Разработка рецептуры и технологии нового (фирменного) блюда из птицы (цыплята полупотрошеные 1 сорта)

  • Вид работы:
    Курсовая работа (т)
  • Предмет:
    Другое
  • Язык:
    Русский
    ,
    Формат файла:
    MS Word
    136,45 Кб
  • Опубликовано:
    2014-10-24
Вы можете узнать стоимость помощи в написании студенческой работы.
Помощь в написании работы, которую точно примут!

Разработка рецептуры и технологии нового (фирменного) блюда из птицы (цыплята полупотрошеные 1 сорта)

Министерство образования Республики Беларусь

Учреждение образования

«Гродненский государственный университет имени Янки Купалы»

Кафедра технологии, физиологии и гигиены питания









Курсовая работа

Разработка рецептуры и технологии нового (фирменного) блюда из птицы (цыплята полупотрошеные 1 сорта)

по дисциплине «Технология производства продукции общественного питания»

Руководитель:

преподаватель-стажер

А.С. Кучер

Выполнил:

студентка 4 курса 5 группы

Е.Г. Мезен

Гродно 2014

Содержание

Введение

. Разработка рецептуры фирменного изделия

. Разработка технологической схемы

. Расчет пищевой ценности блюда

. Стандартизация и сертификация изделия

. Выводы

Список используемой литературы

Приложение А. Технологическая карта производства блюда

Приложение Б. Акт контрольной проработки кулинарной продукции, определения норм отходов и потерь на новые виды сырья, пищевых продуктов, материалов

рецептура цыпленок фирменное блюдо птица

Введение

Основными задачами, поставленными перед общественным питанием на пути дальнейшего развития отрасли, являются повышение качества продукции питания, их биологической ценности и вкусовых достоинств, а так же расширение ассортимента выпускаемой продукции. Подчиняясь такому ходу событий, ориентируясь на вкусы потребителей в общем и собственных клиентов, в частности, различные объекты общественного питания (всех классов и типов) стараются разработать собственные уникальные рецептуры, внести что-то новое в давно известные всем блюда. Технология приготовления разрабатываемого блюда не сложная и занимает 15- 20 минут рабочего времени, следовательно его можно готовить по мере спроса.

Решение этих задач связано с совершенствованием существующих видов и созданием новых видов конкурентоспособной продукции. Разработка новых видов продукции является немаловажной проблемой. Так, в первую очередь, это способствует объекту общественного питания выжить в условиях конкуренции.

Визитной карточкой большинства объектов общественного питания (особенно высших категорий) является приготавливаемое «только здесь» фирменное блюдо. Как правило, оно носит название заведения, разрабатывается по специальной рецептуре, которая держится в секрете и его качество является превосходным, приготавливается с учетом национальных, региональных и других особенностей объекта общественного питания.

В рамках этой работы рассматривается подробный процесс разработки фирменного блюда именно из птицы, потому, как мясо этого вида обладает высокими вкусовыми качествами, отличается значительной пищевой ценностью, является диетическим. Все эти, и многие другие, факторы обеспечивают популярность данного продукта у гурманов. Широкий ассортимент мяса из птицы, позволяет сделать выбор человеку при использовании в своем рационе питания. В настоящее время наиболее широкое использование в питание получило куриное мясо.

Куриное мясо является очень важным продуктом питания. Он обладает множеством полезных свойств, главным из которых является большое количество белка. А белок по праву принято считать «строительным материалом» всех живых организмов.

Мясо курицы признано высококалорийным продуктом, в котором содержится большое количество протеина. Употребление именно этого вида мяса восстанавливает утраченные силы, укрепляет иммунную систему человека. Это мясо очень калорийно и питательно, быстро готовится и содержит очень большое количество витаминов, таких как железо, калий, фосфор.

Ассортимент блюд из птицы весьма разнообразен. К ним относятся:

ü Отварные блюда из птицы (птица отварная целиком, кнели и др.);

ü  Припущенные блюда из птицы;

ü  Жареные блюда из птицы (котлеты по-киевски, шницель по- столичному, биточки из птицы и др.);

ü  Запеченные блюда из птицы (суфле из птицы);

ü  Тушеные блюда из птицы (рагу из птицы, жаркое из птицы, чахохбили и др.);

ü  Фаршированные блюда из птиц (зразы, рулеты из птицы).

Например, в ассортимент блюд и изделий из птицы входят:

№691 Птица отварная с гарниром;

№694 Котлета натуральная из филе птицы;

№710 Птица жареная с соусом томатным с грибами;

№730 Шницель «Полесский»;

№692 Птица под паровым соусом с грибами и рисом;

№699 Плов из птицы;

№702 Гусь по-домашнему;

Цель курсовой работы - разработка нового блюда или изделия из заданного вида сырья. В ходе работы решаются следующие задачи:

- овладение методологией выбора и обоснования режимов подготовки и обработки сырья и полуфабрикатов;

изучение порядка разработки научно-обоснованных технологий блюд и кулинарных изделий;

приобретение навыков расчета пищевой и энергетической ценности блюд и изделий;

составление аппаратурно-технологической схемы производства блюда.

- составление схемы технологического процесса фирменного блюда;

расчет пищевой и энергетической ценности;

разработка нормативной документации.

1. Разработка рецептуры фирменного изделия

Рецептура фирменного блюда «Цыплёнок по-тропически» выход - 150 г.

Цыплёнок обжаренный 70 г

Морковь пассированная 10 г

Лук репчатый пассерованный 10 г

Ананас свежий 20 г

Изюм 10 г

Соевый соус 7 г

Мёд 7 г

Томатный соус 7 г

Соль 4 г

Перец черный молотый 0,02 г

Петрушка (зелень) 4 г

Технология приготовления: порционные куски цыплёнка (массой 30-40 г) обжаривают на растительном масле до образования золотистой корочки. Морковь, репчатый лук нарезают соломкой и пассеруют. Изюм перебирают и промывают. Ананас очищают от кожицы и нарезают кубиком. Отдельно смешивают соевый соус, мёд, томатный соус. Кусочки цыплёнка выкладывают в глубокую посуду, между ними выкладывают морковь, лук, изюм, кусочки ананаса. Сверху заливают соусом и запекают 20 мин в жарочном шкафу при температуре 110ºС. Для составления рецептуры необходимо знать массу брутто и нетто входящих в него компонентов, массу потерь при механической и тепловой кулинарной обработке сырья, величину технологических потерь, происходящих при чистке овощей и т.д.

Определение массы брутто и нетто цыплёнка.

Согласно таблице 11 Сборника рецептур для получения 75 г цыплят жареных необходимо 157 г цыплят 1 сорта массой брутто и 72 г массой нетто. Составляем пропорцию:

Для получения 75 г жареных цыплят необходимо 157 г (брутто) цыплёнка

г х1

х1 (брутто)=146,5 г

Соответственно, х2 (нетто)=105,2 г

Определение массы брутто и нетто лука репчатого.

Согласно таблице 18 Сборника рецептур для получения 100 г пассированного лука (для соусов и вторых блюд) необходимо 200 г лука очищенного нетто. Для расчета массы лука нетто составляем пропорцию:

Из 200 г сырого лука получаем 100 г лука пассированного

х3 10 г

х3 (нетто)=20 г

Учитывая, что потери при механической кулинарной обработке лука репчатого составляют 16% (для всех сезонов года), по таблице 18 Сборника рецептур определяем массу брутто лука неочищенного. Для этого составляем пропорцию:

Из 238 г 200 г

х4 20 г

х4 (брутто)=23,8 г

Определение массы брутто и нетто моркови.

Согласно таблице 18 Сборника рецептур для получения 100 г пассированной моркови (соломкой, ломтиками, кубиками) необходимо 147 г моркови очищенной нетто. Для расчета массы нетто моркови составляем пропорцию:

Из 147 г сырой моркови получаем 100 г пассированной моркови

х5 10 г

х5 (нетто)=14,7 г

Учитывая, что потери при механической кулинарной обработке моркови составляют с 1.01 - 25% , по таблице 18 Сборника рецептур определяем массу брутто моркови неочищенной. Составляем пропорцию:

с 1.01 196 г 147 г очищенной моркови

х6 14,7 г

х6 (брутто)=19,6г

Определение массы брутто и нетто ананаса.

Согласно таблице 18 Сборника рецептур потери при механической кулинарной обработке ананаса составляют 45%, по таблице Сборника рецептур определяем массу брутто ананаса неочищенного. Составляем пропорцию:

Из 182 г неочищенного ананаса получаем 100 г

х8 20 г

х8 (брутто)=36,4г

Определение массы жира для пассерования лука, моркови и обжаривания цыплёнка.

Для пассерования 25 г лука (нетто) согласно рецептуре «Рагу из птицы» (рецептура №696) необходимо 8 г жира. Составляем пропорцию:

г лука необходимо 7 г жира

г х9

х9 =5,6 г

Для пассерования 30 г моркови (нетто) согласно рецептуре «Птица, тушенная с овощами» (рецептура № 703) необходимо 12 г жира. Составляем пропорцию:

г моркови необходимо 12 г жира

,7 г х10

х10=5,9г

Для обжаривания 149 г цыплёнка (нетто) согласно рецептуре «Птица, тушенная с овощами» (рецептура №703) необходимо5г жира. Составляем пропорцию:

г цыплёнка необходимо 5 г жира

г х11

х11=4,0 г

Итого жира:15,5 г

Расчет количества специй, соли.

Расчет количества соли, специй определяем по общепринятым в Сборнике рецептур нормам или на основании производственных проработок.

В данной рецептуре принимаем: соль - 4 г, перец черный молотый - 0,02 г, зелень петрушки - 3 г.

На основании расчетов составляем проект рецептуры приведенный в таблице 1.

Таблица 1 - Проект рецептуры

 Наименование продуктов

Расход продуктов на одну порцию


Брутто, г

Нетто, г

1

2

3

Цыплёнок полупотрошеный 1 сорта

146,5

105,2/701

Растительное масло

4,0

4,0

Морковь

19,6

14,7/102

Лук репчатый

23,8

20,0/103

Растительное масло

11,5

11,5

Ананас свежий

36,4

20

Изюм

15

15

Соевый соус

7

7

Мёд

7

7

Томатный соус

7

7

Соль

2

2

Перец черный молотый

0,02

0,02

Масса сырьевого набора

-

213,4

Примечание: 1 - масса обжаренного цыплёнка 2 - масса пассерованного лука 3 - масса пассерованной моркови

1

2

3

Масса сырьевого набора

-

213,4

Масса п/ф после обжаривания

-

70

Морковь с 1.01

19,6

14,7/101

Лук репчатый

23

20/102

Ананас свежий

36,4

20

Изюм

15

15

Соевый соус

7

7

Мёд

7

7

Томатный соус

7

7

Масса соуса

-

21

Масса блюда до запекания

-

159,0

Примечание:1- масса пассерованной моркови 2- масса пассерованного репчатого лука


Расчет потерь массы при тепловой обработке блюда

Потери при тепловой обработке могут быть определены опытным путем при производственных проработках блюда или на основании данных по аналогичным блюдам.

Принимаем, что потери при запекании составят 8% от массы нетто (159,0 г). Следовательно, масса изделия составит:

,0 ˗12,7=146,3 г.

Продолжение таблицы 1

1

2

3

Масса блюда до запекания

-

159,0

Масса блюда после запекания

-

146,3

Петрушка (зелень)

4

4

Выход готового блюда

˗

150,3


Таблица 2 - Расчетная рецептура блюда «Цыплёнок по-тропически»

Наименование продуктов

Масса брутто, г

Масса нетто, г

1

2

3

Цыплёнок полупотрошеный 1 сорта

146,5

105,2/801

Растительное масло

15,5

15,5

Соль

2

2

Перец черный молотый

0,02

0,02

Морковь с 1.01

19,62

14,7/103

Лук репчатый

23,84

20/105

1

2

3

Масса полуфабриката после обжаривания (цыплёнок)

-

80

Ананас свежий

36,4

20

Изюм

15

15

Соевый соус

7

7

Мёд

7

7

Томатный соус

7

7

Масса соуса

-

21

Масса блюда до запекания

-

159,0

Масса блюда после запекания

-

146,3

Петрушка (зелень)

4,83

46

Выход готового блюда

-

150

Примечание: 1 - масса цыпленка обжаренного 2 - потери при холодной обработке моркови составляют 25% 3 - масса моркови пассерованной 4 - потери при холодной обработке лука составляют 16% 5 - масса лука репчатого пассерованного 6 - потери при холодной обработке составляют 26%


Расчет кондиций сырьевого набора

Для приготовления блюда «Цыплёнок по-тропически» используется морковь свежая. Рассчитывается масса брутто моркови по сезонам.

Согласно таблице 18 Сборника рецептур морковь имеет потери при холодной обработке до 1.01 - 20%

с 1.01 - 25%

Следовательно, масса брутто моркови до 1.01 составляет - 18,4 г, а с 1.01 - 19,6 г.

Таблица 3- Рабочая рецептура блюда «Цыплёнок по-тропически»

Наименование продуктов

Масса брутто, г

Масса нетто, г

Цыплёнок полупотрошеный 1 сорта

146,5

105,2/801

Растительное масло

15,5

15,5

Масса полуфабриката после обжаривания (цыплёнок)

-

80

Соль

2

2

Перец черный молотый

0,02

0,02

Морковь до 1.01 с 1.01

18,42 19,63

15/104

Лук репчатый

23,85

20/106

Ананас свежий

36,4

20

Изюм

15

15

Соевый соус

7

7

1

2

3

Мёд

7

7

Томатный соус

7

7

Масса соуса

-

21

Масса блюда до запекания

-

159,0

Масса блюда после запекания

-

146,3

Петрушка (зелень)

4,83

47

Выход готового блюда

-

150,0

Примечание: 1 - масса цыпленка обжаренного 2 - потери при холодной обработке моркови составляют 20% 3 - потери при холодной обработке моркови составляют 25% 4 - масса моркови пассерованной 5 - потери при холодной обработке лука составляют 16% 6 - масса лука репчатого пассерованного 7 - потери при холодной обработке петрушки составляют 26%


В процессе отработки рецептуры и технологии блюда (изделия) определяют:

·   сочетаемость продуктов;

·   нормы вложения сырья массой нетто;

·   производственные потери;

·   температурный режим и продолжительность тепловой обработки;

·   кулинарную готовность блюда (изделия);

·   выход готового блюда (изделия);

·   потери при тепловой обработке;

·   потери при порционировании;

·   органолептические и физико-химические показатели качества блюда (изделия);

·   пищевую и энергетическую ценность.

Отработку проекта рецептуры и технологии проводят однократно и в количестве, определяемом изготовителем.

На основе уточненной массы нетто проводят расчет необходимого количества сырья массой брутто по следующей формуле:

(1)

где - масса сырья брутто, кг;

 - масса сырья нетто, кг;

 - отходы при механической обработке сырья, %.

Производственные потери при изготовлении блюда (изделия) определяют по формулам:

 (2)

 (3)

где П - производственные потери, кг (г), %

 - суммарная масса сырья (нетто), входящего в состав полуфабриката, кг;

 - масса полученного полуфабриката, кг.

Производственные потери при изготовлении блюда «Цыплёнок по-тропически» составляют: П=0,2134- 0,159=0,05 кг;

П=0,2134- 0,159/0,2134×100=25,5%;

Полученные при обработке данные сравнивают с расчетными в рецептуре. При необходимости проводят уточнение норм расхода сырья в проекте рецептуры.

Потери при тепловой обработке блюда (изделия) рассчитывают в процентах к массе полуфабриката по следующей формуле:

 (4)

где  - потери при тепловой обработке с учетом потерь при остывании блюда (изделия), %.

 - масса полуфабриката, подготовленного к тепловой обработке, кг;

 - масса готового блюда, изделия, кг.

Потери при тепловой обработке блюда составляют:

Пm=0,159-0,150/0,159×100=5,7%;

Потери при порционировании рассчитывают к массе готового блюда (изделия) по формуле:

 (5)

Где ПП - потери при порционировании, %;

Мг - масса готового блюда (изделия) до порционирования, кг;

МП - масса готового блюда (изделия) после порционирования, кг.

Потери при порционировании блюда составляют:

ПП=0,1503˗0,150/0,1503×100=0,2%

2. Разработка технологической схемы

Для приготовления изделия необходимо провести операции по подготовке сырья к приготовлению полуфабриката. Подготовка сырья к приготовлению полуфабриката приведена в таблице 4.

Таблица 4 - Подготовка сырья к приготовлению полуфабриката

Объект контроля

Наименование операции

Режим проведения

Что контролируется

Вид контроля и его периодичность

Цыплёнок полупотрошеный 1 сорта

Зачистка

t воздуха 20ºС

Удаление сухожилий и лишнего жира

Визуально в течении смены


Мойка

t воды 22ºС

Тщательность мойки

Визуально в течении смены


Обсушивание

t воздуха 22ºС

Удаление лишней влаги

Визуально в течении смены


Нарезка

t воздуха 20ºС

Правильность формы нарезки

Визуально в течении смены

Лук репчатый

Очистка

t воздуха 20ºС

Тщательность очистки

Визуально в течении смены


Мойка

t воды 18ºС

Тщательность мойки

Визуально в течении смены


Нарезка

t воздуха 20ºС

Правильность формы нарезки

Визуально в течении смены

Морковь

Очистка

t воздуха 20ºС

Тщательность очистки

Визуально в течении смены


Мойка

t воды 18ºС

Тщательность мойки

Визуально в течении смены


Нарезка

t воздуха 20ºС

Правильность формы нарезки

Визуально в течении смены

Ананас свежий

Мойка

t воды 18ºС

Тщательность мойки

Визуально в течении смены


Очистка

t воздуха 20ºС

Тщательность очистки

Визуально в течении смены


Нарезка

t воздуха 20ºС

Правильность формы нарезки

Визуально в течении смены

Изюм

Перебирание

t воздуха 20ºС

Удаление ненужных примесей

Визуально в течении смены


Мойка

t воды 20ºС

Тщательность мойки

Визуально в течении смены

Петрушка (зелень)

Перебирание

t воздуха 20ºС

Удаление непригодных листьев

Визуально в течении смены


Мойка

t воды 20ºС

Тщательность мойки

Визуально в течении смены


Технологический процесс приготовления блюда

Кусочки цыплёнка (массой 40-40 г) обжаривают на растительном масле до образования золотистой корочки при температуре 150-180ºС в течение 20 минут. Морковь, репчатый лук нарезают соломкой и пассеруют при температуре 110ºС в течение 10 минут. Изюм перебирают и промывают. Ананас очищают от кожицы и нарезают кубиком. Отдельно смешивают соевый соус, мёд, томатный соус. Кусочки цыплёнка выкладывают в глубокую посуду, между ними выкладывают морковь, лук, изюм, кусочки ананаса. Сверху заливают соусом и запекают в жарочном шкафу при температуре 110ºС в течение 20 минут.

3. Расчет пищевой ценности блюда

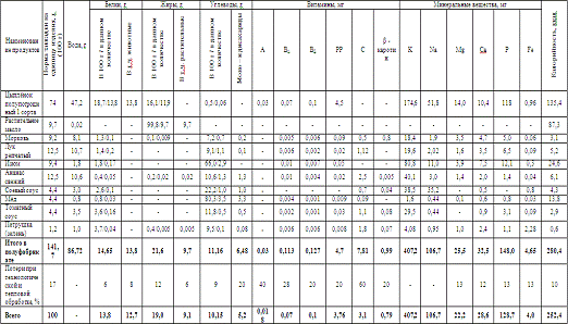
Пищевая ценность сырьевого набора фирменного блюда «Цыплёнок по-тропически», определяется качеством входящего в него сырья, усвояемостью, степенью сбалансированности по основным пищевым веществам (белкам, жирам, углеводам, минеральным веществам и др.) Энергетическая ценность блюда характеризуется долей энергии, высвобождающейся из пищевых веществ, в процессе биологического окисления, которая используется для обеспечения жизнедеятельности организма. Расчет пищевой ценности производится по таблицам справочника «Химический состав пищевых продуктов» для сырьевого набора и готового блюда с учетом потерь при тепловой обработке на 1 порцию и на 100 г съедобной части. Расчет пищевой ценности сырьевого набора, потерь основных пищевых веществ и пищевой ценности готового блюда сводится в таблицы. По данным расчетов проводится анализ таблиц по содержанию основных пищевых веществ в готовом блюде, сбалансированности белков, жиров, углеводов, (Б: Ж: У); соотношения кальция, фосфора, магния. В таблице 5 представлен расчет пищевой ценности блюда «Цыплёнок по-тропически». В таблице 6 представлен расчет интегрального скора блюда.

Расчет интегрального скора блюда

Интегральный скор рассчитывают по формуле:

(9)

Где ИС - интегральный скор;

П - величина соответствующего показателя в исследуемом блюде;

Псп - величина показателя в формуле сбалансированного питания.

Таблица 5 - Содержание пищевых веществ в новом (фирменном) изделии. Выход 100 г


Таблица 6 - Расчет интегрального скора

Наименование веществ, входящих в блюдо

Суточная потребность

Содержание в блюде

Скор, %

Белки, г

73

13,8

18,9

в т.ч. животные

40

12,7

31,75

Жиры, г

83

19,0

22,9

в т.ч. растительные

33

9,1

27,5

Углеводы, г

365

10,15

2,8

в т.ч. моно- и дисахариды

62

5,2

8,4

Витамины, мг

Витамин С

70,0

3,1

4,4

Тиамин (В1)

1,3

0,07

5,4

Рибофлавин (В2)

1,5

0,1

6,6

Ниацин (РР)

16,0

3,1

19,4

Витамин А

1,5

0,018

1,2

Минеральные вещества, мг

Кальций

800

28,6

3,6

Фосфор

1200

128,7

10,7

Натрий

4000

106,7

2,7

Калий

2800

407,2

14,5

Магний

400

22,2

5,55

Железо

14

4,0

28,6

Энергетическая ценность, ккал

2500

252,4

10,1


Вывод по пищевой ценности.

Блюдо отличается высоким содержанием белка (порция блюда удовлетворяет суточную потребность здорового взрослого человека в белке на 13,7%), содержит много минеральных веществ (таких как калий, фосфор, натрия), витаминов, особенно ниацина.

Можно сказать, что данные соотношения близки к нормам, и можно сделать вывод, что разработанное фирменное блюдо ''Цыплёнок по-тропически'' может удовлетворить потребности организма человека в необходимых пищевых веществах.

Энергетическая ценность порции составляет 252,4 ккал.

4. Стандартизация и сертификация изделия

Результатом теоретической и экспериментальной работы курсовой работы является разработка документа, дающего право предприятию общественного питания на выработку фирменного изделия. Таким документом является технологическая карта на данное изделие. Технологическая карта - это документ, содержащий нормативно-технологическую информацию о блюдах и способе их приготовления. Технологическая карта (ТК) включает в себя список оборудования и ингредиентов, необходимых для приготовления блюда. В технологической карте приготовления блюда обязательно должен быть отмечен выход отдельных полуфабрикатов, готовых ингредиентов и блюда в целом, нормы вложения продуктов массой нетто и брутто.

При составлении технологической карты следует учитывать:

·​ в рецептуре в обязательном порядке должна быть указана не только норма вложения продуктов (сырья), но и выход отдельных полуфабрикатов, готовых компонентов и блюда в целом, что позволяет обеспечить контроль за вложением компонентов блюда на отдельных этапах технологического процесса;

·​ характеристику изделия по органолептическим показателям;

·​ сроки годности (хранения) и условия хранения кулинарной продукции;

·​ пищевая ценность блюда;

При контрольной проработке также определяется и проверяются нормы отходов и потери при холодной и тепловой кулинарной обработке, рациональность закладки основных продуктов, уточняется технология приготовления блюда, правила его оформления, подачи, дается характеристика блюда по органолептическим показателям (внешний вид, цвет, вкус, запах, консистенция). Таким образом, должно быть на разработанное блюдо: акт контрольной проработки и технологическая карта по форме, приведенной в СТБ1210-2010.

Контрольные проработки новых, фирменных блюд должны проводиться не менее 3 раз по10 порций, Контрольные проработки проводятся комиссией в составе не менее трех человек. Результаты которой оформляются актом установленной формы, подписывается членами комиссии.

Акт контрольной проработки является основанием для составления технологической карты и формирования цены блюда, изделия. При этом в технологической карте должно быть указано, что норма вложения данного вида продукта по весу брутто определяется путем контрольных проработок. Технологическая карта приведена в приложении А. Акт контрольной проработки фирменного блюда приведен в приложении Б.

5. Выводы

Значение мяса в питании населения определяется тем, что служат источником полноценных белков, жира, минеральных и экстрактивных веществ, некоторых витаминов, потребление которых является необходимым для нормального функционирования организма.

Блюда из птицы питательны, легко усваиваются организмом. Они широко используют в детском и лечебном питании. Гарниры из круп и картофеля обогащают блюда из птицы углеводами, а овощные - витаминами и минеральными веществами.

В данной курсовой работе затронута тема разработки фирменного блюда.

Фирменное блюдо-это «лицо» ресторана (или другого заведения), а следовательно оно должно соответствовать самому высшему уровню качества. При нарушении пропорций, технологии приготовления - его вкус и аромат изменяется (не обязательно становясь хуже при этом). Но блюдо выходит иным, что в данном случае не допустимо, поскольку фирменное блюдо - это продукт заведомо известного качества (вкуса, аромата, консистенции, внешнего вида).

Было разработано новое блюдо «Цыплёнок по-тропически». Данное блюдо отличается высоким содержанием белка, минеральных веществ и витаминов. В данной работе была составлена аппаратурно-технологическая схема, технологическая карта на новое блюдо. Подсчитана энергетическая ценность продукта, интегральный скор и сделаны выводы о пищевой ценности. При разработке нового блюда учитывались: таблица расчета сырья, технико-технологическая схема, таблица энергетической ценности.

Список используемой литературы

1.Сборник рецептур блюд и кулинарных изделий для предприятий общественного питания. - Минск: ООО «Научно-информационный центр-БАК», 2012. - 686 с.

.Сборник технологических карт блюд и кулинарных изделий для организаций торговли общественного питания всех форм собственности. - Минск: ООО «Научно-информационный центр-БАК», 2011. - 164 с.

.Технологические карты на полуфабрикаты для организаций торговли и общественного питания всех форм собственности. - Минск: ООО «Научно-информационный центр-БАК», 2012. - 164 с.

.Справочник работника общественного питания. - Минск: ООО «Научно-информационный центр-БАК», 2012.

.Нагайченко Л.И. и др. Таблицы химического состава блюд, и кулинарных, мучных кондитерских и булочных изделий. - М.: Политиздат, 1990. - 139 с.

.Химический состав продуктов питания. - Минск: ООО «Научно-информационный центр-Бак», 2012.

.Химический состав пищевых продуктов. Книга 1, 3: Справочные таблицы содержания основных пищевых веществ и энергетической ценности пищевых продуктов. Под ред. проф. д. т. н. И.М. Скурихина и проф. д. м. н. М. Н. Волгарева. - М.: Агропромиздат, 1987. - 223 с.

.Елманов С. Ф. и др. Контроль качества продукции общественного питания: Учебное пособие для вузов / Елманов С. Ф., Ловачева Г. Н., Успенская Н. Р. - М.: Экономика, 1983. - 208 с.

Приложение А Технологическая карта производства блюда

Технологическая карта №___

на кулинарную продукцию

Цыплёнок по-тропически

(Наименование кулинарной продукции)

по СТБ (ГОСТ, ТУ) ____________ Дата введения в действие __________

1. Рецептура

Наименование сырья

Расход сырья на 1 порцию готовой продукции, г


Брутто

Нетто

Цыплёнок полупотрошеный 1 сорта

146,5

105,2/701

Растительное масло

15,5

15,5

Морковь до 1.01 с 1.01

18,4 19,6

15/102

Лук репчатый

23,8

20/103

Изюм

15

15

Ананас свежий

36,4

20

Соевый соус

7

7

Мёд

7

7

Томатный соус

7

7

Масса соуса

-

21

Масса полуфабриката (цыплёнок )

˗

70

Петрушка (зелень)

4,83

4

Итого сырья

-

213,4

Выход готовой продукции

150,0

Примечание: 1-масса обжаренного цыплёнка 2-масса пассерованной моркови 3-масса пассерованного лука

2. Описание технологии приготовления кулинарной продукции

.1 Подготовка сырья к приготовлению блюда «Цыплёнок по-тропически» производится в соответствии со Сборником рецептур блюд и кулинарных изделий для предприятий общественного питания 2012 года.

2.2 порционные кусочки цыплёнка (массой 30-40 г) промывают, обсушивают, посыпают солью, перцем и обжаривают на растительном масле до полуготовности. Морковь и репчатый лук нарезают соломкой и пассеруют. Изюм перебирают, промывают. Ананас очищают от кожицы и нарезают кубиком. Отдельно готовят соус. Для этого смешивают мёд, соевый соус, томатный соус. Обжаренного цыплёнка укладывают в глубокую посуду и выкладывают пассерованные лук с морковью, изюм, кусочки ананаса.

Заливают соусом и запекают в течении 20 минут при t 110◦C.

. Характеристика изделия по органолептическим показателям (внешнему виду, цвету, вкусу, запаху и консистенции)

Внешний вид - порционный кусок птицы, запеченный с луком, морковью, изюмом, кусочками ананаса. Ингредиенты сохранили форму.

Вкус - характерный для птицы, сладковатый за счет входящего в блюдо изюма и мёда.

Цвет - порционные кусочки цыплёнка светло-коричневого до золотистого цвета.

Запах - характерный для птицы и компонентов входящих в состав.

Консистенция - мягкая, сочная.

4. Срок годности и условия хранения

Хранят не более 2 часов при t 65◦C

5. Сведения о пищевой ценности

Белки, г

Жиры, г

Углеводы, г

Энергетическая ценность, ккал

13,8

19,0

10,15

252,4



Приложение Б

АКТ

КОНТРОЛЬНОЙ ПРОРАБОТКИ КУЛИНАРНОЙ ПРОДУКЦИИ, МУЧНЫХ КОНДИТЕРСКИХ И БУЛОЧНЫХ ИЗДЕЛИЙ, ОПРЕДЕЛЕНИЯ НОРМ ОТХОДОВ И ПОТЕРЬ НА НОВЫЕ ВИДЫ СЫРЬЯ, ПИЩЕВЫХ ПРОДУКТОВ, МАТЕРИАЛОВ

Комиссией в составе:

проведена контрольная проработка блюда «Цыплёнок по-тропически».

Для контрольной проработки взято продовольственное сырье и пищевые продукты: цыплёнок полупотрошеный 1 сорта, морковь, лук репчатый, ананас свежий, соль, перец черный молотый, масло растительное, изюм, мёд, соевый соус, томатный соус, петрушка (зелень).

В результате контрольной проработки установлено:

Наименование сырья

Вес брутто, г

Отходы при холодной обработке, %

Вес нетто, г

Вес полуфабриката, г

Потери при тепловой обработке, %

Вес готовой продукции, г

Цыплёнок полупотрошеный 1 сорта

1465

28,2

1052

1590

31

1500

Морковь

с 1.01-196

25

147


17


Лук репчатый

238

16

200


26


Соль

40

-

40


-


Перец молотый

-

0,2


-


Масло растительное

155

-

155


-


Ананас свежий

364

-

200

-

-


Изюм

150

-

150

-

-


Мёд

70

-

70

-

-


Соевый соус

70

-

70

-

-


Томатный соус

70

-

70

-

-


Петрушка (зелень)

48,3

26

40

-

-



Подписи членов комиссии

Похожие работы на - Разработка рецептуры и технологии нового (фирменного) блюда из птицы (цыплята полупотрошеные 1 сорта)

 

Не нашли материал для своей работы?
Поможем написать уникальную работу
Без плагиата!
Без нейросетей!