Электроснабжение агломерационной фабрики металлургического комбината
КУРСОВОЙ ПРОЕКТ
Электроснабжение агломерационной
фабрики металлургического комбината
Введение
электроснабжение напряжение мощность
Под системой электроснабжения промышленного предприятия понимается
совокупность электрических сетей всех напряжений, расположенных на территории
предприятия и предназначенных для электроснабжения его потребителей.
Проектирование системы внутреннего электроснабжения основывается на общих
принципах построения схем внутризаводского распределения электроэнергии. Характерной
особенностью схем внутризаводского распределения электроэнергии является
большая разветвленность сети и наличие большого количества
коммутационно-защитной аппаратуры, что оказывает значительное влияние на
технико-экономические показатели и на надежность системы электроснабжения.
Системы электроснабжения промышленных предприятий создаются для
обеспечения питания электроэнергией промышленных приемников электрической
энергии, к которым относятся электродвигатели различных машин и механизмов,
электрические печи, электролизные установки, аппараты и машины для
электрической сварки, осветительные установки и другие промышленные приемники
электроэнергии. Задача электроснабжения промышленных предприятий возникла
одновременно с широким внедрением электропривода в качестве движущей силы
различных машин и механизмов и строительством электрических станций.
По мере развития электропотребления усложняются и системы
электроснабжения промышленных предприятий. В них включаются сети высоких
напряжений, распределительные сети, а в ряде случаев и сети промышленных ТЭЦ.
Возникает необходимость внедрять автоматизацию систем электроснабжения
промышленных предприятий и производственных процессов. Осуществлять в широких
масштабах диспетчеризацию процессов производства с применением телесигнализации
и телеуправления и вести активную работу по экономии электроэнергии.
Интенсификация производственных процессов, повышение производительности
труда связаны с совершенствованием существующей и внедрением новой, передовой
технологии. Этому процессу сопутствует широкое внедрение мощных вентильных
преобразователей, электродуговых печей, сварочных установок и других устройств,
которые при всей технологической эффективности оказывают отрицательное влияние
на качество электроэнергии в электрических сетях.
Проблема электромагнитной совместимости электроприемников с питающей
сетью порождает новые научные и технические проблемы при проектировании и
эксплуатации промышленных электрических сетей. Данная проблема может быть
решена путем освоения быстродействующих многофункциональных средств компенсации
реактивной мощности, улучшающих качество электроэнергии сразу по нескольким
параметрам. Внедрение этих устройств ведет к уменьшению потерь электроэнергии.
Экономное использование электроэнергии приобретает все большее значение,
что необходимо учитывать при проектировании и эксплуатации промышленных сетей
высокого и низкого напряжения. Одно из направлений сокращения потерь
электроэнергии в сетях является внедрение автоматизированных систем управления электроснабжением
и учетом электроэнергии.
При проектировании распределительной сети промышленного предприятия
необходимо учесть компенсацию реактивной мощности и обеспечить надежное
электроснабжения потребителей промышленного предприятия.
Курсовое проектирование является промежуточным этапом обучения и
направлено на систематизацию и расширение теоретических знаний студентов,
развитие аналитического и творческого мышления, на закрепление навыков
использования современной вычислительной техники и выполнение расчетно-графических
работ.
1. Исходные данные на проектирование
1. Схема генерального плана комбината, рисунок 1.
2. Сведения об электрических нагрузках по цехам фабрики.
. Питание может быть осуществлено от подстанции энергосистемы
неограниченной мощности, на которой установлены два трёх обмоточных
трансформатора мощностью по 63 MBA,
напряжением 115/37/6,3 кВ. Мощность КЗ на стороне 115 кВ равна 1400 МВА.
Трансформаторы работают раздельно.
. Расстояние от энергосистемы до фабрики 3,5 км.
. Стоимость электроэнергии за 1 кВт×ч задается преподавателем.
. Фабрика работает в три смены.
Таблица 1 -
Электрические нагрузки агломерационной фабрики
|
Наименование
|
Количество эл.приёмников
|
Установленная мощность, кВт
|
|
|
Одного эл. приёмника
|
Суммарная
|
|
1. Спекальный цех: а) 0,4
кВ, б) синхронные двигатели 6 кВ
|
150 4
|
10-80 1800
|
2100 7200
|
|
2. Котельная
|
30
|
10-80
|
580
|
|
3. Материальный склад
|
10
|
4-20
|
100
|
|
4. Административный корпус
|
20
|
1-10
|
80
|
|
5. Лаборатории
|
30
|
1-20
|
250
|
|
6. Цех фильтрации
|
70
|
10-50
|
1500
|
|
7. Цех рудничной мелочи
|
75
|
1-40
|
1100
|
|
8. Ремонтно-механический
цех
|
см. приложение (2)
|
|
9. Насосная: №1: а) 0,4 кВ,
б) синхронные двигатели 6 кВ
|
10 4
|
10-30 1500
|
150 6000
|
|
10. Цех шихты
|
50
|
10-50
|
1200
|
|
11. Цех перегрузки
|
40
|
10-20
|
1900
|
|
12. Насосная №2: а) 0,4 кВ,
б) синхронные двигатели 6 кВ
|
4 2
|
20 720
|
80 1440
|
|
13. Энергоцех
|
20
|
1-40
|
320
|
|
14. Гараж
|
10
|
1-20
|
70
|
Освещение цехов и территории комбината определить по площади
Рисунок 1 - Генеральный план комбината
Таблица 2 ‒ Нагрузки ремонтно-механический цеха
|
№ по плану
|
Наименование оборудования
|
Установленная мощность
|
|
1-3,19,20, 26,27
|
Токарный 6-шпинд.
горизонтальный полуавтомат
|
22+1,5+1
|
|
4, 5, 7, 8, 24
|
Токарно-револьверный станок
|
10+1,1+0,4
|
|
6
|
Токарно-винторезный станок
|
7,5+1,5
|
|
11
|
Вертикально сверлильный
станок
|
5,5+0,15
|
|
9, 10, 12
|
Вертикально сверлильный
станок
|
4+0,1
|
|
13
|
Центровальный станок
|
1,5
|
|
14-17
|
Токарный полуавтомат
|
7,5+1,1+0,8
|
|
18, 21-23
|
Заточный станок
|
1,5
|
|
28-31
|
Токарно-винторезный замок
|
10+4+0,2
|
|
25, 32, 33
|
Алмазно-расточной станок
|
4,0
|
|
34
|
Преобразователь дуговой
электросварки
|
20
|
|
35
|
Сварочный трансформатор
ПВ-40 %
|
35
|
|
36
|
Токарно-винторезный станок
|
13+1,5+0,4
|
|
37
|
Автомат импульсно-дуговой
наплавки
|
20
|
|
38, 39
|
Выпрямитель сварочный
|
24
|
2. Определение расчётных нагрузок цехов по установленной
мощности и коэффициенту спроса
Таблица 2 - Результаты расчета цехов предприятия
|
№
|
Наименование
|
Силовая нагрузка
|
Осветительная нагрузка
|
Суммарная нагрузка
|
|
|
Рном, кВт
|
Кс
|
Cosφ
|
tgφ
|
Рр, кВт
|
Qр, квар
|
F, м2
|
Pуд.о, кВт/м²
|
Рн.о, кВт
|
Рр.о, кВт
|
Кс.о
|
Рр+Рр.о,
кВт
|
Qр, квар
|
Sр, кВА
|
|
Потребители 0,4 кВ
|
|
1
|
Спекальный цех: а) 0,4 кВ
|
2100
|
0,8
|
0,8
|
0,75
|
1680
|
1260
|
3400
|
0,015
|
51
|
43,35
|
0,85
|
1723
|
1260
|
2134,838
|
|
2
|
Котельная
|
580
|
0,7
|
0,8
|
0,75
|
406
|
304,5
|
1900
|
0,015
|
28,5
|
24,225
|
0,85
|
430,2
|
304,5
|
527,0804
|
|
3
|
Материальный склад
|
100
|
0,6
|
0,7
|
1,02
|
60
|
61,212
|
2700
|
0,015
|
40,5
|
34,425
|
0,85
|
94,43
|
61,2122
|
112,5301
|
|
4
|
Административный корпус
|
80
|
0,8
|
0,8
|
0,75
|
64
|
48
|
1440
|
0,018
|
25,92
|
22,032
|
0,85
|
86,03
|
48
|
98,51652
|
|
5
|
Лаборатории
|
250
|
0,65
|
0,7
|
1,02
|
162,5
|
165,78
|
1060
|
0,014
|
14,84
|
12,614
|
0,85
|
175,1
|
165,783
|
241,141
|
|
6
|
Цех фильтрации
|
1500
|
0,8
|
0,8
|
0,75
|
1200
|
900
|
2600
|
0,015
|
39
|
33,15
|
0,85
|
1233
|
900
|
1526,65
|
|
7
|
Цех рудничной мелочи
|
1100
|
0,8
|
0,7
|
1,02
|
880
|
897,78
|
1200
|
0,014
|
16,8
|
14,28
|
0,85
|
894,3
|
897,78
|
1267,18
|
|
8
|
Ремонтно-механический цех
|
508
|
0,65
|
0,7
|
1,02
|
330,038
|
336,71
|
860
|
0,014
|
12,04
|
10,234
|
0,85
|
340,3
|
336,706
|
478,7017
|
|
9
|
Насосная: №1 а) 0,4 кВ
|
150
|
0,8
|
0,8
|
0,75
|
120
|
90
|
480
|
0,015
|
7,2
|
6,12
|
0,85
|
126,1
|
90
|
154,9395
|
|
10
|
Цех шихты
|
1200
|
0,8
|
0,8
|
0,75
|
960
|
720
|
1900
|
0,014
|
26,6
|
22,61
|
0,85
|
982,6
|
720
|
1218,164
|
|
11
|
Цех перегрузки
|
1900
|
0,7
|
0,75
|
0,88
|
1330
|
1172,9
|
580
|
0,015
|
8,7
|
7,395
|
0,85
|
1337
|
1172,95
|
1778,886
|
|
12
|
Насосная: №2 а) 0,4 кВ
|
80
|
0,8
|
0,8
|
0,75
|
64
|
48
|
620
|
0,015
|
9,3
|
7,905
|
0,85
|
71,91
|
48
|
86,4542
|
|
13
|
Энергоцех
|
320
|
0,7
|
0,75
|
224
|
168
|
1370
|
0,016
|
21,92
|
18,632
|
0,85
|
242,6
|
168
|
295,1174
|
|
14
|
Гараж
|
70
|
0,5
|
0,7
|
1,02
|
35
|
35,707
|
560
|
0,014
|
7,84
|
6,664
|
0,85
|
41,66
|
35,7071
|
54,87157
|
|
|
Освещение территории
|
|
|
|
|
|
|
20670
|
0,0016
|
33,07
|
33,072
|
1
|
33,07
|
0
|
33,072
|
|
|
Итого по 0,4 кВ
|
9938
|
|
|
|
7515,54
|
6208,6
|
|
|
|
296,708
|
|
7812
|
6208,64
|
9978,896
|
|
Потребители 6 кВ
|
|
1
|
Спекальный цех: б)
синхронный двигатель 6 кВ
|
7200
|
0,8
|
0,8
|
0,75
|
5760
|
0
|
|
|
|
|
|
5760
|
0
|
5760
|
|
9
|
Насосная: №1 б) синхронный
двигатель 6 кВ
|
6000
|
0,8
|
0,8
|
0,75
|
4800
|
0
|
|
|
|
|
|
4800
|
0
|
4800
|
|
12
|
Насосная: №2 б) синхронный
двигатель 6 кВ
|
1400
|
0,8
|
0,8
|
0,75
|
1120
|
0
|
|
|
|
|
|
1120
|
0
|
1120
|
|
|
Итого по 6 кВ
|
14600
|
|
|
|
11680
|
0
|
|
|
|
|
|
11680
|
0
|
11680
|
|
|
Итого по заводу
|
24538
|
|
|
|
19196
|
6209
|
|
|
|
296,708
|
|
19492
|
6209
|
20457,15
|
Расчет производим на примере механического
цеха №1.
Рассчитываем активную, реактивную и
осветительную нагрузку по формулам
Нагрузка остальных цехов предприятия рассчитывается аналогично.
Результаты расчетов заносим в таблицу 2, после чего находится итоговая нагрузка
потребителей энергии 0,4 кВ и 6 кВ.
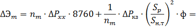
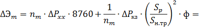
. Определение расчётной нагрузки комбината в целом
Так как трансформаторы цеховых и главных понизительных подстанций ещё не
выбраны, то приближённо потери мощности в них определяются из соотношений
В нашем случае для цеховых подстанций, кВ
А
Ориентировочно необходимая мощность компенсирующих устройств по заводу в
целом определяется из выражения
где
По рассчитанной мощности выбираем по [7, с.109] КУ типа - 2×УКЛ56-6,3-1350У1.
Нескомпенсированная мощность на шинах 10 кВ ГПП
где
- расчётная реактивная суммарная мощность завода, отнесённая
к шинам 10 кВ ГПП с учётом коэффициента разновременности максимумов силовой
нагрузки Крм= 0,95;
В качестве компенсирующих устройств принимаются батареи статических
конденсаторов. Определяем потери активной мощности в них
где
- удельные потери активной мощности, составляющие 0,2 % от
;
Общая активная мощность с учётом потерь в компенсирующих устройствах на
шинах подстанции:
где
- расчётная активная мощность завода, отнесённая к шинам 10
кВ с учётом коэффициента разновременности максимума силовой нагрузки Крм=
0,95;
Расчётная нагрузка на шинах 6 кВ ГПП с учётом компенсации реактивной
мощности
Предполагаем, что на заводе будет предусмотрена ГПП. Потери мощности в
трансформаторах ГПП ориентировочно определяются:
Полная расчётная мощность завода на стороне высшего напряжения ГПП
. Определение центра электрических нагрузок предприятия.
Расчёт параметров картограммы электрических нагрузок
Таблица 3 - Координаты расположения цехов
|
№ цеха
|
1
|
2
|
3
|
4
|
5
|
6
|
7
|
8
|
9
|
10
|
11
|
12
|
13
|
14
|
|
х, м
|
131
|
70
|
36
|
9
|
16
|
54
|
85
|
154
|
155
|
125
|
98
|
75
|
25
|
8
|
|
у, м
|
64
|
65
|
65
|
64
|
35
|
29
|
35
|
21
|
7
|
15
|
17
|
11
|
14
|
15
|
На генплан наносим координаты центров электрических нагрузок каждого цеха
(рисунок 1). Масштаб генплана М = 4 м/мм.
Определяем радиус окружностей активных нагрузок, исходя из масштаба
генплана.
Если принять для наименьшей нагрузки, равной 6,3 кВт (цех № 4), ра-диус r = 4 мм, то
Принимаем масштаб m =
1 кВт/мм
Определяем радиус для наибольшей нагрузки при принятом масштабе
Выполнение картограммы в таком масштабе возможно, поэтому оставляем этот
масштаб.
Угол сектора (a)
определяем из соотношения активных расчетных (Рр) и
осветительных нагрузок (Рро) цехов:
Проведем расчет параметров картограммы для цеха № 1
Результаты расчета для цеха № 1 заносим в таблицу 4. Расчеты для
остальных цехов производим аналогично.
Таблица 4 - Исходные данные и результаты расчета
|
№
|
Рр,
|
Рро,
|
ri
|
α
|
xi
|
yi
|
(Рр+Рро)*xi
|
(Рр+Рро)*yi
|
|
по ГП
|
кВт
|
кВт
|
мм
|
гр
|
м
|
м
|
кВт*м
|
кВт*м
|
|
0,4 кВ
|
|
1.Спекальный цех: а) 0,4 кВ
|
1680
|
43,35
|
23,43
|
9,056
|
131
|
64
|
225758,85
|
110294,4
|
|
2. Котельная
|
406
|
24,225
|
11,71
|
20,27
|
70
|
65
|
30115,75
|
27964,625
|
|
3. Материальный склад
|
60
|
34,425
|
5,484
|
131,2
|
36
|
65
|
3399,3
|
6137,625
|
|
4. Административный корпус
|
64
|
22,032
|
5,234
|
92,19
|
9
|
64
|
774,288
|
5506,048
|
|
5. Лаборатории
|
162,5
|
12,614
|
7,468
|
25,93
|
16
|
35
|
2801,824
|
6128,99
|
|
6. Цех фильтрации
|
1200
|
33,15
|
19,82
|
9,678
|
54
|
29
|
66590,1
|
35761,35
|
|
7. Цех рудничной мелочи
|
880
|
14,28
|
16,88
|
5,749
|
85
|
35
|
76013,8
|
31299,8
|
|
8. Ремонтно-механический
цех
|
330,0375
|
10,234
|
10,41
|
10,83
|
154
|
21
|
52401,811
|
7145,7015
|
|
9. Насосная: №1 а) 0,4 кВ
|
120
|
6,12
|
6,338
|
17,47
|
155
|
19548,6
|
882,84
|
|
10. Цех шихты
|
960
|
22,61
|
17,69
|
8,284
|
125
|
15
|
122826,25
|
14739,15
|
|
11. Цех перегрузки
|
1330
|
7,395
|
20,64
|
1,991
|
98
|
17
|
131064,71
|
22735,715
|
|
12.Насосная: №2 а) 0,4 кВ
|
64
|
7,905
|
4,785
|
39,58
|
75
|
11
|
5392,875
|
790,955
|
|
13. Энергоцех
|
224
|
18,632
|
8,79
|
27,64
|
25
|
14
|
6065,8
|
3396,848
|
|
14. Гараж
|
35
|
6,664
|
3,643
|
57,58
|
8
|
15
|
333,312
|
624,96
|
|
Освещение территории
|
0
|
33,072
|
3,245
|
360
|
83
|
47
|
2744,976
|
1554,384
|
|
Итого по 0,4 кВ
|
7515,538
|
296,708
|
|
|
|
|
745832,246
|
274963,3915
|
|
10 кВ
|
|
Спекальный цех: б)
синхронный двигатель 6 кВ
|
5760
|
0
|
42,83
|
0
|
131
|
64
|
754560
|
368640
|
|
Насосная: №1 б) синхронный
двигатель 6 кВ
|
4800
|
0
|
39,1
|
0
|
155
|
7
|
744000
|
33600
|
|
Насосная: №2 б) синхронный
двигатель 6 кВ
|
1120
|
0
|
18,89
|
0
|
75
|
11
|
84000
|
12320
|
|
Итого по 6 кВ
|
10560
|
|
|
|
|
|
1498560
|
402240
|
|
Итого по заводу
|
18075,54
|
296,708
|
|
|
|
|
2244392,246
|
677203,3915
|
Нагрузки в виде кругов наносим на генплан, в круге выделяем сектор
осветительной нагрузки. Нагрузки 0,4 кВ наносятся сплошной линией, 6 кВ -
пунктирной (рисунок 2).
Рассчитываем
И заносим в таблицу 4.
Определяем координаты центра активных электрических нагрузок
Расположить ГПП в месте расчетных координат представляется
возможным.
Рисунок
2 - Схема внутреннего электроснабжения комбината
Рисунок
3 - Картограмма электрических нагрузок со схемой внутреннего электроснабжения
комбината
5. Определение числа и мощности трансформаторов ГПП
В системах электроснабжения промышленных предприятий мощность силовых
трансформаторов должна обеспечить в нормальных условиях питание всех
приемников. Надежность электроснабжения предприятия достигается за счет
установки на подстанции двух трансформаторов. При аварии одного трансформатора,
другой будет покрывать всю мощность потребителей 1-ой и 2-ой категории с учетом
перегрузочной способности трансформатора.
Мощность трансформаторов ГПП выбирается по формуле
где
полная расчетная мощность завода, МВА;
коэффициент загрузки трансформаторов;
число трансформаторов.
Выбираем по [5] трансформатор ТД-16000/35
В аварийных условиях оставшийся трансформатор должен быть проверен на
допустимую перегрузку с учётом возможного отключения потребителей, кВ
А
Таблица 5 - Каталожные данные трансформатора
|
Тип
|
Sном, МВА
|
Напряжение обм.
|
Потери, кВт
|
Uк,%
ВН-НН
|
Iхх,%
|
Цена тыс. руб.
|
|
|
ВН
|
СН
|
НН
|
Рхх
|
Ркз
|
|
|
|
|
ТД-16000/35
|
16
|
38,5
|
-
|
6,3
|
17,8
|
90
|
8,0
|
0,6
|
13,6
|
6. Выбор рационального напряжения электроснабжения предприятия
Для выбора рационального напряжения внешнего электроснабжения предприятия
предварительно следует рассчитать нестандартное напряжение по формуле Стилла,
кВ
где
расстояние от источника питания, км.
передаваемая мощность равная расчетной нагрузке предприятия,
отне-сенной к шинам ВН ГПП, МВт.
Далее по стандартной шкале выбирают два близлежащих значения номинального
напряжения
где
стандартные значения номинального
напряжения, кВ. Произведем технико-экономическое сравнение вариантов схем
электроснабжения с разным напряжением питания.
7. Технико-экономическое сравнение
вариантов схем внешнего электроснабжения
Выбор вариантов
Наивыгоднейший вариант схемы электроснабжения промышленного предприятия
выбирают по условию минимальных приведенных затрат, рас-считанных по формуле:
где К, И - соответственно капитальные затраты и ежегодные расходы
в рассматриваемых вариантах схем электроснабжения промышленных предприятий; pн - нормативный коэффициент эффективности капитальных
вложений,
= 0,141/год.
Капитальные затраты для рассматриваемых вариантов схем внешнего
электроснабжения определяются по формуле:
где
- капитальные затраты в воздушную и кабельную линию, руб;
капитальные затраты на ГПП, руб.
Капитальные затраты в линии высокого напряжения ‒
где
стоимость 1 км воздушной или кабельной линии, руб/км;
- длина линии, км.
Суммарные ежегодные расходы в сравниваемых вариантах схем электроснабжения
находят по формуле:
где
суммарные амортизационные отчисления по электрическим сетям и
подстанциям, руб/год;
суммарные ежегодные расходы на обслуживание электрических
сетей и подстанций, руб/год;
суммарная стоимость годовых потерь электроэнергии в сетях и
подстанциях, руб/год.
Питание завода может осуществляется от п/ст энергосистемы. При этом
возможны два варианта внешнего электроснабжения:
1) передача электроэнергии от п/ст энергосистемы до ГПП напряжением 35 кВ
с понижением на 6 кВ;
) передача электроэнергии от энергосистемы 115 кВ воздушной линией и
распределение по предприятию напряжением 6 кВ (см рис. 4).
Рисунок
4 - варианты схем электроснабжения
Первый
вариант внешнего электроснабжения
Капитальные
затраты
Определяем
расчетный ток воздушной линии высокого напряжения в нормальном режиме
где
n - число цепей.
По
величине расчетного тока и экономической плотности тока рассчитаем
нестандартное сечение провода
где jэ - экономическая плотность тока, А/мм2
,
ч
Максимальный
рабочий ток
Принимаем
стандартное сечение
.
Для
АС 120/19
Капитальные
затраты на ВЛ
где
Кв - стоимость выключателей на линии 35 кВ, руб
По
[5] стоимость вакуумного выключателя ВВУ-35А-40/2000У1 равна 17030 руб.,
стоимость сооружения ВЛ 35 кВ на стальных двухцепных опорах с одновременной
подвеской двух цепей и проводом марки АС-120/19 равна 25200 рублей.
Тогда
стоимость:
-
двух выключателей
-
линии высокого напряжения
Суммарные
затраты на ЛЭП
Стоимость
двух трансформаторов ТД-16000/35
Стоимость
двух выключателей ВВУ-35А-40/2000У1
Суммарные
затраты на ГПП
Суммарные
затраты по первому варианту
Ежегодные
затраты
Величину
амортизационных отчислений определяют в процентах от
капитальных
затрат по элементам схемы внешнего электроснабжения
где
аi- норматив амортизационных отчислений для i-го
элементасхемыэлект-роснабжения; Ki - капитальные затраты по i-му элементу
схемы электроснаб-жения; m - число элементов схемы.
По
[5] для воздушной линии 35 кВ, а=2,4 %; для силового оборудования подстанций
а=6,4 %.
Амортизационные
отчисления по первому варианту
Расходы
на обслуживание определяют в процентах от капитальных затрат
где
норматив расходов на обслуживание i-го
элемента схемы внешнего электроснабжения
По
[5] для кабельной линии 10кВ, О=2,0 %; для оборудования подстанций О=3,0 %.
Суммарные
затраты на обслуживание по первому варианту
Стоимость годовых потерь электроэнергии рассчитывается по формуле
где
‒ себестоимость электроэнергии,
,
годовые потери электроэнергии в элементах схемы
электроснабжения
где
годовые потери электроэнергии в
кабельной линии,
Годовые потери электроэнергии в воздушной линии
где
число часов максимальных потерь ;
потери активной мощности (кВт) в
воздушной линии
где r0 -погонное сопротивление линии, Ом/км
(см.[1]);
n-
число цепей.
Для двухсменного графика работы по [7] годовое число часов использования
максимума нагрузки Tm=3770
ч
Годовые потери электроэнергии в трансформаторе
Суммарные потери электроэнергии в первом варианте
Стоимость годовых потерь электроэнергии
Суммарные ежегодные затраты по первому варианту:
Приведенные затраты
Приведенные затраты по первому варианту
Второй вариант внешнего электроснабжения
Капитальные затраты
Определяем расчетный ток воздушной линии высокого напряжения в нормальном
режиме
где n - число цепей.
По величине расчетного тока и экономической плотности тока рассчитаем
нестандартное сечение проводов линии 110 кВ
где jэ‒ экономическая плотность тока, А/мм2
Максимальный рабочий ток
Принимаем стандартное сечение Sстанд = 70мм2.
Для провода АС-70 Iдоп
=265 А (см.[5]); Iдоп ≥ Iр
Капитальные затраты на ЛЭП
где Кв - стоимость выключателей на линии 110 кВ, тыс.руб.
По [5] стоимость выключателей ВВУ-110Б-40/2000У1 равна 33060 руб. Тогда
стоимость 4 выключателей
Стоимость сооружения воздушной линии 110 кВ на стальных двух цепных
опорах с одновременной подвеской двух цепей и проводом марки АС-70 по [5]
равна,
Стоимость линии высокого напряжения
Суммарные затраты на ЛЭП
Стоимость двух трансформаторов ТДН-16000/110 по [5]
Суммарные затраты по второму варианту
Ежегодные затраты
Величину амортизационных отчислений определяют в процентах от капитальных
затрат по элементам схемы внешнего электроснабжения
где аi- норматив
амортизационных отчислений для i-го
элемента схемы электроснабжения;Ki - капитальные затраты по i-му
элементу схемы электроснабжения; m -
число элементов схемы.
По [5] для линии 100 кВ, а=2,8%;для силового оборудования подстанций
а=6,3%.
Амортизационные отчисления по первому варианту
Расходы на обслуживание определяют в процентах от капитальных затрат:
где
норматив расходов на обслуживание i-го элемента схемы внешнего электроснабжения
По [5] для линии 110 кВ, О=0,4%; для оборудования подстанций О=3%.
Суммарные затраты на обслуживание по первому варианту
Стоимость годовых потерь электроэнергии рассчитывается по формуле
где
‒ себестоимость электроэнергии,
,
годовые потери электроэнергии в элементах схемы
электроснабжения
где
годовые потери электроэнергии
соответственно в линиях и трансформаторах,
Годовые потери электроэнергии в воздушных линиях
где
число часов максимальных потерь ;
потери активной мощности (кВт) в воздушной линии

где r0 -погонное сопротивление линии, Ом/км
(см.[7]);
n-
число цепей.
Для двухсменного графика работы по [7] годовое число часов использования
максимума нагрузки Tm=3770
ч
Годовые потери электроэнергии в трансформаторах
Суммарные потери электроэнергии в первом варианте
Стоимость годовых потерь электроэнергии
Суммарные ежегодные затраты по второму варианту
Приведенные затраты
Приведенные затраты по первому варианту
Таблица 6 ‒ приведенные затраты вариантов
|
варианты
|
Капитальные затраты
|
Ежегодные расходы, руб/год
|
Приведенные затраты,
руб/год
|
|
|
Иа
|
Ио
|
Ипэ
|
|
|
1
|
204920
|
9586,88
|
3854,4
|
21218,03
|
63348,11
|
|
2
|
330440
|
17060,16
|
7256,0
|
13030,68
|
83608,44
|
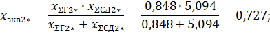
По приведенным затратам видно, что вариант 1 (35 кВ) более экономичен,
чем вариант 2 (110 кВ) на 24,23 %. Исходя из этого для внешнего
электроснабжения выбираем вариант 1 (35 кВ ).
Ориентировочный выбор числа и мощности цеховых трансформаторов производят
по удельной плотности
нагрузки
где
расчетная нагрузка цеха,
F ‒площадь цеха,
.
Результаты расчета удельной плотности нагрузки цехов занесем в таблицу 7.
Таблица 7 ‒ Результаты расчета удельной плотности нагрузки цехов
|
№ цеха
|
Sp
|
Площадь, F
|
Плотность нагрузки
|
|
1.Спекальный цех: а) 0,4 кВ
|
2134,838
|
3400,000
|
0,628
|
|
2. Котельная
|
527,080
|
1900,000
|
0,277
|
|
3. Материальный склад
|
112,530
|
2700,000
|
0,042
|
|
4. Административный корпус
|
98,517
|
1440,000
|
0,068
|
|
5. Лаборатории
|
241,141
|
1060,000
|
0,227
|
|
6. Цех фильтрации
|
1526,650
|
2600,000
|
0,587
|
|
7. Цех рудничной мелочи
|
1267,180
|
1200,000
|
1,056
|
|
8. Ремонтно-механический
цех
|
478,702
|
860,000
|
0,557
|
|
9. Насосная: №1 а) 0,4 кВ
|
154,940
|
480,000
|
0,323
|
|
10. Цех шихты
|
1218,164
|
1900,000
|
0,641
|
|
11. Цех перегрузки
|
1778,886
|
580,000
|
3,067
|
|
12.Насосная: №2 а) 0,4 кВ
|
86,454
|
620,000
|
0,139
|
|
13. Энергоцех
|
295,117
|
1370,000
|
0,215
|
|
14. Гараж
|
54,872
|
560,000
|
0,098
|
При плотности нагрузки до
целесообразно применять трансформаторы мощностью до
1000-1600
, а при плотности 0,2-0,5
мощностью 1600
При плотности более 0,5
целесообразность применения
трансформаторов мощностью 1600 или 2500
.
Выбор номинальной мощности трансформаторов производят по расчет-ной мощности нормального и аварийного
режимов работы исходя из рациона-льной загрузки в нормальном режиме и
с учетом минимально необходимого ре-зервирования в послеаварийном режиме.
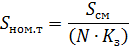
Номинальную мощность трансформаторов
определяют по средней нагрузке за
максимально загруженную смену:
где
число трансформаторов;
коэффициент загрузки трансформатора,
равный для цехов преобладающей нагрузкой 1 категории
для 2 категории
для 3 категории
При выборе числа и мощности ЦТП одновременно решают вопрос об
экономически целесообразной величине реактивной мощности, передаваемой через
трансформаторы в сеть напряжения до 1000 В.
Суммарную расчетную мощность конденсаторных батарей низшего напряжения
(НБК), устанавливаемых в цеховой сети, рассчитывают по минимуму приведенных
затрат в два этапа:
) выбирают экономически оптимальное число цеховых трансформато-ров;
2) определяют дополнительную мощность НБК в целях снижения потерь в трансформаторах
и в сети напряжением 6-10 кВ предприятия.
Суммарная расчетная мощность
НБК составит
где
суммарная мощности НБК, определенные на двух указанных
этапах расчета.
Минимальное число цеховых трансформаторов
одинаково мощности
, предназначенных для питания
технологически связанных нагрузок, определяют по формуле
где
‒ средняя активная мощность технологически связанных
нагрузок за наиболее нагруженную смену;
‒ рекомендуемый коэффициент
загрузки трансформатора;
добавка до ближайшего целого числа.
Экономически оптимальное число трансформаторов определяется по формуле
где
дополнительно установленные трансформаторы.
Определяем номинальную мощность трансформаторов в ТП1-5 и результаты
занесем в таблицу 8
‒ ТП1. От ТП1 запитаны цеха № 1
‒ ТП2. От ТП2 запитан цех № 2, № 3, № 4
‒ ТП3. От ТП3 запитаны цеха № 6, № 5, № 13, № 14
‒ ТП4. От ТП4 запитаны цеха № 7, № 12
‒ ТП5. От ТП5 запитаны цеха № 10, № 8, № 9
‒ ТП6. От ТП6 запитаны цеха № 11
Таблица 8
|
|
Тип тран-ра
|
кВт
|
кВт
|
|
|
Цена, тыс. руб.
|
|
ТП1
|
1600
|
ТСЗ-1600/6/0,4
|
4,2
|
16,0
|
5,5
|
1,5
|
8,595
|
|
ТП2
|
400
|
ТСЗ-400/6/0,4
|
1,3
|
5,4
|
5,5
|
3,0
|
3,515
|
|
ТП3
|
1000
|
ТСЗ-1000/6/0,4
|
3,0
|
11,2
|
5,5
|
1,5
|
6,29
|
|
ТП4
|
630
|
ТСЗ-630/6/0,4
|
2,0
|
7,3
|
5,5
|
1,5
|
4,2
|
|
ТП5
|
1000
|
ТСЗ-1000/6/0,4
|
3,0
|
11,2
|
5,5
|
1,5
|
6,29
|
|
ТП6
|
1000
|
ТСЗ-1000/6/0,4
|
3,0
|
11,2
|
5,5
|
1,5
|
6,29
|
Определяем минимальное число цеховых трансформаторов в ТП1
Определяем число трансформаторов
где
определено по [3] рисунку 1.5, а.
Находим по [3] наибольшую реактивную мощность (квар), которую
целесообразно передать через трансформаторы
Определим мощность
, квар
Установка НБК не требуется.
Определяем минимальное число цеховых трансформаторов в ТП2
Определяем число трансформаторов
где
определено по [3] рисунку 1.5, а.
Находим по [3] наибольшую реактивную мощность (квар), которую
целесообразно передать через трансформаторы
Определим мощность
, квар

Находим дополнительную мощность
, квар
где
Если в расчетах окажется, что
то для этого трансформатора
реактивная мощность принимается равной нулю.
Суммарная мощность (квар) НБК цеха равна
Устанавливаем два НБК марки УКМ 58-0,4-112,5-37,5У3.
Определяем минимальное число цеховых трансформаторов в ТП3
Определяем число трансформаторов
где
определено по [3] рисунку 1.5, а.
Находим по [3] наибольшую реактивную мощность (квар), которую
целесообразно передать через трансформаторы
Определим мощность
, квар
Находим дополнительную мощность
, квар
где
Если в расчетах окажется, что
то для этого трансформатора
реактивная мощность принимается равной нулю.
Суммарная мощность (квар) НБК цеха равна
Устанавливаем два НБК марки УКМ 58-0,4-337,5-37,5У3.
Определяем минимальное число цеховых трансформаторов в ТП4
Определяем число трансформаторов
где
определено по [3] рисунку 1.5, а.
Находим по [3] наибольшую реактивную мощность (квар), которую
целесообразно передать через трансформаторы
Определим мощность
, квар
Находим дополнительную мощность
, квар
где
Если в расчетах окажется, что
то для этого трансформатора
реактивная мощность принимается равной нулю.
Суммарная мощность (квар) НБК цеха равна
Устанавливаем два НБК марки УКМ 58-0,4-335-67У3.
Определяем минимальное число цеховых трансформаторов в ТП5
Определяем число трансформаторов
где
определено по [3] рисунку 1.5, а.
Находим по [3] наибольшую реактивную мощность (квар), которую
целесообразно передать через трансформаторы
Определим мощность
, квар
Находим дополнительную мощность
, квар
где
Если в расчетах окажется, что
то для этого трансформатора
реактивная мощность принимается равной нулю.
Суммарная мощность (квар) НБК цеха равна
Устанавливаем два НБК марки УКМ 58-0,4-268-67У3.
Определяем минимальное число цеховых трансформаторов в ТП6
Определяем число трансформаторов
где
определено по [3] рисунку 1.5, а.
Находим по [3] наибольшую реактивную мощность (квар), которую
целесообразно передать через трансформаторы
Определим мощность
, квар
Находим дополнительную мощность
, квар
где
Если в расчетах окажется, что
то для этого трансформатора
реактивная мощность принимается равной нулю.
Суммарная мощность (квар) НБК цеха равна
Устанавливаем два НБК марки УКМ 58-0,4-150-30У3.
9. Выбор сечения воздушной и кабельных линий
Определим сечение воздушной линии от п/ст энергосистемы до
ГПП методом экономической плотности тока. Определим расчётный ток питающих
линий в нормальном
и послеаварийных режимах
, А
где
- номинальное напряжение КЛ; n - число параллельных
цепей ВЛ;
-расчётная мощность.
Определим нестандартное сечение кабеля по экономической плотности тока,
мм2
где jэк - экономическая плотность тока выбранная по
таблице 4.1 при числе нагрузки
.
Принимаем стандартное сечение
.
Для АС 120/19
Определим расчётный ток питающей линии от ТП5 до ТП6 в
нормальном
и послеаварийных
режимах.
где
- номинальное напряжение КЛ;n - число параллельных
цепей КЛ;
-расчётная мощность.
Определяем нестандартное сечение кабеля по экономической плотности
тока,мм2,
где jэк - экономическая плотность тока выбранная по
таблице 4.1 для кабелей с алюминиевыми жилами из сшитого полиэтилена при числе
нагрузки
.
По таблице 7.10 [5] выбираем кабель из сшитого полиэтилена
сечением 3х(1х50) мм2,
Проведем проверку кабеля по нагреву
где Iдоп - допустимый ток нагрузки.
Проверяем выбранное сечение по допустимому нагреву, учитывая
допустимую нагрузку в послеаварийном режиме и снижения допустимого тока в
нормальном режиме при прокладке кабелей в одной траншее. Принимаем время
ликвидации аварии в максимальным (6 ч), а коэффициент загрузки линий в
нормальном режиме 0,6. Из таблицы 4.15 [3] находим, что допустимая перегрузка
К3= 1,23.
Коэффициент К2 снижения токовой нагрузки
принимаем по таблице 4.14 [3] равным 1,0. Коэффициент К1 принимаем
равным 1, считая , что температура соответствует расчётной температуре среды,
для которой составлены таблицы для определения
.
Определяем допустимый ток кабельных линий из соотношения
К1
К2
К3
Аналогично произведём расчёты для остальных цехов, и данные
занесём в таблицу 9.
Таблица 9 - Результаты расчётов и выбора КЛ
|
№ цеха по плану
|
Диспетчерское
наименование
|
Марка провода,
кабеля
|
Сечение
провода, кабеля, мм2
|
Iдоп, А
|
Iр мах, А
|
|
ЛЭП 35 кВ -
ГПП-6 кВ
|
АС 120/19
|
120/19
|
|
|
|
1
|
от ГПП-6 кВ до
ТП-1
|
АПвП
|
3(1х70)
|
295,2
|
276,45
|
|
2
|
от ТП1 до ТП2
|
АПвП
|
3(1х50)
|
239,85
|
71,1
|
|
3
|
от ТП2 до
РУСН-0,4 кВ (цех 3)
|
АПвП
|
3(1х120)
|
366,54
|
304,6
|
|
4
|
от цеха 3 до
РУСН-0,4 кВ (цех 4)
|
АПвП
|
3(1х50)
|
239,85
|
142,17
|
|
10
|
от ГПП-6 кВ до
ТП-5
|
АПвП
|
3(1х50)
|
239,85
|
178,21
|
|
11
|
от ТП5 до до
ТП-6
|
АПвП
|
3(1х50)
|
239,85
|
171,16
|
|
8
|
от ТП5 до
РУСН-0,4 кВ (цех 8)
|
АПвП
|
3(2х240)
|
947,6
|
912,2
|
|
9
|
от цеха 8 до
РУСН-0,4 кВ (цех 9)
|
АПвП
|
3(1х50)
|
239,85
|
223,72
|
|
7
|
от ГПП-6 кВ до
ТП-4
|
АПвП
|
3(1х120)
|
366,54
|
334,0
|
|
12
|
от ТП4 до
РУСН-0,4 кВ (цех 12)
|
АПвП
|
3(1х50)
|
239,85
|
125,6
|
|
6
|
от ТП4 до ТП-3
|
АПвП
|
3(1х50)
|
239,85
|
203,8
|
|
5
|
от ТП3 до
РУСН-0,4 кВ (цех 5)
|
АПвП
|
3(1х120)
|
366,54
|
348,05
|
|
13
|
АПвП
|
3(2х70)
|
531,36
|
505,2
|
|
14
|
от цеха 13 до
РУСН-0,4 кВ (цех 14)
|
АПвП
|
3(1х50)
|
239,85
|
79,38
|
|
9
|
От ГПП до СД 6
кВ (спек.цех)
|
АПвП
|
3(1х50)
|
239,85
|
216,51
|
|
6
|
От ГПП до СД 6
кВ (насосная №1)
|
АПвП
|
3(1х50)
|
239,85
|
180,42
|
|
4
|
От ГПП до СД 6
кВ (насосная №2)
|
АПвП
|
3(1х50)
|
239,85
|
86,6
|
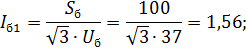
10. Расчёт токов короткого замыкания
Принимаем за базисные единицы
и среднее напряжение
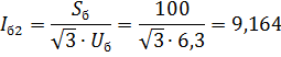
Определяем базисный ток, кА
Составляем схему замещения и определяем сопротивления элементов в
базисных единицах:
‒ сопротивление системы
‒ сопротивление трансформатора Т1
‒ сопротивление линии
‒ сопротивление трансформатора Т2
‒ сопротивление линии
‒ сопротивление линии
‒ сопротивление синхронного двигателя
где
Рисунок
5 - Исходная схема и схема замещения
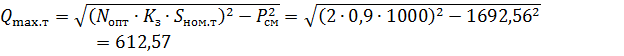
Определяем суммарное сопротивление со стороны генератора до точки К1
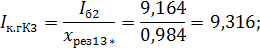
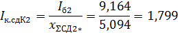
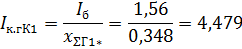
Определяем ток КЗ в точке К1. Так как условие
для точки К1 выполняется, то не
учитываем в расчетах активное сопротивление, кА
Определяем суммарное сопротивление со стороны генератора и со стороны
синхронного двигателя до точки К2
Определяем ток КЗ в точке К2. Так как условие
для точки К2 выполняется, то не
учитываем в расчетах активное сопротивление, кА
Суммарный ток в точке К2, кА
Определяем результирующие сопротивление до точки К3. Объединять генератор
и синхронный двигатель нельзя, поэтому определяем токи с помощью коэффициентов
распределения. Находим эквивалентное сопротивление от источников питания,
коэффициенты распределения и результирующие сопротивления до точки К1.
Определяем токи в точке К3 отдельно от генератора и от синхронного
двигателя
Суммарный ток в точке К3, кА
Определяем ударный ток в точках К1, К2, К3. Находим ударные коэффициенты
(табл. 3.3) [7],
Значение апериодической составляющей тока КЗ в момент времени t определяется по выражению
Примем по [7] для энергосистемы, связанной с точкой КЗ ВЛ напряжением 35
кВ: Та=0,05 с. Время t
определяет собой сумму минимального времени действий релейной защиты и
собственного времени отключения конкретного выключателя (ВВУ-35-40/2000У1):
для ВВЭ-10-31,5/1600У1
.
Таким образом, апериодическая составляющая тока КЗ определиться как
Тепловой импульс находим по выражению
где для 6 кВ
для 35 кВ
Таблица 10 ‒ результаты расчетов токов КЗ
|
Точка КЗ
|
|
|
|
|
|
К1
|
4,479
|
11,401
|
1,279
|
2,407
|
|
К2
|
12,601
|
32,076
|
4,857
|
16,672
|
|
К3
|
10,868
|
27,666
|
4,188
|
12,402
|
11. Выбор выключателя и разъединителя на 35 кВ
Условия выбора выключателя:
1) По
напряжению установки Uуст
Uном;
) По
длительному мах току Iраб мах
Iном;
3) по току отключения
) по электродинамической стойкости
5)
по термической стойкости
)
по полному току отключения
Определим
максимальный рабочий ток в цепи трансформатора

Выбираем по [5]выключатель ВВУ-35А-40/2000ХЛ (выключатель
воздушный, наружней установки) и разъединитель РНД-35/1000ХЛ1.
В таблице 11 приведены расчетные величины и каталожные данные
выключателя.
Таблица 11‒ Выбор выключателя и разъединителя на 35 кВ
12. Выбор
измерительных трансформаторов тока и трансформаторов напряжения
Контроль над режимами работы основного и вспомогательного оборудования на
подстанции осуществляется с помощью контрольно-измерительных приборов. Эти
приборы относятся к вторичным цепям и связанны с первичны-ми посредством
измерительных трансформаторов тока и напряжения.
Выбор ТТ в распределительном устройстве 35 кВ
Условия выбора:
по напряжению установки
по току
по динамической устойчивости по условию
по термической стойкости
по вторичной нагрузке
по классу точности.
Перечень необходимых измерительных приборов указан в таблице 6. Выбираем
трансформатор тока ТФЗМ 35Б1 [5]. Для проверки ТТ по вторичной нагрузке,
пользуясь каталожными данными приборов [5], определим нагрузку по фазам
(таблица 12).
Таблица 12 - Вторичная нагрузка ТТ 35 кВ
|
Прибор
|
Тип
|
Класс точности
|
Нагрузка фазы, В∙А
|
|
|
|
А
|
В
|
С
|
|
Амперметр
|
Э - 350
|
1,5
|
0,5
|
-
|
-
|
|
Ваттметр
|
Д - 335
|
1,5
|
0,5
|
-
|
0,5
|
|
Варметр
|
Д - 345
|
1,5
|
0,5
|
-
|
0,5
|
|
Итого
|
|
|
1,5
|
-
|
1,0
|
Из таблицы 12 видно, что наиболее загружен ТТ фазы А. Общее сопротивление
приборов равно, Ом,
При числе приборов не более трех сопротивление контактов равно, Ом,
Тогда допустимое сопротивление проводов определится по выражению, Ом,
Ориентировочная длина контрольного кабеля с медными жилами (
) L=100 метров. На напряжение 35 кВ ТТ соединены в полную звезду
и
, тогда сечение контрольного кабеля
равно, мм2,
Принимаем контрольный кабель с медными жилами сечением 2,5 мм2.
Зная сечение, определяем реальное сопротивление проводов, Ом,
Следовательно, истинная вторичная нагрузка ТТ, Ом,
Расчетные и каталожные данные ТТ сведем в таблицу 13.
Таблица 13 - Выбор ТТ 35 кВ.
|
Условие выбора
|
Расчетные величины
|
Каталожные данные ТФЗМ 35Б1
|
|
|
35 кВ
|
35 кВ
|
|
|
334 А
|
400 А
|
|
|
11,401 кА
|
80 кА
|
|
|
0,81 Ом
|
1,2 Ом
|
|
|
2,407 кА2с
|
2976,75 кА2с
|
|
Класс точности
|
0,5
|
0,5
|
Выбор трансформатора напряжения в РУ 35 кВ
Условия выбора:
по напряжению установки
- по вторичной нагрузке
Расчетные нагрузки измерительного ТН на стороне ВН приведены в таблицы
14.
Таблица 14 − Расчетные нагрузки измерительного ТН
|
Прибор
|
Тип
|
|
|
|
|
|
P, BT
|
Q, BAP
|
|
Вольтметр
|
Э335
|
2
|
1
|
1
|
0
|
1
|
2,0
|
-
|
|
Ваттметр
|
Д335
|
1,5
|
2
|
1
|
0
|
1
|
3,0
|
-
|
|
Варметр
|
Д335
|
1,5
|
2
|
1
|
0
|
1
|
3,0
|
-
|
|
Счетчик Wh
|
ЦЭ6822
|
5
|
1
|
0,38
|
0,925
|
1
|
1,9
|
4,6
|
|
Счетчик varh
|
ЦЭ6811
|
1
|
1
|
0,38
|
0,925
|
1
|
0,38
|
0,925
|
|
Вольтметр регистрирующий
|
Н393
|
10
|
1
|
1
|
0
|
1
|
10
|
-
|
|
Частотометр
|
Н393
|
7
|
1
|
1
|
0
|
1
|
7
|
-
|
|
Итого
|
|
27,3
|
5,53
|
Определим мощность приборов, подключаемых к ТН
Счетчики электроэнергии выбираем по табл. П.5.9 [5]. По [5] выбираем ТН
ЗНОЛ-СЭЩ-35.
Расчетные и каталожные данные ТН на 35 кВ приведем в таблицу 15.
Таблица 15 - Выбор ТН 35 кВ.
|
Условие выбора
|
Расчетные величины
|
Каталожные данные
ЗНОЛ-СЭЩ-35
|
|
|
35 кВ
|
35 кВ
|
|
|
27,85 BA
|
75 BA
|
Выбор КРУ и выключатели на 6 кВ
Выбираем комплектное распределительное устройство КРУ К-130. КРУ
предназначено для приема и распределения электрической энергии перемен-ного
трехфазного тока с номинальным значением напряжения 6- 35 кВ и тока 630-4000 А
, частотой 50 Гц и 60 Гц .
Условия выбора выключателя:
1) По
напряжению установки Uуст
Uном;
) По
длительному мах току Iраб мах
Iном;
3) по электродинамической стойкости
4)
по термической стойкости
)
по полному току отключения
Выбираем
по [5] выключатель ВВЭ-М-10-40/2000 (выключатель вакуумный, внутренней
установки).
В
таблице приведены расчетные величины и каталожные данные КРУ и выключателя на
напряжение 10 кВ.
Таблица
16 - Выбор КРУ и выключателя на 6 кВ
Габаритные размеры шкафов КРУ:
ширина 750 мм;
глубина 1300 мм;
высота 2270 мм.
Ячейки КРУ К-130 комплектуются ТТ и ТН. Данные в таблице 17.
Таблица 17
|
Тип трансформатора
|
Номинальное напряжение, В
|
Номинальная мощность, В·А
|
Номинальный первичный I
(А), U (В);
|
Номинальный вторичный I
(А), U (В);
|
|
ТПЛК-10-У3
|
10 кВ
|
-
|
2000
|
5
|
|
НАМИ-10-95
|
10 кВ
|
630
|
100
|
Таблица 18 - выбор трансформатора тока по загрузке
|
Условие выбора
|
Расчетные данные
|
Каталожные данные
|
|
|
0,81 Ом
|
1,2 Ом
|
Таблица 19 ‒выбор трансформатора напряжения по напряжению и
мощности
|
Условие выбора
|
Расчетные величины
|
Каталожные данные НАМИ-10-95
|
|
|
6 кВ
|
10 кВ
|
|
|
27,85 BA
|
630 BA
|
. Расчет электрических нагрузок ремонтно-механического цеха
методом упорядоченных диаграмм
Рисунок
6 - План ремонтно-механического цеха
Определяем расчетную нагрузку цеха методом упорядоченных диаграмм.
Исходные данные приведены в таблице 20.
Таблица 20 - Исходные данные цехов и механизмов
|
№ по плану цеха
|
Наименование отделения цеха
и производственного механизма
|
Установленная мощность, кВт
|
|
|
КПД
|
|
1-3,19,20, 26,27
|
Токарный 6-шпинд.
горизонтальный полуавтомат
|
22+1,5+1
|
0,4
|
0,8
|
0,88
|
|
4, 5, 7, 8, 24
|
Токарно-револьверный станок
|
10+1,1+0,4
|
0,4
|
0,8
|
0,88
|
|
6
|
Токарно-винторезный станок
|
7,5+1,5
|
0,4
|
0,8
|
0,89
|
|
11
|
Вертикально сверлильный
станок
|
5,5+0,15
|
0,4
|
0,8
|
0,89
|
|
9, 10, 12
|
Вертикально сверлильный
станок
|
4+0,1
|
0,4
|
0,8
|
0,88
|
|
13
|
Центровальный станок
|
1,5
|
0,4
|
0,8
|
0,89
|
|
14-17
|
Токарный полуавтомат
|
7,5+1,1+0,8
|
0,4
|
0,8
|
0,88
|
|
18, 21-23
|
Заточный станок
|
1,5
|
0,4
|
0,8
|
0,9
|
|
28-31
|
Токарно-винторезный замок
|
10+4+0,2
|
0,4
|
0,8
|
0,88
|
|
25, 32, 33
|
Алмазно-расточной станок
|
4,0
|
0,4
|
0,8
|
0,88
|
|
34
|
Преобразователь дуговой
электросварки
|
20
|
0,8
|
0,8
|
0,88
|
|
35
|
Сварочный трансформатор
ПВ-40 %
|
35
|
0,8
|
0,8
|
0,9
|
|
36
|
Токарно-винторезный станок
|
13+1,5+0,4
|
0,4
|
0,8
|
0,9
|
|
37
|
Автомат импульсно-дуговой
наплавки
|
20
|
0,8
|
0,8
|
0,88
|
|
38, 39
|
Выпрямитель сварочный
|
24
|
0,8
|
0,8
|
0,9
|
Все рабочие приемники цеха разбиваем по характерным
группам с одинаковыми коэффициентами использования КИА и мощности cos
с выделением групп приемников с
переменным (группа А − КИ< 0,6) и мало меняющимся (группа Б
− КИ ≥ 0,6) графиками нагрузки, (табл. 2.10).
Расчёт сделаем на примере группы А.
Определим величину отношения между номинальной
максимальной и номинальной минимальной мощностями по группе А.
Зная коэффициент использования и номинальную нагрузку
всех потребителей, определим среднюю нагрузку за максимально загруженную смену
Результаты занесем в таблицу 21
Определим приведенное число приемников в группе А
По таблице 1.7 по пэ и КИ
определяем КМ = 1,3
Таблица 21 - Результаты расчета
|
Наименование
узлов питания и групп приёмников электроэнергии
|
Кол-во
приёмников
|
Установленная
мощность, приведённая к ПВ=100%, кВт
|
m=Рмах/Рмин
|
КИ
|
Средняя
нагрузка за максимально загруженную смену
|
nэ
|
Км
|
Расчётная
нагрузка
|
|
|
|
одного
|
общая
|
|
|
Рсм, кВт
|
Qсм, квар
|
|
|
|
|
2.Металлообрабатывающие
станки
|
34
|
0,1-22
|
384,75
|
220
|
0,4
|
153,9
|
157,01
|
-
|
-
|
-
|
-
|
-
|
|
Итого по группе
А:
|
34
|
0,1-22
|
384,75
|
220
|
0,4
|
153,9
|
157,01
|
35
|
1,3
|
200,07
|
204,1
|
285,814
|
|
Приёмники
группы Б
|
|
Преобразователь
дуговой электросварки
|
1
|
20
|
20
|
20
|
0,8
|
16
|
16,32
|
-
|
-
|
-
|
-
|
-
|
|
Сварочный
трансформатор ПВ-40 %
|
1
|
35
|
35
|
35
|
0,8
|
28
|
28,57
|
-
|
-
|
-
|
-
|
-
|
|
Автомат
импульсно-дуговой
|
1
|
20
|
20
|
20
|
0,8
|
16
|
16,32
|
-
|
-
|
-
|
-
|
-
|
|
Выпрямитель
сварочный
|
2
|
24
|
48
|
50
|
0,8
|
38,4
|
39,18
|
-
|
-
|
-
|
-
|
-
|
|
Итого по группе
Б:
|
5
|
20-35
|
123
|
1,75
|
0,8
|
98,4
|
100,39
|
7
|
1,09
|
107,256
|
109,4
|
153,222
|
|
Итого силовой
нагрузки по группам А и Б:
|
39
|
0,2-175
|
507,75
|
-
|
-
|
252,3
|
257,40
|
-
|
-
|
307,326
|
313,54
|
439,037
|
|
Эл.освещение:
|
-
|
-
|
10,32
|
-
|
0,85
|
8,772
|
-
|
-
|
-
|
8,772
|
-
|
-
|
|
Итого по цеху:
|
-
|
-
|
518,07
|
-
|
-
|
261,072
|
-
|
-
|
-
|
316,1
|
313,54
|
445,221
|
Аналогично рассчитываем нагрузку по другим группам
электроприёмни-ков. Результаты расчета заносятся в таблицу 21.
После расчета группы приемников А и Б необходимо
определить полную нагрузку цеха. Для этого нужно знать нагрузку от освещения.
По таблице 1.4 находим удельную нагрузку на площадь цеха
т
По таблице 1.3 определяем коэффициент осветительных установок,
Зная расчетные нагрузки по цеху (таблица 9), определим
полную расчетную нагрузку
Средневзвешенный коэффициент спроса КС
силовых приемников цеха определяется из соотношения
Все расчеты сведены в таблицу 21.
Первым этапом проектирования системы электроснабжения является
определение электрических нагрузок. Расчёт заключается в определении расчёт-ной
мощности каждого электроприемника в зависимости от режима работы.
По значению электрических нагрузок выбирают и проверяют
электрооборудование системы электроснабжения, определяют потери мощности и
энергии. От правильной оценки ожидаемых нагрузок зависят капитальные затраты в
систему электроснабжения, эксплуатационные расходы, надёжность работы
электрооборудования.
Продемонстрируем расчет на примере одного электроприемника № 1 (пресс
кривошипный).
Определим активную номинальную мощность. Этот станок работает в
повторно-кратковременном режиме. ПВ - режим работы электроприемника, взят по
каталогу.
Электрическая нагрузка создаваемая одним ЭП (активная и реактивная):
Кз ‒ коэффициент загрузки, взят из таблицы № 22.
Полная нагрузка создаваемая одним электроприемником
Определим рабочий ток
Определим пусковой ток. Кпуск - коэффициент запуска, зависит
от условий пуска
Таблица 22 - Результаты нагрузок
|
№ по плану
|
Наименование
оборудования
|
Рном,
кВт
|
ПВ,%
|
Ррасч. кВт
|
Кз,
|
Рм,
кВт
|
Qм,
квар
|
Sм,
кВА
|
Iном,
А
|
Iпуск,А
|
cos
|
tg
|
КПД
|
|
1-3,19,20,
26,27
|
Токарный
6-шпинд. горизонтальный полуавтомат
|
22
|
40
|
13,91
|
0,75
|
10,44
|
10,65
|
14,91
|
36,357
|
181,8
|
0,7
|
1,02
|
0,89
|
|
|
1,5
|
40
|
0,949
|
0,75
|
0,712
|
0,73
|
1,016
|
2,507
|
12,54
|
0,7
|
1,02
|
0,88
|
|
|
1
|
0,632
|
0,75
|
0,474
|
0,48
|
0,678
|
1,6342
|
8,171
|
0,7
|
1,02
|
0,9
|
|
4, 5, 7, 8, 24
|
Токарно-револьверный
станок
|
10
|
40
|
6,325
|
0,75
|
4,743
|
4,84
|
6,776
|
16,526
|
82,63
|
0,7
|
1,02
|
0,89
|
|
|
1,1
|
40
|
0,696
|
0,75
|
0,522
|
0,53
|
0,745
|
1,8385
|
9,192
|
0,7
|
1,02
|
0,88
|
|
|
0,4
|
40
|
0,253
|
0,75
|
0,19
|
0,19
|
0,271
|
0,6537
|
3,268
|
0,7
|
1,02
|
0,9
|
|
6
|
Токарно-винторезный
станок
|
7,5
|
40
|
4,743
|
0,75
|
3,558
|
3,63
|
5,082
|
12,257
|
61,28
|
0,7
|
1,02
|
0,9
|
|
|
1,5
|
40
|
0,949
|
0,75
|
0,712
|
0,73
|
1,016
|
2,4789
|
12,39
|
0,7
|
1,02
|
0,89
|
|
11
|
Вертикально
сверлильный станок
|
5,5
|
40
|
3,479
|
0,75
|
2,609
|
2,66
|
3,727
|
8,9882
|
44,94
|
0,7
|
1,02
|
0,9
|
|
|
0,15
|
40
|
0,095
|
0,75
|
0,071
|
0,07
|
0,102
|
0,2479
|
1,239
|
0,7
|
1,02
|
0,89
|
|
9, 10, 12
|
Вертикально
сверлильный станок
|
4
|
40
|
2,53
|
0,75
|
1,897
|
1,94
|
2,711
|
6,5368
|
32,68
|
0,7
|
1,02
|
0,9
|
|
|
0,1
|
40
|
0,063
|
0,75
|
0,047
|
0,05
|
0,068
|
0,1653
|
0,826
|
0,7
|
1,02
|
0,89
|
|
13
|
Центровальный
станок
|
1,5
|
40
|
0,949
|
0,75
|
0,712
|
0,73
|
1,016
|
1,0042
|
5,021
|
0,7
|
1,02
|
0,88
|
|
14-17
|
Токарный
полуавтомат
|
7,5
|
40
|
4,743
|
0,75
|
3,558
|
3,63
|
5,082
|
12,394
|
61,97
|
0,7
|
1,02
|
0,89
|
|
|
1,1
|
40
|
0,696
|
0,75
|
0,522
|
0,53
|
0,745
|
1,8385
|
9,192
|
0,7
|
1,02
|
0,88
|
|
|
0,8
|
40
|
0,506
|
0,75
|
0,379
|
0,39
|
0,542
|
1,3074
|
6,537
|
0,7
|
1,02
|
0,9
|
|
18, 21-23
|
Заточный станок
|
1,5
|
40
|
0,949
|
0,75
|
0,712
|
0,73
|
1,016
|
2,507
|
12,54
|
0,7
|
1,02
|
0,88
|
|
28-31
|
Токарно-винторезный
замок
|
10
|
40
|
6,325
|
0,75
|
4,743
|
4,84
|
6,776
|
16,526
|
82,63
|
0,7
|
1,02
|
0,89
|
|
|
4
|
40
|
2,53
|
0,75
|
1,897
|
1,94
|
2,711
|
6,6854
|
33,43
|
0,7
|
1,02
|
0,88
|
|
|
0,2
|
40
|
0,126
|
0,75
|
0,095
|
0,10
|
0,136
|
0,3268
|
1,634
|
0,7
|
1,02
|
0,9
|
|
25, 32, 33
|
Алмазно-расточной
станок
|
4
|
40
|
2,53
|
0,75
|
1,897
|
1,94
|
2,711
|
6,6854
|
33,43
|
0,7
|
1,02
|
0,88
|
|
34
|
Преобразователь
дуговой электросварки
|
20
|
100
|
20
|
0,75
|
20
|
-
|
20
|
42,204
|
-
|
0,8
|
0,75
|
0,9
|
|
35
|
Сварочный
трансформатор ПВ-40 %
|
35
|
100
|
35
|
0,75
|
26,25
|
-
|
32,81
|
69,241
|
-
|
0,8
|
0,75
|
0,9
|
|
36
|
Токарно-винторезный
станок
|
13
|
40
|
8,222
|
0,75
|
6,166
|
6,29
|
8,809
|
21,245
|
106,2
|
0,7
|
1,02
|
0,9
|
|
|
1,5
|
40
|
0,949
|
0,75
|
0,712
|
0,73
|
1,016
|
2,4513
|
12,26
|
0,7
|
1,02
|
0,9
|
|
|
0,4
|
40
|
0,253
|
0,75
|
0,19
|
0,19
|
0,271
|
0,6537
|
3,268
|
0,7
|
1,02
|
0,9
|
|
37
|
Автомат
импульсно-дуговой наплавки
|
20
|
100
|
20
|
0,75
|
20
|
-
|
20
|
42,204
|
-
|
0,8
|
0,75
|
0,9
|
14. Расчет и выбор силовой (осветительной ) сети на стороне
0,4 кВ
Выбор магистральных шинопроводов ШМА
Магистральный шинопровод выбирается по сумме мощности цеха (табл. 21)
Принимаем к установке магистральный шинопровод типа ШМА-73-У3.
Таблица 23 ‒ Технические данные магистрального шинопровода
|
Тип
|
|
|
|
|
Динамическая стойкость
|
Сечение шины
|
|
А
|
В
|
Ом/км
|
Ом/км
|
кА
|
мм
|
|
ШМА-73У3
|
1600
|
660
|
0,022
|
0,031
|
70
|
Выбор распределительных шинопроводов ШРА
Принимаем к установке четырехполюсные распределительные шинопроводы типа
ШРА73. Устанавливаем два ШРА73 шинопровода. По плану цеха определим группу
нагрузок подключаемых к шинопроводу.
Таблица 24 - Нагрузки подключаемые к ШРА1
|
п/п
|
Наименование оборудования
|
Рном, кВт
|
|
1-3
|
Токарный 6-шпинд.
горизонтальный полуавтомат
|
22+1,5+1
|
|
4, 5, 7, 8
|
Токарно-револьверный станок
|
10+1,1+0,4
|
|
6
|
Токарно-винторезный станок
|
7,5+1,5
|
|
11
|
Вертикально сверлильный
станок
|
5,5+0,15
|
|
9, 10, 12
|
Вертикально сверлильный
станок
|
4+0,1
|
|
13
|
Центровальный станок
|
1,5
|
|
14-17
|
Токарный полуавтомат
|
7,5+1,1+0,8
|
|
21,22
|
Заточный станок
|
1,5
|
|
итого
|
188,55
|
Выбираем шинопровод ШРА73 У3
Таблица 25 - Нагрузки подключаемые к ШРА2
|
19,20
|
Токарный 6-шпинд.
горизонтальный полуавтомат
|
22+1,5+1
|
|
24
|
Токарно-револьверный станок
|
10+1,1+0,4
|
|
18
|
Заточный станок
|
1,5
|
|
28-31
|
Токарно-винторезный замок
|
10+4+0,2
|
|
25, 32, 33
|
Алмазно-расточной станок
|
4,0
|
|
34
|
Преобразователь дуговой
электросварки
|
20
|
|
35
|
Сварочный трансформатор
ПВ-40 %
|
35
|
|
36
|
Токарно-винторезный станок
|
13+1,5+0,4
|
|
37
|
Автомат импульсно-дуговой
наплавки
|
20
|
|
38, 39
|
Выпрямитель сварочный
|
24
|
|
Итого
|
268,7
|
Выбираем шинопровод ШРА73 У3
Таблица 26 - Технические данные шинопровода
|
Шинопровод
|
|
Термическая стойкость
|
Электродинамическая
стойкость
|
Сечение
|
|
ШРА73 У3
|
400
|
12
|
25
|
284х125
|
Выбор ответвлений от ШМА к ШРА
Для подключения нулевой шины ШРА предусматривается дополнительный провод,
его проводимость, согласно ПУЭ, должна составлять 50 % проводимости фазного.
Ответвления от ШМА выполняем кабелем из сшитого полиэтилена с допустимым
током нагрузки 394 А, прокладываемый по воздуху.
От ШМА к ШРА1 и ШРА2 выполняем кабелем АПвП (1х150)
Выбор ответвлений от ШРА к отдельным электроприемникам для
участка цеха подробной планировкой
Ответвления от ШРА к отдельным электроприемникам выполняются проводами
марки АПВ в тонкостенных трубах,
В качестве нулевого заземляющего провода прокладываем дополнительный
провод, проводимость которого равна 50 % проводимости фазного. Данные
номинальных токов возьмем из таблицы 22.
Таблица 24
|
№ по плану
|
Наименование оборудования
|
Рном,
кВт
|
Iном,
А
|
Iдоп.пр,А
|
Марка и сечение провода
|
Длина кабеля, м
|
|
1-3,19,20,
26,27
|
Токарный
6-шпинд. горизонтальный полуавтомат
|
22
|
36,357
|
63
|
АПВ 4х10
|
8
|
|
|
1,5
|
2,507
|
19
|
АПВ 4х2,5
|
8
|
|
|
1
|
1,6342
|
19
|
АПВ 4х2,5
|
8
|
|
4, 5, 7, 8, 24
|
Токарно-револьверный
станок
|
10
|
16,526
|
19
|
АПВ 4х2,5
|
8
|
|
|
1,1
|
1,8385
|
19
|
АПВ 4х2,5
|
8
|
|
|
0,4
|
0,6537
|
19
|
АПВ 4х2,5
|
8
|
|
6
|
Токарно-винторезный
станок
|
7,5
|
12,257
|
19
|
АПВ 4х2,5
|
8
|
|
|
1,5
|
2,4789
|
19
|
АПВ 4х2,5
|
8
|
|
11
|
Вертикально
сверлильный станок
|
5,5
|
8,9882
|
19
|
АПВ 4х2,5
|
12
|
|
|
0,15
|
0,2479
|
19
|
АПВ 4х2,5
|
12
|
|
9, 10, 12
|
Вертикально
сверлильный станок
|
4
|
6,5368
|
19
|
АПВ 4х2,5
|
12 7
|
|
|
0,1
|
0,1653
|
19
|
АПВ 4х2,5
|
12
|
|
13
|
Центровальный
станок
|
1,5
|
1,0042
|
19
|
АПВ 4х2,5
|
12
|
|
14-17
|
Токарный
полуавтомат
|
7,5
|
12,394
|
19
|
АПВ 4х2,5
|
12
|
|
|
1,1
|
1,8385
|
19
|
АПВ 4х2,5
|
12
|
|
|
0,8
|
1,3074
|
19
|
АПВ 4х2,5
|
8
|
|
18, 21-23
|
Заточный станок
|
1,5
|
2,507
|
19
|
АПВ 4х2,5
|
8
|
|
28-31
|
Токарно-винторезный
замок
|
10
|
16,526
|
19
|
АПВ 4х2,5
|
8
|
|
|
4
|
6,6854
|
19
|
АПВ 4х2,5
|
8
|
|
|
0,2
|
0,3268
|
19
|
АПВ 4х2,5
|
8
|
|
25, 32, 33
|
Алмазно-расточной
станок
|
4
|
6,6854
|
19
|
АПВ 4х2,5
|
12
|
|
34
|
Преобразователь
дуговой электросварки
|
20
|
42,204
|
63
|
АПВ 4х10
|
8
|
|
35
|
Сварочный
трансформатор ПВ-40 %
|
35
|
69,241
|
70
|
АПВ 4х16
|
8
|
|
36
|
Токарно-винторезный
станок
|
13
|
21,245
|
27
|
АПВ 4х4
|
8
|
|
|
1,5
|
2,4513
|
19
|
АПВ 4х2,5
|
8
|
|
|
0,4
|
0,6537
|
19
|
АПВ 4х2,5
|
8
|
|
37
|
Автомат импульсно-дуговой
наплавки
|
20
|
42,204
|
63
|
АПВ 4х10
|
8
|
|
38, 39
|
Выпрямитель
сварочный
|
24
|
50,645
|
70
|
АПВ 4х16
|
8
|
15. Выбор аппаратов защиты: ШМА, ШРА и отдельных
приемников
В качестве защиты в сети 0,4 кВ принимаем автоматические воздушные
выключатели серии ВА, А3700Б.
Выбор вводного автомата 0,4 кВ для защиты ШМА
В качестве вводного автомата принимаем автомат серии ВА 55-41. Расчетный
ток ШМА
Принимаем в качестве вводного автомата типа ВА 55-41 (
Защита распределительных шинопроводов ШРА
На ответвления от ШМА к ШРА устанавливаем автоматические выключатели типа
ВА.
Условие выбора выключателя
‒ по напряжению
‒ по току
Условие выбора расцепителя
‒ тепловой расцепитель
‒ электромагнитный расцепитель
Для ШРА1 выбираем автоматический выключатель ВА51.
,
.
Для ШРА2 выбираем автоматический выключатель ВА51.
,
.
Для защиты отдельных электроприемников применяем автоматические
выключатели серии ВА.
Пример выбора выключателя для станка № 1 - Двигатель-генератор высокой
частоты 2500 Гц.
Выбор остальных автоматических выключателей производим аналогично.
Таблица 25
|
по плану
|
Наименование
оборудования
|
Рном,
кВт
|
Iном,
А
|
Кол-во
|
Тип автомата, данные
|
|
1-3,19,20,
26,27
|
Токарный
6-шпинд. горизонтальный полуавтомат
|
22
|
36,357
|
7
|
ВА22-27, Iн=40 А
|
|
|
1,5
|
2,507
|
7
|
ВА19-29, Iн=2,5
А
|
|
|
1
|
1,6342
|
7
|
ВА19-29, Iн=1,6
А
|
|
4, 5, 7, 8, 24
|
Токарно-револьверный
станок
|
10
|
16,526
|
5
|
ВА19-29, Iн=16
А
|
|
|
1,1
|
1,8385
|
5
|
ВА19-29, Iн=2,5
А
|
|
|
0,4
|
0,6537
|
5
|
ВА19-29, Iн=0,8
А
|
|
6
|
Токарно-винторезный
станок
|
7,5
|
12,257
|
1
|
ВА19-29, Iн=16
А
|
|
|
1,5
|
1
|
ВА19-29, Iн=2,5
А
|
|
11
|
Вертикально
сверлильный станок
|
5,5
|
8,9882
|
1
|
АП50-3МТ, Iн=10
А
|
|
|
0,15
|
0,2479
|
1
|
ВА19-29, Iн=2,5
А
|
|
9, 10, 12
|
Вертикально
сверлильный станок
|
4
|
6,5368
|
3
|
ВА51, Iн=10
А
|
|
|
0,1
|
0,1653
|
3
|
ВА19-29, Iн=2,5
А
|
|
13
|
Центровальный
станок
|
1,5
|
1,0042
|
1
|
ВА19-29, Iн=2,5
А
|
|
14-17
|
Токарный полуавтомат
|
7,5
|
12,394
|
4
|
ВА19-29, Iн=16
А
|
|
|
1,1
|
1,8385
|
4
|
ВА19-29, Iн=2,5
А
|
|
|
0,8
|
1,3074
|
4
|
ВА19-29, Iн=2,5
А
|
|
18, 21-23
|
Заточный станок
|
1,5
|
2,507
|
4
|
ВА19-29, Iн=4,0
А
|
|
28-31
|
Токарно-винторезный
замок
|
10
|
16,526
|
4
|
ВА19-29, Iн=25
А
|
|
|
4
|
6,6854
|
4
|
ВА19-29, Iн=10
А
|
|
|
0,2
|
0,3268
|
4
|
ВА19-29, Iн=2,5
А
|
|
25, 32, 33
|
Алмазно-расточной
станок
|
4
|
6,6854
|
3
|
ВА51, Iн=10А
|
|
34
|
Преобразователь
дуговой электросварки
|
20
|
42,204
|
1
|
ВА19-29, Iн=63
А
|
|
35
|
Сварочный
трансформатор ПВ-40 %
|
35
|
69,241
|
1
|
ВА51, Iн=100 А
|
|
36
|
Токарно-винторезный
станок
|
13
|
21,245
|
1
|
ВА19-29, Iн=25
А
|
|
|
1,5
|
2,4513
|
1
|
ВА19-29, Iн=2,5
А
|
|
|
0,4
|
0,6537
|
1
|
ВА19-29, Iн=2,5
А
|
|
37
|
Автомат
импульсно-дуговой наплавки
|
20
|
42,204
|
1
|
ВА19-29, Iн=63
А
|
|
38, 39
|
Выпрямитель
сварочный
|
24
|
50,645
|
2
|
ВА19-29, Iн=63
А
|
Список используемой литературы
1 Системы электроснабжения: Сб. заданий по курсовому
проектированию/ Л.С. Синенко, Ю.П. Попов, Е.Ю. Сизганова, А.Ю. Южанников.
Красноярск: ИПЦ КГТУ, 2003. 84 с.
Электроснабжение: Учеб. Пособие по курсовому и дипломному
проектированию: в 2 - х ч. Ч. 2 / Л.С. Синенко, Т.П. Рубан, Е.Ю. Сизганова,
Ю.П. Попов. - Красноярск: Сиб. федер. ун-т; Политехн. Ин-т, 2007.-212 с
Электроснабжение: Учеб. Пособие по курсовому и дипломному
проектированию: В 2 ч. Ч. 1 / Л.С. Синенко, Т.П. Рубан, Е.Ю. Сизганова, Ю.П. Попов.
Красноярск: ИПЦ КГТУ, 2005. 135 с.
Федоров, А.А. Ристхейн Э.М. Электроснабжение промышленных
предприятий.; Учебник для вузов. ‒ М: Энергия, 1981. ‒ 360 с,: ил.
5 Неклепаев Б.Н., Крючков И.П. Электрическая часть
электростанций и подстанций: Справочные материалы для курсового и дипломного
проектирования: Учеб. Пособие для вузов. ‒ 4-е изд., перераб. и доп. ‒
М: Энергоатомиздат, 1989. ‒ 608 с,: ил.
Беляев А.В. Выбор аппаратуры, защит и кабелей в сетях 0,4 кВ.
‒ Л.: Энергоатомиздат. Ленингр. отд-ние, 1988 ‒ 176 с,:ил.
Л.Д. Рожкова, В.С. Козулин. Электрооборудование станции и
подстанции: Учебник для техникумов. -3-е изд.,перераб. и доп.- М.:
Энергоатомиздат, 1987.- 648 с.: ил.
СТО 4.2-07-2014. Система менеджмента качества. Общие
требования к построению, изложению и оформлению документов учебной и научной
деятельности. - Взамен СТО 4.2-07-2012; дата введ. 27.02.2014. - Красноярск:
БИК СФУ, 2014. - 57 с.