Организация радиолокационного наблюдения

  • Вид работы:
    Дипломная (ВКР)
  • Предмет:
    Информатика, ВТ, телекоммуникации
  • Язык:
    Русский
    ,
    Формат файла:
    MS Word
    80,78 Кб
  • Опубликовано:
    2015-06-15
Вы можете узнать стоимость помощи в написании студенческой работы.
Помощь в написании работы, которую точно примут!

Организация радиолокационного наблюдения

Введение

С ростом интенсивности морского судоходства и увеличением размеров судов происходит постоянное усложнение навигационной обстановки, что приводит к значительным трудностям в управлении судами в открытом море при переходах, в прибрежных районах, в узкостях и при подходах к портам. Постоянно растут требования к безопасности и экономической эффективности судовождения, возникает потребность в более качественном и современном навигационном оборудовании.

Мировой флот пополнился большим количеством судов, оснащенных оборудованием для обеспечения безопасности плавания, сохранности жизни членов экипажа и материальных ценностей. Но, даже не смотря на наличие самой современной техники количество происшествий на море, по-прежнему остается высоким. Причинами аварий и аварийных ситуаций остаются неправильное управление судами, недостатки судов в части их управляемости. Анализ статистики по столкновениям и посадкам на мель показывает, что часто в этих авариях проявляется несоответствие показателей управляемости судов современным условиям мореплавания. Особенно часто это имеет место при экстренном маневрировании судов в сложных погодных условиях.

Для эффективного снижения аварийности на судах необходимо совершенствование средств и методов по предупреждению столкновения судов.

В 1897, проводя опыты по радиосвязи между стоявшим на якоре транспортом "Европа", на верхнем мостике которого находился передатчик, и крейсером "Африка", на котором помещался приемник, изобретатель радио Александр Попов обнаружил новое физическое явление. О чем и сделал запись в отчете комиссии, назначенной для проведения этих опытов: "Влияние судовой обстановки сказывается в следующем: все металлические предметы (мачты, трубы, снасти) должны мешать действию приборов как на станции отправления, так и на станции получения, потому что, попадая на пути электромагнитной волны, они нарушают ее правильность, отчасти подобно тому, как действует на обыкновенную волну, распространяющуюся по поверхности воды, брекватер, отчасти вследствие интерференции волн, в них возбужденных, с волнами источника, т.е. влияют неблагоприятно.

Наблюдалось также влияние промежуточного судна. Так, во время опытов между "Европой" и "Африкой" попадал крейсер "Лейтенант Ильин", и если это случалось при больших расстояниях, то взаимодействие приборов прекращалось, пока суда не сходили с одной прямой линии". По всей видимости, это первое в истории документальное подтверждение открытия основного принципа радиолокации - отражения радиоволн от металлических предметов. Попов обратил внимание на это явление как на фактор, мешающий радиосвязи, и не заинтересовался его возможным применением.

Спустя 7 лет, в 1904 г немецкий изобретатель Хюльсайер запатентовал способ обнаружения металлических объектов по отражению ими радиоволн. Патент Хюльсайера опередил время и 18 лет оставался невостребованным. Элементная база радиотехники была еще слишком слаба, чтобы воспользоваться открытым эффектом. В 1922 г Тейлор и Юнг исследовали отражение радиоволн от кораблей и дали начало практическому использованию эффекта. С этого времени радиолокация становится военной и начинает развиваться параллельно в США и Англии.

На судах морского флота радиолокационные станции появились около пятидесяти лет тому назад и быстро получили признание судоводителей из-за их возможности обнаруживать объекты в море, в том числе суда, в независимости от видимости и расходиться при помощи их с другими судами в различных условиях плавания. Первая радиолокационная станция появилась в 1936 году в Британии. Ее основной задачей было нахождение авиационной техники третьего Рейха в период II мировой войны. Установленные по всему английскому побережью, эти громоздкие установки РЛС сперва позволяли опознавать самолеты, летящие на малой высоте, а затем и на большой. В нашей стране в одно время с англичанами также проходили разработки по созданию подобных станций. В итоге была разработана и построена РЛС «Редут», активно использовавшаяся в период военных действий 1941-1945 г.г. В послевоенный период, когда в небе наравне с самолетами стали летать и космические аппараты, все РЛС прошли модернизацию. Сегодня станции РЛС подразделяются на несколько видов, в зависимости от места их установки. На самолетах чаще всего можно встретить рлс кругового обзора, на морские суда устанавливают корабельные РЛС. Так же существуют наземные и спутниковые антенны РЛС. Каждый вид подобной установки является важным и незаменимым для обнаружения и наблюдения за конкретными объектами. Японская компания «Furuno» знакома многим морякам и капитанам, которые используют для безопасного плавания навигатор радар, установленный в этот прибор, позволяет мгновенно фиксировать любые изменения за бортом и воспроизводит происходящее на дисплее. Появление РЛС furuno позволило многим морским судам стать еще более защищенными от вторжения морских гостей. Даже профессиональные моряки отмечают положительные черты этого прибора, который, несмотря на свои небольшие размеры, является настоящей кладезю полезной информации о море и о том, что в нем происходит. Современные морские радары представляют собой аппарат, в который установлен плоский LCD дисплей, не боящийся попадания прямых солнечных лучей и влаги. Антенна, которой оборудован каждый радар furuno является скрытой и не вызывает сложностей даже при использовании на небольших судах (катера, яхты). Судовые РЛС используются для работы при дальности до шестнадцати морских миль и ближних шкалах, до одной восьмой морской мили. Для работы в местах повышенной плотности, гавани, бухты и заливы, были созданы компанией garmin радары, отлично подготовленные к подобным условиям. Морские РЛС отлично проецируют на антибликовый дисплей изображение контуров береговых линий и объектов, которые находятся на близком расстоянии.

1. Эксплуатационно-технические характеристики судна

ОБЩИЕ СВЕДЕНИЯ

Название:

КАПИТАН ГНЕЗДИЛОВ

Транслитерация:

KAPITAN GNEZDILOV

Регистровый номер:

801734

ИМО №:

7941667

Позывной сигнал:

UFML

Порт приписки:

Владивосток

Флаг:

Россия

Последнее Очередное освидетельствование:

23.06.2011

Символ класса РС:

KM(*) L1[1] container ship


ТИП СУДНА

Основной тип:

Контейнерное

Подтипы:

Стационарные направляющие Портальный кран Палубный груз


СВЕДЕНИЯ О ПОСТРОЙКЕ

Дата постройки:

01.11.1980

Страна постройки:

СССР

Строительный номер:

204


РАЗМЕРЫ И СКОРОСТЬ

Валовая вместимость:

5333 МК-1969

Чистая вместимость:

2491 МК-1969

Дедвейт (т):

5720

Водоизмещение (т):

10020

Длина габаритная (м):

130,00

Длина расчетная (м):

119,00

Ширина габаритная (м):

17,35

Ширина расчетная (м):

17,30

Высота борта (м):

8,50

Осадка (м):

6,92

Скорость:

16,00

MACHINERY | МЕХАНИЗМЫ

Год постройки главного двигателя:

1979

Страна постройки главного двигателя:

СССР

Количество и мощность главного двигателя:

1 * 4490

5ДКРН 62/140-3

Количество и мощность гребных электродвигателей (кВт каждого):

-

Количество и тип движителя:

1 - Винт фиксированного шага цельнолитой

Количество лопастей:

4

Количество и мощность генераторов (кВт каждого):

3 * 320


РАДИО-НАВИГАЦИОННОЕ ОБОРУДОВАНИЕ

Магнитный компас

Гирокомпас

Радиолокационная станция Фуруно

Радиолокационная станция (тоже - РЛ)

Эхолот

Лаг (тоже - ЛГЭ)

Система управления курсом или траекторией судна (Авторулевой) (тоже - АРЛ)

Приемоиндикатор радионавигационных систем

УКВ радиоустановка (УКВ радиотелефонная станция с цифровым избирательным вызовом)

УКВ радиоустановка (УКВ радиотелефонная станция с цифровым избирательным вызовом)

ПВ/КВ радиоустановка (ПВ/КВ радиотелефонная станция с цифровым избирательным вызовом)

Судовая земная станция системы ГМССБ

Спутниковый аварийный радиобуй системы КОСПАС-САРСАТ

Приемник службы НАВТЕКС

Приемник расширенного группового вызова

Приемник цифрового избирательного вызова

Радиолокационный ответчик, Передатчик АИС для целей поиска и спасания

Радиолокационный ответчик, Передатчик АИС для целей поиска и спасания

УКВ аппаратура двусторонней радиотелефонной связи

УКВ аппаратура двусторонней радиотелефонной связи

УКВ аппаратура двусторонней радиотелефонной связи

Аппаратура автоматической идентификационной системы

Упрощенный регистратор данных рейса

Судовая система охранного оповещения

Командно-трансляционное устройство

Оборудование системы опознавания судов и слежения за ними на дальнем расстоянии

Морские районы ГМССБ: A1+A2+A3

ЗАПАСЫ И СНАБЖЕНИЕ

Запасы топлива (т):

686

Типы топлива:

Моторное Дизельное

Водяной балласт (т):

1552

Подогреватели:

ПТ

Характеристика снабжения:

1020

Категория якорных цепей:

Повышенной прочности

Калибр якорных цепей (мм):

49,00


ТРЮМА, ПАЛУБЫ

Количество и кубатура грузовых трюмов (куб.метров каждого):

1*1517; 1*1649; 1*3086; 1*2627

Количество и тип контейнеров:

320 /

Количество палуб:

1

Количество переборок:

6


Собственник судна: ОАО "Дальневосточное морское пароходство"

2. Понятие радиолокации

Процесс обнаружения объектов в пространстве и определение их координат радиотехническими методами называется радиолокацией. Приборы, обеспечи-вающие радиолокацию объектов в пространстве, называются радиолокационными станциями (РЛС). По принципу устройства и работы различают несколько видов РЛС:

Активные и пассивные. В обоих случаях полезная информация от объекта доставляется радиосигналами, приходящими от объекта к РЛС. Пассивная РЛС содержит только антенну и приемник. В состав активной РЛС кроме антенны и приемника входит передатчик.

Непрерывного излучения:

немодулированные;

доплеровские;

с частотной модуляцией.

Импульсного излучения.

В качестве индикатора используется электронно-лучевая трубка (ЭЛТ) с яркостной отметкой или жидкокристаллический дисплей (на некоторых современных станциях). Эхо-сигнал, усиленный в приемнике РЛС и преобразованный в видеоимпульс, попадая на ЭЛТ, увеличивает интенсивность электронного потока луча, падающего на люминофор экрана ЭЛТ.

Морские навигационные РЛС измеряют два параметра в полярной системе координат: расстояние до объекта и направление на объект (курсовой угол или пеленг).

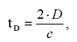
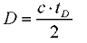
Измерение расстояний производится амплитудным (импульсным) способом. Расстояние до объекта определяется измерением времени tD от момента излучения «зондирующего» импульса до приема соответствующего отраженного импульса. Время tD определяется как время прохождения импульса до объекта и обратно:


где D - расстояние до объекта; с - скорость распространения радиоволн.

Определив время tD, и зная скорость распространения радиоволн, опреде-лим расстояние до объекта по формуле:


Масштаб дальности определяется как отношение предельного значения шкалы дальности к радиусу экрана:


где, КЭ ≈ 0,8 - коэффициент использования экрана;

dЭ - диаметр экрана.

Для измерения расстояния до объекта формируется электронная шкала дальности в виде яркостных отметок на развертке.

Определение угловых координат объектов основывается на использовании антенны остронаправленного действия. В морской радиолокации применяется амплитудный метод максимума. При пеленгации по методу максимума антенна плавно поворачивается, и отсчет угла цели производится в тот момент, когда амплитуда сигнала на входе приемника достигает максимума.

В современных станциях реализовано автоматическое слежение за объектом по дальности и углу.

Импульсный метод в радиолокации позволяет довольно просто одновременно наблюдать несколько объектов, расположенных в зоне действия РЛС, так как эхо-сигналы смещены во времени в зависимости от дальности до объекта. Решение этой задачи при непрерывном излучении приводит к большому услож-нению аппаратуры. Он позволяет измерить большие расстояния при небольших размерах приборов и использовать для передачи и приема сигналов одну и ту же антенну. Эти причины, несмотря на недостатки присущие методу, являются ре-шающими в выборе импульсного метода для построения морских навигационных РЛС.

Формула определения


Рис. 1 Принцип работы РЛС

.1 Состав и размещение приборов импульсной радиолокационной станции

Импульсная РЛС (рис.1) содержит следующие основные составные части:

синхронизатор, вырабатывающий последовательность запускающих син-хроимпульсов, управляющих работой передатчика, индикатора и схемы временной автоматической регулировки усиления (ВАРУ)

приемника; передатчик, состоящий из импульсного модулятора и генера-тора СВЧ, который под действием синхроимпульсов генерирует мощные «зондирующие» импульсы СВЧ;

Рис. 2 Структурная схема импульсной РЛС

антенное устройство, имеющее пеленгационную характеристику с ост-рым максимумом, вращающаяся часть которого сканирует пространство в пределах 360°;

антенный переключатель, коммутирующий антенну с передачи на прием и обратно, приемник, усиливающий принятые отраженные эхо-сигналы и преобразующий их в видеоимпульсы, которые поступают на индикатор;

блок передачи углового положения антенны на индикатор;

индикатор, отображающий навигационную обстановку и позволяющий определить координаты объектов.

2.2

Похожие работы на - Организация радиолокационного наблюдения

 

Не нашли материал для своей работы?
Поможем написать уникальную работу
Без плагиата!
Без нейросетей!