Методы определений и контроля геометрических параметров конструкций при их обследовании
Методы определений и контроля
геометрических параметров конструкций при их обследовании.
г. Москва, 2014 г.
Содержание
1. Введение
2. Геометрические параметры зданий и сооружений
2.1 Измерения по контролю точности геометрических параметров при
выполнении видов строительных работ на этапах строительства
2.2 Точность геометрических параметров в строительстве
2.2.1 Характеристики точности геометрических параметров в
строительстве
2.2.2 Обеспечение точности измерений геометрических параметров
зданий и сооружений
2.2.3 Погрешность измерений
2.3 Требования к организация процесса измерения и применение
характеристик качества измерений при контроле точности геометрического
параметра при строящихся зданий и сооружений
Список использованной литературы
1. Введение
Обследование зданий (сооружений) выполняется для оценки их
безопасной эксплуатации в дальнейшем или выработки рекомендаций по их
восстановлению и усилению, а также для проектирования их реконструкции или
капитального ремонта.
Проведение обследования несущих и иных конструкций здания или
сооружения в полном объеме рекомендуется:
· не реже одного раз в 5
лет при нормальной эксплуатации;
· при проектировании
перепланировки здания.
Проведение обследования здания обязательно:
· перед реконструкцией,
если она затрагивает несущие конструкции здания;
· в процессе эксплуатации,
если обнаружены серьезные дефекты конструкции;
· если здание при
экстремальных условиях (погодных, климатических, техногенных и т.п.)
подверглось предельным критическим нагрузкам, повреждениям;
· если после длительного
перерыва (не менее 1,5 - 2 лет) принято решение о возобновлении незавершенного
строительства.
Процесс обследования строительных конструкций включает
работы, имеющие общую методику проведения, характерные практически для всех
видов конструкций. К ним относятся следующие виды работ:
· обмерные;
· измерения прогибов и деформаций
конструкций;
· методы и средства наблюдений за трещинами.
Обмерами определяются геометрические параметры зданий и
сооружений: конфигурация, размеры, положение в плане и по вертикали конструкций
и их элементов.
Объектами измерений являются:
строительные элементы (изделия);
строительные конструкции зданий и сооружений на отдельных
этапах их возведения и после завершения строительно-монтажных работ;
плановые и высотные разбивочные сети и их элементы, в том
числе создаваемые на монтажном горизонте;
формирующее оборудование, приспособления и оснастка для
изготовления и монтажа, определяющие точность строительных конструкций.
Измерениям подлежат геометрические параметры, требования к
точности которых установлены в нормативно-технической, проектной и
технологической документации на объекты измерения.
В нормативно-технической и в технологической документации на
конкретные объекты измерения устанавливают предельную погрешность измерений,
применяемые методы и средства и, при необходимости, способы обработки
результатов наблюдений.
В процессе обследования зданий нужно выявлять соответствие
принятым в РФ требованиям по точности для следующих геометрических параметров:
линейных и угловых размеров, параллельности, перпендикулярности, наклона,
вертикальности, горизонтальности, соосности, симметричности, совмещения
ориентиров, совпадения поверхностей, прямолинейности, плоскостности,
пропеллерности, круглости, цилиндричности, формы заданного профиля, формы
заданной поверхности.
Соответствие размеров геометрических параметров зданий и
сооружений требованиям проектной документации контролируют по результатам
измерений, выполненных с необходимой точностью. При этом действительное
значение величины геометрического параметра должно находиться в установленном
допускаемом интервале значений данной величины относительно нормированного
проектом значения геометрического параметра, принимаемого за допуск.
2. Геометрические
параметры зданий и сооружений
2.1 Измерения
по контролю точности геометрических параметров при выполнении видов
строительных работ на этапах строительства
Геометрические параметры зданий и сооружений представляются
линейными и угловыми размерами, единицы измерений которых установлены
Постановлением Правительства РФ "Об утверждении Положения о единицах
величин, допускаемых к применению в Российской Федерации" [7] и ГОСТ
8.417.
При строительстве зданий и сооружений в соответствии с
пунктом следует устанавливать требования к составу работ по контролю точности
геометрических параметров зданий и сооружений на основе измерений для:
– входного контроля с целью
освидетельствования передаваемой заказчиком созданной геодезической разбивочной
основы для строительства, включающей в себя линии застройки, передаваемую
разбивочную сеть строительной площадки, применяемую для выноса в натуру
основных или главных разбивочных осей зданий и сооружений, магистральных и
внеплощадочных линейных сооружений, а также для монтажа технологического
оборудования;
– разбивке
внутриплощадочных (кроме магистральных) линейных сооружений или их частей,
временных зданий (сооружений);
– созданию внутренней
разбивочной сети здания (сооружения) на исходном и монтажном горизонтах и
разбивочной сети для монтажа технологического оборудования, а также
производства детальных разбивочных работ;
– геодезическому контролю
точности положения осей, конструкций, строительных элементов согласно перечню,
принятому в ППР в соответствии с ГОСТ 26607, геометрических параметров зданий
(сооружений);
– геодезическим измерениям
деформации оснований, конструкций зданий (сооружений) и их частей, если это
предусмотрено проектной документацией, установлено авторским надзором или
органами государственного надзора;
– контролю технологических
процессов СМР, обеспечивающих достижение и сохранение проектных размеров
геометрических параметров, а также со - стояние положения технологических
устройств в течение технологического процесса;
– точности применяемых
средств измерений и форме регистрации наблюдений, получаемых при измерениях, их
обработке и форме представления результатов измерений;
– порядку применения
характеристик качества измерения при оценке соответствия размера
геометрического параметра проектной документации.
2.2 Точность
геометрических параметров в строительстве
2.2.1
Характеристики точности геометрических параметров в строительстве
Положения и требования к нормированию характеристик точности
геометрических параметров должны быть сформированы для обеспечения точности
геометрических параметров зданий и сооружений.
Точность геометрического параметра x определяют
характеристиками точности. Характеристики точности геометрических параметров в
строительстве и их взаимосвязь показаны на рисунке 1.
конструкция измерение строительство параметр
Рисунок 1
Точность геометрического параметра 
в каждом отдельном случае характеризуется значением
действительного отклонения 
, выражаемого зависимостью

, (1)
где 
- действительное значение параметра 
;

- номинальное значение параметра.
Действительное отклонение 
является количественным выражением систематических и случайных
погрешностей, накопленных при выполнении технологических операций и измерений.
Точность геометрических параметров в стандартах и других
нормативных документах, а также на рабочих чертежах характеризуется минимальным

и максимальным 
предельными размерами, нижним 
и верхним 
предельными отклонениями от номинального 
значения, допуском 
и отклонением 
середины поля допуска 
от номинального 
значения параметра 
. Половина допуска 
является предельным отклонением параметра 
от середины поля допуска 
.
Взаимосвязь между этими характеристиками точности определяют по
формулам:

(2)

, (3)

, (4)

(5)
Примечание - Значения нижнего и верхнего предельных отклонений 
и 
подставляют в формулы со своими знаками.
Точность геометрического параметра 
в совокупности его действительных значений 
, полученной в результате выполнения определенного
технологического процесса или операции массового и серийного производства,
определяют статистическими характеристиками точности.
В качестве статистических характеристик точности геометрического
параметра применяют его среднее значение 
и среднее квадратическое отклонение 
. В необходимых случаях при различных законах распределения
параметра 
допускается использовать другие статистические характеристики
точности.
При нормальном распределении геометрического параметра 
оценками характеристик 
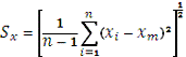
и 
являются выборочное среднее 
и выборочное среднее квадратическое отклонение 
, которые вычисляют по формулам:

, (6)

, (7)
где 
- объем выборки.
Систематическое отклонение 
геометрического параметраx определяют по формуле

. (8)

. (9)
Предельные значения 
и 
устанавливают как значения геометрического параметра 
, отвечающие определенным вероятностям появления значений этого
геометрического параметра 
ниже 
и выше 
. Взаимосвязь предельных значений 
и 
и статистических характеристик точности 
и 
представлена формулами:

, (10)

, (11)
где 
и 
- значения стандартизованной случайной величины, зависящие от
вероятности появления значений ниже 
и выше 
, и типа статистического распределения параметра 
.
Как правило, вероятность появления значений 
ниже 
и выше 
принимают одинаковой, но не более 0,05.
Предпочтительные значения величины 
при нормальном распределении параметра 
в зависимости от допускаемой вероятности появления значений 
ниже 
и выше 
, характеризуемой приемочным уровнем дефектности по ГОСТ 23616,
установлены ГОСТ 23615.
В случае симметричного (например, нормального) распределения
геометрического параметра 
(рисунок 2) и одинаковой вероятности появления значений 
ниже 
и выше 
значения
, а взаимосвязь между характеристиками точности, определяется по
формулам

, (12)

, (13)

. (14)
Если при этом среднее значение 
параметра практически не отличается от его номинального значения 
, то взаимосвязь характеристик точности характеризуют формулы

, (15)

, (16)

, (17)

(18)
Точность геометрических параметров на всех этапах строительного
производства следует устанавливать в зависимости от функциональных,
конструктивных, технологических и экономических требований, предъявляемых к
зданиям, сооружениям и их отдельным элементам.
Предпочтительными характеристиками точности являются предельные
отклонения относительно номинального значения параметра 
, принимаемые, как правило (при 
), равными по абсолютной величине половине значения
соответствующего функционального или технологического допуска, принятого в
расчете точности.
В обоснованных случаях, при необходимости частичной компенсации
возрастающих во времени систематических погрешностей технологических процессов
и операций, предельные отклонения могут устанавливаться несимметричными (
).
Функциональными допусками регламентируют точность геометрических
параметров в сопряжениях и точность положения элементов в конструкциях.
Номенклатуру функциональных допусков принимают при разработке рабочей документации
исходя из функциональных (прочностных, изоляционных или эстетических)
требований к конструкциям на основе положений ГОСТ 26607, ГОСТ 21780, а их
конкретные значения принимают по нормативным документам на проектирование и
производство работ.
Технологическими допусками регламентируют точность технологических
процессов и операций по изготовлению и установке элементов, а также выполнению
разбивочных работ.
Значения допусков в миллиметрах или угловых величинах должны
соответствовать числовому ряду:\
; 1,6; 2,4; 4; 6; 10 или
; 1,2; 1,6; 2; 2,4; 3; 4; 5; 6; 8; 10.
Каждое число ряда допускается увеличивать или уменьшать умножением
его на десять с показателем степени, равным целому числу. Номенклатуру и
конкретные значения технологических допусков по классам точности процессов и
операций следует принимать по ГОСТ 21779. Классы точности технологических
процессов и операций выбирают при выполнении расчетов точности в зависимости от
принимаемых средств технологического обеспечения и контроля точности и
возможностей производства.
Точность геометрических параметров зданий, сооружений и их
отдельных элементов считают обеспеченной, если установлено, что действительные
значения этих параметров соответствуют нормативным и проектным требованиям
2.2.2
Обеспечение точности измерений геометрических параметров зданий и сооружений
Положения и требования, соблюдение которых необходимо для
обеспечения точности измерений направлены:
на эффективную организацию измерения, условиям измерений,
обеспечивающих своевременную и достаточную точность результата измерений;
единство учета влияющих на точность измерений факторов при
организации измерений;
единство требований к применяемым средствам измерений и
методикам;
по установлению достаточной и обоснованной точности
измерений;
единство требований к процедурам измерений, регистрации,
анализа и обработки результатов измерений, оценки качества измерений на основе
оценки соответствия точности измерений.
Геометрические параметры зданий и сооружений, к которым
устанавливаются требования к точности размеров, а также допускаемые отклонения,
являющиеся предметом измерения, следует характеризовать допусками
прямолинейности, предельными отклонениями прямолинейности допусками
плоскостности и предельными отклонениями от плоскостности.
Границы интервалов номинальных размеров, для которых установлены
технологические допуски, приняты в настоящем стандарте на основе рядов
предпочтительных чисел, установленных ГОСТ 6636. При этом значения
технологических допусков 
в миллиметрах вычислены по формуле

,
где 
- коэффициент точности, устанавливающий число единиц допуска для
данного класса точности;

- единица допуска, определяемая в зависимости от значения
нормируемого геометрического параметра по рекомендуемым формулам таблицы 2.
Нормирование точности изготовления геометрических параметров
элементов зданий и сооружений, а также формы и взаимного положения поверхностей
для производства строительно-монтажных работ.
Таблица 2 - Вид допусков и формулы для вычисления
значения единицы допуска
|
Характеристика
технологического процесса или операции
|
Вид допуска
геометрического параметра
|
Формула для
вычисления, мм
|
Значение
|
|
Изготовление
|
Допуск
линейного размера
|
где L, мм
|
1,0
|
|
Допуск
прямолинейности
|
|
1,0
|
|
Допуск
плоскостности
|
|
1,0
|
|
Допуск
перпендикулярности
|
|
0,6
|
|
Допуск
равенства диагоналей
|
|
1,0
|
|
Разбивка
|
Допуск разбивки
точек и осей в плане
|
где L, м
|
1,0
|
|
Допуск передачи
точек и осей по вертикали
|
|
0,4
|
|
Допуск
створности точек
|
|
0,25
|
|
Допуск разбивки
высотных отметок
|
|
0,6
|
|
Допуск передачи
высотных отметок
|
|
0,25
|
|
Допуск
перпендикулярности осей
|
|
0,4
|
|
Установка
(монтаж)
|
где L, мм
|
1,6
|
|
Допуск
симметричности установки
|
|
0,6
|
Согласно ГОСТ 21779 точности изготовления геометрических
параметров элементов зданий и сооружений, а также формы и взаимного положения
поверхностей характеризуют допусками и предельными отклонениями их линейных
размеров (рисунок 3).
Примечание - Обозначение допусков и отклонений по ГОСТ 21778.
Рисунок 3. Допуск и отклонение от линейных размеров элементов
Допуски и предельные отклонения формы и взаимного положения
поверхностей устанавливают, если требуется ограничить искажения формы
элементов, не выявляемые при контроле точности линейных размеров.
При этом точность формы поверхностей призматических прямоугольных
элементов характеризуют допусками прямолинейности и предельными отклонениями
отпрямолинейности (рисунок 4) и допусками плоскостности и предельными
отклонениями от плоскостности (рисунок 5), а точность взаимного положения
поверхностей этих элементов - допусками перпендикулярности и предельными
отклонениями от перпендикулярности (рисунок 6).

а - допуск и отклонение от прямолинейности при измерениях на
заданной длине; б - то же, при измерениях на всей длине; 1 - условная
(прилегающая) прямая; 2 - прямые, ограничивающие поле допуска; 3 - реальный
профиль; 4 - условная (проходящая через крайние точки) прямая
Примечание - При измерениях на заданной длине 
и 
при измерениях на всей длине 
Рисунок 4. Допуск прямолинейности и отклонение от прямолинейности
а
б
а - допуск плоскостности и отклонение от плоскостности при
измерениях от прилегающей плоскости; б - то же, при измерениях от условной
плоскости, проходящей через три крайние точки реальной поверхности; 1 -
условная (прилегающая) плоскость; 2 - плоскости, ограничивающие поле допуска; 3
- реальная поверхность; 4 - условная (проходящая через три крайние точки)
плоскость
Примечание - При измерениях от прилегающей плоскости 
и 
при измерениях от условной плоскости 
Рисунок 5. Допуск плоскостности и отклонение от плоскостности
а - допуск и отклонения при измерениях на заданной длине; б - то
же, при измерениях на всей длине; 1 - условная (прилегающая) плоскость; 2 -
реальная поверхность; 3 - условная (проходящая через крайние точки) плоскость
Рисунок 6. Допуски перпендикулярности и отклонения от
перпендикулярности
Допуски линейных размеров элементов регламентируют точность их
изготовления по длине, ширине, высоте, толщине или диаметру, точность размеров
и положения выступов, выемок, отверстий, проёмов, крепёжных и соединительных
деталей, а также точность положения наносимых на элементы ориентиров. Эти
допуски принимают по табличному значению в зависимости от номинального размера,
точность которого нормируют.
Допусками прямолинейности, плоскостности и перпендикулярности
поверхностей следует также регламентировать точность формы и взаимного
положения отдельных поверхностей простых непризматических элементов.
Точность размеров, формы и взаимного положения поверхностей
элементов, имеющих сложное очертание, регламентируют допусками линейных
размеров, определяющих положение характерных точек этих элементов в принятой
системе координат.
2.2.3
Погрешность измерений
Точность измерения характеризуется прежде всего его абсолютной
погрешностью, размер которой для многократных измерений или измерений с
использованием двух СИ и более, согласно ГОСТ Р 8.563 определяют:
методические составляющие погрешности измерений;
инструментальные составляющие погрешности измерений;
погрешности, вносимые оператором.
Требования к точности измерений устанавливают с учетом всех
составляющих погрешности (методической, инструментальной, оператора).
К методическим составляющим погрешности измерений необходимо
относить:
неадекватность контролируемому объекту модели, параметры
которой принимают в качестве измеряемых величин;
отклонения от принятых значений аргументов функции,
связывающей измеряемую величину с величиной на "входе" средства
измерений;
отклонения от принятых значений разницы между значениями
измеряемой величины на входе средства измерений и в точке отбора;
отличие алгоритма вычислений от функции, строго связывающей
результаты наблюдений с измеряемой величиной.
К инструментальным составляющим погрешности измерений
относятся:
основные погрешности и дополнительные статические погрешности
средств измерений, вызываемые медленно изменяющимися внешними влияющими
величинами;
погрешности, вызываемые ограниченной разрешающей способностью
средств измерений.
динамические погрешности средств измерений (погрешности,
вызываемые инерционными свойствами средств измерений);
погрешности, вызываемые взаимодействием средства измерений с
объектом измерений;
погрешности передачи измерительной информации.
К погрешностям, вносимым оператором (субъективные погреш-ности)
относятся:
погрешности считывания значений измеряемой величины со шкал,
дисплеев и мониторов;
погрешности, вызываемые воздействием оператора на объект и
средства измерений (искажения температурного поля, механические воздействия и
т.п.).
Принятые в РФ характеристики погрешности измерений приведены
в ГОСТ8.207 и в разделе 2 МИ 1317. Так, погрешность результата измерения чаще
всего представлена неисключённой систематической погрешностью (НСП) и
случайными погрешностями. Характеристикой НСП могут быть:
границы НСП ± Q;
доверительные границы НСП ± Q (Р).
Характеристикой случайных погрешностей могут быть:
среднее квадратическое отклонение (СКО) - S;
доверительные границы ± e (Р).
В качестве примера расчёта 
суммарной погрешности принимаемого метода и средства измерения
следует принять приложение 1 ГОСТ 26433.1.
Согласно ГОСТ ИСО 5725-1 для раскрытия понятия точности измерений,
как случайной величины, используют два термина: "правильность" и
"прецизионность".
Правильность характеризует степень близости среднего
арифметического значения большого числа результатов измерений, к истинному или
принятому опорному значению. Правильность метода измерений применяется в
случаях, когда можно прямо или косвенно представить истинное значение
измеряемой величины. Хотя для некоторых методов измерений истинное значение не
может быть известно точно, существует возможность располагать принятым опорным
значением измеряемой величины или когда принятое опорное значение может быть
установлено посредством ссылки на другой метод измерений. При этом правильность
того или иного метода измерений может быть исследована посредством
сопоставления принятого опорного значения с уровнем результатов, полученных
этим методом. Правильность характеризуется величиной систематической
погрешности.
Прецизионность характеризует изменчивость повторяющихся измерений.
Приняты два условия прецизионности, повторяемость и воспроизводимость, для
представления изменчивости метода измерений. В условиях повторяемости
(сходимости) такие факторы как интервал времени между измерениями, оператор
считают постоянными, и они не влияют на изменчивость. В условиях
воспроизводимости все факторы: оператор; используемое оборудование, калибровка
оборудования, параметры окружающей среды (температура, влажность, загрязнение
воздуха и т.д.), интервал времени между измерениями считают переменными,
влияющими на изменчивость результатов измерений. Таким образом, повторяемость и
воспроизводимость представляют собой два крайних случая прецизионности, где
первый характеризует минимальную, а второй - максимальную изменчивость
результатов. Прочие промежуточные условия между этими двумя экстремальными
условиями прецизионности допустимы, когда один или несколько влияющих факторов
могут изменяться и использоваться при определенных обстоятельствах.
Прецизионность характеризуется величиной случайной погрешности.
С целью обеспечения корректности оценки точности измерений с 1993
года в качестве характеристики качества измерений используется понятие
неопределенности измерений, как более логически объективное отражение точности
измерения и её оценки. В развитие ГОСТ Р ИСО 5725-1, ГОСТ Р ИСО 5725-6, ГОСТ Р
ИСО ГОСТ 8.207 в РФ приняты ПМГ 96, РМГ 43, РМГ 91, Р 50.2.038, которыми раскрыт
порядок определения и применения неопределенности.
Неопределенность в зависимости от вида измерений может быть
представлена:
стандартной неопределенностью измерений по типу А - UА: Неопределенность результата измерений, выраженная в виде
среднего квадратического отклонения (по РМГ 43, отражающую уровень случайной
составляющей в измерении и их презиционность).
стандартной неопределенностью оцениваемую по типу В - UВ, (отражающую уровень неисключенной систематической
погрешности измерений и их уровень правильности), (по РМГ 43).
суммарная стандартная неопределенность uс
(измерений): Стандартная неопределенность результата измерений, равная
положительному квадратному корню суммы дисперсий (по РМГ 43).
расширенная неопределенность U (измерений):
Границы интервала, в пределах которого находится большая часть распределения
значений, которые могли бы быть приписаны измеряемой величине.
Методы и средства измерений принимают в соответствии с характером
объекта и измеряемых параметров из условия

, (19)
где 
- расчетная суммарная погрешность принимаемого метода и средства
измерения;

- предельная погрешность измерения.
Согласно ГОСТ 26433.0 предельную погрешность 
измерений определяют из условия

, (20)
где 
- допуск измеряемого геометрического параметра, установленный
нормативно-технической документацией на объект измерения;

- коэффициент, зависящий от цели измерений и характера объекта.
Для измерений, выполняемых при контроле точности изготовления и
установки элементов при СМР, а также при контроле точности разбивочных работ
принимают 
Для измерений, выполняемых в процессе производства разбивочных
работ, 
Предельные погрешности универсальных измерений линейных размеров
приняты в соответствии с ГОСТ 8.051, ГОСТ 26433.1 и РД 50-98-86.
2.3 Требования
к организация процесса измерения и применение характеристик качества измерений
при контроле точности геометрического параметра при строящихся зданий и
сооружений
Для обеспечения точности геометрического параметра при
строительстве зданий и сооружений подрядчику следует подготавливать,
организовывать, проводить, регистрировать процесс измерения, а также
использовать результат измерений и погрешность измерений при оценке
соответствия СМР требованиям проектной документации в порядке, показанном на
схеме процесса измерений геометрических параметров.
Для результатов измерений, фиксирующих значения
геометрического параметра на границе допускаемого интервала значений
относительно значения заданного проектом, вызвавших разногласие при приёмочном
контроле СМР или по требованию органов государственного надзора, подрядчику
следует установить в ППР, ППГР порядок проведения повторных прямых измерений
для определения погрешности измерения для конкретных полевых условий данной
строительной площадки по ГОСТ Р ИСО17123-1.
При получении результата измерения, свидетельствующего о несоответствии
геометрического параметра требованиям проектной документации, подрядчиком
вводятся изменения в ППР или ППГР и устанавливаются требования,
предусматривающие увеличение количества измерений или предусматривается
применение других, более точных средств измерений.
При наличии окончательного решения о соответствии или
несоответствии геометрического параметра после введения изменений в процесс
измерения, направленных на улучшение характеристик качества измерений,
подрядчику следует принимать решение об окончании процесса измерения данного
геометрического параметра.
Для уменьшения влияния систематических погрешностей на
результат измерения, следует проводить наблюдения в прямом и обратном
направлениях, на разных участках шкалы отсчетного устройства, меняя установку и
настройку прибора и соблюдая другие приемы, указанные в инструкции по
эксплуатации на средства измерения. При этом должны быть соблюдены условия
равноточности наблюдений.
Равноточность наблюдений обеспечивается выполнением
наблюдений одним наблюдателем, тем же методом, с помощью одного и того же
средства измерений и в одинаковых условиях воздействующей окружающей среды.
Перед началом наблюдений средства измерений следует
выдерживать на месте измерений до выравнивания температур этих средств и
окружающей среды, далее измерения проводят в соответствии с инструкцией по
эксплуатации.
Схема процесса измерений геометрических параметров.
Список
использованной литературы
1. СТО
017 НОСТРОЙ 2.1.94-2014 "Система измерений в строительстве"
2. ГОСТ
Р ИСО 5725-6-2002 Точность (правильность и прецизионность) методов и
результатов измерений.
3. ГОСТ 21779-82 Система
обеспечения точности геометрических параметров в строительстве. Технологические
допуски <http://protect.gost.ru/document.aspx?control=7&baseC=101&RegNum=12&DocOnPageCount=15&page=5&id=147361>
. ГОСТ 22268-76
Геодезия. Термины и определения
. ГОСТ 26433.2-94
Система обеспечения точности геометрических параметров в строительстве. Правила
выполнения измерений параметров зданий и сооружений
<http://protect.gost.ru/document.aspx?control=7&baseC=101&RegNum=12&DocOnPageCount=15&page=6&id=134067>