над людьми;
работать под линиями электропередачи без особого
разрешения.
Приступая к работе, машинист должен ознакомиться
с объектом и при необходимости поставить кран на выносные опоры.
Дороги на объектах строительства устраивают в
подготовительный период и обеспечивают свободный подъезд автомобильных кранов
ко всем рабочим зонам и размещение на них. Площадку в пределах рабочей зоны и
подъездной путь к ней делают с твердым покрытием из инвентарных щитов или плит
многократной оборачиваемости. Дороги на объектах и места стоянки кранов
оборудуют предупреждающими знаками. Допустимый угол наклона площадки для работы
крана не должен превышать 3° без учета просадки основания. При наличии просадок
на площадках основание выравнивают. Состояние площадки для передвижения и
работы автомобильных кранов контролирует ответственный за безопасное
производство работ при перемещении грузов.
Место установки крана в рабочее -положение
должно соответствовать проекту производства работ. Между поворотной частью
крана при любом его положении и выступающими частями зданий, находящихся от
основания откоса на расстоянии до 2 м, штабелями грузов, транспортных средств
должен быть просвет не менее 1 м.
Во избежание опрокидывания крана при работе на
опорах необходимо убедиться в правильности установки опор и наличии зазора
30-40 мм между шинами заднего моста и грунтом.
Переводить стрелу и башенно-стреловое
оборудование из транспортного положения в рабочее и из рабочего в транспортное
без установки крана на выносные опоры запрещается Максимальное приближение
крана к краю откоса, котлована или траншеи не должно превышать допустимых норм,
приведенных в «Правилах устройства и безопасной эксплуатации грузоподъемных
кранов». Наименьшее допустимое расстояние от основания откоса котлована или
траншеи до ближайших опор крана должно указываться в проекте производства
работ. Если нормы Правил не могут быть соблюдены, откос укрепляют.
Кран может быть установлен на расстоянии не
ближе 30 м от крайнего провода линии электропередачи (ЛЭП) или воздушной
электрической сети напряжением более 30 В. При необходимости работы в зоне
ближе 30 м от ЛЭП должен быть оформлен наряд-допуск, в котором определяют
безопасные условия работы. Имея представление о месте и степени возникшей
опасности поражения током, машинист должен своевременно принять меры для
ликвидации опасной ситуации. При работе крана с опорами, опущенными на
основание, снижается опасность поражения током человека, находящегося на кране,
по появляется другая опасность - шаговое напряжение вокруг крана. В таких
случаях покидать кран или подходить к нему запрещается. Необходимо оставаться в
кабине даже в тех случаях, когда находящийся в ней машинист своими действиями
самостоятельно не может освободить стрелу или поднимаемый груз с зацепления с
проводом ЛЭП; только после выключения ЛЭП можно выйти из кабины крана и
опуститься на основание.
Опасность поражения током снижается на кранах,
оборудованных прибором типа АСОН, сигнализирующим о приближении машины к линии
электропередачи.
Прибывший на объект груз нужно снимать с
транспортных средств в такой последовательности, чтобы не нарушать равновесия
остающихся грузов. Перед выгрузкой или подачей железобетонные изделия следует
осмотреть, что бы убедиться в отсутствии дефектов, проверить исправность
захватных приспособлений и выпускных петель. Снимать стропы или другие
грузозахватные устройства с установленных на место конструкций молено только
после временного или окончательного их закрепления.
Забракованные грузозахватные устройства не
должны находиться в зоне действия крана. Чтобы поправить - неверно
застропованное грузозахватное устройство, поднятый груз опускают на землю.
Нельзя поправлять ветви стропа при поднятом грузе ударами лома или молотка. Для
разворота длинномерных грузов, предотвращения самопроизвольного разворота
пользуются оттяжками. Смятые выпускные петли следует осторожно поправить ломом.
Нельзя производить погрузку и разгрузку
автотранспортного средства, когда водитель находится в кабине. Машинисту
запрещается допускать к строповке груза лиц, не имеющих прав стропальщика.
Если зона, обслуживаемая краном, не полностью
просматривается из кабины машиниста, для передачи сигналов стропальщика
дополнительно назначается сигнальщик. Не разрешается во время работы крана
входить и выходить из его кабины.
Запрещается становиться на край штабеля или
концы межпакетных прокладок, пользоваться крапом для подъема людей на штабель
или спуска с него. Для подъема рабочих на штабель используют специальную
переносную лестницу. Покосившиеся штабеля с помощью крана разбирают только в
дневное время при наличии предварительно разработанного способа ведения работ и
под личным наблюдением руководителя погрузочно-разгрузочных работ.
При монтаже конструкций следует строго придерживаться
последовательности установки их, предусмотренной проектом производства работ.
Конструкции перед подачей их к месту установки предварительно очищают от грязи,
льда и снега. Во время установки и закрепления запрещается становиться на
конструкцию или находиться под ней. Первые плиты перекрытий устанавливают,
находясь на передвижных столиках, расположенных на перекрытии смонтированного
этажа. Нельзя устанавливать первые плиты перекрытия, находясь на стеновых
панелях и перегородках. Последующие элементы перекрытий можно устанавливать на
место с ранее уложенных плит. Для безопасной работы при монтаже торцовых стен
применяют навесную двухъярусную люльку.
Запрещается поднимать груз, масса которого
превышает грузоподъемность крана для данного вылета. Не допускается: трение
грузового каната при подъеме груза о рядом расположенные конструкции;
перемещать груз над людьми, производственными и жилыми помещениями.
СПИСОК ЛИТЕРАТУРЫ
1. Зайцев
Л.В., Полосин М.Д. Автомобильные краны. М.: Высшая школа, 1987. 208 с.
2. Зайцев
Л.В., Улитенко И.П. Строительные стреловые самоходные краны. М: Машиностроение,
1984.251 с.
. Смирнов
О.А., Улитенко И.П. Гидравлические стреловые краны на специальных шасси. М.:
Высшая школа, 1987. 216 с.
. Епифанов
СП., Поляков В.И. Пневмоколесные и гусеничные краны. М.: Высшая школа, 1985.
312 с.
. Таубер
Б.А. Грейферные механизмы. М.: Машиностроение, 1967. 452 с.
. Богданов
В.А. Классификация грузозахватных приспособлений. Красноярск, 1982. 106 с.
. Рекомендации
по организации технического обслуживания и ремонта строительных машин. М.:
Стройиздат, 1978. 95 с.
. Рекомендации
по расчету экономической эффективности технических решений в области
организации, технологии и механизации строительных работ. М.: Стройиздат, 1985.
128 с.
. Малов
А. Н. Справочник технолога машиностроителя. М.: Машиностроение, 1972. 567 с.
. Горошкин
А.К. Приспособления для металлорежущих станков. М.: Машиностроение, 1966.
. Долин
П.А. Справочник по технике безопасности. М.: Энергия, 1973.
. Правила
устройства и безопасности эксплуатации грузоподъемных кранов. М.: Недра, 1970.