Технико-экономическое обоснование варианта схемы развития электрической сети районной энергосистемы для электроснабжения новых узлов нагрузки
Оглавление
Введение
. Задание и исходные данные
Задание на проектирование
Исходные данные на проектирование:
. Выбор вариантов развития существующей сети
.1 Выбор схемы развития радиального варианта сети
.2 Выбор схемы развития замкнутого варианта сети
. Выбор номинальных напряжений сооружаемых ЛЭП
.1 Выбор номинальных напряжений сооружаемых воздушных
линий радиального варианта сети
.2 Выбор номинальных напряжений сооружаемых воздушных
линий кольцевого варианта сети
. Определение сечения проводов сооружаемых ЛЭП
.1. Определение сечений проводов сооружаемых линий
радиального варианта сети
.2. Определение сечений проводов сооружаемых линий
кольцевого варианта сети
. Выбор трансформаторов на понижающих подстанциях
.1. Выбор понижающих трансформаторов на подстанции 1.
.2. Выбор понижающих трансформаторов на подстанции 2.
.3. Выбор понижающих трансформаторов на подстанции 3.
. Составление принципиальных и расчетных схем
вариантов.
.1. Составление принципиальной и расчетной схемы
радиального варианта сети.
.2. Составление принципиальной и расчетной схемы
кольцевого варианта сети.
. Расчет режимов максимальных нагрузок и баланс
реактивной мощности
.1. Расчет режимов максимальных нагрузок и баланс
реактивной мощности для радиального варианта сети
.2. Расчет режимов максимальных нагрузок и баланс
реактивной мощности для кольцевого варианта сети
. Выбор схем присоединения к сети новых и расширения
существующих понижающих подстанций
. Выбор окончательного варианта схемы развития
электрической сети
Заключение
Список используемой литературы
Введение
Электроэнергетическая система (ЭЭС) - это объединение электрических
станций, электрических сетей и электрических нагрузок. Электрические станции,
включенные в ЭЭС, работают параллельно для снабжения потребителей электрической
энергией, которая передается по электрическим сетям.
Электрические сети являются техническим устройством, предназначенным для
передачи электроэнергии от электрических станций к потребителям и распределения
энергии между потребителями. Электрические сети состоят из передающих элементов
- линий электропередачи (ЛЭП) и преобразующих элементов - трансформаторов и
дополнительных устройств, обеспечивающих защиту и регулирование режимов
электрических сетей.
ЛЭП высокого напряжения предназначены для передачи электрической энергии
в больших количествах и на большие расстояния. ЛЭП низкого напряжения
предназначены для распределения электрической энергии между потребителями.
Трансформаторы и дополнительные устройства электрических сетей
устанавливаются на подстанциях, где есть распределительные устройства (РУ),
обеспечивающие соединения и переключения элементов электрической сети. Функции
распределения электроэнергии имеют, кроме того, так называемые
распределительные пункты (РП), которые отличаются от подстанций тем, что не
имеют силовых трансформаторов.
Требования к электрическим сетям:
o Надежность электроснабжения потребителей.
Надежным считается электроснабжение, при котором в случае аварийных
повреждений элементов электрической сети питание восстанавливается в течение
времени, необходимого для производства ручных переключений без выполнения
ремонта поврежденного элемента.
o Качество электрической энергии.
Для характеристики качества электроэнергии применяются специальные
показатели, которые установлены государственным стандартом (ГОСТ 13109-97).
o Экономичность сооружения и эксплуатации.
При проектировании электрической сети следует соразмерить средства,
вложенные на сооружение сети, и расходы, которые будут идти на ее эксплуатацию.
o Безопасность.
Для обеспечения безопасности персонала энергосистем и других лиц согласно
ПУЭ применяют заземления, ограждения, сигнализацию, охрану, спецодежду и другие
приспособления.
o Возможность дальнейшего развития.
Вследствие изменения нагрузок потребителей, а также появления новых
потребителей электрическая сеть находится в состоянии развития, модернизации и
реконструкции. Достраиваются, заменяются, реконструируются электростанции,
линии, подстанции, устанавливаются новые системы управления. Необходимо так
проектировать электрическую сеть, чтобы она давала возможность дальнейшего
расширения и развития.
В данной курсовой работе предлагается выполнить технико-экономическое
обоснование варианта схемы развития электрической сети районной энергосистемы
для электроснабжения новых узлов нагрузки.
1.
Задание и исходные данные
Задание на
проектирование
Выполнить технико-экономическое обоснование варианта схемы развития
электрической сети районной энергосистемы для электроснабжения новых узлов
нагрузки.
Исходные
данные на проектирование:
1. Схема существующей электрической сети (рис. 1.1).
Рис.
1. Схема существующей электрической сети 220/110 кВ (расстояния в километрах).
2. Мощности шин действующих подстанций (10 и 35 кВ) режима
максимальных нагрузок (табл. 1.1) на пятый год эксплуатации сооружаемой сети.
Таблица 1.1
Мощности режима максимальных нагрузок существующей сети
|
Мощности нагрузок
|
А-10
|
Б-35
|
Б-10
|
В-10
|
Г-10
|
|
Активная, МВт
|
110
|
15
|
10
|
80
|
90
|
|
Реактивная, МВАр
|
70
|
10
|
5
|
50
|
60
|
. Геометрическое расположение существующих (табл. 1.2) и мест
сооружения новых (табл. 1.3) подстанций в декартовой системе координат.
Таблица 1.2
Координаты расположения существующих подстанций, км
|
Подстанция
|
x
|
y
|
|
А
|
63
|
0
|
|
Б
|
107
|
-33
|
|
В
|
12
|
-57
|
|
Г
|
66
|
-50
|
Таблица 1.3
Координаты расположения новых подстанций, км
|
Координаты, км
|
|
x1
|
y1
|
x2
|
y2
|
x3
|
y3
|
|
83
|
-47
|
79
|
-13
|
86
|
-52
|
. Максимальные мощности новых узлов нагрузки на пятый год их
эксплуатации (табл. 1.4).
Таблица 1.4
Максимальные мощности новых узлов
|
Подстанция
|
P, МВт
|
Q, Мвар
|
|
ПС-1
|
23
|
14
|
|
ПС-2
|
52
|
33
|
|
ПС-3
|
17
|
11
|
. Время использования максимальной нагрузки Tmax для общего
годового графика энергосистемы с учетом мощностей новых нагрузок.=5000 ч.
. Ориентировочный состав видов нагрузок новых подстанций (табл.
1.5, по величине мощностей нагрузки).
Таблица 1.5
Состав нагрузки сооружаемых подстанций, %
|
Подстанция
|
Максимальная активная
мощность, МВт
|
Состав нагрузки
|
|
|
Осветительная нагрузка
|
Промышленная трехсменная
|
Промышленная двухсменная
|
Промышленная односменная
|
Электрофицирова-нный
транспорт
|
Сельскохозяйстве-нное
производство
|
|
ПС-1
|
До 40
|
15
|
15
|
30
|
-
|
40
|
-
|
|
ПС-2
|
Свыше 50
|
15
|
20
|
15
|
30
|
-
|
20
|
|
ПС-3
|
До 20
|
40
|
10
|
-
|
-
|
-
|
50
|
. Зимние и летние суточные графики нагрузки характерных дней новых
подстанций (табл. 1.6)
Таблица 1.6
Зимние и летние суточные графики нагрузки характерных дней новых
подстанций, %
|
Время
|
ПС-1
|
ПС-2
|
ПС-3
|
|
Зима
|
Лето
|
Зима
|
Лето
|
Зима
|
Лето
|
|
P
|
Q
|
P
|
Q
|
P
|
Q
|
P
|
Q
|
P
|
Q
|
P
|
Q
|
|
0:00
|
45
|
43
|
33
|
31
|
45
|
40
|
33
|
32
|
58
|
58
|
37
|
34
|
|
1:00
|
42
|
41
|
24
|
23
|
34
|
32
|
26
|
25
|
50
|
52
|
33
|
32
|
|
2:00
|
43
|
42
|
24
|
23
|
30
|
30
|
23
|
22
|
45
|
46
|
30
|
31
|
|
3:00
|
44
|
44
|
22
|
22
|
30
|
29
|
27
|
27
|
44
|
44
|
28
|
30
|
|
4:00
|
47
|
45
|
25
|
24
|
36
|
35
|
45
|
43
|
46
|
45
|
34
|
35
|
|
5:00
|
53
|
52
|
30
|
30
|
56
|
55
|
60
|
58
|
52
|
50
|
44
|
46
|
|
6:00
|
73
|
71
|
67
|
66
|
78
|
77
|
74
|
73
|
68
|
66
|
52
|
53
|
|
7:00
|
90
|
92
|
76
|
77
|
100
|
99
|
75
|
74
|
80
|
80
|
56
|
55
|
|
8:00
|
100
|
100
|
80
|
81
|
100
|
100
|
72
|
72
|
86
|
85
|
54
|
54
|
|
9:00
|
100
|
100
|
70
|
71
|
96
|
95
|
62
|
60
|
84
|
82
|
50
|
50
|
|
10:00
|
92
|
95
|
68
|
68
|
90
|
88
|
55
|
52
|
80
|
78
|
47
|
48
|
|
11:00
|
91
|
93
|
69
|
70
|
80
|
81
|
50
|
50
|
72
|
70
|
45
|
46
|
|
12:00
|
93
|
90
|
70
|
71
|
70
|
73
|
47
|
45
|
66
|
66
|
43
|
44
|
|
13:00
|
86
|
68
|
68
|
66
|
67
|
46
|
44
|
65
|
65
|
42
|
45
|
|
14:00
|
87
|
85
|
69
|
68
|
66
|
67
|
45
|
44
|
66
|
65
|
40
|
43
|
|
15:00
|
92
|
94
|
70
|
71
|
66
|
68
|
45
|
45
|
67
|
66
|
41
|
44
|
|
16:00
|
95
|
95
|
68
|
69
|
65
|
68
|
46
|
46
|
70
|
70
|
44
|
46
|
|
17:00
|
100
|
100
|
70
|
72
|
64
|
67
|
48
|
47
|
86
|
85
|
48
|
49
|
|
18:00
|
98
|
95
|
75
|
75
|
72
|
70
|
54
|
52
|
100
|
100
|
55
|
57
|
|
19:00
|
97
|
94
|
80
|
78
|
83
|
80
|
62
|
60
|
98
|
99
|
65
|
65
|
|
20:00
|
96
|
93
|
80
|
78
|
85
|
84
|
65
|
63
|
95
|
96
|
65
|
65
|
|
21:00
|
88
|
86
|
70
|
72
|
80
|
80
|
64
|
62
|
80
|
80
|
60
|
63
|
|
22:00
|
78
|
77
|
48
|
47
|
65
|
64
|
49
|
47
|
68
|
68
|
52
|
43
|
|
23:00
|
58
|
56
|
34
|
35
|
53
|
50
|
35
|
34
|
63
|
62
|
41
|
42
|
|
Среднее
|
78,75
|
77,88
|
57,92
|
57,92
|
67,08
|
66,63
|
50,33
|
49,04
|
70,38
|
69,92
|
46,08
|
46,67
|
Примечание. Значения активных и реактивных мощностей даны в процентах от
Pmax и Qmax, соответственно.
. Напряжение пункта питания в режимах максимальных нагрузок
поддерживается на уровне 242 кВ.
. Номинальное напряжение на шинах низкого напряжения новых
подстанций - 10 кВ.
. Место строительства - Западная Сибирь.
. Материал опор для ВЛ всех напряжений - железобетон.
2.
Выбор вариантов развития существующей сети
[2] Варианты схем электрических сетей намечаются
исходя из наименьшей длины новых линий, кратчайшего пути от новых пунктов
нагрузок до источников питания, требуемого уровня надёжности электроснабжения
потребителей и перспективы дальнейшего развития энергосистемы. Конфигурации
схем электрических сетей разделяют на разомкнутые и замкнутые. В общем нельзя
сказать какую именно конфигурацию следует принять в конкретном случае. Поэтому
среди намечаемых вариантов конфигураций сети должны быть как разомкнутые, так и
замкнутые виды конфигураций. Выбор схемы производится на перспективу 5-10 лет,
при этом следует исходить из общих принципов ее построения на более далекую
перспективу. Особо важным требованием к схеме является обеспечение необходимой
надежности, под которой понимается способность выполнять заданные функции,
сохраняя эксплуатационные показатели в условиях, оговоренных в нормативных
документах. Согласно ПУЭ все электроприемники по требуемой степени надежности
разделены на три категории.
Первая категория - электроприемники, нарушение
электроснабжения которых может повлечь за собой опасность для жизни людей,
угрозу безопасности государства, значительный материальный ущерб, расстройство
сложного технологического процесса, нарушение функционирования особо важных
элементов коммунального хозяйства, объектов связи и телевидения. Эти
электроприемники должны обеспечиваться электроэнергией от двух независимых
источников питания (таковыми, в частности, считаются две системы или две секции
шин одной ПС, питающейся от двух источников), и перерыв в их электроснабжении
может быть допущен только на время автоматического ввода резервного питания.
Из состава электроприемников первой категории
выделяется особая группа электроприемников, бесперебойная работа которых
необходима для безаварийного останова производства с целью предотвращения
угрозы жизни людей, взрывов и пожаров. Для электроснабжения этой группы
электроприемников должен предусматриваться третий (аварийный) независимый
источник, мощность которого должна быть достаточна для безаварийного останова
производства и который автоматически включается при исчезновении напряжения на
основных источниках.
Вторая категория - электроприемники, перерыв
электроснабжения которых связан с массовым недоотпуском продукции, простоем
рабочих, механизмов и т. п. Эти электроприемники рекомендуется обеспечивать
электроэнергией от двух независимых источников питания; при этом допустим
перерыв электроснабжения на время, необходимое для включения резервного питания
дежурным персоналом или выездной бригадой.
Третья категория - все остальные электроприемники.
Электроснабжение этих электроприемников может выполняться от одного источника
питания при условии, что перерывы электроснабжения, необходимые для ремонта или
замены поврежденного элемента сети, не превышают 1 сутки.
При разработке схемы электроснабжения необходимо иметь
в виду, что потребители электроэнергии, как правило, состоят из
электроприемников, относящихся к различным категориям по требуемой степени
надежности электроснабжения.
Схема и параметры электрической сети должны
обеспечивать надежность электроснабжения, при которой в случае отключения любой
линии или трансформатора сохраняется питание потребителей без ограничения
нагрузки с соблюдением нормативного качества электроэнергии.
Типы конфигурации электрических сетей и их применение:
Одинарная радиальная сеть является наиболее дешевой,
но обеспечивает наименьшую надежность; получила широкое распространение как
первый этап развития сети - при небольших нагрузках присоединенных подстанций и
возможности их резервирования по сети среднего или низшего напряжения . При
этом для правильного проектирования сети уже на первом этапе следует решить, в
каком направлении намечается дальнейшее развитие сети.
Двойная радиальная сеть за счет дублирования линии (на
одних или разных опорах) обеспечивает резервирование питания потребителей. Эта
схема характеризуется равномерной загрузкой обеих ВЛ, что соответствует
минимуму потерь, не вызывает увеличения токов КЗ в смежных участках сети,
позволяет осуществлять четкое ведение режимов работы сети, обеспечивает
возможность присоединения подстанций по простейшим схемам.
Широкое применение находит замкнутая одинарная сеть,
опирающаяся на два пункта питания. Эта конфигурация образуется в результате
поэтапного развития сети между двумя пунктами питания. Преимуществами такой
конфигурации являются возможность охвата территории сетями, создание шин между
двумя пунктами питания для присоединения по мере необходимости новых
подстанций, уменьшение суммарной длины ВЛ по сравнению с присоединением каждой
подстанции «по кратчайшему пути» (что приводит к созданию сложнозамкнутой
сети). Недостатками являются большая вероятность неэкономичного
потокораспределения при параллельной работе сетей разных напряжений и повышение
уровней токов КЗ, вызывающее необходимость секционирования в нормальных
режимах.
При выборе вариантов следует руководствоваться
следующими соображениями:
1. Передача электроэнергии от источника питания к
пунктам ее потребления должна производиться, по возможности, по наикратчайшему
пути;
2. Суммарная стоимость сооружаемых ЛЭП должна
быть наименьшей, что приближенно можно оценить по суммарной протяженности
сооружаемых ЛЭП (протяженность двухцепных ЛЭП следует включать в сумму с
весовым коэффициентом 1,5);
. Выбранные варианты должны соответствовать
требуемым нормам надежности электроснабжения;
. Выбранные варианты должны быть технически
сопоставимыми и взаимозаменяемыми, т.е. обеспечивающими требуемую передачу
мощности в нормальных и по еле аварийных режимах.
Протяженность всех линий выбранных вариантов
принимается на 15...20% больше воздушной прямой.
Рис. 2. Граф существующей сети
2.1 Выбор
схемы развития радиального варианта сети
Рис. 2.1.1. Р-1 Рис. 2.1.2. Р-2
Рис. 2.1.3. Р-3 Рис. 2.1.4. Р-4
Расстояния между пунктами.

км

км

км

км

км

км

км
сеть радиальный трансформатор понижающий
Радиальные
варианты (суммируются двухцепные ЛЭП):

км

км

км

км
Выбираем вариант Р-1 так как он имеет наименьшую длину сооружаемых линий.
2.2 Выбор схемы развития замкнутого варианта сети
Рис. 2.2.1. З-1 Рис. 2.2.2. З-2
Рис. 2.2.3. З-3 Рис. 2.2.4. З-4

км

км

км

км
Выбираем
вариант З-2 так как он имеет наименьшую длину сооружаемых линий. Так же
создаваемое кольцо будет питаться с шин 2х различных подстанций, что
обеспечивает высокую надежность.
3. Выбор
номинальных напряжений сооружаемых ЛЭП
Номинальное
напряжение электрической сети существенно влияет как на ее
технико-экономические показатели, так и на технические характеристики. Так,
например, при повышении номинального напряжения снижаются потери мощности и
электроэнергии, т. е. снижаются эксплуатационные расходы, уменьшаются сечения
проводов и затраты металла на сооружение линий, растут предельные мощности, передаваемые
по линиям, облегчается будущее развитие сети, но увеличиваются капитальные
вложения на сооружение сети. Сеть меньшего номинального напряжения требует,
наоборот, меньших капитальных затрат, но приводит к большим эксплуатационным
расходам из-за роста потерь мощности и электроэнергии и, кроме того, обладает
меньшей пропускной способностью. Из сказанного очевидна важность правильного
выбора номинального напряжения сети при ее проектировании. Экономически
целесообразное номинальное напряжение зависит от многих факторов: мощности
нагрузок, удаленности их от источников питания, их расположения относительно
друг друга, от выбранной конфигурации электрической сети, способов
регулирования напряжения и др. Ориентировочное значение 
можно
определить по значению передаваемой мощности и расстоянию, на которое она
передается. Напряжение выбирают, исходя из полученного распределения потоков
мощности и протяженности участков сети. Чем больше передаваемая по линии
мощность и расстояние, на которое она передается, тем выше по техническим и
экономическим нормам должно быть номинальное напряжение электропередачи.
Ориентировочные
значения номинальных напряжений могут быть получены по эмпирическим формулам и
таблицам, учитывающим предельную дальность передачи и пропускную способность
линий разных номинальных напряжений.
Область
применения и основное назначение ЛЭП. Табл. 3. [Баумштейн]
Таблица
3.
|
Номинальное напряжение. кВ
|
Передаваемая мощность (на
одну цепь). МВА
|
Длина линий, км
|
Область применения и
основное назначение
|
|
До 1
|
До 0.1
|
До 3
|
Электроснабжение отдельных
потребителей в городах и населенных пунктах: распределение мощности внутри
предприятий
|
|
1-10
|
1-3
|
3-15
|
Электроснабжение
промышленных и сельских потребителей, распределение мощностей внутри крупных
промышленных предприятий
|
|
20-35
|
3-15
|
10-30
|
Распределение мощностей
внутри городов и крупных населенных пунктов; электроснабжение сельских
потребителей
|
|
110-150
|
15-80
|
25-100
|
Распределение мощностей
внутри энергосистем и предприятий электрических сетей; электроснабжение
промышленных предприятий и узлов, больших городов, удаленных или энергоемких
сельских потребителей; распределение мощностей внутри крупных городов;
электрификация железнодорожного и трубопроводного транспорта
|
|
220-330
|
100-400
|
100-300
|
Распределение мощностей
внутри крупных энергосистем, электроснабжение удаленных и крупных
потребителей от энергосистем и электрических станций, создание центров
питания для сетей ПО и 150 кВ, выдача мощности электростанциями сравнительно
небольшой мощности
|
|
400-500
|
600-1000
|
200-1000
|
Развитие объединенных
энергосистем и Единой энергетической системы СССР, обеспечение межсистемных
связей, выдача мощности крупными электростанциями, а также электроснабжение
крупных энергоемких предприятий или промышленных узлов
|
|
750
|
1000-2200
|
300-2000
|
Развитие крупных
объединенных энергосистем и образование Единой энергетической системы СССР;
обеспечение межсистемных связей, выдача мощности крупными электростанциями
|
|
1150
|
2500-6000
|
500-3000
|
То же
|
Некоторые эмпирические формулы для определения
номинального напряжения [5].
· Формула Стилла:
Применима для линий длинной до 250 км и передаваемой мощности, не более
60 МВт.
· Формула Залесского:
Применяется в случае больших мощностей, передаваемых
на расстояние до 1000 км.
· Формула Илларионова:
В отличие от других эмпирических выражений приведенная формула дает
удовлетворительный результат для всей шкалы номинальных напряжений переменного
тока в диапазоне от 35 до 1150 кВ.
· Формула * (автор не известен):
Применяется в случае небольших мощностей.
Во
всех формулах расстояния 
в
километрах (км), мощности 
берутся
на одну цепь в мегаваттах (МВт).
В нашем случае использование формулы Залесского не целесообразно исходя
из длин линий и передаваемых мощностей.
Сравним оставшиеся формулы.
Пусть

.
Формула Стилла:
Формула Илларионова:
Формула *
Выбор номинальных напряжений произведем по эмпирической формуле
Илларионова. Выбор остановился на ней по следующим причинам: формула
Илларионова может быть использована на довольно широком диапазоне напряжений.
3.1 Выбор
номинальных напряжений сооружаемых воздушных линий радиального варианта сети
Сведем все данные по нахождению номинального напряжения в таблицу 3.1.1.
Таблица 3.1.1.
Выбор номинальных напряжений сооружаемых воздушных линий радиального
варианта сети
|
Наименование воздушной
линии
|
Длина линии по воздуху, L,
км
|
Расчетная длина L+20%, км
|
Мощность передаваемая через
линию, PВЛ, МВт
|
Мощность передаваемая через
одну цепь, PЦ, МВт
|
Число цепей
|
Рассчитанное напряжение, U,
кВ
|
Номинальное напряжение,
UНОМ, кВ
|
|
А-2
|
20.615
|
24.738
|
52
|
26
|
2
|
92.702
|
110
|
|
Г-1
|
17.263
|
20.716
|
23+17
|
20
|
2
|
81.886
|
110
|
|
1-3
|
5.831
|
6.997
|
17
|
8.5
|
2
|
52.301
|
110
|
Расчеты
3.2 Выбор
номинальных напряжений сооружаемых воздушных линий кольцевого варианта сети
Сведем все данные по нахождению номинального напряжения в таблицу 3.2.1.
Таблица 3.2.1.
Выбор номинальных напряжений сооружаемых воздушных линий кольцевого
варианта сети
|
Наименование воздушной
линии
|
Длина линии по воздуху, L,
км
|
Расчетная длина L+20%, км
|
Активная мощность,
передаваемая через линию, PВЛ, МВт
|
Активная мощность,
передаваемая через одну цепь, PЦ, МВт
|
Число цепей
|
Рассчитанное напряжение, U,
кВ
|
Номинальное напряжение,
UНОМ, кВ
|
|
А-2
|
20.615
|
24.738
|
42.531
|
42.531
|
1
|
112.514
|
110
|
|
1-2
|
34.234
|
40.08
|
|
|
1
|
|
110
|
|
Г-1
|
17.263
|
20.716
|
32.469
|
32.469
|
1
|
99.439
|
110
|
|
Г-3
|
20.1
|
24.12
|
17
|
8.5
|
56.357
|
110
|
Расчеты
Будем считать, что система однородна. Это условие поможет определить
предварительное потокораспределение.
Найдем
предварительное потокораспределение в линии с двумя нагрузками 
, 
и
источниками питания в пунктах А и Г по рисунку 2.2.2.
Рис.
3.2.1. Потоки мощности в линии с двухсторонним питанием
По
закону Кирхгофа найдем мощность передаваемую через линию 1-2.
Проверка


- верно.
Для
линий находящихся в кольце А-2-1-Г-А’ берём стандартное напряжение 110 кВ. Для
линии Г-3 также выбираем напряжение 110 кВ.
Теперь
рассмотрим замкнутый контур А-2-1-Г-А’ (рис.2.2.2). В этой линии 3 нагрузки 
, 
, 
(рис.3.2.2).
Рис.
3.2.2. Потоки мощности в линии с двухсторонним питанием

км

МВA
Проверка


- верно.
По
первому закону Кирхгофа найдем мощности передаваемые через оставшиеся линии.

, 
МВA.

. 
МВA.
Полученные
в этом расчете мощности надо будет учесть при определении послеаварийных токов,
так как мощности значительно отличаются от полеченных ранее.
4.
Определение сечения проводов сооружаемых ЛЭП
Основным условием, которому должны удовлетворять выбираемые при
проектировании провода, должна являться экономическая целесообразность варианта
электрической сети, для сооружения которой эти провода предназначены.
Количественной характеристикой этого условия служит минимальное значение
приведенных народнохозяйственных затрат на сооружение и эксплуатацию линии
сети, выполненной выбранными проводами. Провода различаются материалом
токоведущей части, ее номинальным сечением, поэтому при проектировании
выбираются сечения проводов, а также материал, из которого они должны быть
выполнены, причем этот выбор осуществляется с учетом требования минимальных
приведенных затрат. Как правило, для линий воздушной электрической с
напряжением 35 кВ и выше принимаются сталеалюминевые провода марок АС, АСО или,
реже, АСУ.
При выборе проводов по условию наивысшей экономической эффективности
принимаются во внимание нормальные рабочие режимы электрических сетей. В этом
случае передача энергии будет сопровождаться меньшими потерями и поэтому,
выбирая сечение проводов рассматриваемой двухцепной линии, следует считать, что
по каждой из ее цепей длительно передается половина ее суммарной мощности.
Такой режим в данном случае будет нормальным рабочим режимом, его и следует
принимать в качестве расчетного.
При выборе сечений приходится учитывать и ряд ограничений. Одно из них
определяется условиями нагрева. Это ограничение должно учитываться при
проектировании любых сетей. При проверке по нагреву рассматриваются режимы, в
которых по проектируемой линии протекают наибольшие токи. Для двухцепной линии
проверка по нагреву должна проводиться в предположении отключения одной из
параллельных цепей в период максимальных нагрузок.
Рассмотрим зависимость полных затрат от сечения линии электропередачи.
Условно примем допущение о том, что сечение изменяется непрерывно. Зависимость
затрат от сечения складывается из двух составляющих: почти линейной
возрастающей зависимости капитальных вложений и издержек, не связанных с потерями
от сечения проводников, и нелинейной составляющей, определяемой потерями
мощности и энергии в проводнике:
где

- не
зависящая от сечения составляющая затрат; a и b - некоторые постоянные
коэффициенты.
С ростом сечения увеличиваются затраты на оборудование и сооружение
линии, но уменьшаются потери, которые прямо пропорциональны активному сечению
провода:
где - удельное сопротивление материала провода; l - длина провода; F -
сечение алюминиевой части провода.
Рис. 4.0.1. График затрат в функции сечения провода.
Зависимость З(F) имеет минимум, который дает значение оптимального
сечения проводника F.
Вследствие того, что сечение на самом деле принимает дискретные значения,
каждому из этих значений отвечает множество оптимальных решений при различных
потерях в линии. Так как нагрузочные потери в линии вычисляются в режиме
наибольших нагрузок, т.е. по максимальному току нагрузки Imax, то одно и то же
сечение будет оптимально для целого интервала токовой нагрузки Imax. Это
приводит к появлению такого показателя, как экономические токовые интервалы.
Смысл экономических токовых интервалов можно проиллюстрировать на рис.7 , где
изображены три кривые зависимости потерь мощности от максимального тока линии.
Каждая кривая построена для одного конкретного значения сечения провода. Пусть
F1<F2<F3, тогда минимуму затрат на интервале до значения тока I1
соответствует сечение F1, на интервале от I1 до I2 - сечение F2 и, наконец, на
интервале свыше I3 - сечение F3.
Рис. 4.0.2. График затрат в функции наибольшего тока нагрузки.
Суммарное сечение проводов фазы:
где Iр - расчетный ток, А;н - нормированная плотность тока, А/мм2.
Для
заданного числа использования максимальной нагрузки 5000 ч 
. Но с
учетом того, что проектируемые линии будут построены в Западной Сибири, где
среднегодовая температура равна -5, примем плотность тока равной 
.
Значение
Iр определяется по выражению:

.
Коэффициент попадания нагрузок новых подстанций в
максимум энергосистемы Км. Коэффициент Км отражает участие нагрузки ВЛ в
максимуме энергосистемы (табл. 1.5). Расчет коэффициента для нагрузок новых
подстанций производится по данным, приведенным в табл. 4.0.1.
Таблица 4.0.1.
Коэффициенты попадания в максимум энергосистемы для различных
потребителей электроэнергии
|
Потребители электроэнергии
|
Коэффициент KМi
|
|
Осветительно-бытовая
нагрузка
|
1,0
|
|
Промышленные предприятия:
|
|
|
трехсменные
|
0,85
|
|
двухсменные
|
0,7 - 0,75
|
|
односменные
|
0,1 - 0,15
|
|
Электрифицированный
транспорт
|
1,0
|
|
Сельскохозяйственное
производство
|
0,7 - 0.75
|
Подстанция 1.
Подстанция 2.
Подстанция 3.
Усредненные
значения коэффициента 
.
Коэффициент, учитывающий число часов использования максимальной нагрузки ВЛ
(Tmax). Выбирается на основе таблицы 4.0.2.
Таблица
4.0.2.
Усредненные
значения коэффициента αT
|
Напряжение ВЛ, кВ
|
Коэффициент участия в
максимуме энергосистемы, Kм
|
Значение коэффициента при
числе часов использования максимума нагрузки, Tmax, ч/год
|
|
|
до 4000
|
4000-6000
|
более 6000
|
|
35…330
|
1,0
|
0,8
|
1,0
|
1,3
|
|
0,8
|
0,9
|
1,2
|
1,6
|
|
0,6
|
1,1
|
1,5
|
2,2
|
Подстанция 1.
Подстанция 2.
Подстанция 3.
αi - коэффициент, учитывающий изменение
нагрузки по годам эксплуатации линии. Для линий 110-220 кВ значение αi
может быть принято
равным 1,05, что соответствует математическому ожиданию этого коэффициента в
зоне наиболее часто встречающихся темпов роста нагрузки
Выбранное сечение провода линии подлежит обязательной проверке по нагреву
в послеаварийном режиме. Для этого рассчитываем различные аварийные ситуации в
электрической сети, которые могут повлечь увеличение тока в линии в режиме
наибольших нагрузок. Для двухцепных ЛЭП послеаварийным током является удвоенное
значение нормального тока в режиме максимальных нагрузок. Для варианта
замкнутой схемы послеаварийным током для крайних ЛЭП будет ток, вычисленные
через суммарную мощность нагрузок линии с двухсторонним питанием. Для средней
ЛЭП - ток большей из двух нагрузок линии Значения допустимых токов для каждого
сечения провода приведены в таблице 4.0.3.
Таблица 4.0.3.
Допустимые длительные токи для неизолированных проводов марок АС и АСК,
применяемых на ВЛ 35…220 кВ (допустимая температура нагрева +70° С при
температуре воздуха +25° С)
|
Сечение, (алюминий/сталь)
мм2
|
35/6,2
|
50/8
|
70/11
|
95/16
|
120/19
|
150/24
|
185/29
|
240/39
|
300/48
|
|
Ток, А
|
175
|
210
|
265
|
330
|
390
|
450
|
510
|
610
|
690
|
Продолжение таблицы 4.0.3.
|
Сечение, (алюминий/сталь)
мм2
|
330/27
|
400/18
|
400/51
|
400/69
|
500/26
|
500/64
|
|
Ток, А
|
730
|
830
|
825
|
860
|
930
|
945
|
Проверке по условиям короны подлежат ВЛ 110 кВ и выше, прокладываемые по
трассам с отметками выше 1500 м над уровнем моря. При более низких отметках
проверка не производится, если сечения проводов равны минимально допустимым по
условиям короны или превышает их, табл. 4.0.4.
Таблица 4.0.4
Минимальный диаметр проводов ВЛ по условиям короны и радиопомех, мм
|
Напряжение ВЛ, кВ
|
Фаза с проводами
|
|
одиночными
|
два и более
|
|
110
|
11,4 (АС 70/11)
|
-
|
|
150
|
15,2 (АС 120/19)
|
-
|
|
220
|
21,6 (АС 240/32)
|
-
|
|
24,0 (АС 300/39)
|
|
|
330
|
33,2 (АС 600/72)
|
2 ´ 21,6 (2 ´ AС 240/32)
|
|
|
3 ´ 15,2 (3 ´ AC 120/19)
|
|
|
3 ´ 17,1 (3 ´ AС 150/24)
|
|
500
|
-
|
2 ´ 36,2 (2 ´ AC 700/86)
|
|
|
3 ´ 24,0 (3 ´ AС 300/39)
|
|
|
4 ´ 18,8 (4 ´ AС 185/29)
|
|
750
|
-
|
4 ´ 29,1 (4 ´ AС 400/93)
|
|
|
5 ´ 21,6 (5 ´ АС 240/32)
|
Ограничение по минимально допустимому сечению проводов по механической
прочности приведено в таблице 4.0.5.
Таблица 4.0.5
Минимально допустимые сечения неизолированных проводов по условиям
механической прочности для ВЛ свыше 1 кВ
|
Характеристика ВЛ
|
Сечение проводов, мм2
|
|
алюминиевых и из
нетермообработанного алюминиевого сплава
|
из термообработанного
алюминиевого сплава
|
сталеалю-миниевых
|
стальных
|
|
ВЛ без пересечений в
районах по гололеду:
|
|
|
|
|
|
до II
|
70
|
50
|
35/6,2
|
35
|
|
в III-IV
|
95
|
50
|
50/8
|
35
|
|
в V и более
|
-
|
-
|
70/11
|
35
|
|
Пересечения ВЛ с
судоходными реками и инженерными сооружениями в районах по гололеду:
|
|
|
|
|
|
до II
|
70
|
50
|
50/8
|
35
|
|
в III-IV
|
95
|
70
|
50/8
|
50
|
|
в V и более
|
-
|
-
|
70/11
|
50
|
|
ВЛ, сооружаемые на
двухцепных или многоцепных опорах:
|
|
|
|
|
|
до 20 кВ
|
-
|
-
|
70/11
|
-
|
|
35 кВ и выше
|
-
|
-
|
120/19
|
-
|
4.1 Определение
сечений проводов сооружаемых линий радиального варианта сети
Ток на одну цепь линии на пятый год ее эксплуатации.
Линия А-2.
Линия Г-1.
Для данной линии необходимо взять сумму мощностей подстанций 1 и 3.
Линия 1-3.
Расчетный
ток линии 
.
Линия
А-2.
Линия
1-3.
Линия
Г-1.
Сечение
проводов в фазе.
Линия
А-2.
Линия
Г-1.
Линия
1-3.
Выбор
стандартных сталеалюминевых проводов.
Ряд
стандартных сечений сталеалюминевых проводов для напряжения 110 кВ: 70/11,
95/16, 120/19, 150/24, 185/29, 240/39.
Линия
А-2.
Линия
Г-1.
Линия
1-3.
При
выборе стандартных сечений были учтены ограничения по механической прочности ВЛ
свыше 1 кВ и условиям короны и радиопомех.
Для
определения послеаварийных токов удвоим значения нормальных токов в режиме
максимальных нагрузок.
Таблица
4.1.1.
Результаты
расчетов при выборе проводов ВЛ для радиального варианта
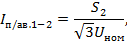
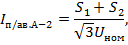
|
ЛЭП
|
Iп/ав
|
Предварительное сечение
|
Iдоп*, предварительный
расчет
|
Марка провода
|
Iдоп *, окончательный
расчет
|
|
А-2
|
324
|
240
|
786.9
|
|
786.9
|
|
Г-1
|
248
|
120
|
503.1
|
|
503.1
|
|
1-3
|
106
|
120
|
503.1
|
|
503.1
|
доп домноженно на поправочный коэффициент на температуру воздуха для
неизолированных проводов. В нашем случае коэффициент равен 1.29.
4.2 Определение
сечений проводов сооружаемых линий кольцевого варианта сети
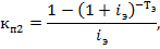
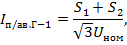
Расчет потокораспределения замкнутого контура А-2-1-Г был выполнен в
пункте 3.2.
Ток на одну цепь линии на пятый год ее эксплуатации
Линия А-2
Линия Г-1
Линия 1-2
Линия Г-3
Расчетный
ток линии 
.
Определим
средневзвешенное значение коэффициента Kм для участка А-2-1-Г.
Тогда

Линия
А-2.
Линия
Г-1.
Линия
1-2.
Линия
Г-3.

.
Сечение
проводов в фазе.
Линия
А-2.
Линия
Г-1.
Линия
1-2.
Линия
Г-3.
Выбор
стандартных сталеалюминевых проводов.
Линия
А-2.
Линия
Г-1.
Линия
1-2.
Линия
Г-3.
При
выборе стандартных сечений были учтены ограничения по механической прочности ВЛ
свыше 1 кВ и условиям короны и радиопомех.
Послеаварийные
токи.
Результаты
расчетов при выборе проводов ВЛ для кольцевого варианта
Таблица
4.2.1.
|
ЛЭП
|
Iп/ав
|
Iдоп*, предварительный
расчет
|
Марка провода
|
Iдоп *, окончательный
расчет
|
|
А-2
|
465
|
185
|
657.9
|
|
657.9
|
|
Г-1
|
465
|
120
|
503.1
|
|
503.1
|
|
1-2
|
323
|
120
|
503.1
|
|
503.1
|
|
Г-3
|
106
|
120
|
503.1
|
|
503.1
|
доп домноженно на поправочный коэффициент на температуру воздуха для
неизолированных проводов. В нашем случае коэффициент равен 1.29.
5.
Выбор трансформаторов на понижающих подстанциях
Трансформаторы предназначены для преобразования
посредством электромагнитной индукции одной или нескольких систем переменного
тока в одну или несколько других систем переменного тока. Различают двух-,
трех- и многообмоточные трансформаторы, имеющие соответственно две, три и более
гальванически не связанные обмотки. Передача энергии из первичной цепи
трансформатора во вторичную происходит посредством магнитного поля.
[2, 3] На новых подстанциях с ВН 35 кВ и выше применяют типовые схемы РУ,
в которых предусмотрена установка, как правило, двух трансформаторов одинаковой
мощности. Установка одного трансформатора является, обычно, первым этапом
сооружения двухтрансформаторной подстанции. Установка более двух
трансформаторов осуществляется при наличии технико-экономического обоснования
или специальным требованием заказчика.
При выборе трансформаторов определяющим условием является их нагрузочная
способность. Нагрузочной способностью трансформаторов называется совокупность
нагрузок и перегрузок трансформатора. Исходным режимом для определения
нагрузочной способности является номинальный режим работы трансформатора на
основном ответвлении при номинальных условиях места установки и охлаждающей
среды, определяемых соответствующим стандартом или техническими условиями.
Допустимым режимом нагрузки называется режим продолжительной нагрузки
трансформатора, при котором расчетный износ изоляции обмоток от нагрева не
превышает износа, соответствующему номинальному режиму работы. Перегрузочным
считается такой режим, при котором расчетный износ изоляции превосходит износ,
соответствующий номинальному режиму работы.
Основанием для ограниченных во времени перегрузок трансформатора является
неполная нагрузка трансформатора в период, предшествующий допустимой нагрузке,
и пониженная нагрузка охлаждающей среды (воздуха или воды).
ГОСТ 14209-97 «Руководство по нагрузке силовых масляных трансформаторов»,
а также «Инструкция по эксплуатации трансформаторов» позволяют осуществить
рациональную загрузку силовых трансформаторов и обеспечить оптимальный выбор
номинальной мощности трансформаторов при проектировании подстанций. В
соответствии с рекомендациями выбор мощности трансформаторов в общем случае
должен осуществляться следующим образом.
«Мощность трансформаторов выбирается так, чтобы при отключении наиболее
мощного из них на время ремонта или замены оставшиеся в работе (с учетом их
допустимой по техническим условиям на трансформаторы перегрузки и резерва по
сетям СН и НН) обеспечивали питание нагрузки.
Трансформаторы с повышенной нагрузочной способностью (на основе
применения форсированной системы охлаждения) мощностью до 100 МВ·А включительно
класса напряжения 110, 150 и 220 кВ выбираются в соответствии с действующими
нормативными документами и заводскими материалами».
Выбор трансформаторов на новых понижающих подстанциях выполняется исходя
из аварийной перегрузки при отключении одного из двух трансформаторов на время
ремонта или замены. При этом резервирование по сетям СН и НН отсутствует.
Исходными данными для выбора трансформаторов являются суточные графики нагрузки
новых подстанций для характерных дней зимнего и летнего периодов, сезонные
эквивалентные температуры охлаждающего воздуха для населенных пунктов, в
которых строятся новые подстанции, а также предполагаемый вид охлаждения
трансформаторов.
Необходимо преобразовать суточный график нагрузки в упрощенный
двухступенчатый в соответствии с рис. 5.0.1. К1 и К2 - ступени нагрузки, где К2
- максимум нагрузки. Продолжительность максимума нагрузки - t часов. Методы
определения этой продолжительности для прямоугольного графика нагрузки зависят
от конфигурации исходного суточного графика нагрузки. Ниже приведены
рекомендуемые методы для различных видов реальных графиков нагрузки.
Рис.
5.0.1. Эквивалентный двухступенчатый график нагрузки
Если
эквивалентность двухступенчатого графика нагрузки вызывает сомнение, следует
сделать несколько допущений и принять график с наибольшим запасом.
а)
График нагрузки с одним максимумом
В
этом случае значение t следует определять, как показано на рис. 5.0.2.
Для
участка графика нагрузки без максимума значение К1 определяют как среднее
значение нагрузки без максимума.
Рис.
5.0.2 - График нагрузки с одним максимумом
б)
График нагрузки с двумя максимумами равной амплитуды, но различной
продолжительности
При
двух максимумах примерно равной амплитуды, но различной продолжительности
значение t определяют для максимума большей продолжительности, а значение К1 должно
соответствовать среднему значению оставшейся нагрузки.
Пример
графика нагрузки представлен на рис. 5.0.3.
Рис.
5.0.3. График нагрузки с двумя максимумами равной амплитуды и различной
продолжительности
в)
График нагрузки с последовательными максимумами
Если
график нагрузки состоит из нескольких последовательных максимумов, значение t
принимают достаточной продолжительности, чтобы охватить все максимумы, а
значение К1 должно соответствовать среднему значению оставшейся нагрузки, как
показано на рис. 5.0.4.
Рис.
5.0.4. График нагрузки с последовательными максимумами
Можно
рекомендовать следующий алгоритм для приближенного построения эквивалентного
графика нагрузки. Заданным является часовой ступенчатый график нагрузки (24
часа).
1. На графике нагрузки проводится линия соответствующая средней
нагрузке.
2. Выделяется непрерывный интервал времени, на котором имеется
максимум нагрузки и все нагрузки выше средней. Если таких интервалов два, то
берется более длительный. Величина этого интервала является первым приближением
длительности перегрузки. Как правило, оно получается с запасом.
. Строится двухступенчатый график, у которого большая ступень
равна максимальной нагрузке, а другая (меньшая) является среднеквадратичным
значением ступеней графика, которые не принадлежат интервалу перегрузки.
. Проверяется равенство площадок: a + b = c + d. Если погрешность
выполнения равенства велика, то одно часовое значение большей ступени
исключается из интервала перегрузки. Как правило, это меньшее из двух крайних
значений.
. Вновь строится двухступенчатый график нагрузки, у которого
продолжительность большей ступени (продолжительность перегрузки) короче на один
час, а меньшей - больше на час.
. Снова проверяется равенство a + b = c + d и если погрешность его
выполнения невелика, процесс построения заканчивается. В противном случае
последние два пункта повторяются.
После определения времени перегрузки трансформатора
необходимо сделать следующее:
1. По продолжительности перегрузки, виду охлаждения трансформатора и
эквивалентной температуре охлаждающей среды (табл. 15 методичка) находятся
коэффициенты допустимой перегрузки трансформаторов для зимнего и летнего
графиков нагрузки.
2. Трансформаторы выбираются по условию:
где S5 - максимальная нагрузка подстанции в нормальном режиме для зимнего
и летнего графиков нагрузки на пятый год эксплуатации;пер. - допустимый
коэффициент перегрузки трансформаторов, соответственно для зимнего и летнего
графиков;- число трансформаторов на подстанции. Выбирается номинальная мощность
трансформатора по большей рассчитанной величине.
5.1
Выбор понижающих трансформаторов на подстанции 1
На
данной подстанции необходимо установить два понижающих трансформатора 110/10
кВ. Максимальная мощность нагрузки на пятый год эксплуатации: 
МВт, 
МВА. При
отключении одного из двух трансформаторов всю нагрузку должен нести оставшийся
в работе трансформатор, при этом часть времени суток этот трансформатор будет
работать с перегрузкой. Длительность перегрузки может быть определена из
эквивалентного по потерям двухступенчатого графика нагрузки. Построим график
нагрузки трансформатора в зимние (Рис. 5.1.1) и летние (Рис. 5.1.2) характерные
дни. Графики активной и реактивной мощности характерных суток зимнего и летнего
дней построим по данным таблицы 1.6, используя формулу:
Рис.
5.1.1. Графики полной, активной, реактивной и средней мощностей характерного
зимнего дня.
Рис. 5.1.2. Графики полной, активной, реактивной и средней мощностей
характерного летнего дня.
Приведем данные графики к двухступенчатому виду.
Рассмотрим график характерного зимнего дня.
Рис. 5.1.3. Двухступенчатый график для зимних суток.
График
нагрузки с последовательными максимумами. Алгоритм приведения к
двухступенчатому виду приведён в пункте 5. Значение большей ступени 
26.9 МВА,
её продолжительность равна 14 часов. Значение 
определяется
как среднеквадратичное значение и оно равно 
Соотношение

: 
22.8 МВА;

20.7 МВА.
Для эквивалентной температуры зимнего охлаждения трансформатора
-200С:(Д): 1,5.
Рассмотрим график характерного летнего дня.
Рис. 5.1.4. Двухступенчатый график для летних суток.
График
нагрузки с последовательными максимумами. Алгоритм приведения к
двухступенчатому виду приведён в пункте 5. Значение большей ступени 
21.6 МВА,
её продолжительность равна 13 часов. Значение 
определяется
как среднеквадратичное значение и оно равно 
Соотношение

: 
МВА; 
31 МВА.
Для эквивалентной температуры летнего охлаждения трансформатора 200С:(Д):
1,3.
Непосредственный выбор трансформатора.
Выберем трансформатор ТРДН-25000/110.
Паспортные данные трансформатора табл. 5.1.1.
Таблица 5.1.1
|
Тип
|
|
Регулирование напряжения
|
Каталожные данные
|
Расчетные данные
|
|
|
|
|
|
|
|
|
|
|
|
|
|
|
ВН
|
НН
|
|
|
|
|
|
|
|
|
ТРДН-25000/110
|
225
|
|
115
|
10.5-10.5
|
10.5
|
120
|
27
|
0.7
|
2.54
|
55.9
|
175
|
Необходимо проверить коэффициент загруженности трансформаторов, так как
для достижения наибольшего КПД он должен быть равен 0.7-0.8.
Коэффициент загруженности трансформаторов значительно ниже желаемого
значения. Выберем трансформатор мощностью 16 МВА. Получаем:
Полученный коэффициент загрузки немного превышает желаемое значение. В
случае отключения одного из двух трансформаторов коэффициент перегрузки будет
составлять 1.68, а допустимые значения составляют для зимнего и летнего дней
соответственно 1.5 и 1.3. Такое значительное превышение коэффициента перегрузки
приведет к более быстрому старению трансформаторов, что не желательно. Еще
одним минусом данного трансформатора является то, что при увеличении нагрузки
трансформатор придется заменять на более мощный.
Следовательно, остановим свой выбор на трансформаторах ТРДН-25000/110.
5.2 Выбор
понижающих трансформаторов на подстанции 2
На
данной подстанции необходимо установить два понижающих трансформатора 110/10
кВ. Максимальная мощность нагрузки на пятый год эксплуатации: 
МВт, 
МВА. При
отключении одного из двух трансформаторов всю нагрузку должен нести оставшийся
в работе трансформатор, при этом часть времени суток этот трансформатор будет
работать с перегрузкой. Длительность перегрузки может быть определена из
эквивалентного по потерям двухступенчатого графика нагрузки. Построим график нагрузки
трансформатора в зимние (Рис. 5.2.1) и летние (Рис. 5.2.2) характерные дни.
Графики активной и реактивной мощности характерных суток зимнего и летнего дней
построим по данным таблицы 1.6, используя формулу:
Рис.
5.2.1. Графики полной, активной, реактивной и средней мощностей характерного
зимнего дня.
Рис. 5.2.2. Графики полной, активной, реактивной и средней мощностей
характерного летнего дня.
Приведем данные графики к двухступенчатому виду.
Рассмотрим график характерного зимнего дня.
Рис. 5.2.3. Двухступенчатый график для зимних суток.
График
нагрузки с одним максимумом. Алгоритм приведения к двухступенчатому виду
приведён в пункте 5. Значение большей ступени 
61.8
МВА, её продолжительность равна 5 часов. Значение 
определяется
как среднеквадратичное значение и оно равно 
35.2 
Соотношение

: 
21.1 МВА;

22.3 МВА.
Для эквивалентной температуры зимнего охлаждения трансформатора
-200С:(ДЦ): 1.5.(Д): 1.6.
Рассмотрим график характерного летнего дня.
Рис. 5.1.4. Двухступенчатый график для летних суток.
График
нагрузки с одним максимумом. Алгоритм приведения к двухступенчатому виду приведён
в пункте 5. Значение большей ступени 
46 МВА,
её продолжительность равна 5 часов. Значение 
определяется
как среднеквадратичное значение и оно равно 
Соотношение

: 
МВА; 
15.3 МВА.
Для эквивалентной температуры летнего охлаждения трансформатора
200С:(ДЦ): 1,2.
(Д): 1.3.
Непосредственный выбор трансформатора.
Выберем трансформатор ТРДЦН-63000/110.
Паспортные данные трансформатора табл. 5.2.1.
Таблица 5.2.1
|
Тип
|
|
Регулирование напряжения
|
Каталожные данные
|
Расчетные данные
|
|
|
|
|
|
|
|
|
|
|
|
|
|
|
ВН
|
НН
|
|
|
|
|
|
|
|
|
ТРДЦН-63000/110
|
263
|
|
115
|
10.5-10.5
|
10.5
|
260
|
59
|
0.6
|
0.87
|
22
|
410
|
Необходимо проверить коэффициент загруженности трансформаторов, так как
для достижения наибольшего КПД он должен быть равен 0.7-0.8.
Коэффициент загруженности трансформаторов значительно ниже желаемого
значения. Выберем трансформатор мощностью 40 МВА. Получаем:
Полученный коэффициент загрузки соответствует желаемому значению. В
случае отключения одного из двух трансформаторов коэффициент перегрузки будет
составлять 1.54, а допустимые значения составляют для зимнего и летнего дней
соответственно 1.6 и 1.3. В данной ситуации остановим выбор на трансформаторах
ТРДН-40000/110.
Паспортные данные трансформатора табл. 5.2.2.
Таблица 5.2.2
|
Тип
|
|
Регулирование напряжения
|
Каталожные данные
|
Расчетные данные
|
|
|
|
|
|
|
|
|
|
|
|
|
|
|
ВН
|
НН
|
|
|
|
|
|
|
|
|
ТРДН-40000/110
|
240
|
|
115
|
10.5-10.5
|
10.5
|
172
|
36
|
0.65
|
1.4
|
34.7
|
260
|
5.3 Выбор
понижающих трансформаторов на подстанции 3
На
данной подстанции необходимо установить два понижающих трансформатора 110/10
кВ. Максимальная мощность нагрузки на пятый год эксплуатации: 
МВт, 
МВА. При
отключении одного из двух трансформаторов всю нагрузку должен нести оставшийся
в работе трансформатор, при этом часть времени суток этот трансформатор будет
работать с перегрузкой. Длительность перегрузки может быть определена из
эквивалентного по потерям двухступенчатого графика нагрузки. Построим график
нагрузки трансформатора в зимние (Рис. 5.3.1) и летние (Рис. 5.3.2) характерные
дни. Графики активной и реактивной мощности характерных суток зимнего и летнего
дней построим по данным таблицы 1.6, используя формулу:
Рис. 5.3.1. Графики полной, активной, реактивной и средней мощностей
характерного зимнего дня.
Рис. 5.3.2. Графики полной, активной, реактивной и средней мощностей
характерного летнего дня.
Приведем данные графики к двухступенчатому виду.
Рассмотрим график характерного зимнего дня.
Рис. 5.2.3. Двухступенчатый график для зимних суток.
График
нагрузки с одним максимумом. Алгоритм приведения к двухступенчатому виду
приведён в пункте 5. Значение большей ступени 
20.25
МВА, её продолжительность равна 4 часов. Значение 
определяется
как среднеквадратичное значение и оно равно 

Соотношение

: 
4.5 МВА; 
6.1 МВА.
Для эквивалентной температуры зимнего охлаждения трансформатора
-200С:(Д): 1.6.
Рассмотрим график характерного летнего дня.
Рис. 5.1.4. Двухступенчатый график для летних суток.
График
нагрузки с одним максимумом. Алгоритм приведения к двухступенчатому виду приведён
в пункте 5. Значение большей ступени 
13.16
МВА, её продолжительность равна 4 часов. Значение 
определяется
как среднеквадратичное значение и оно равно 
Соотношение

: 
МВА; 
3.04 МВА.
Для эквивалентной температуры летнего охлаждения трансформатора 200С:(Д):
1.3.
Непосредственный выбор трансформатора.
Выберем трансформатор ТДН-16000/110.
Паспортные данные трансформатора табл. 5.3.1.
Таблица 5.3.1
|
Тип
|
|
Регулирование напряжения
|
Каталожные данные
|
Расчетные данные
|
|
|
|
|
|
|
|
|
|
|
|
|
|
|
ВН
|
НН
|
|
|
|
|
|
|
|
|
ТДН-16000/110
|
216
|
|
115
|
11
|
10.5
|
85
|
19
|
0.7
|
4.38
|
86.7
|
112
|
Необходимо проверить коэффициент загруженности трансформаторов, так как
для достижения наибольшего КПД он должен быть равен 0.7-0.8.
Коэффициент загрузки меньше желаемого, но с учетом того, что в каталоге
нет других подходящих вариантов, то придется остановиться на данном выборе.
6.
Составление принципиальных и расчетных схем вариантов
6.1 Составление
принципиальной и расчетной схемы радиального варианта сети
Для упрощения в схеме сделаны некоторые эквивалентные преобразования:
· трансформаторы подстанции В не включены в расчетную схему и на шинах ВН
указана эквивалентная нагрузка подстанции (с учетом потерь в трансформаторах);
· автотрансформаторы подстанций А и Б, а также трехобмоточные
трансформаторы подстанции Б моделируются без схемы замещения обмотки низкого
напряжения, а нагрузка шин НН с учетом потерь в обмотке НН указывается на шинах
СН подстанций. Сопротивления обмоток ВН и СН теперь соединены последовательно и
в расчетной схеме представлены одной трансформаторной ветвью. Эквивалентная
нагрузка шин НН на подстанции Б суммируется с нагрузкой шин СН.
Таблица 6.1.1.
Параметры проводов ЛЭП для радиального варианта электрической сети
|
Линия
|
Марка провода
|
r0, Ом/км
|
x0, Ом/км
|
b0, мкСм/км
|
Число цепей
|
Длина, км
|
|
А-2
|
АС- 0.0620.3313.380224.7
|
|
|
|
|
|
|
Г-1
|
АС- 0.2440.4272.658220.7
|
|
|
|
|
|
|
1-3
|
АС-70/11
|
0,429
|
0,444
|
2,547
|
2
|
7
|
Параметры трансформаторов для новых подстанций электрической сети
приведены в таблицах 5.1.1; 5.2.2; 5.3.1.
Таблица 6.1.2.
Параметры узлов расчетной схемы для радиального и кольцевого вариантов
|
Узел
|
P, МВт
|
Q, МВАр
|
|
1
|
23
|
14
|
|
2
|
52
|
33
|
|
3
|
17
|
11
|
|
11
|
0.054
|
0.35
|
|
12
|
0.072
|
0.52
|
|
13
|
0.038
|
0.224
|
Нагрузка шин 11, 12, 13 являются мощностями холостого хода
соответствующих трансформаторов. Значения умножены на 2, так как на каждой
подстанции по 2 трансформатора.
Примечание для рисунков 6.1.2, 6.2.2 Сопротивления и проводимости линий
умножены на длины линий. Для двухцепных линий сопротивления делим на 2, а
проводимости умножаем. Сопротивления трансформаторов делим на 2. Потери
холостого хода трансформаторов увеличены в 2 раза.
Таблица 6.1.3.
Параметры ветвей расчетной существующей сети
|
Имя ветви
|
R, Ом
|
X, Ом
|
B, мкСм
|
|
201
|
201
|
3,1
|
13,5
|
333
|
|
201
|
203
|
2,2
|
12,2
|
313
|
|
202
|
203
|
7,4
|
32,2
|
198
|
|
203
|
204
|
2,1
|
12,0
|
308
|
|
112
|
115
|
4,4
|
11,2
|
300
|
|
112
|
114
|
8,1
|
20,7
|
138
|
202
|
0,5
|
29,6
|
-
|
|
114
|
204
|
0,5
|
29,6
|
-
|
|
31
|
114
|
0,4
|
17,8
|
-
|
Рис.
6.1.1. Принципиальная схема радиального варианта электрической сети
Рис. 6.1.2. Расчетная схема радиального варианта электрической сети
6.2 Составление
принципиальной и расчетной схемы кольцевого варианта сети
Таблица 6.2.1.
Параметры проводов ЛЭП для кольцевого варианта электрической сети
|
Линия
|
Марка провода
|
r0, Ом/км
|
x0, Ом/км
|
b0, мкСм/км
|
Число цепей
|
Длина, км
|
|
А-2
|
АС- 0.1620.4142.739124.7
|
|
|
|
|
|
|
Г-1
|
АС- 0.2440.4272.658120.7
|
|
|
|
|
|
|
1-2
|
АС- 0.2440.4272.658140
|
|
|
|
|
|
|
Г-3
|
АС- 0.2440.4272.658224.1
|
|
|
|
|
|
Параметры трансформаторов для новых подстанций электрической сети
приведены в таблицах 5.1.1; 5.2.2; 5.3.1.
Рис.
6.2.1. Принципиальная схема кольцевого варианта электрической сети
Рис.
6.2.2. Расчетная схема кольцевого варианта электрической сети
7. Расчет
режимов максимальных нагрузок и баланс реактивной мощности
[1] Расчеты режима максимальных нагрузок выполняются по схеме
существующей сети с добавление новых ЛЭП и подстанций с целью определения
допустимости режимов напряжений узлов, составления баланса по реактивной
мощности, определения суммарных потерь мощности для последующего вычисления
затрат и проверки загрузки элементов существующей сети вследствие подключения
новых потребителей.
Расчеты режимов максимальных нагрузок проводятся на ЭВМ по одной из
программ расчета установившегося режима электрической сети (net#, netw, Anares,
Rastr и др.).
При составлении баланса реактивной мощности необходимо сопоставить
суммарную потребляемую мощность электрической сети (выделив все ее
составляющие) с располагаемой реактивной мощностью электростанций. В курсовой
работе этот вопрос решается упрощенно: следует считать располагаемой мощность,
вычисляемую через коэффициент мощности 0,9 от активной мощности пункта питания
(балансирующий узел) в режиме максимальных нагрузок.
Сопоставление суммарной потребляемой реактивной мощности с располагаемой
мощностью пункта питания позволяет сделать вывод о потребности в установке
компенсирующих устройств необходимой мощности в проектируемой сети, размещение
которых производится с учетом следующих рекомендаций:
) компенсирующие устройства рекомендуется устанавливать на наиболее
мощных и по возможности удаленных подстанциях;
) следует избегать трансформации больших потоков реактивных мощностей.
В качестве средств компенсации реактивной мощности применяются синхронные
компенсаторы, статические тиристорные компенсаторы и батареи конденсаторов.
Для определения суммарной реактивной мощности компенсации вычисляется
располагаемая реактивная мощность пункта питания сети (балансирующего узла):

,
где
PБУ - активная мощность пункта питания (берется из расчета установившегося
режима);

-
наибольший допустимый коэффициент реактивной мощности пункта питания
(вычисляется для заданного коэффициента мощности cosφ).
Суммарная
реактивная мощность компенсации равна:
где
QБУ - реактивная мощность пункта питания (берется из расчета установившегося
режима).
Полученную
таким образом мощность компенсации следует уменьшить на 20…25 % и выполнить
расстановку компенсирующих устройств в сети.
После
расстановки компенсирующих устройств следует вновь выполнить расчет режимов
максимальных нагрузок и подобрать ответвления РПН на новых подстанциях, чтобы
показать возможность встречного регулирования напряжения на шинах НН подстанций.
На
шинах ВН подстанций в режиме максимальных нагрузок необходимы такие уровни
напряжения, при которых на вторичной стороне трансформаторов с учетом
использования РПН напряжение не будет ниже 1,05 номинального, а в
послеаварийных режимах - номинального. Для всех шин подстанций (ВН, СН и НН)
напряжение не должно превышать наибольшего рабочего напряжения (табл. 7.0.1).
Таблица
7.0.1
Наибольшие
рабочие напряжения в электрических сетях, кВ
|
Номинальное напряжение
|
6
|
10
|
20
|
35
|
110
|
220
|
330
|
500
|
750
|
1150
|
|
Наибольшее напряжение
|
7,2
|
12
|
24
|
40,5
|
126
|
252
|
363
|
525
|
787
|
1200
|
Уровни напряжения можно изменить с помощью отпаек РПН трансформаторов
новых подстанций (локальное регулирование напряжения) и отпаек РПН
автотрансформаторов действующих подстанций А и Г (централизованное
регулирование напряжения). При этом с целью предупреждения появления
уравнительных потоков мощности в контурах сети 110/220 кВ следует устанавливать
отпайки РПН на автотрансформаторах одинаковыми.
Вывод формулы для определения ориентировочного напряжения отпаек РПН.

обозначим

как 
, и
получим:
Проверка
загрузки существующей сети выполняется по результатам расчета потоков мощности
по действующим ЛЭП и трансформаторам. В начале следует рассчитать токи в ЛЭП
(по полученным потокам мощности в ЛЭП и напряжениям узлов) и сопоставить с
предельно допустимыми по условию нагрева проводов; затем потоки мощности через
трансформаторы сопоставить с установленной мощностью трансформаторов на
подстанциях. При недопустимых перегрузках элементов действующей сети следует
либо изменить решения принятые при подборе вариантов сооружения новой сети,
либо выполнить реконструкцию существующей сети.
7.1 Расчет
режимов максимальных нагрузок и баланс реактивной мощности для радиального
варианта сети
Вначале выполним расчет при отпайках находящихся в нулевом положении.
Таблица 7.1.1.
Результаты предварительного расчета режима радиального варианта
электрической сети по узлам.
|
Номер узла
|
Напряжение, кВ
|
Фаза напряжения, град
|
Активная мощность, МВт
|
Реактивная мощность, МВАр
|
|
201
|
242.000
|
0.000
|
-410.2019
|
-352.8498
|
|
202
|
229.501
|
-2.123
|
-0.0000
|
-0.0000
|
|
203
|
230.667
|
-2.277
|
80.4000
|
60.4000
|
|
204
|
223.026
|
-3.788
|
-0.0000
|
-0.0000
|
|
112
|
108.441
|
-8.766
|
110.6000
|
93.0000
|
|
114
|
108.847
|
-8.625
|
90.4000
|
75.8000
|
|
115
|
105.417
|
-9.790
|
-0.0000
|
0.0000
|
|
31
|
34.159
|
-12.160
|
25.4000
|
18.3000
|
|
11
|
106.718
|
-9.153
|
0.0520
|
0.3500
|
|
1
|
9.354
|
-12.433
|
23.0000
|
14.0000
|
|
12
|
105.840
|
-9.785
|
0.0720
|
0.5200
|
|
2
|
9.070
|
-14.582
|
52.0000
|
33.0000
|
|
13
|
106.294
|
-9.191
|
0.0380
|
0.2240
|
|
3
|
9.658
|
-13.000
|
17.0000
|
11.0000
|
Напряжения на шинах НН новых подстанций значительно ниже нормы. А
реактивная мощность пункта питания очень велика. Установим устройства
продольной компенсации.
Выполним
расчет баланса реактивной мощности и выберем мощности компенсирующих устройств.
Для cos
коэффициент реактивной мощности cos
.
Ориентировочная
суммарная реактивная мощность компенсации равна:
Уменьшим
мощность компенсации на 20%: 
На
подстанции А и Г установим синхронные компенсаторы мощностью каждый по 50 МВАр
(КСВБ-50-11). На подстанцию 2, как на самую мощную из новых, установим 2
шунтовые конденсаторные батареи мощностью каждая по 12 МВАр. В итоге получаем
мощность полной компенсации 124 МВАр.
Повторим
расчет режима таблица 7.1.2.
Таблица
7.1.2.
|
Номер узлаНапряжение,
кВФаза напряжения, градАктивная мощность, МВтРеактивная мощность, МВАр
|
|
|
|
|
|
201
|
242.000
|
0.000
|
-406.4184
|
-182.6180
|
|
202
|
234.627
|
-2.335
|
-0.0000
|
-0.0000
|
|
203
|
234.711
|
-2.391
|
80.4000
|
60.4000
|
|
204
|
230.580
|
-3.948
|
-0.0000
|
-0.0000
|
|
112
|
117.469
|
-8.397
|
110.6000
|
43.0000
|
|
114
|
117.250
|
-8.278
|
90.4000
|
25.8000
|
|
115
|
114.750
|
-9.276
|
-0.0000
|
0.0000
|
|
31
|
37.386
|
-11.265
|
25.4000
|
18.3000
|
|
11
|
115.310
|
-8.739
|
0.0520
|
0.3500
|
|
1
|
10.172
|
-11.530
|
23.0000
|
14.0000
|
|
12
|
116.267
|
-9.417
|
0.0720
|
0.5200
|
|
2
|
10.438
|
-13.282
|
52.0000
|
9.0000
|
|
13
|
114.922
|
-8.774
|
0.0380
|
0.2240
|
|
3
|
10.528
|
-12.004
|
17.0000
|
11.0000
|
Проверим величину коэффициента реактивной мощности пункта питания.
Окончательную регулировку напряжений на шинах НН подстанций 1, 2, 3
выполним с помощью ответвлений РПН.
Подстанция 1. Установим отпайку РПН в положений -2.
Подстанция 2. Установим отпайку РПН в положений -1.
Подстанция 3. Данное напряжение соответствует желаемому.
Окончательные результаты расчета приведены в таблице 7.1.3.
Таблица 7.1.3.
Окончательные результаты расчета режима радиального варианта
электрической сети по узлам после расстановки компенсирующих устройств и
регулирования напряжения на новых подстанциях
|
Номер узла
|
Напряжение, кВ
|
Фаза напряжения, град
|
Активная мощность, МВт
|
Реактивная мощность, МВАр
|
|
201
|
242.000
|
0.000
|
-406.4184
|
-182.6180
|
|
202
|
234.627
|
-2.335
|
-0.0000
|
-0.0000
|
|
203
|
234.711
|
-2.391
|
80.4000
|
60.4000
|
|
204
|
230.580
|
-3.948
|
-0.0000
|
-0.0000
|
|
112
|
117.469
|
-8.397
|
110.6000
|
43.0000
|
|
114
|
117.250
|
-8.278
|
90.4000
|
25.8000
|
|
115
|
114.750
|
-9.276
|
-0.0000
|
0.0000
|
|
31
|
37.386
|
-11.265
|
25.4000
|
18.3000
|
|
11
|
115.310
|
-8.739
|
0.0520
|
0.3500
|
|
1
|
10.547
|
-11.530
|
23.0000
|
14.0000
|
|
12
|
116.267
|
-9.417
|
0.0720
|
0.5200
|
|
2
|
10.627
|
-13.282
|
52.0000
|
9.0000
|
|
13
|
114.922
|
-8.774
|
0.0380
|
0.2240
|
|
3
|
10.528
|
-12.004
|
17.0000
|
11.0000
|
Суммарные нагрузочные активные потери равны 7.456379 МВт.
Выполним проверку загрузки линий электропередачи существующей сети после
присоединения к ней новых подстанций. В таблице введем колонку расчетного тока
в максимальном режиме и колонку допустимого тока для каждого провода ВЛ
существующей сети с учетом количества цепей. Из сравнения этих токов с
расчетными видно, что ни одно значение тока не превышает предельно допустимого
значения. Кроме того, в послеаварийном режиме, когда для двухцепных ЛЭП токи
увеличатся примерно вдвое, по токовой нагрузке все сечения существующих линий
также проходят.
Где n - число цепей, S - мощность передаваемая через линию, U -
напряжение в начале линии. Результаты в таблице 7.1.4.
Таблица 7.1.4
Окончательные результаты расчета режима радиального варианта
электрической сети по ветвям после расстановки компенсирующих устройств и
регулирования напряжения на новых подстанциях
|
Имя ветви
|
Pij, МВт
|
Qij, МВАр
|
Pji, МВт
|
Qji, МВАр
|
I, А
|
Iдоп*, А
|
|
201
|
202
|
-192.3660
|
189.9642
|
90.1930
|
249
|
1780
|
|
201
|
203
|
-214.0524
|
-100.8821
|
211.8762
|
106.6011
|
282
|
2141
|
|
202
|
203
|
-1.4468
|
6.3900
|
1.4464
|
4.5120
|
16
|
890
|
|
203
|
204
|
-132.9226
|
-50.7131
|
132.1155
|
62.7725
|
175
|
2141
|
|
112
|
115
|
-25.7525
|
-16.4711
|
25.4314
|
19.6988
|
75
|
1316
|
|
112
|
114
|
0.7747
|
-0.5997
|
-0.7764
|
2.4959
|
5
|
658
|
|
114
|
11
|
-40.7379
|
-27.5571
|
40.2867
|
28.2532
|
121
|
1006
|
|
112
|
12
|
-52.5320
|
-12.3874
|
52.2212
|
13.2174
|
133
|
1574
|
|
11
|
13
|
-17.1623
|
-12.2705
|
17.1121
|
12.6910
|
53
|
684
|
|
112
|
202
|
188.1099
|
72.4583
|
-188.5174
|
-96.5831
|
-
|
-
|
|
114
|
204
|
131.9143
|
50.8612
|
-132.1155
|
-62.7725
|
-
|
-
|
|
31
|
115
|
25.4000
|
18.3000
|
-25.4314
|
-19.6988
|
-
|
-
|
|
1
|
11
|
23.0000
|
14.0000
|
-23.0724
|
-15.6327
|
-
|
-
|
|
2
|
12
|
52.0000
|
9.0000
|
-52.1492
|
-12.6974
|
-
|
-
|
|
3
|
13
|
17.0000
|
11.0000
|
-17.0741
|
-12.4670
|
-
|
-
|
доп домноженно на поправочный коэффициент на температуру воздуха для
неизолированных проводов. В нашем случае коэффициент равен 1.29.
Проверим загруженность трансформаторов.
Подстанция А.
Подстанция Г.

1.131.
В
нормальном режиме при максимальных нагрузках автотрансформаторы подстанций А и
Г при данных коэффициентах загрузки будут работать в нормальном режиме. Однако
в режиме при отключении одного из параллельно работающих трансформаторов для
подстанции А желательно увеличить мощность автотрансформаторов.
7.2
Расчет режимов максимальных нагрузок и баланс реактивной мощности для
кольцевого варианта сети
Вначале выполним расчет при отпайках находящихся в нулевом положении.
Таблица 7.2.1.
Результаты предварительного расчета режима кольцевого варианта
электрической сети по узлам.
|
Номер узла
|
Напряжение, кВ
|
Фаза напряжения, град
|
Активная мощность, МВт
|
Реактивная мощность, МВАр
|
|
201
|
242.000
|
0.000
|
-411.2187
|
-354.9397
|
|
202
|
229.584
|
-2.105
|
-0.0000
|
-0.0000
|
|
203
|
230.482
|
-2.303
|
80.4000
|
60.4000
|
|
204
|
222.577
|
-3.861
|
-0.0000
|
-0.0000
|
|
112
|
108.639
|
-8.628
|
110.6000
|
93.0000
|
|
114
|
108.348
|
-8.871
|
90.4000
|
75.8000
|
|
115
|
105.623
|
-9.649
|
-0.0000
|
0.0000
|
|
31
|
34.231
|
-12.010
|
25.4000
|
18.3000
|
|
11
|
105.064
|
-9.743
|
0.0520
|
0.3500
|
|
1
|
9.195
|
-13.132
|
23.0000
|
14.0000
|
|
12
|
103.466
|
-10.219
|
0.0720
|
0.5200
|
|
2
|
8.836
|
-15.256
|
52.0000
|
33.0000
|
|
13
|
107.289
|
-9.122
|
0.0380
|
0.2240
|
|
3
|
9.759
|
-12.856
|
17.0000
|
11.0000
|
Напряжения на шинах НН новых подстанций значительно ниже нормы. А
реактивная мощность пункта питания очень велика. Установим устройства
продольной компенсации.
Выполним
расчет баланса реактивной мощности и выберем мощности компенсирующих устройств.
Для cos
коэффициент реактивной мощности cos
.
Ориентировочная
суммарная реактивная мощность компенсации равна:
Уменьшим
мощность компенсации на 20%: 
На
подстанции А и Г установим синхронные компенсаторы мощностью каждый по 50 МВАр
(КСВБ-50-11). На подстанцию 2, как на самую мощную из новых, установим 2
шунтовые конденсаторные батареи мощностью каждая по 12 МВАр. В итоге получаем
мощность полной компенсации 124 МВАр.
Повторим
расчет режима таблица 7.1.2.
Таблица
7.2.2
|
Номер узла
|
Напряжение, кВ
|
Фаза напряжения, град
|
Активная мощность, МВт
|
Реактивная мощность, МВАр
|
|
201
|
242.000
|
0.000
|
-406.8953
|
-182.7506
|
|
202
|
234.639
|
-2.308
|
-0.0000
|
-0.0000
|
|
203
|
234.694
|
-2.421
|
80.4000
|
60.4000
|
|
204
|
230.554
|
-4.030
|
-0.0000
|
-0.0000
|
|
112
|
117.424
|
-8.257
|
110.6000
|
43.0000
|
|
114
|
117.294
|
-8.490
|
90.4000
|
25.8000
|
|
115
|
114.704
|
-9.137
|
-0.0000
|
-0.0000
|
|
31
|
37.370
|
-11.128
|
25.4000
|
18.3000
|
|
11
|
114.903
|
-9.351
|
0.0520
|
0.3500
|
|
1
|
10.133
|
-12.163
|
23.0000
|
14.0000
|
|
12
|
114.547
|
-9.972
|
0.0720
|
0.5200
|
|
2
|
10.277
|
-13.957
|
52.0000
|
9.0000
|
|
13
|
116.335
|
-8.707
|
0.0380
|
0.2240
|
|
3
|
10.670
|
-11.857
|
17.0000
|
11.0000
|
Проверим величину коэффициента реактивной мощности пункта питания.
Окончательную регулировку напряжений на шинах НН подстанций 1, 2, 3
выполним с помощью ответвлений РПН.
Подстанция 1. Установим отпайку РПН в положений -2.
Подстанция 2. Установим отпайку РПН в положений -2.
Подстанция 3. Данное напряжение соответствует желаемому.
Окончательные результаты расчета приведены в таблице 7.2.3.
Таблица 7.2.3.
Окончательные результаты расчета режима кольцевого варианта электрической
сети по узлам после расстановки компенсирующих устройств и регулирования
напряжения на новых подстанциях
|
Номер узла
|
Напряжение, кВ
|
Фаза напряжения, град
|
Активная мощность, МВт
|
Реактивная мощность, МВАр
|
|
201
|
242.000
|
0.000
|
-406.8953
|
-182.7506
|
|
202
|
234.639
|
-2.308
|
-0.0000
|
-0.0000
|
|
203
|
234.694
|
-2.421
|
80.4000
|
60.4000
|
|
204
|
230.554
|
-4.030
|
-0.0000
|
-0.0000
|
|
112
|
117.424
|
-8.257
|
110.6000
|
43.0000
|
|
114
|
117.294
|
-8.490
|
90.4000
|
25.8000
|
|
115
|
114.704
|
-9.137
|
-0.0000
|
-0.0000
|
|
31
|
37.370
|
-11.128
|
25.4000
|
18.3000
|
|
11
|
114.903
|
-9.351
|
0.3500
|
|
1
|
10.507
|
-12.163
|
23.0000
|
14.0000
|
|
12
|
114.547
|
-9.972
|
0.0720
|
0.5200
|
|
2
|
10.657
|
-13.95
|
52.0000
|
9.0000
|
|
13
|
116.335
|
-8.707
|
0.0380
|
0.2240
|
|
3
|
10.670
|
-11.857
|
17.0000
|
11.0000
|
Суммарные нагрузочные активные потери равны 7.933263МВт.
Выполним проверку загрузки линий электропередачи существующей сети после
присоединения к ней новых подстанций. В таблице введем колонку расчетного тока
в максимальном режиме и колонку допустимого тока для каждого провода ВЛ
существующей сети с учетом количества цепей. Из сравнения этих токов с
расчетными видно, что ни одно значение тока не превышает предельно допустимого
значения. Кроме того, в послеаварийном режиме, когда для двухцепных ЛЭП токи
увеличатся примерно вдвое, по токовой нагрузке все сечения существующих линий
также проходят.
Где n - число цепей, S - мощность передаваемая через линию, U -
напряжение в начале линии. Результаты в таблице 7.2.4.
Таблица 7.2.4
Окончательные результаты расчета режима кольцевого варианта электрической
сети по ветвям после расстановки компенсирующих устройств и регулирования
напряжения на новых подстанциях
|
Имя ветви
|
Pij, МВт
|
Qij, МВАр
|
Pji, МВт
|
Qji, МВАр
|
I, А
|
Iдоп*, А
|
|
201
|
202
|
-190.4501
|
-81.8788
|
188.0858
|
90.4999
|
247
|
1780
|
|
201
|
203
|
-216.4451
|
-100.8718
|
214.2304
|
106.3755
|
285
|
2141
|
|
202
|
203
|
-3.0899
|
6.5596
|
3.0884
|
4.3377
|
18
|
890
|
|
203
|
204
|
-136.9188
|
-50.3132
|
136.0723
|
62.1444
|
179
|
2141
|
|
112
|
115
|
-25.7528
|
-16.4763
|
25.4315
|
19.7000
|
75
|
1316
|
|
112
|
114
|
-2.5922
|
1.2223
|
2.5882
|
0.6682
|
14
|
658
|
|
112
|
12
|
-45.6545
|
-15.3407
|
44.9773
|
14.5235
|
237
|
658
|
|
11
|
12
|
-7.2911
|
2.5118
|
7.2486
|
-1.1897
|
67
|
503
|
|
114
|
11
|
-30.8441
|
-13.4803
|
30.4161
|
13.4833
|
165
|
503
|
|
114
|
13
|
-17.2059
|
-11.0711
|
17.1102
|
12.6523
|
50
|
1006
|
|
112
|
202
|
184.5995
|
73.5947
|
-184.9959
|
-97.0594
|
-
|
-
|
|
114
|
204
|
135.8618
|
49.6832
|
-136.0723
|
-62.1444
|
-
|
-
|
|
31
|
115
|
25.4000
|
18.3000
|
-25.4315
|
-19.7000
|
-
|
-
|
|
1
|
11
|
23.0000
|
14.0000
|
-23.0730
|
-15.6452
|
-
|
-
|
|
2
|
12
|
52.0000
|
9.0000
|
-52.1539
|
-12.8138
|
-
|
-
|
|
3
|
13
|
17.0000
|
11.0000
|
-17.0722
|
-12.4283
|
-
|
-
|
доп домноженно на поправочный коэффициент на температуру воздуха для
неизолированных проводов. В нашем случае коэффициент равен 1.29.
Проверим загруженность трансформаторов.
Подстанция А.
Подстанция Г.

1.157.
В
нормальном режиме при максимальных нагрузках автотрансформаторы подстанций А и
Г при данных коэффициентах загрузки будут работать в нормальном режиме. Однако
в режиме при отключении одного из параллельно работающих трансформаторов для
подстанции А желательно увеличить мощность автотрансформаторов.
8.
Выбор схем присоединения к сети новых и расширения существующих понижающих
подстанций
Выбор схем присоединения к сети всех новых подстанций выполняется из
числа типовых коммутационных схем с учетом их области применения. Они являются
схемами открытых распределительных устройств (ОРУ), стоимости которых
включаются в затраты при сопоставлении вариантов.
Следует иметь в виду, что присоединение ЛЭП к существующим подстанциям
требует расширение их ОРУ. Поэтому стоимости ячеек (комплектов выключателей -
по одному на одну линию) также должна включаться в затраты при сопоставлении
вариантов.
Для радиального варианта выбираем схему РУ 4Н, а для кольцевого варианта
выбираем схему 5 АН.
Схемы РУ приведены ниже:

Рис 8.1. Типовые схемы РУ
Рис. 8.2. Схемы присоединения к сети понижающих подстанций.
9.
Выбор окончательного варианта схемы развития электрической сети
[1] Выбор окончательного варианта следует делать путем сопоставления
полных (дисконтированных) или удельных затрат. При расчете затрат на сооружение
сети необходимо пользоваться укрупненными стоимостными показателями электрических
сетей (УСП). УСП учитывают типизацию проектирования, прогрессивную технологию
строительства, его механизацию и индустриализацию с максимальным использованием
унифицированных элементов и конструкций заводского изготовления.
УСП приведены в приложении в базовых сметных ценах 1991 г. И не включают
НДС.
Для определения текущих стоимостей могут быть использованы ведомственные
индексы цен. Индексы представляют собой отношение стоимости продукции, работ
или ресурсов в текущем уровне цен к стоимости в базовом уровне цен. Индексы цен
публикуются в «Межрегиональном информационно-аналитическом бюллетене»,
издаваемом ежеквартально Госстроем РФ.
В суммарные затраты на сооружение сети Ку по УСП по каждому варианту
включаются стоимости только тех элементов, на которые варианты различаются
между собой, включая стоимости расширения действующих подстанций при
присоединении к ним новых ЛЭП. В Ку не включены стоимости трансформаторов
подстанций, распределительных устройств НН, компенсирующих устройств, а также
ЛЭП и ОРУ подстанций, которые входят во все сравниваемые варианты.
Для расчетов полных затрат необходим расчет потерь мощности:
· нагрузочных потерь в сети (выполняется при расчете
установившегося режима на ЭВМ),
· потерь холостого хода (сумма потерь холостого хода всех
трансформаторов, установленных на новых подстанциях),
· потерь на корону,
· потерь в ВЛ от токов утечки по изоляторам.
Последние три составляющие потерь относятся к классу условно-постоянных
потерь мощности (энергии).
При
расчете потерь на линиях с сечениями, отличающихся от приведенных в таблице,
расчетные значения потерь получаются умножением значений на отношение
, где Fт - суммарное сечение проводов фазы,
приведенное в таблице; Fф - фактическое сечение фазы линии.
Чтобы
получить средние потери мощности на корону в линии необходимо умножить
табличные значения на число цепей, длину линии, отношение
и поделить на число часов в году.
Потери
электроэнергии от токов утечки по изоляторам ВЛ для 7-го региона на одну цепь
принимают:
· для напряжения 220 кВ - 1,08 тыс. кВт ч/км в год;
· для напряжения 110 кВ - 0,86 тыс. кВт ч/км в год.
Чтобы получить средние мощности по линии электропередачи необходимо
умножить указанные значения на число цепей, длину линии и поделить на число
часов в году.
Для вычисления полных затрат определяются:
. Суммарные затраты на сооружения сети по УСП в ценах 1991 г.
. Капитальные вложения в сооружение сети в начале первого года
строительства сети без учета инфляции, ежегодных платежей и учетной ставки
банка
,
п
- коэффициент пересчета цен на сооружение ЛЭП и подстанций на момент времени t
= 0 (индекс цен).
.
Капитальные вложения
,
где
i - ежегодная инфляция и учетная ставка кредитора при долгосрочном кредите;п2 -
коэффициент приведения ежегодных затрат к сегодняшнему дню
,
где
iэ - эквивалентная учетная ставка;
;
-
рост стоимости электрической энергии;в - срок строительства электрической
сети;э- экономический срок службы электрической сети.
.
Эксплуатационные затраты
.
где
β
- относительное значение ежегодных
эксплуатационных затрат.
.
Капитализированная стоимость потерь
,
где
ИΔP
- стоимость расширения электростанций и
подстанций для компенсации потерь мощности в электрической сети;
;
где
μ-
удельная стоимость расширения
электростанций и подстанций;
ΔPΣ = ΔPкор + ΔPх + ΔPн - полные потери мощности в электрической сети;
ΔPкор - потери в ЛЭП на корону;
ΔPх - потери холостого хода на подстанциях;
ΔPн - суммарные нагрузочные потери в ЛЭП и на подстанциях;
,
где
τ
- время наибольших потерь:
;
-
удельная стоимость электрической энергии для покрытия потерь энергии.
Полные
затраты каждого варианта З определяются по формуле
.
Из
предложенных вариантов выбирается вариант с наименьшими затратами.
Если
полные затраты сравниваемых вариантов различаются менее, чем на 5 %, то
варианты считаются неразличимыми с точки зрения используемого критерия и
требуется привлечение дополнительных критериев сравнения.
Расчет
Постоянную
часть затрат , которая оказалась одинаковой для обоих вариантов, исключаем из
расчетов.
Таблица
9.1
Капитальные
вложения для сооружения радиального варианта электрической сети
|
Объекты и оборудование
|
Количество единиц (км для
ЛЭП)
|
Стоимость, тыс. руб. (в
ценах 1991 г.)
|
|
|
Единицы
|
Общая
|
|
ВЛ А-2, 2 цепи АС-240/39 на
Ж/Б опорах
|
24.7
|
66
|
1630.2
|
|
ВЛ Г-1, 2 цепи АС-120/19 на
Ж/Б опорах
|
20.7
|
57
|
1179.9
|
|
ВЛ 1-2, 2 цепи АС-70/11 на
Ж/Б опорах
|
7
|
57
|
399
|
|
Итого по ВЛ
|
|
|
3209.1
|
|
ПС1 и ПС2. Схема ОРУ номер
4Н
|
2
|
198
|
396
|
|
Постоянная часть затрат на
ПС1 и ПС2. Схема ОРУ номер 4Н
|
2
|
400
|
800
|
|
Ячейка с выключателем для
расширения существующих подстанций А и Г (масляный)
|
4
|
75
|
300
|
|
Итого по ПС
|
|
|
1496
|
|
ВСЕГО
|
|
|
4705.1
|
Таблица 9.2
Капитальные вложения для сооружения кольцевого варианта электрической
сети
|
Объекты и оборудование
|
Количество единиц (км для
ЛЭП)
|
Стоимость, тыс. руб. (в
ценах 1991 г.)
|
|
|
Единицы
|
Общая
|
|
ВЛ А-2, 1 цепь АС-185/29 на
Ж/Б опорах
|
24.7
|
38
|
938.6
|
|
ВЛ 1-2, 1 цепь АС-120/19 на
Ж/Б опорах
|
40
|
34
|
1360
|
|
ВЛ Г-1, 1 цепь АС-120/19 на
Ж/Б опорах
|
20.7
|
34
|
703.8
|
|
ВЛ Г-3, 2 цепи АС-120/19 на
Ж/Б опорах
|
24.1
|
57
|
1373.7
|
|
Итого по ВЛ
|
|
|
4376.1
|
|
ПС1 и ПС2. Схема ОРУ номер
5АН
|
2
|
235
|
470
|
|
Постоянная часть затрат на
ПС1 и ПС2. Схема ОРУ номер 5АН
|
2
|
400
|
800
|
|
Ячейка с выключателем для
расширения существующих подстанций А и Г (масляный)
|
2
|
75
|
150
|
|
Итого по ПС
|
|
|
1420
|
|
ВСЕГО
|
|
|
5796.1
|
Капитальные вложения по вариантам:
· для радиального 4705.1 тыс. руб.;
· для кольцевого 5796.1 тыс. руб.
Индекс цен по капитальным вложениям с учетом НДС по отношению к уровню
сметных цен на 01.01.91 для 2009 г. можно принять равным 43,5.
Для радиального варианта электрической сети
Для кольцевого варианта электрической сети

.
Таблицы
исходных и расчетных данных для сопоставления вариантов приведены ниже - 9.3 и
9.4.
Таблица
9.3
Исходные
данные для расчета полных затрат
|
Наименование
|
Обозна- чение
|
Единицы измерения
|
Значе- ние
|
|
1. Учетная ставка кредитора
|
i1
|
о.е.
|
0,07
|
|
2. Коэффициент инфляции
|
i2
|
о.е.
|
0,06
|
|
3. Рост стоимости
электроэнергии
|
a
|
о.е.
|
0,09
|
|
4. Срок строительства
электрической сети
|
Tв
|
год
|
2
|
|
5. Экономический срок
службы электрической сети
|
Tэ
|
год
|
25
|
|
6. Относительное значение
ежегодных эксплуатационных затрат
|
о.е.
|
0,02
|
|
7. Удельная стоимость
расширения подстанций
|
μ
|
тыс.руб/кВт
|
42
|
|
8. Удельная стоимость
электрической энергии
|
b
|
руб/кВт ч
|
1,2
|
|
9. Число часов
использования максимальной нагрузки
|
Tmax
|
ч
|
5000
|
|
10. Коэффициент пересчета
укрупненных показателей стоимостей электрических сетей на момент начала
строительства
|
k
|
о.е.
|
43,5
|
|
11. Сумма активных
мощностей нагрузок потребителей
|
Pн
|
МВт
|
92
|
Таблица 9.4
Расчетные данные
|
Наименование
|
Обозна- чение
|
Единицы измерения
|
Значе- ние
|
|
1. Коэффициент учета
интереса кредитора и инфляции
|
i
|
о.е.
|
0,13
|
|
2. Эквивалентная учетная
ставка
|
ie
|
о.е.
|
0,04
|
|
3. Коэффициент приведения
стоимости потерь за экономический срок службы к сегодняшнему дню
|
kп
|
о.е.
|
16,18
|
|
5. Время наибольших потерь
|
τ
|
ч
|
3411
|
Выполним расчет составляющих потерь мощности в вариантах сети.
Расчет потерь мощности на корону по вариантам сделаем в табл 9.5 и 9.6.
Таблица 9.5
Расчет среднегодовых потерь мощности на корону на ВЛ радиального варианта
сети
|
Линия
|
Длина, км
|
Цепей
|
Марка провода
|
Сечение фазы, алюминий, мм2
|
Сечение типовой фазы, мм2
|
Удельные потери на корону,
тыс. кВт ч/км
|
Годовые потери на корону
тыс. кВт ч
|
Потери мощности, МВт
|
|
Г-1
|
20.7
|
2
|
АС-120/19
|
120
|
120
|
1.47
|
60.858
|
0.007
|
|
А-2
|
24.7
|
2
|
АС-240/39
|
240
|
120
|
1.47
|
36.309
|
0.004
|
|
1-3
|
7
|
2
|
АС-70/11
|
70
|
120
|
1.47
|
35.28
|
0.004
|
|
Всего
|
132.447
|
0.015
|
Таблица 9.6
Расчет среднегодовых потерь мощности на корону на ВЛ кольцевого варианта
сети
|
Линия
|
Длина, км
|
Цепей
|
Марка провода
|
Сечение фазы, алюминий, мм2
|
Сечение типовой фазы, мм2
|
Удельные потери на корону,
тыс. кВт ч/км
|
Годовые потери на корону
тыс. кВт ч
|
Потери мощности, МВт
|
|
Г-1
|
20.7
|
1
|
АС-120/19
|
120
|
120
|
1.36
|
28.152
|
0.003
|
|
А-2
|
24.7
|
1
|
АС-185/29
|
185
|
120
|
1.36
|
21.789
|
0.002
|
|
1-2
|
40
|
1
|
АС-120/19
|
120
|
120
|
1.36
|
54.4
|
0.006
|
|
Г-3
|
24.1
|
2
|
АС-120/19
|
120
|
120
|
1.36
|
65.552
|
0.007
|
|
Всего
|
169.893
|
0.018
|
Расчет потерь мощности от токов утечки через изоляцию ВЛ по вариантам
сделаем в табл. Табл 9.7 и 9.8
Таблица 9.7
Расчет среднегодовых потерь мощности от токов утечки через изоляторы ВЛ
радиального варианта сети
|
Линия
|
Длина, км
|
Цепей
|
Удельные потери от токов
утечки на ВЛ, тыс. кВт ч/км
|
Годовые потери от токов
утечки на ВЛ, тыс. кВт ч
|
Потери мощности, МВт
|
|
Г-1
|
20.7
|
2
|
0,86
|
35.604
|
0.004
|
|
А-2
|
24.7
|
2
|
0,86
|
42.484
|
0.005
|
|
1-3
|
7
|
2
|
0,86
|
12.04
|
0.001
|
|
Всего
|
90.128
|
0.01
|
Таблица 9.8
Расчет среднегодовых потерь мощности от токов утечки через изоляторы ВЛ
кольцевого варианта сети
|
Линия
|
Длина, км
|
Цепей
|
Удельные потери от токов
утечки на ВЛ, тыс. кВт ч/км
|
Годовые потери от токов
утечки на ВЛ, тыс. кВт ч
|
Потери мощности, МВт
|
|
Г-1
|
20.7
|
1
|
0,86
|
17.802
|
0.002
|
|
А-2
|
24.7
|
1
|
0,86
|
21.242
|
0.002
|
|
1-2
|
40
|
1
|
0,86
|
34.4
|
0.004
|
|
Г-3
|
24.1
|
2
|
0,86
|
41.452
|
0.005
|
|
Всего
|
114.89
|
0.013
|
Потери холостого хода новых трансформаторов одинаковы в обоих вариантах и
равны 0.162 МВт.
Нагрузочные потери в целом по всей сети берем из расчета режима
максимальных режимов вариантов сети с учетом установленных компенсирующих
устройств и регулирования напряжения на трансформаторах.
Результаты расчета всех видов потерь сведены в табл. 9.10
Таблица 9.10
Потери мощности в сети по вариантам, МВт
|
Составляющие потерь
мощности
|
Варианты
|
|
1
|
2
|
|
1. Потери в ЛЭП на корону
|
0.015
|
0.018
|
|
2. Потери от токов утечки
через изоляторы ВЛ
|
0.01
|
0.013
|
|
2. Потери холостого хода на
подстанциях
|
0.162
|
0.162
|
|
Всего условно-постоянные
потери
|
0.187
|
0.193
|
|
3. Нагрузочные потери
мощности в линиях и трансформаторах сети
|
7.456
|
7.933
|
|
4. Общие потери мощности в
сети
|
7.643
|
8.126
|
Условно-постоянные потери для обоих вариантов оказались практически
одинаковыми и не включаются в полные затраты.
Нагрузочные потери во втором варианте на 0,477 МВт больше, чем в первом
варианте. В сравнении по затратам учтем только их разность, т.е. 0,477 МВт во
втором варианте.
Капитальные вложения
Коэффициент приведения ежегодных затрат к сегодняшнему дню
Эквивалентная учетная вставка
Эксплуатационные затраты

.
Капитализированная
стоимость потерь

42

тыс.
руб.

тыс.
руб.
Полные
затраты вариантов

тыс.
руб.

тыс.
руб.
Стоимость
кольцевого варианта на 155712.2 тыс. руб. дороже радиального варианта. Различие
в стоимости 29%.
Полученная
разность в затратах на сооружении сети по двум вариантам позволяет считать
предпочтительным первый вариант.
Расчет
составляющих и полных затрат приведен в табл. 9.11.
Таблица
9.11
Составляющие
полных затрат
|
Составляющие затрат
|
Варианты
|
|
1
|
2
|
|
Стоимость сооружения сети в
ценах 1991 г.
|
4705.1
|
5796.1
|
|
1. Капитальные вложения в
начале первого года сооружения сети, тыс.руб
|
|
|
|
2. Капитальные затраты на
сооружение сети с учетом ежегодных равных платежей в течение экономического
срока службы сети, тыс.руб
|
|
|
|
3. Эксплуатационные
расходы, приведенные к моменту ввода сети в эксплуатацию, тыс.руб
|
|
|
|
4. Капитализированная
стоимость потерь мощности, тыс.руб
|
0
|
20
|
|
5. Капитализированная
стоимость потерь энергии, тыс.руб
|
0
|

|
|
6. Полные затраты, тыс.руб
|
|
|
|
Различие в полных затратах
составляет
|
в тыс.руб
|
155712.2
|
|
в %
|
29%
|
Заключение
В курсовом проекте было рассмотрено два способа расширения существующей
сети: радиально-магистральный и кольцевой. В процессе проектирования решались
задачи: выбора номинального напряжения; выбор сечений проводов; выбор
трансформаторов; выбор схем присоединения новых подстанций для обеспечения
потребителя напряжением 10.5 кВ, обеспечение в П.П. cos(ϕ)=0.9, снижение
потерь в сети. Выбор сечения проводов производился по методу экономических
интервалов, это и обеспечило нам наименьшие затраты, допустимые потери
напряжения, а также механическую прочность проводов. Трансформаторы выбирались
по условиям: по перезагрузке в аварийном режиме и по загрузке в номинальном
режиме. Для обеспечения желаемого напряжения на старых, а также на новых
подстанциях производилось регулирование напряжения на подстанциях при помощи
отпаек РПН на трансформаторах.
Из двух рассматриваемых вариантов был выбран вариант радиально-магистральной
схемы. Данный вариант является предпочтительнее варианта кольцевой сети ,как
показало технико-экономическое сопоставление, по многим критериям.
Список используемой литературы
1.Методическое
укозание №621.311 Электрические системы и сети. Составители: А. В. Лыкин, канд.
техн. наук, доц., Ю. М. Сидоркин, канд. техн. наук, проф.
.Справочник
по проектированию электрических сетей /Под ред. Д.Л. Файбисовича. - М.: Изд -
во НЦ ЭНАС, 2005.-320.
. Лыкин. А.
В. Электрические системы и сети: Учеб. Пособие.- М.: Университетская книга;
Логос, 2006.-254 с.
. Справочник
по проектированию электроэнергетических систем / Под ред. С. С. Рокотяна и И.
П. Шапиро. - М.: Энергоатомиздат , 1985.- 352с.
. Идельчик.
В. И. Электрические системы и сети: Учебник для вузов. - М.: Энерогоатомиздат.
1989. - 592 с.