Термодинамический расчет для химической реакции в интервале температур

  • Вид работы:
    Контрольная работа
  • Предмет:
    Физика
  • Язык:
    Русский
    ,
    Формат файла:
    MS Word
    77,46 Кб
  • Опубликовано:
    2014-07-04
Вы можете узнать стоимость помощи в написании студенческой работы.
Помощь в написании работы, которую точно примут!

Термодинамический расчет для химической реакции в интервале температур













Термодинамический расчет для химической реакции в интервале температур


Введение

Термодинамика - наука о взаимопревращениях различных форм энергии и законах этих превращений. Термодинамика базируется только на экспериментально обнаруженных объективных закономерностях, выраженных в двух основных началах термодинамики.

Термодинамика изучает:

1.  Переходы энергии из одной формы в другую, от одной части системы к другой;

2.  Энергетические эффекты, сопровождающие различные физические и химические процессы и зависимость их от условий протекания данных процессов;

3.  Возможность, направление и пределы самопроизвольного протекания процессов в рассматриваемых условиях и различные виды равновесия.

Изучение законов, которые описывают химические и физические равновесия, имеет особое значение в химической термодинамике; их знание позволяет решать, не прибегая к опыту, многие важнейшие задачи, встречающиеся в производственной, проектной и научно-исследовательской работе. Главными задачами являются следующие:

1)      определение условий, при которых данный процесс становится возможным (без совершения работы извне);

)        нахождение пределов устойчивости изучаемого вещества (совокупности веществ) в тех или иных условиях;

)        выяснение, каким путем можно уменьшить количество получающихся при реакции нежелательных веществ или даже вовсе избежать их образования, т.е. подавить или устранить побочные реакции;

)        выбор оптимального режима процесса (температуры, давления, концентрации реагентов) и т.д.

Целью термодинамического расчета является определение теплового эффекта заданной химической реакции и возможность ее протекания в заданном интервале температур.

Задание

Провести термодинамический расчет для химической реакции в интервале температур от 298 до 1500 К:

.

В таблице 1 приведены справочные данные некоторых термодинамических величин [1].

термодинамика тепловой химический

Таблица 1 - Термодинамические величины [1]

Вещество

 

 

Теплоемкость, Дж/(мольK)

 




Коэффициенты уравнения 








-167,36

93,93

62,34

23,85

-


-

-110,5

197,4

28,41

4,1

-0,46


-

0

33,3

22,64

6,28

-

1356

13,02

-393,5

213,6

44,14

9,04

-8,53


-




1. Расчет теплового эффекта химической реакции при стандартных условиях

Тепловым эффектом реакции называется теплота, выделяющаяся или поглощающаяся при реакции, протекающей термодинамически необратимо при равенстве температур начала и конца процесса.

За стандартные условия принимают температуру 298 К и давление 0,1 МПа. Расчеты тепловых эффектов химических реакций основаны на законе Гесса: «Тепловой эффект химических реакций зависит только от вида и состояния исходных веществ и продуктов реакции и не зависит от пути процесса». Закон Гесса применим к процессам, которые проводят при постоянном объеме или давлении.

Тепловые эффекты химических реакций в стандартных условиях можно рассчитать по табличным значениям стандартных теплот образования DН0обр или стандартных теплот сгорания DН0сгор.

Стандартной теплотой образования данного вещества называется тепловой эффект образования 1 моля рассматриваемого вещества из простых веществ, устойчивых в этих условиях.

Стандартной теплотой сгорания данного вещества называется тепловой эффект реакции окисления 1 моля этого вещества кислородом с образованием высших оксидов, входящих в это вещество.

По закону Гесса следует, что тепловой эффект реакции равен разности между стандартными теплотами образования продуктов реакции и исходных веществ с учетом стехиометричемких коэффициентов.

, (1)

где  - тепловой эффект химической реакции при стандартных условиях;

 - стехиометрические коэффициенты.

Если тепловой эффект реакции положительный, то процесс называется эндотермическим, если тепловой эффект реакции отрицательный, то процесс называется экзотермическим.

Подставляя числовые значения, получим:

Реакция является экзотермической, проходит с выделением тепла.

2. Расчет теплового эффекта химической реакции по уравнению Кирхгофа

Зависимость теплового эффекта химической реакции от температуры выражается уравнением Кирхгофа:

,                                         (2)

где  - тепловой эффект химической реакции при температуре Т;

 - разность теплоемкостей продуктов реакции и исходных веществ с учетом стехиометрических коэффициентов.

 (3)

Для расчетов необходимо знать зависимость теплоемкости от температуры для исходных веществ и продуктов реакции, выражаемую уравнением (4):

,                                          (4)

где α, β, γ - коэффициенты, которые определяются опытным путем.

Подставляем в уравнение (4) значения из таблицы 1:

,

,

,

.

При температуре 1356 К, входящей в интервал расчета, медь претерпевает фазовое превращение первого рода.

Удельная теплоемкость меди в жидком состоянии:

.

Из уравнений (3), (4) следует:

,                                          (5)

где , ,  - разность коэффициентов α, β, γ продуктов реакции и исходных веществ с учетом стехиометрических коэффициентов.

,                                            (6)

,                                             (7)

.                                             (8)

Для процесса, проходящего в интервале температур 298-1356 К, получим разность коэффициентов α, β, γ:

.

.

.

Согласно выражению (5), уравнение зависимости теплоемкости от температуры, в интервале температур 298-1356 К, выглядит следующим образом:

.

Аналогично производим вычисления зависимости теплоемкости от температуры, в в интервале температур 1356-1500 К, учитывая уравнение температурной зависимости удельной теплоемкости меди при температуре фазового перехода.

.

.

.

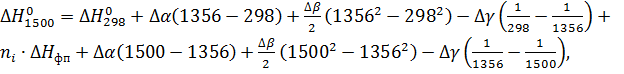
Уравнение теплового эффекта химической реакции, с учетом фазового перехода, будет иметь вид:

,          (9)

Проинтегрировав уравнение (9) и подставив числовые значения температур, получим:

 (10)

где

Подставляя остальные числовые значения, получим:

Значение теплового эффекта химической реакции . Это означает, что в ходе реакции выделяется тепло. Процесс является экзотермическим.

3. Расчет изменения изобарно-изотермического потенциала

Критерием принципиальной осуществимости процесса при постоянном давлении и температуре является изменение изобарно-изотермического потенциала  (энергии Гиббса).

                   (11)

где  - изменение энтальпии;

 - изменение энтропии.

Условие принципиальной осуществимости процесса, т.е. возможности протекания реакции в прямом направлении без затраты энергии, является неравенство . Неравенство  свидетельствует о невозможности протекания процесса. Признаком завершенности процесса и установлении термодинамического равновесия в системе является условие .

Для начала рассчитаем величину  - разность стандартных абсолютных энтропий продуктов реакции и исходных веществ с учетом их стехиометрических коэффициентов:

.                              (12)

.

Уравнение для  с учетом фазового перехода будет иметь вид:

,   (13)

где = - изменение энропии при фазовом переходе.

Предварительно проинтегрировав уравнение (13), подставим числовые значения:

.

Уравнение изменения энергии Гиббса имеет вид:

.                                             (14)

Рассчитаем данную величину:             

.

Изменение энергии Гиббса при 1500К:


Возможен самопроизвольный процесс в прямом направлении.


Проведен расчет химической реакции.

Реакция  протекает с выделением тепла и является экзотермической, так как D Н< 0.

Реакция термодинамически возможна в области температур начиная с 298К до 1500К, так как в этой области температур энергия Гиббса DG < 0.

Список использованных источников

1 Краткий справочник физико - химических величин / К.П. Мищенко [и др.]; под ред. А.А. Равделя; - Л.: Химия, 1983. - 232 с.

Похожие работы на - Термодинамический расчет для химической реакции в интервале температур

 

Не нашли материал для своей работы?
Поможем написать уникальную работу
Без плагиата!
Без нейросетей!