Передатчик для станций РЛС в определенной полосе частот, с выходной мощностью 7 Вт
Введение
Радиолокационная станция (РЛС) или рада́р (англ. radar от RAdio Detection And
Ranging - радиообнаружение и дальнометрия) - система для обнаружения воздушных,
морских и наземных объектов, а также для определения их дальности и
геометрических параметров. Использует метод, основанный на излучении радиоволн
и регистрации их отражений от объектов.
Радиолокационные станции (радары) обычно работают в диапазонах метровых,
дециметровых, сантиметровых и миллиметровых волн. Наиболее простые радары -
некогерентные радиолокационные станции (РЛС). Длительность импульсов составляет
10-7 - 10-6с. Передатчики строятся по одноканальной схеме, в которой генератор
СВЧ колебаний непосредственно связан с антенной системой и модулируется подачей
анодного напряжения с модулятора.
Качественно иным является передатчик когерентного типа. Главным
требованием, предъявляемым к таким передатчикам, является высокая стабильность
частоты. Это достигается использованием в качестве задающего генератора
относительно низкой частоты. Затем происходит умножение частоты в
полупроводниковых умножителях, усиление и модуляция сигнала.
В радиолокационных передатчиках с внутриимпульсной частотной модуляцией
модуляцию осуществляют на низкой частоте.
В последние годы начали интенсивно развиваться теория
и техника формирования сложных сигналов, в частности частотно-модулированных
сигналов, которые играют решающую роль в системах радиолокации и гидролокации,
радиосвязи, радионавигации и др. Исторически первыми стали применяться
занимающие сейчас особое место радиосигналы с линейной частотной модуляцией
(ЛЧМ), позволяющие обеспечить большие (до нескольких гигагерц) полосы частот и
широкий интервал длительностей.
Для формирования ЛЧМ сигналов вследствие значительного разнообразия
требований к параметрам и точности их реализации используются различные
устройства - от пассивных с дисперсионными линиями задержки и управляемых
автогенераторов до прецизионных синтезаторов с несколькими системами
автоподстройки. Поэтому необходимо обобщить опыт теоретического и
экспериментального исследования таких устройств и помочь разработчикам в выборе
требований к сложным сигналам, понять особенности формирования и обработки
составных, ступенчатых и нелинейных ЧМ сигналов, правильно ориентироваться в
методах уменьшения искажений, возникающих при усилении сигналов и излучении с
помощью крупноапертурных фазированных решеток.
Цель данной работы разработать передатчик для станций РЛС в определенной
полосе частот, с выходной мощностью 7Вт.
1.
Анализ предметной области
К сложным сигналам относят радиосигналы, параметры которых изменяются в
течение импульса или периода повторения по определенному, детерминированному
закону, так что база сигнала - произведение девиации частоты W на длительность
. Выбор конкретного сигнала
определяется его назначением. Частотно-модулированные (ЧМ) сигналы широко
применяются во многих областях техники: радиолокации, радионавигации, системах
связи (в том числе космических), радиоизмерениях и т. д. Использование сложных
сигналов в радиолокации обеспечивает высокую разрешающую способность и по
дальности, и по скорости, позволяет существенно повысить информативность
радиосистем.
Чаще всего используются ЛЧМ сигналы, которые имеют определенные
преимущества перед другими сложными сигналами: возможность достижения больших
девиаций частоты (1 ГГц и более) и значительной скорости перестройки;
сравнительная простота изменения формы огибающей ЧМ сигнала и скорости
частотной модуляции для улучшения параметров сжатого сигнала, простота оценки,
измерения и коррекции искажений. На рис.1 изображен вид ЛЧМ сигнала.
Рисунок
1- Вид ЛЧМ сигнала
Они используются в качестве базовых при формировании непрерывных ЧМ
сигналов треугольной, пилообразной или зигзагообразной формы, либо сигналов с V-, М-образной ЧМ, импульсных
последовательностей, а также сигналов, разнесенных по спектру. Эти сигналы при
надлежащем выборе их параметров обеспечивают высокую разрешающую способность
одновременно по дальности и скорости, сохраняя при этом все достоинства ЛЧМ
сигналов. Благодаря отмеченным преимуществам, а также тому, что методы и
устройства обработки ЛЧМ сигналов и сигналов, построенных на их основе, хорошо
разработаны, эти сигналы привлекают внимание специалистов многих отраслей
техники.
Кроме сигналов с линейным (или кусочно-линейным) законом ЧМ используют
сигналы с нелинейным законом ЧМ. Это позволяет уменьшить отношение сигнал-шум
или повысить разрешающую способность и по дальности, и по скорости. Сигналы с
дискретной ЧМ применяются в системах связи, радиолокации и часто используются
как сигналы, аппроксимирующие требуемый (линейный или нелинейный) закон
изменения частоты.
Частотно-модулированные сигналы нашли применение в различных областях
радиотехники, так как они обеспечивают высокую помехоустойчивость, точность
измерения параметров облучаемых объектов, возможность работы ниже уровня шумов
и др. В качестве примера можно назвать гидролокаторы, системы электрического
сканирования диаграммы направленности антенн в РЛС, ультразвуковые локаторы,
применяемые слепыми н при исследовании работы сердца, анализаторы спектра,
рефлектометры и т.п. Большое внимание уделяется устройствам, в которых, с
помощью ЛЧМ сигналов осуществляются различные частотно-временные преобразования
входного сигнала. Использование этих устройств, например, для растяжения
временного масштаба в ряде случаев позволяет снизить стоимость приемной
аппаратуры и применить менее быстродействующие аналого-цифровые преобразователи
(АЦП).
2. Выбор и обоснование структурной схемы
2.1
Обобщенная структурная схема
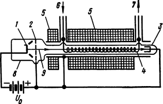
Обобщенная структурная схема современного передатчика показана на рисунке
3.
Рисунок
3 - Обобщенная структурная схема современного радиопередатчика
Рассмотрим назначение отдельных элементов. Задающий генератор (или
возбудитель) 1 генерирует высокостабильные колебания в заданном диапазоне
частот. Далее эти колебания усиливаются в предварительных каскадах 2 и
поступают на оконечный усилитель мощности 3. Усилитель мощности 3 обеспечивает
на выходе антенны (или фидера) заданную мощность ВЧ колебаний. Антенная система
4 излучает ВЧ колебания в пространство. Для управления ВЧ колебаниями служит
модуляционное (или манипуляционное) устройство 5. Если передатчик работает с
амплитудной модуляцией, то модуляционное устройство воздействует на оконечный
или предоконечный каскады. Если передатчик работает с частотной модуляцией
(манипуляцией), то модуляция (манипуляция) осуществляется в задающем генераторе
1. Устройство контроля 7 поддерживает заданный тепловой режим передатчика, а
также дает информацию о режиме работы передатчика и обеспечивает его включение и
выключение, безопасность обращения с ним обслуживающего персонала. Источники
питания 6 необходимы для подачи заданных напряжений на транзисторы передатчика.
Одним из основных элементов современного возбудителя радиопередатчика
является синтезатор частот, который во многом определяет параметры всего
возбудителя в целом.
2.2 Анализ
способов формирования ЛЧМ сигнала
Для формирования ЛЧМ сигналов вследствие значительного разнообразия
требований к параметрам и точности их реализации используются различные устройства
- от пассивных с дисперсионными линиями задержки и управляемых автогенераторов
до прецизионных синтезаторов с несколькими системами автоподстройки. Рассмотрим
некоторые из них[1].
) Формирование ЛЧМ сигнала пассивным методом.
Основным узлом устройства формирования ЛЧМ сигнала пассивным методом
(рис. 4) является дисперсионная ЛЗ, обычно выполняемая на пластине из
пьезодиэлектрика, в котором с помощью встречно-штыревых преобразователей
возбуждается ПАВ.
Рисунок
4 - Структурная схема устройства формирования ЛЧМ сигналов пассивным методом
При конструировании дисперсионных ЛЗ возникают трудности из-за генерации
объемных волн, отражений от краев пластины и концов штырей, из-за неточности
изготовления преобразователей. В результате оказываются ограниченными
максимальная база, центральная частота и ширина полосы формируемого сигнала.
По ряду параметров лучшими являются дисперсионные ЛЗ на отражательных
решетках, нанесенных в виде рисок или канавок на поверхности пластины (которая
может и не быть пьезоэлектрической). В таких устройствах дефекты изготовления
сказываются слабее. Для компенсации фазовых отклонений в отражательных решетках
на пути распространения ПАВ помещают профилированную металлическую пленку,
ширину которой подбирают опытным путем. В дисперсионных ЛЗ часто применяют
коррекцию огибающей, позволяющую уменьшить уровень боковых лепестков сжатого
сигнала. Для этого изменяют длину перекрытия штырей в преобразователе, длину
или глубину канавок в отражательных решетках и др.
Известны устройства пассивного формирования ЛЧМ сигналов в СВЧ диапазоне
с помощью дисперсионных радиоволноводов или антенных устройств. Разработаны
методы расчета профиля волновода или расположения, элементов антенны, чтобы
закон внутриимпульсной ЧМ выходного сигнала был близок к заданному.
) Формирование ЛЧМ сигналов в управляемых по частоте
автогенераторах. На рис. 5 изображена структурная схема функционального
генератора.
Рисунок
5 - Структурная схема функционального генератора
Автогенераторы электромагнитных колебаний, управляемые по частоте
напряжением, находят широкое применение в различных диапазонах от инфранизких
до сверхвысоких частот, а также в оптическом диапазоне; они весьма разнообразны
по используемым активным элементам и по параметрам. Рассмотрим некоторые
типы генераторов, управляемых по частоте напряжением, с точки зрения
использования их для формирования ЛЧМ сигналов.
Таблица 1 - Характеристики управляемых по частоте генераторов
) Формирование ЛЧМ сигналов с помощью фазовых модуляторов
Сигналы с ЛЧМ можно формировать с помощью управляемого фазового
модулятора (УФМ), подавая в качестве управляющего напряжение такой формы, чтобы
фаза выходного сигнала менялась во времени по квадратичному закону.
Устройства фазовой модуляции выполняются дискретными (например, в виде
переключателя фазы со сглаживающим фильтром) и непрерывными. В качестве УФМ
используют ЛБВ, усилительный клистрон, фазовращательную ЛБВ и т. д. Удачным
решением является применение управляемой линии задержки в виде; индуктивности с
отводами, к которым подключены варикапы, так что входное сопротивление УФМ
имеет емкостный характер. Эта цепь используется для интегрирования линейно
меняющегося входного сигнала. Широко применяются УФМ, в которых управление
происходит за счет изменения емкости диода, включенного в отрезок волновода, в
резонансный контур промежуточной частоты или в отвод линии задержки. Устройства
фазовой модуляции отличаются малыми массой и габаритами, высокой надежностью,
тепловой и радиационной стойкостью.
Для уменьшения требуемой девиации фазы можно использовать также умножение
частоты в последующих каскадах. Однако при фильтрации нужной гармоники ЛЧМ
сигнала в умножителе частоты предъявляются жесткие требования к линейности
фазочастотной характеристики фильтра в пределах полосы.
2.3 Выбор и
обоснование структурной схемы
На основе анализа основных способов формирования ЛЧМ сигналов и
технического задания выбираем пассивный метод формирования. Существенным
преимуществом устройств пассивного формирования является возможность
использования одинакового, а иногда одного и того же фильтра как для
формирования, так и для сжатия сигнала. Этим обеспечивается согласование
сигнала и фильтра даже при неточном соблюдении линейного закона ЧМ. Таким
устройствам свойственны высокая частотно-временная стабильность генерируемых
ЛЧМ сигналов, надежность. Также данный способ формирования характеризуется
простотой реализации.
На основе структурной схемы устройства формирования ЛЧМ сигналов
пассивным методом (рис. 6) составим эскиз структурной схемы проектируемого
передатчика.

Рисунок
6 - Структурная схема передатчика РЛС
3. Эскизный
расчет устройства, выбор элементной базы, синтез функциональной схемы
Эскизный расчет устройства заключается в определении структуры и основных
характеристик отдельных блоков, необходимых для обеспечения требований задания,
типов функциональных узлов и каскадов, их числа.
На основе структурной схемы передатчика (рис. 6) и технического задания
определим структуру и основные характеристики отдельных блоков.
3.1 Генератор импульсов
Вариант
простейшего генератора (мультивибратора) показан на рис. 7а. Схема имеет два
динамических состояния. В первом из них, когда на выходе D1.1 состояние лог.
"1" (выход D1.2 лог. "0"), конденсатор С1 заряжается. В
процессе заряда напряжение на входе инвертора D1.1 возрастает, и при достижении
значения Uпор=0,5Uпит происходит скачкообразный переход во второе динамическое
состояние, в котором на выходах D1.1 лог. "0", D1.2 - "1".
В этом состоянии происходит перезаряд емкости (разряд) током обратного
направления. При достижении напряжения на С1 Unop происходит возврат схемы в
первое динамическое состояние <#"802890.files/image008.gif">
Рисунок
7 - Генератор импульсов на двух инверторах
передатчик сигнал генератор импульс
При стабилизированном питании, изменение длительности импульсов
мультивибраторов и частоты в генераторах на RC-цепях обычно не лучше 1% на 15°С
(в случае применения термостабильных конденсаторов). Большую стабильность
частоты можно получить, используя кварцевую стабилизацию. На рис. 8 приведены
типовые схемы построения таких генераторов. Для небольшой подстройки частоты
иногда последовательно с кварцевым резонатором устанавливают конденсатор
10...100 пФ. Частота импульсов и их стабильность в этом случае у генератора
задается параметрами кварцевого резонатора.
Рисунок
8 - Схемы, обеспечивающие повышенную стабильность частоты при изменении
окружающей температуры в широком диапазоне
Выбираем схему с кварцевой стабилизацией на рисунке 8(б), так как данная
схема обеспечивает высокую стабильность.
3.2 Делитель
частоты
Так как частота импульсов генератора задается параметрами кварцевого
резонатора, то необходим кварцевый резонатор с частотой 1,3 кГц. Но так как
таких резонаторов нет, выберем резонатор большей частоты и применим делитель
частоты. Делитель выполним на основе счетчика. Счетчики могут выполнят функции
делителей частоты, т. е. устройств, формирующих из импульсной
последовательности с частотой fвх импульсную последовательность на выходе,
последнего триггера с частотой fвых, в К раз меньшую входной. При таком
использовании счетчиков нет необходимости знать, какое число в нем записано в
настоящий момент, поэтому делители в некоторых случаях могут быть значительно
проще счетчиков. Микросхема К155ИЕ1, например, представляет собой делитель на
10 (рис.9).
Рисунок
9 - Делитель на счетчике К155ИЕ1
Применим в задающем генераторе резонатор кварцевый герметизированный
РГ-01 УВ-7ДШ-190К РЦ3.382.386 ТУ на частоту 130 кГц, с точностью настройки ±
20·10-6 для работы в интервале температур -60…+85, с максимальным изменением
частоты ± 300·10-6. Для обеспечения выходной частоты 1,3 кГц применим делитель
на двух микросхемах К155ИЕ1 с общим коэффициентом деления 100.
.3 Формирователь импульсов
При реализации цифровых устройств различного назначения часто необходимо
сформировать короткие импульсы по фронтам входного сигнала. В частности, такие
импульсы используют для сброса счетчиков в качестве импульсов синхронизации при
записи информации в регистры и т. д. На рисунке 10 изображены схема и временные
диаграммы формирователя коротких отрицательных импульсов по положительному
перепаду напряжения на его входе. При изменении напряжения Uвх от низкого
уровня до высокого этот перепад без задержки поступает на вход 13 элемента
DD1.4. В то же время на входе 12 элемента DD1.4 напряжение высокого уровня
сохраняется, в течение времени распространения сигнала через элементы
DD1.1-DD1.3 (около 75 нc). В результате в течение этого времени на выходе устройства
сохраняется напряжение низкого уровня. Затем на входе 12 устанавливается
напряжение низкого уровня, а на выходе устройства - высокого. Таким образом,
формируется короткий отрицательный импульс, фронт которого совпадает с фронтом
входного напряжения. Чтобы такое устройство использовать для формирования
отрицательного импульса по срезу входного сигнала, его надо дополнить еще одним
инвертором.
Рисунок
10 - Формирователь импульсов
На рисунке 10 изображены схема и временная диаграмма работы формирователя
импульсов по фронту и срезу входного сигнала. Длительность каждого
сформированного импульса равна tи1=tи2=nt1, где n - четное число элементов,
участвующих в задержке сигналов.
Широкое распространение получил формирователь коротких импульсов, схема и
временная диаграмма работы которого изображены на рисунке 11. При напряжении
низкого уровня на входе устройства конденсатор С1 заряжается через резисторы R1
и R2. При этом напряжение на выходе устройства имеет низкий уровень. При
появлении на входе формирователя напряжения высокого уровня конденсатор С1
начинает разряжаться через резистор R2. До тех пор, пока напряжение на
конденсаторе не уменьшится до низкого уровня, на обоих входах элемента DD1.2, а
следовательно, и на выходе формирователя присутствуют напряжения высоких
уровней. Как только напряжение на конденсоре станет меньше 0,4 В, уровень на
выходе формирователя изменяется. Длительность импульса пропорциональна
постоянной времени разрядки конденсатора и равна tи=3R2∙С1.
Рисунок
11 - Формирователь импульсов
В
нашем передатчике РЛС будем использовать схему на логических элементах «И»,
схема которого приведена на рисунке 12.
Рисунок
12 - Схема формирователя импульсов на логических элементах «И»
3.4
Дисперсионная линия задержки
.4.1 Характеристика устройств на поверхностных акустических волнах (ПАВ)
Среди акустоэлектронных устройств широкое распространение получили
устройства на поверхностных акустических волнах (ПАВ). Такие преимущества, как
высокая надежность, малые масса и размеры, отсутствие энергопотребления,
возможность выполнения различных операций обработки сигналов, реализация
заданных технических характеристик, с высокой точностью обеспечивают широкое
применение и массовую потребность в этих устройствах, и, прежде всего, рынком
современных коммерческих средств связи. Носителем информации в устройствах на
ПАВ являются волны, у которых энергия упругих колебаний сосредоточена в тонком
приповерхностном слое твердого тела. В качестве среды распространения
используются пьезоэлектрические монокристаллы. Для преобразования электрических
сигналов в акустические и обратно, а также для отражения и изменения траектории
распространения акустических волн используются металлические структуры,
нанесенные на поверхность пьезоэлектрической подложки. Возбуждение и прием
акустических волн осуществляется с помощью входного и выходного
преобразователей ПАВ, число электродов которых может быть различным (от единиц
до нескольких тысяч).
Внешний вид устройства на ПАВ с одним встречно-штыревым преобразователем
(ВШП) изображен на рис. 13. Отражательные структуры (ОС) ПАВ чаще представляют
собой решетки металлических короткозамкнутых или разомкнутых электродов или
систему вытравленных в подложке канавок. Доступность акустических волн на всем
пути от входного до выходного преобразователя, способность отражаться от
неоднородностей поверхности и взаимодействовать с электрическими и
акустическими полями обеспечивают возможность построения различных устройств
обработки сигналов.
Рисунок
13 - Внешний вид устройства на ПАВ
Характеристики устройств на ПАВ определяются свойствами материала
подложки и его топологией, т.е. типом, количеством, взаимным расположением и
геометрическими размерами преобразователей и отражателей ПАВ.
Топология устройства зависит не только от выполняемой операции обработки
сигнала, но и от требуемых технических характеристик. Число различных вариантов
топологий современных устройств на ПАВ исчисляется сотнями.
Устройства на ПАВ нашли применение в разнообразных радиоэлектронных
системах, в частности в РЛС, в системах связи и радиовещания. Чаще всего такие
устройства осуществляют процедуру линейной обработки сигналов, т.е. создают
выходную реакцию, которая связана с входным сигналом с помощью заданного
линейного соотношения. В теории систем такие устройства называют линейными
фильтрами. Примерами служат линии задержки, полосовые фильтры, фильтры для
корреляционной обработки сложных сигналов.
Фильтр на поверхностных акустических волнах (ПАВ) (рис. 14) является
твердотельным функциональным устройством и представляет собой подложку из
пьезоэлектрика 1, на поверхность которой методом фотолитографии наносятся
системы токопроводящих элементов.
Одна из таких систем - излучающий преобразователь ПАВ 2 - подключается к
источнику входного сигнала, другая - приемный преобразователь ПАВ 3 - к
нагрузке.
Под действием высокочастотного электрического напряжения источника
сигнала в зазорах между смежными электродами излучающего преобразователя
возникает переменное электрическое поле, которое вследствие пьезоэффекта
материала подложки вызывает механические колебания в ее поверхностном слое. Эти
колебания распространяются в тонком приповерхностном слое подложки в
направлениях, перпендикулярных электродам в виде поверхностных акустических
волн.
Рисунок
14 - Фильтр на поверхностных акустических волнах (ПАВ)
Между смежными электродами приемного преобразователя вследствие обратного
пьезоэффекта механические колебания ПАВ обуславливают появление электрического
напряжения, которое и является выходным сигналом.
С целью устранения нежелательных отражений ПАВ от торцов подложки, а
также с целью ослабления других типов акустических волн, которые могут быть
возбуждены излучающим преобразователем ПАВ, все нерабочие грани и ее торцы
покрываются специальным звукопоглощающим покрытием 4.
Для уменьшения вносимого затухания фильтра часто применяют специальные
согласующие цепи, которые включаются между источником сигнала и излучающим
преобразователем, а также между приемным преобразователем и нагрузкой (на рис.
14 согласующие цепи не показаны).
Подложка с преобразователями и согласующие цепи при необходимости
помещаются в общий корпус, в качестве которого обычно используется один из
унифицированных корпусов микросхем. Характеристики фильтра на ПАВ в основном
определяются частотно-избирательными процессами преобразования электрического
сигнала в акустические волны и обратно, т.е. зависят от топологии
преобразователей ПАВ, а именно: от количества, от геометрических размеров и
взаимного расположения электродов в преобразователе, от протяженности зон
перекрытия смежных электродов (протяженности зазоров), от очередности
подсоединения электродов к общим суммирующим шинам. Применяя ту или иную
топологию преобразователей, можно реализовать фильтры с самыми разнообразными
характеристиками
По сравнению с другими типами фильтров, например, электрическими LC- или
RC-типа, фильтры на ПАВ обладают следующими достоинствами:
возможностью реализаций различных достаточно сложных по форме АЧХ и ФЧХ
при высокой точности обеспечения заданных параметров;
технологичностью изготовления, возможностью применения стандартных
технологических процессов микроэлектроники;
высокой стабильностью параметров в процессе эксплуатации и надежностью
работы, объясняющиеся тем, что фильтр на ПАВ представляет собой монолитное
твердотельное устройство;
хорошей сопрягаемостью с блоками микроэлектронной аппаратуры;
малыми габаритами и весом.
К недостаткам фильтров на ПАВ относятся:
повышенная стоимость, так как они строятся, как правило, на
монокристаллической пьезоподложке;
повышенный уровень вносимых потерь, так как их преобразователи обычно
обладают двунаправленным излучением и приемом ПАВ, и поэтому менее одной
четверти отдаваемой источником сигнала мощности достигает нагрузки.
3.4.2 Этапы проектирования фильтра ПАВ
Этапы проектирования фильтра ПАВ[2]:
. Исходными данными являются:
центральная частота f0;
относительная полоса пропускания ∆f /f0;
число лепестков импульсного отклика m;
. Выбирается материал звукопровода и его класс обработки.
. Выбирается структурная схема фильтра - тип конструкции входного и
выходного преобразователей.

а) б)
Рисунок
15 - Возможные конструкции преобразователей
. Производится синтез фильтра:
а) расчет топологии преобразователей.
Если преобразователь эквидистантный неаподизованный (рис. 15а), то расчет
топологии ведется по ниже приведенным формулам:
Определяем количество пар N электродов
- центральная частота, а ∆f = fв-fн , где fв - верхняя граничная
частота и fн - нижняя граничная частота.
Определяем расстояние h между соседними электродами

Рассчитываем толщину электродов по формуле
Находим апертуру (степень перекрытия) электродов
Если ВШП эквидистантный групповой (рис 15б), то для расчета топологии
справедливы следующие формулы.
Определяем количество пар N электродов
где m - число лепестков импульсного отклика.
Определяем расстояние h между соседними электродами по формуле
где L1 = 8…10 мм - расстояние между преобразователями, n = 1, 2, …,
N-количество пар электродов.
Рассчитываем толщину электродов по формуле
б) определение габаритных размеров проектируемого фильтра.
Определяем длину звукопровода
где Lвх - длина входного преобразователя; Lвых - длина выходного
преобразователя; L1 = 8…10 мм - расстояние между преобразователями; L2 = 5…10
мм - расстояние между крайним электродом преобразователя и торцевой гранью
звукопровода. Если преобразователь эквидистантный, то
где L3 = 5…10 мм - расстояние между общей шиной решетки преобразователя и
продольной гранью звукопровода; L4 = 2d - ширина общей шины решетки
преобразователя. Толщина звукопровода выбирается около 20λ
для уменьшения влияния
объемных волн.
. Приводится описание конструкции проектируемого фильтра.
. Исходные данные:
центральная частота f0 = 650 МГц
∆f=292 МГц
fн=357 МГц
fв=942 МГц
. Материал звукопровода - ниобат лития (LiNbO 3), ориентация среза 41,5°Х
со скоростью распространения волны 4000 м/с. Класс обработки звукопровода - ∇13.
. Структурная схема фильтра - входной преобразователь эквидистантный
неаподизованный, выходной - эквидистантный групповой.
. Синтез фильтра.
а) расчет топологии входного преобразователя.
Расчет проведем в САПР MathCad.
В ходе расчета были получены следующие значения (полный листинг приведен в
приложении):
количество пар N электродов: 1
расстояние h между соседними электродами: 3,077·10-6
толщина электродов: 1,538·10-6
б) расчет топологии выходного преобразователя.
Расчет проведем в САПР MathCad.
В ходе расчета были получены следующие значения (полный листинг приведен в
приложении):
количество пар N электродов: 6
расстояние h между соседними электродами:
толщина электродов: 1,538·10-6
в) Определяем габаритные размеры фильтра
Расчет проведем в САПР MathCad.
В ходе расчета были получены следующие значения (полный листинг приведен в
приложении):
длина фильтра: 20 мм
ширина фильтра: 10 мм
толщина: 1мм
.5
Амплитудный ограничитель
Одним из недостатков устройств на ПАВ является затухание сигнала. При
различных материалах звукопровода и рабочих частотах затухание различно. При
проектировании АЭУ с рабочими частотами менее 50-100 МГц потерями на
распространение волн обычно пренебрегают, однако на высоких частотах эти потери
вносят значительный вклад в общие потери и обязательно должны учитываться при
выборе материалов для проектирования АЭУ. Рассмотрим потери на
различных частотах при распространении ПАВ в трех материалах: ниобате лития,
лангасите и ортофосфате галлия (рис.16)[5].
Рисунок
16 - Зависимость потерь от частоты при распространении ПАВ на поверхности
монокристаллов ниобата лития, лангасита и ортофосфата галлия
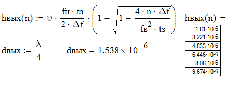
При использовании материала звукопровода - ниобата лития затухание на
частоте 650 МГц составит ≈0,28 дБ/мкс. Таким образом, при амплитуде
входного сигнала 5В и длительности 100 мкс на выходе ДЛЗ мы получим сигнал,
амплитуда которого изменяется с 5В до 0,36В.
Рисунок
17 - Пример ЛЧМ сигнал на выходе ДЛЗ
Амплитудный ограничитель ЧМ сигнала позволяет устранять нежелательные
изменения амплитуды высокочастотного колебания. Что бы выровнять уровень
выходного сигнала, применим амплитудный ограничитель схема которого
представлена на рисунке 18. С помощью данной схемы возможно обеспечить
ограничение амплитуда на заданном уровне (рис. 17). Уровень ограничения выберем
равный 0,35 В.
Рисунок
18 - Схема амплитудного ограничителя
3.6 Усилитель
Данный усилитель предназначен для усиления сигнала с ограничителя
амплитуды.
Рисунок
19 - Схема усилителя
.7
Электронный ключ
Электронный коммутирующий элемент, полупроводниковый или электровакуумный
прибор, предназначенный для использования в двух состояниях - полностью
открытое, для беспрепятственного пропускания сигнала, или полностью закрытое. В
нашей работе ЭК предназначен для формирования импульсов, заданной длительности,
ЛЧМ сигнала (рис.20).
Рисунок
20 - Пример работы электронного ключа
Применим схему на полевом транзисторе (рис. 21).
Рисунок
21 - Схема электронного ключа
.8 Умножители частоты
3.8.1
Обоснование выбора умножителей частоты
Выбор варакторных умножителей частоты обусловлен невозможностью
реализации (сложности реализации) транзисторных умножителей на полученных
частотах.
Для увеличения частоты несущего колебания будем использовать умножители с
коэффициентом умножения 3 и 2, в которых нелинейным элементом умножения частоты
будет параллельно подключенный варактор, предназначенный для работы при больших
амплитудах колебания и больших значениях частотного диапазона.
Рисунок
22 - Функциональная схема умножителя частоты
3.8.2 Расчет
первого умножителя частоты
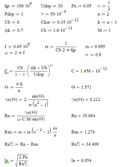
Рассчитаем умножитель частоты на варакторе по методике приведенной в [].
Исходные данные:
коэффициент умножения N=2;
входная частота fр=
0,65 ГГц;
входная мощность Рн=0,01 Вт.
Выберем варактор АА607А. Основные параметры варактора АА607А:
Гц,
Вт,
В,
,
В,
с,
Ф,
Ф.
Рассчитаем
режим работы варактора.
Определим
параметры необходимые для расчета:
Для
увеличения выходной мощности применим режим с оптимальным
, выберем режим со слабым открыванием перехода, тогда n=3, k=n -1=2, σ =0,8, М=1, v=1/3 .
Определим
сопротивление потерь:
Найдем емкость варактора:
Рассчитаем оптимальный угол отсечки:
Нормированный
n-ый коэффициент, рядя Фурье:
Сопротивление
варактора по n-ой гармонике:
Сопротивление
потерь по n-ой гармонике:
Полное
сопротивление по n-ой гармонике:
Определим
ток n-ой гармоники:
Найдем
амплитуду заряда n-ой гармоники:
Вычислим
амплитуду заряда 1-ой гармоники:
Максимальное
мгновенное напряжение на варакторе:
Определим
амплитуду первой гармоники тока варактора:
Сопротивление
варактора по первой гармонике:
Определим
нормированный коэффициент первой гармоники:
Определим
нормированный коэффициент первой гармоники с
:
Определим
сопротивление потерь варактора по первой гармонике :
Тогда
найдем полное сопротивление варактора по первой гармонике :
Вычислим
мощность первой гармоники поглощаемая варактором :
Определим
нормированный коэффициент гармоники по постоянному току:
Определим
нормированный коэффициент по постоянному току с
:
Мощность
постоянного тока отдаваемая варактором во внешнюю цепь:
Мощность
рассеваемая варактором:
Определим
электронный КПД варактора:
Рассчитаем
корректирующую цепочку
Вычислим
сопротивление автосмещения:
Определим
емкость по первой гармонике:
Определим
емкость по n-ой гармонике:
Определим
корректирующую емкость:
Определим
блокировочную индуктивность:
Рассчитаем
величину емкости Сбл:
, где Rап£0,1Rсм,
Сбл=
1,141·10-10 Ф.
Нагрузкой входной цепи умножителя является комплексное сопротивление
варактора по первой гармонике, которое может быть рассчитано с помощью
рис.21,а, где варактор (штрихпунктирная линия) представлен элементами С1, Сn, учтена также и емкость корпуса
Скорп. Входная цепь должна преобразовать на частоте сопротивление этой схемы в
точках 1-1 в сопротивление, равное стандартному значению 50 Ом.
На рис.21,б изображена эквивалентная схема варактора для расчета выходной
цепи умножителя. Выходная цепь должна преобразовать на частоте nf сопротивление нагрузки умножителя
(обычно 50 Ом) в значение, равное комплексно-сопряженному сопротивлению схемы
рис.21,б в точках 2-2.
Рисунок
21- Эквивалентные схемы варактора для первой (а) и п-й (б) гармоник.
.8.3 Расчет
входной согласующей цепи
Для согласования ЭК и первого умножителя применим П-образную схему
согласования. Входное сопротивление примем равным 50 Ом.
Рисунок
22 - Согласующая цепь
3.8.4 Расчет
второго умножителя частоты
Второй умножитель с коэффициентом умножения n=2 рассчитывается аналогично первому, поэтому сразу приведем
основные параметры, полученные в ходе расчета, а полный расчет в САПР MathCad будет приведен в приложении.
Сбл= 57,05 пФ
Аналогично рассчитывается входное и выходное сопротивление второго
умножителя
3.8.5 Расчет
межкаскадной цепи согласования
Для согласования двух умножителей частоты также применим П-образную цепь
согласования.
Рисунок
23 - Согласующая цепь
3.8.6 Расчет
согласующих цепей на микрополосковой линии (МПЛ)
Так как на полученных частотах сложна реализация согласующих цепей на
элементах со сосредоточенными параметрами, то цепи согласования будут выполнены
на элементах с распределенными параметрами на основе МПЛ.
Полосковой линией передачи называют такую линию, в которой проводник
ленточного, круглого или квадратного сечений расположен на некотором расстоянии
от металлической плоскости (основания) или заключен между двумя металлическими
основаниями. Пространство между проводником и основаниями может быть заполнено
воздухом или диэлектриком. Линии с диэлектрическим заполнением, выполняемые
печатным способом, называются печатными полосковыми линиями.
Для реализации цепей согласования выберем несимметричную МПЛ (рис. 26).
Несимметричная печатная полосковая линия представляет собой пластину
диэлектрика, на одной стороне которой нанесены проводники (проводящие полоски)
схемы, а на другой - металлизированное покрытие, образующее проводящую
(заземленную) плоскость. Такая линия является простой в настройке, изготовлении
и эксплуатации.
Рисунок
27 - Зависимость характеристического сопротивления несимметричной полосковой
линии от ее размеров
Рисунок
28 - Эквивалентная диэлектрическая проницаемость несимметричной МПЛ
Длина волны в несимметричной полосковой линии, работающей с колебаниями
типа ТЕМ, равна:
,
где
l - длина волны в свободном пространстве;
Выполним умножители частоты и цепи согласования на одной несимметричной
МПЛ (рис. 29).
Рисунок
29 - Конструкции варакторного умножителя на МПЛ
Произведем расчет цепей согласования на основе параметров прототипов,
рассчитанных в пунктах 3.8.3 и 3.8.5, по методике изложенной в [8].
) Диэлектрик, используемый в качестве подложки, выбираем типа
ПТ-7 с ε=7
и диапазоном рабочих
температур - 60 … + 85.
) Расстояние между металлизированными пластинами полосковой линии
d = 10 мм.
) Определяем реактивное сопротивление элементов входной цепи на
частоте 650 МГц:
Определяем реактивное сопротивление элементов межкаскадной цепи на
частоте 1,3 ГГц:
)
Определяем конструктивные размеры элементов, используя графики на рисунках 27,
28 и условием
, где λ
д=
.
Результаты
расчетов приведем в виде таблицы.
|
Входная цепь
|
Межкаскадная цепь
|
|
Z, Ом
|
ZC=75,434
|
ZL=75,434
|
ZC=58,468
|
ZL=58,468
|
|
b/d
|
0,85
|
0,85
|
1,1
|
1,1
|
|
0,550,550,530,53
|
|
|
|
|
|
b, мм
|
8,5
|
8,5
|
11
|
11
|
|
l, мм
|
16
|
16
|
13,7
|
13,7
|
3.9 Оконечный
усилитель мощности
Выбор оконечного усилителя мощности на лампе бегущей волны (ЛБВ)
обусловлен невозможностью реализации (сложности реализации) транзисторных
усилителей на полученных частотах.
Наиболее типичным представителем класса ламп бегущей волны является
усилительная ЛБВ О-типа, устройство которой схематически изображено на рисунку
30. Лампа имеет спиральную замедляющую систему с коаксиальными входом и
выходом. Ускоряющее напряжение U0
обеспечивает требуемый синхронизм между электронами и волной, замедленной до
скорости порядка 0,1 с. Движение энергии по замедляющей системе происходит в
направлении движения электронов. Фокусировка электронного потока осуществляется
с помощью постоянного магнитного поля, созданного соленоидом и направленного
вдоль оси лампы подобно тому, как это часто делается в прямопролетных
клистронах.
Рисунок
30 - Схема устройства усилительной ЛБВ О-типа в коаксиальной арматуре:
/-катод; 2 -анод (ускоряющий электрод); 3-коллектор; 4- спираль;
5-соленоид; 6 - вход; 7 -выход; 8- стеклянная оболочка 9- электронный пучок
Начальный участок спиральной замедляющей системы ЛБВ выполняет функции
устройства, модулирующего электронный поток по скорости. Сгустки, формирующиеся
по мере движения вдоль оси лампы, наводят в той же спирали ток и создают
тормозящее высокочастотное поле, обеспечивающее отбор энергии от электронного
потока и усиление входного сигнала. Таким образом, несмотря на отсутствие резко
разграниченных участков группировки и отбора энергии, устройство ЛБВ
соответствует общей схеме всякого электронного усилителя СВЧ колебаний.
Среди других приборов с длительным взаимодействием и с нерезонансной
колебательной системой лампы бегущей волны О-типа находят сейчас наиболее
широкое применение как в качестве усилителей малого сигнала, так и в качестве
мощных усилителей СВЧ.
Существует несколько типов ЛБВ. Рассмотрим некоторые из них.
|
Лампа бегущей волны О-типа
|
|
|
а) с электромагнитной
фокусировкой, соединение с волноводными входом и выходом через зонд
|
|
|
б) с электромагнитной
фокусировкой, соединение с волноводными входом и выходом через отверстие
связи
|
|
|
в) с фокусировкой
постоянным магнитом, соединение с волноводными входом и выходом через
замедляющую систему
|
|
|
г) с фокусировкой
постоянным магнитом, соединение с волноводными входом и выходом через
отверстия связи с резонаторами
|
|
|
|
|
|
|
|
|
д) с фокусировкой
периодическими постоянными магнитами, соединение с волноводными входом и
выходом через зонд
|
|
|
|
|
|
|
|
|
Примечание к пп. а - д. Упрощенное
обозначение ламп бегущей волны
|
|
|
|
|
е) с электромагнитной
фокусировкой, соединение с коаксиальными входом и выходом через петлю связи
|
|
|
Упрощенное обозначение
|
|
В качестве усилительного элемента выберем лампу с фокусировкой постоянным
магнитом, соединение с волноводными входом и выходом через замедляющую систему.
Принципиальная электрическая схема выходного каскада усилителя мощности
приведена на рисунке 31.

.10 Выбор
элементной базы
Тип аппаратуры обуславливает уровень механических воздействий и
действующую систему стандартов применительно к объекту установки (например,
система базовых несущих конструкций возимой аппаратуры, которая предопределяет
возможные габаритные размеры печатных плат, несущие рамки, способ их установки
в блок и т.д.).
При выборе элементной базы руководствуемся одновременно ограничениями,
которые накладываются условиями эксплуатации, и требованиями, предъявляемыми к
электрическим параметрам элементов. Элементная база должна быть устойчивой к
заданным механическим воздействиям, характеризующих объект установки; проявлять
работоспособность в заданном диапазоне температур.
Так как разрабатываемый передатчик относится к стационарной аппаратуре,
то к нему в соответствии с ГОСТ 16019-78 предъявляются следующие требования:
|
Параметры
|
Тип аппаратуры стацион.
|
|
1
|
2
|
|
Прочность при
синусоидальных вибрациях: частота, Гц линейное ускорение, м/с2 время
выдержки, час, не менее
|
20 19,6 0,5
|
|
Обнаружение резонансов в
конструкции: диапазон частот, Гц амплитуда, мм время выдержки, мин, не менее
|
10..30 0,5..0,8 0,4
|
|
Воздействие повышенной
влажности: влажность, % температура, К время выдержки, час
|
80 298 48
|
|
Воздействие пониженной
температуры: температура предельная, К температура рабочая, К время выдержки,
час
|
233 278 2..6
|
|
Воздействие повышенной
температуры: температура предельная, К температура рабочая, К время выдержки,
час
|
328 313 2..6
|
|
Воздействие пониженного
атм. давления: температура, К давление, кПа время выдержки, час
|
263 61 2..6
|
|
Прочность при
транспортировании: длительность ударного ускорения, мс частота, мин-1
максимальное линейное ускорение, м/с2 суммарное число ударов, не менее
|
5..10 40..80 49..245 13000
|
|
Воздействие соляного
(морского) тумана (95% капель): температура, К дисперсность, мкм водность,
г/м3 время выдержки, час
|
300 1..10 2..3 24
|
Произведем подбор элементной базы.
) Генератор импульсов.
Микросхемы.
Генератор содержит 2 логических элемента 2ИЛИ-НЕ. Выберем микросхему
К561ЛЕ5 АДБК.431200.731-05ТУ, содержащую 4 элемента 2ИЛИ-НЕ. Микросхемы 561
серии выпускаются на основе логических микросхем, использующих структуры
металл-окисел-полупроводник (МОП или КМОП). Характерными свойствами этой серии
микросхем являются малое потребление тока в статическом режиме, высокая
надежность и помехоустойчивость, за счет добавленных токоограничительных
резисторов микросхемы защищены от перегрузок по входу и по выходу.
По всем параметрам микросхемы 561 серии превосходят серию 176, а также
имеют более широкий номенклатурный перечень. От остальных серий МОП микросхем
микросхемы К561 отличаются меньшими размерами корпуса и повышенной радиационной
стойкостью. Благодаря чему используются в военной сфере.
Питание микросхем 561 серии находится в диапазоне +2...6 В. Диапазон
допустимой окружающей температуры от -45 до +85 °С. Благодаря высокому входному
сопротивлению (RBX >100 МОм) микросхемы имеют высокую нагрузочную
способность Краз >10...30.
Условия эксплуатации микросхемы[12,13,14]
|
Номер серии
|
Условия эксплуатации
|
Интенсив- ность отказов
Е-6, 1/ч
|
|
интервал рабочих
температур, 0С
|
вибрация
|
многократные удары, g
|
Линейная нагрузка с
ускорением, g
|
|
|
|
диапазон частот, Гц
|
ускорение, g
|
|
|
|
|
Tmin
|
Tmax
|
Fmin - Fmax
|
|
|
|
|
|
К561
|
-45
|
85
|
1-600
|
5
|
15
|
25
|
0,600
|
Кварцевый резонатор.
Применим в задающем генераторе резонатор кварцевый герметизированный
РГ-01 УВ-7ДШ-190К РЦ3.382.386 ТУ на частоту 130 кГц, с точностью настройки ±
20·10-6 для работы в интервале температур -60…+85, с максимальным изменением
частоты ± 300·10-6.
Требования по стойкости к воздействию климатических, механических и
биологических факторов (гр. I, ОСТ В II 0047-85)
Климатическое исполнение В (ГОСТ 15150)
Вибрация 1…600 Гц, 10g
Механический удар одиночного действия 500g
Механический удар многократного действия 75g
Линейное ускорение 100g
Относительное изменение рабочей частоты резонатора после воздействия в
предельных режимах климатических, механических и биологических факторов ≤
± 15·10-6. Минимальная наработка 20 000 часов, сохраняемость 15 лет.
Относительное изменение рабочей частоты резонатора в течение минимальной
наработки: ± 75·10-6.
Резисторы.
Применим
постоянные непроволочные общего применения неизолированные резисторы С2-33Н
ОЖО.467.173 ТУ, предназначенные для работы в электрических цепях постоянного,
переменного токов и в импульсных режимах. Данные резисторы имеют следующие
характеристики
|
Атмосферное пониженное
давление. Па (мм рт. ст.):
|
|
|
рабочее
|
1,33•10-4 (10-6)
|
|
предельное
|
19,4 (145)
|
|
Атмосферное повышенное
рабочее давление, кПа
|
294 (3)
|
|
Повышенная температура
среды, °С:
|
|
|
рабочая (при номинальной
мощности рассеяния)
|
70
|
|
максимально допустимая
рабочая (при снижении мощности рассеяния)
|
155
|
|
Пониженная предельная
рабочая и предельная температура среды, °С
|
минус 60
|
|
Смена температур, °С:
|
|
|
от максимально допустимой
рабочей температуры среды
|
155
|
|
до пониженной предельной
температуры среды
|
минус 60
|
|
Повышенная относительная
влажность при 35°С, %
|
98
|
|
Соляной (морской) туман.
|
+
|
|
Атмосферные
конденсированные осадки (иней и роса).
|
+
|
|
Плесневые грибы.
|
+
|
Конденсаторы.
Применим конденсаторы К10-17, предназначенные для работы в цепях
постоянного, переменного токов и в импульсных режимах. Изготавливаются в
соответствии с ОЖО.460.172 ТУ, ОЖО.460.107 ТУ. Конденсаторы допускают работу в
среде содержащей водород. Конденсаторы имеют следующие параметры:
|
Параметр
|
Значение
|
|
Рабочее напряжение, В
|
50
|
|
Температурный коэффициент
емкости
|
М47
|
|
Рабочая температура, С
|
-60...125
|
) Делитель частоты
Делитель частоты представляет собой два счетчика К155ИЕ1. Параметры
микросхемы приведены ниже.
Электрические параметры.
|
Номинальное напряжение
питания
|
5 В 5 %
|
|
Выходное напряжение низкого
уровня
|
не более 0,4 В
|
|
Выходное напряжение
высокого уровня
|
не менее 2,4 В
|
|
Входной ток низкого уровня
|
не менее -1,6 мА
|
|
Входной ток высокого уровня
|
не более 0,04 мА
|
|
Ток потребления
|
не более 60 мА
|
|
Ток утечки на входе
|
не более 1 мА
|
|
Потребляемая статическая
мощность (30 МГц)
|
не более 300 мВт
|
|
Максимальная тактовая
частота
|
не менее 10 Мгц
|
Условия эксплуатации микросхемы [12,13,14]
|
Номер серии
|
Условия эксплуатации
|
Интенсив-ность отказов Е-6,
1/ч
|
|
интервал рабочих
температур, 0С
|
вибрация
|
много- кратные удары, g
|
Линейная нагрузка с
ускорением, g
|
|
|
|
диапазон частот, Гц
|
ускорение, g
|
|
|
|
|
Tmin
|
Tmax
|
Fmin - Fmax
|
|
|
|
|
|
К155
|
-45
|
85
|
1-2000
|
10
|
75
|
50
|
0,160
|
) Формирователи импульсов
Формирователь импульсов содержит 4 инвертора и 1 элемент 2И-НЕ.
Применим микросхемы К155ЛА3 и К155ЛН1.
Микросхема К155ЛА3 представляет собой четыре логических элемента 2И-НЕ.
Микросхема К155ЛН1 представляет собой шесть логических элементов НЕ (необходимо
2 микросхемы, т.к. в схеме используется 8 элементов НЕ).
Электрические параметры К155ЛА3.
|
Номинальное напряжение
питания
|
5 В 5 %
|
|
Выходное напряжение низкого
уровня
|
не более 0,4 В
|
|
Выходное напряжение
высокого уровня
|
не менее 2,4 В
|
|
Напряжение на антизвонном
диоде
|
не менее -1,5 В
|
|
Входной ток низкого уровня
|
не более -1,6 мА
|
|
Входной ток высокого уровня
|
не более 0,04 мА
|
|
Входной пробивной ток
|
не более 1 мА
|
|
Ток короткого замыкания
|
-18...-55 мА
|
|
Ток потребления при низком
уровне выходного напряжения
|
не более 22 мА
|
|
Ток потребления при высоком
уровне выходного напряжения
|
не более 8 мА
|
|
Потребляемая статическая
мощность на один логический элемент
|
не более 19,7 мВт
|
|
Время задержки
распространения при включении
|
не более 15 нс
|
|
Время задержки
распространения при выключении
|
не более 22 нс
|
Электрические параметры К155ЛН1.
|
Номинальное напряжение
питания
|
5 В 5 %
|
|
Выходное напряжение низкого
уровня
|
не более 0,4 В
|
|
Выходное напряжение
высокого уровня
|
не менее 2,4 В
|
|
Входной ток низкого уровня
|
не более -1,6 мА
|
|
Входной ток высокого уровня
|
не более 0,04 мА
|
|
Входной пробивной ток
|
не более 1 мА
|
|
Ток потребления при низком
уровне выходного напряжения
|
не более 33 мА
|
|
Ток потребления при высоком
уровне выходного напряжения
|
не более 12 мА
|
|
Потребляемая статическая
мощность на один логический элемент
|
не более 19,7 мВт
|
|
Время задержки
распространения при включении
|
не более 15 нс
|
|
Время задержки
распространения при выключении
|
не более 22 нс
|
Эксплуатационные параметры микросхем серии К155 приведены в предыдущем
пункте.
) Амплитудный ограничитель
Конденсаторы.
Применим дисковые конденсаторы К10-7В ГОСТ 25814-83. Дисковые
конденсаторы имеют керамический диэлектрик, обеспечивающий устойчивую линейную
зависимость емкости от температуры, и используются для настройки контуров и др.
Диоды.
Применим высокочастотный диод КД409А.
Параметры диода:
|
Uоб/Uимп В/В
|
Iпр/Iимп мА/мА
|
Uпр/Iпр В/мА
|
Cд/Uд пф/В
|
Io(25)Ioм мкА/мкА
|
Fmax МГц
|
|
40/40
|
50/500
|
1.0/50
|
2/15
|
0.5/10
|
1000
|
Дроссели.
Применим дроссель ДМ-0,1-10-5-В ЦКСН.671342.001 ТУ.
) Усилитель
Транзистор.
Применим высокочастотный маломощный биполярный транзистор КТ3166В, со
следующими параметрами:
fгр=1200
МГц
h21=25
UКБ=-40
В
UКЭ=-35
В
UЭБ=-3
В
IК=30
мА
PК=200
мВт
Рабочий диапазон температур: -60°…85°
Резисторы.
Применим постоянные непроволочные общего применения неизолированные
резисторы С2-33Н ОЖО.467.173 ТУ, предназначенные для работы в электрических
цепях постоянного, переменного токов и в импульсных режимах. Параметры данного
типа резисторов приведены в п.1.
Конденсаторы.
Применим дисковые конденсаторы К10-7В ГОСТ 25814-83. Дисковые
конденсаторы имеют керамический диэлектрик, обеспечивающий устойчивую линейную
зависимость емкости от температуры, и используются для настройки контуров и др.
) Электронный ключ
Транзисторы.
Применим высокочастотный маломощный арсенидгаллиевый полевой транзистор
АП344А АДБК. 432140. 050 ТУ, со следующими параметрами:
Диапазон рабочих частот: 0,5-4 ГГц
Рабочий диапазон температур: -60°…85°
Резисторы.
Применим постоянные непроволочные общего применения неизолированные
резисторы С2-33Н ОЖО.467.173 ТУ, предназначенные для работы в электрических
цепях постоянного, переменного токов и в импульсных режимах. Параметры данного
типа резисторов приведены в п.1.
Конденсаторы.
Применим дисковые конденсаторы К10-7В ГОСТ 25814-83. Дисковые
конденсаторы имеют керамический диэлектрик, обеспечивающий устойчивую линейную
зависимость емкости от температуры, и используются для настройки контуров и др.
) Умножители частоты
Выберем варактор АА607А. Основные параметры варактора АА607А:
Гц,
Вт,
В,
,
В,
с,
Ф,
Ф.
Резисторы.
Применим постоянные непроволочные общего применения неизолированные
резисторы С2-33Н ОЖО.467.173 ТУ, предназначенные для работы в электрических
цепях постоянного, переменного токов и в импульсных режимах. Параметры данного
типа резисторов приведены в п.1.
Дроссели.
Применим дроссель ДМ-0,1-10-5-В ЦКСН.671342.001 ТУ.
) Оконечный усилитель мощности
Применим лампу бегущей волны УВ-229-1(3.323.022 ТУ, ОСТ В II 0144-86
ОТУ), со следующими параметрами:
|
Частота, Ггц
|
3,4-4,2
|
|
Выходная мощность, Вт
|
7
|
|
Коэффициент усиления, дБ
|
27
|
|
Напряжение накала, В
|
6.3
|
|
Ток накала, А
|
1,9-2,6
|
|
Напряжение замедляющей
системы, кВ
|
1,5-1,75
|
|
Ток коллектора, мА
|
55
|
|
Напряжение на коллекторе, В
|
1,1-2,0
|
|
Долговечность, ч
|
5000
|
|
Габариты, мм
|
360х256х40
|
3.11 Выбор
соединительных элементов
Так как в устройстве применена микрополосковая линия, то необходимы
специальные соединители-переходы. Применим коаксиально-полосковый переход. В
коаксиально-полосковых переходах отсутствует преобразование типа волны.
Одинаковая структура полосковой и коаксиальной линиях передачи (волна типа ТЕМ)
позволяет спроектировать довольно простой и легко настраиваемый широкополосный
переход.
Возможны два типа коаксиально-полосковых переходов: соосный (торцевой)
(рисунок 32, а) и перпендикулярный (рис. 32, б). Соосный переход меньше
искажает структуру поля по сравнению с перпендикулярным.
Для устранения волн высших порядков, возникающих вследствие асимметрии
возбуждаемого поля в полосковой линии, применяются короткозамыкающие штыри,
установленные вблизи перпендикулярного перехода. Кроме того, в перпендикулярном
переходе необходимо иметь отверстие в заземленной и диэлектрических пластинах,
что не удовлетворяет требованиям универсальности, осложняет изготовление и
сборку.
Применим соосный коаксиально-полосковый переход на основе радиочастотного
соединителя СР50-41-3-3-28 ВР0.364.008ТУ (рис.33).
Рисунок
33 - Розетка приборно-кабельная СР50-41-3-3-28 и конструкция перехода
Так как оконечный усилитель мощности построен на лампе бегущей волны, с
волноводными входом и выходом, целесообразно на выходе микрополосковой линии
применить полосково-волноводный переход (рис. 34).
Рисунок
34 - Конструкция полосково-волноводного перехода
В такой конструкции перехода обеспечивается широкополосное согласование
прямоугольного волновода с полосковой линией передачи.
4.
Расчет надежности
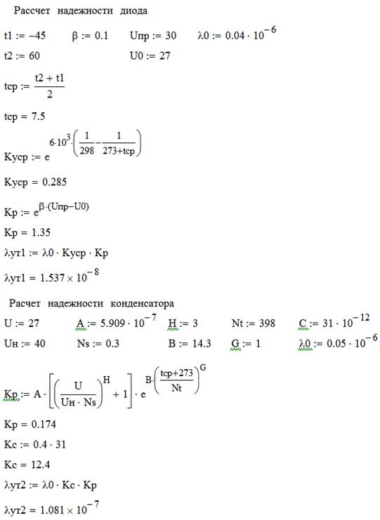
Произведем расчет для варакторного умножителя частоты. Средний отказ
диодов составляет λ0=0,04·10-6, резисторов - λ0=0,015·10-6, конденсаторов - λ0=0,05·10-6, индуктивностей - λ0=0,1·10-6.
Уточненный расчет надежности производится для каждого функционального
элемента отдельно с учетом температурного и электрического режимов. Для этого
интенсивности отказов элементов λ0 корректируются с помощью поправочных
коэффициентов. Уточненный расчет надежности диода.
Кр- коэффициент режима, учитывающий влияние электрического режима
(коэффициент нагрузки К ) и температуры;
пр, U0- напряжения питания в предельном и
нормальном режимах.
Ку - коэффициент, учитывающий влияние температуры.
Так как аппаратура возимая, то возможен перепад температур в переделах
-45°…60° С (ГОСТ 16019-78), поэтому рассчитаем поправочный коэффициент для
среднего значения температуры: 7,5° С.
Уточненный расчет надежности конденсатора Cбл.
р - коэффициент режима, зависящий от температуры и электрической
нагрузки:
,Uн - рабочее и номинальное напряжение;- температура окружающей среды,
С°;
- постоянные коэффициенты, определяемые по таблице.
- коэффициент, зависящий от величины емкости (выбирается из таблицы)
Уточненный расчет надежности резистора.
р - коэффициент режима, зависящий от температуры и электрической
нагрузки:
- температура окружающей среды, С°;
- постоянные коэффициенты, определяемые по таблице.
r -
коэффициент, зависящий от величины сопротивления (выбирается из таблицы). Kr=3.
Суммарная интенсивность отказов: λ=0,26·10-6
Заключение
В результате выполнения данного курсового проекта были разработаны
электрическая структурная, электрическая функциональная и электрическая
принципиальная схема передатчика РЛС. Также был произведен расчет основных
узлов и блоков радиопередатчика, расчет надежности. Разработанный передатчик по
своим характеристикам полностью удовлетворяет требованиям, указанным в
техническом задании на разработку, имеет выходной сигнал мощностью 7Вт и
частотой 2,6ГГц. Составлен проект технического задания на разработку
конструкции передатчика РЛС.
При оформлении схем была использована программа Компас-3D V12, при выполнении расчетов была использована программа MathCAD 14 Pro.
Список используемой литературы
1. Кочемасов
В. Н., Белов Л. А., Оконешников В.С. Формирование сигналов с линейной частотной
модуляцией. - М.: Радио и связь,1983
. Проектирование
фильтров на поверхностно-акустических волнах. Учебно-методическое пособие /
Т.И. Чернышова, Н.Г. Чернышов. - Тамбов: Изд-во Тамб. гос. техн. ун-та, 2006. -
48 с. - 50 экз.
3. Фильтры
на поверхностных акустических волнах / В.С. Орлов, В.С. Бондаренко. - М.: Радио
и связь, 1984. - 272 с.
. Фильтры
на поверхностных акустических волнах (расчет, технология и применение) / под
ред. Г. Меттьюза: пер. с англ. под ред. В.Б. Акпамбетова. - М.: Радио и связь,
1981. - 472 с
5. Балышева,
О. Л. Материалы для акустоэлектронных устройств: учебное пособие. -
СПб.:ГУАП,2005
. Петров
Б. Е., Романюк В. А. Радиопередающие устройства на полупроводниковых приборах:
Учебное пособие для студентов радиотехнических специальностей вузов. - М.:
Высшая школа, 1989.
. Вамберский
В.М. Передающие устройства СВЧ. - М.:Высшая школа,1984
8. Ковалева
И.С. Конструирование и расчет полосковых устройств. - М.:Советское радио,1974
. Сазонов
Д.М. Антенны и устройства СВЧ. - М.:Высшая школа,1988.
10. Лебедев
И.В. Техника и приборы СВЧ. Т.2. - М.:Высшая школа,1970
. Преснухин
Л.Н., Шахнов В.А. Конструирование электронных вычислительных машин и систем. -
М.: Высшая школа, 1986г. , 512 стр.
12. Леухин
В.Н. Выбор элементной базы по эксплуатационным и конструктивным параметрам. -
Йошкар-Ола: МарГТУ, 2006
. Тарабрин
Б.В. Справочник по интегральным микросхемам. - М.: Радио и связь, 1983
Электронные
ресурсы:
14. Описание продукции
компании РЕОМ (<#"802890.files/image129.jpg">
Приложение 2
Расчет первого умножителя частоты в САПР MathCad
Приложение 3
Расчет второго умножителя частоты в САПР MathCad
Приложение 4
Рассчет надежности варакторного
умножителя
Расчет надежности второго умножителя в САПР MathCad
Приложение 5
Проект технического задания на разработку изделия и рекомендаций по его
реализации
Устройство состоит из 2-х блоков: низкочастотный блок (генератор задающих
импульсов, формирователи импульсов, ДЛЗ, амплитудный ограничитель, усилитель,
электронный ключ) и высокочастотного блока (умножители частоты и оконечный
усилитель мощности).
Нужно разработать схему РПдУ, рассчитать элементы схемы и выбрать
аналоги.
Все испытания должны проводиться только в специально оборудованных
помещениях и на специальном оборудовании.
Низкочастотный блок размещается на одной печатной плате в соответствии с
электрической принципиальной схемой, высокочастотный блок выполняется на микрополосковой
линии.
Выбор типа и
класса точности печатной платы
Исходя из того, что печатные платы 1-го и 2-го классов
точности наиболее просты в исполнении, надежны в эксплуатации и имеют
минимальную стоимость, выбор пал на 2-й класс точности, как самый оптимальный
для установочной серии.
Минимальная ширина проводника t и зазора s, мм
0,45
Предельное отклонение проводника
с металлическим покрытием, мм +0,15.. -0,1
Гарантийный поясок контактной площадки, мм 0,2
Допуск на отверстие диаметром до 1 мм
с металлизацией d, мм +0,1.. -0,15
// - без металлизации +0,1
Допуск на отверстие диаметром свыше 1 мм
с металлизацией d, мм +0,15.. -0,2
Продолжение приложения 5
// - без металлизации ±0,15
Отношение диаметра металлизированного
Отверстия к толщине платы, у 0,4
Выбор внешних
соединителей
Соединение блоков осуществляется коаксиальным кабелем.
Выбор
вариантов установки навесных элементов на печатную плату
В соответствии с ОСТом и требованиями, предъявляемыми
к ФУ в качестве варианта для установки сопротивлений рекомендуется выбрать
вариант 1а, который обеспечивает достаточную жесткость крепления. Для повышения
устойчивости транзисторов к вибрации их дополнительно закрепить на радиаторах
стандартным креплением.
Выбор
материала печатной платы
Повышенные требования к функциональному узлу, в связи с жесткими
условиями эксплуатации, вынуждают использовать в качестве основания печатной
платы стеклотекстолит фольгированный. Данный материал по сравнению с гетинаксом
обладает более высокими электроизоляционными свойствами, лучшей механической
прочностью, обрабатываемостью, стабильностью параметров при воздействии
агрессивных сред и изменяющихся климатических условий. Длительно допустимая
рабочая температура +160С0 (гетинакс +85С°), допустимая влажность окружающей
среды для платы без дополнительной влагозащиты до 98% при t<40C° (45% при t=15..32
C°), стеклотекстолит имеет меньший
тангенс угла потерь 0.035 (0,07) и меньшую диэлектрическую проницаемость 5,5
(7,0), что уменьшает паразитную емкость; влагопоглощение при толщине 1.5мм 20мг
против 80мг для гетинакса, прочность на отслаивание фольги после
кондиционирования в гальваническом растворе 3,6Н (1,8Н), прочность на отрыв
контактной площадки 6011 (50ЕГ). Для наземной РЛС стоимость не является
решающим фактором и им можно пренебречь. Наиболее полно отвечает требованиям
стеклотекстолит марки СФ-1-35 (односторонний, толщина фольги 35 мкм.).
Необходимая и достаточная толщина материала 1мм. (ГОСТ 10316-78).
Отчётная документация должна содержать:
схема структурная;
схема функциональная;
схема электрическая - принципиальная;
спецификация структурной и электрической принципиальной схемы;
чертёж внешнего вида устройства.