Имитационное моделирование процесса передачи данных по двум каналам

  • Вид работы:
    Курсовая работа (т)
  • Предмет:
    Информатика, ВТ, телекоммуникации
  • Язык:
    Русский
    ,
    Формат файла:
    MS Word
    102,7 Кб
  • Опубликовано:
    2014-09-15
Вы можете узнать стоимость помощи в написании студенческой работы.
Помощь в написании работы, которую точно примут!

Имитационное моделирование процесса передачи данных по двум каналам















Дисциплина «Моделирование систем»

Тема «Имитационное моделирование процесса передачи данных по двум каналам»

В данной курсовой работе проведено моделирование магистрали передачи данных. Проведен анализ задачи, сформулированы возможные гипотезы. По результатам экспериментов проведен анализ работы магистрали передачи данных, и определен оптимальный режим работы, при котором возможна передача максимального количества сообщений. Моделирование проведено в пакете AnyLogic.

Содержание

 

Введение

Задание к курсовому проектированию

. Построение концептуальной модели системы

.1 Формулировка цели и постановка задачи машинного моделирования системы

.2 Выдвижение гипотез и принятие предположений

.3 Анализ задачи моделирования системы

.4 Определение параметров и переменных модели

.5 Описание концептуальной модели системы

.6 Разработка сети Петри модели

. Алгоритмизация модели системы и ее машинная реализация

.1 Построение логической схемы модели

.2 Выбор инструментальных средств моделирования

.3 Спецификация и построение схемы программы

.4 Проведение программирования модели

. Получение и интерпретация результатов моделирования системы

.1 Планирование машинного эксперимента с моделью системы

.2 Проведение рабочих расчетов

.3 Анализ результатов моделирования системы

.4 Представление результатов моделирования

.5 Интерпретация результатов моделирования

Заключение

Список использованной литературы


Введение


В настоящее время одним из наиболее широко распространенных средств исследования и оптимизации функционирования систем управления (и вообще любых сложных социально-технических систем) является имитационное моделирование, в основном - с применением современной вычислительной техники. На такой имитационной модели можно отрабатывать воздействия различных факторов, влияющих на поведение системы, изучать влияние изменения внутренних параметров на эффективность функционирования и так далее.

Имитационная модель СМО представляет собой алгоритм, отражающий поведение СМО, то есть отражающий изменения состояния СМО во времени при заданных потоках заявок, поступающих на входы системы.

Имитационное моделирование позволяет исследовать СМО при различных типах входных потоков и интенсивностях поступления заявок на входы, при вариациях параметров обслуживающих аппаратов, при различных дисциплинах обслуживания заявок. Дисциплина обслуживания - правило, по которому заявки поступают из очередей на обслуживание. Величина, характеризующее право на первоочередное обслуживание, называется приоритетом. В моделях СМО заявки, приходящие на вход занятого обслуживающего аппарата, образуют очереди, отдельные для заявок каждого приоритета. При освобождении обслуживающего аппарата на обслуживание принимается заявка из непустой очереди с наиболее высоким приоритетом.

В данной курсовой работе построение и исследование модели будет производиться в пакете AnyLogic, сочетающий в себе мощный инструмент объектно-ориентированного моделирования с интерфейсом визуального программирования. В AnyLogic модели представляются визуально-иерархическими. Простой графический язык моделирования оперирует понятиями объектов и связей между ними. AnyLogic позволяет легко и быстро создавать агентные модели на профессиональном уровне, благодаря языковым конструкциям для задания поведения агентов, их взаимодействия, моделирования среды, а также богатейшим анимационным возможностям.

Задание к курсовому проектированию


Магистраль передачи данных состоит из двух каналов (основного и резервного) и общего накопителя. При нормальной работе сообщения передаются по основному каналу за 6 ± 2 с. В основном канале происходят сбои через интервалы времени 250 ± 40 с. Если сбой происходит во время передачи, то за 3 с запускается запасной канал, который передает прерванное сообщение с самого начала. Восстановление основного канала занимает 22 ± 6 с. После восстановления резервный канал выключается и основной канал продолжает работу с очередного сообщения. Сообщения поступают через 8 ± 5 с и остаются в накопителе до окончания передачи. В случае сбоя передаваемое сообщение передается повторно по запасному каналу. Смоделировать работу магистрали передачи данных в течение 2 ч. Определить загрузку запасного канала, частоту отказов канала и число прерванных сообщений.

1. Построение концептуальной модели системы

 

.1 Формулировка цели и постановка задачи машинного моделирования системы


Необходимо исследовать работу магистрали передачи данных. В качестве цели моделирования выберем изучение функционирования системы, а именно оценивание ее характеристик с точки зрения эффективности работы системы, т.е. будет ли она простаивать, определим загрузку основного и резервного каналов, кол-во прерванных сообщений, кол-во сообщений обработанных основным каналом и кол-во сообщений обработанных резервным каналом. С учетом имеющихся ресурсов в качестве метода решения задачи выберем метод имитационного моделирования, позволяющий не только анализировать характеристики модели, но и проводить структурный, алгоритмический и параметрический синтез модели на ЭВМ при заданных критериях оценки эффективности и ограничениях.

Постановка задачи исследования функционирования магистрали передачи данных состоящую из общего накопителя, основного и резервного канала передачи сообщений представлена в задании к курсовому проектированию, из которого следует, что необходимо определить:

·        Смоделировать работу магистрали передачи данных в течение 2 ч.

·        Определить загрузку запасного канала.

·        Определить частоту отказов основного канала.

·        Определить число прерванных сообщений.

 

.2 Выдвижение гипотез и принятие предположений


Для заполнения пробелов в понимании задачи исследования, а также проверки возможных результатов моделирования при проведении машинного эксперимента выдвигаем следующие гипотезы:

·        Интенсивность отказов влияет на работу магистрали передачи данных, при увеличении количества отказав будет передано меньшее количество сообщений, так как при выходе из строя основного канала резервный канал запускается в течении 3 с. И передача сообщения начинается с начала. Следовательно, нужно стремиться к уменьшению количества отказов.

·        При уменьшении количества отказов загрузка основного канала повысится, а резервного уменьшится

·        При уменьшении времени прибытия новых сообщений также возрастет количество переданных сообщений, так время прибытия 8 ± 5с.> времени передачи 6 ± 2 с. Следовательно система бездействует некоторое время ожидая поступления очередного сообщения.

 

.3 Анализ задачи моделирования системы

модель система инструментальный алгоритмизация

Исследование самых разнообразных систем и процессов методом имитационного моделирования заключается в определении происходящих в системе событий. Чтобы облегчить это определение, целесообразно первоначально графически изобразить процесс функционирования системы и выделить в нем характерные события. Поведение требования в моделируемой системе не является независимым, оно обусловливается событиями, в которых принимают участие и другие требования. Сам же процесс имитации должен отображать хронологию событий в последовательности, имеющей место в реальном процессе.

Моделирование систем массового обслуживания складывается, главным образом, из моделирования потоков заявок и моделирования совокупности обслуживающих каналов. Для этого нужно уметь задать характеристики потоков заявок и потоков обслуживания заявок по отдельным каналам.

В ходе курсовой работы необходимо разработать Q-схему, которая описывает процесс функционирования СМО, набор правил поведения заявок в различных ситуациях. Определить количество каналов и накопителей, емкость накопителей.

Так же необходимо разработать и проанализировать сеть Петри, в сетях определяются, какие действия происходят в системе, какие состояние предшествовали этим действиям и какие состояния примет система после выполнения действия. Выполнения событийной модели в сетях Петри описывает поведение системы. Анализ результатов выполнения может сказать о том, в каких состояниях пребывала или не пребывала система, какие состояния в принципе не достижимы.

В данной курсовой работе построение и исследование модели будет производиться в пакете AnyLogic.

 

.4 Определение параметров и переменных модели


Входные переменные модели:

Интервал времени (интенсивность) поступления сообщений на обработку, tп ± Dtп.

Если интенсивность поступления сообщений на обработку будет меньше времени передачи сообщений, то загрузка системы в целом будет возрастать.

Выходные переменные модели:

·        Общее количество переданных сообщений по обоим каналам

·        Количество переданных сообщений по основному каналу

·        Количество переданных сообщений по резервному каналу

·        Количество прерванных сообщений

Параметры модели:

·        Время передачи сообщения по основному каналу за 6 ± 2 с.

·        Интервалы времени выхода из строя основного канала 250 ± 40 с.

·        Время восстановление основного канала 22 ± 6 с.

·        Время запуска резервного канала 3 с.

·        Общее время проведения эксперимента 2 часа (7200 с.)

 

.5 Описание концептуальной модели системы


Концептуальная модель исследуемой системы представлена в виде структурной схемы на (Рис.№1). Система состоит из одного входного потока (И), накопителя (Н), основного канала (О), резервного канала (Р), выходного устройства (В).

Рис.№1. Концептуальная модель в виде структурной схемы

Система состоит из двух каналов (основного и резервного), источника и общего накопителя (Рис.№2). Из источника задания, поступающие на обработку, сохраняются в накопителе и передаются по основному каналу. В случае сбоя во время передачи запускается резервный канал, который передает прерванное сообщение с самого начала. После восстановления резервный канал выключается и основной канал продолжает работу с очередного сообщения.

 

.6 Разработка сети Петри модели


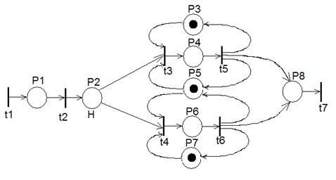
Сеть Петри - математический аппарат для моделирования динамических дискретных систем или асинхронных параллельных процессов. Опишем полученную схему (Рис.№3):

Рис.№3

Позиции схемы:

·      P1 - заявка с потока получена;

·        P2 - заявка отправлена в накопитель;

·        P3 - основной канал послал управляющий сигнал;

·        P4 - срабатывает основной канал;

·        P5 - канал послал управляющий сигнал;

·        P6 - срабатывает резервный канал;

·        P7 - резервный канал послал управляющий сигнал;

·        P8 - обработка заявки завершена.

Переходы:

·      t1 - поступление заявки от источника;

·        t2 - фиксирование заявки;

·        t3 - передача заявки на основной канал;

·        t4 - передача заявки на резервный канал;

·        t5 - передача обработанной заявки с основного канала на выход;

·        t6 - передача обработанной заявки с резервного канала на выход;

·        t7 - обработка заявки окончена.

Сеть Петри можно описать матрицами:


P1

P2

P3

P4

P5

P6

P7

P8

t1

0

0

0

0

0

0

0

0

t2

1

0

0

0

0

0

0

0

t3

0

1

1

0

1

0

0

0

t4

0

1

0

0

0

0

1

0

t5

0

0

0

1

0

0

0

0

t6

0

0

0

0

0

1

0

0

t7

0

0

0

0

0

0

0

1

DI=

P1P2P3P4P5P6P7P8









t1

1

0

0

0

0

0

0

0

t2

0

1

0

0

0

0

0

0

t3

0

0

0

1

0

0

0

0

t4

0

0

0

0

0

1

0

0

t5

0

0

1

0

1

0

0

1

t6

0

0

0

0

1

0

1

1

t7

0

0

0

0

0

0

0

0

DО=

Граф состояний системы (Рис.№4)

Моделируемая система является многофазной одноканальной. Поток заявок, поступающий в систему - простейший. Заявка, поступившая в момент, когда канал занят, становится в очередь и ожидает обслуживания.

Рис.№ 4 - Граф состояний системы.

S0 - система свободна; S1 - накопитель занят, канал занят; S2 - канал занят, одна заявка в очереди; Sm - канал занят, m-заявок в очереди; Sm+1 - очередь заполнена, одна заявка под обслуживанием.

Данная система является одноканальной системой с ожиданием.

2. Алгоритмизация модели системы и ее машинная реализация

 

.1 Построение логической схемы модели


Логическая схема модели представлена на Рис.№5.

После генерации сообщений, все сообщения поступают в накопитель, где ожидают освобождения канала передачи. Если Канал свободен, то сообщение начинает передаваться при этом в буфере основного канала сохраняется копия сообщения. Если передача прошла то копия сообщения удаляется. При выходе из строя основного канала во время передачи сообщения, копия сообщения из буфера поступает на резервный канал и передается с самого начала. Передача сообщений по резервному каналу происходит до восстановления основного канала. После восстановления основного канала сообщения предаются через основной канал, а резервный канал отключается.

Рис.№5

2.2 Выбор инструментальных средств моделирования


В нашем случае для проведения моделирования системы массового обслуживания с непрерывным временем обработки параметров при наличии случайных факторов необходимо использовать ЭВМ с применением пакета AnyLogic. При разработке моделей в AnyLogic можно использовать концепции и средства из нескольких методов моделирования, например, в агентной модели использовать методы системной динамики для представления изменений состояния среды или в непрерывной модели динамической системы учесть дискретные события. Например, управление цепочками поставок при помощи имитационного моделирования требует описания участников цепи поставок агентами: производители, продавцы, потребители, сеть складов. При этом производство описывается в рамках дискретно-событийного (процессного) моделирования, где продукт или его части - это заявки, а автомобили, поезда, штабелёры - ресурсы. Сами поставки представляются дискретными событиями, но при этом спрос на товары может описываться непрерывной системно-динамической диаграммой. Возможность смешивать подходы позволяет описывать процессы реальной жизни, а не подгонять процесс под доступный математический аппарат.

 

.3 Спецификация и построение схемы программы


Спецификация постановки задачи

·        Время генерации новых сообщений 8± 2с.

·        Время передачи сообщения по основному каналу за 6 ± 2 с.

·        Интервалы времени выхода из строя основного канала 250 ± 40 с.

·        Время восстановление основного канала 22 ± 6 с.

·        Время запуска резервного канала 3 с.

·        Общее время проведения эксперимента 2 часа (7200 с.)

При исследовании модели канала передачи сообщений необходимо получит следующие данные:

·        Определить количество переданных сообщений обоим каналам.

·        Определить загрузку запасного канала.

·        Определить частоту отказов основного канала.

·        Определить число прерванных сообщений.

Для того чтобы определить количество переданных сообщений будем считать количество обработанных сообщений на выходе модели.

Для того чтобы определить загрузку запасного канала будем считать количество обработанных сообщений на выходе запасного канала.

Для того чтобы определить частоту отказов основного канала будем считать количество выходов из строя основного канала.

Для того чтобы определить число прерванных сообщений будем считать количество удаленных сообщений при выходе из строя основного канала.

 

.4 Проведение программирования модели


Для реализации модели канала передачи данных в пакете AnyLogic будем использовать библиотеку AnyLogic Enterprise Library которая поддерживает дискретно-событийный или, если быть более точным, "процессный" подход моделирования. Управлять объектами будем с помощью событий которые мы создадим специально для этой модели, подсчет параметров будем производить с помощью простых переменных которые также должна предопределены в модели.

Не обходимо создать следующие события:

Avaria (выход из строя основного канала с интервалом 250 ± 40 с. uniform(290,210))

Действия происходящие при наступлении события

·      hold.setBlocked(true);//закрываем основной канал

·        blok=true;//признак выхода из строя

·        startvoctanovlenie.restart();//запуск события на восстановление

·        startrezerv.restart();//запуск события на рестарт резервного канала

·        kollotkazov=kollotkazov+1;//считаем кол-во отказов

Startvoctanovlenie (запуск события на восстановление основного канала)

Действия происходящие при наступлении события

·      voctanovlenie.restart(uniform(28,16))

Voctanovlenie (время восстановление основного канала 22 ± 6 с.)

Действия происходящие при наступлении события

·      hold.setBlocked(false);//открываем основной канал

·        blok=false;// признак выхода из строя

·        avaria.restart(uniform(290,210));//запускаем событие на выход из строя основного канала

·        hold1.setBlocked(true)// закрываем резервный канал

Startrezerv (время запуска резервного канала 3 с)

Действия происходящие при наступлении события

·      hold1.setBlocked(false);//открываем резервный канал

Необходимые переменные для реализации модели

Blok(переменная типа boolean если true то основной канал вышел из строя, эта переменная управляет объектами selectOutput)(переменная типа double для подсчета количества отказов)(переменная типа double для подсчета прерванных сообщений)

Kolrezerv (переменная типа double для подсчета количества сообщений переданных резервным каналом)(переменная типа double для подсчета количества сообщений переданных основным каналом)(переменная типа double для подсчета количества сгенерированных сообщений)(переменная типа double для подсчета переданных сообщений по обоим каналам)

Наборы данных для сбора статистики

Zagryzkarez (определение загрузки резервного канала kolrezerv/(vsegozaiavok/100))

Zagryzkaosn ( определение загрузки основного канала kolosnovnoi/(vsegozaiavok/100))

Объекты библиотеки AnyLogic Enterprise Library используемые при построении модели канала передачи данных.

Source (генерирует сообщения, время генерации новых сообщений 8± 2с uniform(13,3) количество заявок прибывающих за один раз равно 1).

queue2(выполняет роль накопителя, хранит сообщения в последовательности прибытия , при освобождении ресурсов пропускает сообщение на выход, максимальная вместимость)

Seize (осуществляет захват сообщением списка ресурсов указанных в resourcePool, при входе сообщений происходит подсчет сгенерированных сообщений vsegonaobrabotky=vsegonaobrabotky+1;)(содержит список захваченных ресурсов)

SelectOutput (передает заявки в основной канал, если blok=false. если blok=true то заявка передается в резервный канал)

Split (создаем копию заявки при передаче по основному каналу, при выходе из строя основной линии заявка находящаяся в обработке уничтожается, а копия заявки уходит на резервную линию)

Hold (имитирует выход из строя основного канала, при наступлении события Avaria (hold.setBlocked(true);//закрываем основной канал))

Delay (имитирует передачу заявки по резервному каналу, задерживает передачу сообщения на время 6± 2с. uniform(8,4), при выходе заявки открываем буфер с копией сообщения hold2.setBlocked(false))

SelectOutput1 (при выходе из строя основного канала blok=true сообщение считается прерванным и уничтожается. На выходе «false» производится подсчет сообщений переданных основным каналом kolosnovnoi=kolosnovnoi+1)

Release (освобождает ресурсы захваченные сообщением)

Sink (подсчитывает количество обработанных сообщений vsegozaiavok=vsegozaiavok+1, унечтожает обработанные сообщения с обоих каналов.)

Release1 (освобождает ресурсы захваченные сообщением при уничтожении)

Sink1 (уничтожение сообщений из основной линии при неисправности, производится подсчет прерванных заявок prervzaiavka=prervzaiavka+1)

Queue1 (имитирует буфер, хранит копию сообщения, вместимость равна 1)

Hold2 (не пропускает копию сообщения пока не произойдет обработка основной заявки, при выходе закрываем буфер hold2.setBlocked(true);)

SelectOutput2 (выводит копию сообщения на резервную линию при условии что на основной линии авария и основное сообщение не обработано, если blok=true то заявка передается на резервный канал)

Sink2 (уничтожение копий сообщений при условии что оригинал был обработан на основной линии)

Queue (сохраняет сообщения если резервный канал еще не запушен)

Hold1 (отключение резервного канала и задержка на его запуск, канал открывается при наступлении события Startrezerv (hold1.setBlocked(false)))

Delay1 (имитирует передачу заявки по резервному каналу, задерживает передачу сообщения на время 6± 2с. uniform(8,4))

Схема модели канала представлена на Рис.№6, программное исполнение модели канала представлено на Рис.№7

Рис.№6

Рис.№7

3. Получение и интерпретация результатов моделирования системы

 

.1 Планирование машинного эксперимента с моделью системы


Для получения максимального объема необходимой информации об объекте моделирования при минимальных затратах машинных ресурсов проведем полный факторный эксперимент с четырьмя существенными факторами (переменных и параметров).

х1 - интервал времени прибытия очередного сообщения = 8с.;

х2 - интервал времени выхода из строя основного канала 250с.;

х3 - время передачи сообщения по каналам 6с.;

х4 - время восстановления основного канала 22с.;

х5 - время запуска резервного канала 3с.;

Зададим уровни вариации для каждого фактора:

Dх1= 2, Dх2= 50, Dх3= 2, Dх4= 4, Dх5= 1

Составим матрицу плана полного факторного эксперимента. Таблица №1

Таблица №1.

Номер опыта

Фактор х1

Фактор х2

Фактор х3

Фактор х4

Фактор х5

0 (базовый)

8

250

6

22

3

1

6

200

4

18

2

2

6

200

4

18

4

3

6

200

4

26

2

4

6

200

4

26

4

5

6

200

8

18

2

6

6

200

8

18

4

7

6

200

8

26

2

8

6

200

8

26

4

6

300

4

18

2

10

6

300

4

18

4

11

6

300

4

26

2

12

6

300

4

26

4

13

6

300

8

18

2

14

6

300

8

18

4

15

6

300

8

26

2

16

6

300

8

26

4

17

10

200

4

18

2

18

10

200

4

18

4

19

10

200

4

26

2

20

10

200

4

26

4

21

10

200

8

18

2

22

10

200

8

18

4

23

10

200

8

26

2

24

10

200

8

26

4

25

10

300

4

18

2

26

10

300

4

18

4

27

10

300

4

26

2

28

10

300

4

26

4

29

10

300

8

18

2

30

10

300

8

18

4

31

10

300

8

26

2

32

10

300

8

26

4

 

.2 Проведение рабочих расчетов


Набор исходных данных для ввода в ЭВМ представлен в виде матрицы плана, с помощью которой в достаточном объеме исследуется факторное пространство. Получение выходных данных зависит от среды моделирования AnyLogic. Дополнительные расчеты не требуются.

 

.3 Анализ результатов моделирования системы


Планирование полного факторного эксперимента с моделью позволяет вывести необходимое количество выходных данных, при этом каждый опыт соответствует одному из возможных состояний исследуемой системы. Статистические характеристики модели вычисляются в модели эксперемента.

3.4 Представление результатов моделирования


Результаты моделирования представлены в таблице №2. Общее время моделирования каждого эксперимента 2 (7200с.).

Таблица №2

Частота отказов

Количество отказов

Загрузка резервного канала %

Число прерванных сообщений

Кол-во переданных сообщений по основному каналу

Кол-во переданных сообщений по резервному каналу

Всего переданных сообщений

Всего поступивших сообщений

276,9

26

9,3

20

820

85

905

910

232,2

31

9,5

19

1083

114

1197

1199

218,2

33

9,3

25

1105

114

1219

1219

225

32

13,1

21

1030

156

1186

1187

218,2

33

12,5

26

1032

148

1180

1181

218,2

33

14,2

20

495

82

577

1119

218,2

33

13,9

19

457

74

531

1200

225

32

12,1

31

737

102

839

1209

232,2

31

11,9

31

754

102

856

1220

327,2

22

7

16

1134

86

1220

1220

327,2

22

6,2

12

1135

74

1209

1210

342,8

21

9

12

1073

107

1180

1181

327,7

22

8

13

1084

95

1179

1180

327,2

22

8,8

15

554

54

608

1178

327,2

22

9,8

13

479

49

528

1199

327,2

22

9

21

765

76

841

1207

327,2

22

8,7

20

731

70

801

1215

218,1

33

9,9

14

666

73

739

739

211,7

33

11

14

631

78

709

710

225

32

13

14

621

93

714

714

225

32

12,6

14

624

90

714

715

218,1

33

11,5

23

590

77

667

724

225

32

13

22

515

77

592

726

232,2

31

13,2

27

630

96

726

727

225

32

13,9

631

102

733

734

327,2

22

6,2

6

677

45

722

722

327,2

22

6,6

13

673

48

721

721

327,2

22

9,4

12

651

68

719

719

327,2

22

8,9

9

654

64

718

718

327,2

22

9

15

534

53

587

720

327,2

22

7,7

15

610

51

661

719

342,8

21

9

16

653

67

720

721

342,8

21

9,9

16

599

66

665

721



3.5 Интерпретация результатов моделирования


Полученные результаты можно интерпретировать следующим образом. Построим график с результатами эксперимента, на этом же графике разместим входные данные задачи. Исследуем полученный график.

·      Количество сгенерированных сообщений имеет прямую зависимость от интервала прибытия сообщений.

·        График переданных сообщений по обоим каналам и график переданных сообщений по основному каналу имеют идентичные формы, поэтому можно сделать вывод что основную нагрузку несет основной канал.

·        При увеличении времени восстановления основного канала возрастает количество переданных сообщений по резервному каналу.

·        Частота отказов имеет прямую зависимость от интервала времени выхода из строя основного канала. При уменьшении времени интервала между авариями частота аварий возрастает.

·        Количество переданных сообщений по резервному каналу находится в максимальном значении при максимальных значениях времени восстановления основного канала, и минимальных значениях интервала между авариями.

·        При уменьшении времени передачи возрастает количество переданных сообщений

·        При увеличении времени передачи и уменьшения времени восстановления наблюдается самая низкая пропускная способность каналов.

·        При уменьшении времени передачи и увеличении времени восстановления наблюдается самая высокая пропускная способность каналов. При этом количество прибывших сообщений равно количеству переданных сообщений по обоим каналам.

Рис.№8

Заключение


Результаты моделирования при проведении машинного эксперимента подтвердили следующие гипотезы для базовой точки эксперимента:

·        Интенсивность отказов влияет на работу магистрали передачи данных, при увеличении количества отказав будет передано меньшее количество сообщений, так как при выходе из строя основного канала резервный канал запускается в течении 3 с. И передача сообщения начинается с начала. Следовательно, нужно стремиться к уменьшению количества отказов.

·        При уменьшении количества отказов загрузка основного канала повысится, а резервного уменьшится

·        При уменьшении времени прибытия новых сообщений также возрастет количество переданных сообщений, так время прибытия 8 ± 5с.> времени передачи 6 ± 2 с. Следовательно система бездействует некоторое время ожидая поступления очередного сообщения.

Рекомендуется использовать магистраль передачи данных при условиях экспериментов №3, №4, №11, №12 так как при этих условиях наблюдается максимальное количество переданных сообщений, обработаны все сообщения которые поступили для передачи в магистраль.

Список использованной литературы


1. Осоргин А.Е. AnyLogic 6 Лабораторный практикум Самара 2011 100 с.

. Карпов Ю.Г. Имитационное моделирование систем. Введение в моделирование с AnyLogic 5.0. - СПб.: БХВ-Петербург, 2005. - 400 с.: ил.

. Карпов Ю.Г. Изучение современных парадигм информационного моделирования в среде AnyLogic // Компьютерные инструменты в образовании. - СПб.: Изд-во ЦПО "Информатизация образования", 2005, N12, С. 03-14.

. http://www.xjtek.ru - Официальный сайт разработчика системы AnyLogic. Дистрибутивы, примеры моделей, руководства, статьи и другая информация.

. http://www.gpss.ru/ - сайт, посвященный имитационному моделированию систем.

. http://headwire.narod.ru/ - здесь собраны самые разные примеры имитационных моделей, построенных в среде AnyLogic.

Похожие работы на - Имитационное моделирование процесса передачи данных по двум каналам

 

Не нашли материал для своей работы?
Поможем написать уникальную работу
Без плагиата!
Без нейросетей!