Исследование супергетеродинного приёмника
Министерство
образования и науки Украины
Донецкий
национальный технический университет
Кафедра
радиотехники и защиты информации
Расчётно-пояснительная
записка к курсовой работе
Исследование
супергетеродинного приёмника
Студент гр. РЭС-10
Джуринский И.А
Руководитель работы
Сорочан А.Г.
Донецк
2014
Задание на курсовой проект (работу)
. Тема работы: исследование
супергетеродинного приёмника.
. Срок сдачи студентом законченной
работы: __________
. Исходные данные к работе:
Чувствительность приёмника: Uвх = 3 мкВ
Несущая частота сигнала: fс = 14 МГц
Индекс модуляции: β = 3
Частота модуляции: fм = 11 кГц
Промежуточная частота: fпр = 1,4 МГц
Эквивалентное резонансное сопротивление контура
ВЦ: Zэр = 450 Ом
Активное сопротивление антенны: Rа = 65 Ом
Ёмкость антенны: Са = 5 пФ
Входное сопротивление УРЧ: Rвх = 450 Ом
Входная ёмкость УРЧ: Свх = 8 пФ
Характеристическое сопротивление ВЦ: ρ
= 24
Ом
Схема ВЦ:
4. Содержание расчётно-пояснительной
записки:
Отобразить схему электрическую принципиальную
преобразователя частоты и дать его описание;
Расчёт коэффициентов включения ВЦ;
Определить избирательность ВЦ по зеркальному каналу
(ЗК);
Определить избирательность входной цепи по ПЧ;
Рассчитать необходимое число каскадов УРЧ и КУ
УПЧ из условия, что входным уровнем детектора является сигнал в 0,5В, учитывая,
что КУ одного каскада УРЧ равен 15 дБ;
Оценить избирательность приёмника по ЗК при
условии применения УРЧ в качестве нагрузки контуров, параметры которых
соответствуют параметрам контура ВЦ;
Рассчитать коэффициент шума приёмника.
Реферат
Курсовая работа: 19 стр., 3 рис.
Цель работы: приобретение умений и навыков
расчёта параметров супергетеродинного приёмника.
Выполнены - расчёт коэффициентов включения
входной цепи, определение избирательности входной цепи по зеркальному каналу,
определение избирательности ВЦ по промежуточной частоте, рассчитано необходимое
число каскадов усилителя радиочастот и коэффициент усиления усилителя
промежуточной частоты, а также коэффициент шума приёмника.
Супергетеродинный приёмник, избирательность,
зеркальный канал, коэффициент шума, полезный сигнал, промежуточная частота.
Условные обозначения
ВЦ - входная цепь
ЗК - зеркальный канал
УРЧ - усилитель радиочастоты
УПЧ - усилитель промежуточной частоты
КУ - коэффициент усиления
СГП - супергетеродинный приёмник
ПЧ - преобразователь частоты
ФСС - фильтр сосредоточенной селекции
Ан. - антенна
СМ - смеситель
Г - генератор
Д - детектор
УЗЧ - усилитель звуковой частоты
Содержание
1.
Теоретические сведения
.
Расчёт параметров приёмника
.1
Расчёт избирательности ВЦ по ЗК
.2
Расчёт коэффициентов включения входной цепи
.3
Расчёт числа каскадов УРЧ и КУ УПЧ
.4
Оценка избирательности приёмника по ЗК
.5
Расчёт коэффициента шума приёмника
Выводы
. Теоретические сведения
В супергетеродинном приёмнике (далее СГП)
осуществляется преобразование частоты радиосигнала fс в промежуточную частоту
fпр. Преобразование частоты представляет собой смещение спектра сигнала по оси
частот в область более высоких или более низких частот без изменения формы
сигнала.
Рассмотрим структурную схему СГП с одним
преобразованием.
Рис. 1. Структурная схема СПГ.
частота радиосигнал приёмник шум
В приёмной антенне под действием
электро-магнитного поля наводится ЭДС (Еант) принимаемого сигнала с частотой
сигнала fс.
С выхода УРЧ сигнал поступает в преобразователь
частоты (ПЧ). В ПЧ осуществляется понижение частоты входного сигнала на
заданную величину с помощью колебаний генератора (fг). В приёмнике с одним
преобразованием всегда осуществляется понижение рабочей частоты.
ПЧ состоит из смесителя и гетеродина.
Гетеродин - генератор гармонических колебаний,
используемый для преобразования несущей частоты сигнала.
Смеситель выполнен на нелинейном элементе (НЭ),
где под действием напряжения гетеродина Uг с частотой гетеродина fг
осуществляется процесс преобразования входного сигнала. Частота, к которой
преобразуется частота принимаемого сигнала fс, называется промежуточной
частотой fпр.
Фильтр с сосредоточенной селекцией (ФСС),
подключенный к выходу смесителя, обеспечивает выделение колебаний промежуточной
частоты.
Частота гетеродина определяется настройкой его
контура, который при перестройке приёмника (ВЦ и УРЧ) также перестраивается.
При подаче на вход смесителя колебаний
радиосигнала Uс(t) с частотой fс и колебаний гетеродина с частотой fг выходной
ток смесителя содержит частоты приложенных напряжений fс, fг и их гармоники nfс
и mfг, а также комбинационные частоты (nfс ± mfг), где n и m могут принимать
значения 1, 2, 3, …
Обычно в СГП полосовой фильтр на выходе
преобразователя настраивается на частоту
.
Это соответствует 1-й гармонике комбинационных частот m=n=1. Частоту гетеродина
можно выбрать так, чтобы промежуточная частота была ниже минимальной частоты
диапазона рабочих частот приёмника. Если fг>fс, то говорят о верхней
настройке частоты гетеродина. Если fг<fс, то это нижняя частотная настройка
гетеродина.
Преобразование частоты обеспечивает особенности
супергетеродинного приёмника, которые проявляются в образовании побочных
каналах приёма. Наибольшую опасность представляют собой зеркальный канал и
канал прямого прохождения.
Преобразователь частоты преобразовывает весь
входной диапазон частот. Полезный сигнал с несущей частотой fС
преобразовывается к промежуточной частоте fПР= fГ - fС. Соседние станции с
несущей частотой fСК` преобразовываются к частоте fСК= fГ - fСК` и т.д. При
этом в полосу пропускания усилителя промежуточной частоты (УПЧ) попадает только
преобразованная частота сигнала и сопровождающий её спектр. Преобразованная
частота соседнего канала fСК, как и преобразованные частоты других каналов
оказываются вне полосы УПЧ и подавляются.
Таким образом в супергетеродинном приёмнике
осуществляется избирательность по соседнему каналу. Из-за того, что УПЧ не
перестраивается, эта избирательность может быть очень высокой. В УПЧ, также,
как и в преобразователе частоты, закон изменения модулирующего колебания не
изменяется.
С амплитудного детектора продетектированный
сигнал поступает на усилитель звуковой частоты, где происходит его усиление до
необходимого уровня для дальнейшего воспроизведения на оконечном устройстве.
Постоянство промежуточной частоты и её низкое
значение обеспечивает важные преимущества супергетеродинного приёмника:
. Высокая избирательность, так как число
контуров может быть достаточно большим. Это позволяет реализовать АЧХ УПЧ
близкой к прямоугольной.
. Высокий коэффициент усиления УПЧ и
высокая устойчивость его работы
Преобразование частоты принимаемых сигналов fС в
постоянную промежуточную частоту fПР обеспечивает следующие особенности
супергетеродинного приёмника:
. Резонансные цепи тракта преобразователя
частоты не нужно перестраивать. Это упрощает конструкцию. Благодаря постоянству
КУ ослабляется зависимость общего КУ приёмника от частоты настройки.
. При преобразовании частоты с переносом
спектра сигнала вниз влияние
паразитных обратных связей снижается, а это
позволяет увеличить КУ без ухудшения устойчивости.
. Использование пониженной fПР позволяет
сузить полосу пропускания УПЧ без усложнения конструкций резонансных цепей. При
этом полоса пропускания цепей ПЧ может быть выбрана равной ширине спектра
обрабатываемого сигнала. Этим обеспечивается эффективное подавление помех за
пределами полосы, занимаемой спектром сигналов.
2. Расчёт параметров приёмника
.1 Расчёт избирательности ВЦ по ЗК
Прохождение через приёмник помехи с частотой
зеркального канала fзк - один из наиболее существенных недостатков СГП.
Зеркальным называется побочный канал приёма
радиосигнала, отличающийся от частоты настройки радиоприёмника на удвоенное
значение промежуточной частоты. Помеха по ЗК при попадании в ПЧ
преобразовывается в промежуточную частоту и накладывается на полезный сигнал.
Подавление ЗК возможно только в преселекторе, поэтому одной из важнейших характеристик
является избирательность ВЦ по ЗК.
Избирательность - это способность выделения
сигнала нужной станции из совокупности сигналов других станций, действующих на
входе приёмника. Коэффициент избирательности характеризует избирательность и
показывает, во сколько раз уменьшится коэффициент передачи при заданной
частотной расстройке по сравнению с его значением при резонансе.
Избирательность ВЦ по ЗК определяется по
формуле:
,
где
-
абсолютная расстройка частоты, которая вычисляется по формуле:
,
где
-
эквивалентная добротность контура ВЦ. Вычислим её по формуле:
- частота
зеркального канала, которая, учитывая верхний режим преобразования (по условию
варианта), определяется по формуле:
(МГц)
Находим абсолютную расстройку:
Находим избирательность:
Выразим результат в логарифмических единицах:
дБ
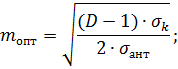
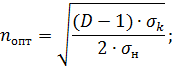
2.2 Расчёт коэффициентов включения входной цепи
Рис. 4. Схема входной цепи
Назначение входной цепи - предварительная
селекция помеховых сигналов по отношению к полезному сигналу. Для согласования
антенны с цепью первого каскада УРЧ используют неполное включение антенны и
первого каскада УРЧ. Для этого выбирают коэффициенты m со стороны антенны и n
со стороны первого каскада УРЧ.
Формула для расчёта коэффициентов m и n найдём
из соотношений:
где D - расширенная полоса пропускания нагруженного
колебательного контура
где Qк - конструктивная добротность которая
берется в пределах 100-120 в зависимости от частоты сигнала.
=110
Найдем реактивное сопротивление антенной цепи:
(Ом)
Полное сопротивление антенны:
Найдем проводимость антенной цепи:
Найдем реактивное сопротивление первого каскада
УРЧ:
Полное сопротивление нагрузки:
Найдем проводимость нагрузки контура:
Найдем эквивалентное сопротивление контура:
Найдем проводимость контура:
Находим коэффициенты включения:

Если коэффициенты включения при расчёте имеют
значение больше единицы, то принимаем их значение равное единице, т.е. полное
включение контура.
Определение избирательности ВЦ по промежуточной
частоте fпр
Подавление помехи с частой, равной промежуточной
частоте, важно, как и подавление зеркального канала, так как эта помеха
проходит через смеситель, как через обычный усилитель, накладывается на
полезный сигнал и усиливается в УПЧ.
Как следствие, в выделенном модулирующем сигнале
наблюдаются значительные искажения.
Подавить эту помеху можно только в преселекторе.
Рассчитаем избирательность ВЦ по промежуточной
частоте:
Подставим значения:
Выразим
в
дБ:
.3 Расчёт числа каскадов УРЧ и КУ УПЧ
Основным условием при выборе числа каскадов УРЧ
является обеспечение необходимого ослабления помехи по ЗК.
Для того чтобы эффективно подавить помеху по ЗК,
необходима избирательность преселектора по ЗК около 60-70 дБ.
Так как контуры УРЧ эквивалентны контуру ВЦ, и
дБ,
количество каскадов УРЧ определим по формуле:
Так как число каскадов УРЧ равно 3, а КУ одного
каскада УРЧ
то КУ УРЧ будет
равен:
При чувствительности приёмника Uвх = 3 мкВ для
нормальной работы детектора Uвх.д. = 1 В, нужно определить суммарный
коэффициент усиления приёмника. Он определяется по формуле:
Суммарный коэффициент усиления приёмника - это
произведение КУ УРЧ и КУ УПЧ:
Из формулы суммарного КУ приёмника определим КУ
УПЧ:
2.4 Оценка избирательности приёмника по ЗК
Так как подавление ЗК в СПГ возможно только в
преселекторе, избирательность ЗК приёмника равна сумме избирательностей ВЦ по
ЗК и УВЧ по ЗК, выраженная в логарифмических единицах:
В задании сказано, что УРЧ применяется в
качестве нагрузки контуров, параметры которого соответствуют параметрам контура
ВЦ, поэтому:
Следовательно, избирательность приёмника по ЗК
можно вычислить по формуле:
дБ
2.5 Расчёт коэффициента шума приёмника
Коэффициент шума показывает, во сколько раз
мощность шумов на выходе приемника больше их мощности на его входе.
Коэффициент шума определяется по формуле:
Мощность шума на входе:
Коэффициент усиление приемника до детектора:
Эффективная шумовая полоса пропускания:
кГц)
Находим мощность шума на входе:
(Вт)
Находим мощность шума на выходе линейной части
приемника:
Мощность сигнала на входе:
(Вт)
=
(мкВт)
Заданное выходного отношения сигнал/шум 8дБ
Находим коэффициента шума:
Выразим результат в логарифмических единицах:
(дБ)
Выводы
В процессе работы был спроектирован
супергетеродинный приёмник. В соответствии с вариантом был произведён расчёт
коэффициентов включения колебательного контура входной цепи. Была рассчитана
избирательность входной цепи по зеркальному каналу. Был произведён расчёт числа
каскадов УРЧ и коэффициента усиления УПЧ. Была произведена оценка
избирательности приёмника по зеркальному каналу. Рассчитан коэффициент шума
приёмника.
Результатом выполнения работы явилось овладение
навыками расчёта элементов приёмника и приобретение навыков проектирования
систем, выполняющих преобразование сигналов в соответствии с поставленными
задачами.
Характерной особенностью выполнения данной
курсовой работы стала его практическая ценность в выработке умений проведения
анализа структурных схем и их реализаций.