Характеристики аэродисперсных систем

  • Вид работы:
    Реферат
  • Предмет:
    Физика
  • Язык:
    Русский
    ,
    Формат файла:
    MS Word
    409,38 Кб
  • Опубликовано:
    2015-02-22
Вы можете узнать стоимость помощи в написании студенческой работы.
Помощь в написании работы, которую точно примут!

Характеристики аэродисперсных систем

СОДЕРЖАНИЕ

Введение

1. Оптические свойства аэрозолей

. Релеевский закон рассеяния

3.Взаимодействие электромагнитного излучения с одиночной частицей: теория Ми

4. Оптические характеристики аэрозолей

5. Пределы применимости теории Ми

Заключение

Список использованной литературы

ВВЕДЕНИЕ

Актуальность темы исследования. Оптические свойства - одни из самых типичных, но в тоже время важнейших характеристик аэродисперсных систем. Рассевают излучение любые аэрозольные частицы. Некоторые частицы (например, сажевые) могут эффективно поглощать излучение. Совокупность процессов рассеяния и поглощения называется экстинкцией (ослаблением) излучения.

Взаимодействие электромагнитного излучения с аэрозольными частицами и его разнообразные следствия являются предметом исследования многочисленных и взаимосвязанных разделов оптики и механики аэродисперсных сред. Как вполне сложившиеся направления можно рассматривать такие дисциплины как теория поглощения и рассеяния света малыми частицами (Борен и Хафмен, 1986) и оптика атмосферного аэрозоля (Ивлеви Андреев, 1986).

Первое направление, беря начало с классических работ Тиндаля, Рэлея, Лоренца, Ми и Дебая привело, в конечном счете, к созданию многочисленных лабораторных методик, базирующихся на свойствах упругого и неупругого рассеяния излучения на индивидуальных частицах. Например, разнообразные применения в физике, химии, биологии, медицине и материаловедении находят методики оптического пленения и манипуляций с частицами посредством сил светового давления лазерного излучения.

Естественным и очевидным объектом исследований является и атмосферный аэрозоль, взаимодействие которого с прямыми рассеянным солнечным излучением является традиционной и плодотворно развивающейся задачей оптики аэрозолей и физики атмосферы (Ивлев и Андреев, 1986). Несомненно, что взаимодействие солнечного излучения с частицами аэрозоля оказывает заметное влияние на радиационный режим в атмосфере. Он, в свою очередь, влияет на формирование регионального и глобального климата и его быстро протекающие изменения.

Одним из разделов современной физики атмосферы является нелинейная оптика атмосферного аэрозоля, возникновение которой было мотивировано практическими возможностями воздействия мощного излучения на атмосферный аэрозоль и лазерным мониторингом атмосферы. Актуальными задачами данного направления является выяснение закономерностей распространения интенсивных пучков излучения в аэродисперсных средах для передачи электромагнитной энергии на большие расстояния, а также радиационного просветления облаков и туманов, обусловленного нагревом и испарением воднокапельного аэрозоля.

Процессы взаимодействия излучения с аэродисперсными частицами отнюдь не ограничиваются условиями земной атмосферы. Например, для астрофизики со времен Кеплера традиционной является задача о рассмотрении действия сил светового давления (и сопряженных эффектов) на частицы в газопылевых облаках вблизи звезд и в хвостах комет.

Все это обусловило выбор темы, ее актуальность, значимость.

Актуальность моего исследования определила цель и задачи работы.

Цель работы -изучить оптические свойства аэрозолей.

Для достижения цели были поставлены и решены следующие задачи:

.        Изучить Релеевский закон рассеяния;

.        Изучить взаимодействие электромагнитного излучения с одиночной частицей: теория Ми

При написании работы были использованы различные источники: учебные пособия и учебники, научные статьи в периодической литературе, публикации в интернете.

1.     
Оптические свойства аэрозолей

Рассеяние, отражение и поглощение света аэрозолями зависит от размера, формы и природы частиц, а также от длины волны падающего света. Если проходящий через аэрозоль световой пучок наблюдать под некоторым углом на темном фоне, то наличие частиц легко обнаружить по рассеянному свету, образующему конус Тиндаля . В результате опытов Тиндаля и теоретических работ Релея получили правильное объяснение голубая окраска света, рассеянного мелкими частицами, и преимущественное пропускание ими красного света, наблюдаемого на закате солнца. Уже Леонардо да Винчи понимал, что атмосфера представляет собой мутную среду и что содержащиеся в ней частицы пыли, капельки воды и т. д. рассеивают свет, обогащенный голубыми лучами, а проходящий через атмосферу свет имеет красноватый оттенок.

Есть еще одно интересное цветовое явление, обусловленное наличием частиц, но необъяснимое с точки зрения классической теории Релея. В некоторых случаях солнце имеет зеленую окраску, а иногда кажется голубым6. Явление «голубого» солнца обсуждалось рядом авторов. Изучая прохождение света через туман. образующийся при конденсации пара в потоке, Айткен установил, что «при обычной конденсации цвет меняется от нежно-зеленого до темно-голубого различной интенсивности». В опытах, проведенных в камере Вильсона, он обнаружил следующую смену цветов: вначале появлялся голубой, затем зеленый и желтый. Эти наблюдения были продолжены. Но до самого последнего времени для этих цветовых эффектов не было найдено удовлетворительного физического объяснения. Попытки привлечь физиков к решению этой проблемы долгое время оставались тщетными, так как она не была в то время модной ". Только во время второй мировой войны, когда начали широко применяться дымовые завесы и рассеяние света аэрозолями приобрело большой практический интерес, было понято значение теории рассеяния и она была сопоставлена с экспериментальными результатами.

С рассеянием света малыми частицами связан другой эффект, хорошо объясняемый теорией,- поляризация света. Рассеяние, отражение и поглощение определяют ослабление проходящего через аэрозоль света и являются основными факторами, характеризующими видимость предметов в атмосфере. В лаборатории, а иногда и в полевых условиях, измерения рассеянного или проходящего света, поляризации или дифракционных венцов служат удобными косвенными методами определения размеров частиц. При соблюдении известных ограничивающих условий теория во многих случаях применима не только к видимому свету, но и к более длин- ным электромагнитным волнам и к частицам соответствующих размеров. Полный обзор по физике рассеяния света на отдельных мелких сферических частицах был опубликован Ван де Хюлстом , труд которого заполнил многие пробелы, имевшиеся в сделанных по основным формулам расчетах.

Рассмотрим несколько основных величин из теории рассеяния.

Фактор эффективности рассеяния Ks, равный отношению «сечения рассеяния» частицы к ее геометрическому поперечному сечению, зависит от ряда факторов: 1) отношения радиуса частиц г к длине световой волны λ; обычно применяют параметр α, равный отношению длины окружности частицы к длине волны, т. е. α = 2πr/λ

) отношения показателей преломления частицы и среды m; если частица поглощает свет, то вводят комплексный показатель преломления m(l-ik) (где k - коэффициент поглощения света материалом частицы, а i =  )

) угла θ между направлением падающего и рассеянного света или дополнительного угла у = 180° -6.

Изучение рассеяния может основываться либо на электромагнитной теории света, либо на классической геометрической и физической оптике. В первом случае анализ явления более точен, но связан с расчетами на вычислительных машинах. Геометрическая и физическая оптика может быть использована с некоторыми ограничениями в случае отсутствия данных, полученных на основе точной теории.

Рассеяние света происходит при взаимодействии электромагнитных волн с электронами рассеивающего вещества. Падающие волны вызывают периодические колебания в системе электронов, испускающих вторичные волны, которые и составляют рассеянное излучение. В него входят также дифрагированная, преломленная и отраженная составляющие, имеющие большое значение при рассеянии света макроскопическими частицами. Существуют два пути рассмотрения явления: замена электронов линейным осциллирующим диполем или группой диполей и теория электромагнитного

поля. Первый путь был выбран Релеем, а второй Ми. Теория Релея применима только к частицам, размер которых много меньше длины волны падающего света. Теория Ми не имеет таких ограничений и в предельном случае приводит к тем же результатам, что и первая.

2.      Релеевский закон рассеяния

аэрозоль рассеяние электромагнитный излучение

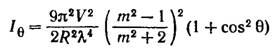
Для сферы из диэлектрика известный закон Релея в случае неполяризованного света может быть записан в виде:

(1)

где Iθ - интенсивность рассеянного в направлении θ света (рассчитанная на единицу интенсивности падающего света); V - объем частицы; R - расстояние от точки наблюдения до частицы. Из этого закона следует, что интенсивность рассеянного света пропорциональна r64

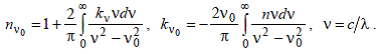
Интегрируя уравнение (1), Релей показал, что полная интенсивность рассеянного света S равна:

(2)

(если интенсивность падающего света принята за единицу).

Из теории следует (и подтверждено экспериментально), что свет, рассеянный частицей, состоит из двух некогерентных плоскополяризованных компонент, плоскости поляризации которых взаимно перпендикулярны. Колебания компоненты с интенсивностью i1 перпендикулярны плоскости наблюдения, а компоненты с интенсивностью i2 параллельны ей. Величина i2 зависит от cos2 в уравнении (1), тогда как i1 от угла θ не зависит. При θ=90° свет полностью поляризован в плоскости перпендикулярной плоскости наблюдения.

Выражение (1) было получено Релеем суммированием компонент i1 и i2, но в его первоначальном виде численный коэффициент был вдвое больше. Впервые эту ошибку заметил Стайлс, но ее истинный смысл был указан значительно позже. Угловое распределение интенсивности рассеянного света симметрично относительно плоскости перпендикулярной к падающему свету, т. е. одинаковое количество света рассеивается вперед и назад. Однако,

если частица ненамного меньше длины волны падающего света, то рассеяние вперед значительно больше, чем назад. Для частиц, имеющих радиус равный длине волны или больший, отношение может превысить 1000.

Пределы области, в которой справедлива теория Релея, были рассчитаны Холлом. На практике для видимого света верхний предел размеров частиц достигает 0,03 мк, а нижний простирается до молекулярных размеров. Таким образом, для аэрозольных систем закон Релея имеет ограниченное значение, но он послужил основой для общей теории, обсуждаемой в следующем разделе. Согласно теории Релея, рассеяние света обратно пропорционально λ4, что позволяет объяснить голубой цвет неба и красный цвет солнечного заката, однако другие цветовые явления теория объяснить не смогла.

3.      Взаимодействие электромагнитного излучения с одиночной частицей: теория Ми

Формализм теории Ми. Важнейшей строго решаемой математической проблемой в теории поглощения и рассеяния света дисперсными частицами является задача о дифракции излученияна сфере с произвольными радиусом и комплексным показателем преломления (так называемая «задача Ми»). Ниже приведены основные результаты данной теории (Борен и Хафмен, 1986).

Рассмотрим плоскую монохроматическую волну излучения, падающую на сферу радиусом Rp (рис. 1). Напряженности электрического e и магнитного h поля падающей волны в комплексной форме имеют вид:

(3)

где E и H- медленно меняющиеся по сравнению с частотой поля ω0 комплексные амплитуды полей, r - радиус-вектор точки наблюдения, t -время.

Рис. 1. К постановке задачи Ми

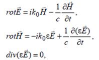
Уравнения Максвелла для величин E и H в предположении, что магнитная проницаемость среды μ = 1 и электрическая проводимость σ0 = 0 , имеют вид:

(4)

где k0 = ω0 c - волновое число, ε - комплексная диэлектрическая проницаемость среды. Граничные условия для непроводящей сферы сводятся к требованию непрерывности тангенциальных составляющих полей на ее границе и к условиям излучения. Представим суммарные поля как

(5)

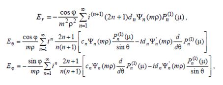
где Ei , Es, Ea - комплексные амплитуды падающего, рассеянного и внутреннего полей соответственно. Подобные выражения запишутся и для напряженности магнитного поля. В сферической системе координат ( r,θ,ϕ ) с началом в центре частицы (рис.1) краевые условия на границе частицы запишутся следующим образом:

(6)

Решение краевой задачи (3)-(6) о распределении электромагнитного поля как внутри, так и вне частицы представляется в виде суммы бесконечных рядов для так называемых парциальных волн, причем вид решений для рассеянного E s и внутреннего E a полей формально один и тот же. Запишем компоненты внутреннего электрического поля (индекс a опускаем) для плоской волны падающего излучения единичной амплитуды в виде (Борен и Хафмен, 1986):

(7)

где Er , Eθ , Eϕ - нормализованные компоненты вектора напряженности электрического поля внутри частицы, Pn(1) (μ) - присоединенные полиномы Лежандра первого рода с аргументом

μ = cos θ .

Основными элементами полученного решения являются коэффициенты в указанных выше рядах - так называемые коэффициенты Ми для компонент рассеянного an ,bn и внутреннего cn , dn полей. Каждый из них умножается на соответствующий комплекс сферических специальных функций, давая тем самым упомянутую выше парциальную волну. Коэффициенты Ми сами являются сложными функциями от сферических функций Бесселя соответствующего порядка Ψn (mρ) и их производных; аргументом этих функций (а значит, и аргументом коэффициентов Ми) является дифракционный параметр ρ = 2πRp λ , являющийся основным безразмерным критерием подобия в уравнениях теории. Он может изменяться в широких пределах - от оченьмалых значений (для так называемых рэлеевских частиц), до очень больших (крупные частицы в пределе геометрической оптики). Параметром в выражениях для коэффициентов Ми служит комплексный показатель преломления вещества частицы m = n + ik , причем коэффициенты при вещественной и мнимой части (показатели преломления n и поглощения k ) зависят от длины волны излучения λ и температуры внутри частицы. Ве-личины n и k не являются независимыми, а связаны дисперсионными соотношениями (формулами Крамерса-Кронига)

(8)

Используемая в работе стандартная запись коэффициентов Ми имеет вид (Борен и Хафмен, 1986)

(9)

Где Ψn (ρ) = ρjn (ρ) , ξn (ρ) = ρhn(1) (ρ) - функции Риккати-Бесселя; hn(1) (ρ) = jn (ρ) + iyn (ρ) - сферическая функция Бесселя третьего рода (или сферическая функция Ганкеля); jn (ρ) , yn (ρ) - сферические функции Бесселя. Для неполяризованного падающего излучения коэффициенты Ми (15.5) записаны по умолчанию при φ = π/4 .

4.      Оптические характеристики аэрозолей

После определения внутреннего и рассеянного поля становится возможным рассчитать любую интересующую нас оптическую характеристику, связанную с поглощением или рассеянием излучения одиночной сферической частицей. К основным характеристикам, связанным с рассеянным излучением, можно отнести так называемый фактор эффективности рассеяния (или безразмерное сечение рассеяния) Qsca , фактор эффективности ослабления излучения Qext , определяемый как Qext = Qabs + Qsca .Важными характеристиками рассеянного частицей излучения

Оптические характеристики, связанные с поглощением излучения, до последнего времени привлекали гораздо меньшее внимание исследователей. Во-первых, данные характеристики вряд ли могут быть измерены экспериментально для отдельной микрочастицы. Во-вторых, расчеты характеристик внутреннего поля по теории Ми принципиально сложнее, чем характеристик поля рассеянного; они стали возможными лишь в результате создания целенаправленных численных алгоритмов.

Важнейшей характеристикой такого рода является фактор поглощения излучения (или безразмерное сечение поглощения) Qabs . Он равен отношению потока энергии, поглощаемого частицей в единицу времени, к полному потоку энергии, падающему на ее геометрическое сечение. Согласно определению и формализму теории Ми, он рассчитывается как

(10)

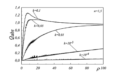
Где  - безразмерная функция источников электромагнитной энергии в объеме частицы, x = r /Rp - безразмерная радиальная координата частицы. Примеры расчетов факторов Qsca , Qabs и Qext по теории Ми для ряда атмосферных аэрозолей в зависимости от значения дифракционного параметра ρ приведены на рис. 2.

Значения фактора Qabs , который определяет поглощение излучения и последующий нагрев таких атмосферных аэрозолей, как сажевые частицы, сильно зависят от показателя поглощения вещества частицы. Из рис. 3 видно, что Qabs может многократно увеличиваться при возрастании значения k .

Рис. 2. Рассчитанные значения факторов рассеяния, поглощения и ослабления излучения для частиц ряда атмосферных аэрозолей

Рис. 3. Зависимость фактора поглощения излучения от дифракционного параметра при n =1,5 и различных значениях k

Рис. 4. Показатели преломления и поглощения частиц воды и льда в зависимости от длины волны излучения

Рис. 5. Показатели поглощения вещества частиц атмосферных аэрозолей в зависимости от длины волны излучения

На рис. 4 и 5 приведена полезная информация о значениях показателей преломления и поглощения вещества частиц ьреальных атмосферных аэрозолей, которая необходима в расчетах по теории Ми.

До сих пор рассматривались результаты теории Ми, описывающей взаимодействие излучения с отдельными частицами монодисперсного аэрозоля. Реальный атмосферный и промышленный аэрозоль полидисперсен, что требует обобщения полученных результатов.

Термин полидисперсная система употребляется для обозначения взвеси рассеивающих частиц, однородных по своему физическому строению и одинаковых по форме, но с изменяющейся счетной концентрацией в зависимости от их размера. Таким ьобразом, под полидисперсными системами понимается совокупность сферических частиц, отличающихся друг от друга только размерами и имеющих одинаковые оптические константы. Оптические характеристики для полидисперсных систем заменяются на соответствующие интегральные величины с определенными весовыми множителями, зависящими от концентрации частиц в каждом диапазоне размеров. Например, фактор поглощения излучения для полидисперсного аэрозоля вводится как

(11)

где f (Rp ) - считающаяся известной функция распределения частиц по размерам, N - количество рассеивающих частиц в единице объема.

Соотношение (11) фактически определяет так называемый объемный коэффициент поглощения излучения σabs для полидисперсного аэрозоля из сферических частиц с постоянным значением комплексного показателя преломления m . Этот коэффициент входит в формулу закона Бугера-Ламберта-Бэра, связывающего интенсивность излучения, прошедшего через слой толщиной l , содержащий аэрозоль, с интенсивностью падающего излучения:

(12)

5.      Пределы применимости теории Ми

Рассмотрим пределы применимости теории Ми. Ее можно трактовать как классическую макроскопическую электродинамическую теорию для описания процессов рассеяния и поглощения излучения частицами достаточно простых геометрических форм и структуры (Борен и Хафмен, 1986).

В данной теории частица, по мере возрастания дифракционного параметра ρ , рассматривается как электрический мультиполь все более и более высокого порядка, причем отождествление его математических характеристик с реальными микроскопическими процессами внутри частицы кажется непростой задачей. Классическая модель оптических характеристик, разработанная Г.А. Лоренцем в начале 20-го века и основанная на представлении об электронах и ионах вещества как простых гармонических осцилляторах, на которые действуют силы, обусловленные внешними электромагнитными полями, продемонстрировала формальное совпадение результатов с квантовомеханическими расчетами, отличаясь от них только трактовкой параметров (Борен и Хафмен, 1986).

Поэтому можно полагать, что теория Ми, демонстрируя определенную «электромагнитную механистичность» в трактовке рассеяния и поглощения излучения частицами, тем не менее приводит в большинстве случаев к правильным результатам, которым нужно дать адекватную физическую трактовку.

По установившейся традиции термин «задача Ми» подразумевает рассмотрение только однородных сферических частиц рассеивателей в поле плоской волны монохроматического излучения, тогда как термин «теория Ми» используется для описания процессов рассеяния и поглощения объектами и других простейших геометрических форм и структур: многослойных и полых сфер, цилиндров, эллипсоидов вращения, пластинчатых частиц. Для частиц же произвольной формы строгого математического решения задачи (хотя бы в квадратурах) на сегодняшний

день не существует. С одной стороны, существуют противники использования теории Ми для описания каких-либо свойств несферических частиц, а с другой стороны, есть и такие исследователи, которые используют данную теорию для анализа любых аспектов взаимодействия излучения с подобными частицами. Ни одну из этих точек зрения нельзя признать правильной (Борен иХафмен, 1986).

В теории Ми предполагается, что на частицу падает плоская волна излучения. Это означает, что размер частицы считается много меньшим ширины пучка излучения. Если же это не так,или пучок излучения имеет определенный профиль энергетической интенсивности (например, гауссовский), то решение такойпроблемы уже невозможно искать в рамках теории Ми. Такие условия, в частности, характерны для нахождения атмосферного аэрозоля в пучках высокоинтенсивного лазерного излучения при лазерном зондировании атмосферы или используются для захвата и удержания микрочастиц в так называемых оптических ловушках.

Модель рассеяния в теории Ми описывает класс упругих видов однократного рассеяния. Для дисперсных сред возможны и хорошо известны и неупругие типы рассеяния: вынужденное комбинационное рассеяние, вынужденное рассеяние Мандельштама-Бриллюэна, вынужденная флюоресценция. Как известно,они могут приводить к целому ряду нелинейных оптических эффектов в аэрозолях. Кроме того, в ряде случаев для атмосферных аэрозолей существенны и эффекты многократного рассеяния излучения (например, при описании оптических свойств фрактало-подобных частиц дымов. Все эти проблемы также лежат за пределами применимости классической теории Ми.

Заключение

Оптические свойства - одни из самых типичных, но в тоже время важнейших характеристик аэродисперсных систем. Рассевают излучение любые аэрозольные частицы. Рассеяние, отражение и поглощение света аэрозолями зависит от размера, формы и природы частиц, а также от длины волны падающего света.

Взаимодействие электромагнитного излучения с аэрозольными частицами и его разнообразные следствия являются предметом исследования многочисленных и взаимосвязанных разделов оптики и механики аэродисперсных сред.

Одним из разделов современной физики атмосферы является нелинейная оптика атмосферного аэрозоля, возникновение которой было мотивировано практическими возможностями воздействия мощного излучения на атмосферный аэрозоль и лазерным мониторингом атмосферы. Актуальными задачами данного направления является выяснение закономерностей распространения интенсивных пучков излучения в аэродисперсных средах для передачи электромагнитной энергии на большие расстояния, а также радиационного просветления облаков и туманов, обусловленного нагревом и испарением воднокапельного аэрозоля.

В ходе написания реферата были изучены Релеевский закон рассеяния, взаимодействие электромагнитного излучения с одиночной частицей: теория Ми, пределы применимости теории Ми и оптические свойства аэрозолей .

Список использованной литературы

1.      Береснев С.А., Грязин В.И. Физика атмосферных аэрозолей: Курс лекций. - Екатеринбург: Изд-во Урал. ун-та, 2008.

.        Гейнц Ю.Э., Землянов А.А., Зуев В.Е. и др. Нелинейная оптика атмосферного аэрозоля. Новосибирск: Изд-во СО РАН, 1999

.        Грин X., Лейн В. АЭРОЗОЛИ - ПЫЛИ, ДЫМЫ И ТУМАНЫ Издательство «Химия»,1972

.        Зуев В.Е., Копытин Ю.Д., Кузиковский А.В. Нелинейные оптические эффекты в аэрозолях. Новосибирск: Наука, 1980.

.        Зуев В.Е., Креков Г.М. Оптические модели атмосферы. Л.: Гидрометеоиздат, 1986.

.        Пришивалко А.П. Оптические и тепловые поля внутри светорассеивающих частиц. Минск: Наука и техника, 1983.

7.      www.chem21.info <http://chem21.info/info/803422/>

.        <http://www.fizioterapiya.info/>

.        <http://www.ngpedia.ru/>

.        www.ecology-portal.ru <http://www.ecology-portal.ru/500130-opticheskie-svojstva-ayerozolej.html>

Похожие работы на - Характеристики аэродисперсных систем

 

Не нашли материал для своей работы?
Поможем написать уникальную работу
Без плагиата!
Без нейросетей!