|
Наименование
ВЛ-10 кВ
|
Наименование
КТП
|
Тип
трансформатора
|
Наименование
фидера
|
Максимальный
ток, А
|
Активная
мощность, кВт
|
Реактивная
мощность, кВАр
|
|
Линия
Балыктах
|
КТП
Пилорама
|
ТМ-250
|
ф-Пилорама
|
0
|
0
|
0
|
|
КТП
Поселок
|
ТМ-160
|
ф-Руменцева
|
61,33
|
60,62
|
27,86
|
|
|
|
ф-Центр
|
|
|
|
|
КТП
Клуб
|
ТМ-100
|
ф-Берег
|
28
|
16,8
|
10,48
|
|
|
|
ф-Магазин
|
|
|
|
|
|
|
ф-Послеок
|
|
|
|
|
КТП
Гараж
|
ТМ-400
|
ф-Котельная
|
96
|
58,91
|
36,73
|
|
|
|
ф-Маслоцех
|
|
|
|
|
КТП
Маслоцех
|
ТМ-160
|
ф-Завод
|
42,67
|
40,77
|
25,45
|
|
|
|
ф-Больница
|
|
|
|
|
КТП
Новый квартал
|
ТМ-100
|
ф-Босикова
|
24,67
|
15,14
|
9,44
|
|
|
|
ф-Никифорова
|
|
|
|
|
КТП
Школа
|
ТМ-250
|
ф-Школа
|
45,33
|
26,82
|
16,72
|
|
|
|
ф-Насосная
|
|
|
|
1.2 Расчет нормальных режимов
.2.1 Программа расчета нормальных режимов
Метод простой итерации при расчете нормальных
режимов
Для расчета нормальных режимов используются
уравнения узловых напряжений в матричной форме. Токи нагрузок и напряжения в
узлах связаны уравнением:
, (1.1)
где 
- матрицы-векторы напряжений в узлах
и токов нагрузок схемы рассчитываемой сети,
- квадратная матрица проводимостей
схемы.
Мощности нагрузок вычисляются как:
(1.2)
При индуктивном характере реактивная
мощность отрицательная (
-
сопряженный комплекс напряжения.).
Ток i-ой нагрузки
можно определить следующим образом:
. (1.3)
C учетом
(1.3) уравнение (1.1) записывается следующим образом:
(1.4)
В уравнении (1.4) U0 -
напряжение в так называемом балансирующем узле под номером 0, где генерирующая
мощность принимается равной бесконечности, а напряжение неизменным. Во всех
остальных узлах напряжение может меняться в зависимости от режима сети.
Например, для схемы, изображенной на рисунке 1.1, уравнение (1.4) будет иметь
вид:
Рисунок 1.1 - Пример схемы для
расчета
За положительные направления токов
принимаются токи, направленные к узлу. Напряжения U1, U2, Un в уравнении
(1.4) вычисляются итерационным путем. В первой итерации в правой части
уравнения задаются напряжения, равные U0, во второй
итерации - напряжения, полученные решением уравнения в первой итерации, в
третьей итерации - напряжения, полученные решением уравнения во второй
итерации, и т.д.
Расчет можно считать законченным,
если полученные напряжения в последнем расчете не отличаются от полученных в
предыдущем не более, чем на 0,1-0,2 %.
При наличии в сети трансформатора
(рисунок 1.2) он замещается П-образной схемой, параметры которой определяются
через коэффициенты четырехполюсника. Матрица коэффициентов четырехполюсника
двухобмоточного трансформатора определяется как:
. (1.5)
Рисунок 1.2 - П-образная схема Рисунок 1.3 -
Пример схемы замещения для расчета
Элементы П-образной схемы равны:
;
;
(1.6)
В (1.5) и (1.6)
-
коэффициент трансформации трансформатора; ZT сопротивление
трансформатора, приведенное к стороне напряжения U1.
Схемы замещения линии
электропередачи в общем случае определяются ее длиной и удельными параметрами
(на 1 км длины): значениями активного и индуктивного сопротивлений, активной и
емкостной проводимостей.
Значения удельных параметров ВЛ зависят от таких
факторов, как конструктивное выполнение, числа цепей, числа проводов в фазе,
взаимного расположения фаз и цепей, материала токоведущих элементов. При
определении удельных параметров ВЛ приняты следующие допущения:
·
линии
приняты транспонированными, т.е. параметры отдельных фаз одинаковы;
·
для
определения реактивных параметров одноцепных линий использованы усредненные
значения междуфазных расстояний;
·
значения
удельных активного и омического сопротивлений использованы в соответствии с
ГОСТ 839-80 для температуры +200 С, а отличие среднеэксплуатационной
температуры провода от +200 С не учитывается.
В общем случае удельные значения индуктивного
сопротивления и емкостной проводимости для одноцепной транспонированной ВЛ с
нерасщепленной фазой рассчитываем по формулам:
;
где DСР - среднее
геометрическое расстояние между фазами А, В и С.
DСР =
;
rПР - радиус
провода.
Линия электропередачи может замещаться
П-образной схемой, элементы которой в литературе вычисляются двумя способами.
По первому способу вычисление производится приближенно. Продольное
сопротивление и поперечные проводимости определяются как:
, (1.7)
где
,
- продольное сопротивление и
поперечная проводимость одного километра линии,
- длина линии.
Этим способом можно задавать
параметры линии общей длиной до 150 - 200 километров. Способ является
общепринятым, применение его перенесли с тех времен, когда расчеты режимов
проводились вручную. С развитием вычислительной техники начал применяться
способ вычисления параметров схемы замещения через гиперболические уравнения
линии с распределенными параметрами:
(1.8)
Коэффициенты А и В равны:
, (1.9)
где
- постоянная распространения;
- волновое сопротивление линии.
Схеме, изображенной на рис. 1.3,
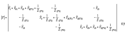
соответствующая матрица проводимостей имеет вид:
Пояснения исходных данных для универсальной
программы расчета нормальных режимов с равными по фазам параметрами
Программа построена по модульному принципу.
(1.10)
Исходные данные задаются тремя модулями: в
первом - параметры задающих узлов; во втором: - параметры элементов схемы; в
третьем - параметры элементов, режим которых необходимо выдать на экран или на
печать.
Исходные данные первого модуля задаются перед
процедурами расчета нормального режима.
Задаются: самый старший по величине
номер узла (если самый старший узел 38, то выполняется:
номер балансирующего узла (узел источника
бесконечной мощности, который компенсирует небаланс мощности между генераторами
системы и нагрузками; как правило, это шины самой мощной станции):
baz:=0 (номер
базисного узла - 0);
напряжение в базисном узле в кВ:
Ubaz:=10 кВ
узел, где контролируется процесс сходимости
расчета:
kontr:=15.
Второй модуль исходных данных помещается между
заблокированными областями «Процедуры расчета нормального режима» и «Расчет
нормального режима».
Задаются параметры элементов электрической
схемы: линий, двухобмоточных и трехобмоточных трансформаторов.
Линии задаются как:
Y := L(m,
n, r0,
x0,
g0,
b0,
L),
где m
и n - узлы,
соединяемые линией;
r0,
x0,
g0,
b0
- активное и реактивное сопротивление, активная и реактивная проводимости
одного километра линии;
L - длина
линии. Активную проводимость линий напряжением 6 - 220 кВ можно принять равной
нулю. Реактивную проводимость для условий Якутии желательно задавать даже для
линий 6 - 35 кВ, учитывая большие длины линий. Ориентировочно для этих линий
можно принять
.
Параметры двухобмоточных
трансформаторов вводятся в следующем виде:
Y := T(m,
n, Sн,
U1н, U2н,
∆Pкз, Uкз%,
∆Pхх, Ixx%),
где m
и n - узлы,
соединяемые трансформатором, к узлу m
трансформатор подключен выводами напряжения U1н,
к узлу n - выводами
напряжения U2н; остальные -
паспортные данные трансформатора, выраженные в МВА и кВ.
Трехобмоточные трансформаторы также задаются
своими паспортными данными:
Y := Ttr(m,
n, q,
Sн, U1н,
U2н, U3н,
∆Pкз, Uкз
в-с%, Uкз в-н%, Uкз
с-н%, ∆Pхх, Ixx%),
m, n,
q - узлы,
соединяемые трансформатором, к узлу m
трансформатор подключен выводами напряжения U1н,
к узлу n - выводами
напряжения U2н, к узлу q
- выводами напряжения U3н;
остальные - паспортные данные трансформатора, выраженные в МВА и кВ.
Проводимость, определяемая потерями холостого хода, включается к узлу m.
Параметры нагрузок вводятся следующей строкой:
Sn := S(yzel, S, Uyzel),
где yzel
- номер узла с нагрузкой,
S - полная мощность
нагрузки, выражаемая как S
= P - jQ
(МВА) (индуктивная мощность задается отрицательной);
Uyzel -
номинальное напряжение в узле /4/.
В третьем модуле исходных данных, который
заносится после заблокированной области «Расчет нормального режима», намечаются
линия, двухобмоточный и трехобмоточный трансформаторы, параметры которых
требуется вывести на печать или на экран монитора.
Эти элементы соответственно намечаются как:
ISL := Lip(m, n, r0, x0,
g0, b0, L),:= Tip(m, n, Sн,
Uвн,
Uнн,
∆Pкз,
Uкз%,
∆Pхх,
Ixx%),:= Ttrip(m, n, q, Sн,
Uвн,
Ucн,
Uнн,
∆Pкз,
Uкз
в-с%,
Uкз
в-н%,
Uкз
с-н%,
∆Pхх,
Ixx%).
(значения параметров те же, что и в блоке
втором)
Расчетный блок
Расчетный блок содержит три процедуры заполнения
матрицы проводимостей Y
(линии с распределенными параметрами, двухобмоточного и трехобмоточного
трансформаторов); процедуру формирования матрицы задающих токов (в уравнении
(1.4) по формулам (1.3)); процедуру итераций; три процедуры расчета токов,
мощностей и потерь мощностей в элементах.
Выдаются напряжения, токи и мощности в узлах при
расчете сети 10 кВ в вольтах, амперах и киловаттах.
Выдаются также сумма заданных нагрузок, сумма
полученных нагрузок в результате расчета, мощность со стороны питающего узла,
потери мощности абсолютные и в процентах по отношению к сумме нагрузок.
.2.2 Расчет нормального режима сети 10 кВ
Для первого шага расчета нормального режима сети
10 кВ по токовым замерам в максимальном режиме (декабрь 2012 г.) определялись
нагрузки на каждом ТП, как произведение суммы токов фаз на номинальное фазное
напряжение (таблица 1.1).
Расчет нормального режима сети 10 кВ линии
«Балыктах» был произведен согласно расчетной схемы, приведенной на рисунке 1.3.
Рисунок 1.3 - Расчетная схема ВЛ-10 кВ
«Балыктах»
Схема содержит 19 узлов, базисное напряжение на
шине 10 кВ ПС «Балыктах» принято 10,5 кВ (узел 0); узел, в котором
контролируется сходимость расчета - узел 10 - шина низшего напряжения ТП
«Хомустах».
Параметры линии
Параметры трансформаторов
Параметры нагрузки
Мощность со стороны питания

Потери мощности со стороны питания

Потери мощности в процентах
%
Как показывают расчеты, в целом, потери мощности
в сетях 10 кВ не очень большие (2,55%), а напряжения в узлах отвечают нормам.
.2.3 Расчеты нормальных режимов сетей 0,4 кВ
Расчет нормального режима сети 0,4 кВ
производится на распределительные сети 7 ТП линии «Балыктах»: ТП «Маслоцех»,
«Клуб», «Новый квартал», «Поселок», «Гараж», «Пилорама» и «Школа».
Расчет нормального режима ТП «Маслоцех»:
Параметрическая схема сетей 0,4 кВ ТП «Маслоцех»
приведена в приложении 3. На ТП установлен трансформатор типа ТМ-160/10-0,4,
линия 0,4 кВ исполнена проводами марки АС-25 и АС-16, общая протяженность линии
4,585 км, самая удаленная точка от трансформатора находится в 1 км от центра
питания. От ТП питаются 62 абонента, которые относятся к потребителям третьей
категории.
Фидер «Завод»
Параметры трансформатора
Параметры линии
Параметры нагрузок
Напряжение в узлах:
Фидер «Больница»
Параметры трансформатора
Параметры линии
Параметры нагрузок
Напряжение в узлах:
Анализ нормального режима показал,
что на удаленных точках качество напряжения очень низкое, а именно в узле 59
фидера «Больница» напряжение равно 184 В, что не отвечает нормативным
значениям. Общие потери мощности ТП «Маслоцех» составляют 12,858 %. Таким
образом, распределительные сети ТП «Маслоцех» не соответствуют нормам ПУЭ и
должны быть реконструированы. Аналогично расчет произведен по всем ТП.
Расчет нормального режима ТП «Клуб»
Параметрическая схема сетей 0,4 кВ
ТП «Клуб» с трансформатором ТМ-100 приведена в приложении 4. Общая
протяженность линий 0,4 кВ: 3,85 км.
Результаты расчета нормального
режима ТП «Клуб» следующие:
полная суммарная мощность нагрузки
84,388 кВА;
потери мощности 4,637 кВт, или 5,61
%;
напряжение в самом удаленном узле
211 В.
Расчет нормального режима ТП «Новый
квартал»
Параметрическая схема сетей 0,4 кВ
ТП «Новый квартал» с трансформатором ТМ-100 приведена в приложении 5. Общая
протяженность линий 0,4 кВ: 6,275 км.
Результаты расчета нормального
режима ТП «Новый квартал» следующие:
полная суммарная мощность нагрузки
49,847 кВА;
потери мощности 1,607 кВт, или 3,296
%;
напряжение в удаленном узле 213 В.
Расчет нормального режима ТП
«Поселок»
Параметрическая схема сетей 0,4 кВ
ТП «Поселок» с трансформатором ТМ-250 приведена в приложении 6. Общая
протяженность линий 0,4 кВ: 3,64 км.
Результаты расчета нормального
режима ТП «Поселок» следующие:
полная мощность нагрузки 53,523 кВА;
потери мощности 3,068 кВт, или 5,859
%;
напряжение самом удаленном узле -
202 В.
Расчет нормального режима ТП «Гараж»
Параметрическая схема сетей 0,4 кВ
ТП «Гараж» с трансформатором ТМ-400 приведена в приложении 7. Общая протяженность
линий 0,4 кВ: 3,3 км.
Результаты расчета нормального
режима ТП «Гараж» следующие:
полная мощность нагрузки 202,126
кВт;
потери мощности 19,079 кВт, или
10,118 %;
напряжение в самом удаленном узле -
192 В
Расчет нормального режима ТП
«Пилорама»
Параметрическая схема сетей 0,4 кВ
ТП «Пилорама» с трансформатором ТМ-250 приведена в приложении 8. Общая
протяженность линий 0,4 кВ: 1,13 км.
Результаты расчета нормального
режима ТП «Пилорама» следующие:
полная мощность нагрузки 46,622 кВА;
потери мощности 1,725 кВт, или 4,288
%;
напряжение в самом удаленном узле -
218 В.
Расчет нормального режима ТП «Школа»
Параметрическая схема сетей 0,4 кВ
ТП «Школа» с двумя трансформаторами ТМ-250 приведена в приложении 9. Общая
протяженность линий 0,4 кВ: 160 м.
Результаты расчета нормального
режима ТП «Школа» следующие:
полная мощность нагрузки 31,605 кВА;
потери мощности 1,011 кВт, или 3,2
%;
напряжение в самом удаленном узле -
225 В.
1.2.4 Общие результаты расчета нормального
режима существующей схемы
Результаты расчетов нормальных режимов сетей 0,4
кВ сведены в таблицу 1.2.
Таблица 1.2 - Результаты расчетов нормальных
режимов сетей 0,4 кВ
|
Наименование
КТП, кВА
|
Мощность
Тр-ра, кВА
|
Нагрузка
кВА
|
ДP, кВт
|
ДP, %
|
U, В
|
|
ТП
Маслоцех
|
160
|
86.471
|
10.727
|
12,858
|
184
|
|
ТП
Клуб
|
100
|
84.388
|
4.637
|
5.61
|
211
|
|
ТП
Новый квартал
|
100
|
49.847
|
1.607
|
3.296
|
213
|
|
ТП
Поселок
|
250
|
53.523
|
3.068
|
5.859
|
202
|
|
ТП
Гараж
|
400
|
202.126
|
19.079
|
10.118
|
192
|
|
ТП
Пилорама
|
250
|
46.622
|
1.725
|
4.288
|
218
|
|
ТП
Школа
|
250
|
1.011
|
3.2
|
225
|
|
Итого
|
|
554,582
|
41,854
|
7.54
|
|
Из-за очень значительной протяженности линии
электропередачи в некоторых ТП потери мощности превышают нормативных значений и
качество напряжения удаленных абонентов очень низкое. А именно на ТП «Маслоцех»
и ТП «Гараж» уровни напряжения у некоторых удаленных потребителей выходят
далеко за пределы UН
± 0,05UН.
Таким образом, из анализа расчетов нормальных
режимов существующих сетей, питаемых линией «Балыктах», можно сделать следующие
выводы:
. Распределительные сети ВЛ-10 кВ в
существующем режиме отвечаю нормам, потери составляют 2,55%.
. В сетях 0,4 кВ имеют место большие потери
мощности, достигающие 13 %, причинами которых являются:
а) большая протяженность линий 0,4 кВ;
б) несимметричная нагрузка;
в) высокая удельная нагрузка на одну ТП.
. Трансформаторы некоторых ТП работают с
большой перегрузкой, когда как другие нагружены всего лишь на несколько
процентов.
Так как целью дипломного проекта является
реконструкция сети электроснабжения села Балыктах, обязательной оптимизации
сетей должны подлежать 6 трансформаторных подстанции 10/0,4 кВ, где потери
очень высокие.
1.3 Предложения по улучшению качества
электроснабжения
.3.1 Основные направления мероприятий по
снижению потерь энергии
В связи с неудовлетворительным состоянием
распределительных сетей села необходимо строительство новых линий. Также
необходимо снизить потери напряжений и мощности в линиях. Для этого
предлагается изменить конфигурацию линии ВЛ-10 кВ с переводом ее на защищенный
провод марки СИП-3 до удаленных потребителей с установкой на месте понижающих
трансформаторных подстанций с трансформаторами марки ТМГ (трансформатор
масляный герметичный), полностью реконструировать линии 0,4 кВ с переводом их
на самонесущий изолированный провод марки СИП-2.
Поскольку РАО «ЕЭС России» своим письмом от 26.06.2000
года рекомендовало при выдаче технических условий на подключение абонентов,
проектировании, новом строительстве и техническом перевооружении применять СИП.
1.3.2 Краткая характеристика выбранного
оборудования
Опоры деревянные с железобетонными приставками
Широкое применение деревянных опор обусловлено
главным образом небольшой стоимостью древесины, ее достаточно высокой
механической прочностью, а также природным круглым сортаментом, обеспечивающим
простоту конструкций и наименьшее сопротивление ветровым нагрузкам. Высокие
электроизоляционные свойства древесины позволяют применять на деревянных опорах
меньшее количество подвесных изоляторов, чем на металлических или
железобетонных, а на ВЛ до 10 кВ использовать легкие и дешевые штыревые изоляторы.
Кроме того, в некоторых случаях отпадает необходимость в подвеске
грозозащитного троса и заземлении этих опор. В качестве фундаментов для
деревянных опор используют железобетонные пасынки или сваи.
Деревянные опоры примерно в 1,5 раза дешевле
железобетонных и металлических, но менее долговечны. Для продления срока службы
древесину опор подвергают противогнилостной обработке (антисептированию) на
специальных заводах. Перспективным является использование опор из клееной
древесины, конструкции которых разрабатываются в последнее время. Такую
древесину изготовляют из сосновых досок, пропитанных масляным антисептиком и
склеенных между собой. Применение клееной древесины позволяет повысить срок
службы опор, ликвидировать скрытые пороки, а также использовать короткомерные
столбы.
В России и других странах, богатых лесными
ресурсами (США, Канаде, Швеции, Финляндии), на деревянных опорах сооружают ВЛ
напряжением до 220 кВ.
Для изготовления деревянных опор применяют
сосну, лиственницу и реже - ель. Древесина сосны и лиственницы содержит много
смолы и поэтому хорошо противостоит действию влаги. Стойки опор изготовляют из
стволов деревьев. Прочность древесины в значительной степени зависит от
влажности. При уменьшении влажности в деревянных опорах из-за усушки древесины
нарушаются соединения: ослабляются гайки и бандажи. Чтобы получить древесину,
пригодную для изготовления опор (с влажностью 18-22%), ее сушат. Основным
способом является атмосферная, т. е. естественная сушка на воздухе, которая
хотя и является длительной, но дает наилучшие результаты. В последние годы
применяют высокотемпературную сушку древесины в петролатуме, а также сушку
токами высокой частоты.
На прочность древесины влияют также гниль,
сучки, трещины, косослой и другие повреждения. Самым опасным пороком является
гниль, возникающая поражения древесины грибками. Загнившая древесина
покрывается мелкими трещинами, становится трухлявой и распадается от легкого
удара. Наиболее интенсивное гниение происходит при температуре 20-35 °С и
влажности 25-30%.
Для защиты от гниения древесину пропитывают
маслянистыми и минеральными антисептиками. Лучше всего поддается пропитке
сосна; наружные слои лиственницы и ели пропитываются антисептиками очень плохо.
В качестве маслянистых антисептиков обычно применяют чистое креозотовое масло
или креозотовое масло в смеси с мазутом, который служит растворителем.
Недостатками маслянистых антисептиков являются их вредное воздействие на кожу и
слизистые оболочки человека, а также горючесть. Маслянистыми антисептиками
пропитывают готовые элементы деревянных опор на заводе.
При сборке опор на трассе все места,
подвергавшиеся обработке, дополнительно покрывают более безопасными
минеральными антисептиками: фтористым натрием, динитрофенолом, уралитом,
которые разводят в воде. В ряде зарубежных стран (США, Канаде) для пропитки
древесины широко применяется раствор пентахлорфенола в мазуте или керосине.
Разрабатываются и испытываются и другие синтетические материалы, служащие
одновременно для антисептирования и защиты древесины от возгорания.
Средний срок службы непропитанной древесины
составляет примерно пять лет. Пропитка столбов маслянистыми антисептиками
увеличивает этот срок до 15-25 лет. Поэтому для опор ВЛ разрешается применять
только пропитанные заводским способом сосновые и еловые бревна, а в
исключительных случаях - непропитанную лиственницу воздушной сушки, имеющую
влажность не более 25%. Опоры временных ВЛ (например, для электроснабжения
строительных площадок, земснарядов и др.) также могут быть изготовлены из
непропитанных столбов. Во всех случаях диаметр бревен в верхнем отрубе основных
элементов опор (стоек, пасынков и траверс) должен быть для ВЛ 1, 6 -35, 110 кВ
и выше соответственно не менее 14, 16 и 18 см. Диаметр столбов для
вспомогательных элементов для ВЛ до 1 кВ должен быть не менее 12 см, а для ВЛ
выше 1 кВ - не менее 14 см.
Недостатком деревянных опор является их
относительно легкая возгораемость, причиной которой могут быть пожары, удары
молнии и токи утечки, возникающие при загрязнении или пробое изоляторов. Для
защиты от низовых пожаров расчищают от травы и кустарника площадку радиусом 2 м
вокруг каждой опоры или окапывают ее противопожарной канавкой глубиной 0,4 м и
шириной 0,6 м. Токи утечки обычно вызывают возгорание опоры в местах крепления
изоляторов к траверсе или сочленения деревянных деталей. Хорошая затяжка болтов
и плотное прилегание металлических деталей к древесине обеспечивают уменьшение
электрического сопротивления и снижение токов утечки до безопасных значений.
Самонесущие изолированные провода
Существует 3 основные конструкции СИП:
1) СИП с-4 - без нулевой несущей жилы из
термоупрочненного сплава, представляет собой скрученные в жгут основные
токопроводящие и нулевая жилы, покрытые изоляцией из светостабилизированного
силаносшитого полиэтилена;
2) СИП 2А - вокруг изолированной нулевой
несущей жилы скручены изолированные основные токопроводящие жилы. Несущая
нулевая жила выполнена из алюминиевого сплава ABE высокой прочности. Изоляция
выполнена из светостабилизированного силаносшитого полиэтилена;
) СИП 2 - вокруг неизолированной несущей
нулевой жилы скручены изолированные основные токопроводящие жилы. Несущая
нулевая жила выполнена из алюминиевого сплава ABE высокой прочности. Изоляция
выполнена из светостабилизированного силаносшитого полиэтилена.
Конструкция СИП 2А является самой
распространенной в России, поскольку она надежнее в эксплуатации, так как всю
механическую нагрузку несет на себе изолированная несущая нулевая жила, а
токопроводящие алюминиевые жилы не подвергаются механическим нагрузкам.
СИП предназначен для сооружения линий до 1 кВ с
подвеской проводов на опорах ВЛ, фасадах зданий и сооружениях. Его
рекомендуется использовать во всех климатических районах по ветровой и
гололедной нагрузке при температуре окружающей среды в диапазоне температур окружающего
воздуха -60...+60 °С. Также СИП используется также при сооружении ВЛ с
совместной подвеской проводов ВЛ 6...10 кВ, освещения и линий проводной связи.
Преимущества СИП:
· строительство ВЛИ без специальной
подготовки территории (трассы), отсутствие необходимости в вырубке просеки
перед монтажом;
· простота конструктивного исполнения
опор (отсутствие траверс и изоляторов);
· применение для ВЛИ серийно
выпускаемых стоек, отвечающих требованиям по механической прочности для
соответствующих климатических условий;
· применение на ВЛИ стоек меньшей
высоты, а также уменьшения безопасных расстояний до зданий и других инженерных
сооружений;
· увеличение длины пролета до 60м.;
· отсутствие коротких замыканий (КЗ)
между нулевой несущей и токопроводящими жилами;
· повышение надежности в зонах
интенсивного образования гололеда и налипания мокрого снега;
· безопасная работа вблизи ВЛИ до 1
кВ;
· возможность проводить техническое
обслуживание и ремонт ВЛИ под напряжением, без отключения потребителей;
· возможность прокладки СИП по фасадам
зданий, что может исключить установку части опор;
· простота монтажных работ и,
соответственно, уменьшение сроков строительства;
· сокращение объемов и времени
аварийно-восстановительных работ;
· резкое снижение (более 80%) эксплуатационных
затрат по сравнению с традиционными ВЛН. Это обусловливается высокой
надежностью и бесперебойностью электроснабжения потребителей;
· высокая механическая прочность жил
и, соответственно, меньшая вероятность их обрыва;
· использование СИП на ВЛИ снижает
вероятность хищения электроэнергии, так как изолированные, скрученные между
собой жилы исключают самовольное подключение к линии путем выполнения наброса
на провода;
· значительное снижение случаев
вандализма и воровства.
Трансформатор масляный герметичный
Трансформаторы изготавливаются в герметичном
исполнении с полным заполнением маслом, без расширителя и без воздушной
подушки. Вместо расширителя применены гофрированные баки, которые обеспечивают
необходимую поверхность охлаждения без применения съёмных охладителей.
Расчётный срок службы трансформатора - 25 лет
Преимущества ТМГ:
· контакт масла с окружающей средой
полностью отсутствует, что исключает увлажнение, окисление и шлакообразование
масла;
· перед заливкой масло дегазируется,
заливка его в бак производится при глубоком вакууме, что намного увеличивает
электрическую прочность изоляции трансформатора;
· масло в трансформаторах ТМГ (в
отличие от трансформаторов типа ТМ и ТМЗ) не меняет своих свойств в течение
всего срока службы трансформатора, что исключает проведение испытаний масла
трансформатора как при его хранении, так при вводе в эксплуатацию и в процессе
эксплуатации;
· не требуется проведение
профилактических, текущих и капитальных ремонтов в течение всего срока
эксплуатации трансформатора. Суммарные расходы на выполнение этих работ в
течение срока эксплуатации трансформаторов, в зависимости от мощности, могут
достигать от 40 до 63 % его полной стоимости.
.3.3 Расчеты нормальных режимов сетей 10 кВ
после реконструкции
Расчетная схема линии «Балыктах» после
реконструкции приведена на Рис. 1.5. Предлагается сменить магистральные провода
марки АС-35 на провода марки СИП-3 сечением 70 мм2 - 3 500 м и 50 мм2
- 2260 м.
Построить две МТП: ТП «Больница» и ТП «АТС» с
трансформатором типа ТМГ мощностью 63 кВА.
После реконструкции потери мощности сети 10 кВ
составят 10,307 кВт или 2%.
Рисунок 1.4 - Схема линии 10 кВ после
реконструкции
1.3.4 Расчеты нормальных режимов сетей 0,4 кВ
после реконструкции
Расчет нормального режима ТП «Маслоцех»
Параметрическая схема после реконструкции сетей
0,4 кВ ТП «Маслоцех» приведена в приложении 3. Предлагается:
1. Установить новую ТП мачтового типа с
трансформатором ТМГ-63 в узле 20 фидера Больница;
2. Подвести к новому ТП ВЛ проводом марки
СИП-3 с сечением 3х50 с общей протяженностью 400 м;
. Демонтировать участки линии 0,4 кВ
между узлами 17 и 18 фидера Больница длиной 100 м;
4. Заменить провода марки АС-25 на СИП-2
3х35+1х50, заменить провода марки АС-16 на СИП-2 2х16, общая протяженность
новой линии 4485 м.
После реконструкции расчет нормального режима
показал, что
Потери мощности 1,669 кВт, или 2,915%;
Напряжение в самом удаленном узле
соответствует нормам ПУЭ.
Расчет нормального режима ТП «Клуб»
Заменить провода марки АС-25 на СИП-2 3х35+1х50,
заменить провода марки АС-16 на СИП-2 2х16, общая протяженность новой линии
3850 м.
После реконструкции расчет нормального режима
показал, что
Потери мощности 3,198 кВт, или 3,807%;
напряжение в самом удаленном узле
соответствует нормам ПУЭ.
Расчет нормального режима ТП «Новый квартал»
Заменить провода марки АС-25 на СИП-2 3х35+1х50,
заменить провода марки АС-16 на СИП-2 2х16, общая протяженность новой линии
4485 м.
После реконструкции расчет нормального режима
показал, что
Потери мощности 1,755 кВт, или 3,589%;
Напряжение в самом удаленном узле соответствует
нормам ПУЭ.
Расчет нормального режима ТП «Поселок»
Заменить провода марки АС-25 на СИП-2 3х35+1х50,
заменить провода марки АС-16 на СИП-2 2х16, общая протяженность новой линии
4485 м.
После реконструкции расчет нормального режима
показал, что
Потери мощности 3,198 кВт, или 3,807%;
Напряжение в самом удаленном узле соответствует
нормам ПУЭ.
Расчет нормального режима ТП «Гараж»
Параметрическая схема после реконструкции сетей
0,4 кВ ТП «Гараж» приведена в приложении 6. Предлагается:
1. Установить новую ТП мачтового типа с
трансформатором ТМГ-63 в узел 11 фидера Котельная;
2. Подвести к новому ТП ВЛ проводом марки
СИП-3 с сечением 3х50 с общей протяженностью 200 м;
. Демонтировать участки линии 0,4 кВ
между узлами 8 и 9 фидера Котельная длиной 50 м;
. Заменить провода марки АС-25 на СИП-2
3х35+1х50, заменить провода марки АС-16 на СИП-2 2х16, общая протяженность
новой линии - 3250 м.
После реконструкции расчет нормального режима
показал, что
Потери мощности 6,293 кВт, или 4,47%;
Напряжение в самом удаленном узле
соответствует нормам ПУЭ.
Расчет нормального режима ТП «Пилорама»
Заменить провода марки АС-25 на СИП-2 3х35+1х50,
заменить провода марки АС-16 на СИП-2 2х16, общая протяженность новой линии
4485 м.
После реконструкции расчет нормального режима
показал, что
Потери мощности 1,871 кВт, или 4,635%;
Напряжение в самом удаленном узле соответствует
нормам ПУЭ.
1.3.5 Общие результаты расчета нормального
режима после реконструкции
Результаты расчетов нормальных режимов сетей 0,4
кВ после реконструкции сведены в таблице 1.3. Реконструкции подлежали 6 ТП: ТП
«Клуб», ТП «Поселок», ТП «Пилорама», ТП «Маслоцех», и ТП «Гараж». ТП «Школа» не
нуждается в реконструкции. Количество материалов, необходимых для реализации
проекта по реконструкции показаны в таблице 1.4, т.е. на строительство мачтовых
трансформаторных подстанций, ВЛЗ-10 кВ и ВЛИ-0,4 кВ.
Таблица 1.3 - Результаты расчетов нормальных
режимов после реконструкции
|
Наименование
КТП, кВА
|
Мощность
Тр-ра,
кВА
|
Нагрузка
кВА
|
ДP, кВт
|
ДP, %
|
U, В
|
|
ТП
Маслоцех
|
160
|
58.39
|
1.669
|
2.915
|
221
|
|
ТП
Больница
|
63
|
29.929
|
0.142
|
0.504
|
227
|
|
ТП
Клуб
|
100
|
85.658
|
3.198
|
3.807
|
215
|
|
ТП
Новый квартал
|
100
|
48.904
|
1.755
|
3.589
|
223
|
|
ТП
Поселок
|
250
|
52.411
|
2.095
|
4.076
|
216
|
|
ТП
Гараж
|
400
|
150.83
|
6.293
|
4.47
|
212
|
|
ТП
АТС
|
63
|
29.256
|
0.234
|
0.823
|
228
|
|
ТП
Пилорама
|
250
|
46.428
|
1.871
|
4.635
|
222
|
|
ТП
Школа
|
250
|
31.605
|
1.011
|
3.2
|
225
|
|
Итого
|
|
533.408
|
18.265
|
3.42
|
|
Таблица 1.4 - Материал, необходимый для
реконструкции
|
Наименование
|
Единица
измерения
|
Количество
|
|
ТМГ-63
10/0,4 кВ
|
шт.
|
2
|
|
СИП-2
3х35+1х50
|
м
|
21200
|
|
СИП-2
2х16
|
м
|
3705
|
|
СИП-3
3х70
|
м
|
3500
|
|
СИП-3
3х50
|
м
|
2260
|
Таким образом, из анализа расчетов нормальных
режимов сетей после реконструкции, можно сделать несколько основных выводов:
. Суммарные потери распределительных сетей 0,4
кВ снизились от 55,536 кВт до 28,572 кВт
. Потери в большей части сетей 0,4 кВ не
превышают 5%, напряжения у конечных потребителей находятся в пределах
допустимых согласно ПУЭ.
.4 Аварийные режимы для выбора коммутационных
аппаратов
.4.1 Программа расчета токов короткого замыкания
При проектировании и эксплуатации электрических
установок, и систем для решения многих технических вопросов и задач требуется
предварительно произвести ряд расчетов, среди которых заметное место занимают
расчеты электромагнитных переходных процессов и, в частности, процессов при
внезапном КЗ. Одной из главных задач таких расчетов является выбор
коммутационных аппаратов и проводников и их проверка по условиям работы при КЗ.
В современных электрических системах схемы
питающих электрических сетей могут быть весьма сложными. Число узлов может
исчисляться сотнями. Поэтому для упрощения расчета токов КЗ в таких схемах
автором была разработана универсальная программа расчета токов короткого замыкания.
Программа расчета токов КЗ, также, как и программа расчета нормального режима
сетей, выполнена в среде MathCAD.
Она позволяет вычислить значения токов всех видов короткого замыкания:
трехфазного, однофазного, двухфазного КЗ и двухфазного КЗ на землю. Помимо
этого, с помощью программы можно вычислить ударные токи короткого замыкания и
постоянную времени кз-цепи.
Благодаря простоте пользования средой MathCAD
и наглядным процедурам задания параметров отдельных элементов сети (приведены в
приложениях), программой может легко пользоваться любой инженер - электрик.
Инструкции по использованию универсальной
программой:
. Задать максимальное количество узлов в схеме
(примечание: в программе MathCAD
отчет узлов начинается с 0, т.е. если в схеме имеется 100 узлов, то количество
узлов для листинга будет 100-1=99).
. Ввести параметры всех элементов сети (для
каждого элемента сети были разработаны отдельные процедуры):
· Линия: YL(m,n,L,r,x,g,b,r0,x0,g0,b0)
m, n
- номера узлов, между которыми включена линия;
L - длина линии, км;
r, x,
g, b
- активное и реактивное сопротивление, активная и реактивная проводимости
одного километра линии в схеме прямой последовательности;
r0, x0,
g0, b0
- активное и реактивное сопротивление, активная и реактивная проводимости одного
километра линии в схеме нулевой последовательности.
· Двухобмоточный трансформатор: Y2Т(а,n,S,Uv,Un,Ukz%,ДP)
a - номер узла со
стороны высшего напряжения;
n - номер узла со
стороны низшего напряжения;
S - мощность
трансформатора, МВА;
Uv, Un
- высшее и низшее напряжения, кВ;
Ukz% -
напряжение короткого замыкания трансформатора, %;
ДP - потери
холостого хода трансформатора, МВт.
· Трехобмоточный трансформатор: Y3Т(m,n,a,S,Uv,Uc,Un,Ukvc%,Ukvn%,Ukcn%,ДP,x00т)
m, n, a
- номера узлов со стороны высшего, среднего и низшего напряжений
соответственно;
S - мощность
трансформатора, МВА;
Uv, Uc,Un
- высшее, среднее и низшее напряжения, кВ;
Ukvc%,Ukvn%,Ukcn%
- напряжения КЗ между обмотками высшего и среднего, высшего и низшего, среднего
и низшего напряжений %;
ДP
-
потери холостого хода трансформатора, МВт.
· Автотрансформатор: YАТ(m,n,a,S,
Uv,Uc,Un,
Ukvc%,Ukvn%,
Ukcn%,ДP)
m, n, a
- номера узлов со стороны высшего, среднего и низшего напряжений
соответственно;
мощность автотрансформатора, МВА;
Uv, Uc,Un
- высшее, среднее и низшее напряжения, кВ;
Ukvc%,Ukvn%,Ukcn%
- напряжения КЗ между обмотками высшего и среднего, высшего и низшего, среднего
и низшего напряжений %;
ДP - потери
холостого хода автотрансформатора, МВт.
· Трансформатор с расщепленными
параметрами: YТR(m,n,a,S,Uv,Un,Ukz%,ДP)
m, n, a
- номера узлов со стороны высшего и двух низших напряжений соответственно;
S - мощность
трансформатора, МВА;
Uv, Un
- высшее и низшее напряжения, кВ;
Ukz% -
напряжение короткого замыкания трансформатора, %;
ДP - потери
холостого хода трансформатора, МВт.
· Реактор:
YR(m,n,I,Xp, ДP), n
- номера узлов, между которыми включается реактор;
I - номинальный ток
реактора, кА;
Xр - сопротивление
реактора, Ом;
ДP - потери
активной мощности в реакторе, МВт.
· Генератор YG(m,P,U,cosц,x``d,x2)
m - номер узла, к
которому подключен генератор;
Р - активная мощность генератора, МВт;
U - номинальное
напряжение генератора, кВ;
сosц
- номинальный коэффициент мощности генератора;
x``d
- сверхпереходное индуктивное сопротивление, о.е.;
х2 - сопротивление.
· Система: YS(m,U,S)
m - номер узла,
через который схема имеет связь с энергосистемой;
U - напряжение
системы, кВ;
S - мощность
системы, МВА.
. Проверить правильность заполнения матриц
параметров расчетной схемы. Значения напряжений U1
в узлах должны быть равными напряжениям нормального режима.
После выполнения этих инструкций, значения токов
всех видов КЗ и ударных токов автоматически выводятся на экран.
1.4.2 Расчет токов короткого замыкания
Расчет токов КЗ рассмотрим на примере
реконструированной ТП «Маслоцех» с трансформатором ТМГ-63/10-0,4. Воздушная
линия 10 кВ выполнена проводом марки СИП3, ВЛИ 0,4 кВ - проводом марки СИП-2.
Расчетная схема приведена в приложении 3.
. Количество узлов в схеме: uzel
= 25
. Заполняем параметры процедуры системы, двухобмоточного
трансформатора и линии:
3. Проверка правильности заполнения
матриц:
.4.3 Выбор коммутационной аппаратуры
Выбор разъединителей
Разъединитель - это контактный
коммутационный аппарат, предназначенный для отключения и включения электрической
цепи без тока или с незначительным током, и который для обеспечения
безопасности имеет между контактами в отключенном положении изоляционный
промежуток.
Выбор разъединителей на трансформатор ТМГ-100/10
Расчетный максимальный ток:
Таблица 1.5 - Паспортные данные
разъединителя
|
Тип
разъединителя
|
Амплитуда
предельного сквозного тока короткого замыкания, кА
|
Ток
термической стойкости, кА
|
Масса,
кг
|
|
РЛН-10/200
|
15
|
5(10с)
|
12
|
Выбираем разъединитель со следующими данными:
Проверка на динамическую стойкость:
Проверка на термическую стойкость.
Аппарат термически стоек если:
Вк < Iтерм2*(tn+Tа)
где Вк - тепловой импульс короткого
замыкания, кА2*с;
tn - время
протекания токов короткого замыкания через разъединитель;
tзт - время действия
защиты трансформатора tзт
= 0,1 с;
tзл - время действия
быстродействия защиты tзл
= 0,1 с;
tз - время
срабатывания защиты в начале линии tз
= 0,1 с;
Выбранный разъединитель РЛН-10/200
по всем условиям подходит.
Выбор предохранителей
Предохранитель - это коммутационный
электрический аппарат, предназначенный для отключения защищаемой цепи
разрушением специально предусмотренных для этого токоведущих частей под
действием тока, превышающего определённое значение.
Выбираем предохранитель ПКТ -
10/200.
Проверка на динамическую стойкость:
Проверка на термическую стойкость:
Аппарат термически стоек если:
Вк < Iтерм2*(tn+Tа)
Вк - тепловой импульс короткого
замыкания кА2*с
tn - время
протекания токов короткого замыкания через разъединитель;
tзт - время
действия защиты трансформатора tзт = 0,1 с;
tзл - время
действия быстродействия защиты tзл = 0,1 с;
tз - время
срабатывания защиты в начале линии tз = 0,1 с;
Выбранный предохранитель ПКТ-10/200
удовлетворяет всем условиям.
Выбор ограничителей перенапряжения
(ОПН)
Ограничитель перенапряжений является
нелинейным резистором с высокой нелинейностью. ОПН не имеет искровых
промежутков и непосредственно присоединяется параллельно защищаемому объекту.
При рабочем напряжении ток через ОПН составляет мА, а при перенапряжениях токи
достигают 100 - 1000 А.
На стороне ВН выбираем ОПН на 10 кВ,
а на стороне 0,4 кВ выбираем ОПН на 0,4 кВ.
Выбор автоматических выключателей
Автоматический выключатель (автомат)
- это коммутационный электрический аппарат, предназначенный для проведения тока
цепи в нормальных режимах и для автоматического отключения электроустановок при
перегрузках и токах КЗ, чрезмерных понижениях напряжения и других аварийных
режимах.
Выбираем автоматические выключатели
на стороне 0,4 кВ типа ВА57ФА37 с номинальным током 250 А.
Вывод
Потребители с. Балыктах получают
питание по одноцепной ВЛ напряжением 35 кВ. От линии получают питание 7 ТП,
которые в свою очередь, питают потребителей села. Как показал, анализ
нормального режима, потери распределительных сетей 10 кВ не превышают
нормативного. А распределительные сети 0,4 кВ нуждаются в оптимизации, т.к.
потери сетей некоторых ТП превышают нормативных значений. Таким образом, были
реконструированы 6 ТП. После предложенных мероприятий потери нормализовались.
Также в этом разделе сделан расчет
аварийного режима, с целью выбора коммутационной аппаратуры и проверки на
допустимый ток выбранных проводов.
Таким образом, после анализа работы
распределительных сетей с. Балыктах после предложенных мероприятий, с точки
зрения потерь и качества электроэнергии, сети электроснабжения села отвечают
нормам.
2. Охрана труда
.1 Введение
Охрана труда - система
обеспечения безопасности жизни и здоровья работников в процессе трудовой
деятельности, включающая правовые, социально-экономические,
организационно-технические, санитарно-гигиенические, лечебно-профилактические,
реабилитационные и другие мероприятия.
Межотраслевые правила по охране
труда (правила безопасности) при эксплуатации электроустановок распространяются
на работников организаций независимо от форм собственности и
организационно-правовых форм и других физических лиц, занятых техническим
обслуживанием электроустановок, проводящих в них оперативные переключения,
организующих и выполняющих строительные, монтажные, наладочные, ремонтные
работы, испытания и измерения.
2.2 Требования к персоналу
. Работники, принимаемые для выполнения работ в
электроустановках, должны иметь профессиональную подготовку, соответствующую
характеру работы. При отсутствии профессиональной подготовки такие работники
должны быть обучены (до допуска к самостоятельной работе) в специализированных центрах
подготовки персонала (учебных комбинатах, учебно-тренировочных центрах и т.п.).
. Профессиональная подготовка персонала,
повышение его квалификации, проверка знаний и инструктажи проводятся в
соответствии с требованиями государственных и отраслевых нормативных правовых
актов по организации охраны труда и безопасной работе персонала.
. Проверка состояния здоровья работника
проводится до приема его на работу, а также периодически, в порядке,
предусмотренном Минздравом России. Совмещаемые профессии должны указываться
администрацией организации в направлении на медицинский осмотр.
. Электротехнический персонал до допуска к
самостоятельной работе должен быть обучен приемам освобождения пострадавшего от
действия электрического тока, оказания первой помощи при несчастных случаях.
5. Каждый работник, если он не
может принять меры к устранению нарушений настоящих Правил, должен немедленно
сообщить вышестоящему руководителю о всех замеченных им нарушениях и
представляющих опасность для людей неисправностях электроустановок, машин,
механизмов, приспособлений, инструмента, средств защиты и т.д.
2.3 Организационные мероприятия, обеспечивающие
безопасность работ
Организационными мероприятиями, обеспечивающими
безопасность работ в электроустановках, являются:
· оформление работ нарядом,
распоряжением или перечнем работ, выполняемых в порядке текущей эксплуатации;
· допуск к работе;
· оформление перерыва в работе,
перевода на другое место, окончания работы.
Ответственными за безопасное ведение работ
являются:
· выдающий наряд, отдающий
распоряжение, утверждающий перечень работ, выполняемых в порядке текущей
эксплуатации;
· ответственный руководитель работ;
· допускающий;
· производитель работ;
· наблюдающий;
· член бригады.
Выдающий наряд, отдающий распоряжение определяет
необходимость и возможность безопасного выполнения работы. Он отвечает за
достаточность и правильность указанных в наряде (распоряжении) мер
безопасности, за качественный и количественный состав бригады и назначение
ответственных за безопасность, а также за соответствие выполняемой работе групп
перечисленных в наряде работников.
Ответственный руководитель работ назначается,
как правило, при работах в электроустановках напряжением выше 1000 В. В
электроустановках напряжением до 1000 В ответственный руководитель может не
назначаться.
Ответственный руководитель работ отвечает за
выполнение всех указанных в наряде мер безопасности и их достаточность, за
принимаемые им дополнительные меры безопасности, за полноту и качество целевого
инструктажа бригады, в том числе проводимого допускающим и производителем
работ, а также за организацию безопасного ведения работ.
Необходимость назначения ответственного
руководителя работ определяет выдающий наряд, которому разрешается назначать
ответственного руководителя работ и при других работах помимо перечисленных.
Допускающий отвечает за правильность и
достаточность принятых мер безопасности и соответствие их мерам, указанным в
наряде, характеру и месту работы, за правильный допуск к работе, а также за
полноту и качество проводимого им инструктажа членов бригады.
Производитель работ отвечает:
за соответствие подготовленного рабочего места
указаниям наряда, дополнительные меры безопасности, необходимые по условиям
выполнения работ;
за четкость и полноту инструктажа членов бригады;
за наличие, исправность и правильное применение
необходимых средств защиты, инструмента, инвентаря и приспособлений;
за безопасное проведение работы и соблюдение
настоящих Правил им самим и членами бригады;
за осуществление постоянного контроля за членами
бригады.
Наблюдающий должен назначаться для надзора за
бригадами, не имеющими права самостоятельно работать в электроустановках.
Ответственным за безопасность, связанную с
технологией работы, является работник, возглавляющий бригаду, который входит в
состав и должен постоянно находиться на рабочем месте. Его фамилия указывается
в строке «Отдельные указания» наряда.
Каждый член бригады должен выполнять требования настоящих
Правил и инструктивные указания, полученные при допуске к работе и во время
работы, а также требования инструкций по охране труда соответствующих
организаций.
.4 Меры безопасности при выполнении отдельных
работ
Мачтовые (столбовые) ТП и КТП
. При работах на оборудовании мачтовых и
столбовых ТП и КТП без отключения питающей линии напряжением выше 1000 В
разрешаются лишь те осмотры и ремонты, которые возможно выполнять, стоя на
площадке и при условии соблюдения расстояний до токоведущих частей, находящихся
под напряжением, указанных в табл. 1.1. Если эти расстояния меньше допустимых,
то работа должна выполняться при отключении и заземлении токоведущих частей
напряжением выше 1000 В.
. Допуск к работам на мачтовых ТП и КТП
киоскового типа независимо от наличия или отсутствия напряжения на линии должен
быть произведен только после отключения сначала коммутационных аппаратов
напряжением до 1000 В, а затем линейного разъединителя напряжением выше 1000 В
и наложения заземления на токоведущие части подстанции. Если возможно подача
напряжения со стороны 383/220 В, то линии этого напряжения должны быть
отключены с противоположной питающей стороны, приняты меры против их ошибочного
или самопроизвольного включения, а на подстанции на эти линии до коммутационных
аппаратов наложены заземления.
. На мачтовых трансформаторных подстанциях,
переключательных пунктах и других устройствах, не имеющих ограждений, приводы
разъединителей, выключателей нагрузки, шкафы напряжением выше 1000 В и щиты
напряжением до 1000 В должны быть заперты на замок.
Стационарные лестницы на площадке обслуживания
должны быть сблокированы с разъединителями и заперты на замок.
Воздушные
линии электропередачи
Работы
на опорах и с опорами
1. Работы по замене элементов опор, демонтажу
опор и проводов ВЛ должны выполняться по технологической карте или ППР.
. Подниматься на опору и работать на ней
разрешается только после проверки достаточной устойчивости и прочности опоры,
особенно ее основания.
. Прочность деревянных опор должна проверяться
замером загнивания древесины с откапыванием опоры на глубину не менее 0,5 м.
Для определения прочности железобетонных опор и приставок должно проверяться
отсутствие недопустимых трещин в бетоне, оседания или вспучивания грунта вокруг
опоры, разрушения бетона опоры (приставки) с откапыванием грунта на глубину не
менее 0,5 м.
. На металлических опорах должно проверяться
отсутствие повреждений фундаментов, наличие всех раскосов и гаек на анкерных
болтах, состояние оттяжек, заземляющих проводников.
. Необходимость и способы укрепления опоры,
прочность которой вызывает сомнение (недостаточное заглубление, вспучивание
грунта, загнивание древесины, трещины в бетоне), должны определяться на месте
производителем или ответственным руководителем работ.
Работы по укреплению опоры с помощью растяжек
следует выполнять без подъема на опору, т.е. с телескопической вышки или
другого механизма для подъема людей с установленной рядом опоры, либо применять
для этого специальные раскрепляющие устройства, для навески которых не требуется
подниматься по опоре.
Подниматься по опоре разрешается только после ее
укрепления.
Опоры, не рассчитанные на одностороннее тяжение
проводов и тросов и временно подвергаемые такому тяжению, должны быть
предварительно укреплены во избежании их падения.
До укрепления опор запрещается нарушать целость
проводов и снимать вязки на опорах.
. Подниматься на опору разрешается членам
бригады, допущенным к верхолазным работам и имеющим следующие группы:
III - при всех
видах работ до верха опоры;
II - при
работах, выполняемых с отключением ВЛ, до верха опоры, а при работах на
нетоковедущих частях неотключенной ВЛ - не выше уровня, при котором от головы
работающего до уровня нижних проводов этой ВЛ остается расстояние 2 м.
Исключение составляют работы по окраске опор (п.4.15.17 настоящих Правил)
Отдельные виды работ на высоте должны выполнять
не менее 2 работников, имеющих группы, установленные настоящими Правилами для
выполнения этих работ.
. При подъеме на деревянную и железобетонную
опоры строп предохранительного пояса следует заводить за стойку.
Не разрешается на угловых опорах со штыревыми
изоляторами подниматься и работать со стороны внутреннего угла.
При работе на опоре следует пользоваться
предохранительным поясом и опираться на оба когтя (лаза) в случае их применения.
При работе на стойке опоры располагаться следует
таким образом, чтобы не терять из виду ближайшие провода, находящиеся под
напряжением.
При замене деталей опоры должна быть исключена
возможность ее смещения или падения.
. Выбирать схему подъема груза и размещать
подъемные блоки следует с таким расчетом, чтобы не возникали усилия, которые
могут вызвать повреждение опоры.
Работа
на опорах при совместной подвеске на них нескольких линий, на вводах в дома
1. При производстве работ с опоры,
телескопической вышки, гидроподъемника без изолирующего элемента или другого
механизма для подъема людей расстояние от работника, применяемого инструмента,
приспособлений, канатов, оттяжек до провода (электропередачи, радиотрансляции,
телемеханики), находящегося под напряжением до 1000 В, должно быть не менее 0,6
м.
. При производстве работ, при которых не
исключена возможность приближения к проводам (электропередачи, связи,
радиотрансляции, телемеханики) на расстояние менее 0,6 м, эти провода должны
быть отключены и заземлены на месте производства работ.
. Работы по перетяжке и замене проводов на
воздушных линиях напряжением до 1000 В и на линиях уличного освещения,
подвешенных на опорах линий напряжением выше 1000 В, должны выполняться с
отключением всех линий напряжением до и выше 1000 В и заземлением их с двух
сторон участка работ.
Работы следует выполнять по наряду бригадой в
составе не менее двух работников; производитель работ должен иметь группу IV.
Работы
без снятия напряжения
1. При выполнении работ на ВЛ без снятия
напряжения безопасность персонала обеспечивается по одной из двух схем:
Первая схема. Провод под напряжением - изоляция
- человек - земля. Схема реализуется двумя методами:
работа в контакте, когда основным защитным
средством являются диэлектрические перчатки и изолированный инструмент. Этим
методом выполняются работы на ВЛ напряжением до 1000 В;
работа на расстоянии, когда работа выполняется с
применением основных (изолирующие штанги, клещи) и дополнительных
(диэлектрические перчатки, боты, накладки) электрозащитных средств. Этот метод
применяется на ВЛ напряжением выше 1000 В.
Вторая схема. Провод под напряжением - человек -
изоляция - земля. Работы по этой схеме допускаются при следующих условиях:
изоляция работающего от земли специальным
устройством соответствующего напряжения;
применение экранирующего комплекта по ГОСТ
12.4.172;
выравнивание потенциалов экранирующего
комплекта, рабочей площадки и провода специальной штангой для переноса
потенциала. Расстояние от работника до заземленных частей и элементов
оборудования при работах должно быть не менее расстояния, указанного в табл.
1.1.
. Конкретные виды работ под потенциалом провода
должны выполняться по специальным инструкциям или по технологическим картам,
ПОР (ППР).
. Работники, имеющие право выполнения работ под
потенциалом провода (с непосредственным касанием токоведущих частей) ВЛ
напряжением выше 1000 В, должны иметь группу IV,
а остальные члены бригады - группу III.
. Не разрешается прикасаться к изоляторам и
арматуре изолирующих подвесок, имеющих иной, чем провод, потенциал, а также
передавать или получать инструмент или приспособления работникам, не
находящимся на той же рабочей площадке, при выполнении работ с площадки
изолирующего устройства, находящегося под потенциалом провода.
. Не разрешается находиться в зоне возможного
выхлопа газов при приближении внешнего электрода разрядника к проводу или
отводе электрода при снятии разрядника. Приближать или отводить внешний
электрод разрядника следует с помощью изолирующей штанги.
Не разрешается приближаться к изолированному от
опоры молниезащитному тросу на расстояние менее 1 м.
. При использовании троса в схеме плавки
гололеда допустимое расстояние приближения к тросу должно определяться в
зависимости от напряжения плавки.
. Не разрешается работать на ВЛ и ВЛС,
находящихся под напряжением, при тумане, дожде, снегопаде, в темное время
суток, а также при ветре, затрудняющем работы на опорах.
Работы
на ВЛ напряжением 6-20 кВ с проводами, имеющими защитное покрытие (ВЛЗ 6-20 кВ)
1. Работа на проводах ВЛЗ 6-20 кВ должна
проводиться с отключением ВЛ.
. Расстояние от работников до проводов ВЛ и
других элементов, соединенных с проводами, расстояние от проводов ВЛ до
механизмов и грузоподъемных машин должно быть не менее указанных в таблице 2.1.
Расстояние от провода с защитным покрытием до деревьев должно быть не менее
0,55 м.
. На не отключённой ВЛ допускается выполнять
работы по удалению набросов и ветвей деревьев с применением изолирующих штанг.
При выполнении указанных работ без применения защитных средств линия должна
быть отключена и заземлена.
Таблица 2.1 - Допустимые расстояния до
токоведущих частей, находящихся под напряжением
|
Напряжение,
кВ
|
Расстояние
от людей и применяемых ими инструментов и приспособлений от временных
ограждений, м
|
Расстояние
от механизмов и грузоподъемных машин в рабочем и транспортном положении, от
стропов, грузозахватных приспособлений и грузов, м
|
|
до
1 на ВЛ
|
0,6
|
1,0
|
|
до
1 в остальных электроустановках
|
Не
нормируется (без прикосновения)
|
1,0
|
|
1-35
|
0,6
|
1,0
|
Работы
на ВЛ напряжением 0,38 кВ с проводами, имеющими изолирующее покрытие (ВЛИ 0,38
кВ)
1. Работы на ВЛИ 0,38 кВ могут выполняться с
отключением или без отключения ВЛ.
. Работы с отключением ВЛИ 0,38 кВ выполняются
при необходимости замены жгута проводов целиком, при разъединении или
соединении (одного или нескольких) проводов на линиях, проходящих во взрыво- и
пожароопасных зонах (вблизи бензоколонок, газораспределительных станций и
т.п.).
Допускается отключение не всей линии, а только
провода, на котором предстоит работа. Провод, после его определения по
маркировке и проверки отсутствия на нем напряжения, должен быть отключен со
всех сторон, откуда на него может быть подано напряжение, и заземлен на месте
работы.
. Без снятия напряжения на ВЛИ 0,38 кВ могут
выполняться работы по:
· замене опор и их элементов, линейной
арматуры;
· перетяжке проводов;
· замене соединительных,
ответвительных и натяжных зажимов;
· подключению или отсоединению
ответвлений к электроприемникам;
· замене участка или восстановлению
изоляции отдельного фазного провода.
. При выполнении работ без снятия напряжения на
самонесущих изолированных проводах с неизолированным нулевым проводом
необходимо изолировать нулевой провод и металлическую арматуру с помощью
изолирующих накладок и колпаков.
. Не допускается работа на ВЛИ 0,38 кВ без
снятия напряжения в случаях:
· отключения ВЛ, вызванного ошибкой
бригады;
· обнаружения повреждения на ВЛ,
ликвидация которого невозможна без нарушения технологии работ;
· отсутствия или неисправности
технических средств и средств защиты;
· сильного дождя, снегопада, густого
тумана, обледенения опор (при необходимости подъема на опоры);
· других обстоятельств, угрожающих
безопасности работ.
. Работа на ВЛИ 0,38 кВ без снятия напряжения
должна выполняться по наряду. Допускается выдавать один наряд для работы на
различных участках одной или нескольких ВЛ с поочередным оформлением допуска на
каждое рабочее место.
. Бригада, выполняющая работы без снятия
напряжения должна состоять не менее чем из двух работников - производителя
работ, имеющего группу IV,
и члена бригады, имеющего группу III.
Производитель работ и член бригады должны пройти
подготовку и получить право на работы без снятия напряжения на ВЛИ 0,38 кВ, а
также допуск к верхолазным работам, о чем должна быть сделана соответствующая
запись в строке «Свидетельство на право проведения специальных работ»
удостоверения о проверке знаний норм и правил работы в электроустановках.
2.5 Последствия при поражении
электротоком
Проходя через организм человека, электрический
ток производит термическое, электролитическое и биологическое воздействие,
приводящее к местным или общим электротравмам.
Электротравмы - травмы,
вызываемые воздействием электрического тока или электрической дуги (ГОСТ
12.1.009-76 ССБТ. «Электробезопасность. Термины и определения»).
При местных электротравмах
происходит местное нарушение тканей организма - электрические ожоги,
возникающие при контакте с токоведущими частями оборудования или электрической
дугой.
Под общими электротравмами, или
электрическими ударами, понимается возбуждение тканей организма проходящим
через них электрическим током, сопровождающееся сокращением мышц. Электрические
удары имеют 4 степени тяжести:
• I
- судорожное сокращение мышц без потери сознания;
• II
- судорожное сокращение мышц с потерей сознания, без остановки дыхания и работы
сердца;
• III
- потеря сознания и нарушение дыхания или работы сердца;
• IV
- клиническая смерть, т.е. отсутствие дыхания и кровообращения.
.6 Доврачебная помощь
пострадавшим от воздействия электрического тока
Первая доврачебная помощь при
поражениях электрическим током состоит из двух этапов: освобождение
пострадавшего от действия электрического токи и оказание ему медицинской
помощи.
Освобождение пострадавшего от действия тока
может быть осуществлено несколькими способами. Наиболее простой и верный способ
- это отключение соответствующей части электроустановки. Если отключение быстро
произвести по какой - либо причине нельзя (например, далеко расположен
выключатель), можно при напряжении до 1000 В перерубить провод топором с
деревянной рукояткой или оттянуть пострадавшего от токоведущей части, взявшись
за его одежду, если она сухая, отбросить от него провод с помощью деревянной
палки и т.н.
При напряжении свыше 1000 В
следует применять диэлектрические перчатки, боты и, в необходимых случаях,
изолирующую штангу или изолирующие клещи.
Если пострадавший в сознании,
но до этого был в обмороке или продолжительное время находился под воздействием
тока, ему необходимо обеспечить полный покой до прибытия врача или срочно
доставить его в лечебное учреждение. При отсутствии сознания, но сохранившемся
дыхании нужно ровно и удобно уложить пострадавшего на мягкую подстилку,
расстегнуть пояс и одежду, обеспечить приток свежего воздуха. Следует давать
нюхать нашатырный спирт, обрызгивать водой, растирать и согревать тело.
При отсутствии признаков жизни
пострадавшему надо делать искусственное дыхание и массаж сердца.
Искусственное дыхание должно
быть начато немедленно после освобождения пострадавшего от действия тока и
выявления его состояния.
В любой смене, бригаде должны быть люди,
обученные правилам выполнения искусственного дыхания. При проведении обучения и
инструктажа по охране труда работодатель должен уделять внимание этому вопросу.
Вывод
Соблюдение правил техники безопасности является
главным условием предупреждения производственного травматизма. Самые
совершенные условия труда и новейшие технические мероприятия по технике
безопасности не смогут дать желаемые результаты, если рабочий не понимает их
назначения. Знание производственных трудовых процессов, применяемого
оборудования, приспособлений, инструмента и безопасных способов и приемов в
работе создают условия для производительного труда без травматизма. Большое
значение для достижения этой цели имеют инструктажи по технике безопасности. По
характеру и времени проведения их подразделяют на вводный, первичный на рабочем
месте, повторный, внеплановый и текущий.
Минэнерго утвердил новую
редакцию № 6 от 13.01.2003 г. «Правила техники безопасности при эксплуатации
электроустановок потребителей». Они являются обязательными для выполнения всеми
министерствами и ведомствами, предприятиями промышленности и транспорта,
строительными организациями, коммунально-бытовыми, сельскохозяйственными и
другими потребителями электроэнергии. Правила распространяются полностью на все
электроустановки потребителей, за исключением воздушных линий электропередачи
напряжением до 1000 В и выше, на которые несоблюдение правил безопасности и
неосторожное обращение с электротехническим оборудованием может привести к
тяжелым поражениям и даже к смертельным исходам. При эксплуатации электрические
сети и электрическое оборудование предприятий находятся под наблюдением
дежурных электромонтеров и подвергаются периодическому осмотру,
профилактическим испытаниям и ремонту. Рабочие других специальностей также
проводят некоторые работы в электротехнических установках. При таких условиях
возникает вероятность прикосновения человека к неизолированным электрическим
сетям или токоведущим частям электрооборудования.
3. Экология
.1 Климатическая характеристика объекта
Климатические условия с. Балыктах имеют свои
особенности. В зимнее время, минимальная температура достигает до -60 °C,
максимальная температура достигает до +40 °C.
Наибольшее количество осадков, по многолетним
наблюдениями, выпадает в летнее время (60-70%). Начало лета сухое, на высоких
местах аласов трава выгорает и желтеет. Нередко от продолжительных дождей в
июле, августе, сентябре, сельхозугодия оказываются под водой. Атмосферные
осадки в основном обусловлены циркуляцией атмосферы, ее сезонными изменениями,
интенсивностью циклонической деятельности. Годовое количество осадков
составляет от 272 мм. Среднегодовая относительная влажность воздуха составляет
69 %, при этом в зимние месяцы влажность воздуха выше, чем в летние.
Увеличение скоростей ветра отмечается в
апреле-мае, когда начинает развиваться циклоническая деятельность. В отдельные
дни скорости ветра возрастают до 10 м/сек. и более. Преобладают ветры
юго-западного и западного направления. Действие ветра приводит к появлению
дополнительной горизонтальной силы, следовательно, к дополнительной
механической нагрузке на провода, тросы и опоры. При этом увеличиваются тяжения
проводов и тросов, и механические напряжения их материала. Появляются также дополнительные
изгибающие усилия на опоры. При сильных ветрах возможны случаи одновременной
поломки ряда опор линии.
Гололедные образования на проводах возникают в
результате попадания капель дождя и тумана, а также снега, изморози и других
переохлажденных частиц. Гололедные образования приводят к появлению
значительной механической нагрузки на провода, тросы и опоры в виде
дополнительных вертикальных сил. Это снижает запас прочности проводов, тросов и
опор линий.
На отдельных пролетах изменяются стрелы провеса
проводов, провода сближаются, сокращаются изоляционные расстояния. В результате
гололедных образований возникают обрывы проводов и поломки опор, сближения и
схлестывания проводов с перекрытием изоляционных промежутков не только при
перенапряжениях, но и при нормальном рабочем напряжении.
Первоочередным фактором, осложняющим освоение
территории, является распространение многолетней мерзлоты и связанные с ней
криогенные процессы - наледи, морозное пучение, солифлюкция.
Равнинные пространства характеризуются широким
развитием рыхлых и слабо уплотненных образований, обладающих достаточно
высокими несущими свойствами, пригодными для строительства.
3.2 Влияние распределительных сетей с. Балыктах
на окружающую среду
Сооружение ВЛ, как и любая другая производственная
деятельность человека, наносит ущерб окружающей среде. Это выражается в
повреждении верхнего плодородного слоя земли, вырубке деревьев и кустарников,
потраве сельскохозяйственных культур, нарушении устойчивости поверхностного
слоя грунта в полупустынях и вечной мерзлоты в тундре и лесотундровой зоне, а
также гибели птиц, вредном влиянии сильных электромагнитных полей на здоровье
людей и животных и др.
Самый значительный ущерб природе наносит
отчуждение под ВЛ пахотных земель (исключение их из севооборота). Поэтому, как
правило, для сооружения ВЛ отводят земли, непригодные для сельского хозяйства.
В исключительных случаях ВЛ прокладывают через поля, причем ее трассу обычно
располагают вдоль дорог, оврагов, лесополос и других разграничителей. При этом
ширина полосы земли в ненаселенной местности, отводимая на период строительства
ВЛ, составляет не более 8-17 м, а площадь дополнительных участков в местах
сборки и установки опор-не более 150-800 м2 (для ВЛ 1-220 кВ). В
населенной местности эти размеры обусловливают проектом.
На участках отвода полосы ВЛ должны приниматься
меры по сохранению плодородия земли. При рытье котлованов и траншей верхний
слой грунта следует до начала работ срезать и сдвигать в кучи, а после
окончания работ укладывать на место (рекультивировация земли). Повреждения
плодородного слоя можно уменьшить, применяя машины и механизмы с небольшим
удельным давлением на грунт, а также производя работы в зимний период.
Правильный выбор времени строительства ВЛ (например, после уборки урожая) позволяет
избегать потравы сельскохозяйственных культур.
Особое внимание охране окружающей среды должно
уделяться при производстве работ в зоне вечной мерзлоты. Уничтожение
растительности, удерживающей влагу и закрывающей грунт от прямых солнечных
лучей, нарушает устойчивость поверхностного слоя земли, увеличивает глубину
сезонного промерзания и оттаивания грунта и, как следствие, приводит к
выпучиванию (выталкиванию) фундаментов и опор. При этом заметное пучение
грунта, т. е. увеличение его объема при замерзании, обычно происходит до
глубины 2 м. Еще большие нарушения естественного природного равновесия
возникают при тепловом способе бурения скважин для свай. Поэтому в первую
очередь необходимо организовать транспортировку грузов строго по дорогам, так
как мерзлые и заболоченные грунты необратимо деформируются при интенсивном
движении гусеничных машин, и ограничить тепловые способы разработки котлованов.
Очень большой ущерб окружающей среде наносят
пожары, обычно возникающие в весенне-летний период. Поэтому при сооружении ВЛ
значительное внимание следует уделять противопожарным мероприятиям. Необходимо,
чтобы просеки строящихся ВЛ были расчищены от сухого валежника, хвороста,
кустарника и других горючих материалов, места разведения костров-окопаны
канавами, а не вывезенные штабеля древесины и порубочных остатков-окаймлены
минерализованной полосой шириной 1 м, (с полностью удаленным до минеральных
слоев почвы растительным грунтом).
3.3 Мероприятия по уменьшению
влияния электропередачи на окружающую среду
Для защиты населения и
природной среды от воздействия электромагнитного поля ВЛ и ПС, их сооружение и
эксплуатация должны осуществляться с учетом необходимости обеспечения
безопасных и безвредных условий проживания, и работы людей путем исключения
воздействия ЭП и МП. Для снижения напряженности ЭП в местах пребывания людей
применяют активную и пассивную защиты или оба способа одновременно. Для защиты
от МП используют только активную защиту. Активная защита от ЭП и МП включает
два основных мероприятия, обеспечивающих приведенные выше нормативы: выбор
трассы прокладывания ВЛ и площадки строительства ПС; соблюдение требуемых
габаритов проводов ВЛ до земли. Пассивная защита от ЭП также включает два
основных мероприятия, обеспечивающих достижения требуемых нормативов
напряженности ЭП:
заземление всех находящихся
проводящих объектов;
- электростатическое
экранирование.
Эффективным средством
экранирования является формирование под ВЛ насаждений низкорослых пород
древесной растительности (3-5 м), которые снижают напряженность ЭП на высоте
1,8 м в 2-3 раза. В рамках активной защиты населения от ЭП устанавливаются
также санитарно-защитные зоны ВЛ, в которых напряженность ЭП не превышает 1
кВ/м.
При выборе трассы ВЛ
желательно, чтобы жилые и другие постройки не попадали в санитарно-защитную
зону. В случаях, когда это требование невыполнимо, то застройщиками должны быть
приняты меры по снижению напряженности ЭП.
Защита населения и животного
мира от выносимого с ПС потенциала достаточно полно определяется ПУЭ. Но особо
надо подчеркнуть, что выносные заземлители заземляющих устройств рекомендуется
сооружать в местах, недоступных для частого посещения людьми и животными, а
линии, соединяющие заземляющее устройство ПС с выносным заземлителем, должны
быть изолированы от земли на напряжение не менее напряжения на заземляющем
устройстве, должна быть, также исключена возможность прикосновения к данной
линии.
Анализ мероприятий по защиты
птиц позволяет выделить следующие основные принципы. Для линий 6-35 кВ
рекомендуется конструкции ВЛ на опорах из изоляционного материала (дерево,
полимеры), а также подвески изолированного провода. В регионах массового
обитания птиц необходимо ограничивать применение железобетонных опор со
штыревыми изоляторами и анкерных опор с малогабаритными траверсами. Места
возможной посадки птиц необходимо защищать заградителями и козырьками.
Вывод
Реконструкция электрических сетей села Балыктах
Усть-Алданского улуса - обновление ВЛ и распределительных трансформаторных
подстанций - заметно снизит вредное воздействие на окружающую среду и на
жителей села. А именно при оптимизации электрических сетей были заменены
провода АС-35 на самонесущие изолированные провода, которые позволяют сооружать
ВЛ без вырубки просеки. А также были введены в работу новые ТП мачтового типа с
герметичными трансформаторами, главным преимуществом которых является то, что
масло полностью изолировано от окружающей среды, что позволяет снизить риск
разлива трансформаторного масла. Тем самым уменьшая влияние на окружающую среду
при случае аварии. Эти обновления обеспечат безопасные и безвредные условия
проживания и работы жителей путем исключения воздействия электрического и
магнитного полей. Кроме этого, новые опоры и линии решают вопросы эстетического
размещения ВЛ, то есть уменьшат визуальное воздействие ВЛ на окружающую среду.
Таким образом, в плане экологического
воздействия проект реконструкции распределительных сетей села Балыктах можно
считать обоснованным.
4. Технико-экономический раздел
.1 Технико-экономическое сравнение двух вариантов
Технико-экономический расчет основывается на
сравнении двух вариантов:
. реконструкция имеющихся сетей на деревянных
опорах;
. реконструкция сетей согласно проекту,
представленному в конструкторском разделе данной работы.
Для стоимостного сравнения двух вариантов
используются технические потери активной мощности, определенные при анализе
нормальных режимов.
До реконструкции:
Потери активной мощности в нормальном режиме
составляют: в сети 10 кВ - 13,682 кВт, в сети 0,4 кВ - 41,854 кВт. Суммарные
потери в нормальном режиме до реконструкции:
ДPдо
=
13,682 + 41,854 = 55,536 кВт
Среднегодовое время работы линий в максимальном
режиме принимаем 4500 ч.
Потери активной энергии за год:
Wдо =
ДPдо
· 4500 = 55,536 х 4500 = 249 912 кВт ·ч
Принимаем тариф на электроэнергию 2 руб. 40 коп.
за 1 кВт ·ч
Общие потери в рублях за год составляют:
Здо = Wдо
· 2,40 = 249 912 х 2,40 = 599 788,8 руб./год
После реконструкции:
Потери активной мощности в нормальном режиме в
сети 10 кВ: 10,307 кВт; в сети 0,4 кВ: 18,265 кВт.
Суммарные потери активной мощности после
реконструкции:
ДPпосле
=
10,307+18,265 = 28,572 кВт
Потери активной энергии за год:
Wпосле =
ДPпосле
х 4500 = 28,572 х 4500 = 128 574 кВт ·ч
В рублях эти потери составят:
Зпосле= 128 574 х 2,40 = 308 577,6
руб./год
Сравнение потерь до и после реконструкции:
Разница потерь в кВт:
ДP
= ДPдо -
ДPпосле
ДP
= 55,536 - 28,572 = 26,964 кВт
Разница потерь электроэнергии в рублях:
З = Здо - Зпосле = 599
788,8 - 308 577,6 = 291 211,2 руб./год
.2 Расчет капитальных вложений
Расчет производится по сметным стоимостям ОАО
«Якутскэнерго» по состоянию на 01.2013 г.
Расчет капитальных вложений в предлагаемый
проект реконструкции сетей 0,4 кВ.
Рисунок 4.1 - Сравнение потерь электроэнергии до
и после реконструкции
Согласно таблицы 1.4 предлагается построить 3,5
км ВЛЗ напряжением 10 кВ с проводами марки «СИП-3 1х70» и 2,26 км ВЛЗ
напряжением 10 кВ с проводами марки «СИП-3 1х50», 21,2 км ВЛИ напряжением 0,4
кВ с проводами марки «СИП-2 3х35+1х50» и 3,7 км ВЛИ напряжением 0,4 кВ с
проводами марки «СИП-2 2х16». Предлагается так же соорудить 2 ТП мачтового типа
ТМГ-63
Расчет стоимости реконструкции ВЛ 10 кВ (провода
марки СИП-3) на деревянных опорах, включая демонтаж старой линии:
Стоимость материалов и механизмов на 1 км линии:
20 849,04 руб.
Монтажные работы на 1 км линии: 341 924,17 руб.
Прочие расходы на 1 км линии: 54 207,49 руб.
НДС 18%
Демонтаж 1 км старой линии: 52 700 руб.
Протяженность ВЛ 10 кВ, подлежащей
реконструкции: 2,880 км.
Строительство ВЛ 10 кВ обойдется в:
ЦВЛ10 = 5,76·1,18 х (20 849,04+341
924,17+54207,49)+52700·5.76=
= 3 137 686,42 руб.
Расчет стоимости реконструкции ВЛ 0,4 кВ
(провода марки СИП-2) на деревянных опорах, включая демонтаж старой линии:
Стоимость материалов и механизмов на 1 км линии:
20 327,16 руб.
Монтажные работы на 1 км линии: 333 365,42 руб.
Прочие расходы на 1 км линии: 52 850,62 руб.
НДС 18%
Демонтаж 1 км старой линии: 51 700 руб.
Протяженность ВЛ 0,4 кВ, подлежащей
реконструкции: 10,440 км.
Строительство ВЛ 0,4 кВ обойдется в:
ЦВЛ04 = 24,905 ·1,18 х (20 327,16+333
365,42+52 850,62)+
+51700·24,905 = 11 412 542,29 руб.
Расчет стоимости строительства КТП с
трансформатором мощностью 63 кВА (с учетом НДС 18%):
Стоимость трансформатора ТМГ-63/10: 77 031 руб.
Стоимость МТП (без трансформатора): 120 013 руб.
Стоимость СМР: 104 200 руб.
Прочие расходы: 90 600 руб.
Демонтаж старой КТП: 34 300 руб.
Строительство КТП обойдется в:
ЦМТП63∑ =
2*77031+2*(120013+104200+90600) = 783 688 руб.
Единовременные капитальные вложения составят:
К= ЦВЛ10 + ЦВЛ04 + ЦМТП63∑
+ 4*ЦКТП100 + ЦКТП160 =
= 3 137 686,42 + 11 412 542,29 + 783 688 = 15
333 916,71 руб.
Ежегодные текущие затраты при нормальной
эксплуатации:
Еа = 0.033 - нормативный коэффициент
эффективности
Етр = 0.01 - коэффициент отчисления на текущий
ремонт
И = Еа К + Етр К + З2
И = 0,033 х 15 333 916,71 +0,01 х 15 333 916,71
+308 577,6=967 936 руб.
Амортизационные отчисления:
Зст = 80 000 руб. стоимость 1 км старой линии с
опорами
А = Зст х 30,5 А = 2 440 000 руб.
.3 Расчет срока окупаемости
Срок окупаемости после ввода объекта в
эксплуатацию составит:
Расчет срока окупаемости:
Минимум приведенных затрат:
Затр = К + И
Затр = 15 333 916,71 + 967 936 =16 301 852 руб
Приб = Wпот
х T х тариф - З -
А=569 х 4500 х 2,40-291211,2 - 2 440 000 = =3 413 988,8
Срок окупаемости:
Окупаемость= Затр / Приб Т = 4,7 лет, т.е. 5 лет
Предполагается, что срок ввода в эксплуатацию
проектируемых электрических сетей составит 1 год (рис. 4.2).
Рисунок 4.2 - График движения инвестиционных
средств
Вывод
Таким образом, предлагаемые мероприятия
позволяют довести качество электроэнергии до нормативных значений и значительно
снизить потери активной мощности, которые сокращаются на 26,964 кВт, или 291
212,2 руб. в год при заданном тарифе. Капитальные вложения в проект составят 15
333 916,71 руб. Расчетный период окупаемости проекта - 5 лет с момента ввода в
эксплуатацию.
Использование самонесущего изолированного
провода СИП позволит резко сократить число несанкционированных подключений,
т.е. существенно снизить коммерческие потери, уменьшает затраты на обслуживание
линий и риск возникновения аварийных ситуаций. Использование деревянных опор на
железобетонных приставках повышает срок службы линий электропередач, уменьшает
затраты на ремонт и эксплуатацию. Использование мачтовых комплектных
трансформаторных подстанций с герметичными масляными трансформаторами также
сокращает затраты на обслуживание сетей. Все эти преимущества могут позволить
сократить срок окупаемости проекта во время эксплуатации. Проект можно считать
экономически обоснованным.
Заключение
электроснабжение напряжение сеть ток
В данном дипломном проекте были рассчитаны
нормальные режимы линии 10 кВ «Балыктах» и распределительных сетей 0,4 кВ с
помощью универсальной программы расчета нормальных режимов. В результате
анализа были сделаны следующие выводы: причинами высоких потерь мощности и
напряжения являются большие длины линий 0,4 кВ, резко несимметричная нагрузка,
высокая удельная мощность потребителей.
Был предложен проект реконструкции сетей 10 и
0,4 кВ, предусматривающий уменьшение длин линий 0,4 кВ за счет установки новых
распределительных МТП, а также переход на самонесущие изолированные провода.
Также сделан расчет аварийного режима и выбраны
коммутационные аппараты.
Анализ нормальных режимов линии 10 кВ
«Балыктах», а также распределительных ТП 10/0,4 кВ и распределительных сетей
0,4 кВ показал, что суммарные потери снижаются с 55,536 кВт до 28,572 кВт;
экономический эффект составит 291 211 руб./год; затраты на реконструкцию
составят в среднем 16 млн. руб., а срок окупаемости проекта не будет превышать
5 лет с момента ввода в эксплуатацию.
Установка герметичных трансформаторов типа ТМГ
значительно снизит затраты на эксплуатацию, т.к. эти трансформаторы не
нуждаются в текущем и капитальном ремонтах. Применение защищенных и
изолированных самонесущих проводов снизит вредное воздействие ВЛ на окружающую
среду, а также значительно сократит число несанкционированных подключений.
Список использованной литературы
1. Боровиков В.А. и др.
Электрические сети энергетических систем. Учебник для техникумов. Изд. 3-е -
Л.: Энергия, 1977. - 392 с.
2. Булатов А. С. Экономика:
Учебник. 3-е изд., перераб. и доп. - М.:Экономисть., 2004.- 896 с.
. Варварин В.К. Выбор и
наладка электрооборудования: Спр. пособие 2-е изд. - М.: ФОРУМ, 2008 - 240 с.
. Винокуров В.Н., Максимов
Г.Н., Соломонов Н.Г., Романова Г.А. и др. Вопросы экологии и охраны окружающей
среды в Якутии. Под общ. ред. Винокурова В.Н. - Якутск: «Бичик», 1993. - 80с.
. Грудинский и др.
Электротехнический справочник. - 5-е изд., исправ. - М.: Энергия, 1975. - 752с.
. Конюхова Е.А.
Электроснабжение объектов: Учеб. Пособие для студ. учреждений сред. проф.
образования.- М.: Издательство «Мастерство», 2002.
. Копылов И. П.
Электрооборудование станций и подстанций.- М.: Энергоатомиздат, 1986.-360 с.
. Межотраслевые правила по
охране труда (правила безопасности) при эксплуатации установок: М.: Изд. НЦ
ЭНАС, 2001.- 216 с.
. Поспелов Г.Е., Федин В.Т. Электрические
системы и сети. Проектирование. Учеб. пособие для втузов. - 2-е изд. - М.:
Высш. шк., 1988. - 308 с.
. Правила техники
безопасности при эксплуатации электроустановок потребителей./
Главгосэнергонадзор Минэнерго СССР. - М.: Энергоатомиздат, 1990. - 240с.
. Правила устройства
электроустановок. - 7-е изд. - М.: Изд-во НЦ ЭНАС, 2003.
. Справочник по
проектированию электрических сетей / под ред. Д.Л. Файбисовича. - 3-е изд. -
М.: ЭНАС, 2009. - 392 с.
. Справочник по строительству
и реконструкции линий электропередачи напряжением 0,4 - 750 кВ / по ред. Е.Г.
Гологорского - М. Изд-во НЦ ЭНАС, 2003 - 344 с.
. Шадрин А.П. Проблемы
энергетики Республики Саха (Якутия); Сборник научных трудов.- Якутск.: ЯНЦ СО
РАН, 1995.-188 с.