Термодинамические свойства воды и водяного пара

  • Вид работы:
    Курсовая работа (т)
  • Предмет:
    Физика
  • Язык:
    Русский
    ,
    Формат файла:
    MS Word
    667,83 Кб
  • Опубликовано:
    2015-03-01
Вы можете узнать стоимость помощи в написании студенческой работы.
Помощь в написании работы, которую точно примут!

Термодинамические свойства воды и водяного пара

Задание

Часть 1. Определить допустимое количество воды, сбрасываемой летом ГРЭС в пруд-охладитель, имеющий размеры 750 х 750 м.

Скорость ветра W, м/с, температура воды и воздуха tв.

Расчеты выполняются для случаев, когда окружающий воздух имеет относительную влажность: а) 𝜑=𝜑1; б)𝜑=𝜑2.

Часть 2. В процессе эксплуатации парового котла его стальные кипятильные трубы диаметром d1/d2снаружи покрылись слоем сажи толщиной 𝛿с , а внутри слоем накипи толщиной 𝛿н .Температура дымовых газов, омывающих кипятильные трубы поперечно - tг , давление пара в котле Рн . Определить температуры на границах между слоями стенки и тепловой поток на 1 пог. м на 1м2 наружной и внутренней поверхности трубы. Представить данные расчета в виде графической зависимости.

Примечание:

накипь богата силикатами.

марка стали Ст. У12.

Параметры

Вариант №2

Скорость ветра, W , м/с

12

Температура воды и воздуха, tв ,  ̊С

21

Относительная влажность воздуха а) 𝜑1, % б) 𝜑2 , %

а)18 б)65

Наружный диаметр труб d1 , м

0,180

Внутренний диаметр труб d2 , м

0,162

Толщина накипи, мм

1,3

Толщина сажи, мм

1,1

Температура газов, tг ,  ̊С

775

Температура питательной воды tпв ,  ̊С

79

Скорость газов, Wг , м/с

12,5

Давление пара, Рн , МПа

1,82

Концентрация СО2 , %

17,5

Концентрация Н2О, %

16,5

Концентрация N2 , %

64

Объект излучения -

цилиндр




Оглавление

Введение

Часть 1.Исходные данные

Часть 2.Исходные данные

.1Постановка задачи теплообмена

2.2 Расчет параметров теплообмена

.3 Выполнение нулевого приближения

.4 Выполнение первого приближения

.5 Выполнение второго приближения

Заключение

Перечень ссылок

Приложения

 тепловой поток теплообмен вода

Введение

В дисциплине изучаются закономерности процессов теплообмена <https://ru.wikipedia.org/wiki/%D0%A2%D0%B5%D0%BF%D0%BB%D0%BE%D0%BE%D0%B1%D0%BC%D0%B5%D0%BD>, сопровождающихся переносом вещества, то есть, массообменом <https://ru.wikipedia.org/wiki/%D0%9C%D0%B0%D1%81%D1%81%D0%BE%D0%BE%D0%B1%D0%BC%D0%B5%D0%BD>.

На практике, тепломассообмен происходит во многих технических системах, использующих в своей работе жидкие или газообразные среды. Это - котельные установки, тепловые сети, литейное производство, различное теплообменное оборудование, например, электростанций, конструкции зданий и сооружений и т. д. Сама рабочая среда, при этом, чистое вещество или различные смеси и растворы, может оставаться постоянной или, меняя агрегатное состояние, осуществлять фазовые переходы, такие как, испарение в паровоздушную среду, конденсация пара из смеси «пар - воздух», остывание расплавов и т. п.

В данной курсовой работе предоставлено решение двух проблем.

Во-первых, это расчет допустимого количества воды, сбрасываемой ГРЭС в пруд-охладитель, а, во-вторых, определение теплового потока на 1 м2 трубы.

Часть 1.Исходные данные

Определить допустимое количество воды, сбрасываемой летом ГРЭС в пруд-охладитель, имеющий размеры 750 х 750 м.

Скорость ветра W=12 м/с, температура воды и воздуха tв=21 ̊С.

Расчеты выполняются для случаев, когда окружающий воздух имеет относительную влажность: а) 𝜑1=18; б)𝜑2=65.

Решение

Эта задача относится к типу задач по процессам масообмена при вынужденной конвекции от плоской пластины. Прежде чем подобрать соответствующие безразмерные соотношения для числа Шервуда Sh (т.н. диффузионное число Нуссельта NuD), следует определить, будет ли течение воздуха на поверхности пруда ламинарным или турбулентным. Значение критерия Рейнольдса Re при достижении воздухом конца пруда равно:

значение коэффициента кинематической вязкости воздуха при 21 ̊С;

νt=0 ̊C = 13.3 *10-6 м2/с;

νt=100 ̊C = 23 *10-6 м2/с;

νt=21 ̊C = *21+13,3*= м2/c.=  =  = .

Следовательно, течение воздуха полностью турбулентное(Re˃2300).

Число Шмидта Sc (диффузионный критерий Прандтля Prd) равно:

 Sct=0 ̊C = 0.707=100 ̊C = 0.688=21 ̊C =  * 21+0,707 = 0,703.

Число Шервуда Sh равно

Sh = 0,035*Re0.8 * Sc0.33 =  = 322379.20.

Коэффициент диффузии равен

Dt=0 ̊C = 6.76 м2/c=100 ̊C = 12.1 м2/c=21 ̊C =  *21+6.76*= 7.881* м2/ч = 2,19* м2/c.

Коэффициент массоотдачи , отнесенный к разности объемных концентраций водяного пара в воздухе и характеризующий линейную скорость испарения воды

𝛽 =  =  = 0.0094 м/с.

Определим концентрации паров воды у поверхности озера и в окружающем воздухе. У поверхности воды воздух насыщенный и его относительная влажность равна 100 %. Из таблиц для водяного пара давление насыщения при 21  ̊C равно Рнас = 2,4877кПа. Концентрация водяного пара при 100% влажности равна:

 =  =  = 0,01832 кг/м3.

а) При относительной влажности окружающего воздуха 18% концентрация водяного пара равна

 =  =  = 0,003297 кг/м3.

Массовая скорость испарения воды равна:

m = 𝛽*S( -  ) = 0.0094*7502*(0.01832-0.003297) = 79.52кг/с.

б) При относительной влажности окружающего воздуха 65% концентрация водяного пара в воздухе равна

 =  =  = 0,01191 кг/м3.

Массовая скорость испарения воды равна

m = 𝛽*S( -  ) = 0.0094*7502*(0.01832-0.01191) = 33,94 кг/с.

что на 42,7% меньше скорости испарения воды при относительной влажности окружающего воздуха 18%.

Часть 2. Исходные данные

В процессе эксплуатации парового котла его стальные кипятильные трубы диаметром d1/d2снаружи покрылись слоем сажи толщиной 𝛿с , а внутри слоем накипи толщиной 𝛿н .Температура дымовых газов, омывающих кипятильные трубы поперечно - tг , давление пара в котле Рн . Определить температуры на границах между слоями стенки и тепловой поток на 1 пог. м на 1м2 наружной и внутренней поверхности трубы. Представить данные расчета в виде графической зависимости.

Исходные данные

Наружный диаметр труб d1 , м

0,180

Внутренний диаметр труб d2 , м

0,162

Толщина накипи, мм

1,3

Толщина сажи, мм

1,1

Температура газов, tг ,  ̊С

775

Температура питательной воды tпв ,  ̊С

79

Скорость газов, Wг , м/с

12,5

Давление пара, Рн , МПа

1,82

Концентрация СО2 , %

17,5

Концентрация Н2О, %

16,5

Концентрация N2 , %

64

Объект излучения -

цилиндр

Накипь богата силикатами

Марка стали

Ст. У12


Постановка задачи теплообмена

Рис.1 Теплопроводность через цилиндрическую стенку.

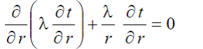
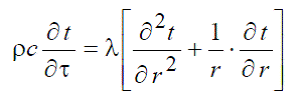
В общем случае дифференциальное уравнение теплопроводности для бесконечного цилиндра при отсутствии внутренних источников тепла (qv = 0) имеет вид:

(1)

При стационарном тепловом режиме температуры отдельных точек тела постоянны, поэтому и дифференциальное уравнение с учетом зависимости коэффициента теплопроводности 𝜆 от температуры и радиуса для многослойной цилиндрической стенки имеет вид:

(2)

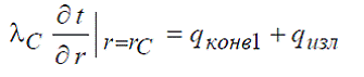
 Граничные условия имеют вид (см. рис.1):

Граница дымовые газы - сажа:

r = rc

(3)

где: 𝜆с - коэффициент теплопроводности сажи; qконв = 𝞪г(tп - tн) - плотность теплового потока (конвективная составляющая) qизл - составляющая потока излучения дымовых газов.

Граница насыщенный пар - накипь:

r = rн

(4)

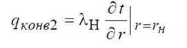
где: 𝜆н - коэффициент теплопроводности накипи; qконв2 = 𝞪конв2(tп - tн) - плотность теплового потока(конвективная составляющая омывания насыщенным паром покрытой накипью стенки трубы).

Граница накипь - металл:

r = r2

(5)

где: 𝜆м - коэффициент теплопроводности металла(стальной трубы).

Граница металл - сажа:

r = r1

(6)

Нужно учесть, что рассматривается нелинейная задача, т.к. 𝜆 = 𝜆(t).

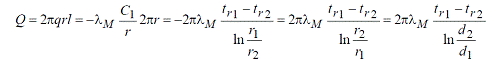
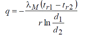
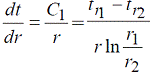
Для определения количества тепла, прошедшего через цилиндрическую поверхность (S) в единицу времени, воспользуемся законом Фурье:

С другой стороны, после интегрирования уравнения (2) получим:


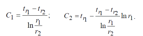
Постоянные интегрирования С1 и С2 определим из граничных условий (для металлического слоя цилиндрической стенки):

при r = r1 t = tr1

при r = r2 t = tr2

Тогда имеем систему уравнений с двумя неизвестными:


Решением этой системы будет:


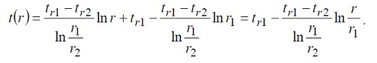
После подстановки С1 и С2 получим общее выражение для распределения температуры по толщине цилиндрической стенки, подчиняющееся логарифмическому закону:



Тогда с учетом выражения получаем выражение для определения плотности теплового потока цилиндрической стенки(в общем случае):

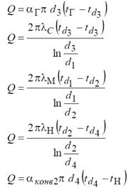
(7)

Полное количество тепла, проходящее через боковую поверхность цилиндрической стенки площадью S = 2𝜋rl (l - длина цилиндрической стенки), удобно отнести к 1 погонному метру стенки, тогда уравнение (7) необходимо умножить на 2𝜋r

(8)

Для многослойной стенки процесс теплопередачи можно рассчитать следующим способом(см. рис.2):

Рис. 2 - Распределение температур

Граница дымовые газы - сажа:

Теплопередача от греющей среды к саже определяется по закону

Ньютона-Рихмана:

конв1 = 𝛼г(tг - td3)  (9)

где 𝛼г - коэффициент теплопередачи от дымовых газов к саже;г - температура дымовых газов;- температура поверхности слоя сажи (на рис. td3 = t4).

Полное количество тепла, проходящее через d = d3 длиной 1 м определяется следующим образом:

(10)

В данном случае 𝛼г состоит из конвективной и лучистой составляющей, т.е.

𝛼г = 𝛼конв1 + 𝛼изл

Теплопроводность через сажу:

Количество тепла через слой сажи определяется на основании уравнения (8)

(11)

Теплопроводность через металл:

Количество тепла через металл трубы определяется из уравнения (8)

(12)

Теплопроводность через накипь:

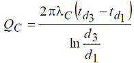
Количество тепла, проходящее через накипь, определяется следующим образом:

(13)

Теплопроводности от накипи к насыщенному пару определяется законом Ньютона:

(14)

На основании закона сохранения энергии при стационарном тепловом режиме

(15)

тогда

 (16)

Решая совместно систему уравнений (16) получим:

(17)

Выражение (17) можно записать в следующем виде:

Q = K(tг - tп) (18)

где К - коэффициент теплопередачи

(19)

Выражение (18) можно записать в другом виде:

(20)

где Rп - термическое сопротивление теплопроводности от накипи к пару,


Rн - термическое сопротивление теплопроводности накипи,


RM - термическое сопротивление материала трубы,

с - термическое сопротивление теплопроводности сажи,


Rг - термическое сопротивление теплопроводности от дымовых газов к саже,


Коэффициент теплоотдачи 𝛼г состоит из конвективной и лучистой составляющей, т.е.:

(21)

Коэффициент теплоотдачи 𝛼конв1 можно определить из критериального уравнения

(22)

где Nu -критерий Нуссельта; Re - критерий Рейнольдса; Prtг - критерий Прандтля при t = tг, Prtст - критерий Прандтля при t = tст.

Коэффициенты с, m, n выбираются в зависимости от формы обтекаемого тела и от диапазонов чисел Рейнольдса. Коэффициент с зависит также от температурного фактора и учитывается сомножителем в уравнении (22).

Число Рейнольдса (характер набегающего потока при внешнем обтекании цилиндра - ламинарный, переходной или турбулентный) можно определить по формуле

(23)

где dc - определяющий размер, в данном случае dc = d3 , νг - коэффициент кинематической вязкости газа.

Критерий Прандтля (характеризует соотношение между скоростями формирования полей скоростей и температур движущегося потока) можно определить по формуле:

(24)

где 𝛼г - коэффициент температуропроводности дымовых газов.

Помимо уравнения(22), критерий Нуссельта можно определить следующим образом:

(25)

Отсюда

(26)

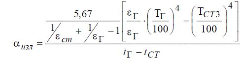
Лучистая составляющая 𝛼изл определяется из закона Стефана-Больцмана:

(27)

Отсюда лучистая составляющая коэффициента теплоотдачи излучением определяется как:

(28)

где 𝜀пр - приведенная степень черноты стенки 𝜎0 = 5,67* Вт/м2К4.

Подставив выражение для 𝜀пр , окончательно получим:

(29)

𝜀ст - степень черноты стенки, 𝜀г - степень черноты газа при температуре газа. Для упрощения расчетов при заданных температурах дымового газа tг и стенки можно сделать допущение, приняв


Здесь 𝜀СО2 и 𝜀Н20 - степень черноты углекислоты и водяного пара, содержащихся в объеме дымовых газов одновременно, зависят от средней длины луча РіSi,

𝜉 - поправочный коэффициент, учитывающий неодинаковую степень влияния толщины газового слоя Si и парциального давления Рі на єнергию излучения водяніх паров. Излучательная способность газов, молекулы которых состоят из одного или двух атомов, столь незначительна, что в теплотехнических расчетах они принимаются лучепрозрачными.

Для расчета коэффициента теплоотдачи 𝛼конв2 при пузырьковом кипении воды в окисленных стальных трубах можно воспользоваться формулой (2)

(30)

где qn - плотность теплового потока, Вт/м2, Рн - давление насыщенного пара, бар (1 бар = 100кПа).

Расчет параметров теплообмена.

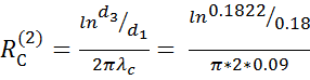
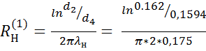
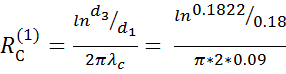
Расчет диаметров:= 0,18 м;= 0,162 м;= d1 + 2𝛿c = 0,18+2*0,0011 = 0,1822 м;= d2 - 2𝛿н = 0,162 - 2*0,0013 = 0,1594 м.

Определение теплопроводности (из данных [1]):

𝜆с = 0,09 Вт/мК, табл.1; 𝜆н = 0,175 Вт/мК

Определяем температуры насыщения ( из данных [2])

Рнас = 1,82 МПа;нас = 207,5  ̊С (табл.4)

Для температуры дымовых газов tг:

Теплопроводность смеси дымовых газов (путем интерполяции данных [1])

𝜆N2 = 66,45* Вт/мК

𝜆H20 = 106,625* Вт/мК

𝜆C02 = 73,5* Вт/мК

 Вт/мК

Плотность смеси дымовых газов ( путем интерполяции данных [1]):

𝜌N2 = 0.3265 кг/м3

𝜌Н2О = 0.2095 кг/м3

𝜌СО2 = 0,5152 кг/м3

𝜌г = 0,3265*0,64+0,2095*0,165+0,5152*0,175) = 0,333 кг/м3

Теплоемкость смеси дымовых газов (путем интерполяции данных [1]):

СN2 = 1.166*103 Дж/кг* с

СН2О = 2,327*103 Дж/кг* с

ССО2 = 1.2427*103 Дж/кг* с

СPг = (1.166*0.64+0.165*2.327+0.175*1.2427)*103 = 1.347*103

Кинематическая вязкость смеси дымовых газов газов ( путем интерполяции данных [1]):

νN2 = 128*10-6 м2/c

νН2О = 140,75*10-6 м2/c

νСО2 = 81,82*10-6 м2/c

νг = (128*0,64+140,75*0,165+81,82*0,175)*10-6 = 1,19*10-4 м2/c

Коэффициент температуропроводности смеси дымовых газов:

𝛼г =  м2/c

Критерий Прандтля:

Prг =  =  = 0,732.

2.4 Выполнение нулевого приближения

Принимаем температуры

 


Расчет характеристик газов для tст = 400 ̊С [1]

Теплопроводность смеси газов ( путем интерполяции данных [1]):

= 0,0558 Вт/мК

Плотность смеси газов( путем интерполяции данных [1]):

 = 0,519 кг/м3.

Теплоемкость смеси газов ( путем интерполяции данных [1]):

 = 1,228 * 103 Дж/кгК

Кинематическая вязкость смеси газов ([1]):

 = 55,38 * 10-6 м2/с

Коэффициент температуропроводности смеси дымовых газов:

 =  = 7,97 * 10-5 м2/с

 =  = 0,694

Reг =  = 16678,91(0) = 0.035* * Reг0,8 * ( = 0,035*0,7320,33 *16678,910,8 * = 76,36

=  =  = 35,15 Вт/м2К.

Определение парциального давления трехатомных газов:

РСО2 =  = 0,175 * 105 Па

РН20 =  = 0,165 * 105 Па

Эффективная длина луча:

l = 3,6  = 3,6 = 3,6 = 1.08 м.

Средняя длина луча:

 l РСО2 = 1,08*0,175*105 = 18900 м*Н/м2РН2О = 1,08*0,165*105 = 17820 м*Н/м2

Определение степени черноты излучающих трехатомных компонентов при температуре tг и tст [3]

 tг = 775  ̊C

tст = 400  ̊C

𝜀со2 = 0,1397

 = 0,12

𝜀Н2О = 0,4307

 = 0,48

поправочный коэффициент 𝜉 = 1,1 [3]

Степень черноты смеси газов при температурах tг и tст

 


Определение коэффициента теплоотдачи излучением

 = 65,08 Вт/м2К.

 Вт/м2К.

 Принимая за нулевое приближение плотность теплового потока q = 10000Вт/м, определяем коэффициент теплоотдачи от накипи к пару:

𝛼П = 3,14q0.7 *  = 3,14*100000,7 *18,20,15 = 3061,54 Вт/м2К.

tм =  =  = 300  ̊C

𝜆м = 41,4 Вт/мК.

Определение термических сопротивлений:

 = 0,0174 м  ̊С/Вт

 =0,00065 м  ̊С/Вт

 = 0.0215 м  ̊С/Вт

 = 0.000405 м  ̊С/Вт

 = 0,0147 м  ̊С/Вт

∑R(0) = 0.0174+0.00063+0.0215+0.000405+0.0147=0.0547 м  ̊С/Вт

Количество тепла, проходящее через 1 метр цилиндрической поверхности.

q =  =  = 10372,393 Вт/м

Плотности тепловых потоков, проходящих через внутреннюю и наружную поверхности цилиндрической трубы.

 =  = 19979.38 Вт/м2.

=  =  = 17479,22 Вт/м2.

Расчет температур на границах между слоями стенки:

 = 775-10372,393*0,0174 = 594,11  ̊С

 = 775-10372,393*(0.0174+0.0215) = 371,17  ̊С

 = 775-10372,393*(0.0174+0.0215+0.000405)=

= 366,97  ̊С

 = 775-10372,393 * (0.0174 +0.0215 +0.000405 +0,0147)) = 214,27  ̊С

 Определение погрешности вычислений нулевого приближения:

𝜀 =  * 100% =  *100% = -3,7 ˃2%

2.5 Выполнение первого приближения

Принимаем за начальные температуры нулевое приближение:

 


Тепловой поток на один метр цилиндрической поверхности

q = 10372,393 Вт/м.

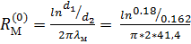
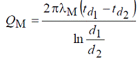
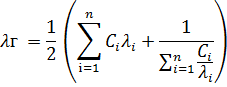
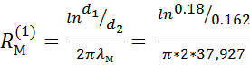
Определение среднеинтегральной теплопроводности металла трубы: (3)

 =  =  = 369,07   = 37,927 Вт/мК

Расчет теплофизических характеристик газов для tст = 594   [1]

Теплопроводность смеси дымовых газов (путем интерполяции, аналогично нулевого приближения):

 Вт/мК

Плотность смеси дымовых газов (путем интерполяции ):

 0,395*0,64+0,6228*0,175+0,2276*0,165=0,3993 кг/м3

Теплоемкость смеси дымовых газов (путем интерполяции ):

 = (1,1276*0,64+1,1898*0,175+2,269*0,165)*103 = 1,3043*103 Дж/кг/К

Кинематическая вязкость смеси дымовых газов (путем интерполяции ):

 = (93,256*0,64+57,634*0,175+120,668*0,165)*10-6 = 89,68*10-6 м2/с

Расчетный коэффициент температуропроводности смеси газов:


Критерий Прандтля:

 =  = 0,715

Reг =  = 16678,91(1) = 0.035* * Reг0,8 * ( = 0,035*0,7320,33 *16678,910,8 * = 75,8

=  =  = 34,88 Вт/м2К.

Определение степени черноты излучающих трехатомных компонентов при температуре tст. [3]

tст = 594  ̊С

 = 0,1302

 = 0,4545

Степень черноты смеси газов при температуре tст.


Определение коэффициента теплоотдачи излучением при температуре tст.

 = 82,99 Вт/м2К.

 Вт/м2К.

Принимая за нулевое приближение плотность теплового потока q = 10372,39Вт/м, определяем коэффициент теплоотдачи от накипи к пару:

𝛼П = 3,14q0.7 *  = 3,14*10372,390,7 *18,20,15 = 3140,91 Вт/м2К.

Определение термических сопротивлений:

 = 0,0148 м  ̊С/Вт

 =0,00063  м  ̊С/Вт

 = 0.0215 м  ̊С/Вт

 = 0.000442 м  ̊С/Вт

 = 0,0147 м  ̊С/Вт

∑R(1) = 0.0148+0.00063+0.0215+0.000442+0.0147=0.0521 м  ̊С/Вт

Количество тепла, проходящее через 1 метр цилиндрической поверхности.

q =  =  = 10887,859 Вт/м

Плотности тепловых потоков, проходящих через внутреннюю и наружную поверхности цилиндрической трубы.

 =  = 21753,27 Вт/м2.

=  =  = 19031,13 Вт/м2.

Расчет температур на границах между слоями стенки:

 = 775-10887,859*0,0148 = 613,55  ̊С

 = 775-10887,859*(0.0148+0.0215) = 379,53  ̊С

 = 775-10887,859*(0.0148+0.0215+0.000442)=

= 374,72  ̊С

 = 775-10887,859 * (0.0148 +0.0215 +0.000442 +0,0147))  =  214,43  ̊С

Определение погрешности вычислений нулевого приближения:

𝜀 =  * 100% =   *100% = 4,7 ˃2%

2.6 Выполнение второго приближения:

Принимаем за начальные температуры первое приближение:

 


Тепловой поток на один метр цилиндрической поверхности

q = 10887,859 Вт/м.

Определение среднеинтегральной теплопроводности металла трубы: (3)

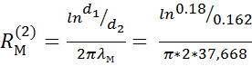
 =  =  = 377,13    =  37,686Вт/мК

Расчет теплофизических характеристик газов для tст = 614   [1]

Теплопроводность смеси дымовых газов (путем интерполяции, аналогично нулевого приближения):

 Вт/мК

Плотность смеси дымовых газов (путем интерполяции ):

 0,3864*0,64+0,6092*0,175+0,2229*0,165=0,3906 кг/м3

Теплоемкость смеси дымовых газов (путем интерполяции ):

 = (1,1321*0,64+1,1963*0,175+2,2831*0,165)*103 = 1,310*103 Дж/кг/К

Кинематическая вязкость смеси дымовых газов (путем интерполяции ):

= (96,918*0,64+60,134*0,175+125,5*0,165)*10-6 = 93,258*10-6 м2/с

Расчетный коэффициент температуропроводности смеси газов:

 = = 12,981* 10-5 м2/с

Критерий Прандтля:

 =  = 0,718

Reг =  = 16678,91

Nu(2) = 0.035* * Reг0,8 * ( = 0,035*0,7320,33 *16678,910,8 * = 75,72

=  =  = 34,851 Вт/м2К.

Определение степени черноты излучающих трехатомных компонентов при температуре tст. [3]

tст = 614  ̊С

 = 0,1312

 = 0,4519Степень черноты смеси газов при температуре tст.


Определение коэффициента теплоотдачи излучением при температуре tст.

 = 84,56 Вт/м2К.

 Вт/м2К.

Принимая за нулевое приближение плотность теплового потока q = 10887,859Вт/м, определяем коэффициент теплоотдачи от накипи к пару:

𝛼П = 3,14q0.7 *  = 3,14*10887,8590,7 *18,20,15 = 3249,377 Вт/м2К.

Определение термических сопротивлений:

 = 0,0146 м  ̊С/Вт

 =0,000615  м  ̊С/Вт

 = 0.0215 м  ̊С/Вт

 = 0.000445 м  ̊С/Вт

 = 0,0147 м  ̊С/Вт

∑R(2) = 0.0146+0.000615+0.0215+0.000445+0.0147=0.0519 м  ̊С/Вт

Количество тепла, проходящее через 1 метр цилиндрической поверхности.

q =  =  = 10931,56 Вт/м

Плотности тепловых потоков, проходящих через внутреннюю и наружную поверхности цилиндрической трубы.

 =  = 21753,27 Вт/м2.

=  =  = 19031,12 Вт/м2.

Расчет температур на границах между слоями стенки:

 = 775-10931,56*0,0146 = 496,42  ̊С

 = 775-10931,56*(0.0146+0.0215) = 380,03  ̊С

 = 775-10931,56*(0.0146+0.0215+0.000445)=

= 375,16  ̊С

 = 775-10931,56 * (0.0146 +0.0215 +0.000445 +0,0147))  =  214,22  ̊С

Определение погрешности вычислений нулевого приближения:

𝜀 =  * 100% =   *100% = 0,4 ˃2%

т.к. полученная погрешность не превышает заданную, то расчет верен.

Заключение

В результате выполнения курсовой работы были рассчитаны следующие параметры:

Допустимое количество воды, сбрасываемой летом ГРЭС в пруд - охладитель заданных размеров.

Тепловой поток через цилиндрическую стенку.

Тепловой поток через внешнюю поверхность труб.

Тепловой поток через внутреннюю поверхность труб.

Температуры на границах слоев.

Перечень ссылок

Казанцев Е.И. Промышленные печи: - М.: Металлургия 1975 - 368, с.

Ривкин С.Л. Термодинамические свойства воды и водяного пара: - М.: Энергоатомиздат 1984 - 80 с.

Кутателадзе С.С. Справочник по теплопередаче: - М.: Госэнергоиздат 1958 - 415 с.

Приложения

Таблица 1 Физические свойства дымовых газов


Таблица 2

t, °С

Р

  

t, °С

Р

 

t, °С

Р


кПа

мм рт.ст.



кПа

мм рт.ст.



кПа

мм рт.ст.

0

0.61129

4.585

 

34

5.3229

39.93

 

68

28.576

214.3

1

0.65716

4.929

 

35

5.6267

42.20

 

69

29.852

223.9

2

0.70605

5.296

 

36

5.9453

44.59

 

70

31.176

233.8

3

0.75813

5.686

 

37

6.2795

47.10

 

71

32.549

244.1

4

0.81359

6.102

 

38

6.6298

49.73

 

72

33.972

254.8

5

0.87260

6.545

 

39

6.9969

52.48

 

73

35.448

265.9

6

0.93537

7.016

 

40

7.3814

55.37

 

74

36.978

277.4

7

1.0021

7.516

 

41

7.7840

58.38

 

75

38.563

289.2

8

1.0730

8.048

 

42

8.2054

61.55

 

76

40.205

301.6

9

1.1482

8.612

 

43

8.6463

64.85

 

77

41.905

314.3

10

1.2281

9.212

 

44

9.1075

68.31

 

78

43.665

327.5

11

1.3129

9.848

 

45

9.5898

71.93

 

79

45.487

341.2

12

1.4027

10.52

 

46

10.094

75.71

 

80

47.373

355.3

13

1.4979

11.24

 

47

10.620

79.66

 

81

49.324

370.0

14

1.5988

11.99

 

48

11.171

83.79

 

82

51.342

385.1

15

1.7056

12.79

 

49

11.745

88.09

 

83

53.428

400.7

16

1.8185

13.64

 

50

12.344

92.59

 

84

55.585

416.9

17

1.9380

14.54

 

51

12.970

97.28

 

85

57.815

433.6

18

2.0644

15.48

 

52

13.623

102.2

 

86

60.119

450.9

19

2.1978

16.48

 

53

14.303

107.3

 

87

62.499

468.8

20

2.3388

17.54

 

54

15.012

112.6

 

64.958

487.2

21

2.4877

18.66

 

55

15.752

118.1

 

89

67.496

506.3

22

2.6447

19.84

 

56

16.522

123.9

 

90

70.117

525.9

23

2.8104

21.08

 

57

17.324

129.9

 

91

72.823

546.2

24

2.9850

22.39

 

58

18.159

136.2

 

92

75.614

567.2

25

3.1690

23.77

 

59

19.028

142.7

 

93

78.494

588.8

26

3.3629

25.22

 

60

19.932

149.5

 

94

81.465

611.0

27

3.5670

26.75

 

61

20.873

156.6

 

95

84.529

634.0

28

3.7818

28.37

 

62

21.851

163.9

 

96

87.688

657.7

29

4.0078

30.06

 

63

22.868

171.5

 

97

90.945

682.1

30

4.2455

31.84

 

64

23.925

179.5

 

98

94.301

707.3

31

4.4953

33.72

 

65

25.022

187.7

 

99

97.759

733.3

32

4.7578

35.69

 

66

26.163

196.2

 

100

101.32

760.0

33

5.0335

37.75

 

67

27.347

205.1

 

 

 

 




Таблица 3

Физические свойства стали У12

T (Град)

E 10- 5 (МПа)

 10 6 (1/Град)

 (Вт/(м·град))

 (кг/м3)

C (Дж/(кг·град))

R 10 9 (Ом·м)

20

2.09

 

 

7830

 

 

100

2.05

10.5

45

7809

469

252

200

2

11.8

43

7781

503

333

300

1.93

12.6

40

7749

519

430

400

1.85

13.4

37

7713

536

540

500

1.78

13.1

35

7675

553

665

600

1.66

14.8

32

7634

720

802

700

 

15.3

28

7592

611

964

800

 

15

24

7565

712

1152

900

 

16.3

25

7489

703

1196

1000

 

16.8

 

 

699

 


Таблица 4 Физические свойства водяного пара на линии насыщения

Похожие работы на - Термодинамические свойства воды и водяного пара

 

Не нашли материал для своей работы?
Поможем написать уникальную работу
Без плагиата!
Без нейросетей!