|
щ
|
0
|
1
|
2
|
|
0
|
81.907
|
181.201
|
|
UD(щ)
|
1.679∙103
|
0
|
-6.538∙103
|
|
VD(щ)
|
0
|
1.205∙104
|
0
|
Оскільки умова
виконується
(значення щ0 відповідає початку годографа - перетин з дійсною віссю, щ1 - з
уявною, щ2 - з дійсною), будуємо годограф Михайлова:
Рис. 14. Годограф Михайлова.
З рисунка видно, що годограф
починається на дійсній додатній півосі і проходить три квадранти, огинаючи
початок координат проти годинникової стрілки. Таким чином умова стійкості за
Михайловим виконується, і, значить система - стійка.
Визначення стійкості системи
за критерієм Найквіста
Критерій стійкості
формулюється відносно стійкості розімкнутої системи. Отже спершу визначимо
стійкість розімкнутої системи.
Як видно з передавальної
функції, знаменник має один нульовий корінь. Визначимо решту коренів:
Оскільки ці корені від’ємні
(і враховуючи присутність нульового кореня), можна стверджувати, що система в
розімкнутому стані є нейтральною.
Для даного випадку формулювання
критерію звучить наступним чином: якщо система нейтральна в розімкнутому стані,
то її АФЧХ доповнюють дугою
нескінченно великого радіуса, де k -
кратність нульового кореня. Якщо АФЧХ і побудована дуга коле безмежно великого
радіуса не охоплюють точку з координатами (-1, j0),
то система буде стійкою в замкнутому стані.
Годограф Найквіста, за яким
визначається стійкість систем автоматичного керування будується по
передавальній функції розімкнутої системи. Отже, замінимо в передавальній
функції розімкнутої системи Wp(p) p на jщ:
Одержання годографа Найквіста
зводиться до побудови АФЧХ розімкнутої системи, яку (як було описано вище)
можна будувати за дійсною та уявною функцією або за амплітудою та фазою.
Здійснимо побудову за першим способом.
де
- дійсна
частина передавальної функції розімкнутої системи,
- її уявна
частина. Тепер, змінюючи частоту від -∞ до ∞ отримуємо годограф
Найквіста.
Рис. 15. Годограф Найквіста
(штриховою лінією показана дуга з R→∞).
Аналізуючи годограф робимо
висновок, що замкнута система стійка, оскільки АФЧХ з доповненою дугою не
охоплюють точку (-1, j0).
Визначення стійкості системи
за допомогою логариф-мічного критерію Найквіста
Модифікацією критерію
Найквіста є його застосування з використанням логарифмічних характеристик.
Критерій формулюється таким чином: замкнута система буде стійкою, якщо ЛАХ
розімкнутої системи перетне вісь абсцис до того як її фаза кінцево перейде за
значення -р. Іншими словами, на частоті зрізу щзр абсолютне значення фази не
повинно перевищувати р.
Щоб здійснити оцінку
стійкості, побудуємо асимптотичну ЛАХ. Для цього виразимо передавальну функцію
розімкнутої системи наступним чином, розділивши чисельник і знаменник її на а2:
де
,
- стала
часу,
- параметр режиму.
Логарифмічна амплітудна
функція має вигляд:
Отже для визначення її
необхідно знайти амплітудну функцію розімкнутої системи. Заміняємо оператор
диференціювання р в передавальній функції на jщ:
де
-
амплітудна частотна функція розімкнутої системи,
- її фазна
частотна функція.
Підставивши знайдене рівняння
амплітуди в вираз для ЛАХ отримаємо:
Маючи ці параметри, можна
знайти спряжену частоту, яка буде відповідати зміні нахилу ЛАХ:
Також потрібно знайти частоту
зрізу, при якій ЛАХ перетинає вісь абсцис:
Асимптотична ЛАХ будується по
двох точках для всіх проміжків, розділених спряженими частотами. В нашому
випадку проміжків два, відповідно нахилених на -20 дБ/дек та -60 дБ/дек.
Для першого проміжку (щ≤щсп) при
щ=1
, а при щ=10
. Для
другого проміжку ЛАХ наближено буде відповідати рівнянню:
Тепер можемо побудувати
асимптотичну логарифмічну амплітудну характеристику:
Рис. 16. Асимптотична ЛАХ
розімкнутої системи.
Проте знайдена ЛАХ є
наближеною, оскільки в околі щсп дві ділянки стикаються не під кутом, а по
деякій кривій лінії. Ця крива визначається через параметр режиму о і є
довідниковою. На рис. представлені криві для деяких о:
Рис. 17. Поправки до ЛАХ,
відповідно до значень о.
В нашому випадку о=0.123 і
доповнивши асимптотичну ЛАХ кривою спряження, отримуємо наступну
характеристику:
Рис. 18. Логарифмічна
амплітудна характеристика розімкнутої системи.
Визначення запасу стійкості системи
При оцінці стійкості варто оцінити і
величину запасу стійкості, тобто параметр, що показує наскільки система віддалена
від границі стійкості. Для критерію Гурвіца про запас стійкості говорять по
тому запасу, з яким виконуються нерівності, що входять в критерій. Для критерію
Михайлова це буде віддаленість годографа D(jщ)
від
початку координат. При використанні критерію Найквіста запасом буде
віддаленість годографа W(jщ)
від точки з координатами (-1, j0).
Зробимо оцінку запасу стійкості по логарифмічному критерію Найквіста. В цьому
випадку є два параметри, що описуються запас стійкості системи - запас
стійкості по фазі Дц і запас стійкості по амплітуді ДL.
Перший параметр визначає величину, на яку повинно зрости запізнення по фазі на
частоті щзр, щоб система опинилась на границі стійкості. Другий параметр
визначається величиною допустимого підйому ЛАХ, при якому система опиняється на
границі стійкості. Обчислюються ці параметри наступним чином.
Щоб обчислити запас стійкості по
фазі, необхідно знайти значення фази при частоті щзр:
Рис. 19. ФЧХ від функції
Тепер знайдемо запас стійкості по
амплітуді. Для цього спершу потрібно знайти значення частоти, коли фаза за
модулем рівна р. Проте, як видно з рисунка, фаза не переходить за значення ±р.
В цьому випадку задамося певною похибкою, значення якої приймемо 1%. На рис. 20
показано, як ФЧХ приймає значення -р
з похибкою.
Рис. 20. Наближення ФЧХ до -р із
заданою похибкою.
Обчислимо частоту, на якій ФЧХ
вперше приймає значення -р з заданою похибкою:
де
- значення
фази з урахуванням похибки.
В цьому випадку запас
стійкості по амплітуді буде становити:
Дослідження перехідного
процесу
Визначення перехідної функції
та перехідної характери-стики замкненої системи
Перехідна функція -
аналітичний вираз, що відображає реакцію системи, коли на вхід її подається
одинична сходинкова дія.
Одинична сходинкова дія - це
дія, яка миттєво зростає від 0 до 1 і далі залишається сталою. Позначають її 1(t).
Знаходять перехідну функцію
використовуючи передавальну функцію системи. З умови перетворення Лапласа:
Перехідна функція буде
знаходитись як зворотне перетворення Лапласа передавальної функції, при подачі
на вхід одиничного імпульсу. Як відомо:
Отже:
Для простішого обчислення
цього виразу використовуються наближені формули. Щоб дізнатись, за яким
правилом шукати вираз для перехідної функції потрібно спершу знайти полюси
передавальної функції. Як було описано вище:
Прирівнявши вираз до 0,
знаходимо:

Маючи один дійсний і пару
комплексно-спряжених коренів (а також з урахуванням того, що наявний нульовий
корінь) використовуємо наступне правило:
де si -
дійсні корені рівняння
(і - їх
кількість), sk -
комплексні корені рівняння
(k -
їх кількість). Потрібно зауважити, що пара комплексно-спряжених коренів
розглядається як один корінь, і з неї в вираз підставляється той, що має
додатну уявну частину.
Похідна знаменника
передавальної функції буде мати вигляд:
Таким чином, шукаємо
аналітичний вираз перехідної функції:
Будуємо перехідну
характеристику системи - графік залежності перехідної функції від часу:
Рис. 21. Перехідна характеристика
системи.
Визначення імпульсної перехідної
функції та імпульсної перехідної характеристики замкнутої системи Імпульсна
перехідна характеристика - це реакція ланки при подачі на її вхід подається
одиничний імпульс.
Одиничний імпульс (д(t))-
математична ідеалізація реального імпульсу, площа якого рівна 1, тривалість -
0, а висота - ∞. Також ця дія називається дельта-імпульсом або функцією
Дірака.
Існує співвідношення між одиничною
сходинковою дією і одиничним імпульсом:
Між імпульсною перехідною
характеристикою та перехідною характеристикою також є співвідношення:
Отже імпульсну перехідну
функцію можна шукати двома способами. Використаємо той же спосіб, що і для
перехідної функції, оскільки:
Оскільки нульового кореня немає,
аналітичний вираз для знаходження імпульсної перехідної функції наступний:
де si -
дійсні корені рівняння
(і - їх
кількість), sk -
комплексні корені рівняння
(k -
їх кількість).
Підставляючи вище отримані
значення коренів знаменника, отримаємо наступне:
Маючи вираз імпульсної
перехідної функції будуємо імпульсну перехідну характеристику:
Рис. 22. Імпульсна перехідна
характеристика.
Якість перехідного процесу
Визначимо тепер показники
якості перехідного процесу. В нашому випадку таким показником буде час
регулювання - час, за який система встановлюється в усталений режим, відповідно
до похибки. Умова, з якої знаходиться час перехідного процесу наступна:
де Д - похибка, що становить
5% від усталеного режиму, tp - час
регулю-вання (перехідного процесу).
Оскільки
, умову
можна записати наступним чином:
звідки отримуємо значення
часу регулювання:
с
Рис. 23. Перехідна
характеристика і час регулювання.
Дослідження області стійкості
системи
Визначення області стійкості
системи в площині одного параметра
Область простору, всередині
якої всі значення параметрів або коефіцієнтів характеристичного рівняння
відповідають стійкій системі називається областю стійкості. Гіперповерхня, що
обмежує цю область називається границею області стійкості. Для побудови області
стійкості використаємо метод Д-розбиття. Суть цього методу полягає в розбитті
простору коефіцієнтів характеристичного рівняння на області, які відповідають
однаковому числу коренів, розміщених зліва від уявної осі. Уявна вісь в площині
коренів характеристичного рівняння є відображенням границі Д-розбиття і перехід
через неї в просторі коефіцієнтів чи параметрів системи відповідає переходу
коренів в їх площині.
Побудуємо область Д-розбиття
параметра Tдв.
Для цього необхідно характеристичне рівняння привести до вигляду:
де м - параметр, відносно
якого будується область стійкості. Отже в нашому випадку маємо:
де
,
,
.
Далі виражаємо шуканий
параметр:
Робимо заміну s=jщ
і виражаємо параметр через його дійсну і уявну частину:
де Uм(щ) -
реальна частина параметра м, Vм(щ) -
уявна частина параметра м.
Тепер, подібно до АФЧХ,
будуємо площину Д-розбиття параметру Tдв.
Рис. 24. Крива Д-розбиття в
площині параметра Тдв.
Далі, для аналізу знайденої
кривої необхідно зробити штриховку Неймаха. Вона робиться наступним чином:
рухаючись від точки щ=-∞ до точки щ=+∞ заштриховують ліву частину
кривої. Якщо якій-небудь точці площини [м]
відповідає характеристичне рівняння з k лівих
коренів, то при переході в іншу точку, перетинаючи криву Д-розбиття z1
разів з сторони штриховки, і z2 разів з
незаштрихованої сторони, то цій новій точці буде відповідати характеристичне
рівняння, що матиме k+z2-z1
лівих коренів.
Рис. 25. Штриховка Неймаха на
кривій D-розбиття.
Як видно з рисунка, система
буде стійка всередині заштрихованої області. Знайдемо значення параметра Тдв, в
межах яких система буде зберігати стійкість. Оскільки стала часу може бути лише
дійсним параметром, то необхідна умова:
;
;
Отже, система буде стійкою,
коли часова стала двигуна Тдв буде задовольняти умову:
Визначення області стійкості
в площині двох параметрів
Для визначення стійкості
системи в просторі двох параметрів приведемо характеристичне рівняння до
вигляду:
де г=Тдв та х=kр -
параметри, відносно яких визначаємо область стійкості.
де
,
,
.
Робимо заміну
, виділяючи
дійсну і уявну частину кожної функції:
де
,
,
.
Об’єднуючи дійсну і уявну
частину кожної функції, отримуємо систему рівнянь, розв’язуючи яку будують
область стійкості відносно заданих параметрів:
де
і
- відповідно
дійсна і уявна частина функції
,
і
-
відповідно дійсна і уявна частина функції
,
і
-
відповідно дійсна і уявна частина функції
.
Систему зручно розв’язувати
методом Крамера. Відповідно до цього методу:
де Д - визначник, побудований
з дійсних і уявних частин функцій
та
:
Д1 - визначник, побудований з
дійсних і уявних частин функцій
та
:
Д2 - визначник, побудований з
дійсних і уявних частин функцій
та
:
Отже, підставивши знайдені
вирази, отримаємо залежності параметрів від частоти:
Також для побудови області
необхідно знайти особливі прямі, які додатково визначають границю області
стійкості. Їх можна визначити з умов:
Отже, особливі прямі
співпадають з осями координат. Тепер, змінюючи частоту щ від -∞ до ∞
будуємо область Д-розбиття для двох параметрів:
Рис. 26. Крива Д-розбиття
параметрів Tдв і
kp.
Для визначення області
стійкості системи потрібно зобразити штриховку Неймаха. Вона робиться
аналогічно попередньому випадку. Слід лише зауважити, що особливі прямі
штрихуються таким чином, щоб заштрихована сторона особливої прямої і кривої
Д-розбиття співпадали одна з одною, і не заштриховані сторони також. На рис. 27
показана крива Д-розбиття з штриховкою Неймаха.
Рис. 27. Крива Д-розбиття
параметрів Tдв і
kp і
штриховка Неймаха.
Як видно з рисунка, система
буде стійка в заштрихованій області (всередині області, обмеженої кривою
Д-розбиття і особливими прямими).
Оптимізація перехідного
процесу
Визначення коефіцієнту
підсилення, який мінімізує квадра-тичну інтегральну оцінку
Квадратична інтегральна
оцінка застосовується для зменшення часу перехідного процесу. Вона обчислюється
за наступними формулами:
або
де yп(t) -
відхилення керованої величини від нового усталеного значення, яке вона буде
мати після закінчення перехідного процесу, е(t) -
помилка регулювання системи.
Графічно дана оцінка є сумою
квадратів площ, обмежених віссю абсцис та перехідною характеристикою. Оскільки
площі беруться до квадрату, то оцінка дозволяє уникнути помилки, яка виникає
при зміні знаку перехідної характеристики.
Обчислення інтегралу є досить
громістким, тому застосовують наступну формулу:
де n -
степінь знаменника помилки в формі перетворення Лапласа;
m -
степінь чисельника помилки в формі перетворення Лапласа;
Д - визначник n-го
порядку, який дорівнює визначнику Гурвіца, але записується так:
Д1… Дm -
визначники, отримані шляхом заміни в визначнику Д стовпця (н-1) на an-1, an, а
решта елементів - нулі, де н=0…m;
коефіцієнти Bm
обчислюються наступним чином:
Помилка (сигнал
розузгодження) в формі перетворення Лапласа матиме вигляд:
і при вхідному одиничному
імпульсі:
де
,
,
,
.
Підставивши знайдені значення,
отримуємо розрахункову формулу для нашого випадку:
де k=а3
- коефіцієнт підсилення системи,
,
,
,
.
Оптимальне значення часу
перехідного процесу система буде мати при мінімальній квадратичній оцінці. Щоб
її мінімізувати, знайдемо похідну:
звідки отримуємо:
Побудова нової перехідної
характеристики і дослідження якості перехідного процесу
Хоча знайденому значенню
коефіцієнта підсилення
відповідає
менша інтегральна оцінка, система при такому підсиленні є більш нестійкою. Отже
аналізуємо значення коефіцієнта підсилення системи
.
Знаходимо корені
характеристичного рівняння, прирівнюючи його до нуля:
,
Оскільки,
то враховуючи наявність
нульового та пари комплексно-спряжених коренів, використовуємо наступну
наближену формулу для розрахунків:
де si -
дійсні корені рівняння
(і - їх
кількість), sk -
комплексні корені рівняння
(k -
їх кількість). Потрібно зауважити, що пара комплексно-спряжених коренів
розглядається як один корінь, і з неї в вираз підставляється той, що має
додатну уявну частину.
Похідна знаменника
передавальної функції буде мати вигляд:
Отже, знаходимо перехідну
функцію:
Будуємо перехідну
характеристику системи:
Рис. 28. Перехідна
характеристика системи з оптимізованим коефіцієнтом підсилення.
Як видно з рис. 28 система
набула значних коливань. Знайдемо тепер новий час регулювання. В даному випадку
шукаємо межі похибки (5%) усталеного значення:
Рис. 29. Перехідна
характеристика в коридорі 2Д.
Час регулювання знаходимо з
умови:
при
с
Рис. 30. Перехідна
характеристика з оптимізованим коефіцієнтом підсилення і час регулювання.
ВИСНОВКИ
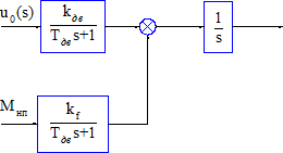
слідкуючий
пристрій схема
При виконанні курсової роботи
було проведе ґрунтовне дослідження слідкуючої системи при заданих її параметрах
і отримані наступні результати:
1. Система є стійкою в
замкненому стані.
2. Запас стійкості по
фазі становить
1.558.
. Запас стійкості по
амплітуді становить
з
встановленою похибкою на досягання фазою значення -р в 1%.
. Час регулювання
системи становить 0,3258 с.
. Система буде
залишатись стійкою при зміні параметра
в діапазоні
с.
. Мінімізувавши
квадратичну інтегральну оцінку, новий коефіцієнт підсилення становить
.
. Час регулювання при
оптимізованому коефіцієнті підсилення становить 0,3041 с.
ВИКОРИСТАНА ЛІТЕРАТУРА
1. Г.Ф.Зайцев «Теория
автоматического управления и регулирования», Київ,
«Вища школа», 1975р.
2. Методичні вказівки щодо
лабораторних робіт з ТАУ.
. Конспект лекцій к.т.н.
Мовчана Л.Т.