Электроснабжение механосборочного цеха
КУРСОВАЯ
РАБОТА
по
дисциплине: Электроснабжение отрасли
Электроснабжение
механосборочного цеха
Содержание
Введение
Раздел 1. Расчет электрических
нагрузок механосборочного цеха
. Характеристика цеха
. Выбор питающего напряжения
. Выбор схемы питания силовой сети
цеха
. Расчет электрических нагрузок
механосборочного цеха
. Выбор питающего кабеля
. Выбор аппаратов в схеме
распределения силовой сети
. Расчет тока короткого замыкания
. Проверка кабеля на термическую
стойкость
. Расчет сечения проводов
распределительной сети
. Выбор аппаратов защиты силового
оборудования
. Расчет падения напряжения
Раздел 2. Расчет освещенности
механосборочного цеха
1. Значение освещённости и основные
светотехнические величины
. Выбор источников света
. Определение полезного действия
помещения
4. Выбор типов светильников
. Выбор аппаратов защиты
осветительной сети
. Выбор сечения проводов
осветительной сети
Раздел 3. Расчет заземления и
молниезащиты
. Расчет защитного заземления
. Расчет молниезащиты
Раздел 4. Экономическая часть
Заключение
Список используемых источников
Введение
электрический
кабель осветительный заземление
Целью проекта является создание схемы
электроснабжения механосборочного цеха.
Для достижения поставленной цели необходимо
решить несколько задач:
. Рассчитать нагрузки
2. Выбрать кабельную линию
. Выбрать сечения проводов
. Рассчитать защитное заземление
. Произвести расчет освещенности цеха
Основой для проектирования системы
электроснабжения являются данные расчета электрических нагрузок отдельных
электрификационных установок, технологических участков, цехов и заводов
предприятия. Значения электрических нагрузок определяют выбор элементов и
технико-экономические показатели проектируемой системы электроснабжения.
По электрическим нагрузкам производится выбор
источников электрической энергии, трансформаторов, токоведущих элементов,
средств защиты и установок компенсации реактивной мощности. Поэтому от точности
расчета нагрузок зависят капитальные затраты, расход проводниковых и кабельных
изделий, потери электроэнергии, эксплуатационные расходы и надежность
электроснабжения объектов.
Правильное определение электрических нагрузок
при проектировании элементов системы электроснабжения является основой для
рационального решения всех вопросов, связанных с электроснабжением промышленных
предприятий. Завышение расчетных нагрузок приводит к перерасходу материалов,
проводников сети, увеличению мощности трансформаторов и следовательно к
подорожанию системы электроснабжения. Занижение ведет к уменьшению пропускной
способности электрических сетей и может вызвать нарушение нормальной работы,
привести к авариям силовых и осветительных электроприемников.
Раздел 1. Расчет электрических нагрузок
механосборочного цеха
1. Характеристика цеха
). Таблица с установленным оборудованием (таб
1.)
Таблица 1
|
№
по плану
|
Наименование
оборудования
|
Ки
|
Cos ɸ
|
Py, кВт
|
|
25
|
Кран
с ПВ=25%
|
0,35
|
0,5
|
19,7
|
|
8,9,23
|
Точильно-шлифовальные
станки
|
0,17
|
0,65
|
4,0
|
|
12,13
|
Вентиляторы
калорифера
|
0,65
|
0,8
|
22
|
|
18-20
|
Сверлильные
станки
|
0,12
|
0,4
|
7,87
|
|
21,24
|
Зубошлифовальные
станки
|
0,17
|
0,65
|
18,8
|
|
1,11
|
Кран
с ПВ=40%
|
0,18
|
0,5
|
101
|
|
2-5
|
Испытательные
стенды
|
0,8
|
0,65
|
55
|
|
6,7
|
Горизонтальные
ножницы
|
0,45
|
0,65
|
5,5
|
|
10,22
|
Ножовочная
пила
|
0,55
|
0,8
|
4,25
|
|
14,15
|
Продольно-строгательные
станки
|
0,17
|
0,65
|
48,8
|
|
16,17
|
Токарно-револьверные
станки
|
0,17
|
0,65
|
42,8
|
|
26-28
|
Пресс
|
0,25
|
0,65
|
11
|
|
29
|
ВЧ
установки
|
0,15
|
0,87
|
45
|
|
30
|
Копировально-прошивочные
станки
|
0,12
|
0,4
|
4,37
|
Разделение электроприемников на группы по
коэффициенту использования: Ки < 0,6 Группа А, Ки > 0,6 Группа Б
Таблица 2
|
Наименование
оборудования
|
Кол-во
|
Uном
|
Ки
|
Рсм,
кВт
|
Qсм, кВАР
|
|
|
Ед.
|
Об.
|
|
|
|
|
Группа
А (Ки < 0,6)
|
|
Кран
с ПВ=25%
|
1
|
19,7
|
19,7
|
0,35
|
6.9
|
11.9
|
|
Точильно-шлифовачные
станки
|
3
|
4,0
|
12
|
0,17
|
0,68
|
1,43
|
|
Копировально-прошивочные
станки
|
1
|
4,37
|
4,37
|
0,12
|
0,52
|
1,1
|
|
Сверлильные
станки
|
3
|
7,87
|
23,61
|
0,12
|
0,94
|
1,98
|
|
Зубошлифовальные
станки
|
2
|
18,8
|
37,6
|
0,17
|
3,2
|
3,74
|
|
Кран
с ПВ=40%
|
2
|
101
|
202
|
0,18
|
18,2
|
31,5
|
|
Испытательные
стенды
|
4
|
55
|
220
|
0,8
|
44
|
51,4
|
|
Горизонтальные
ножницы
|
2
|
5,5
|
11
|
0,45
|
2,5
|
2,9
|
|
Ножовочная
пила
|
2
|
4,25
|
8,5
|
0,55
|
2,34
|
1,05
|
|
Продольно-строгательные
станки
|
2
|
48,8
|
97,6
|
0,17
|
8,3
|
9,7
|
|
Токарно-револьверные
станки
|
2
|
42,8
|
85,6
|
0,17
|
7,3
|
12,41
|
|
Пресс
|
3
|
11
|
33
|
0,25
|
2,75
|
4,67
|
|
ВЧ
установки
|
1
|
45
|
45
|
0,15
|
6,75
|
3,8
|
|
Группа
Б (Ки ≥ 0,6)
|
|
Вентиляторы
калорифера
|
2
|
22
|
44
|
0,65
|
14,3
|
6,4
|
). Рассчитаем номинальное общее напряжение.
Умножим количество отдельно взятого вида станков
на номинальное напряжение на единицу станка. (кол-во * Uном.
ед.)
). Рассчитаем сменную активную мощность по
формуле:

; (
берем из таб.1)
Находим сменную активную мощность
для крана с ПВ=25%:

19,7 
0,35 
6,9кВт; Результаты вносим в таб.2,
остальные электроприемники находим аналогично.
). Рассчитаем сменную реактивную
мощность по формуле:

;

рассчитываем через cosα: sin = 
; tg = 
;
(
берем из учебника «Электроснабжение
объектов» Конюхов).
Находим сменную активную мощность
для крана с ПВ=25%:

= 6,9 
1,72 = 11,9кВАР;
Данные заносим в таб.3, остальные
электроприемники аналогично.
). При определении расчетных
нагрузок потребителей работ в повторно-кратковременном режиме 
для расчета приводиться к
постоянному режиму работы:

= 

. Выбор питающего напряжения
Распределение электрической энергии
в электрических сетях производиться трехфазным переменным током частотой 50Гц,
номинально напряжение которого устанавливает ГОСТ 721-77.
Номинальное напряжение приемника
электрической энергии называется напряжением, которое обеспечивает его
нормальную работу.
Номинальное напряжение сети должно
совпадать с номинальным напряжением подключенного к ней электроприёмника.
Питание цепей управления,
сигнализации и автоматизации электрических установок, а также
электрифицированного инструмента и местного освещения осуществляется на
переменном однофазном токе 12,24,36В.
Питание силовых электроприёмников и
освещения выполняется 4-х проводной системой (напряжения до 1000В), а к 1996г.
5-и проводной, где ноль обеспечивает равенство фазных напряжений при
неравномерной нагрузке фаз от однофазных электроприемников.
В 5-ти проводной системе вводится 2
нуля (рабочий и защитный).
-х фазные напряжения 380/220В
позволяют питать от одной сети однофазные и трехфазные электроприемники.
-х фазная сеть 220/127В
малоэкономична.
-х фазная сеть 660/380В применяется
для питания мощных электроприемников, но для питания маломощных
электроприемников и освещения требуется установка понижающего трансформатора.
Выбор напряжения сети производится
по номинальному напряжению оборудования, по характеристике среды и
экономическому обоснованию.
Учитывая эти факторы принимаем
напряжения и заносим в таб.3:
Таблица 3
|
N/п
|
Характеристика
электроприемника
|
|
Вид
сети
|
|
1
|
Силовые
3-х фазные электродвигатели станков
|
3Ф
380/220
|
5
пр.
|
|
2
|
Освещение
|
1Ф
220В
|
5
пр.
|
|
3
|
Переносные
светильники, местное освещение
|
1Ф
36В
|
5
пр.
|
|
4
|
Катушки
МП
|
1Ф
110В
|
-
|
Выбор напряжений свыше 1000В питающих
трансформаторных подстанций зависит от мощности электрооборудования и
составляет от 6 до 110кВ (6,10,20,35 и 110кВ).
Выбор такого напряжения в данный проект не
входит.
. Выбор схемы питания силовой сети цеха
Схема силовой сети определяется технологическим
процессом, расположением цеховых ТП, установленной мощности линии угловой сети
отходящей от цеховой ТП к силовым распределительным пунктам (РП) образуют
питающую сеть, а подводящие сеть непосредственно к электроприёмникам -
распределительную.
Схемы могут быть радиальными, магистральными и
смешанными.
Радиальная схема - энергия поступает от РП к
одному или группе электроприемников.
Радиальная схема выполняется изолированными
кабелями или проводами.
Они применяются при неравномерном размещении
приемников в цехе или сосредоточенными группами на отдельных участках цеха, а
также для питания приемников во взрывоопасных, пожароопасных и пыльных
помещениях.
Достоинства: высокая надежность (авария на одной
линии не влияет на работу другой), удобство автоматизации.
Недостатки: малая экономичность (из-за
значительного расхода проводников, материала, труб, большое количество защитной
и коммутационной аппаратуры), ограниченная гибкость ( при перемещении
электроприемников связанных с изменением технологического процесса).
При магистральной схеме приёмники могут
подключаться в любой точке линии (магистрали). Магистральные схемы применяют
при равномерном распределении приёмников по цеху, такие схемы могут выполняться
шинопроводами, кабелями, проводами.
Достоинствами магистральной схемы являются
упрощение распределительных щитов ТП, высокая гибкость сети дающая возможность
перемещать технологическое оборудование, облегчает монтаж.
Недостатком схемы является меньшая надежность,
чем радиальной. Применение шинопроводов постоянного сечения приводит к
перерасходу материалов.
В зависимости от характера производства и
размещения оборудования силовые сети могут выполняться по смешанной схеме.
Часть эектроприёмников питается от магистрали, а часть от силовых
распределительных пунктов.
Принимаем для питания оборудования цеха
смешанную схему. Применяем способ прокладки от ТП до РЩ кабелем в каналах. (рис
1).
Проводка от РЩ к приёмникам в стальных трубах в
полу скрытно.
Освещение цеха выполнено на тросах по радиальной
схеме от осветительных щитов (ЩО). ЩО питаются от РП подстанции кабелем
проложенным открыто по стенам, креплением скобами.
Рисунок 1
. Расчет электрических нагрузок
механосборочного цеха
Все расчеты будем проводить только
по группе А.
). Выбираем самый мощный
электро-приёмник по группе А. Им является Кран с ПВ = 40% мощностью 101кВт.
). Выбираем электро-приёмники
мощности которых равны половине наибольшего и больше половины:
n1=6 - Кран с
ПВ = 40% = 2шт. Р = 101кВт;
Испытательные стенды = 4шт. Р =
55кВт.
Рном1= 422 кВт
). Находим относительное значение
числа и мощности по соотношениям электроприемников.
n1* = 
0,21
Р1* =
). Определяем относительное значение
эффективного числа электро-приёмников nэ*= 0,64
). Определяем абсолютное число
эффективных электро-приёмников.
nэ= nэ* 
n = 0,64 
28 = 18
). Определяем коэффициент максимума
активной мощности
К м.а. = 1,70
). Определяем суммарную активную
мощность по группе А:
Рр = Км.а.
Рсм = 1,7 
104,4 = 177,5 кВт
). Определяем суммарную реактивную
мощность по группе А:
Qр = К м.р. 
Qсм = 1.1 
137,6 = 151,4 кВАР
При n 
, К м.р. = 1,1
). Определяем суммарные активные и
реактивные мощности по двум группам:
. 
. 
10). Определяем полную мощность:
). Определяем расчётный максимальный
ток:
. Выбор питающего кабеля
При определении сечения питающего
кабеля учитывается:
· Ток нагрузки
· Способ прокладки
· Температура окружающей среды
· Количество кабелей и проводов в
каналах.
1). Выберем кабель по току нагрузки (Iр
= 380А):
способ прокладки: кабель канал
- выбираем кабель (по таб 1.3.6)
сечением 150
с 4 алюминиевыми жилами марки
ААШв-1 4*150 с наружным диаметром кабеля 42,8 мм.
). Выберем сечение кабелей до
распределительных щитов:
. РЩ -1. Номера станков:
14,15,16,17.
Находим номинальный ток группы
станков для РЩ-1 по формуле:
Находим сумму активных и реактивных
мощностей:

31,2; 
44,22

= 80А
По току номинальному выбираем
сечение кабеля (ПУЭ таблицы):
Сечение кабеля = 
(ВВГ 4х16)
2. РЩ -2. Номера станков: 18 -30.
Находим сумму активных и реактивных мощностей:

34,67; 
46,1;
Находим номинальный ток группы
станков для РЩ-2:

= 87А
По току номинальному выбираем
сечение кабеля (ПУЭ таблицы):
Сечение кабеля = 
(ВВГ 4х25)
Находим сумму активных и реактивных
мощностей:

126,2; 
148;
Находим номинальный ток группы
станков для РЩ-2:

= 300А
По току номинальному выбираем
сечение кабеля (ПУЭ таблицы):
Сечение кабеля = 
(ВВГ 4х150)
. РЩ - 4. Номера
станков:4,5,9,10,11,12.
Находим сумму активных и реактивных
мощностей:

123,5; 
143,2;
Находим номинальный ток группы
станков для РЩ-2:

= 288А
По току номинальному выбираем
сечение кабеля (ПУЭ таблицы):
Сечение кабеля = 
(ВВГ 4х150)
. Выбор аппаратов в схеме
распределения силовой сети
). Выбор автоматического
выключателя.
Автоматические выключатели на
головном участке шинопровода выбираются по следующим условиям:
1. Номинальное напряжение

где 
- номинальное напряжение установки
2. Номинальный ток расцепителя

где
- рабочий максимальный ток; 
- расчётный ток форсированного
послеаварийного режима
. Номинальный ток
автоматического выключателя 
. Ток срабатывания
расцепителя по пиковому току 
Исходя условиям выбора и данным расчётов по цеху,
выбираем автоматический выключатель типа ВА88 - 37 3Р 400А 35кА TDM
P - трехполюсной;
А - номинальный ток
кА - отключающая способность
). Выбор трансформатора тока.
Трансформатор тока предназначен для
преобразования тока до значения удобного для измерения, а также для отделения
цепей измерения и защиты от первичных цепей высокого напряжения. Выбор
трансформатора тока осуществляется по трём основным критериям:
. Номинальное напряжение питающей сети до 1000
В или свыше 1000 В.
2. Величина допустимого тока.
. Класс точности, в зависимости от
назначения ТТ.
Исходя из вышеперечисленных критериев, выбираем
трансформатор тока типа
TTH - Ш 400/5 -
5VA/0,5
С номинальным током 400А;
С номинальным напряжением до 1000 В;
Мощностью 5VA;
Классом точности 0,5;
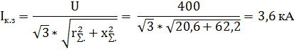
. Расчёт тока короткого замыкания кабельной
линии
При коротком замыкании по кабелю проходит ток
величина которого зависит от напряжения в сети, от сопротивления элементов
линии. Величина тока может достигать тысячи ампер. При этом выделяется большое
количество теплоты, которое зависит так же от времени действия тока, время
срабатывания защиты и конструкции кабеля.
Для расчёта тока к.з. составляется расчётная
схема (рис.2).
Рисунок 2
1). Ток короткого замыкания в точке К определяем
по формуле:

где r и x сумма
активных и реактивных сопротивлений до точки к.з.
). Определяем активное и реактивное
сопротивление силового трансформатора по таблице 45 определяем потери к.з. и
напряжения:
). Определяем полное сопротивление
обмоток трансформатора по формуле:
). Определяем индуктивное
сопротивление трансформатора по формуле:
). Определяем активное и индуктивное
сопротивление автоматического выключателя по таблице 46 [ ]
r = 0,09 мОм
x = 0,15 мОм
). Определяем активное и индуктивное
сопротивление ТТ по таблице 47 [ ]. Выбираем класс точности 0,5.
r = 0,11 мОм
x =0,17 мОм
). Определяем активное и индуктивное
сопротивление питающего кабеля:
r = 0,011 мОм / м
x = 0, 0594 мОм / м
Всего 82 м питающего кабеля, итого получаем:
r = 4,9 мОм
x = 43,8 мОм
). Определяем ток к.з. по формуле:
Ток короткого замыкания не превышает ток
автоматического выключателя, значит подходит.
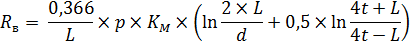
. Проверка кабеля на термическую стойкость
При прохождении тока к.з. по кабелю, в кабеле
выделяется тепловой импульс.
Количество теплоты зависит от времени действия
защиты, времени действия тока к.з и величина тока короткого замыкания.
Минимальное сечение кабеля необходимое для термической стойкости определяется
по выражению:
Где: 
- ток короткого замыкания [кА]

-время действия защиты [с] (0,05с.)
Т - время действия тока короткого
замыкания [с] (0,01с.)
С - коэффициент, зависящий от марки
кабеля (зависит от марки кабеля, берем среднее значение 100)
. Расчёт сечения проводов
распределительной сети
Определим токовую нагрузку в каждой
линии и выберем сечение проводов по длительному допустимому току согласно ПУЭ
таблица 1.3.4. по условию Iдоп.≥ Iн.. Составим
сводную таблицу.
Определим силу тока номинальную для
крана с ПВ=25% по формуле и заносим в таблицу
Остальные потребители аналогично и
заносим в таблицу №4
Выбор марки провода. В современном
представленном ассортименте, при выборе провода нужно учитывать не только
правильность выбранного сечения, но и марку.
Марка провода или кабеля - это буквенное
обозначение, характеризующее материал токопроводящих жил, изоляцию, степень
гибкости и конструкцию защитных покровов. В маркировке отечественных проводов
используются следующие обозначения:
первая буква указывает на материал
токопроводящей жилы ( А - алюминий), если отсутствует в марке провода буква А -
это означает, что токопроводящая жила выполнена из меди;
вторая буква обозначает провод;
третья буква - материал изоляции (например, Р -
резина, В - поливинилхлорид, П - полиэтилен).
Марку провода выбираем по номинальному току по
справочнику.
В марках проводов могут также присутствовать
буквы, характеризующие другие элементы конструкции:
Таблица 4
|
№/п
|
Наименование
оборудования
|
|
|
Марка
провода и сечение
|
|
1
|
Кран
с ПВ=25%
|
19,7
|
59
|
ПВ
4 10
|
|
2
|
Точильно-шлифовальные
станки
|
4
|
9,3
|
ПВ
4 0,5
|
|
3
|
Вентиляторы
калорифера
|
22
|
42
|
ПВ
4 5
|
|
4
|
Сверлильные
станки
|
7,87
|
30
|
ПВ
4 2,5
|
|
5
|
Зубошлифовальные
станки
|
18,8
|
44
|
ПВ
4 5
|
|
6
|
Кран
с ПВ=40%
|
101
|
307
|
ВВГ
4 95
|
|
7
|
Испытательные
стенды
|
55
|
129
|
ПВ
4 25
|
|
8
|
Горизонтальные
ножницы
|
5,5
|
13
|
ПВ
4 0,75
|
|
9
|
Ножовочная
пила
|
4,25
|
8
|
ПВ
4 0,5
|
|
10
|
Продольно-строгательные
станки
|
48,8
|
114
|
ПВ
4 25
|
|
11
|
Токарно-револьверные
станки
|
42,8
|
100
|
ПВ
4 16
|
|
12
|
Пресс
|
11
|
26
|
ПВ
4 2,5
|
|
13
|
ВЧ
установки
|
45
|
79
|
ПВ
4 10
|
|
14
|
Копировально-прошивочные
станки
|
4,37
|
17
|
ПВ
4 1
|
ПВ 4
8
ПВ - провод поливинилхлоридный;
- количество жил;
- сечение провода (
.
. Выбор аппаратов защиты силового
оборудования
Назначение аппаратов защиты: для
защиты от коротких замыканий; для защиты двигателей (в т. ч. с функцией реле
защиты от перегрузки); для защиты электроустановок; для защиты пусковых сборок
от коротких замыканий; для защиты трансформаторов; как главные и аварийные
выключатели; для коммутирования постоянного тока; как аппарат защиты
трансформаторов напряжения во взрывоопасных зонах.
Автоматические выключатели выбирают
по номинальному току из таблицы №4.
Для крана выбираем автоматический
выключатель по условию:

, 
= 59 
1,25 = 73,75А
Выбираем расчётный ток расцепителя
автоматического выключателя по справочнику:

- расчётный ток расцепителя. 
= 80А
По току расцепителя выбираем тип
автоматического выключателя. Для крана выбираем автоматический выключатель типа
ВА 88-32 3Р 80А 25кА характеристика TDM, и заносим
в таблицу №5. Остальные аналогично.
Из этого следует:
· ВА 88- выключатель автоматический серии 88
· 32- ток расцепителя
· 3Р - трёхполюсной
· 80А - номинальный ток 80А
· 25кА- максимальная отключающая
способность 25кА
· TDM -
фирма производитель
Таблица 5
|
№/п
|
Наименование
оборудования
|
Рн
, КВт
|
Iн, А
|
 , А , АТип АВ
|
|
|
|
1
|
Кран
с ПВ = 25%
|
19,7
|
59
|
73,75
|
80А
|
ВА
88-32 3Р 80А 25кА TDM
|
|
2
|
Точильно
- шлиф. станки
|
4
|
9,3
|
11,63
|
16А
|
ВА
88-32 3Р 16А 25кА TDM
|
|
3
|
Вентиляторы
калорифера
|
22
|
42
|
52,5
|
63А
|
ВА
88-32 3Р 63А 25кА TDM
|
|
4
|
Сверлильные
станки
|
7,87
|
30
|
37,5
|
40А
|
ВА
88-32 3Р 40А 25кА TDM
|
|
5
|
Зубошлифовальные
станки
|
18,8
|
44
|
55
|
63А
|
ВА
88-32 3Р 63А 25кА TDM
|
|
6
|
Кран
с ПВ = 40%
|
101
|
307
|
383,8
|
400А
|
ВА
88-35 3Р 400А 35кА TDM
|
|
7
|
Испытательные
стенды
|
55
|
129
|
161,3
|
200А
|
ВА
88-35 3Р 200А 35кА TDM
|
|
8
|
Горизонтальные
ножницы
|
5,5
|
13
|
16,3
|
25А
|
ВА
88-32 3Р 25А 25кА TDM
|
|
9
|
Ножовочная
пила
|
4,25
|
8
|
10
|
12,5А
|
ВА
88-32 3Р 12,5А 25кА TDM
|
|
10
|
Продольно
- строгат. станки
|
48,8
|
114
|
142,5
|
160А
|
ВА
88-35 3Р 160А 35кА TDM
|
|
11
|
Токарно
- револьвер. станки
|
42,8
|
100
|
125
|
125А
|
ВА
88-35 3Р 125А 35кА TDM
|
|
12
|
Пресс
|
11
|
26
|
32,5
|
40А
|
ВА
88-32 3Р 40А 25кА TDM
|
|
13
|
ВЧ
установки
|
45
|
79
|
98,8
|
100А
|
ВА
88-32 3Р 100А 25кА TDM
|
|
14
|
Копировально
- прошивочные станки
|
4,37
|
17
|
21,3
|
25А
|
ВА
88-32 3Р 25А 25кА TDM
|
11. Расчёт падения напряжения
Сечение проводов и кабелей по допустимой потере
напряжения определяют главным образом для осветительных сетей. Для силовых
сетей этот метод расчёта применяют лишь при сравнительно большой их
протяжённости (вне цеховые сети). Сечение проводов и кабелей с одинаковым
сечением по всей длине рассчитывают по формуле:
где 
- расчётная нагрузка, кВт

- общая длина линии, м

- допустимая потеря напряжения сети,
%
С- коэффициент, зависящий от
напряжения и удельного сопротивления. Определяем С по таблице 38 [] С=77 (для
меди)
Из данной выше формулы определяем 
:
Для крана с ПВ = 40%:

= 11м

= 101 кВт

= 95 мм 2
Остальные потребители вычисляем аналогично и
заносим в таблицу №6.
Таблица 6
|
№
по плану
|
Наименование
оборудования
|
Длина
линии, м
|
Сечение,
мм2
|
 , %
|
|
1
|
Кран
с ПВ = 40%
|
11
|
95
|
0,15
|
|
2
|
Испытательные
стенды
|
1,4
|
25
|
0,04
|
|
3
|
|
12
|
25
|
0,34
|
|
4
|
|
3,2
|
25
|
0,09
|
|
5
|
|
11
|
25
|
0,3
|
|
6
|
Горизонтальные
ножницы
|
13
|
0,75
|
1,2
|
|
7
|
|
20
|
0,75
|
1,9
|
|
8
|
Точильно
- шлифов. станки
|
8
|
0,5
|
0,8
|
|
9
|
|
14,8
|
0,5
|
1,54
|
Ножовочная
пила
|
11,5
|
0,5
|
1,25
|
|
11
|
Кран
с ПВ = 40%
|
7,5
|
95
|
1
|
|
12
|
Вентиляторы
калорифера
|
8,5
|
5
|
0,5
|
|
13
|
|
17,5
|
5
|
1
|
|
14
|
Продольно
- строгат. станки
|
10
|
25
|
0,3
|
|
15
|
|
1,5
|
25
|
0,04
|
|
16
|
Токарно
- револьвер. станки
|
1,5
|
16
|
0,05
|
|
17
|
|
10
|
16
|
0,35
|
|
18
|
Сверлильные
станки
|
20
|
2,5
|
4,1
|
|
19
|
|
16
|
2,5
|
0,7
|
|
20
|
|
12,5
|
2,5
|
0,54
|
|
21
|
Зубошлифов.
станки
|
17,5
|
5
|
0,9
|
|
22
|
Ножовочная
пила
|
8,6
|
0,5
|
0,93
|
|
23
|
Точильно
- шлифов. станки
|
13,2
|
0,5
|
1,3
|
|
24
|
Зубошлифов.
станки
|
10
|
5
|
0,5
|
|
25
|
Кран
с ПВ = 25%
|
9
|
10
|
0,3
|
|
26
|
Пресс
|
7
|
2,5
|
0,5
|
|
27
|
|
8
|
2,5
|
0,6
|
|
28
|
|
1,6
|
2,5
|
0,11
|
|
29
|
ВЧ
установки
|
18,6
|
10
|
1,1
|
|
30
|
Копиров.
- прошивоч. станки
|
24
|
1
|
1,4
|
Раздел 2. Расчёт освещения механосборочного цеха
1. Значение освещённости и основные
светотехнические величины.
Нормирование искусственного или естественного
освещения - это установление норм и правил выполнения осветительных установок
(ОУ), обеспечивающих требуемые в процессе эксплуатации уровни количественных и
качественных показателей этих установок.
Правила и нормы освещения регламентируются
соответствующими нормативными документами, в основу которых заложены обычно
материалы научных исследований, физиологии зрения, гигиены труда, техники и
экономики освещения и др. смежных наук, при этом учитывается материальные и
энергетические ресурсы страны. Поэтому нормативные документы составляются в
каждой стране и отражают уровень развития в ней светотехнической науки и
промышленности, а так же техническую политику в области развития производства
источников света (ИС) и светотехнических изделий.
Целью и задачей нормирования является создание в
освещаемом помещении световой среды, обеспечивающей зрительную эффективность ОУ
с учётом требований физиологии зрения, гигиены труда, техники безопасности и
т.п. при минимальных затратах электроэнергии и других материальных затрат на
монтаж и эксплуатацию ОУ. Выбор показателей эффективности ОУ определяется её
функциональным назначением.
Так же к основным светотехническим величинам
относятся:
.Световой поток-мощность излучения, оценивается
глазом человека, ЛМ.
2.Освещённость - интенсивность
освещения поверхности, которая характеризуется плотностью распределения
светового потока ЛК (люкс) =
2. Выбор источников света
Источники света разделяются на 3
группы:
1. Тепловые (лампы накаливания, дуговая лампа)
2. Газоразрядные лампы (люминесцентные,
ртутные и др.)
. Полупроводниковые (светодиодные)
Таблица 7
|
Типы
источника
|
 , ВтСветовой поток, ЛМСрок службы,
час
|
|
|
|
Тепловые
|
100
|
2000
|
1
000
|
|
Газоразрядные
|
40
|
2850
|
10
000
|
|
Полупроводниковые
|
8
|
1300
|
50
000
|
В производственных помещениях применяют
люминесцентные, ДРЛ лампы, а в подсобных помещениях лампы накаливания.
3. Определение полезного действия помещения
КПД помещения зависит от:
. От площади и размеров помещения
2. От окраски стен, потолков и пола
. От светильников и их типа
Размеры помещения выражаются индексом помещения,
для определения индекса помещения составляется расчётная схема, рис 3.
Рисунок 3
h -
расстояние от светильника (нити накала лампы) до рабочей поверхности.
hсв. -
расстояние от светильника (нити накала лампы) до потолка цеха.
hрп.- высота
рабочей поверхности определяется по таблицам в зависимости от вида деятельности
человека.
H - высота
цеха.
Отсюда индекс помещения будет равен:

;
Где S - площадь,
м2;
h - м;
А - длина, м;
В - ширина, м;
Рисунок 4.
Далее определяем КПД помещения по
таблице № 52 [ ].
При 
(индекс помещения) Коэффициент
полезного действия будет равен: КПД = 65,1 %
4. Выбор типов светильников
Выбор типа светильников зависит от
характеристики помещения по условиям среды и способу прокладки проводки.
Таблица 8.
Выбор типа светильника производим по справочнику
[4] из таблицы №2
Выбираем светильник типа РСП 12-700 с лампой ДРЛ
700. Мощностью 700 Вт, световой поток 40 600 Лм. КПД светильника = 70 %.
Определяем коэффициент использования светового
потока:
|
Наименование
помещений, рабочих мест, оборудования
|
Характеристика
помещения по условиям среды
|
Плоскость
нормирования освещенности и её высота от пола, м
|
Разряд
и подразряд зрительных работ
|
Освещённость,
ЛК
|
Коэффициент
запаса
|
Аварийное
(А) и эвакуационное (Э) освещение
|
Напряжение
переносного освещения, В
|
Особенности
осветительной установки
|
|
|
|
|
Общее
освещение
|
Комбинированное
освещение
|
|
|
|
|
|
|
|
|
|
Всего
|
От
общего
|
|
|
|
|
|
Сборочное
и сборочно-монтажное отделение
|
Нормальное
|
Г
- 0,8
|
Б
|
300
|
____
|
____
|
1,5
|
Э
|
40
|
____
|
Определяем общее количество светильников:
Где Е - освещённость, ЛК;

- коэффициент запаса;

- площадь помещения, м2;
Ф - световой поток одного
светильника, ЛМ;

- коэффициент использования
светового потока;
Определяем норму освещённости:
Освещённость в цехе составило 422 ЛК
что превысило 20% норму. Поэтому придётся уменьшить количество светильников до
32 шт.
Определяем норму освещённости с 32
светильниками:
Освещённость составило 333 ЛК
превышение не должно быть больше 20%.
Окончательно принимаем 32
светильника РСП 12 - 700 с лампами ДРЛ 700.
Схема освещения:
Рисунок 5
5. Выбор аппаратов защиты
осветительной сети.
Определяем номинальный ток в Группе
1:
Аналогично вычисляем для остальных
групп основного и аварийного освещения и заносим в таблицу № 9.
Вычисляем расчётный ток расцепителя
автоматического выключателя по условию:
Для АВ Группы 1 
По току расцепителя выбираем тип
автоматического выключателя. Для Группы 1 выбираем автоматический выключатель
типа ВА 47-100 1р 20А 10кА х-ка СTDM.
Аналогично определяем для остальных
групп основного и аварийного освещения и заносим в таблицу № 9.
Выбираем головные автоматические
выключатели в ЩО и ЩАО по условию:
Для головного АВ в ЩО:
Выбираем тип автоматического
выключателя ВА 47-125 1р 80А 15кА х-ка СTDM. Головной
АВ в ЩАО выбираем аналогично и заносим в таблицу № 9.
Таблица 9
|
№
Группы
|
Рн,
КВт
|
Iн, А
|
 , А , АТип АВ
|
|
|
|
Основное
освещение
|
|
1
|
4.2
|
13.8
|
17.25
|
20
|
ВА
47-100 1р 20А 10кА х-ка СTDM
|
|
2
|
4.2
|
13.8
|
17.25
|
20
|
ВА
47-100 1р 20А 10кА х-ка СTDM
|
|
3
|
3.5
|
11.5
|
14.4
|
16
|
ВА
47-100 1р 16А 10кА х-ка СTDM
|
|
4
|
4.2
|
13.8
|
17.25
|
20
|
ВА
47-100 1р 20А 10кА х-ка СTDM
|
|
Аварийное
освещение
|
|
1А
|
2.8
|
9.2
|
11.5
|
16
|
ВА
47-100 1р 16А 10кА х-ка СTDM
|
|
2А
|
3.5
|
11.5
|
14.4
|
16
|
ВА
47-100 1р 16А 10кА х-ка СTDM
|
|
Головные
АВ
|
|
ЩО
|
15.8
|
52
|
65
|
80
|
ВА
47-125 1р 80А 15кА х-ка СTDM
|
|
ЩАО
|
6.3
|
20.7
|
26
|
32
|
ВА
47-125 1р 32А 15кА х-ка СTDM
|
. Выбор сечения проводов осветительной сети
Освещение цеха выполняем на тросах по радиальной
схеме от осветительных щитов (ЩО). ЩО питается от распределительного щита (РЩ)
кабелем проложенным открыто по стенам с креплением скобами.
Для тросовой проводки выбираем кабель марки ВВГ,
согласно таблице №4 [4].
Выбор сечения проводов производим от величины
тока номинального и величины допустимого тока для данного провода.
Iдоп.≥ Iн.
Для Группы 1:
Iн = 13, 8 А по ПУЭ
таблица 1.3.6. определяем сечение трёхжильного провода проложенного по воздуху,
марки ВВГ 3×1.5 .
Для остальных групп основного и аварийного
освещения определяем аналогично и заносим в таблицу № 10.
Для выбора сечения и марки кабеля от ЩО до РЩ
определяем
По ПУЭ таблица 1.3.6. определяем сечение
пятижильного кабеля, марки ВВГ 5×10 .
Для кабеля проложенного от ЩАО до РЩ определяем
аналогично и заносим в таблицу № 10.
Таблица 10
|
№
Группы
|
Рн,
КВт
|
Iн, А
|
Iдоп. , А
|
Марка
провода
|
|
Группа
1
|
4.2
|
13.8
|
19
|
ВВГ
3×1.5
|
|
Группа
2
|
4.2
|
13.8
|
19
|
ВВГ
3×1.5
|
|
Группа
3
|
3.5
|
11.5
|
19
|
ВВГ
3×1.5
|
|
Группа
4
|
4.2
|
13.8
|
19
|
ВВГ
3×1.5
|
|
Группа
1А
|
2.8
|
9.2
|
19
|
ВВГ
3×1.5
|
|
Группа
2А
|
3.5
|
11.5
|
19
|
ВВГ
3×1.5
|
|
Питающая
линия
|
|
От
ЩО до РЩ
|
15.8
|
52
|
55
|
ВВГ
5×10
|
|
От
ЩАО до РЩ
|
6.3
|
20.7
|
25
|
ВВГ
5×2.5
|
|
|
|
|
|
|
Раздел 3. Расчёт заземления и молниезащиты.
. Расчет защитного заземления
Заземлением называется преднамеренное соединение
частей электроустановки с землей с помощью заземляющего устройства, состоящего
из заземлителя и заземляющих проводников. Заземлитель - это металлический
проводник или группа проводников, находящихся в грунте, а заземляющими
защитными проводниками - металлические проводники, соединяющие заземляемые
части электроустановок с заземлителем.
Различают три вида заземления:
. защитное
2. рабочее
. грозозащитное
Исходные данные к расчёту заземления.
Таблица 10.
Таблица 11
|
Климатическая
зона
|
|
Удельное
сопротивление почвы (Ом/см)
|
Материал
|
|
3
|
1,5
|
8* Сталь
|
|
Для расчета защитного заземления необходимо
составить расчетную схему (рис.6).
Рис. 6 Расчетная схема.
L- Длина одиночного
вертикального заземлителя = 5 м
t - Глубина
заложения = 3 м
d - Диаметр = 60 мм
Допустимое сопротивление заземления не должно
превышать 4 Ом. Определяем сопротивление одиночного вертикального заземлителя
по формуле:
Определяем общее количество вертикальных
заземлителей:
N = 419/4=105 шт.
Принимаем расстояние между заземлителями а = 5
м.
Из таблицы 66. [2] определяем коэффициент
использования вертикального заземлителя:

.
Исходя из этого коэффициент
использования вертикального заземлителя 
Определяем суммарное сопротивление
всех вертикальных электродов:
Вычисляем длину горизонтального
заземлителя согласно формуле:
Согласно ПУЭ соединительная полоса
должна быть не менее 50 
принимаем полосу 40*2 мм.
Определяем сопротивление
горизонтальной полосы по формуле:
Где 
- длина горизонтального заземления

- коэффициент сезонности = 2.3

- ширина горизонтальной полосы

Определяем сопротивление заземления
из нескольких электродов, соединенных полосой:
Уменьшаем сопротивление до нормы (0,4 Ом)
. Расчет молниезащиты
Защита зданий и сооружений от поражения молнией
предназначена для полного или частичного исключения последствий попадания
молнии в защищаемый объект. Здания и сооружения, отнесенные к категориям 1 и 2
должны быть защищены от прямых ударов молнии ,а так же от электростатической и
электромагнитной индукции и от заноса высоких потенциалов через наземные и
подземные металлические сооружения.
Здания и сооружения, отнесенные к 3 категории,
должны быть защищены от прямых ударов молнии и заноса высоких потенциалов через
наземные и подземные металлические коммуникации. В процессе строительства
зданий важное значение имеет устройство временной системы молниезащиты, если
здание сооружается в грозовой период. Такое устройство выполняется с высоты 20
м и более. При этом в качестве токоотвода используются любые металлические
конструкции при условии надежности их соединений, в том числе болтовых, при
сопротивлении переходного контакта не более 0,05 Ом.
Расчет зоны защиты молниеотвода - это часть
пространства ,внутри которого здание или сооружение защищено от прямых ударов
молнии с определенной степенью надежности 99,5% и выше, а типа Б- 95% и выше.
Данные и расчет:
ПУЭ с.220. Интенсивность продолжительности гроз
часов в год от 20 до 40.
S (ширина)=6 м
L (длина)=20 м
H (высота)=5 м
Определяем ожидаемое количество поражений молний
в год по таблице
с. 351 «Электрические сети и оборудования жилых
и общественных зданий»:
Определяем ожидаемое количество поражений молний
в год по таблице с. 351 «Электрические сети и оборудования жилых и общественных
зданий»:
n=3
По таблице 26.1. определяем тип зоны защиты(зона
Б).Жилые и общественные здания, возвышающиеся более чем на 25 м над средней
высотой.
Определяем высоту молниеотвода по формуле:
Рис. 7 Зона защиты молниеотвода.

= 3, 
= 5
Раздел 4. Экономическая часть
. Смета на расходы силового электрооборудования
цеха
Таблица 12
|
№
|
Наименование
|
Кол-во,
шт.
|
Сметная
стоимость
|
|
|
|
Единицы
|
Общая
|
|
|
|
Материал,
руб.
|
Материал,
руб.
|
|
1
|
Мостовой
кран
|
1
|
114
720
|
114
720
|
|
2
|
Точильно-шлифовальный
станок мод. JBG-150
|
3
|
17000
|
51000
|
|
3
|
Копировально-прошивочный
станок мод. S36
|
1
|
892800
|
892800
|
|
4
|
Сверлильный
станок JDP-20FM
|
3
|
38000
|
114000
|
|
5
|
Зубошлифовальный
станок мод. SD32X
|
2
|
800000
|
1600000
|
|
6
|
Мостовой
кран (ПВ 40%)
|
2
|
127400
|
254800
|
|
7
|
Испытательные
стенды в/в СВС-100М
|
4
|
297242
|
1188968
|
|
8
|
Горизонтальные
ножницы мод. НВ5222
<#"802355.files/image004.gif"> 0,5м.122,0825
|
|
|
|
|
|
11
|
ПВ
4 0,75м.335165
|
|
|
|
|
|
12
|
ПВ
4 1м.2417408
|
|
|
|
|
|
13
|
ПВ
4 2,5м.1745765
|
|
|
|
|
|
14
|
ПВ
4 5м.54603 240
|
|
|
|
|
|
15
|
ПВ
4 10м.181462 628
|
|
|
|
|
|
16
|
ПВ
4 16м.11,52673 071
|
|
|
|
|
|
17
|
ПВ
4 25м.4039415 760
|
|
|
|
|
|
18
|
ВВГ
4 95м.18,5165430 599
|
|
|
|
|
|
19
|
ВА
88-32 3Р 12,5А 25кА TDM
|
шт.
|
1
|
1155
|
1
155
|
|
20
|
ВА
88-32 3Р 16А 25кА TDM
|
шт.
|
1
|
1155
|
1
155
|
|
21
|
ВА
88-32 3Р 25А 25кА TDM
|
шт.
|
2
|
1155
|
2
310
|
|
22
|
ВА
88-32 3Р 40А 25кА TDM
|
шт.
|
2
|
1155
|
2
310
|
|
23
|
ВА
88-32 3Р 63А 25кА TDM
|
шт.
|
2
|
1155
|
2
310
|
|
24
|
ВА
88-32 3Р 80А 25кА TDM
|
шт.
|
1
|
1155
|
1
155
|
|
25
|
ВА
88-32 3Р 100А 25кА TDM
|
шт.
|
1
|
1155
|
1
155
|
|
26
|
ВА
88-35 3Р 125А 35кА TDM
|
шт.
|
1
|
2308
|
2
308
|
|
27
|
ВА
88-35 3Р 160А 35кА TDM
|
шт.
|
1
|
2308
|
2
308
|
|
28
|
ВА
88-35 3Р 200А 35кА TDM
|
шт.
|
1
|
2308
|
2
308
|
|
29
|
ВА
88-35 3Р 400А 35кА TDM
|
шт.
|
1
|
2308
|
2
308
|
|
Итого:
|
1
306 369
|
3. Смета по осветительной части
Таблица 14
|
№
|
Наименование
|
Ед.
измер.
|
Кол-во
|
Сметная
стоимость
|
|
|
|
|
Единицы
|
Общая
|
|
|
|
|
Материал,
руб.
|
Материал,
руб.
|
|
1
|
ВВГ
3 1,5 (Провода для освещения)м.22,5
|
|
|
|
|
|
2
|
ВВГ
5×2.5
(От
ЩАО до РЩ)
|
м.
|
|
45,9
|
|
|
3
|
ВВГ
5×10
(От
ЩО до РЩ)
|
м.
|
|
229,44
|
|
|
4
|
ВА
47-100 1р 16А 10кА СTDM
|
шт.
|
3
|
158,14
|
474,42
|
|
5
|
ВА
47-100 1р 20А 10кА СTDM
|
шт.
|
3
|
158,14
|
474,42
|
|
6
|
ВА
47-125 1р 32А 15кА СTDM
|
шт.
|
1
|
231,67
|
231,67
|
|
7
|
ВА
47-125 1р 80А 15кА СTDM
|
шт.
|
1
|
231,67
|
231,67
|
|
8
|
Лампа
ДРЛ 700
|
шт.
|
32
|
434
|
13
888
|
|
Итого:
|
|
Все цены на электрооборудование цеха были взяты
из журнала TDM
Electric. Итого на
обустройство электрооборудования цеха ушло рублей.
Заключение
Во время выполнения курсовой работы мною были
достигнуты все поставленные цели. Проведено полное электрическое обустройство
механосборочного цеха, а так же было найдено самое выгодное решение со стороны
экономической части в прокладке проводки, установления аппаратов защиты и их
расположения.
Также выполнены расчеты по падению напряжения,
защитного заземления, молниеотвода.
Список используемых источников
1. Файбисович
Д.Л. Справочник по проектированию электрических сетей. - М: НЦ ЭНАС, 2009.-392
с.
2. Рожкова
Л.Д., Козулин В.С. Электрооборудование для станций и подстанций: Учебник для
техникумов. - М., 2007. - 648 с.
3. Неклепаев
Б.Н., Крючков И.П. Электрическая часть станций и подстанций: Учебное пособие
для вузов. - М.: Энергоатомиздат, 2006. - 640 с.
4. Герасименко
А.А., В.Т. Федин. Передача и распределение электро-энергии: Учебное пособие. −
Ростов-н/Д.: Феникс, − 2011. - 720 с.
5. Лыкин
А.В. Электрические системы и сети. Учебное пособие.− М.: Логос, 2012. −246
с.