Основы конструирования цифрового вычислительного устройства
1. Исходные данные
Передаточная функция объекта управления:
Параметры объекта управления:
|
Т,
с
|
Т1,
с
|
|
kоу
|
|
0.0005
|
0.02
|
0,2
|
5,0
|
Входной сигнал:
Параметры сигнала:
|
А0
|
А1,
1/с
|
,
рад/с
|
,рад/с2
|
|
|
0.1
|
0.05
|
0.5
|
0.01
|
0.01
|
Метод синтеза: Логарифмических псевдочастотных
характеристик.
Метод программирования: Параллельное.
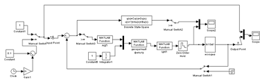
Структурная схема системы
Расчетная структурная схема с учётом
экстраполятора нулевого порядка:(p)-передаточная функция экстраполятора
нулевого порядка.
Wоу - передатоная функция объекта управления.
Приведённая непрерывна часть системы имеет вид:
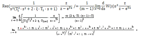
2. Определение Z-передаточной функции системы
=0, кратность m=2.
,m=1.
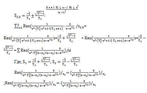
Вычет в полюсе S1=0:
Вычет в полюсе
Общее выражение для Z-передаточной функции
приведенной части имеет вид:
Подставляя численные значения получим:
Введем обозначение:
Подставляя полеченные выражения в общее
выражение 1. получим:
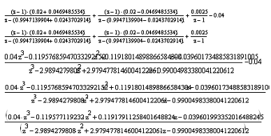
Преобразуем Z-передаточную функцию:
Окончательное выражение для приведенной
Z-передаточной функции имеет вид:
Проверим правильность расчета в Matlab:
Создадим tf- модель объекта управления:
Расчёт Z- передаточной функции в Matlab
w1=tf(1, [1 0])=tf(5, [0.0004 0.008
1])=w1*w2=c2d(w3,0.0005,'zoh')function:
function:
-----------------------
.0004 s^2 + 0.008 s + 1function:
-------------------------
.0004 s^3 + 0.008 s^2 + sfunction:
.598e-007 z^2 + 1.036e-006 z +
2.585e-007
-----------------------------------------^3
- 2.989 z^2 + 2.979 z - 0.99time: 0.0005
Передаточные функции совпали следовательно
расчет проведен правильно.
Передаточная функция замкнутой системы по
управляющему воздействию с единичной обратной связью определяется ворожением:
Где W(z)-передаточная функция прямой цепи.
Где
Определение Z-передаточной функции по ошибки:
4. Определения выражения для расчёта
Логарифмических псеводочастотных характеристик Оу
Передаточная функция разомкнутой цепи имеет вид:
Билинейное преобразование имеет вид:
разделим числитель и знаменатель на
После раскрытия скобок и упрощения получим:
Разложим числитель и знаменатель на множители:
Переход к псевдочастоте:
Постоянные времени:
Построение располагаемой ЛАФПЧХ:

Посторенние ЛАФХ (MATLAB).
5. Анализ точности отработки типовых
сигналов.
Ошибка при прохождении линейно нарастающего
сигнала составляет 0,01-что удовлетворяет требованиям задания.
Переходный процесс системы при воздействии
еденично-ступенчатого воздействия.
Время регулирования tр=0,81с
Перерегулирование 0%.
6. Синтезирование системы
Точность отработки сигнала A(t)=0.1+0.005t не
более 0,001
Запас по амплитуде не менее 10Дб.
Запас по фазе не менее 300
Перерегулирование не более 20%.
Расчет запретной области ЛАФПЧХ:
;
Исходная псевдочастотная передаточная функция
системы:
Желаемая псевдочастотная передаточная функция
системы:
Передаточная функция фильтра:
.
Переход к Z-передаточной функции осуществляется
в результате выполнения подстановки в найденную псевдочастотную передаточную
функцию дискретного корректирующего устройства.
разделим числитель и знаменатель на (z+1) после
раскрытия скобок получим:
Где,

Структурная схема скорректированной системы:
Передаточная функция исходной системы:
Передаточная функция дискретно корректирующего
устройства:
Передаточная функция замкнутой скорректированной
системы по ошибке имеет вид:
Входной сигнал:
преобразование входного сигнала:
Установившееся значение сигнала ошибки найдем по
теореме о предельном значении решетчатой функции:
Получим следующие ворожение:
Установившаяся ошибка:
0.0002131395538930085109522416.
Проверка правильности расчета в (MatLab):
Входной и выходной сигнал системы:
7. Переход к конечно-разностным уравнениям,
реализующим функцию корректирующего алгоритма во временной области одним из
методов программирования в соответствии с заданием
Способ прямого программирования
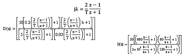
Передаточная функция корректирующего устройства:

Разделим числитель и знаменатель D(z) на z2
получим:
По определению передаточной функции:
Введем новую переменную e(z):
- соответствует смещению оригинала на 1 такт,
z-2- соответствует смещению оригинала на 2 такта.
Gain1=1,0094732 Gain7=1,0094732=
1,96471624 Gain8=1,0094732
Gain3= 1,98337108 Gain4=1=0,9647981=0,98337273
Уравнение состояния системы имеет вид:
Y[kT]=0.00943473x1[kT]+3.9667
x2[kT]+1.009437U[kT]
Матрицы A,B,C,D, определяются выражением:
Способ параллельного программирования
Передаточная функция корректирующего устройства:
Разобьем дробь на сумму элементарных звеньев:
Представим D(z) виде:
Найдем коэффициенты А1,
А2,
В
из уравнения:
Раскрывая скобки получим:
Откуда получаем:
Дискретная передаточная функция корректирующего
устройства примет вид:
Разделим числитель и знаменатель D(z) на z
получим:
По определению передаточной функции:
Введем новые переменные:
Переменные состояния определяются выражением:
Где:
Уравнение состояния системы имеет вид:
Y[kT]=0.0140156x1[kT]+2.009x2[kT]+2*1.0094743U[kT]
Матрицы A,B,C,D, определяются выражением:
Способ последовательного программирования
Передаточная функция корректирующего устройства:

Представим дискретную передаточную функцию
системы виде:
Разделим числитель и знаменатель D(z) на z
получим:
Запишем уравнение системы в операторной форме
записи виде:
Gain14=0,999902 Gain20=1,00947432
Gain15=0,96721311
Gain21=1,00947432=0,9834711074 Gain22=1,00947432
Gain17=0,99750312=0,9999=1,00947432
Уравнение состояния системы имеет вид:
Y[kT]=1.959x1[kT]+2.007x2[kT]+1.0094743U[kT]
Матрицы A,B,C,D, определяются выражением:
. Построение алгоритма работы цифрового
вычислительного устройства в реальном масштабе времени
Дискретно корректирующий фильтр в современных
системах с компьютерным управлением реализуются путём непосредственного решения
получаемых в режиме реального времени разностных уравнений.
В этом случае непрерывный сигнал f(t)
подвергается аналого-цифровому преобразованию (переводится в цифровой код, а
решение x[kT], получаемое в ЦВУ в реальном масштабе времени вводится в непрерывную
часть системы через ЦАП. Алгоритм работы ЦВУ реализующий, реализующего решение
разностного уравнения, представлен:
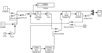
. Расчет переходных процессов в
скорректированной системе, при подаче на вход сигнала с амплитудой единичной
ступеньки в среде SimuLink, без учета квантования сигналов уровню и с учётом
квантования сигнала по уровню
Переходный процесс в системе без учёта
квантования сигнала по уровню.
Учёт квантования сигнала по уровню:
Преобразование исходной системы
конечно-разностных уравнений последовательно корректирующего устройства к
целочисленной форме, выполняющий эквивалентную обработку цифровых кодов
аналоговых сигналов:
Исходная система конечно-разностных уравнений
имеет вид:
Y[kT]=0.0140156x1[kT]+2.009x2[kT]+2*1.0094743U[kT]
Обозначим уровни дискретизации по переменным
состояния dx по управляющему сигналу de по задающему сигналу de=dx.
Y[kT]=0.0140156x1[kT]*dx/de+2.009x2[kT]*dx/de+2*1.0094743U[kT]*dx/de.
Схема моделирования представлена на рисунке.
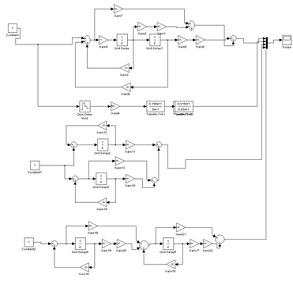
Алгоритм работающий с целочисленными данными:
function
ke=ADC(e,dx);dx;=round(e/dx);;upr1=DAC(up,du);du;=up*du;;t0;y1;y2;tau;upr0;dx;du;=0.0005=0.01=0=0=0=0.0005=0upr=CSU(e,t1);t0;y1;y2;tau;upr0;dx;du;=round(0.9383469*1000);=round(1000);=round(0.999902*1000);=round(1000);=round(1.00947434*10000*dx/du);=round(0.01401566*10000*dx/du);=round(0.004817971*10000*dx/du);t1
>= t0;=(a1*y1+b1*e)/1000;=(a2*y2+b2*e)/1000;=(c1*e+d1*x1+d2*x2)/10000;=x1;=x2;=t0+tau;;
upr=upr0;
Учёт квантования сигнала по уроню:
Управляющие сигналы с учетом и без учёта
квантования.
Библиографический список
передаточный управление сигнал
логарифмический
1.
О.В. Горячев, С.А Руднев. Основы теории микропроцессорных систем управления.
.
В.А. Иванов, А.С. Ющенко. Теория дискретных систем автоматического управления.
- М.: Наука, 1983.