II. Задача 1
Вычислить напряжение на переходе при прямом включении при
заданной температуре и заданном токе. Выяснить влияние температуры на прямое
напряжение, увеличив температуру на указанное число градусов. Необходимые
данные взять из таблицы 1.
Решение
1. Из уравнения вольт-амперной характеристики диода:
найдём напряжение на p-n-переходе:
где, 
обратный ток насыщения

поправочный коэффициент

температурный потенциал
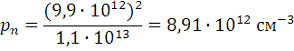
2. Определим

обратный ток насыщения диода. С учётом того, что 
, тепловой ток (обратный ток насыщения) при некоторой исходной температуре

будет равен:
где,

заряд электрона

площадь p-n-перехода

коэффициент диффузии дырок

средняя длинна диффузии дырок в n-области

концентрация неосновных носителей заряда
где,

концентрация электронов в собственном полупроводнике в условиях
термодинамического равновесия

концентрация
доноров
отсюда,
3. Вычислим
напряжение на переходе при прямом включении при заданном токе и температуре 
:
4. Выясним
влияние температуры на прямое напряжение, увеличив температуру на 60°, для чего
сначала определим обратный ток насыщения 
для новой температуры:
Из выражения
где

эффективная плотность состояний у дна зоны проводимости

ширина
запрещённой зоны, получим
Теперь найдем концентрацию электронов в собственном
полупроводнике при новой температуре:
отсюда концентрация неосновных носителе заряда равна
тогда тепловой ток при температуре 340°K будет равен
Вычислим напряжение на p-n-переходе при 
:
Вывод: С повышением температуры полупроводника,
уменьшается падение напряжение на p-n-переходе, при заданном прямом токе.
ВАХ диода при прямом смещении сложным образом
зависит от температуры, при малых токах характеристика смещается с ростом
температуры влево, а при больших токах (где падение напряжения на
полупроводниковых областях вне перехода увеличивается) ─ вправо (рис.1).
Рис.1
III. Задача 2
Определить сопротивление диода 
и дифференциальное сопротивление диода 
постоянному току при прямом включении. Ток и температура заданы в
таблице 1. Сопротивление обратному току 
вычислить для напряжения 
из таблицы 1 и тока 
полученного в задаче 1.
Решение
1. Вычислим
сопротивление диода прямому току:
2. Вычислим
дифференциальное сопротивление диода прямому току:
3. Вычислим
сопротивление диода обратному току:
IV. Задача 3
Определить ток идеализированного диода в цепи, представленной на
рисунке 2. Вычислить напряжение, соответствующее этому току, Определить
дифференциальное сопротивление 
диода при полученном напряжении и токе.
Диод включен в прямом направлении. Величину сопротивления 
, напряжение 
и температуру 
взять из таблицы 1.
Рис. 2
Решение
1. Рассчитаем
токи через диод при различных напряжениях, обратный ток насыщения 
возьмем из задачи 1:
Токи через диод при напряжениях от 200 до 350 милливольт
|
|
200
|
220
|
240
|
250
|
260
|
270
|
280
|
290
|
300
|
|
|
0,42
|
0,65
|
1,00
|
1,24
|
1,54
|
1,90
|
2,36
|
2,92
|
3,61
|
|
|
310
|
320
|
330
|
340
|
350
|
|
|
4,47
|
5,54
|
6,85
|
8,48
|
10,0
|
2. По полученным значениям построим ВАХ диода:
Рис. 3
3. Восстановим из точки пересечения ВАХ диода и
нагрузочной прямой нормали к осям координат, и найдем падение напряжения на
диоде и ток проходящий через диод (Рис.3).
4. Зададим
приращение напряжения 
и по графику определим соответствующее приращение тока (Рис.3),
откуда найдем дифференциальное сопротивление диода:
V. Задача 4
Определить параметры стабилизатора напряжения на основе
диода-стабилитрона. Справочные данные стабилитронов приведены в таблице 2.
Расчётная схема стабилизатора приведена на рисунке 4.
Определить:
─ Допустимые пределы изменения ограничительного
сопротивления при изменении питающего напряжения 
для указанных параметров схемы.
─ Коэффициент стабилизации для среднего значения
рассчитываемого параметра задачи 
.
─ Проверить, не превышает ли мощность рассеяния на диоде допустимую
при максимальном токе стабилизации 
.
Рис. 4
Решение
1. Определим сопротивление ограничительного
резистора:
где,
отсюда
Округлим до стандартного ─ 
2. Определим допустимые пределы изменения питающего
напряжения:
Таким образом, стабилизация выходного напряжения происходит не на
всём диапазоне напряжений источника питания 
, а только в диапазоне 
.
3. Определим
коэффициент стабилизации для среднего значения питающего напряжения:
4. Определим
изменение выходного напряжения стабилизатора при изменении температуры на 60°С:
5. Проверим,
не превышает ли выделяемая на стабилитроне мощность при максимальном токе
стабилизации допустимую мощность рассеяния:
Так как, выделяемая мощность при максимальном токе выше допустимой
мощность рассеяния, стабилитрон необходимо установить на соответствующий
радиатор.
VI. Задача 5
Определить форму напряжения на выходе схемы для прямого и
обратного включения диода. Вычислить значение максимального напряжения на
резисторе и диоде и максимальный ток через цепь. Вычертить в масштабе
напряжение на выходе и входе схемы с учётом уровня фиксации и ограничения
диодов.
Расчётная схема представлена на рисунке 5, во второй части
расчётов необходимо изменить полярность включения диода в схеме.
диод ток постоянный сопротивление
На входе схемы действует напряжение синусоидальной формы 
. В задании указано действующее значение напряжения. Параметры
диодов своего варианта взять из задач 1-3.
Для контроля правильности решения задачи проверить: 
для любого момента времени, где 
падение напряжения на резисторе.
Рис. 5
Решение
1. Определим
амплитуду входного напряжения:
2. Напряжение
на диоде и ток через него, при положительной полуволне на аноде и амплитудном
значении входного напряжения, найдем графическим методом:
Рис. 6
Напряжение на диоде 
Ток через диод 
3. Определим
максимальное значение напряжения на резисторе:
4. Ток в
схеме при отрицательной полуволне на аноде диода равен обратному току насыщения
диода:
, отсюда
5. Для
контроля правильности решения проверим равенство 
для любого момента времени:
6. При
изменении полярности включения диода в схеме срезаться будет положительная
полуволна входного напряжения, амплитудные значения напряжений и тока останутся
те же.
7. Построим
графики изменения напряжения на входе и выходе схемы:

Рис. 7
VII. Задача 6
Определить изменение барьерной ёмкости 
при изменении обратного напряжения 
.
Вычислить 
и построить характеристику зависимости 
не менее чем в 10 точках при изменении в указанном диапазоне.
Данные для расчёта взять из таблицы 4 для соответствующих вариантов.
Температуру для всех вариантов принять одинаковой 
. Постоянный коэффициент 
имеет размерность [пФ В1/2], поэтому при введении в
расчётную формулу напряжения в вольтах 
получается в пФ.
Решение
1. Определим
постоянный коэффициент 
:
Из уравнения
, найдём
, где
, отсюда
2. Определим
барьерную ёмкость при обратных напряжения
от 10 до 100 В с шагом в 10 В:
Барьерная ёмкость диода
|
|
10
|
20
|
30
|
40
|
50
|
|
|
9
|
6,4
|
5,2
|
4,5
|
4
|
|
|
60
|
70
|
80
|
90
|
100
|
|
|
3,7
|
3,2
|
3
|
2,8
|
|
|
|
|
|
|
|
3. Построим график зависимости барьерной ёмкости
диода от величины приложенного обратного напряжения:
Рис. 8
VIII.
Перечень используемой литературы
1. Паутов
В. И. Диоды и их применение: Методические указания по выполнению контрольной
работы по теме "Диоды и их применение" / В.И. Паутов. -
2. Екатеринбург:
УрТИСИ ФГОБУ ВПО "СибГУТИ", 2012 - 32 с. Радиоматериалы,
радиокомпоненты и электроника: Учебное пособие / К.С. Петров. - Спб.: Питер,
2003. - 512 с.: ил. ISBN 5-94723-378-9
. Прянишников
В. А. Электроника: Полный курс лекций. - 4-е изд. - Спб.: КОРОНА принт, 2004.
416 с., ил. ISBN 5-7931-0018-0