Проектирование линии связи на базе медных и волоконно-оптических линий связи
МІНІСТЕРСТВО
ОСВІТИ І НАУКИ УКРАЇНИ
Національний
аерокосмічний університет ім. М.Є. Жуковського
«Харківський
авіаційний інститут»
Кафедра
прийому, передачі та обробки сигналів
Пояснювальна
записка до курсової роботи
з дисципліни
«Лінії передачі»
«ПРОЕКТУВАННЯ
МЕРЕЖІ ЗВ’ЯЗКУ НА БАЗІ МІДНИХ І ВОЛОКОННО-ОПТИЧНИХ ЛІНІЙ ЗВ’ЯЗКУ
Виконав Гусельникова К.С.
Керівник доцент Абрамов С. К.
2012
Техническое задание
Разработать локальную сеть передачи данных с выходом в Интернет для
небольшого района города (от 5 до 10-ти многоквартирных домов) с общим
количеством абонентов (квартир) не менее 1 000 и скоростью подключения каждого
абонента 100 Мбит/с. Предполагается, что в одном из близлежащих зданий
располагается АТС, которая и предоставляет канал выхода в Интернет.
Основные этапы
. Этап 1. Выбор объектов (домов) для проектируемой системы связи
а) Выбрать на карте населенного пункта объекты для проектируемой
сети связи. Нанести на карту порядковые номера объектов в проектируемой сети.
б) Составить таблицу с характеристиками выбранных объектов:
порядковым номером, адресом, количеством этажей, количеством подъездов и общим
количеством абонентов (квартир).
. Этап 2. Определение оптимальной топологии проектируемой сети
связи
а) Разработать несколько (не менее двух) вариантов топологии
построения сети передачи данных, обеспечивающих подключение всех абонентов сети
к единому базовому коммутатору, который предоставляет выход в Интернет через
канал АТС. Абоненты в пределах одного дома подключаются к соответствующему
домовому коммутатору. Сигналы от нескольких домовых коммутаторов могут
объединяться при помощи промежуточных коммутаторов либо подключаться
непосредственно к базовому коммутатору.
б) Определить необходимые длины линий связи между домовыми и
промежуточными коммутаторами, а также между базовым коммутатором и АТС для
каждой из разработанных топологий. Если промежуточный и домовой коммутаторы
расположены в одном здании, длину линии считать равной 5м.
в) Определить необходимую скорость передачи для каждой линии связи:
на выходе домового коммутатора:
;
на
выходе промежуточного коммутатора
;
на
выходе базового коммутатора
,
где
- коэффициент использования абонентского канала
=0,2;
-
требуемая скорость для i-го абонента;
-
коэффициент использования канала домового коммутатора
=0,5;
-
требуемая скорость j-го домового коммутатора;
-
коэффициент использования канала промежуточного коммутатора
=0,8;
-
требуемая скорость k-го домового коммутатора;
-
требуемая скорость l-го домового коммутатора в случае его непосредственного
подключения к базовому.
г) Определить сумму произведений длины линии на требуемую скорость
передачи по ней для всех линии связи топологии сети:
.
Результаты
расчетов для каждой топологии свести в таблицу, где для каждой линии связи
указать ее длину, требуемую скорость передачи и параметр
.
д) Определить
оптимальный (по минимуму параметра
) вариант
топологии сети. В дальнейшем все расчеты производить для найденного
оптимального варианта топологии.
3. Этап 3. Выбор типа линии связи
а) Проверить возможность реализации каждой из линий связи сети на
основе витой пары категории 5е. Для этого рассчитать параметры защищенности (в
дБ) на ближнем и дальнем концах линии.
Критерием
реализуемости является одновременное выполнение условий
и
.
Таблица
1- Параметры разных категорий витых пар
|
Параметр
|
Категория витой пары
|
|
5е
|
6
|
7
|
|
62,372,399,4
|
|
|
|
|
809099,4
|
|
|
|
|
1,91081,821,80
|
|
|
|
|
0,02220,01690,01
|
|
|
|
|
0,20,250,2
|
|
|
|
|
60,864,891
|
|
|
|
|
72,180,187
|
|
|
|
|
202015
|
|
|
|
б) Аналогичным образом проверить возможность реализации каждой из
линий связи сети на основе витой пары категории 6 и 7.
в) Проверить возможность реализации каждой из линий связи сети на
основе оптоволокна согласно методике, приведенной в Приложении.
г) Принять решение о выборе типа каждой линии связи проектируемой
сети.
. Этап 4. Заключение
а) Краткая информация по выбранным объектам проектируемой сети.
б) Результаты выбора топологии проектируемой сети.
в) Результаты проверки реализуемости каждой линии связи.
г) Результаты выбора типа линий связи проектируемой сети.
Таблица 2- Расчет технических характеристик ВОЛС:
|
№
|
Параметры ВОЛС
|
Значения
|
|
1
|
Рабочая длина волны λ
|
1,55*10^3 нм
|
|
2
|
Количество муфт (количество сростков) nнс
|
0 нс
|
|
3
|
Погонное затухание α
|
0,25 дБ/км
|
|
4
|
Количество разъемных соединений npc
|
2
|
|
5
|
Потери на разъемных соединениях (сростках) Анс
|
0,2 дБ
|
|
6
|
Потери на разъемных соединениях Арс
|
0,2 дБ
|
|
7
|
Эксплуатационный запас для аппаратуры Аэза
|
10 дБ
|
|
8
|
Эксплуатационный запас для кабеля А эзк
|
3 дБ
|
|
9
|
Мощность источника оптического излучения Рвых
|
-15 дБм
|
|
10
|
Чувствительность приемника Рфnp
|
-25дБм
|
|
11
|
Длина волны нулевой дисперсии λ0
|
1310 нм
|
|
12
|
Наклон дисперсионной кривой S0
|
0.092 пс/нм2*км
|
|
13
|
Ширина спектра источника ∆
λ
|
0.1 нм
|
|
14
|
Коэффициент поляризационной модовой дисперсии DPMD
|
0.5 пс/км^1/2
|
Оглавление
Введение.
Выбор района города и домов для проектирования сети связи. Разработка двух
топологий сети. Проверка возможности реализации линий связи на медном
проводнике трех категорий: 5е, 6,7. Проверка реализации сети связи на
оптоволоконной линии связи
Заключение
Список
литературы
Введение
Сети связи следующего поколения (Next Generation
Network, NGN) перспективное направление развития телекоммуникаций в мире,
обеспечивающее передачу разнородной информации с различными требованиями к
качеству обслуживания на основе технологии коммутации пакетов. Монография
посвящена актуальным проблемам построения сетей NGN, а также развития моделей и
методов их исследования и проектирования. В монографии на основе анализа
архитектуры и телекоммуникационных технологий для построения сетей NGN
разработаны модели и методы: векторной (многокритериальной) оптимизации
построения (синтеза) сетей NGN; синтеза сетевых структур при обеспечении
требований устойчивости; исследования процессов функционирования узлов
коммутации при произвольных распределениях поступления и обслуживания заявок
различных классов качества (приоритетов); исследования процессов
функционирования узлов коммутации при обслуживании самоподобного трафика с
учётом классов качества; оптимизации пропускной способности каналов передачи.
Материал предназначен для студентов, аспирантов и преподавателей вузов связи, а
также для специалистов, занимающихся вопросами анализа и синтеза сетей NGN.
Одним из основных направлений является проектирование сетей и сооружений связи.
Современная реальность такова, что развитие отрасли телекоммуникаций идет
семимильными шагами. Развитие технологий, востребованность, конкуренция, создают
для этого все условия. То, что современно сегодня, может потерять свою
актуальность завтра. Применение передовых технологий и услуг по их внедрению
ставит компанию на шаг вперед по отношению к своим конкурентам.
Сейчас разрабатывают проекты на:
· МГ/МН
сети связи <#"803520.files/image024.jpg">
Рисунок 1.1- Карта выбранного района
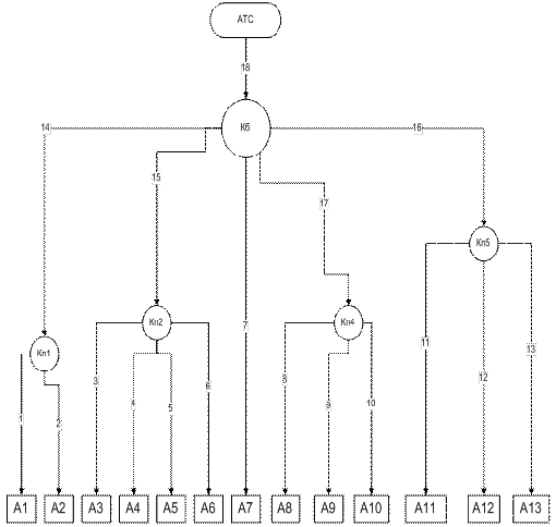
В курсовом проекте было предложено определить топологию сети, которая
построена исходя из карты, что видно на рисунке 1.2.
Рисунок 1.2- План разработки топологии сети связи
Привожу таблицу 1.1 со списком домов, выбранных для разработки сети
связи. АТС располагается в доме №7. В таблице указано количество абонентов
каждого дома. Общее количество абонентов равно 1572.
Таблица 1.1- Количество абонентов
|
№ дома
|
Адрес дома
|
Кол-во подъездов
|
Кол-во этажей
|
Кол-во квартир
|
B
|
|
1
|
ул. Роксоляни 31
|
10
|
5
|
150
|
3000
|
|
2
|
ул. Роксоляни 29
|
5
|
5
|
75
|
1500
|
|
3
|
ул. Роксоляни 28
|
4
|
5
|
60
|
1200
|
|
4
|
ул. Роксоляни 26
|
10
|
5
|
150
|
3000
|
|
5
|
ул. Роксоляни 24
|
5
|
5
|
75
|
1500
|
|
6
|
ул. Роксоляни 19
|
3
|
9
|
108
|
2160
|
|
7 АТС
|
ул. Роксоляни 9
|
5
|
9
|
180
|
3600
|
|
8
|
ул. Роксоляни 7
|
3
|
9
|
108
|
2160
|
|
9
|
ул. Воздушная 92
|
3
|
9
|
108
|
2160
|
|
10
|
ул. Воздушная 94
|
3
|
9
|
108
|
2160
|
|
11
|
ул. Роксоляни 25
|
10
|
5
|
150
|
3000
|
|
12
|
ул. Роксоляни 23
|
10
|
5
|
150
|
3000
|
|
13
|
ул. Роксоляни 21
|
10
|
5
|
150
|
3000
|
Далее были рассчитаны расстояния между домами, с использованием Яндекс
карты. Измерения проводились из соображений о том, что коммутаторы в домах
будут размещаться в центральных подъездах жилых домов.
Расстояния приведены в таблице 1.2.
Таблица 1.2- Расстояния между домами.
|
№дома
|
1
|
2
|
3
|
4
|
5
|
6
|
7 АТС
|
8
|
9
|
10
|
11
|
12
|
13
|
|
1
|
-
|
|
|
|
|
|
|
|
|
|
|
|
|
|
2
|
110
|
-
|
|
|
|
|
|
|
|
|
|
|
|
|
3
|
220
|
100
|
-
|
|
|
|
|
|
|
|
|
|
|
|
4
|
300
|
150
|
180
|
-
|
|
|
|
|
|
|
|
|
|
|
5
|
400
|
220
|
120
|
160
|
-
|
|
|
|
|
|
|
|
|
|
6
|
400
|
280
|
170
|
210
|
45
|
-
|
|
|
|
|
|
|
|
|
7 АТС
|
500
|
350
|
240
|
280
|
120
|
71
|
-
|
|
|
|
|
|
|
|
8
|
600
|
440
|
330
|
370
|
210
|
160
|
94
|
-
|
|
|
|
|
|
|
9
|
500
|
610
|
420
|
460
|
300
|
250
|
190
|
96
|
-
|
|
|
|
|
|
10
|
330
|
490
|
530
|
610
|
410
|
330
|
300
|
210
|
70
|
-
|
|
|
|
|
11
|
320
|
210
|
100
|
210
|
140
|
190
|
230
|
240
|
340
|
410
|
-
|
|
|
|
12
|
360
|
240
|
140
|
180
|
100
|
150
|
200
|
200
|
300
|
370
|
150
|
-
|
|
|
13
|
410
|
290
|
180
|
220
|
60
|
110
|
160
|
160
|
260
|
340
|
190
|
160
|
|
II. Разработка двух топологий сети
На втором этапе было предложено построить две топологии сети параллельно
и определить, какая из топологий лучше, исходя из суммарного параметра BL. При
этом, чем меньше параметр BL, тем лучшей будет топология сети.
на выходе домового коммутатора:
;
на
выходе промежуточного коммутатора
;
на
выходе базового коммутатора
,
где
- коэффициент использования абонентского канала
=0,2;
-
требуемая скорость для i-го абонента;
-
коэффициент использования канала домового коммутатора
=0,5;
-
требуемая скорость j-го домового коммутатора;
- коэффициент
использования канала промежуточного коммутатора
=0,8;
- требуемая скорость k-го домового коммутатора;
- требуемая скорость l-го домового коммутатора в
случае его непосредственного подключения к базовому.
Определение
суммы произведений длины линии на требуемую скорость передачи по ней для всех
линии связи топологии сети:
.
Разработка первой топологии сети связи.
Первая топология приводится на рисунке 2.1.
Рисунок
2.1- Топология первой сети связи.
Для этой топологии сети рассчитаны расстояния и скорости передачи данных
от домов до промежуточных коммутаторов, от промежуточных коммутаторов до
базового и от базового до АТС. В результате была вычислена сумма произведений
расстояний на скорости. Все вычисления в таблице 2.1
Таблица 2.1- расчет параметров для первой топологии сети связи
|
№ ЛС
|
L
|
B
|
LB
|
|
1
|
220
|
2850
|
627000
|
|
2
|
100
|
2850
|
285000
|
|
3
|
5
|
2850
|
|
4
|
160
|
2250
|
360000
|
|
5
|
5
|
2250
|
11250
|
|
6
|
71
|
3960
|
281160
|
|
7
|
5
|
3960
|
19800
|
|
8
|
94
|
3960
|
372240
|
|
9
|
5
|
2160
|
10800
|
|
10
|
210
|
2160
|
453600
|
|
11
|
190
|
4500
|
855000
|
|
12
|
160
|
4500
|
720000
|
|
13
|
5
|
4500
|
22500
|
|
14
|
120
|
4080
|
489600
|
|
15
|
5
|
4080
|
20400
|
|
16
|
260
|
5328
|
1385280
|
|
17
|
5
|
5328
|
26640
|
|
18
|
120
|
10694,4
|
1283328
|
|
19
|
160
|
10694,4
|
1711104
|
|
20
|
94
|
10694,4
|
1005273,6
|
|
21
|
5
|
25666,56
|
128332,8
|
|
|
Сумма LB
|
10082558,4
|
Расчет параметров для второй топологии сети связи.
Для второй топологии были произведены аналогичные расчеты.
Рисунок 2.2- Вторая топология сети связи
Таблица 2.2- Расчет параметров для второй топологии сети связи
|
№ ЛС
|
L
|
B
|
LB
|
|
1
|
110
|
2250
|
247500
|
|
2
|
5
|
2250
|
11250
|
|
3
|
170
|
3930
|
668100
|
|
4
|
210
|
3930
|
825300
|
|
5
|
45
|
3930
|
176850
|
|
6
|
5
|
3930
|
19650
|
|
7
|
5
|
3240
|
16200
|
|
8
|
96
|
3240
|
311040
|
|
9
|
210
|
3240
|
680400
|
|
10
|
190
|
4500
|
855000
|
|
11
|
160
|
4500
|
720000
|
|
12
|
5
|
4500
|
22500
|
|
13
|
350
|
11136
|
3897600
|
|
14
|
71
|
11136
|
790656
|
|
15
|
160
|
11136
|
1781760
|
|
16
|
94
|
11136
|
1046784
|
|
17
|
5
|
3600
|
18000
|
|
18
|
5
|
32198,4
|
160992
|
|
|
Сумма LB
|
12249582
|
Основываясь на результатах сумм быстродействия сетей, я сделала вывод,
что для разработки сети связи больше подойдет первая топология сети связи, с
которой в дальнейшем будут проводиться расчеты.
III. Проверка возможности реализации линий связи на медном
проводнике трех категорий: 5е, 6,7
Для наглядного представления предлагаю рисунки оговоренных ранее
проводников: на рисунке 3.1 изображена витые пары различных категорий: а)- пара
категории 5е, б) изображает витую пару категории 6, в) витая пара категории 7.


Рисунок 3.1 - Витые пары различных категорий
Для проверки реализации линий связи на медном проводнике были предложены
таблица 0.1 из раздела «Техническое задание» с параметрами проводников и
формулы (3.1 и 3.2) для расчета дополнительных параметров А0, АC0, С0, СC, В0,
В1, В2, k. Проверка возможности реализации каждой из линий связи сети на основе
витой пары категории 5е осуществляется расчётом параметров защищенности (в дБ)
на ближнем:
и
дальнем концах линии:
,
где
- длина линии в метрах;
- частота
информационного сигнала в МГц, определяется исходя из необходимой скорости
передачи:
(т.к. сигнал в кабеле передается одновременно по 4-м
витым парам),
- необходимая скорость передачи в Мбит/с;
,
,
,
,
,
,
,
-
параметры витой пары (см. таблицу 1);
-
количество разъемов в линии, на которых создается переходная помеха на ближнем
конце,
=2;
-
количество разъемов в линии, на которых создается переходная помеха на дальнем
конце,
=4.
Критерием
реализуемости является одновременное выполнение условий
и
.
При
помощи данных формул я определила параметры защищенности линий связи на ближнем
и дальнем концах. Все результаты были занесены в таблицу 3.2.
При
помощи таблиц Excel каждой линии связи были рассчитаны дополнительные
параметры. При положительных значениях рассчитанных параметров, можно сделать
вывод, подходит ли проводник для проектирования данной линии связи. Все расчеты
приведены в таблице 3.2.
Таблица
3.2- Выбор категорий линий связи
|
|
|
|
|
|
PS-ACR
|
|
|
|
|
|
N
|
L(м)
|
B(Мбит/с)
|
BxL
|
f
|
5E
|
6
|
7
|
5E
|
7
|
+/-
|
|
1
|
220
|
2850
|
2850
|
712,5
|
-137,06
|
-113,4
|
-76,4
|
-6
|
26,9
|
-
|
|
2
|
100
|
2850
|
2850
|
712,5
|
-56,8
|
-40,6
|
-10,2
|
-2,6
|
39,9
|
-
|
|
3
|
5
|
2850
|
2850
|
712,5
|
6,6
|
16,9
|
42,1
|
10,3
|
39,9
|
5Е
|
|
4
|
160
|
2250
|
2250
|
562,5
|
-80,4
|
-62,2
|
-30,6
|
-2,6
|
26,7
|
-
|
|
5
|
5
|
2250
|
2250
|
562,5
|
9,1
|
19,3
|
44,2
|
12,4
|
41,7
|
5Е
|
|
6
|
71
|
3960
|
3960
|
990
|
-51,2
|
-35,5
|
-4,8
|
-4
|
26
|
-
|
|
7
|
5
|
3960
|
3960
|
990
|
2,9
|
13,3
|
39
|
7,4
|
37,5
|
5Е
|
|
8
|
94
|
3960
|
3960
|
990
|
-70,1
|
-52,5
|
-20,1
|
-5,2
|
24,7
|
-
|
|
9
|
5
|
2160
|
2160
|
540
|
9,5
|
19,8
|
44,6
|
12,7
|
42
|
5Е
|
|
10
|
210
|
2160
|
2160
|
540
|
-106
|
-85,6
|
-52,1
|
-3,4
|
25,8
|
-
|
|
11
|
190
|
4500
|
4500
|
1125
|
-163,3
|
-136,2
|
-94,6
|
-9,4
|
20,7
|
-
|
|
12
|
160
|
4500
|
4500
|
1125
|
-136,6
|
-112,2
|
-73,2
|
-8,6
|
21,5
|
-
|
|
13
|
5
|
4500
|
4500
|
1125
|
1,4
|
11,8
|
37,8
|
6,3
|
36,5
|
5Е
|
|
14
|
120
|
4080
|
4080
|
1020
|
-93,6
|
-73,6
|
-39
|
-6,5
|
23,5
|
-
|
|
15
|
5
|
4080
|
4080
|
1020
|
2,5
|
12,9
|
38,7
|
7,2
|
37,3
|
5Е
|
|
16
|
260
|
5328
|
1332
|
-253,9
|
-216,9
|
-165,3
|
-12,2
|
18,1
|
-
|
|
17
|
5
|
5328
|
5328
|
1332
|
-0,6
|
9,8
|
36,1
|
4,9
|
35,2
|
6
|
|
18
|
120
|
10694,4
|
10694,4
|
2673,6
|
-192,2
|
-159,5
|
-109
|
-14,9
|
16,1
|
-
|
|
19
|
160
|
10694,4
|
10694,4
|
2673,6
|
-255,4
|
-215,2
|
-157,3
|
-16,1
|
14,9
|
-
|
|
20
|
94
|
10694,4
|
10694,4
|
2673,6
|
-151
|
-123,3
|
-78,3
|
-13,8
|
17,2
|
-
|
|
21
|
5
|
25666,6
|
128332,8
|
6416,64
|
-26,4
|
-26,4
|
15,9
|
-8,7
|
23,2
|
7
|
. Проверка реализации сети связи на оптоволоконной
линии связи
Волоконно-оптическая
связь находит всё более широкое применение во всех областях - от компьютеров
<#"803520.files/image039.jpg">
Рисунок
4.1
При
передаче сигналов по ВОЛС используются методы ИКМ, в результате чего
передаваемая информация представляется в виде двоичных кодов - битов 1 и 0,
причем 1 соответствует высокому уровню мощности, а 0 - низкому. Модулированный
сигнал передается по ОВ импульсами с длительностью
и скоростью передачи
бит/с. В
процессе распространения вследствие дисперсии происходит «размывание»
импульсов, т.е. увеличение их длительности. Если длительность
полученных приемником импульсов превысит битовый
интервал, то произойдет наложение соседних импульсов друг на друга, что вызовет
межсимвольную интерференцию. Следовательно, приемник не сможет распознать
отдельные импульсы, и в результате этого увеличится коэффициент битовых ошибок
BER. Битовый интервал
связан со скоростью передачи сигналов
соотношением:
.(1)
Таким
образом, для нормального функционирования ВОЛС необходимо: обеспечить
длительность полученного импульса
, не
превышающую исходный битовый интервал; обеспечить полученную мощность равную
чувствительности приемника
или
ввести запас, превышающий
. Вот почему при проектировании ВОЛС с большей
скоростью передачи важнейшими техническими характеристиками являются дисперсия
и затухание ОВ. Расчет поляризационной модовой дисперсии
Поляризационная модовая дисперсия рассчитывается из выражения:
,(2)
локальный
сеть связь поляризационный
где
L - протяженность оптической линии связи (км),
-
коэффициент PMD оптического волокна (пс/км1/2). Расчет хроматической
дисперсии Предельное значение коэффициента хроматической дисперсии с учетом
диапазона длин волн нулевой дисперсии определяется из выражения:
(3)
где:
- длина волны несущей, нм;
- наклон дисперсионной кривой, пс/нм2/км;
- длина волны нулевой дисперсии, нм.
Отсюда
можно рассчитать значение хроматической дисперсии:
,
где
- ширина спектра источника, нм.
С
учетом поляризационной модовой дисперсией результирующая дисперсия будет
определяться из выражения:
пс.
Начальная
длительность импульсов определяется из выражения:
.(4)
Конечная
длительность импульса выражается через его начальную длительность
соотношением:
.(5)
Критерием
реализуемости ВОЛС является выполнение условия, что максимальная величина
уширения импульсов не должна превосходит половины ширины битового интервала, т.е.:
.(6)
Расчет энергетического бюджета Затухание оптоволоконной линии с учетом
потерь на разъемных соединениях и сростках определяется по формуле:
(7)
где
и
-
значение потерь на сростке и разъеме соответственно,
и
-
количество сростков и разъемных соединений на протяжении оптоволоконной линии
длиной L,
- погонное затухание оптического волокна, измеряемый
в дБ/км.
Тогда
энергетический бюджет рассчитывается по формуле:
(8)
где
и
-
мощность источника оптического излучения и чувствительность фотоприемника в дБм
соответственно;
и
-
эксплуатационный запас для аппаратуры и для кабеля, (дБ).
Критерием
реализуемости ВОЛС является положительное значение энергетического бюджета
. В таблице 4.1 представлены результаты расчетов
битового интервала Т0, рассчитанного по формуле 4.1. В таблице 4.2- расчеты
поляризационной модовой дисперсии τPMD, хроматической дисперсии τchr пс и результирующей τрез, для
вычисления которых применялись формулы 4.2 , 4.3 и 4.4 соответственно. А так же
начальной длительности импульсов и конечной длительности импульсов. В таблице
4.3 представлен расчет энергетического бюджета ВОЛС. Энергетический бюджет
рассчитывается по формуле 4.5, составляющая которой А- затухание оптоволоконной
линии с учетом потерь на разъемных соединениях и сростках определяется по
формуле 4.6.
Таблица
4.1- Расчет битового интервала
|
N
|
L(м)
|
L(км)
|
B(Мбит/с)
|
T(0) пс
|
корень(L)
|
|
1
|
220
|
0,22
|
2850
|
350,8
|
0,4690
|
|
2
|
100
|
0,1
|
2850
|
350,8
|
0,3162
|
|
3
|
5
|
0,005
|
2850
|
350,8
|
0,0707
|
|
4
|
160
|
0,16
|
2250
|
444,4
|
0,4
|
|
5
|
5
|
0,005
|
2250
|
444,4
|
0,0707
|
|
6
|
71
|
0,071
|
3960
|
252,5
|
0,2664
|
|
7
|
5
|
0,005
|
3960
|
252,5
|
0,0707
|
|
8
|
94
|
0,094
|
3960
|
252,5
|
0,3065
|
|
9
|
5
|
0,005
|
2160
|
462,9
|
0,0707
|
|
10
|
210
|
0,21
|
2160
|
462,9
|
0,4582
|
|
11
|
190
|
0,19
|
4500
|
222,2
|
0,4358
|
|
12
|
160
|
0,16
|
4500
|
222,2
|
0,4
|
|
13
|
5
|
0,005
|
4500
|
222,2
|
0,0707
|
|
14
|
120
|
0,12
|
4080
|
245
|
0,3464
|
|
15
|
5
|
0,005
|
4080
|
245
|
0,0707
|
|
16
|
260
|
0,26
|
5328
|
187,6
|
0,5099
|
|
17
|
5
|
0,005
|
5328
|
187,6
|
0,0707
|
|
18
|
120
|
0,12
|
10694,4
|
93,5
|
0,3464
|
|
19
|
160
|
0,16
|
10694,4
|
93,5
|
0,4
|
|
20
|
94
|
0,094
|
10694,4
|
93,5
|
0,3065
|
|
21
|
5
|
0,005
|
25666,6
|
38,9
|
0,0707
|
Таблица 4.2- Расчет поляризационной модовой дисперсии
|
N
|
тау PMD пс
|
тау chr пс
|
тау рез пс
|
тау 0 пс
|
Тау пс
|
T0/2пс
|
|
1
|
0,2345
|
0,3841
|
0,4500
|
87,71
|
87719298
|
175,43
|
|
2
|
0,1581
|
0,1746
|
0,2355
|
87,71
|
87719298
|
175,43
|
|
3
|
0,0353
|
0,008
|
0,0364
|
87,71
|
87719298
|
175,43
|
|
4
|
0,2
|
0,279
|
0,343
|
111,11
|
1,11E+08
|
222,22
|
|
5
|
0,0353
|
0,008
|
0,0364
|
111,11
|
1,11E+08
|
222,22
|
|
6
|
0,1332
|
0,123
|
0,1819
|
63,13
|
63131313
|
126,26
|
|
7
|
0,0353
|
0,008
|
0,0364
|
63,13
|
63131313
|
126,26
|
|
8
|
0,1532
|
0,164
|
0,2245
|
63,13
|
63131313
|
126,26
|
|
9
|
0,0353
|
0,008
|
0,0364
|
115,74
|
1,16E+08
|
231,48
|
|
10
|
0,2291
|
0,366
|
0,4323
|
115,74
|
1,16E+08
|
231,48
|
|
11
|
0,2179
|
0,3317
|
0,3969
|
55,55
|
55555556
|
111,11
|
|
12
|
0,2
|
0,279
|
0,343
|
55,55
|
55555556
|
111,11
|
|
13
|
0,0353
|
0,008
|
0,0364
|
55,55
|
55555556
|
111,11
|
|
14
|
0,1732
|
0,2095
|
0,2718
|
61,27
|
61274510
|
122,54
|
|
15
|
0,0353
|
0,008
|
0,0364
|
61,27
|
61274510
|
122,54
|
|
16
|
0,2549
|
0,4539
|
0,5206
|
46,92
|
46921922
|
93,84
|
|
17
|
0,0353
|
0,008
|
0,0364
|
46,92
|
46921922
|
|
18
|
0,1732
|
0,2095
|
0,2718
|
23,37
|
23376721
|
46,75
|
|
19
|
0,2
|
0,279
|
0,3435
|
23,37
|
23376721
|
46,75
|
|
20
|
0,1532
|
0,164
|
0,2245
|
23,37
|
23376721
|
46,75
|
|
21
|
0,0353
|
0,008
|
0,0364
|
9,74
|
9740300
|
19,48
|
Таблица 4.3- Расчет энергетического бюджета
|
N
|
L(м)
|
затух. Дб
|
Эн. Бюд. Дб
|
|
1
|
220
|
0,45
|
3,54
|
|
2
|
100
|
0,42
|
3,57
|
|
3
|
5
|
0,40
|
3,59
|
|
4
|
160
|
0,44
|
3,56
|
|
5
|
5
|
0,40
|
3,59
|
|
6
|
71
|
0,41
|
3,58
|
|
7
|
5
|
0,40
|
3,59
|
|
8
|
94
|
0,42
|
3,57
|
|
9
|
5
|
0,40
|
3,59
|
|
10
|
210
|
0,45
|
3,54
|
|
11
|
190
|
0,44
|
3,55
|
|
12
|
160
|
0,44
|
3,56
|
|
13
|
5
|
0,40
|
3,59
|
|
14
|
120
|
0,43
|
3,57
|
|
15
|
5
|
0,40
|
3,59
|
|
16
|
260
|
0,46
|
3,53
|
|
17
|
5
|
0,40
|
3,59
|
|
18
|
120
|
0,43
|
3,57
|
|
19
|
160
|
0,44
|
3,56
|
|
20
|
94
|
0,42
|
3,57
|
|
21
|
5
|
0,40
|
3,59
|
Заключение
В основе курсового проекта лежала разработка сети связи. Стояла цель
обеспечить абонентов качественным скоростным интернетом, и эта цель была
достигнута.
На
первом этапе проектирования телекоммуникационных сетей чаще всего необходимо
уточнить планируемые показатели их работы, в том числе: - пропускную
способность сети, ее надежность и управляемость; -параметры оказываемых услуг
<http://www.svyaz-info.ru/konsalting/licenzii-svjazi/>; - требования к
технологии, протоколам и политике маршрутизации, системам управления и
интерфейсам.
В
результате этого анализа инженер компании вместе с заказчиком составляет
подробное техническое задание на проектирование сети связи. Именно оно
определяет структуру будущего проекта сети связи, однако неотъемлемыми
элементами всегда остаются следующие пункты:
●
организация присоединения проектируемой сети к существующей сети или
вышестоящему оператору; ● строительство линейно-кабельных сооружений
любых типов: волоконно-оптических
<http://www.svyaz-info.ru/proektirovanie/volokonno-opticheskie-linii-svjazi-vols/>,
медных, прокладываемых по опорам, зданиям, канализациям, траншеям и т.д.; ●
электропитание и заземление станционного оборудования; ● размещение
объектов сети; ● расчет качественных показателей сети связи.
Необходимо
соблюдать технические условия, разрешения, согласования, сертификаты и
декларации соответствия на проектируемое оборудование.
Сети
связи могут значительно отличаться друг от друга как своими масштабами, так и
структурой. Вот почему стоимость и срок выполнения такого рода работ мы можем
оценить только после постановки задачи. При этом на участках между этими
источниками возможна организация передачи сигналов синхронизации в прямом и
обратном направлениях. Именно этот принцип позволяет избегать образования
петель синхронизации. Также стоит отметить, что для упрощения работы со
сложными сетями стоит ограничиваться двумя, максимум тремя приоритетами (т.е
направлениями) для передачи синхросигналов. В противном случае очень сложно
гарантировать отсутствие возможности образования петель синхронизации, а, кроме
того, значительно усложнится процесс проверки сети при проведении аудита.
Список литературы
Гроднев И.И.,
Верник С.М. Линии связи: Учебник для ВУЗов. - 5-е изд., перераб. и доп. - М.:
Радио и связь, 1988. - 544 с.
Фриман Р.
Волоконно-оптические системы связи. - 2-е изд., доп. - М.: Техносфера, 2004. -
496 с.