Моделирование двухканальной магистрали передачи данных

  • Вид работы:
    Курсовая работа (т)
  • Предмет:
    Информационное обеспечение, программирование
  • Язык:
    Русский
    ,
    Формат файла:
    MS Word
    112,23 Кб
  • Опубликовано:
    2014-07-18
Вы можете узнать стоимость помощи в написании студенческой работы.
Помощь в написании работы, которую точно примут!

Моделирование двухканальной магистрали передачи данных

Содержание

Постановка задачи

Введение

1. Разработка математической модели системы

.1 Построение концептуальной модели

.2 Формализация концептуальной модели

. Алгоритмизация и программирование модели

.1 Выбор принципа построения моделирующего алгоритма

.2 Разработка моделирующего алгоритма

2.3 Руководство пользователя

3. Экспериментальное исследование системы

.1 Планирование и проведение эксперимента

.2 Анализ результатов моделирования

Заключение

Список использованных источников

Приложения

Постановка задачи

Моделирование двухканальной магистрали передачи данных

Описание задания.

Магистраль передачи данных состоит из двух каналов (основного и резервного) и общего накопителя. При нормальной работе сообщения передаются по основному каналу за среднее время 7с в соответствии с пуассоновским законом распределения. В основном канале происходят сбои через интервалы времени 200 ± 35 с. Если сбой происходит во время передачи, то за 2 с запускается запасной канал, который передает прерванное сообщение с самого начала. Восстановление основного канала занимает в среднем 23 с по экспоненциальному закону обслуживания. После восстановления резервный канал выключается и основной канал продолжает работу с очередного сообщения. Сообщения, распределенные по закону Пуассона, поступают в среднем через 9 с и остаются в накопителе до окончания передачи. В случае сбоя передаваемое сообщение передается повторно по запасному каналу.

Задание по моделированию:

- составление и описание имитационной модели;

смоделировать работу магистрали передачи данных в течении 1 ч;

определить загрузку запасного канала.

Введение

Проблема исследования процессов функционирования систем, которые мгновенно изменяют свое состояние под воздействием внешних и внутренних событий, является достаточно актуальной. К таким системам, в частности, относятся экономические системы, системы передачи информации по сетям связи и многие другие. Процесс исследования таких систем начинается с создания математической модели. Если целью исследования являются временные характеристики работы системы, то в качестве математической модели часто выбирается модель в виде системы или сети массового обслуживания. В терминах систем массового обслуживания описываются многие реальные системы: вычислительные системы, узлы сетей связи, системы посадки самолетов, магазины, производственные участки - любые системы, где возможны очереди и отказы в обслуживании.

Универсальным методом исследования систем массового обслуживания является имитационное моделирование, т. е. написание компьютерной программы, имитирующей процесс функционирования системы, и проведение экспериментов на этой программе с целью получения статистических оценок характеристик моделируемой системы. Основным преимуществом имитационного моделирования над аналитическим является возможность решения более сложных задач. Имитационные модели позволяют учитывать такие факторы, как нелинейные характеристики элементов системы, многочисленные случайные воздействия и другие, которые часто создают трудности при аналитических исследованиях. Используя результаты имитационного моделирования, можно описать поведение системы, оценить влияние различных параметров системы на ее характеристики, выявить преимущества и недостатки предлагаемых изменений, прогнозировать поведение системы.

В результате моделирования системы получается серия частных значений искомых величин или функций, статистическая обработка которых позволяет получить сведения о поведении реального объекта или процесса в произвольные моменты времени.

Целью данной курсовой работы является построение адекватной модели работы магистрали передачи данных и её анализ.

1. Разработка математической модели системы

.1 Построение концептуальной модели

На этапе построения концептуальной модели системы:

описывается концептуальная модель в абстрактных терминах и понятиях;

дается описание модели с использованием типовых математических схем;

принимаются окончательно гипотезы и предположения;

обосновывается выбор процедуры аппроксимации реальных процессов при построении модели.

Моделируемая система представляет собой однофазную СМО без отказов. Поток заявок формируется сообщениями, поступающими с заданным интервалом 9 с. Для обслуживания заявок система использует 2 канала (основной и резервный). Если в момент поступления заявки есть свободный канал, то заявка принимается на обслуживание, иначе она остается в накопителе. Продолжительности обслуживания заявок (передача сообщений) распределены по Пуассоновскому закону распределения 7 с. Необходимо смоделировать работу системы в течение 1 часа.

Q-схема СМО представлена на рисунке 1.1.

Рисунок 1.1 - Q-схема модели СМО

В данной схеме источник И генерирует поступление заявок с интенсивностью λ, накопитель Н моделирует очередь заявок, каналы Ко и Кр моделируют обслуживание заявок с заданной частотой μ.

.2 Формализация концептуальной модели

Формализация подразумевает под собой построение формализованной схемы процесса функционирования системы и математической модели этого процесса.

В качестве упрощения примем работу только одного канала, так как вместе основной и резервный каналы работать не могут.

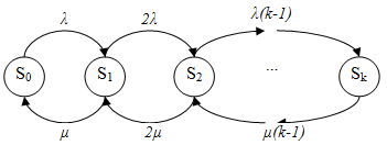
Состояния СМО нумеруются по числу заявок в СМО, находящихся в очереди или обслуживамых:0 - СМО свободна;1 - канал занят, очереди нет;2 - канал занят, заявка стоит в очереди; ...;

Sk - канал занят, k-1 заявок стоят в очереди; ....

λ - интенсивность поступления заявок;

μ - интенсивность обслуживания;

Граф состояний СМО представлен на рисунке 1.2.

Рисунок 1.2 - Граф состояний СМО

Финальные вероятности состояний выражаются формулами:

pо=1-ρ, рk = ρk(1-ρ) (k = 1,2,...), где ρ =λ/μ < 1.

Характеристики эффективности СМО:    

    

вероятность того, что канал занят:


2. Алгоритмизация и программирование модели

.1 Выбор принципа построения моделирующего алгоритма

формализация алгоритм компьютерный статистический

Существует два основных принципа построения моделирующих алгоритмов: принцип "" и принцип "". При построении моделирующего алгоритма Q-схемы по принципу "", т. е. алгоритма с детерминированным шагом, необходимо определить минимальный интервал времени между соседними событиями  (во входящих потоках и потоках обслуживаний) и принять шаг моделирования равным .

В моделирующих алгоритмах, построенных по принципу "", т. е. в алгоритмах со случайным шагом, элементы Q-схемы просматриваются при моделировании только в моменты особых состояний (в моменты появления заявок из источников или изменения состояний каналов).

Для разработки моделирующей программы будем использовать детерминированный алгоритм, т. к. условия поставленной задачи не накладывают особых требований к эффективности и скорости алгоритма. Кроме того, этот алгоритм достаточно прост и легко реализуем. Шаг выберем равным 0.1 мин.

.2 Разработка моделирующего алгоритма

Опишем основные переменные и функции, используемые при реализации моделирующего алгоритма:

time_st - текущий момент времени;

time _end - время моделирования;

dt - шаг моделирования;

total - общее число заявок в системе;

served -число обслуженных заявок;

fix_time - среднее время обслуживания заявки;

src_time - средний интервал времени между заявками;

zn - длина очереди накопителя;

z[2] - признак занятости каналов;

tk - время освобождения канала;

ts - время появления новой заявки.

init() - функция инициализации параметров модели

imit() - функция проведения имитационного моделирования;

ExpGen(double Lambda) - функция, возвращающая случайное число, распределённое по экспоненциальному закону с указанной в качестве параметра интенсивностью;

Перед началом моделирования пользователь указывает:

общее время моделирования (time_end);

средний интервал времени между заявками (src_time);

среднее время обслуживания заявки (fix_time);

Остальные переменные обнуляются.

Общая схема алгоритма моделирования приведена на рисунке 2.1.

Здесь:

- ввод исходных данных (параметров моделирования);

- установка начальных условий (сброс переменных в нулевое значение или расчет значения на основе заданных параметров моделирования);

- проверка окончания моделирования: моделирование завершается, когда очередь событий пуста;

- моделирования обслуживания заявки каналами;

- передача заявок из накопителя в каналы;

- моделирование поступления новой заявки;

- наращивание модельного времени;

- обработка результатов моделирования

- вывод результатов.

Рисунок 2.1 - Укрупнённая схема МА

Алгоритм генерации новой заявки приведен на рисунке 2.2.

Рисунок 2.2 - Схема алгоритма генерации новой заявки

Алгоритм передачи заявки из накопителя в канал приведен на рисунке 2.3.

Рисунок 2.3 - Схема алгоритма передачи заявки из накопителя в канал

Алгоритм обслуживания заявки приведен на рисунке 2.4.

Рисунок 2.4 - Схема алгоритма обслуживания заявки

.3 Руководство пользователя

После запуска программы её окно имеет вид, представленный на рисунке 2.5.

В данном окне расположены:

панель установки параметров модели (вверху окна);

кнопка запуска моделирования (ниже).

Рисунок 2.5 - Окно программы при запуске

Кнопка запуск - запускает выполнение программы.

Для начала моделирования необходимо задать в соответствующих полях значения параметров моделирования и нажать кнопку "Запуск". После завершения моделирования отобразится окно с результатами моделирования.

3. Экспериментальное исследование системы

.1 Планирование и проведение эксперимента

Имитационное моделирование является по своей сути машинным экспериментом с моделью исследуемой или проектируемой системы. План имитационного эксперимента на ЭВМ представляет собой метод получения с помощью эксперимента необходимой пользователю информации. Эффективность использования экспериментальных ресурсов существенным образом зависит от выбора плана эксперимента.

Машинный эксперимент с моделью системы при её исследовании и проектировании проводится с целью получения информации о характеристиках процесса функционирования рассматриваемого объекта. Эффективность машинных экспериментов с моделями существенно зависит от выбора плана эксперимента, так как именно план определяет объемы и порядок проведения вычислений на ЭВМ, приемы накопления и статистической обработки результатов моделирования системы. Поэтому основная задача планирования машинных экспериментов с моделью формулируется следующим образом: необходимо получить информацию об объекте моделирования, заданном в виде моделирующего алгоритма, при минимальных или ограниченных затратах машинных ресурсов на реализацию процесса моделирования.

.2 Анализ результатов моделирования

Для исследования свойств системы проведём эксперимент, состоящий из 10 прогонов моделирования при значениях параметров, соответствующих варианту задания. Результаты работы программы сведем в таблицу 3.1.

Таблица 3.1 - Результаты моделирования

№ прогона

Nобщ

Nобсл

Q

Pотк

k (%)

1

412

412

1

0

12.4

2

396

396

1

0

12.1

374

367

0.98

0.02

8.67

4

370

369

0.99

0.01

8.72

5

395

395

1

0

12.0

6

393

393

1

0

11.5

7

385

385

1

0

9.99

8

377

375

0.994

0.006

9.59

9

378

378

1

0

9.07

10

407

407

1

0

12.4

Mo

388.7

387.7

0.9974

0.0026

10.64


Как несложно заметить, результаты моделирования очень хорошо согласуются с теоретическими данными. Кроме того, в целом, показатели эффективности данной СМО оказались очень высокими - практически все заявки были обслужены.

Заключение

При выполнении курсовой работы была составлена концептуальная модель системы, проанализирована возможная динамика состояний системы, на основе полученной модели разработан и реализован моделирующий алгоритм.

Было разработано программное средство, позволяющее моделировать работу системы массового обслуживания и рассчитывать значения заданных показателей эффективности.

Для получения характеристик исследуемой системы над моделью был проведён ряд экспериментов. Результаты, полученные в процессе моделирования, использованы для выявления загруженности запасного канала.

Список использованных источников

. Бусленко Н.П. Моделирование сложных систем. - М.: Наука, 1988.

. Советов Б.Я., Яковлев С.А. Моделирование систем: Учебник для вузов. - М.: Высш. шк., 2001. - 343с.

. Гультяев А. Визуальное моделирование в среде "Matlab": Учебный курс. - СП: Питер, 2000.

. Вентцель Е.С., Овчаров Л.А. Задачи и упражнения по теории вероятностей: Учебное пособие для студ. втузов. - М.: Издательский центр "Академия", 2003. - 448.

. Гмурман В.Е. Руководство к решению задач по теории вероятностей и математической статистике: Учебн. пособие для вузов. - М.: Высш. шк., 2003. - 405 с.

. Лебедев А.Н. Моделирование в научно-технических исследованиях. - М.: Радио и связь, 1989. - 224 с.

. Х. Шенк. Теория инженерного эксперимента. Перевод с английского Е.Г. Коваленко. - М.: Мир, 1972. - 382 с.

. Романцев В.В., Яковлев С.А. Моделирование систем массового обслуживания. - СПб.: Поликом, 1995.

. Ермаков С.М., Мелос В.Б. Математический эксперимент с моделями сложных стохастических систем. - СПб.: изд. ГУ, 1993.

. Клейнен Дж. Статистические методы в имитационном моделировании. - М.: Статистика, 1978.

. Шеннон Р. Имитационное моделирование систем. Искусство и наука. - М.: Мир, 1978.

Рисунок А.1 - Запуск приложения

Рисунок А.2 - Работа приложения

Приложение Б. Текст программы

Похожие работы на - Моделирование двухканальной магистрали передачи данных

 

Не нашли материал для своей работы?
Поможем написать уникальную работу
Без плагиата!
Без нейросетей!